Børne- og Undervisningsudvalget 2019-20
BUU Alm.del Bilag 127
Offentligt
2169672_0001.png
TALIS 2018 – 2. rapport
Samarbejde, skoleklima og skoleledelse
BUU, Alm.del - 2019-20 - Bilag 127: OECD den internationale rapport om OECD’s Teaching and Learning International Survey (TALIS) 2018., fra børne- og undervisningsministeren BUU, Alm.del - 2019-20 - Bilag 127: OECD den internationale rapport om OECD’s Teaching and Learning International Survey (TALIS) 2018., fra børne- og undervisningsministeren
2169672_0003.png
INDHOLD
TALIS 2018 – 2. rapport
1
2
2.1
2.2
2.3
2.4
Resumé
Indledning
Formålet
Analyser på tværs af lande, uddannelsesniveauer og tid
Metode
Fortolkning af resultaterne
5
10
10
11
13
14
3
3.1
3.2
Lærersamarbejde og feedback
Lærersamarbejde
Feedback til lærere
16
19
23
4
4.1
4.2
Skoleklima og jobtilfredshed
Skoleklima
Lærernes jobtilfredshed
32
34
40
5
5.1
5.2
5.3
5.4
Skoleledelse
Uddannelsesniveau og formelle lederkvalifikationer
Kompetenceudvikling af lederne
Ledelsesorganisering
Ledelsesopgaver
48
50
52
59
67
Danmarks Evalueringsinstitut
3
BUU, Alm.del - 2019-20 - Bilag 127: OECD den internationale rapport om OECD’s Teaching and Learning International Survey (TALIS) 2018., fra børne- og undervisningsministeren
2169672_0004.png
Appendiks A – Litteraturliste
Appendiks B – Metode
74
75
Danmarks Evalueringsinstitut
4
BUU, Alm.del - 2019-20 - Bilag 127: OECD den internationale rapport om OECD’s Teaching and Learning International Survey (TALIS) 2018., fra børne- og undervisningsministeren
TALIS 2018 – 2. rapport
1 Resumé
Denne rapport analyserer de danske resultater fra OECD’s (Organisation for Economic Co-opera-
tion and Development) internationale undersøgelse, TALIS 2018 (Teaching and Learning Internati-
onal Survey), hvor i alt 48 lande har deltaget. Undersøgelsen afdækker lærere og skolelederes ople-
velse af deres professionelle virke, læringsmiljøet samt rammerne for undervisning på grundskoler
og ungdomsuddannelser. Med gennemførelsen af undersøgelsen i foråret 2018 er det tredje gang,
Danmark deltager i TALIS, som første gang blev gennemført i 2008 og senest derefter i 2013.
Der udarbejdes to nationale rapporter på baggrund af resultaterne fra TALIS 2018. Den første rap-
port blev offentliggjort i november 2019, og dette er således den anden nationale rapport. I rappor-
ten analyseres de danske lærere og skolelederes besvarelser inden for tre hovedtemaer:
• Lærersamarbejde og feedback
• Skoleklima og jobtilfredshed
• Skoleledelse.
I analysen er der fokus på at belyse forholdet mellem resultaterne fra Danmark og resultaterne fra
de øvrige nordiske lande (Norge, Sverige, Island og Finland) samt gennemsnittet for de i alt 31
OECD-lande, som har bidraget til undersøgelsen. På grundskolens 0.-6. klassetrin og ungdomsud-
dannelsesområdet er de danske resultater imidlertid udelukkende sammenlignet med resulta-
terne fra Sverige, da det er det eneste nordiske land ud over Danmark, som har deltaget i denne del
af undersøgelsen. Derudover ses der i analysen på udviklingen i de danske resultater siden TALIS
2013.
En række af resultaterne på grundskoleområdet er opdelt på henholdsvis 0.-6. klassetrin (indsko-
ling og mellemtrin) og på 7.-10. klassetrin (udskoling). Som udgangspunkt fremstilles resultater fra
grundskolens 7.-10. klasse (udskolingen). Når der blot står ”grundskolen”, ”grundskolelærere” eller
”grundskoleledere”, menes der således resultater for grundskolens 7.-10. klassetrin. Der fremstilles
kun resultater fra grundskolens 0.-6. klassetrin (indskoling og mellemtrin), hvis der er interessante
forskelle mellem de to niveauer. I de tilfælde vil begge resultater fremgå eksplicit. På ungdomsud-
dannelsesområdet skelnes der ved væsentlige forskelle mellem lærere på henholdsvis gymnasiale
uddannelser og erhvervsuddannelser.
Undersøgelsens resultater bygger på lærere og lederes egne vurderinger af og holdninger til under-
søgelsens tre temaer. Derfor kan resultaterne i rapporten afvige fra fx nationalt opgjorte register-
data. Den internationale sammenligning må ligeledes foretages med forbehold for, at kulturelle
forskelle kan have indflydelse på opfattelsen af undersøgelsens temaer og spørgsmål og dermed i
sidste ende på lærere og lederes besvarelser. Resultater, der beskriver forskelle mellem 2013 og
2018, skal endvidere tolkes med det forbehold, at der i nogle tilfælde er mindre forskelle i formule-
ringerne af spørgsmålene i de to runder. I de tilfælde, hvor der er større forskelle i formuleringerne,
er det undladt at sammenligne resultaterne for de to år.
Danmarks Evalueringsinstitut
5
BUU, Alm.del - 2019-20 - Bilag 127: OECD den internationale rapport om OECD’s Teaching and Learning International Survey (TALIS) 2018., fra børne- og undervisningsministeren
TALIS 2018 – 2. rapport
Resumé
Resultater
Lærersamarbejde og feedback
Danske lærere samarbejder mindre hyppigt end svenske og norske lærere
Det gælder med hensyn til at deltage i teammøder, deltage i fælles faglige uddannelsesaktiviteter,
samarbejde med lærere på skolen om fælles standarder samt drøftelse af konkrete elevers læring.
Fx angiver 41 % af de danske grundskolelærere, at de deltager i teammøder én gang om ugen eller
mere, hvilket er henholdsvis 38 og 39 procentpoint lavere end i Sverige og Norge. De danske lærere
ligger i den forbindelse på niveau med de islandske lærere og henholdsvis 18 og 19 procentpoint
højere end de finske lærere og OECD-gennemsnittet. På ungdomsuddannelsesområdet er der for
samtlige samarbejdsområder i TALIS en større andel af svenske lærere, der har angivet, at de delta-
ger i disse én gang om ugen eller mere.
Det er vigtigt at bemærke, at resultaterne ikke siger noget om kvaliteten af samarbejdet eller den
tid, der bruges på at samarbejde i det hele taget. Angående tiden brugt på samarbejde viser første
rapport
fra TALIS-undersøgelsen i
2018, at danske grundskolelærere angiver at bruge 3,1 time om
ugen på team-samarbejde og dialog med kolleger på skolen, mens de svenske og norske lærere
angiver, at de bruger henholdsvis 3,4 og 3,5 timer om ugen.
Blandet udvikling i samarbejdet blandt de danske lærere siden 2013
Blandt grundskolelærere er der på den ene side en større andel, der deltager i teammøder én gang
om ugen eller mere (fra 31 % til 41 %), ligesom en større andel af lærerne drøfter udviklingen af
konkrete elevers læring én gang om ugen eller mere (fra 32 % til 39 %). På den anden side er ande-
len af lærere, der aldrig overværer andre læreres undervisning og giver feedback steget (fra 45 % til
52 %). Blandt ungdomsuddannelseslærerne er der modsat grundskoleområdet en mindre andel af
lærerne, som deltager i teammøder én gang om ugen eller mere (fra 10 % til 6 %).
En større andel af de danske lærere modtager generelt feedback end lærere i de
øvrige nordiske lande
Sammenlignet med de øvrige nordiske lande er der generelt en større andel af danske lærere, der
har modtaget feedback med afsæt i de forskellige typer af information, der spørges ind til i TALIS.
Billedet er dog komplekst, og det varierer, hvor mange af de øvrige nordiske lande der placerer sig
henholdsvis over og under Danmark. Eksempelvis har 60 % af de danske grundskolelærere modta-
get feedback på baggrund af resultater for skolen og for de enkelte klasser (fx målresultater, pro-
jektresultater og testresultater). Danmark ligger her 3-31 procentpoint over de øvrige nordiske
lande og 9 procentpoint under OECD-gennemsnittet. På ungdomsuddannelsesområdet ligger
Danmark 5 procentpoint over Sverige.
Danske lærere oplever i mindre grad end lærere i de øvrige nordiske lande, at
feedback har positiv indflydelse på deres undervisning
Både blandt grundskole- og ungdomsuddannelseslærere angiver over halvdelen, at den feedback,
de har fået inden for det seneste år, har haft positiv indflydelse på deres undervisning (henholdsvis
59 % og 55 %). For grundskolelærerne er dette lavere end OECD-gennemsnittet (12 procentpoint)
og de øvrige nordiske lande (5-10 procentpoint), dog med undtagelse af Finland, der ligger på ni-
veau med Danmark. På ungdomsuddannelsesområdet er billedet det samme. Her ligger Danmark
6 procentpoint lavere end Sverige.
Danmarks Evalueringsinstitut
6
BUU, Alm.del - 2019-20 - Bilag 127: OECD den internationale rapport om OECD’s Teaching and Learning International Survey (TALIS) 2018., fra børne- og undervisningsministeren
TALIS 2018 – 2. rapport
Resumé
Skoleklima og jobtilfredshed
Danske lærere oplever i højere grad, at samarbejdet er kendetegnet ved gensidig
støtte
85 % af de danske grundskolelærere og 81 % af ungdomsuddannelseslærerne er meget enige eller
enige i, at skolen har en samarbejdskultur kendetegnet ved gensidig støtte. På grundskoleområdet
er der sket en stigning fra 82 % til 85 % siden 2013, mens der på ungdomsuddannelsesområdet er
sket en stigning fra 72 % til 81 %. På grundskoleområdet ligger Danmark i den forbindelse over Fin-
land (79 %) og Sverige (80 %), mens Danmark er på niveau med Island (86 %) og under Norge (95
%). På ungdomsuddannelsesområdet ligger Danmark ligeledes over Sverige (77 %).
Danske lærere oplever i mindre grad end lærere i de øvrige nordiske lande, at
eleverne har mulighed for at bidrage til beslutninger
64 % af de danske grundskolelærere er meget enige eller enige i, at eleverne har mulighed for ak-
tivt at bidrage til de beslutninger, der træffes vedrørende skolen. Dette er en mindre andel end i de
øvrige nordiske lande (9-20 procentpoint under), ligesom Danmark ligger under OECD-gennemsnit-
tet (7 procentpoint under). Samtidig ses en positiv udvikling, da en større andel af de danske
grundskolelærere oplever, at eleverne har mulighed for at bidrage til beslutningerne, end det var
tilfældet i 2013 (fra 56 % til 64 %). Det er endvidere fælles for grundskole- og ungdomsuddannel-
sesområdet, at Danmark ligger under flere af de øvrige nordiske lande med hensyn til inddragelsen
af henholdsvis medarbejdere og forældre.
Danske grundskolelærere oplever i mindre grad end lærere i de øvrige nordiske
lande, at skolen sikrer ekstra støtte til elever med særlige behov
76 % af de danske grundskolelærere angiver, at deres skole sikrer ekstra støtte til en elev, hvis der
er behov for det. Dette er lavere (8-21 procentpoint) end for de øvrige nordiske lande samt OECD-
gennemsnittet, med undtagelse af de svenske lærere, der ligger på niveau med Danmark.
Danske lærere oplever i højere grad end lærere i de øvrige nordiske lande stress i
arbejdet
54 % af de danske grundskolelærere oplever i høj eller nogen grad stress i deres arbejde. Det er en
højere andel sammenlignet med OECD-gennemsnittet (5 procentpoint over) og lærere i de øvrige
nordiske lande (9-11 procentpoint over) med undtagelse af Island, som ligger på niveau med Dan-
mark. På ungdomsuddannelsesområdet er det 59 % af lærerne, der oplever stress i deres arbejde,
hvilket er 17 procentpoint mere end i Sverige.
Ser man på, hvilke kilder der ifølge lærerne forårsager stress i arbejdet, er det for meget undervis-
ning at forberede (61 % af grundskolelærerne og 59 % af ungdomsuddannelseslærerne) og for
mange undervisningstimer (58 % af grundskolelærerne og 55 % af ungdomsuddannelseslærerne).
60 % af ungdomsuddannelseslærerne angiver desuden, at for meget rettearbejde/opgaveevalue-
ring er en kilde til stress, mens det samme er tilfældet for 53 % af lærerne på grundskoleområdet.
Danske lærere oplever i højere grad end lærere i de øvrige nordiske lande, at jobbet
efterlader tid til deres privatliv
83 % af de danske grundskolelærere oplever, at deres job i høj eller nogen grad efterlader tid til de-
res privatliv. Det er en markant højere andel sammenlignet med de øvrige nordiske lande (14-59
procentpoint højere) samt OECD-gennemsnittet (48 %). Blandt ungdomsuddannelseslærere er det
76 % af de danske lærere og 46 % af de svenske lærere, der har samme oplevelse.
Danmarks Evalueringsinstitut
7
BUU, Alm.del - 2019-20 - Bilag 127: OECD den internationale rapport om OECD’s Teaching and Learning International Survey (TALIS) 2018., fra børne- og undervisningsministeren
TALIS 2018 – 2. rapport
Resumé
Danske grundskolelærere oplever i mindre grad end lærere i Finland og Norge, at
lærerjobbet er respekteret
Knap hver femte danske grundskolelærer oplever, at lærerjobbet er respekteret i samfundet (18
%). Det er mindre end i Finland og Norge (henholdsvis 40 og 17 procentpoint lavere). Blandt ung-
domsuddannelseslærere er tendensen imidlertid omvendt. Her oplever 38 % af de danske lærere,
at lærerjobbet er respekteret i samfundet, mens det er 14 % af de svenske ungdomsuddannelses-
lærere. Andelen af danske lærere, som oplever, at lærerjobbet er respekteret i samfundet, ligger på
samme niveau som i 2013.
Skoleledelse
En større andel af de danske grundskoler og ungdomsuddannelser har et
ledelsesteam sammenlignet med flere af de øvrige nordiske lande
Langt størstedelen af de danske skoleledere angiver, at de har et ledelsesteam på skolen. På
grundskoleområdet er det 94 % af lederne, mens det er 99 % af lederne på ungdomsuddannelses-
området. Sammenlignes der med de øvrige nordiske lande og OECD-gennemsnittet, er der en
større andel af skolerne i Danmark, som har et ledelsesteam. Resultatet understøtter billedet fra
2013, hvor Danmark ligeledes var et af de lande, hvor andelen af grundskoler og ungdomsuddan-
nelser med et ledelsesteam var størst.
Danske skoleledere angiver, at ledelsesansvaret er mere delt sammenlignet med
skoleledere i de øvrige nordiske lande
Sammenlignet med resultaterne fra de øvrige nordiske lande angiver danske skoleledere, at ansva-
ret for ledelsen af skolen generelt er mere delt mellem skolelederen, andre medlemmer af ledelses-
teamet, lærere og skolens bestyrelse. Det gælder fx med hensyn til ansættelsen af lærere, optagel-
sen af elever og beslutninger vedrørende skolens budget. Samme billede tegnede sig i 2013, hvor
resultaterne ligeledes viste, at danske ledere i højere grad end ledere i andre lande deler ansvaret
for en række beslutninger.
Danske skoleledere angiver, at de bruger en mindre andel af deres tid på
administration og en større andel af deres tid på ledelse sammenlignet med
skoleledere i flere af de øvrige nordiske lande
Danske grundskole- og ungdomsuddannelsesledere skønner, at de bruger henholdsvis 28 % og 27
% af deres tid på administrative opgaver samt henholdsvis 26 % og 29 % af deres tid på ledelses-
mæssige opgaver. Sammenlignet med de øvrige nordiske lande bruger danske grundskoleledere
en mindre andel af deres tid på administrative opgaver (5-11 procentpoint, dog er Island på niveau
med Danmark) og en større andel af deres tid på ledelsesmæssige opgaver (2-6 procentpoint, dog
er Finland på niveau med Danmark). På ungdomsuddannelsesområdet ligger Danmark 8 procent-
point under Sverige, hvad angår tid brugt på administrative opgaver, og 6 procentpoint over Sve-
rige, hvad angår tid brugt på ledelsesmæssige opgaver.
Datagrundlaget
Denne rapport baserer sig på data fra spørgeskemaundersøgelserne fra TALIS 2013 og TALIS 2018.
Der er i begge TALIS-runder udsendt spørgeskemaer til et repræsentativt udvalg af lærere og ledere
på i alt tre uddannelsesniveauer: grundskolens indskoling og mellemtrin (0.-6. klasse), grundsko-
lens udskoling (7.-10. klasse) samt gymnasiale uddannelser og erhvervsuddannelser.
Danmarks Evalueringsinstitut
8
BUU, Alm.del - 2019-20 - Bilag 127: OECD den internationale rapport om OECD’s Teaching and Learning International Survey (TALIS) 2018., fra børne- og undervisningsministeren
TALIS 2018 – 2. rapport
Resumé
I TALIS 2018 har Danmarks Statistik gennemført de danske spørgeskemaundersøgelser. Hovedpar-
ten af dataindsamlingen er sket i marts-april 2018. De danske data fra TALIS 2013 er indsamlet af
Styrelsen for It og Læring, og her er hovedparten af dataindsamlingen sket i februar-marts 2013.
I TALIS 2018 er der på grundskoleområdet i alt 4.593 lærerbesvarelser og 285 lederbesvarelser,
mens der på ungdomsuddannelsesområdet er 1.670 lærerbesvarelser og 96 lederbesvarelser. Da-
taindsamlingen lever op til de høje kvalitetskrav, der er fastsat af OECD.
Danmarks Evalueringsinstitut
9
BUU, Alm.del - 2019-20 - Bilag 127: OECD den internationale rapport om OECD’s Teaching and Learning International Survey (TALIS) 2018., fra børne- og undervisningsministeren
TALIS 2018 – 2. rapport
2 Indledning
Undervisningsministeriet besluttede i 2005, at Danmark skulle deltage i OECD’s (Organisation for
Economic Co-operation and Development) undersøgelse af undervisning og læring, der har fået
navnet TALIS. TALIS står for Teaching and Learning International Survey og er den første internatio-
nale undersøgelse, der har fokus på lærernes professionelle udvikling, læringsmiljøet på skolerne
og skoleledelse på både grundskoler og ungdomsuddannelser. TALIS imødekommer både et inter-
nationalt og et nationalt behov for viden om, hvordan man sikrer grundlaget for god undervisning.
Danmark har deltaget i de to foregående runder af TALIS i årene 2008 og 2013. I TALIS 2018 delta-
ger 48 lande, hvilket er en udvidelse på 14 lande i forhold til TALIS 2013. I denne og
seneste
runde
deltog Danmark med samtlige af de tre mulige uddannelsesniveauer: grundskolens 0.-6. klasse,
grundskolens 7.-10. klasse samt ungdomsuddannelser. For hvert uddannelsesniveau deltager et
repræsentativt udsnit af lærere og ledere. I denne runde deltager Danmark desuden i det, der kal-
des TALIS-PISA link, som gør det muligt at koble resultater fra TALIS og PISA.
OECD udarbejder to internationale TALIS-rapporter. Første rapport blev offentliggjort i juni 2019 og
omhandler overordnet set emnerne: ændrede forhold for lærerprofessionen, undervisningspraksis,
nye læreres start i professionen samt ledere og læreres kompetenceudvikling. Anden udgivelse of-
fentliggøres i marts 2020 og omhandler overordnet set emnerne: lærersamarbejde og feedback,
skoleklima og jobtilfredshed samt skoleledelse.
De internationale rapporter giver et samlet overblik over landenes praksis og udpeger lande, der
adskiller sig fra hinanden. De fleste lande, der deltager i TALIS, udarbejder derudover nationale
rapporter, der fokuserer på det enkelte lands resultater. Børne- og Undervisningsministeriet har
bedt Danmarks Evalueringsinstitut (EVA) om at udarbejde to nationale rapporter. Den første natio-
nale rapport blev offentliggjort november 2019, mens nærværende rapport er den anden nationale
rapport.
2.1 Formålet
OECD har gennem godt 20 år arbejdet med at udvikle indikatorer til måling af kvalitet inden for ud-
dannelsesområdet. Mens PISA-undersøgelserne måler elevpræstationer, måler TALIS i stedet læ-
rernes pædagogiske praksis og professionelle udvikling samt skoleledelsens rolle og funktioner. I
TALIS er der lagt vægt på at måle den praksis på skoler og institutioner, som forskningen peger på
har betydning for øgede elevpræstationer. Det overordnede formål med at udarbejde en dansk TA-
LIS-rapport er at identificere forhold på grundskoler og ungdomsuddannelser, der i en internatio-
nal sammenligning er langt fremme, samt identificere forhold, hvor der er behov for et øget fokus.
Desuden er det formålet at sammenligne og analysere forskelle og ligheder på tværs af uddannel-
sesniveauer samt undersøge udviklingen siden TALIS 2013.
Danmarks Evalueringsinstitut
10
BUU, Alm.del - 2019-20 - Bilag 127: OECD den internationale rapport om OECD’s Teaching and Learning International Survey (TALIS) 2018., fra børne- og undervisningsministeren
TALIS 2018 – 2. rapport
Indledning
Denne rapport vil overordnet set sætte fokus på nedenstående tre temaer med dertilhørende un-
dersøgelsesspørgsmål:
1.
Lærersamarbejde og feedback
• Hvilke samarbejdsaktiviteter indgår lærerne i, og hvor ofte sker det?
• Hvem giver feedback, og hvilke informationer ligger til grund for feedback?
• Hvilken betydning har feedback?
2.
Skoleklima og jobtilfredshed
• Hvordan vurderer lærerne miljøet på skolen?
• Hvordan vurderer lærerne deres relationer?
• Hvordan vurderer lærerne stress og fysiske/psykiske påvirkninger?
• Hvilke kilder til stress oplever lærerne?
• Hvordan opfatter lærerne arbejdet som lærer?
3.
Skoleledelse
• Hvilket uddannelsesniveau og hvilke formelle lederkvalifikationer har skolelederne?
• Hvilke faglige kompetenceudviklingsaktiviteter har lederne deltaget i?
• Hvilke behov for kompetenceudvikling oplever lederne?
• Hvilke hindringer for kompetenceudvikling oplever lederne?
• Hvilke personer indgår i skolernes ledelsesteam?
• Hvilken indflydelse har skolerne?
• Hvordan fordeler skolelederens tid sig på forskellige opgaver?
• Hvor ofte beskæftiger skolelederen sig med forskellige aktiviteter?
Rapportens kapitler er struktureret efter ovenstående tre temaer.
2.2 Analyser på tværs af lande, uddannelsesniveauer og tid
Deltagerlande kan deltage med følgende tre uddannelsesniveauer:
• Grundskolens 0.-6. klasse (frivillig deltagelse)
• Grundskolens 7.-10. klasse (obligatorisk deltagelse)
• Ungdomsuddannelser (frivillig deltagelse).
Alle lande, der deltager i TALIS 2018, skal deltage med grundskolens 7.-10. klasse og kan derudover
vælge, om de deltager med de to andre uddannelsesniveauer. Det betyder, at alle 48 lande delta-
ger med grundskolens 7.-10. klasse, mens 15 lande deltager med grundskolens 0.-6. klasse, og 11
Danmarks Evalueringsinstitut
11
BUU, Alm.del - 2019-20 - Bilag 127: OECD den internationale rapport om OECD’s Teaching and Learning International Survey (TALIS) 2018., fra børne- og undervisningsministeren
2169672_0012.png
TALIS 2018 – 2. rapport
Indledning
lande deltager med ungdomsuddannelser. Danmark deltager med alle tre uddannelsesniveauer. I
kapitel 1 i den internationale tekniske rapport (OECD, 2019) kan man se en komplet liste over de
deltagende lande.
2.2.1
Analyse på tværs af lande
For at fokusere og afgrænse analyserne i rapporten sammenlignes de danske resultater med resul-
taterne for de øvrige nordiske lande. Skolevæsnerne i de nordiske lande er relativt ens, hvilket gør
det oplagt at sammenligne med de nordiske lande. For grundskolens 7.-10. klasse sammenlignes
med: Finland, Island, Norge og Sverige. For de to andre uddannelsesniveauer, dvs. grundskolens 0.-
6. klasse samt ungdomsuddannelsesniveauet, sammenlignes de danske resultater udelukkende
med resultaterne for Sverige. Det skyldes, at de tre øvrige nordiske lande ikke deltager med disse to
uddannelsesniveauer.
Resultaterne for grundskolens 7.-10. klasse sammenlignes også med gennemsnittet forde 31 delta-
gende OECD-lande. Denne sammenligning foretages for at vurdere, hvordan de danske resultater
placeres sig internationalt set. For grundskolens 0.-6. klasse og ungdomsuddannelsesniveauet
sammenlignes ikke med gennemsnittet for deltagende OECD-lande. Det skyldes, at der kun er hen-
holdsvis 15 og 11 lande, der deltager med de to niveauer. Gennemsnittet er derfor ikke udtryk for et
bredt udsnit af OECD-landenes resultater. I nedenstående tabel ses en oversigt over de lande, der
sammenlignes med på de tre niveauer.
TABEL 1
Sammenligningslande
Grundskole 0.-6. klasse
Tom celle
Tom celle
Tom celle
Sverige
Tom celle
Grundskole 7.-10. klasse
Finland
Island
Norge
Sverige
OECD-gennemsnit
Ungdomsuddannelser
Tom celle
Tom celle
Tom celle
Sverige
Tom celle
2.2.2
Analyse af de tre uddannelsesniveauer
I rapporten vil resultaterne for hvert uddannelsesniveau blive fremstillet og dertil forskelle og lighe-
der mellem uddannelsesniveauerne. Analysen vil også have fokus på forskelle i resultaterne for er-
hvervsuddannelser og gymnasiale uddannelser. Der er to centrale forhold, der er væsentlige for
analysen og formidlingen af resultaterne:
• I rapporten fremstilles som udgangspunkt resultater for grundskolens 7.-10. klasse samt ung-
domsuddannelserne. Resultater fra grundskolens 0.-6. klasse fremgår kun, hvis der er interes-
sante forskelle mellem de to grundskoleniveauer. Denne prioritering skyldes to ting. For det før-
ste er der meget få forskelle i besvarelserne fra de to grundskoleniveauer, og for det andet er der
langt flere sammenligningslande for det højeste grundskoleniveau. Når der i rapporten henvises
til ”grundskolen”, ”grundskolelærere” eller ”grundskoleledere”, menes der resultater for grund-
skolens 7.-10. klasse. De steder, hvor der er interessante forskelle mellem de to niveauer, vil de to
niveauers resultater eksplicit fremgå.
Danmarks Evalueringsinstitut
12
BUU, Alm.del - 2019-20 - Bilag 127: OECD den internationale rapport om OECD’s Teaching and Learning International Survey (TALIS) 2018., fra børne- og undervisningsministeren
TALIS 2018 – 2. rapport
Indledning
• I rapporten fremstilles signifikante og væsentlige forskelle mellem resultaterne for erhvervsud-
dannelser og gymnasiale uddannelser. I denne analyse skal man være opmærksom på to for-
hold: For det første er det ikke muligt at sammenligne de to uddannelsestyper med andre lande,
da det kun er muligt at sammenligne det samlede ungdomsuddannelsesniveau med andre
lande. Forskelle mellem erhvervsuddannelser og de gymnasiale uddannelser vil derfor udeluk-
kende basere sig på danske resultater. For det andet vil analysen kun basere sig på lærerbesva-
relser, da der er for få lederbesvarelser til at gennemføre analysen.
2.2.3
Udviklinger siden TALIS 2013
I rapporten analyseres udviklingen siden TALIS 2013. Der er dog foretaget mange ændringer i spør-
geskemaerne siden TALIS 2013, hvilket betyder, at det ikke er alle besvarelser på spørgsmålene fra
henholdsvis 2013 og indeværende rapport, der er direkte sammenlignelige. Hvor der ikke kan fore-
tages en direkte sammenligning på spørgsmålsniveau, sammenholdes de nye resultater fra 2018
så vidt muligt med hovedkonklusionerne i den danske TALIS-rapport fra 2013. I indledningen til
hvert kapitel i denne rapport fremgår, under hvilke emner det er muligt at analysere udviklingen fra
2013 til 2018.
For grundskolens 0.-6. klasse og ungdomsuddannelsesniveauet er det ikke muligt at sammenligne
de danske udviklinger med de svenske. Det skyldes, at Sverige udelukkende deltog med grundsko-
lens 7.-10. klasse i TALIS 2013. Det er heller ikke muligt at sammenligne gennemsnittet for delta-
gende OECD-lande i 2018 med OECD-gennemsnittet i 2013, da det ikke er de samme OECD-lande,
der har deltaget i de to runder.
2.3 Metode
Datamaterialet for TALIS baserer sig udelukkende på surveydata. Denne rapport baserer sig på
data for TALIS 2013 og TALIS 2018. Der er i begge TALIS-runder udsendt spørgeskemaer til seks re-
spondentgrupper. Der er udsendt to spørgeskemaer for hvert af de tre uddannelsesniveauer, hen-
holdsvis ét til lærere og ét til ledere. De tre spørgeskemaer til ledere er identiske bortset fra enkelte
varierende spørgsmål og hjælpetekster. Det samme gælder for de tre udsendte spørgeskemaer til
lærere. Som tidligere beskrevet er der dog ændret i relativt mange spørgsmål fra 2013 til 2018.
I grundskolen er spørgeskemaerne til lederne besvaret af skolens øverste daglige leder, dvs. skole-
lederen. Skolelederen har besvaret spørgeskemaet på baggrund af praksis i relation til henholdsvis
0.-6. klassetrin eller 7.-10. klassetrin, afhængigt af hvilket niveau skolen er udtrukket til at repræ-
sentere i TALIS. På ungdomsuddannelsesområdet er spørgeskemaet besvaret af rektor på de gym-
nasiale uddannelser, mens det på erhvervsuddannelsesområdet er besvaret af en leder for én eller
flere uddannelser under det hovedområde, som erhvervsskolen er udtrukket til at repræsentere.
OECD har sammen med et internationalt projektkonsortium og en række eksperter udfærdiget
spørgeskemaerne. Spørgsmålene er stillet med udgangspunkt i den nyeste viden om, hvilke for-
hold der er af betydning for undervisning og læring, herunder forhold af ledelsesmæssig betydning
i undervisningssektoren. Spørgsmålene er så vidt muligt stillet, så de har samme betydning i de for-
skellige deltagende lande. De udsendte spørgeskemaer kan ses på
www.uvm.dk.
Under hver tabel
og figur i indeværende rapport står opført, hvilket spørgsmålsnummer den pågældende tabel eller
figur tager afsæt i. Spørgsmålsnummeret henviser til spørgeskemaet for grundskolens 7.-10 klasse.
Danmarks Evalueringsinstitut
13
BUU, Alm.del - 2019-20 - Bilag 127: OECD den internationale rapport om OECD’s Teaching and Learning International Survey (TALIS) 2018., fra børne- og undervisningsministeren
TALIS 2018 – 2. rapport
Indledning
2.3.1
Danske data lever op til kvalitetskrav
Danmarks Statistik har indsamlet data i perioden marts-maj 2018. Dataindsamlingen lever op til de
kvalitetskrav til deltagere i TALIS 2018, der er fastsat af OECD:
• Skolerne skal vælges, så de er repræsentative for hvert lands skoler, og lærerne skal udgøre et
tilfældigt udvalg af skolernes lærere. Mindst 50 % af de udvalgte skoler skal indvilge i at deltage.
• Mindst 50 % af de udvalgte lærere på den enkelte skole skal deltage, og samlet set skal der være
mere end 75 % af lærerne, der besvarer skemaet på de deltagende skoler.
• Mindst 50 % af de udvalgte ledere skal besvare skemaet.
EVA har gennemført en bortfaldsanalyse, der indikerer, at de deltagende skoler er repræsentative
med hensyn til skolernes geografiske placering, type og størrelse. I appendiks til rapporten beskri-
ves de danske spørgeskemaundersøgelser med hensyn til: gennemførelse, bortfaldsanalyse samt
svarprocenter. Se desuden den internationale tekniske rapport for flere detaljer om gennemførelse
af TALIS (OECD, 2019).
2.3.2
Vægte og usikkerhed
OECD har lavet vægte for besvarelser for alle seks spørgeskemaundersøgelser i begge TALIS-run-
der. Vægtene tager højde for stikprøvedesignet samt eventuelle skævheder i de enkelte landes
data. OECD har desuden udviklet et statistikprogram, IDB Analyzer, der er beregnet til at tage højde
for komplicerede stikprøvedesign. IDB Analyzer kan for hver TALIS-runde og hvert land og uddan-
nelsesniveau udregne, hvor stor usikkerhed der er for det enkelte estimat. For alle de resultater, der
er nævnt i rapporten, har EVA undersøgt, om forskelle mellem TALIS-runder, lande og uddannel-
sesniveauer er signifikant forskellige ved et konfidensniveau på 95 %. Hvad enten der i rapporten
nævnes markante eller mindre forskelle, er disse signifikant forskellige. Hvis et lands resultater ikke
er signifikant forskellige fra de danske resultater, vil det fremgå af indeværende rapport, at landets
besvarelser er på niveau med de danske besvarelser.
2.4 Fortolkning af resultaterne
Der er flere aspekter, man skal være opmærksom på, når man fortolker rapportens resultater:
• Resultaterne bygger på lærernes og ledernes egne vurderinger af og holdninger til undersøgel-
sens temaer. Resultaterne i rapporten kan derfor afvige fra fx nationalt opgjorte registerdata.
• Den internationale sammenligning må foretages med forbehold for, at kulturelle forskelle kan
have indflydelse på, hvordan lærere og ledere opfatter undersøgelsens temaer og spørgsmål,
hvilket i sidste ende kan have indflydelse på deres besvarelse.
• Der er foretaget ændringer i spørgeskemaerne fra 2013 til 2018. Når vi sammenligner besvarel-
serne fra de to år, fremhæver vi væsentlige ændringer i spørgeskemaerne. Det er vanskeligt at
vurdere, hvilken betydning ændringerne har, og der skal derfor tages forbehold for disse ændrin-
ger.
• På grundskole-, erhvervsuddannelses- og gymnasieområdet er der, siden TALIS 2013, både gen-
nemført større politiske reformer samt gennemført nye arbejdstidsregler. Resultater i rapporten,
der baserer sig på ændringer fra 2013 til 2018, kan være relevante at tolke i sammenhæng med
disse ændringer. I indledningen til hvert kapitel uddybes nogle af de ændringer, der er vigtige at
holde sig for øje, når man fortolker resultaterne i det enkelte kapitel.
Danmarks Evalueringsinstitut
14
BUU, Alm.del - 2019-20 - Bilag 127: OECD den internationale rapport om OECD’s Teaching and Learning International Survey (TALIS) 2018., fra børne- og undervisningsministeren
2169672_0015.png
TALIS 2018 – 2. rapport
Indledning
Med disse forbehold in mente styrker TALIS dog klart sammenligningen af lærere og lederes vilkår
og praksis over tid i forskellige skolesystemer.
Læsevejledning
Når du læser rapporten, er det vigtigt, at du er opmærksom på følgende forhold:
Resultater med udgangspunkt i grundskolens 7.-10. klasse:
Som udgangspunkt fremstil-
les resultater fra grundskolens 7.-10. klasse. Der fremstilles kun resultater fra grundskolens
0.-6. klasse, hvis der er interessante forskelle mellem de to uddannelsesniveauer. Når der i
rapporten henvises til grundskolen, grundskolelærere eller grundskoleledere, menes der re-
sultater for grundskolens 7.-10. klasse. De steder, hvor der er interessante forskelle mellem
de to niveauer, vil de to niveauers resultater eksplicit fremgå.
Ikke alle spørgsmål kan sammenlignes fra 2013 til 2018:
I rapporten analyseres udviklin-
gen siden TALIS 2013. Der er dog foretaget mange ændringer i skemaerne siden TALIS 2013,
hvilket betyder, at det ikke er alle besvarelser på spørgsmålene fra henholdsvis 2013 og inde-
værende rapport, der er direkte sammenlignelige. Hvor der ikke kan foretages en direkte
sammenligning på spørgsmålsniveau, sammenholdes de nye resultater fra 2018 så vidt mu-
ligt med hovedkonklusionerne i den danske TALIS-rapport fra 2013.
Grundskolens 7.-10. klasse sammenlignes med flere nordiske lande:
Grundskolens 7.-10.
klasse sammenlignes med Finland, Island, Norge og Sverige, mens grundskolens 0.-6. klasse
og ungdomsuddannelsesniveauet udelukkende sammenlignes med Sverige. Det skyldes, at
det kun er Danmark og Sverige, der deltager med alle tre uddannelsesniveauer.
Kun grundskolens 7.-10. klasse sammenlignes med OECD-gennemsnit:
For grundskoleni-
veauet (0.-6. klasse) og ungdomsuddannelsesniveauet sammenlignes ikke med gennemsnit-
tet for alle OECD-lande. Det skyldes, at der kun er henholdsvis 15 og 11 lande, der deltager på
de to niveauer. Gennemsnittet er derfor ikke udtryk for et bredt udsnit af OECD-landenes re-
sultater.
Væsentlige forskelle mellem erhvervsuddannelseslærere og gymnasielærere vil fremgå:
I rapporten fremstilles alle signifikante og væsentlige forskelle i besvarelser fra danske er-
hvervsuddannelseslærere og gymnasielærere. Når forskelle mellem de to typer af ungdoms-
uddannelser visse steder i rapporten ikke fremstilles, skyldes det, at der ikke er væsentlige
forskelle mellem svarene fra de to grupper af lærere. Det er kun muligt at sammenligne det
samlede resultat for begge typer af ungdomsuddannelser med resultaterne fra de andre
lande.
Danmarks Evalueringsinstitut
15
BUU, Alm.del - 2019-20 - Bilag 127: OECD den internationale rapport om OECD’s Teaching and Learning International Survey (TALIS) 2018., fra børne- og undervisningsministeren
2169672_0016.png
TALIS 2018 – 2. rapport
3 Lærersamarbejde og feedback
Samarbejde mellem lærere og feedback til lærere er vigtige elementer i lærernes muligheder for at
udvikle sig fagligt. I dette kapitel belyses en række aspekter vedrørende lærersamarbejde og feed-
back. I kapitlet præsenteres resultater for, hvordan lærerne samarbejder, og hvor ofte de gør det.
Derudover præsenteres resultater for, hvem der giver feedback til lærerne, grundlaget for feed-
backen, og hvilke aspekter i undervisningen feedbacken har betydning for.
Definition på feedback i TALIS
I spørgeskemaerne til lærerne defineres feedback som følger:
Feedback er alle de former for tilbagemeldinger, du får på din undervisning baseret på en eller
anden form for engagement i dit arbejde (fx overværelse af din undervisning, drøftelse af dine
undervisningsplaner eller elevresultater).
Feedback kan gives gennem uformelle drøftelser mellem dig og din leder eller andre, eller den
kan være del af et mere formelt og struktureret evalueringssystem.
I den udstrækning det er muligt, sammenholdes lærernes besvarelser fra 2013 og 2018. Dette er til-
fældet for spørgsmålet, der omhandler samarbejde. Herudover sammenlignes der med besvarel-
ser fra de øvrige nordiske lande og med gennemsnittet for OECD-landene.
Resultaterne i dette kapitel skal forstås i sammenhæng med de forskellige indsatser, reformer og
lignende, der er gennemført på uddannelsesområdet. For forståelsen af resultaterne i dette kapitel
kan følgende forhold være relevante:
• På grundskoleområdet trådte der i august 2014 en reform i kraft, som blandt andet fokuserede
på kompetenceudvikling af det pædagogiske personale samt samarbejdet mellem og på tværs
af medarbejdergrupper. Med aftalen om reformen har regeringen afsat i alt 1 mia. kr. i perioden
2014-2020 til styrket efteruddannelse af lærere og pædagoger i folkeskolen. Desuden har A.P.
Møller Fonden fra sommeren 2014 til sommeren 2018 bevilliget godt halvdelen af den milliard
kroner, som Fonden donerede i 2013 til at styrke den danske folkeskole. Fonden har blandt an-
det tilgodeset projekter med fokus på at udvikle de professionelles samarbejde (www.apmoller-
fonden.dk).
• På gymnasieområdet trådte der i 2017 en reform i kraft, og i forlængelse heraf er der afholdt en
række kurser med henblik på at understøtte reformimplementeringen, herunder fx
Fagudvikling i
Praksis
(FiP) og
Skoleudvikling i Praksis
(SiP). Børne- og Undervisningsministeriet administrerer
Danmarks Evalueringsinstitut
16
BUU, Alm.del - 2019-20 - Bilag 127: OECD den internationale rapport om OECD’s Teaching and Learning International Survey (TALIS) 2018., fra børne- og undervisningsministeren
2169672_0017.png
TALIS 2018 – 2. rapport
Lærersamarbejde og feedback
desuden en pulje til efteruddannelse, som gymnasierne kan ansøge om at få del i, hvis de gen-
nemfører ekstraordinære kompetenceløft af lærere og ledere i perioden 2017-2024. Disse kom-
petenceudviklingsaktiviteter er relevante for temaet lærersamarbejde og feedback, fordi refor-
men på flere områder lægger op til, at lærerne skal samarbejde på nye måder, ligesom lederne
skal styrke deres arbejde med kvalitetsudvikling. Fx skal lærerne samarbejde på nye måder om
flerfagligt samspil og et nyt grundforløb, mens lederne i højere grad kan inddrage data om, hvor-
dan skolen styrker sit arbejde med centrale kvalitetsmål, fx øget elevtrivsel.
• På erhvervsuddannelsesområdet er der gennemført en reform i 2015, som blandt andet betyder,
at der skal foretages et løft af undervisernes erhvervspædagogiske kompetencer. For lærere fast-
ansat i 2010 eller senere er det et krav, at de senest fire år efter ansættelsen skal have kompeten-
cer fra en pædagogisk uddannelse, der som minimum svarer til en gennemført pædagogisk di-
plomuddannelse. For lærere fastansat i 2009 eller tidligere har kompetenceløftet et omfang, der
svarer til mindst 10 ECTS-point. For mere viden om status på lærernes pædagogiske kompeten-
ceudvikling i 2019 henvises til EVA (2019a). Disse kompetenceudviklingsaktiviteter er relevante
for temaet lærersamarbejde og feedback, fordi kompetenceløftet kan forventes at påvirke lære-
renes samarbejde om den pædagogiske praksis.
Derudover kan der være yderligere, nationale forhold af betydning, ligesom der kan være forhold i
andre lande, som kan være relevante at inddrage i det videre arbejde med undersøgelsens resulta-
ter. Endvidere kan der være foretaget undersøgelser, der ikke refereres i denne rapport, som kan
være med til at kontekstualisere undersøgelsens resultater
1
.
Sammenfatning – Lærersamarbejde og feedback
Lærersamarbejde
De danske grundskolelærere samarbejder mindre hyppigt end svenske og norske lærere. Det
gælder med hensyn til at deltage i teammøder, deltage i fælles faglige uddannelsesaktivite-
ter, samarbejde med lærere på skolen om fælles standarder samt drøftelse af konkrete ele-
vers læring. Fx angiver 41 % af de danske grundskolelærere, at de deltager i teammøder én
gang om ugen eller mere, hvilket er henholdsvis 38 og 39 procentpoint mindre end i Sverige
og Norge. De danske lærere ligger i den forbindelse på niveau med de islandske lærere og
henholdsvis 18 og 19 procentpoint højere end de finske lærere og OECD-gennemsnittet. På
ungdomsuddannelsesområdet er der for samtlige samarbejdsområder i TALIS en større an-
del af svenske lærere, der har angivet, at de deltager i disse én gang om ugen eller mere. Det
er vigtigt at bemærke, at resultaterne ikke siger noget om kvaliteten af samarbejdet eller den
tid, der bruges på at samarbejde i det hele taget. Angående tiden brugt på samarbejde viser
første TALIS-rapport fra 2018, at danske grundskolelærere angiver at bruge 3,1 time om ugen
på teamsamarbejde og dialog med kolleger på skolen, mens de svenske og norske lærere an-
giver, at de bruger henholdsvis 3,4 og 3,5 timer om ugen.
1 Når der i rapporten henvises til grundskolen, grundskolelærere eller grundskoleledere, menes der resultater for grundskolens 7.-10.
klasse. De steder, hvor der er interessante forskelle mellem grundskolens 0.-6. klasse og grundskolens 7.-10. klasse, vil de to niveau-
ers resultater eksplicit fremgå.
Danmarks Evalueringsinstitut
17
BUU, Alm.del - 2019-20 - Bilag 127: OECD den internationale rapport om OECD’s Teaching and Learning International Survey (TALIS) 2018., fra børne- og undervisningsministeren
2169672_0018.png
TALIS 2018 – 2. rapport
Lærersamarbejde og feedback
Der er en blandet udvikling i samarbejdet blandt de danske lærere siden 2013. Blandt grund-
skolelærere er der på den ene side en større andel, der deltager i teammøder én gang om
ugen eller mere (fra 31 % til 41 %), ligesom en større andel af lærerne drøfter udviklingen af
konkrete elevers læring én gang om ugen eller mere (fra 32 % fra 39 %). På den anden side er
andelen af lærere, der aldrig overværer andre læreres undervisning og giver feedback, også
steget (fra 45 % til 52 %). Blandt ungdomsuddannelseslærerne er der modsat grundskoleom-
rådet en mindre andel af lærerne, som deltager i teammøder én gang om ugen eller mere (fra
10 % til 6 %).
De danske lærere samarbejder generelt mindre hyppigt, jo ældre eleverne er. Lærere på 0.-6.
klassetrin samarbejder oftere end lærere på 7.-10. klassetrin, mens lærerne på 7.-10. klasse-
trin samarbejder oftere end ungdomsuddannelseslærerne. På ungdomsuddannelsesområ-
det samarbejder lærerne på erhvervsuddannelserne oftere end lærerne på de gymnasiale ud-
dannelser.
Feedback til lærere
Sammenlignet med de øvrige nordiske lande er der generelt en større andel af danske læ-
rere, der har modtaget feedback med afsæt i de forskellige typer af information, der spørges
ind til i TALIS. Billedet er dog komplekst, og det varierer, hvor mange af de øvrige nordiske
lande der placerer sig henholdsvis over og under Danmark. Eksempelvis har 60 % af de dan-
ske grundskolelærere modtaget feedback på baggrund af resultater for skolen og for de en-
kelte klasser (fx målresultater, projektresultater, testresultater). Danmark ligger her 3-31 pro-
centpoint over de øvrige nordiske lande og 9 procentpoint under OECD-gennemsnittet. På
ungdomsuddannelsesområdet ligger Danmark 5 procentpoint over Sverige.
59 % af de danske grundskolelærere og 55 % af ungdomsuddannelseslærerne angiver, at den
feedback, de har fået inden for de seneste 12 måneder, har haft en positiv indflydelse på de-
res undervisning. Dette er lavere end OECD-gennemsnittet (12 procentpoint) og de nordiske
lande (5-10 procentpoint) med undtagelse af Finland, der ligger på niveau med Danmark. På
ungdomsuddannelsesområdet gentager billedet sig, hvor Danmark ligger 6 procentpoint la-
vere end Sverige.
Henholdsvis 74 % og 79 % af de danske grundskole- og ungdomsuddannelseslærere, der an-
giver, at feedback har haft en positiv indflydelse på deres undervisning, angiver desuden, at
feedbacken har ført til en positiv ændring inden for deres pædagogiske/didaktiske kompe-
tencer. På grundskoleområdet placerer de danske lærere sig over samtlige af de øvrige nordi-
ske landes lærere (5-13 procentpoint) og på niveau med OECD-gennemsnittet. De danske læ-
rere på ungdomsuddannelserne ligger ligeledes 10 procentpoint højere end de svenske læ-
rere.
Henholdsvis 38 % og 16 % af de danske grundskole- og ungdomsuddannelseslærere, der an-
giver, at feedback har haft en positiv indflydelse på deres undervisning, angiver desuden, at
feedbacken har ført til en positiv ændring vedrørende deres metoder til undervisning af ele-
ver med særlige behov. Sammenligner man med de andre lande, ligger Danmark 8-19 pro-
centpoint under disse på grundskoleområdet og 11 procentpoint lavere end OECD-gennem-
snittet. På ungdomsuddannelsesområdet ligger Danmark 32 procentpoint under Sverige.
Danmarks Evalueringsinstitut
18
BUU, Alm.del - 2019-20 - Bilag 127: OECD den internationale rapport om OECD’s Teaching and Learning International Survey (TALIS) 2018., fra børne- og undervisningsministeren
2169672_0019.png
TALIS 2018 – 2. rapport
Lærersamarbejde og feedback
3.1 Lærersamarbejde
De danske grundskole- og ungdomsuddannelseslærere bruger henholdsvis 3,1 time og 2,5 time
om ugen på teamsamarbejde og dialog med kolleger. Det peger rapporten
TALIS 2018 – 1. rapport
(EVA, 2019b) på. Men TALIS 2018 indeholder også spørgsmål om, hvilke samarbejdsaktiviteter læ-
rernes samarbejde indeholder. Spørgsmålene spænder bredt og fokuserer både på koordinering,
såsom fx udveksling af undervisningsmaterialer med kolleger, og den del af det professionelle sam-
arbejde, som handler om gennemførelse af konkret undervisning med én eller flere kolleger. I dette
afsnit præsenteres de danske grundskole- og ungdomsuddannelseslæreres besvarelser.
3.1.1
Hvilke samarbejdsaktiviteter indgår lærerne i, og hvor ofte sker det?
I TALIS 2018 er lærerne blevet spurgt, hvor ofte de gennemfører en række samarbejdsaktiviteter.
Tabellen nedenfor viser de danske læreres svar:
TABEL 3.1
Hvor ofte gennemfører lærerne i gennemsnit følgende
samarbejdsaktiviteter på skolen?
Grundskole 7.-10. klasse
1 gang
om ugen
eller
mere
%
Deltager i teammøder
Drøfter udviklingen af konkrete elevers læring
Gennemfører konkret undervisning som et team med én
eller flere kolleger i den samme klasse
Udveksler undervisningsmaterialer med kolleger
Samarbejder med lærere på denne skole for at sikre fæl-
les standarder for evaluering og bedømmelse af elevernes
faglige udvikling
Overværer andre læreres undervisning og giver feedback
Deltager i fælles aktiviteter på tværs af forskellige klasser
og aldersgrupper (fx projekter)
Deltager i fælles faglige uddannelsesaktiviteter
41
39
26
1-3
gange
om må-
neden
%
34
32
10
5-10
gange
om
året
%
16
15
13
1-4
gange
om
året
%
8
13
35
Aldrig
%
2
2
16
24
17
34
21
23
20
17
33
2
8
6
5
5
7
6
19
31
59
52
10
4
8
16
60
11
Danmarks Evalueringsinstitut
19
BUU, Alm.del - 2019-20 - Bilag 127: OECD den internationale rapport om OECD’s Teaching and Learning International Survey (TALIS) 2018., fra børne- og undervisningsministeren
2169672_0020.png
TALIS 2018 – 2. rapport
Lærersamarbejde og feedback
Ungdomsuddannelser
1 gang
om ugen
eller
mere
%
Drøfter udviklingen af konkrete elevers læring
Udveksler undervisningsmaterialer med kolleger
Samarbejder med lærere på denne skole for at sikre fæl-
les standarder for evaluering og bedømmelse af elevernes
faglige udvikling
Deltager i teammøder
Gennemfører konkret undervisning som et team med én
eller flere kolleger i den samme klasse
Overværer andre læreres undervisning og giver feedback
Deltager i fælles aktiviteter på tværs af forskellige klasser
og aldersgrupper (fx projekter)
Deltager i fælles faglige uddannelsesaktiviteter
Kilde: Spørgeskema til lærere TALIS, 2018 (spørgsmål 33).
28
17
8
1-3
gange
om må-
neden
%
30
32
16
5-10
gange
om
året
%
18
28
14
1-4
gange
om
året
%
21
21
49
Aldrig
%
3
2
13
6
6
22
6
37
11
32
60
3
18
2
1
4
3
5
10
47
68
43
17
1
5
16
72
6
På grundskoleniveau tegner der sig overordnet set et billede af, at lærerne oftest deltager i samar-
bejdsaktiviteter som fx at deltage i teammøder og drøfte udviklingen af konkrete elevers læring,
mens de mindre hyppigt deltager i de mere specifikt formulerede samarbejdsaktiviteter som fx at
overvære andre læreres undervisning og give feedback. Konkret er det i alt 41 % af grundskolelæ-
rerne, der svarer, at de deltager i teammøder én gang om ugen eller mere, og i alt 39 % drøfter ud-
viklingen af konkrete elevers læring én gang om ugen eller mere. Modsat svarer 52 % af grundsko-
lelærerne, at de aldrig overværer andre læreres undervisning og giver feedback.
De danske ungdomsuddannelseslærere samarbejder oftest om at drøfte udviklingen af konkrete
elevers læring (28 % én gang om ugen eller mere) og udveksle undervisningsmaterialer med kolle-
ger (17 % én gang om ugen eller mere). Samtidig svarer 43 % af lærerne på ungdomsuddannel-
serne, at de aldrig overværer andre læreres undervisning og giver feedback.
Blandt ungdomsuddannelseslærerne er samarbejdet mere udbredt blandt lærerne på erhvervsud-
dannelserne end lærerne på de gymnasiale uddannelser. Lærerne på erhvervsuddannelserne sam-
arbejder mere end lærerne på de gymnasiale uddannelser med hensyn til at:
• Deltage i teammøder
• Drøfte udviklingen af konkrete elevers læring
• Udveksle undervisningsmaterialer med kolleger
• Samarbejde med lærere på denne skole for at sikre fælles standarder for evaluering og bedøm-
melse af elevernes faglige udvikling
• Gennemføre konkret undervisning som et team med én eller flere kolleger i den samme klasse.
Danmarks Evalueringsinstitut
20
BUU, Alm.del - 2019-20 - Bilag 127: OECD den internationale rapport om OECD’s Teaching and Learning International Survey (TALIS) 2018., fra børne- og undervisningsministeren
TALIS 2018 – 2. rapport
Lærersamarbejde og feedback
I forlængelse af ovennævnte punkter er det eksempelvis 21 % af lærerne på erhvervsuddannel-
serne, der deltager i teammøder én gang om ugen eller mere, sammenlignet med 2 % af lærerne
på de gymnasiale uddannelser. Derudover er der 39 % af lærerne på erhvervsuddannelserne, der
drøfter udviklingen af konkrete elevers læring én gang om ugen eller mere, sammenlignet med 25
% af lærerne på de gymnasiale uddannelser.
Sammenligner vi samarbejdet blandt lærere på henholdsvis 0.-6. klassetrin, 7.-10. klassetrin og
ungdomsuddannelserne, ser vi en tendens til, at lærere på 0.-6. klassetrin samarbejder oftere end
lærere på 7.-10. klassetrin, som igen samarbejder oftere end ungdomsuddannelseslærerne. Des
ældre eleverne er, des mindre hyppigt samarbejder lærerne altså.
Ser vi nærmere på forskellen mellem lærere på 0.-6. klassetrin og 7.-10. klassetrin, fremgår det ek-
sempelvis, at 58 % af lærerne på 0.-6. klassetrin deltager i teammøder én gang om ugen eller mere,
sammenlignet med 41 % af lærerne på 7.-10. klassetrin. Der ses ligeledes forskel, med hensyn til
hvor ofte lærerne gennemfører konkret undervisning som et team i den samme klasse. 35 % af læ-
rerne på 0.-6. klassetrin gennemfører således konkret undervisning som et team i den samme
klasse én gang om ugen eller mere, sammenlignet med 26 % af lærerne på 7.-10. klassetrin.
Ser man på udviklingen fra 2013 til 2018, tegner der sig et blandet billede:
På grundskoleområdet gælder det fx, at andelen af lærere, der deltager i teammøder én gang om
ugen eller mere, er steget fra 31 % til 41 %. Der ses ligeledes en positiv udvikling med hensyn ande-
len af lærere, som drøfter udviklingen af konkrete elevers læring én gang om ugen eller mere (fra 32
% til 39 %), ligesom der er en større andel af lærerne, der samarbejder om at sikre fælles standar-
der for evaluering og bedømmelse af elevernes faglige udvikling én gang om ugen eller mere (fra 12
% til 17 %). Samtidig er andelen af lærere, der aldrig overværer andre læreres undervisning og giver
feedback, steget fra 45 % til 52 %. Det samme er tilfældet med hensyn til andelen af lærere, der al-
drig gennemfører undervisning som et team med én eller flere kolleger i den samme klasse (fra 11
% til 16 %). På ungdomsuddannelsesområdet er der modsat grundskoleområdet en mindre andel
af lærerne, som deltager i teammøder én gang om ugen eller mere (fra 10 % til 6 %).
De danske grundskole- og ungdomsuddannelseslærere adskiller sig fra lærerne i de øvrige nordi-
ske lande og OECD-gennemsnittet ved blandt andet mindre hyppigt at deltage i fælles, faglige ud-
dannelsesaktiviteter. Desuden ses en tendens til, at lærere i Danmark generelt samarbejder mindre
hyppigt end de svenske og norske lærere. Dette er beskrevet nærmere nedenfor.
De danske lærere samarbejder mindre hyppigt sammenlignet med Sverige og Norge
Danske lærere samarbejder generelt set mindre hyppigt end svenske og norske lærere. Det er en
tendens, der gør sig gældende med hensyn til en række af de samarbejdsaktiviteter, som lærerne
er blevet spurgt om i TALIS.
Ser man på den samlede tid brugt på samarbejde, er der imidlertid ikke særlig stor forskel mellem
Danmark, Sverige og Norge, og det er vigtigt at have in mente, når nedenstående resultater fortol-
kes (EVA, 2019). Danske lærere angiver således at bruge 3,1 time om ugen på teamsamarbejde og
dialog med kolleger på skolen, mens de svenske og norske lærere angiver, at de bruger henholds-
vis 3,4 og 3,5 timer om ugen.
De danske lærere samarbejder mindre hyppigt end de svenske og norske lærere på 7.-10. klassetrin
med hensyn til at:
• Deltage i teammøder
Danmarks Evalueringsinstitut
21
BUU, Alm.del - 2019-20 - Bilag 127: OECD den internationale rapport om OECD’s Teaching and Learning International Survey (TALIS) 2018., fra børne- og undervisningsministeren
2169672_0022.png
TALIS 2018 – 2. rapport
Lærersamarbejde og feedback
• Deltage i fælles faglige uddannelsesaktiviteter
• Samarbejde med lærere på skolen for at sikre fælles standarder for evaluering og bedømmelse
af elevernes faglige udvikling
• Drøfte udviklingen af konkrete elevers læring.
Billedet er mere blandet, når man sammenholder samarbejdet blandt danske lærere med samar-
bejdet blandt henholdsvis de finske og islandske lærere og OECD-gennemsnittet.
Ser vi nærmere på de lærere, der underviser på henholdsvis 0.-6. klassetrin og på ungdomsuddan-
nelserne, er der ved samtlige samarbejdsområder, der er spurgt ind til i TALIS, en større andel af
svenske lærere, der har angivet, at de deltager i de forskellige samarbejdsaktiviteter én gang om
ugen eller mere.
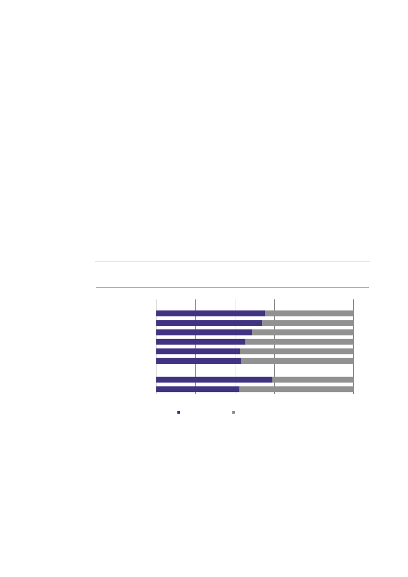
Ét af de områder, hvor de danske lærere adskiller sig fra især de svenske og norske lærere, er med
hensyn til teamsamarbejdet. Figuren nedenfor viser, hvor ofte lærerne i de nordiske lande deltager
i teammøder på skolen:
FIGUR 3.1
Hvor ofte deltager lærerne i gennemsnit i teammøder på skolen?
Grundskole 7.-10. klasse
Norge
Sverige
Danmark
Island
Finland
OECD
Ungdomsuddannelser
Sverige
Danmark
0%
1 gang om ugen eller mere
6
22
59
37
28
32
6
3
3
3
23
22
23
41
38
38
18
33
20
26
80
79
34
12
16
11
13
11
12
14
3 2
2
3 2
2
8
6
5
2
20 %
40 %
60 %
5-10 gange om året
80 %
1-4 gange om året
100 %
Aldrig
1-3 gange om måneden
Kilde: Spørgeskema til lærere TALIS, 2018 (spørgsmål 33).
Note: Tal markeret med gul viser, hvilke landes besvarelser der er signifikant forskellige fra danske besvarelser ved et
signifikansniveau på 5 %.
Det fremgår af figuren, at 80 % af de norske lærere og 79 % af de svenske lærere angiver, at de del-
tager i teammøder én gang om ugen eller mere. Til sammenligning er det 41 % af de danske læ-
rere, som angiver, at de deltager i teammøder én gang om ugen eller mere. De danske lærere ligger
på niveau med de islandske lærere, hvor 38 % svarer, at de deltager i teammøder én gang om ugen
eller mere. 23 % af de finske lærere svarer det samme, mens OECD-gennemsnittet er på 22 %.
Danmarks Evalueringsinstitut
22
BUU, Alm.del - 2019-20 - Bilag 127: OECD den internationale rapport om OECD’s Teaching and Learning International Survey (TALIS) 2018., fra børne- og undervisningsministeren
2169672_0023.png
TALIS 2018 – 2. rapport
Lærersamarbejde og feedback
På ungdomsuddannelsesområdet er der også en markant forskel på Danmark og Sverige. 59 % af
de svenske ungdomsuddannelseslærere og 6 % af de danske ungdomsuddannelseslærere svarer
således, at de deltager i teammøder én gang om ugen eller mere, hvilket er en forskel på 53 pro-
centpoint.
I forlængelse af ovennævnte er det afslutningsvist vigtigt at bemærke, at hyppigheden af teammø-
der ikke siger noget om kvaliteten af det samarbejde, der foregår, ligesom den heller ikke siger no-
get om, hvor lange møderne er.
3.2 Feedback til lærere
I TALIS 2018 er lærerne blevet bedt om at forholde sig til, hvorvidt de har fået feedback fra forskel-
lige personer, og hvilke informationer der i givet fald ligger til grund for feedbacken.
3.2.1
Hvem giver feedback, og hvilke informationer ligger til grund for
feedback?
Nedenstående tabel viser, hvilke personer på skolerne der giver lærerne feedback, og hvilke typer
af informationer der ligger til grund for feedbacken. I den forbindelse skal man være opmærksom
på, at tabellen ikke siger noget om hyppighed og varighed af feedbacken.
TABEL 3.2
Hvilke personer anvender nedenstående typer af information til at give
lærerne feedback?
Grundskole 7.-10. klasse
Eksterne per-
soner eller
myndigheder
%
Overværelse af min klasseundervisning
Elevers besvarelser af spørgeskemaer om
forhold relateret til min undervisning
Evaluering/vurdering af min faglige viden
Eksterne testresultater for de elever, jeg
underviser (fx nationale test, prøvekarakte-
rer)
Resultater for skolen og for de enkelte klas-
ser (fx målresultater, projektresultater,
testresultater)
Selvevaluering/-vurdering af mit arbejde (fx
præsentation af portfolio-evalueringer,
analyser af videooptagelser af min under-
visning)
12
7
Skoleleder eller
andre medlem-
mer af skolens
ledelsesteam
%
33
15
Kolleger på
skolen (ikke en
del af skolens
ledelsesteam)
%
37
16
Har aldrig
modtaget
denne type
feedback
%
36
67
5
22
17
35
19
25
66
35
13
38
21
40
2
6
14
80
Danmarks Evalueringsinstitut
23
BUU, Alm.del - 2019-20 - Bilag 127: OECD den internationale rapport om OECD’s Teaching and Learning International Survey (TALIS) 2018., fra børne- og undervisningsministeren
2169672_0024.png
TALIS 2018 – 2. rapport
Lærersamarbejde og feedback
Ungdomsuddannelser
Eksterne per-
soner eller
myndigheder
%
Overværelse af min klasseundervisning
Elevers besvarelser af spørgeskemaer om
forhold relateret til min undervisning
Evaluering/vurdering af min faglige viden
Eksterne testresultater for de elever, jeg
underviser (fx prøveresultater, prøvekarak-
terer)
Resultater for skolen og for de enkelte klas-
ser (fx målresultater, projektresultater,
testresultater)
Selvevaluering/-vurdering af mit arbejde (fx
præsentation af portfolio-evalueringer,
analyser af videooptagelser af min under-
visning)
5
4
Skoleleder eller
andre medlem-
mer af skolens
ledelsesteam
%
51
51
Kolleger på
skolen (ikke en
del af skolens
ledelsesteam)
%
45
11
Har aldrig
modtaget
denne type
feedback
%
21
39
5
23
19
26
15
10
66
49
12
40
9
48
3
11
10
79
Kilde: Spørgeskema til lærere TALIS, 2018 (spørgsmål 29).
Note: Med eksterne personer eller myndigheder menes fx censorer, repræsentanter fra forvaltningen, fagkonsulenter
eller andre samarbejdsparter uden for skolen.
Tabellen viser, at når grundskolelærerne får feedback, er det hovedsageligt fra deres kolleger på
skolen eller fra skolelederen eller andre medlemmer af skolens ledelsesteam. Når grundskolelæ-
rerne får feedback fra kolleger, er det især på baggrund af overværelse af deres klasseundervisning
(37 %). Når det er skolelederen eller andre medlemmer af skolens ledelsesteam, der giver feed-
back, er det særligt på baggrund af resultater for skolen og for de enkelte klasser, fx målresultater,
projektresultater, testresultater (38 %), eksterne testresultater (35 %) og overværelse af deres klas-
seundervisning (33 %).
Det fremgår desuden, at 80 % af grundskolelærerne aldrig har fået feedback på baggrund af selv-
evaluering/-vurdering af deres arbejde. 67 % har aldrig modtaget feedback på baggrund af elevers
besvarelser af spørgeskemaer om forhold relateret til lærernes undervisning, og 66 % har aldrig
modtaget feedback på baggrund af evaluering/vurdering af deres faglige viden.
Når lærerne på ungdomsuddannelserne får feedback, er det især fra skolelederen eller andre med-
lemmer af skolens ledelsesteam på baggrund af overværelse af deres klasseundervisning (51 %) og
på baggrund af elevers besvarelser af spørgeskemaer om forhold relateret til deres undervisning
(51 %). 45 % af lærerne på ungdomsuddannelser får feedback fra deres kolleger på skolen på bag-
grund af overværelse af deres klasseundervisning.
På ungdomsuddannelsesområdet angiver 79 % af lærerne, at de aldrig har modtaget feedback på
baggrund af selvevaluering/-vurdering af deres arbejde, mens 66 % angiver, at de aldrig har modta-
get feedback på baggrund af evaluering/vurdering af deres faglige viden.
Ser man nærmere på ungdomsuddannelsesområdet, angiver en større andel af lærerne på gymna-
sierne sammenlignet med lærerne på erhvervsuddannelserne, at de får feedback fra skolelederen
eller andre medlemmer af skolens ledelse på baggrund af overværelse af deres klasseundervisning.
Danmarks Evalueringsinstitut
24
BUU, Alm.del - 2019-20 - Bilag 127: OECD den internationale rapport om OECD’s Teaching and Learning International Survey (TALIS) 2018., fra børne- og undervisningsministeren
2169672_0025.png
TALIS 2018 – 2. rapport
Lærersamarbejde og feedback
Det modsatte gør sig gældende med hensyn til feedback på baggrund af evaluering/vurdering af
deres faglige viden. Her angiver en større andel af lærerne på erhvervsuddannelserne, at de får
feedback fra skolelederen eller andre medlemmer af skolens ledelsesteam sammenlignet med læ-
rerne på de gymnasiale uddannelser.
Sammenligner vi de nordiske lande internt, tegner der sig generelt et billede af, at en større andel
af de danske lærere har modtaget feedback. Det gælder fx med hensyn til feedback på baggrund af
henholdsvis overværelse af klasseundervisning og resultater for skolen og for de enkelte klasser.
Billedet er dog komplekst, og det varierer, hvor mange af de øvrige nordiske lande der placerer sig
henholdsvis over og under Danmark. I det følgende er feedback på baggrund af overværelse af
klasseundervisning og resultater for skolen og de enkelte klasser beskrevet nærmere.
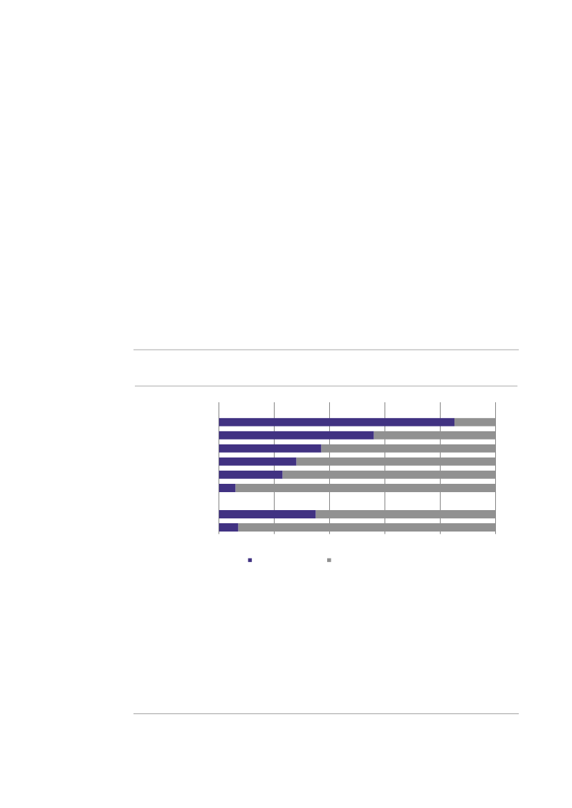
En større andel af danske lærere har modtaget feedback på baggrund af resultater
for skolen sammenlignet med de øvrige nordiske lande
Figuren nedenfor viser andelen af lærere, der har modtaget feedback på baggrund af resultater for
skolen og for de enkelte klasser.
FIGUR 3.2
Andel af lærere, der har modtaget feedback på baggrund af resultater for
skolen og for de enkelte klasser
Grundskole 7.-10. klasse
OECD
Danmark
Norge
Sverige
Island
Finland
Ungdomsuddannelser
Danmark
Sverige
0%
20 %
47
52
32
29
47
60
57
69
40 %
60 %
80 %
Kilde: Spørgeskema til lærere TALIS, 2018 (spørgsmål 29).
Note: Tal markeret med gul viser, hvilke landes besvarelser der er signifikant forskellige fra danske besvarelser ved et
signifikansniveau på 5 %.
Figuren viser, at 60 % af de danske grundskolelærere har modtaget feedback på baggrund af resul-
tater for skolen og for de enkelte klasser (fx målresultater, projektresultater, testresultater). Dan-
mark ligger her under OECD-gennemsnittet på 69 %, men over de øvrige nordiske lande. I Finland
er andelen 29 %, og i Island er den 32 %. I Sverige og Norge svarer 47 % og 57 % af lærerne, at de
har modtaget feedback på baggrund af resultater for skolen og for de enkelte klasser.
På ungdomsuddannelsesområdet er der også en større andel af danske lærere (52 %), der har
modtaget feedback på baggrund af resultater for skolen og for de enkelte klasser, sammenlignet
med svenske lærere (47 %).
Danmarks Evalueringsinstitut
25
BUU, Alm.del - 2019-20 - Bilag 127: OECD den internationale rapport om OECD’s Teaching and Learning International Survey (TALIS) 2018., fra børne- og undervisningsministeren
2169672_0026.png
TALIS 2018 – 2. rapport
Lærersamarbejde og feedback
En større andel af de danske lærere har modtaget feedback på baggrund af
overværelse af klasseundervisning sammenlignet med Finland og Island
Figuren nedenfor viser andelen af lærere, der har modtaget feedback på baggrund af overværelse
af deres klasseundervisning.
FIGUR 3.3
Andel af lærere, der har modtaget feedback på baggrund af overværelse
af deres klasseundervisning
Grundskole 7.-10. klasse
OECD
Norge
Sverige
Danmark
Island
Finland
Ungdomsuddannelser
Danmark
Sverige
0%
20 %
72
79
40
44
64
72
72
80
40 %
60 %
80 %
100 %
Kilde: Spørgeskema til lærere TALIS, 2018 (spørgsmål 29).
Note: Tal markeret med gul viser, hvilke landes besvarelser der er signifikant forskellige fra danske besvarelser ved et
signifikansniveau på 5 %.
64 % af de danske grundskolelærere angiver, at de har modtaget feedback på baggrund af overvæ-
relse af deres klasseundervisning. Danmark ligger her markant over Finland (40 %) og Island (44 %),
men også under Sverige (72 %) og Norge (72 %), ligesom Danmark ligger under OECD-gennemsnit-
tet (80 %).
På ungdomsuddannelsesområdet ligger Danmark 7 procentpoint over Sverige. 79 % af de danske
lærere og 72 % af de svenske lærere angiver således, at de har modtaget feedback på baggrund af
overværelse af deres klasseundervisning.
3.2.2
Hvilken betydning har feedback?
I TALIS spørges lærerne endvidere ind til, om den feedback, de har modtaget, har haft en positiv
indflydelse på deres undervisning. Danmark placerer sig i den forbindelse lavt sammenlignet med
de øvrige nordiske lande (bortset fra Finland) og OECD-gennemsnittet. Figuren herunder viser for-
delingen af lærernes svar.
Danmarks Evalueringsinstitut
26
BUU, Alm.del - 2019-20 - Bilag 127: OECD den internationale rapport om OECD’s Teaching and Learning International Survey (TALIS) 2018., fra børne- og undervisningsministeren
2169672_0027.png
TALIS 2018 – 2. rapport
Lærersamarbejde og feedback
FIGUR 3.4
Har noget af den feedback, du har fået, haft en positiv indflydelse på din
undervisning?
Grundskole 7.-10. klasse
OECD
Island
Norge
Sverige
Danmark
Finland
Ungdomsuddannelser
Sverige
Danmark
0%
20%
55
61
45
39
59
57
64
41
43
71
69
69
36
29
31
31
40%
Ja
Nej
60%
80%
100%
Kilde: Spørgeskema til lærere TALIS, 2018 (spørgsmål 30).
Note: I spørgsmålet spørges der ind til den feedback, lærerne har fået inden for de seneste 12 måneder.
Note: Kun lærere, der har angivet, at de har modtaget feedback på deres nuværende skole, indgår i figuren.
Note: Tal markeret med gul viser, hvilke landes besvarelser der er signifikant forskellige fra danske besvarelser ved et
signifikansniveau på 5 %.
Blandt danske grundskolelærere og ungdomsuddannelseslærere svarer henholdsvis 59 % og 55 %,
at den feedback, de har fået inden for de seneste 12 måneder, har haft en positiv betydning for de-
res undervisning. På grundskoleområdet er Danmark på niveau med Finland (57 %), mens Sverige
(64 %), Norge (69 %), Island (69 %) og OECD-gennemsnittet (71 %) ligger højere. På ungdomsud-
dannelsesområdet gentager billedet sig, ved at Sverige (61 %) placerer sig højere end Danmark.
De lærere, der angiver, at feedbacken har haft en positiv indflydelse på deres undervisning, bliver
også bedt om at vurdere, om feedbacken har ført til en positiv ændring inden for forskellige aspek-
ter af deres undervisning, herunder fx viden om og forståelse af fag og fagområder og metoder til
undervisning af elever med særlige behov.
Danmarks Evalueringsinstitut
27
BUU, Alm.del - 2019-20 - Bilag 127: OECD den internationale rapport om OECD’s Teaching and Learning International Survey (TALIS) 2018., fra børne- og undervisningsministeren
2169672_0028.png
TALIS 2018 – 2. rapport
Lærersamarbejde og feedback
FIGUR 3.5
I hvilke aspekter af lærernes undervisning har feedbacken ført til en
positiv ændring?
Pædagogiske/didaktiske kompetencer inden for undervisning
i mine fag/fagområder
Viden om og forståelse af mine fag/fagområder
Klasseledelse
Brug af elevvurderinger/-evalueringer til at styrke elevernes
læring
Metoder til undervisning af elever med særlige behov
Metoder til undervisning af elever med forskellige kulturelle
eller sproglige baggrunde
0%
Grundskole 7.-10. klasse
8
38
16
17
55
42
52
53
49
57
74
79
20 %
40 %
60 %
80 %
Ungdomsuddannelser
Kilde: Spørgeskema til lærere TALIS, 2018 (spørgsmål 31).
Note: I spørgsmålet spørges der ind til den feedback, lærerne har fået inden for de seneste 12 måneder.
Note: Kun lærere, der har angivet, at de har modtaget feedback på deres nuværende skole, og at feedbacken har haft
en positiv indflydelse på deres undervisning, indgår i figuren.
Figuren viser overordnet set, at størstedelen af lærerne vurderer, at den feedback, de har fået inden
for de seneste 12 måneder, har medført en positiv ændring inden for deres pædagogiske/didakti-
ske kompetencer. Til sammenligning er det en noget mindre andel af lærerne, som vurderer, at
feedbacken har haft en positiv betydning for deres metoder til undervisning af elever med særlige
behov og elever med forskellige kulturelle eller sproglige baggrunde.
74 % af grundskolelærerne angiver, at feedbacken har ført til en positiv ændring med hensyn til
pædagogiske/didaktiske kompetencer inden for undervisningen i deres fag/fagområder. 55 % an-
giver, at feedbacken har ført til en positiv ændring med hensyn til viden om og forståelse af fag/fag-
områder, mens 38 % angiver, at feedbacken har ført til en positiv ændring med hensyn til metoder
til undervisning af elever med særlige behov. Derudover er der 17 %, som angiver, at det har ført til
en positiv ændring med hensyn til metoder til undervisningen af elever med forskellige kulturelle
eller sproglige baggrunde.
Blandt ungdomsuddannelseslærerne angiver 79 %, at feedbacken har ført til en positiv ændring
med hensyn til pædagogiske/didaktiske kompetencer. 57 % svarer, at feedbacken har ført til en
positiv ændring angående brug af elevvurderinger/-evalueringer til at styrke elevernes læring,
mens 16 % angiver, at feedbacken har ført til en positiv ændring med hensyn til metoder til under-
visning af elever med særlige behov. Endvidere er der 8 %, som angiver, at det har ført til en positiv
ændring inden for metoder til undervisningen af elever med forskellige kulturelle eller sproglige
baggrunde.
Ser man nærmere på besvarelserne for ungdomsuddannelseslærerne, er lærerne på erhvervsud-
dannelserne mere positive end gymnasielærerne inden for flere af de områder, der er spurgt ind til.
Det gælder især med hensyn til de områder, der handler om metoder til undervisning af elever
med særlige behov, samt viden om og forståelse af fag og fagområder. Angående metoder til un-
dervisning af elever med særlige behov svarer 30 % af erhvervsuddannelseslærerne, at feedbacken
har ført til en positiv ændring, mens det til sammenligning er 12 % af gymnasielærerne. Tilsvarende
Danmarks Evalueringsinstitut
28
BUU, Alm.del - 2019-20 - Bilag 127: OECD den internationale rapport om OECD’s Teaching and Learning International Survey (TALIS) 2018., fra børne- og undervisningsministeren
2169672_0029.png
TALIS 2018 – 2. rapport
Lærersamarbejde og feedback
er det 55 % af erhvervsuddannelseslærerne, som svarer, at feedbacken har ført til en positiv æn-
dring med hensyn til viden om og forståelse af fag og fagområder, mens det er 38 % af gymnasie-
lærerne.
Hvis blikket rettes mod de øvrige nordiske landes besvarelser og OECD-gennemsnittet, er de dan-
ske grundskole- og ungdomsuddannelseslæreres besvarelser mere positive med hensyn til pæda-
gogiske/didaktiske kompetencer og mindre positive med hensyn til deres vurdering af metoder til
undervisning af elever med særlige behov. Dette er uddybet i det følgende.
En større andel af de danske lærere oplever, at feedback fører til en positiv ændring
inden for pædagogiske/didaktiske kompetencer sammenlignet med de øvrige
nordiske lande
I TALIS bliver lærerne spurgt, om den feedback, de har modtaget, har ført til en positiv ændring
med hensyn til de pædagogiske/didaktiske kompetencer inden for undervisningen i deres fag/fag-
områder. Ved dette spørgsmål placerer de danske grundskole- og ungdomsuddannelseslærere sig
i den høje ende sammenlignet med de øvrige nordiske lande.
FIGUR 3.6
Har feedbacken ført til en positiv ændring i pædagogiske/didaktiske
kompetencer inden for undervisning i dine fag/fagområder?
Grundskole 7.-10.klasse
OECD
Danmark
Sverige
Norge
Finland
Island
Ungdomsuddannelser
Danmark
Sverige
0%
20%
69
79
31
21
61
69
69
67
39
77
74
31
31
33
23
26
40%
Ja
Nej
60%
80%
100%
Kilde: Spørgeskema til lærere TALIS, 2018 (spørgsmål 31).
Note: I spørgsmålet spørges der ind til den feedback, lærerne har fået inden for de seneste 12 måneder.
Note: Kun lærere, der har angivet, at de har modtaget feedback på deres nuværende skole, og at feedbacken har haft
en positiv indflydelse på deres undervisning, indgår i figuren.
Note: Tal markeret med gul viser, hvilke landes besvarelser der er signifikant forskellige fra danske besvarelser ved et
signifikansniveau på 5 %.
Henholdsvis 74 % og 79 % af danske grundskolelærere og lærere på ungdomsuddannelserne ople-
ver, at feedbacken har ført til en positiv ændring inden for deres pædagogiske/didaktiske kompe-
tencer. På grundskoleområdet placerer de danske lærere sig over samtlige af de øvrige nordiske
lande (61-69 %), mens de placerer sig på niveau med OECD-gennemsnittet (77 %). De danske læ-
rere på ungdomsuddannelserne ligger ligeledes højere end de svenske lærere (69 %).
Danmarks Evalueringsinstitut
29
BUU, Alm.del - 2019-20 - Bilag 127: OECD den internationale rapport om OECD’s Teaching and Learning International Survey (TALIS) 2018., fra børne- og undervisningsministeren
2169672_0030.png
TALIS 2018 – 2. rapport
Lærersamarbejde og feedback
En mindre andel af de danske lærere oplever, at feedback fører til en positiv
ændring inden for metoder til undervisning af elever med særlige behov
sammenlignet med de øvrige nordiske lande
En mindre andel af de danske lærere oplever, at den feedback, de har fået inden for de sidste 12
måneder, har ført til en positiv ændring med hensyn til metoder til undervisning af elever med sær-
lige behov sammenlignet med lærerne i de øvrige nordiske lande såvel som OECD-gennemsnittet.
Dette resultat bør ses i sammenhæng med resultater fra rapporten
TALIS 2018 – 1. rapport
(EVA,
2019b), der peger på:
• At undervisning af elever med særlige behov er det område, den største andel af de danske
grundskolelærere angiver, at de i høj grad efterspørger kompetenceudvikling indenfor
• At der er sammenhæng mellem, hvor mange elever en lærer vurderer har henholdsvis særlige
behov, og hvor stort behov for kompetenceudvikling vedkommende har inden for undervisning
af elever med særlige behov
• At behovet for kompetenceudvikling inden for undervisning af elever med særlige behov er størst
blandt lærere, der underviser elever i indskolingen og på mellemtrinnet, og mindre blandt læ-
rere, der underviser i udskolingen.
FIGUR 3.7
Har feedbacken ført til en positiv ændring i metoder til undervisning af
elever med særlige behov?
Grundskole 7.-10.klasse
Sverige
OECD
Norge
Finland
Island
Danmark
Ungdomsuddannelser
Sverige
Danmark
0%
16
48
84
52
38
49
48
47
46
62
57
51
52
53
54
43
20%
40%
Ja
Nej
60%
80%
100%
Kilde: Spørgeskema til lærere TALIS, 2018 (spørgsmål 31).
Note: I spørgsmålet spørges der ind til den feedback, lærerne har fået inden for de seneste 12 måneder.
Note: Kun lærere, der har angivet, at de har modtaget feedback på deres nuværende skole, og at feedbacken har haft
en positiv indflydelse på deres undervisning, indgår i figuren.
Note: Tal markeret med gul viser, hvilke landes besvarelser der er signifikant forskellige fra danske besvarelser ved et
signifikansniveau på 5 %.
Figuren viser, at 38 % af de danske lærere på 7.-10. klassetrin angiver, at feedbacken har ført til en
positiv ændring inden for metoder til undervisning af elever med særlige behov. Ser vi på lærerne
på 0.-6. klassetrin, er andelen 47 %, mens den er på 16 % blandt ungdomsuddannelseslærerne.
Danmarks Evalueringsinstitut
30
BUU, Alm.del - 2019-20 - Bilag 127: OECD den internationale rapport om OECD’s Teaching and Learning International Survey (TALIS) 2018., fra børne- og undervisningsministeren
TALIS 2018 – 2. rapport
Lærersamarbejde og feedback
Af resultaterne fra 2013 fremgår det i forlængelse af ovennævnte, at en større andel af lærerne på
0.-6. klassetrin vurderede, at undervisning af elever med særlige behov i høj eller nogen grad blev
tillagt betydning i den feedback, de modtog, sammenlignet med lærerne på 7.-10. klassetrin og på
ungdomsuddannelsesområdet (EVA, 2014).
Både de danske grundskole- og ungdomsuddannelseslærere placerer sig noget lavere end lærerne
i de øvrige nordiske lande og OECD-gennemsnittet, med hensyn til hvorvidt feedbacken har ført til
en positiv ændring i metoder til undervisning af elever med særlige behov. I Sverige er det 67 % af
lærerne på 0.-6. klassetrin, som angiver, at feedbacken har en positiv betydning inden for dette
område. Ser vi på lærerne på 7.-10. klassetrin, ligger Sverige (57 %), Norge (48 %), Finland (47 %) og
Island (46 %) også alle højere end Danmark. De danske lærere på 7.-10. klassetrin placerer sig lige-
ledes noget lavere end OECD-gennemsnittet, som ligger på 49 %. Også på ungdomsuddannelses-
området angiver en mindre andel af de danske lærere, at feedbacken har en positiv betydning for
metoder til undervisning af elever med særlige behov, end det er tilfældet blandt svenske lærere
(48 %). Her er forskellen mellem Danmark og Sverige på 32 procentpoint.
Danmarks Evalueringsinstitut
31
BUU, Alm.del - 2019-20 - Bilag 127: OECD den internationale rapport om OECD’s Teaching and Learning International Survey (TALIS) 2018., fra børne- og undervisningsministeren
TALIS 2018 – 2. rapport
4 Skoleklima og jobtilfredshed
TALIS 2018 giver et indblik i, hvordan grundskole- og ungdomsuddannelseslærere vurderer deres
skoleklima og jobtilfredshed. I dette kapitel præsenteres først resultaterne vedrørende læreres vur-
dering af skoleklimaet på deres skole, herunder fx den overordnede kultur på skolen og relationen
mellem lærere og elever. Derefter præsenteres resultaterne vedrørende lærernes jobtilfredshed,
herunder fx jobbets fysiske og psykiske indvirkninger på læreren, kilder til stress på jobbet, samt
oplevelsen af respekt for lærerprofessionen i samfundet.
I den udstrækning det er muligt, sammenholdes lærernes besvarelser fra 2013 og 2018. Dette er til-
fældet for alle spørgsmål med hensyn til skoleklima samt ved det spørgsmål, der handler om læ-
rernes overordnede opfattelse af arbejdet som lærer. Herudover sammenlignes der med besvarel-
ser fra de øvrige nordiske lande og med gennemsnittet for OECD-landene.
Resultaterne i dette kapitel skal forstås i sammenhæng med de forskellige indsatser, reformer og
lignende, der er gennemført på uddannelsesområdet. For forståelsen af resultaterne i dette kapitel
kan følgende forhold være relevante:
• På ungdomsuddannelsesområdet er der indført besparelser i form af et omprioriteringsbidrag
siden TALIS 2013. Omprioriteringsbidraget blev indført i 2016 og består i, at den enkelte uddan-
nelsesinstitution hvert år skal reducere i deres budget med to procent. Det er forskelligt, hvordan
besparelser er gennemført på den enkelte institution, men det kan ikke udelukkes, at det har på-
virket såvel skoleklima som lærernes jobtilfredshed. Omprioriteringsbidraget blev ophævet i
2020.
• På både grundskole- og ungdomsuddannelsesområdet er der kommet nye arbejdstidsregler for
lærerne siden TALIS 2013. I august 2013 fik gymnasielærerne nye arbejdstidsregler, mens grund-
skole- og erhvervsuddannelseslærerne fik nye arbejdstidsregler i august 2014. Fælles for de tre
arbejdstidsregler er, at ledelsen har fået udvidet ledelsesrummet til i højere grad at kunne priori-
tere lærernes opgaver inden for den fastlagte arbejdstid. Lærernes arbejdstid er ved fuldtidsbe-
skæftigelse i gennemsnit 37 timer pr. uge, men arbejdstiden beregnes for en normperiode på et
år, og derfor kan timerne i praksis være ujævnt fordelt over året. Særligt for grundskoleområdet
betyder rammerne for arbejdstiden, at lærerne som udgangspunkt skal lægge deres arbejdstid
på skolen i dagtimerne og på hverdage, men loven giver samtidig mulighed for lokale aftaler,
hvor man kan supplere eller fravige bestemmelser.
• På gymnasieområdet trådte der i 2017 en reform i kraft, som bl.a. indebærer, at skolerne skal im-
plementere et nyt grundforløb, hvor eleverne skifter fra grundforløbsklasse til studieretnings-
klasse efter tre måneder. Det påvirker lærernes skemaer og arbejdsbelastning i løbet af året, lige-
som det har en betydning for lærersamarbejdet. Fx skal faggrupperne samarbejde om at ensarte
undervisningen på tværs af grundforløbsklasser. For mere viden om det nye grundforløb henvi-
ses til rapporten
Gymnasiereformen følgeforskningsprogram 3. delrapport
(EVA, 2018).
Danmarks Evalueringsinstitut
32
BUU, Alm.del - 2019-20 - Bilag 127: OECD den internationale rapport om OECD’s Teaching and Learning International Survey (TALIS) 2018., fra børne- og undervisningsministeren
2169672_0033.png
TALIS 2018 – 2. rapport
Skoleklima og jobtilfredshed
Derudover kan der være yderligere, nationale forhold af betydning, ligesom der kan være forhold i
andre lande, som kan være relevante at inddrage i det videre arbejde med undersøgelsens resulta-
ter. Endvidere kan der være foretaget undersøgelser, som ikke refereres i denne rapport, som kan
være med til at kontekstualisere undersøgelsens resultater
2
.
Skoleklima
85 % af de danske grundskolelærere og 81 % af ungdomsuddannelseslærerne er meget enige
eller enige i, at skolen har en samarbejdskultur kendetegnet ved gensidig støtte. På grund-
skoleområdet er der sket en stigning fra 82 % til 85 % siden 2013, mens der på ungdomsud-
dannelsesområdet er sket en stigning fra 72 % til 81 %. På grundskoleområdet ligger Dan-
mark i den forbindelse over Finland (79 %) og Sverige (80 %), mens Danmark er på niveau
med Island (86 %) og under Norge (95 %). På ungdomsuddannelsesområdet ligger Danmark
ligeledes over Sverige (77 %).
64 % af de danske grundskolelærere er meget enige eller enige i, at eleverne har mulighed for
aktivt at bidrage til de beslutninger, der træffes vedrørende skolen. Dette er en mindre andel
end i de øvrige nordiske lande (9-20 procentpoint under), ligesom Danmark ligger under
OECD-gennemsnittet (7 procentpoint under). Samtidig ses en positiv udvikling, da en større
andel af de danske grundskolelærere oplever, at eleverne har mulighed for bidrage til beslut-
ningerne, end det var tilfældet i 2013 (fra 56 % til 64 %). Det er endvidere fælles for grund-
skole- og ungdomsuddannelsesområdet, at Danmark ligger under flere af de øvrige nordiske
lande med hensyn til inddragelsen af henholdsvis medarbejdere og forældre.
99 % af de danske lærere oplever i høj eller nogen grad, at lærere og elever kommer godt ud
af det med hinanden. Ser man på de øvrige nordiske lande, ligger de på niveau med Danmark
(97-99 %).
76 % af de danske grundskolelærere angiver, at deres skole sikrer ekstra støtte til en elev,
hvis der er behov for det. Dette er lavere (8-21 procentpoint) end for de øvrige nordiske lande
samt OECD-gennemsnittet, med undtagelse af de svenske lærere, der ligger på niveau med
Danmark.
Jobtilfredshed
54 % af de danske grundskolelærere oplever i høj eller nogen grad stress i deres arbejde, hvil-
ket er en større andel end i de øvrige nordiske lande (9-11 procentpoint højere), med undta-
gelse af Island, der ligger på niveau med Danmark. Danmark ligger endvidere over gennem-
snittet for OECD-landene (5 procentpoint højere). Blandt ungdomsuddannelseslærerne er
det 59 %, der oplever stress i arbejdet, hvilket er 17 procentpoint mere end i Sverige.
Ser man på, hvilke kilder der ifølge lærerne forårsager stress i arbejdet, er det for meget un-
dervisning at forberede (61 % af grundskolelærerne og 59 % af ungdomsuddannelseslæ-
rerne) og for mange undervisningstimer (58 % af grundskolelærerne og 55 % af ungdomsud-
2 Når der i rapporten henvises til grundskolen, grundskolelærere eller grundskoleledere, menes der resultater for grundskolens 7.-10.
klasse. De steder, hvor der er interessante forskelle mellem grundskolens 0.-6. klasse og grundskolens 7.-10. klasse, vil de to niveau-
ers resultater eksplicit fremgå.
Danmarks Evalueringsinstitut
33
BUU, Alm.del - 2019-20 - Bilag 127: OECD den internationale rapport om OECD’s Teaching and Learning International Survey (TALIS) 2018., fra børne- og undervisningsministeren
2169672_0034.png
TALIS 2018 – 2. rapport
Skoleklima og jobtilfredshed
dannelseslærerne). 60 % af ungdomsuddannelseslærerne angiver desuden, at for meget ret-
tearbejde/opgaveevaluering er en kilde til stress, mens det samme er tilfældet for 53 % af læ-
rerne på grundskoleområdet.
31% af de danske grundskolelærere angiver, at deres job har en negativ indvirkning på deres
mentale helbred, hvilket ligeledes er en større andel end i de øvrige nordiske lande samt
OECD-gennemsnittet (7-21 procentpoint højere). Blandt ungdomsuddannelseslærerne er det
32 %, der oplever, at deres job har en negativ indvirkning på helbredet, hvilket er 10 procent-
point mere end i Sverige. Det ses endvidere, at erhvervsuddannelseslærerne (39 %) i højere
grad end gymnasielærerne (31 %) oplever, at jobbet har en negativ indvirkning på helbredet.
83 % af de danske grundskolelærere angiver samtidig, at deres job efterlader tid til deres pri-
vatliv, hvilket er markant højere end i de øvrige nordiske lande samt OECD-gennemsnittet
(14-59 procentpoint højere). Blandt ungdomsuddannelseslærere er det 76 % af de danske læ-
rere, der oplever dette, hvilket er 30 procentpoint mere end i Sverige.
18 % af de danske grundskolelærere oplever, at lærerjobbet er respekteret i samfundet.
Dette er en mindre andel af lærerne sammenlignet med Finland og Norge (henholdsvis 40 og
17 procentpoint lavere). Blandt ungdomsuddannelseslærerne er billedet modsat, idet 38 %
af de danske lærere oplever, at lærerjobbet er respekteret i samfundet, mens det er 14 % af
de svenske lærere, der angiver dette. Andelen af danske lærere, som oplever, at lærerjobbet
er respekteret i samfundet, ligger på samme niveau som i 2013.
4.1 Skoleklima
I TALIS 2018 bliver lærerne bedt om at vurdere, i hvilken grad de er enige i en række udsagn, der
alle relaterer sig til skoleklimaet på den skole, de arbejder på. De forskellige udsagn om skolekli-
maet dækker over forhold såsom kvaliteten af hverdagslivet på skolen, fx uro og fravær, den over-
ordnede kultur på skolen såvel som relationer lærere og elever imellem.
I første del af afsnittet om skoleklimaet fokuseres på lærernes opfattelse af den samarbejdskultur
og det arbejdsfællesskab, der er på skolen. I anden del af afsnittet fokuseres på relationer både
mellem lærere og elever samt lærerne imellem.
4.1.1
Hvordan vurderer lærerne miljøet på skolen?
I TALIS 2018 er lærerne blevet spurgt, i hvilken grad de er enige i en række udsagn om skoleklimaet
på den skole, de arbejder på. Svarfordelingen fremgår af figuren nedenfor.
Danmarks Evalueringsinstitut
34
BUU, Alm.del - 2019-20 - Bilag 127: OECD den internationale rapport om OECD’s Teaching and Learning International Survey (TALIS) 2018., fra børne- og undervisningsministeren
2169672_0035.png
TALIS 2018 – 2. rapport
Skoleklima og jobtilfredshed
FIGUR 4.1
Andel af lærere, der er meget enige eller enige i nedenstående udsagn om
miljøet på deres skole
Grundskole 7.-10. klasse
Skolen har en samarbejdskultur kendetegnet ved gensidig
støtte
Skolen har en kultur, hvor der er fælles ansvarlighed for
skolens anliggender
Skolen opfordrer medarbejderne til at igangsætte nye
initiativer
Skolen involverer medarbejdere i de beslutninger, der
træffes vedrørende skolen
Skolens medarbejdere har en fælles opfattelse af
undervisning og læring
Skolen giver forældre mulighed for aktivt at bidrage til de
beslutninger, der træffes vedrørende skolen
Skolen giver eleverne mulighed for aktivt at bidrage til de
beslutninger, der træffes vedrørende skolen
Skolens medarbejdere håndhæver konsekvent de samme
regler for elevadfærd
0%
47
56
85
82
81
77
80
75
73
68
67
66
64
20 %
40 %
60 %
80 %
Ungdomsuddannelser
Skolen opfordrer medarbejderne til at igangsætte nye
initiativer
Skolen har en samarbejdskultur kendetegnet ved gensidig
støtte
Skolen har en kultur, hvor der er fælles ansvarlighed for
skolens anliggender
Skolen giver eleverne mulighed for aktivt at bidrage til de
beslutninger, der træffes vedrørende skolen
Skolen involverer medarbejderne i de beslutninger, der
træffes vedrørende skolen
Skolens medarbejdere har en fælles opfattelse af
undervisning og læring
Skolens medarbejdere håndhæver konsekvent de samme
regler for elevadfærd
Skolen giver forældre mulighed for aktivt at bidrage til de
beslutninger, der træffes vedrørende skolen
0%
2018
17
15
35
57
65
56
65
72
74
68
69
82
81
20 %
2013
40 %
60 %
80 %
Kilde: Spørgeskema til lærerne TALIS, 2013 og 2018 (spørgsmål 44, 48).
Note: Tre udsagn var ikke med ved TALIS 2013 og fremgår derfor ikke af figuren.
Note: Tal markeret med gul viser, at der er sket en signifikant ændring fra 2013 til 2018 ved et signifikansniveau på 5 %.
Figuren viser, at 85 % grundskolelærerne er meget enige eller enige i, at skolen har en samarbejds-
kultur kendetegnet ved gensidig støtte. Det samme gør sig gældende for 81 % af lærerne vedrø-
rende udsagnet om, at der er en kultur, hvor der er fælles ansvarlighed for skolens anliggender. På
ungdomsuddannelsesområdet er det 81% af lærerne, som er meget enige eller enige i, at skolen
har en samarbejdskultur kendetegnet ved gensidig støtte, mens 74% af lærerne oplever, at skolen
har en kultur, hvor der er fælles ansvarlighed for skolens anliggender.
Danmarks Evalueringsinstitut
35
BUU, Alm.del - 2019-20 - Bilag 127: OECD den internationale rapport om OECD’s Teaching and Learning International Survey (TALIS) 2018., fra børne- og undervisningsministeren
TALIS 2018 – 2. rapport
Skoleklima og jobtilfredshed
Sammenligner vi, hvordan henholdsvis gymnasie- og erhvervsuddannelseslærerne har svaret, er
erhvervsuddannelseslærernes besvarelser mindre positive end gymnasielærernes. Det gælder
blandt andet med hensyn til udsagnene om, at skolen har en kultur, hvor der er fælles ansvarlighed
for skolens anliggender, hvorvidt skolen involverer medarbejderne i de beslutninger, der træffes
vedrørende skolen, samt om skolen giver eleverne mulighed for aktivt at bidrage til disse beslut-
ninger.
Konkret er det med hensyn til oplevelsen af fælles ansvarlighed 46 % af erhvervsuddannelseslæ-
rerne og 69 % af gymnasielærerne, der angiver, at de er meget enige eller enige. Angående hvorvidt
medarbejderne involveres, er det 46 % af erhvervsuddannelseslærerne, som er meget enige eller
enige, mens det er 69 % blandt gymnasielærerne. Med hensyn til elevernes mulighed for aktivt at
bidrage til de beslutninger, der træffes vedrørende skolen, er det 46 % af erhvervsuddannelseslæ-
rerne, som er meget enige eller enige, mens det er 75 % af gymnasielærerne.
Ser man på resultaterne fra 2013, er der flere positive udviklinger at fremhæve:
På grundskoleområdet er der fx sket en stigning fra 82 % til 85 % med hensyn til andelen af lærere,
som er meget enige eller enige i, at samarbejdskulturen er kendetegnet ved gensidig støtte, mens
der på ungdomsuddannelsesområdet er sket en stigning fra 72 % til 81 %.
Herudover er det væsentligt at fremhæve, at der er sket en udvikling med hensyn til elevernes ind-
flydelse på beslutninger vedrørende skolen, hvor der ses en stigning på 8 procentpoint (fra 56 % til
64 %) på grundskoleområdet og 12 procentpoint (fra 57 % til 69 %) på ungdomsuddannelsesområ-
det fra 2013 til 2018.
Sammenligner man på tværs af de nordiske lande samt med OECD-gennemsnittet, er det et blan-
det billede, der tegner sig med hensyn til lærernes vurdering af skoleklimaet:
På den ene side ligger Danmark højt med hensyn til lærernes opfattelse af henholdsvis gensidig
støtte (85 % og 81 %) og fælles ansvarlighed for skolens anliggender (81 % og 74 %). Angående den
gensidige støtte er det fx kun Norge (95 %), der ligger over Danmark, mens Finland (79 %) og Sve-
rige ligger under (80 %). Island ligger med 86 % på niveau med Danmark. På ungdomsuddannel-
sesområdet ligger Danmark ligeledes over Sverige (77 %).
På den anden side ligger Danmark lavt, med hensyn til hvorvidt skolen involverer henholdsvis
medarbejdere, forældre og elever i de beslutninger, der træffes vedrørende skolen. Det samme
gælder, med hensyn til hvorvidt skolens medarbejdere har en fælles opfattelse af undervisning og
læring, samt om skolens medarbejdere håndhæver de samme regler for elevadfærd.
I det følgende belyses resultaterne vedrørende skolernes involvering af henholdsvis medarbejdere,
forældre og elever i forbindelse med de forskellige i beslutninger, der træffes vedrørende skolen.
En mindre andel af de danske lærere angiver, at medarbejdere, forældre og elever
involveres sammenlignet med flere af de øvrige nordiske lande
Ser man nærmere på besvarelserne vedrørende de udsagn, der handler om involvering af medar-
bejdere, elever og forældre, tegner sig et entydigt billede af, at de danske lærere ligger lavt sam-
menlignet med de øvrige nordiske lande.
Danmarks Evalueringsinstitut
36
BUU, Alm.del - 2019-20 - Bilag 127: OECD den internationale rapport om OECD’s Teaching and Learning International Survey (TALIS) 2018., fra børne- og undervisningsministeren
2169672_0037.png
TALIS 2018 – 2. rapport
Skoleklima og jobtilfredshed
FIGUR 4.2
Hvem involveres i beslutninger, der træffes vedrørende skolen?
Grundskole 7.-10. klasse
Elever
Norge
Finland
Sverige
Island
OECD
Danmark
Forældre
Norge
OECD
Island
Finland
Danmark
Sverige
Medarbejdere
Norge
Island
Sverige
OECD
Finland
Danmark
0%
20%
80
79
77
77
75
86
20
21
23
23
25
14
67
67
65
77
76
33
33
35
83
23
24
17
64
71
36
73
78
77
84
22
23
27
29
16
40%
60%
80%
100%
Ungdomsuddannelser
Elever
Sverige
Danmark
Forældre
Sverige
Danmark
Medarbejdere
Sverige
Danmark
0%
20%
72
69
28
31
37
17
83
63
71
65
35
29
40%
Enig eller meget enig
60%
Uenig eller meget uenig
80%
100%
Kilde: Spørgeskema til lærerne TALIS, 2018 (spørgsmål 48).
Note: Tal markeret med gul viser, hvilke landes besvarelser der er signifikant forskellige fra danske besvarelser ved et
signifikansniveau på 5 %.
75 % af de danske grundskolelærere er meget enige eller enige i, at medarbejdere involveres i de
beslutninger, der træffes vedrørende skolen. Dette er en lavere andel end i både Norge (86 %), Is-
land (80 %) og Sverige (79 %). Finland (77 %) ligger, som det eneste nordiske land, på niveau med
Danmark. OECD-gennemsnittet (77 %) ligger ligeledes på niveau med Danmark. På ungdomsud-
dannelsesområdet er det 65 % af de danske lærere, som er meget enige eller enige i, at de involve-
res, mens det er 71 % af de svenske lærere, som oplever dette.
Danmarks Evalueringsinstitut
37
BUU, Alm.del - 2019-20 - Bilag 127: OECD den internationale rapport om OECD’s Teaching and Learning International Survey (TALIS) 2018., fra børne- og undervisningsministeren
2169672_0038.png
TALIS 2018 – 2. rapport
Skoleklima og jobtilfredshed
Ser man på forældrenes mulighed for aktivt at bidrage til de beslutninger, der træffes vedrørende
skolen, angiver 67 % af de danske grundskolelærere, at de er meget enige eller enige i, at foræl-
drene har mulighed for dette. Danmark ligger her under både Norge (83 %), Island (76 %) og OECD-
gennemsnittet (77 %), mens Finland (67 %) og Sverige (65 %) ligger på samme niveau som Dan-
mark. På ungdomsuddannelsesområdet er det 17 % af de danske lærere, som oplever, at forældre
har mulighed for aktivt at bidrage til beslutningerne, hvilket er 20 procentpoint under Sverige, hvor
det er 37 % af lærerne, som angiver, at forældrene har mulighed for dette.
Den største forskel ses dog, med hensyn til hvorvidt skolen giver eleverne mulighed for aktivt at bi-
drage til de beslutninger, der træffes vedrørende skolen. Her er det 64 % af de danske grundskole-
lærere, som angiver, at de er meget enige eller enige i, at eleverne får mulighed for dette, hvilket er
lavere end i samtlige af de øvrige nordiske lande (Norge 84 %, Finland 78 %, Sverige 77 % og Island
73 %) og OECD-gennemsnittet (71 %). På ungdomsuddannelsesområdet ligger Danmark på niveau
med Sverige.
4.1.2
Hvordan vurderer lærerne deres relationer?
I forlængelse af spørgsmålene om skoleklimaet er lærerne blevet bedt om at tage stilling til en
række udsagn, der relaterer sig til relationen mellem lærere og elever, støtten fra skolen til elever
samt relationen lærerne imellem. Det skal bemærkes, at relationen mellem lærere og elever ude-
lukkende er set ud fra lærernes perspektiv, hvorfor vi ikke kan udtale os om, hvorledes relationen
ser ud fra elevernes perspektiv.
FIGUR 4.3
Andel af lærere, der er meget enige eller enige i følgende udsagn om
relationen mellem lærere og elever
Lærere og elever kommer normalt godt ud af det med
hinanden
De fleste lærere mener, at det er vigtigt, at eleverne trives
De fleste lærere er interesserede i, hvad eleverne mener
Lærerne kan stole på hinanden
Skolen sikrer ekstra støtte, hvis en elev har behov for det
0%
Grundskole 7.-10. klasse
20 %
76
94
99
99
99
99
96
97
92
94
40 %
60 %
80 %
100 %
Ungdomsuddannelser
Kilde: Spørgeskema til lærerne TALIS, 2018 (spørgsmål 49).
Figuren viser, at de danske lærere er mest enige i de udsagn, der handler om, at lærere og elever
kommer godt ud af det med hinanden. Ser man på grundskolelærerne, er det 99 %, som har svaret,
at de fleste lærere mener, at det er vigtigt, at eleverne trives. 96 % har svaret, at de fleste lærere er
interesserede i, hvad eleverne mener. De danske grundskolelærere er mindst enige i, at skolen sik-
rer ekstra støtte, hvis en elev har behov for det (76 %).
Danmarks Evalueringsinstitut
38
BUU, Alm.del - 2019-20 - Bilag 127: OECD den internationale rapport om OECD’s Teaching and Learning International Survey (TALIS) 2018., fra børne- og undervisningsministeren
2169672_0039.png
TALIS 2018 – 2. rapport
Skoleklima og jobtilfredshed
Tilsvarende billede ses blandt lærerne på ungdomsuddannelserne, hvor 99 % angiver, at lærere og
elever normalt kommer godt ud af det med hinanden. Det er ligeledes 99 %, som angiver, at de fle-
ste lærere mener, at det er vigtigt, at eleverne trives, mens 97 % angiver, at de fleste lærere er inte-
resserede i, hvad eleverne mener. Blandt ungdomsuddannelseslærerne er det ligeledes udsagnet
om, at skolen sikrer ekstra støtte, hvis en elev har behov for det, der ligger lavest (94 %). Dog adskil-
ler ungdomsuddannelseslærerne sig ved at ligge 15 procentpoint højere end grundskolelærerne
(79 % og 94 %).
Herudover tegner der sig et billede af, at erhvervsuddannelseslærerne er mindre positive end gym-
nasielærerne ved de fleste udsagn vedrørende lærer-elev-relationen. Dette gør sig fx gældende ved
udsagnet om, at de fleste lærere er interesserede i, hvad eleverne mener, hvor erhvervsuddannel-
seslærerne (93 %) ligger 5 procentpoint lavere end gymnasielærerne (98 %), samt ved udsagnet
om, at skolen sikrer ekstra støtte, hvis en elev har behov for det. Her ligger erhvervsuddannelseslæ-
rerne på 88 %, mens gymnasielærerne ligger på 95 %. Ser man på, hvorvidt lærerne oplever at
kunne stole på hinanden, er det blandt erhvervsuddannelseslærerne 87 %, mens 96 % af gymna-
sielærerne er meget enige eller enige i dette udsagn.
Ser man på resultaterne for de øvrige nordiske lande (fra 97 % til 99 %), ligger de på begge uddan-
nelsesområder på niveau med Danmark (99 %) med hensyn til lærernes vurdering af, om lærere og
elever kommer godt ud af det med hinanden. På ungdomsuddannelsesområdet ligger de danske
lærere (94 %) højere end de svenske lærere (85 %) ved udsagnet om, at skolen sikrer ekstra støtte
til de elever, der har behov for det. På grundskoleområdet ligger Danmark imidlertid på niveau
med Sverige, og under de øvrige nordiske lande såvel som OECD-gennemsnittet. Grundskoleresul-
taterne er beskrevet nærmere i det følgende.
Danske grundskolelærere vurderer i mindre grad, at deres skole sikrer ekstra støtte,
hvis en elev har behov for det, sammenlignet med flere af de øvrige nordiske lande
Nedenstående figur viser, i hvilken grad grundskolelærere på 7.-10. klassetrin for de øvrige nordiske
lande samt OECD-gennemsnittet oplever, at deres skole sikrer ekstra støtte, hvis en elev har behov
for det.
FIGUR 4.4
Andel af lærere, der er meget enige eller enige i, at deres skole sikrer
ekstra støtte, hvis en elev har behov for det
Finland
OECD
Norge
Island
Sverige
Danmark
0%
20 %
77
76
87
84
92
97
40 %
60 %
80 %
100 %
Kilde: Spørgeskema til lærere TALIS, 2018 (Spørgsmål 49).
Note: Tabellen viser svar fra lærere i 7.-10. klasse.
Note: Tal markeret med gul viser, hvilke landes besvarelser der er signifikant forskellige fra danske besvarelser ved et
signifikansniveau på 5 %.
Danmarks Evalueringsinstitut
39
BUU, Alm.del - 2019-20 - Bilag 127: OECD den internationale rapport om OECD’s Teaching and Learning International Survey (TALIS) 2018., fra børne- og undervisningsministeren
2169672_0040.png
TALIS 2018 – 2. rapport
Skoleklima og jobtilfredshed
76 % af de danske grundskolelærere på 7.-10.klassetrin angiver, at skolen sikrer ekstra støtte, hvis
en elev har behov for det. Dette er lavere end i Finland (97 %), Norge (87 %) og Island (84 %). Sve-
rige (77 %) ligger på niveau med Danmark. Gennemsnittet for OECD-landene (92 %) ligger ligeledes
højere end de danske læreres vurdering af udsagnet.
Ovennævnte resultat relaterer sig i øvrigt til lærernes behov for kompetenceudvikling, som er be-
skrevet i den første nationale rapport. Det fremgår således af den første rapport, at 19 % af grund-
skolelærerne og 9 % af ungdomsuddannelseslærerne i høj grad er enige i, at de oplever et behov
for kompetenceudvikling inden for undervisning af elever med særlige behov (EVA, 2019b).
I det følgende ser vi nærmere på de spørgsmål i TALIS, der handler om lærernes jobtilfredshed.
4.2 Lærernes jobtilfredshed
I TALIS 2018 er lærerne blevet stillet over for en række udsagn om personlige påvirkninger såsom
stress og indvirkning på fysisk/mentalt helbred. Der spørges desuden til, hvilke kilder der forårsager
disse påvirkninger. Slutteligt bliver lærerne bedt om at tage stilling til en række udsagn om, hvor-
dan de generelt set har det med deres job.
4.2.1
Hvordan oplever lærerne stress og fysiske/psykiske påvirkninger?
Figuren viser andelen af grundskole- og ungdomsuddannelseslærere, der oplever en række fysiske
såvel som psykiske påvirkninger i deres arbejde.
FIGUR 4.5
Andel af lærere, der oplever følgende påvirkninger i deres arbejde
Grundskole 7.-10. klasse
Mit job efterlader tid til mit privatliv
Jeg oplever stress i mit arbejde
Mit job har negativ indvirkning på mit mentale helbred
Mit job har negativ indvirkning på mit fysiske helbred
Ungdomsuddannelser
Mit job efterlader tid til mit privatliv
Jeg oplever stress i mit arbejde
Mit job har negativ indvirkning på mit mentale helbred
Mit job har negativ indvirkning på mit fysiske helbred
0%
I høj eller nogen grad
17
32
83
59
68
76
41
24
19
31
81
54
69
83
46
17
20%
40%
60%
80%
100%
I mindre grad eller slet ikke
Kilde: Spørgeskema til lærerne TALIS, 2018 (spørgsmål 51).
Figuren viser, at mere end halvdelen af de danske grundskolelærere på 7.-10. klassetrin oplever, at
de i høj eller nogen grad oplever stress i deres arbejde (54 %). For lærere, der underviser på 0.-6.
klassetrin, er andelen større, nemlig 62 %, mens den for ungdomsuddannelseslærere er på 59 %.
Ser man på, hvorvidt lærerne oplever, at deres job har en negativ indvirkning på deres mentale hel-
bred, er det 38 % af de danske lærere på 0.-6. klassetrin, som angiver, at dette er tilfældet. Blandt
Danmarks Evalueringsinstitut
40
BUU, Alm.del - 2019-20 - Bilag 127: OECD den internationale rapport om OECD’s Teaching and Learning International Survey (TALIS) 2018., fra børne- og undervisningsministeren
2169672_0041.png
TALIS 2018 – 2. rapport
Skoleklima og jobtilfredshed
lærere på 7.-10. klassetrin er det 31 %, og blandt ungdomsuddannelseslærere 32 %. Med hensyn til
det fysiske helbred er andelen størst, når det gælder lærere på 0.-6. klassetrin (22 %) sammenlignet
med lærere på 7.-10. klassetrin (19 %). Endelig skal det nævnes, at 83 % af grundskolelærerne ople-
ver, at jobbet efterlader tid til privatlivet, mens det er 76 % af lærerne på ungdomsuddannelsesom-
rådet.
I forlængelse heraf ses en forskel mellem gymnasielærere og erhvervsuddannelseslærere, hvor
31 % af gymnasielærere og 39 % af erhvervsuddannelseslærerne oplever, at deres job har en nega-
tiv indvirkning på deres mentale helbred. For det fysiske helbred og oplevelsen af stress ses imid-
lertid ingen forskel mellem de to lærergrupper.
Oplevelsen af stress og påvirkning af mentalt helbred blandt de danske grundskolelærere er yder-
mere højt, når man sammenligner med resultaterne fra lærerne i de øvrige nordiske lande. I den
forbindelse skal det bemærkes, at stress ikke er defineret i TALIS, og at der kan være betydelige for-
skelle i forståelsen af stress blandt lærerne både nationalt og internationalt.
En større andel af de danske lærere oplever stress i deres arbejde og påvirkning af
deres mentale helbred sammenlignet med flere af de øvrige nordiske lande
Nedenstående figur viser andelen af grundskole- og ungdomsuddannelseslærere, der oplever
stress i deres arbejde.
FIGUR 4.6
Andel af lærere, der oplever stress i deres arbejde
Grundskole 7.-10. klasse
Island
Danmark
OECD
Sverige
Finland
Norge
Ungdomsuddannelser
Danmark
Sverige
0%
42
59
58
41
49
45
43
43
55
54
51
55
57
57
45
46
20%
I høj eller nogen grad
40%
60%
80%
100%
I mindre grad eller slet ikke
Kilde: Spørgeskema til lærerne TALIS, 2018 (spørgsmål 51).
Note: Tal markeret med gul viser, hvilke landes besvarelser der er signifikant forskellige fra danske besvarelser ved et
signifikansniveau på 5 %.
Som ovenfor nævnt ligger de danske grundskolelærere højt (54 %) med hensyn til oplevelsen af
stress i arbejdet sammenlignet med Sverige (45 %), Finland (43 %), Norge (43 %) og OECD-gennem-
snittet (49 %). Island (55 %) ligger som det eneste land på niveau med Danmark. Samme tendens
ses blandt ungdomsuddannelseslærerne, hvor 59 % af de danske lærere angiver, at de i høj eller
nogen grad oplever stress i deres arbejde, mens det er 42 % af de svenske lærere. Der ses ikke no-
gen forskel på oplevelsen af stress i arbejdet mellem erhvervsuddannelseslærere og gymnasielæ-
rere.
Danmarks Evalueringsinstitut
41
BUU, Alm.del - 2019-20 - Bilag 127: OECD den internationale rapport om OECD’s Teaching and Learning International Survey (TALIS) 2018., fra børne- og undervisningsministeren
2169672_0042.png
TALIS 2018 – 2. rapport
Skoleklima og jobtilfredshed
Tilsvarende billede tegner sig, med hensyn til om jobbet har en negativ indvirkning på lærernes
mentale helbred, hvor de danske lærere ligeledes angiver, at de i højere grad oplever en negativ
indvirkning, end det er tilfældet i de øvrige nordiske lande.
FIGUR 4.7
Andel af lærere, der oplever, at deres job har en negativ indvirkning på
deres mentale helbred
Grundskole 7.-10. klasse
Danmark
Sverige
OECD
Island
Finland
Norge
Ungdomsuddannelser
Danmark
Sverige
0%
22
32
78
68
13
10
24
24
23
87
90
31
76
76
77
69
20%
I høj eller nogen grad
40%
60%
80%
100%
I mindre grad eller slet ikke
Kilde: Spørgeskema til lærere TALIS, 2018 (spørgsmål 51).
Note: Tal markeret med gul viser, hvilke landes besvarelser der er signifikant forskellige fra danske besvarelser ved et
signifikansniveau på 5 %.
Figuren viser, at 31 % af de danske lærere i høj eller nogen grad oplever, at deres job har en negativ
indvirkning på deres mentale helbred, mens det til sammenligning er 24 % af de svenske lærere,
23 % af de islandske, 13 % af de finske og 10 % af de norske lærere.
Samtidig med at de danske lærere oplever stress i arbejdet og en negativ indvirkning på deres
mentale helbred, adskiller de sig også fra de andre lande med hensyn til deres oplevelse af, om
jobbet efterlader tid til deres privatliv. Dette er beskrevet nærmere i det følgende.
Danske lærere oplever i højere grad, at deres job efterlader tid til deres privatliv
sammenlignet med de øvrige nordiske lande
De danske lærere ligger over samtlige øvrige nordiske lande med hensyn til deres vurdering af, om
jobbet efterlader tid til privatlivet.
Danmarks Evalueringsinstitut
42
BUU, Alm.del - 2019-20 - Bilag 127: OECD den internationale rapport om OECD’s Teaching and Learning International Survey (TALIS) 2018., fra børne- og undervisningsministeren
2169672_0043.png
TALIS 2018 – 2. rapport
Skoleklima og jobtilfredshed
FIGUR 4.8
Andel af lærere, der oplever, at deres job efterlader tid til deres privatliv
Grundskole 7.-10. klasse
Danmark
Norge
Finland
OECD
Sverige
Island
Ungdomsuddannelser
Danmark
Sverige
0%
46
76
54
24
24
48
45
76
55
52
55
69
45
83
31
17
20%
I høj eller nogen grad
40%
60%
80%
100%
I mindre grad eller slet ikke
Kilde: Spørgeskema til lærere TALIS, 2018 (spørgsmål 51).
Note: Tal markeret med gul viser, hvilke landes besvarelser der er signifikant forskellige fra danske besvarelser ved et
signifikansniveau på 5 %.
83 % af de danske grundskolelærere oplever i høj eller nogen grad, at jobbet efterlader tid til pri-
vatlivet. Til sammenligning er det 69 % af de norske, 55 % af de finske, 45 % af de svenske og 24 %
af de islandske lærere, der oplever dette. OECD-gennemsnittet ligger med 48 % ligeledes under re-
sultatet for Danmark. Blandt ungdomsuddannelseslærerne er det 76 % af de danske lærere og
46 % af de svenske lærere, der oplever, at deres job efterlader tid til privatlivet.
4.2.2
Hvilke kilder til stress oplever lærerne?
I TALIS 2018 bedes lærerne forholde sig til en række potentielle kilder til stress i arbejdet.
Danmarks Evalueringsinstitut
43
BUU, Alm.del - 2019-20 - Bilag 127: OECD den internationale rapport om OECD’s Teaching and Learning International Survey (TALIS) 2018., fra børne- og undervisningsministeren
2169672_0044.png
TALIS 2018 – 2. rapport
Skoleklima og jobtilfredshed
FIGUR 4.9
Andel af lærere, der i høj eller nogen grad angiver, at nedenstående er
kilder til stress i deres arbejde
61
59
58
55
53
60
50
39
49
37
47
17
38
4
33
22
28
25
27
18
9
4
For meget undervisning at forberede
For mange undervisningstimer
For meget rettearbejde/opgaveevaluering
For meget administrativt arbejde (fx udfyldning af
formularer)
At holde mig opdateret med hensyn til ændrede krav fra
kommunale eller statslige myndigheder
Tilpasning af undervisningen til elever med særlige behov
At tage mig af henvendelser fra forældre
At blive holdt ansvarlig for elevers præsentationer
Ekstra opgaver på grund af fravær af andre lærere
Opretholdelse af ro og orden i klasselokalet
Trusler eller nedsættende tale fra elever
0%
Grundskole 7.-10. klasse
20 %
Ungdomsuddannelser
40 %
60 %
Kilde: Spørgeskema til lærere TALIS, 2018 (spørgsmål 52).
Ser man på kilderne til stress i arbejdet, oplever grundskolelærerne, at det især er for meget under-
visning at forberede (61 %) og for mange undervisningstimer (58 %). På ungdomsuddannelsesom-
rådet oplever lærerne, at det er meget rettearbejde/opgaveevaluering (60 %), for meget undervis-
ning at forberede (59 %) samt for mange undervisningstimer (55 %).
Herudover ses en forskel på tværs af klassetrin. Det fremgår eksempelvis, at en større andel af læ-
rerne på 0.-6. klassetrin angiver, at opretholdelse af ro og orden i klasselokalet er en kilde til stress i
deres arbejde (45 %) sammenlignet med lærere på 7.-10. klassetrin (27 %) og lærere på ungdoms-
uddannelserne (18 %). Samme tendens viser sig med hensyn til at tage sig af henvendelser fra for-
ældre, hvor det blandt lærere på 0.-6. klassetrin er 53 %, på 7.-10. klassetrin 38 % og på ungdoms-
uddannelserne 4 %, der angiver, at det er en kilde til stress. Omvendt ses der også en tendens til, at
for meget rettearbejde/opgaveevaluering især opleves som en kilde til stress af lærere på ung-
domsuddannelser (60 %) og lærere på 7.-10. klassetrin (53 %) frem for lærere på 0.-6. klassetrin
(34 %).
Sammenholder man besvarelserne fra gymnasie- og erhvervsuddannelseslærere, fremgår det, at
en større andel af erhvervsuddannelseslærerne oplever, at ekstra opgaver på grund af fravær af an-
dre lærere (19 % og 48 %) og tilpasning af undervisningen til elever med særlige behov (14 % og 29
%) er kilder til stress i deres arbejde.
Andelen af danske lærere, der angiver, at der er for meget undervisning at forberede (61 %), er mar-
kant højere end i samtlige øvrige nordiske lande (Norge 33 %, Sverige 30 %, Island 24 % og Finland
20 %). Samme tendens ses ved andelen af lærere, der angiver, at for mange undervisningstimer er
en kilde til stress, for hvor 58 % af de danske lærere mener, at dette i høj eller nogen grad er en
Danmarks Evalueringsinstitut
44
BUU, Alm.del - 2019-20 - Bilag 127: OECD den internationale rapport om OECD’s Teaching and Learning International Survey (TALIS) 2018., fra børne- og undervisningsministeren
2169672_0045.png
TALIS 2018 – 2. rapport
Skoleklima og jobtilfredshed
kilde til stress, er det i de øvrige nordiske lande en mindre andel af lærerne (Sverige 39 %, Norge
26 %, Island 26 % og Finland 11 %).
I det følgende ser vi nærmere på lærernes opfattelse af arbejdet som lærer.
4.2.3
Hvordan opfatter lærerne arbejdet som lærer?
FIGUR 4.10
Lærernes oplevelse af arbejdet som lærer
97
97
95
91
89
89
88
83
79
84
70
77
43
38
18
38
10
14
8
5
Jeg er tilfreds med min egen indsats på denne skole
Jeg er glad for at arbejde på denne skole
Alt i alt er jeg godt tilfreds med mit arbejde
Jeg vil anbefale denne skole som et godt sted at arbejde
Fordelene ved lærerjobbet opvejer klart ulemperne
Hvis jeg skulle vælge igen, ville jeg stadig vælge at blive
lærer
Jeg spekulerer på, om det ville have været bedre at have
valgt en anden profession
Jeg synes, at lærerjobbet er respekteret i samfundet
Jeg ville gerne skifte til en anden skole, hvis det var muligt
Jeg fortryder, at jeg blev lærer
0%
Grundskole 7.-10. klasse
20 %
40 %
60 %
80 %
100 %
Ungdomsuddannelser
Kilde: Spørgeskema til lærere TALIS, 2018 (spørgsmål 53).
Størstedelen af de danske lærere er meget enige eller enige i, at fordelene ved lærerjobbet opvejer
ulemperne (79 % og 84 %), og at de alt i alt er godt tilfredse med deres arbejde (89 % for begge om-
råder). Ser man derimod på, hvorvidt de danske lærere angiver, at lærerjobbet er respekteret i
samfundet, er det en mindre andel, henholdsvis 18 % på grundskoleområdet og 38 % på ung-
domsuddannelsesområdet, der er meget enige eller enige i dette udsagn.
Ser man nærmere på ungdomsuddannelsesområdet, ses en række forskelle blandt gymnasie- og
erhvervsuddannelseslærere, idet gymnasielærerne i flere tilfælde har angivet svar, der er mere po-
sitive end erhvervsuddannelseslærernes. Dette gør sig blandt andet gældende, med hensyn til om
man ville blive lærer, hvis man skulle vælge igen (80 % og 69 %), hvorvidt man er glad for at arbejde
på denne skole (93 % og 85 %), samt om man alt i alt er godt tilfreds med sit arbejde (91 % og
84 %).
Sammenholder man med resultaterne fra 2013, er der særligt sket en udvikling på to områder:
For det første er der sket et fald på både grundskole- og ungdomsuddannelsesområdet med hen-
syn til andelen af lærere, der er meget enige eller enige i, at de alt i alt er godt tilfreds med deres
arbejde (fra 93 % til 89 % blandt grundskolelærerne og fra 95 % til 89 % blandt ungdomsuddannel-
seslærerne).
Danmarks Evalueringsinstitut
45
BUU, Alm.del - 2019-20 - Bilag 127: OECD den internationale rapport om OECD’s Teaching and Learning International Survey (TALIS) 2018., fra børne- og undervisningsministeren
2169672_0046.png
TALIS 2018 – 2. rapport
Skoleklima og jobtilfredshed
For det andet er der sket en stigning på 9 procentpoint med hensyn til andelen af grundskolelæ-
rere, der spekulerer på, om det ville have været bedre at have valgt en anden profession (34 % til
43 %).
Sammenlignet med de øvrige lande adskiller de danske lærere på grundskoleområdet sig især fra
Finland og Norge med hensyn til vurderingen af, om lærerjobbet er respekteret i samfundet. Re-
spekten for lærerprofessionen er beskrevet nærmere i det efterfølgende.
Danske grundskolelærere oplever i mindre grad respekt over for lærerjobbet
sammenlignet med Finland og Norge
Figuren nedenfor viser andelen af lærere, der er enige eller uenige i, at lærerjobbet er respekteret i
samfundet:
FIGUR 4.11
Andel af lærere, der oplever at lærerjobbet er respekteret i samfundet
Grundskole 7.-10. klasse
Finland
Norge
OECD
Danmark
Sverige
Island
0%
11
10
18
25
35
58
65
75
82
89
90
42
20%
40%
60%
80%
100%
Ungdomsuddannelser
Danmark
Sverige
0%
14
38
86
62
20%
40%
Meget enig eller enig
60%
Meget uenig eller uenig
80%
100%
Kilde: Spørgeskema til lærere TALIS, 2018 (spørgsmål 53).
Note: Tal markeret med gul viser, hvilke landes besvarelser der er signifikant forskellige fra danske besvarelser ved et
signifikansniveau på 5 %.
Det fremgår af figuren, at 18 % af de danske grundskolelærere er meget enige eller enige i, at lærer-
jobbet er respekteret i samfundet. De danske grundskolelærere adskiller sig derved markant fra
Norge (35 %) og især Finland (58 %), hvor det er en større andel af lærerne, som er meget enige el-
ler enige i, at lærerjobbet er respekteret. De islandske og svenske lærere oplever imidlertid respek-
ten endnu mindre positivt, idet 10 % og 11 % af grundskolelærerne i disse lande er meget enige el-
ler enige i, at lærerjobbet er respekteret i samfundet.
Ser man på ungdomsuddannelsesområdet, er de danske lærere ligeledes mere positive i deres vur-
dering end de svenske lærere. 38 % af de danske lærere er således meget enige eller enige i, at læ-
Danmarks Evalueringsinstitut
46
BUU, Alm.del - 2019-20 - Bilag 127: OECD den internationale rapport om OECD’s Teaching and Learning International Survey (TALIS) 2018., fra børne- og undervisningsministeren
TALIS 2018 – 2. rapport
Skoleklima og jobtilfredshed
rerjobbet er respekteret i samfundet, mens det er 14 % af de svenske lærere, som mener dette. An-
delen af danske lærere, som oplever, at lærerjobbet er respekteret i samfundet, ligger på samme
niveau som i 2013.
Danmarks Evalueringsinstitut
47
BUU, Alm.del - 2019-20 - Bilag 127: OECD den internationale rapport om OECD’s Teaching and Learning International Survey (TALIS) 2018., fra børne- og undervisningsministeren
TALIS 2018 – 2. rapport
5 Skoleledelse
Arbejdet som skoleleder er præget af stor opmærksomhed og krav fra forskellig side grundet den
centrale rolle, som skolelederen har med hensyn til elevernes læring og trivsel. Den internationale
rapport fra TALIS-undersøgelsen i 2013 peger således på, at ledelse er en vigtig del af at sikre og
forbedre elevernes præstationer. Dette hænger sammen med, at lederens beslutninger om skole-
klimaet og organisatoriske forhold sætter rammerne for lærernes arbejde og konkrete virke i un-
dervisningen (OECD, 2014).
Dette kapitel belyser forskellige aspekter af arbejdet som skoleleder. I kapitlet præsenteres resulta-
ter vedrørende ledernes uddannelsesniveau og formelle kvalifikationer såvel som deres kompeten-
ceudvikling. Derudover præsenteres der resultater vedrørende ledelsesorganiseringen og de for-
skellige opgaver, der varetages af ledelsen på skolerne.
I den udstrækning det er muligt, sammenholdes ledernes besvarelser fra 2013 og 2018. Dette er til-
fældet for samtlige spørgsmål, bortset fra de to spørgsmål vedrørende ledernes kompetenceudvik-
ling, som handler om ledernes deltagelse i faglige kompetenceudviklingsaktiviteter og deres behov
for kompetenceudvikling. Herudover sammenlignes der med besvarelser fra de øvrige nordiske
lande og med gennemsnittet for OECD-landene.
Resultaterne i dette kapitel skal forstås i sammenhæng med de forskellige indsatser, reformer og
lignende, der er gennemført på uddannelsesområdet. For forståelsen af resultaterne i dette kapitel
kan følgende forhold være relevante:
• På grundskoleområdet trådte der i august 2014 en reform i kraft, som blandt andet fokuserede
på kompetenceudvikling af ledere og det pædagogiske personale samt samarbejdet mellem og
på tværs af medarbejdergrupper. Med aftalen om reformen har regeringen afsat i alt 1 mia. kr. i
perioden 2014-2020 til styrket efteruddannelse af ledere og medarbejdere i folkeskolen. Desuden
har A.P. Møller Fonden fra sommeren 2014 til sommeren 2018 bevilliget godt halvdelen af den
milliard kroner, som Fonden donerede i 2013 til at styrke den danske folkeskole. Fonden har
blandt andet tilgodeset projekter med fokus på at udvikle de professionelles samarbejde
(www.apmollerfonden.dk).
• På både grundskole- og ungdomsuddannelsesområdet er der indført besparelser i form af et
omprioriteringsbidrag siden TALIS 2013. Omprioriteringsbidraget blev indført i 2016 og består i,
at den enkelte uddannelsesinstitution hvert år skal reducere i deres budget med to procent. Det
er forskelligt, hvordan besparelserne gennemføres på den enkelte institution, og det er en vigtig
ledelsesmæssig opgave at beslutte, hvor der kan effektiviseres.
• På både grundskole- og ungdomsuddannelsesområdet er der kommet nye arbejdstidsregler for
lærerne siden TALIS 2013. I august 2013 fik gymnasielærerne nye arbejdstidsregler, mens grund-
skole- og erhvervsuddannelseslærerne fik nye arbejdstidsregler i august 2014. Fælles for de tre
arbejdstidsregler er, at ledelsen har fået udvidet ledelsesrummet til i højere grad at prioritere læ-
rernes opgaver inden for den fastlagte arbejdstid.
Danmarks Evalueringsinstitut
48
BUU, Alm.del - 2019-20 - Bilag 127: OECD den internationale rapport om OECD’s Teaching and Learning International Survey (TALIS) 2018., fra børne- og undervisningsministeren
2169672_0049.png
TALIS 2018 – 2. rapport
Skoleledelse
• På gymnasieområdet trådte der i 2017 en reform i kraft, og i forlængelse heraf er der afholdt en
række netværksmøder og kurser med henblik på at understøtte reformimplementeringen, her-
under fx
Skoleudvikling i Praksis
(SiP).
• På erhvervsuddannelsesområdet er der gennemført en reform i 2015, som blandt andet betyder,
at der er gennemført et nationalt aktionslæringsprogram for ledere med det formål at styrke de-
res kompetencer i pædagogisk ledelse i 2017/18.
Derudover kan der være yderligere nationale forhold af betydning, ligesom der kan være forhold i
andre lande, som kan være relevante at inddrage i det videre arbejde med undersøgelsens resulta-
ter. Endvidere kan der være lavet undersøgelser, som ikke refereres i denne rapport, som kan være
med til at kontekstualisere undersøgelsens resultater
3
.
Sammenfatning – Skoleledelse
Uddannelsesniveau og formelle lederkvalifikationer
74 % af de danske grundskoleledere og 58 % af ungdomsuddannelseslederne har en diplom-
eller masteruddannelse i ledelse, hvilket på begge uddannelsesområder er 19 procentpoint
mere end i 2013.
Kompetenceudvikling af lederne
72 % af de danske grundskoleledere og 74 % af ungdomsuddannelseslederne har deltaget i
kurser/seminarer om fagligt indhold, undervisningsmetoder eller pædagogiske/didaktiske
emner. I Finland og Sverige er det en noget mindre andel af lederne (44-45 procentpoint un-
der), mens Danmark ligger på niveau med Island og under Norge (20 procentpoint under). På
ungdomsuddannelsesområdet ligger Danmark ligeledes noget over Sverige (47 procentpoint
over).
Sammenlignet med de øvrige nordiske lande er det en mindre andel af de danske ledere, der
lige nu oplever et behov for kompetenceudvikling. Dette gælder fx med hensyn til udviklin-
gen af samarbejdet mellem lærere/mellem lærere og pædagoger samt arbejdet med ligestil-
ling og diversitet, hvor de danske grundskoleledere ligger 10-45 procentpoint under lederne i
de øvrige nordiske lande. På ungdomsuddannelsesområdet ligger de danske ledere ligeledes
34 procentpoint under de svenske.
Ledelsesorganisering
Langt størstedelen af de danske skoleledere angiver, at de har et ledelsesteam på skolen. På
grundskoleområdet er det 94 % af lederne, mens det er 99 % af lederne på ungdomsuddan-
nelsesområdet. Sammenlignes der med de øvrige nordiske lande og OECD-gennemsnittet, er
der en større andel af skolerne i Danmark, som har et ledelsesteam. Resultatet understøtter
3 Når der i rapporten henvises til grundskolen, grundskolelærere eller grundskoleledere, menes der resultater for grundskolens 7.-10.
klasse. De steder, hvor der er interessante forskelle mellem grundskolens 0.-6. klasse og grundskolens 7.-10. klasse, vil de to niveau-
ers resultater eksplicit fremgå.
Danmarks Evalueringsinstitut
49
BUU, Alm.del - 2019-20 - Bilag 127: OECD den internationale rapport om OECD’s Teaching and Learning International Survey (TALIS) 2018., fra børne- og undervisningsministeren
2169672_0050.png
TALIS 2018 – 2. rapport
Skoleledelse
billedet fra 2013, hvor Danmark ligeledes var et af de lande, hvor andelen af grundskoler og
ungdomsuddannelser med et ledelsesteam var størst.
Sammenlignet med de øvrige nordiske lande er det en mindre andel af de danske grundsko-
ler og ungdomsuddannelser, som har lærere repræsenteret i skoleledelsen. 6 % af de danske
grundskoler og 7 % af ungdomsuddannelserne har lærere repræsenteret i ledelsesteamet. På
grundskoleområdet er det 17-79 procentpoint mindre end i de øvrige nordiske lande, mens
det på ungdomsuddannelsesområdet er 28 procentpoint mindre end i Sverige.
Generelt set angiver lederne, at der er et mere delt ansvar i Danmark mellem skolelederen,
andre medlemmer af ledelsesteamet, lærere og skolens bestyrelse i forbindelse med vareta-
gelsen af forskellige opgaver, end det er tilfældet i de øvrige nordiske lande. Det gælder fx
med hensyn til ansættelsen af lærere, optagelsen af elever og beslutninger vedrørende sko-
lens budget. Resultatet ligner tallene fra 2013, hvor der ligeledes tegnede sig et billede af, at
danske ledere i højere grad end ledere i andre lande deler ansvaret for en række beslutnin-
ger.
Ledelsesopgaver
Danske grundskole- og ungdomsuddannelsesledere skønner at bruge henholdsvis 28 % og 27
% af deres tid på administrative opgaver og møder. På grundskoleområdet ligger Danmark
på niveau med Island, mens lederne i de øvrige nordiske lande skønner at bruge en større an-
del af deres tid på dette (5-11 procentpoint mere). På ungdomsuddannelsesområdet ligger
Danmark 8 procentpoint under Sverige.
Danske grundskole- og ungdomsuddannelsesledere skønner at bruge henholdsvis 26 % og 29
% af deres tid på ledelsesmæssige opgaver og møder. På grundskoleområdet ligger Danmark
på niveau med Finland, mens lederne i de øvrige nordiske lande skønner at bruge en mindre
andel af deres tid på denne del (2-6 procentpoint mindre). På ungdomsuddannelsesområdet
ligger Danmark 6 procentpoint over Sverige.
5.1 Uddannelsesniveau og formelle lederkvalifikationer
I dette afsnit belyses skoleledernes uddannelsesniveau og formelle lederkvalifikationer. Afsnittet
giver et indblik, i hvilke uddannelser og kurser lederne har gennemført, samt om det er sket før eller
efter, de er blevet ledere.
5.1.1
Hvilket uddannelsesniveau og hvilke formelle lederkvalifikationer har
skolelederne?
Figuren nedenfor viser, hvilke uddannelser/kurser de danske grundskole- og ungdomsuddannel-
sesledere har gennemført, og hvornår det i givet fald er sket.
Danmarks Evalueringsinstitut
50
BUU, Alm.del - 2019-20 - Bilag 127: OECD den internationale rapport om OECD’s Teaching and Learning International Survey (TALIS) 2018., fra børne- og undervisningsministeren
2169672_0051.png
TALIS 2018 – 2. rapport
Skoleledelse
FIGUR 5.1
Har lederne gennemført nedenstående uddannelser eller kurser?
Grundskole 7.-10. klasse
Læreruddannelse, pædagoguddannelse, pædagogikum
Diplom- eller masteruddannelse i ledelse
Anden lederuddannelse
Uddannelse/kurser i pædaogisk ledelse
Ungdomsuddannelser
Læreruddannelse, pædagoguddannelse, pædagogikum
Anden lederuddannelse
Diplom- eller masteruddannelse i ledelse
Uddannelse/kurser i pædaogisk ledelse
0%
Før
Efter
18
26
25
20
20
37
81
17
14
29
4
4
37
42
15
11
27
27
25
28
25
34
17
30
94
19
26
32
11
1
1
4
20%
Både før og efter
40%
Aldrig
60%
80%
100%
Kilde: Spørgeskema til ledere TALIS, 2018 (spørgsmål 6).
Note: Den fulde formulering af øverste svarmulighed i figuren er: ”Læreruddannelse, pædagoguddannelse, pædagogi-
kum, pædagogisk grunduddannelse, diplomuddannelse i erhvervspædagogik eller lignende”.
Figuren viser, at 96 % af lederne på grundskoleområdet har en læreruddannelse, pædagoguddan-
nelse, pædagogikum eller lignende, mens det er 89 % af lederne på ungdomsuddannelsesområ-
det, som har den uddannelsesbaggrund. Derudover gælder det for grundskoleområdet, at 74 % af
lederne har en diplom- eller masteruddannelse i ledelse, mens 89 % har uddannelse/kurser i pæ-
dagogisk ledelse. Til sammenligning er det henholdsvis 58 % af lederne på ungdomsuddannelses-
området, der har en diplom- eller masteruddannelse i ledelse, mens 85 % har uddannelse/kurser i
pædagogisk ledelse.
Ser man på udviklingen fra 2013 til 2018, gælder det for grundskoleområdet, at en større andel af
lederne i 2018 har en læreruddannelse, pædagoguddannelse, pædagogikum eller lignende (fra 88
% til 96 %). Derudover er der en større andel af lederne, som har en diplom- eller masteruddan-
nelse i ledelse (fra 55 % til 74 %). I den forbindelse fremgår det endvidere, at en større andel af le-
derne har taget en diplom- eller masteruddannelse i ledelse, før de blev skoleledere (fra 3 % til 27
%).
På ungdomsuddannelsesområdet ses en tilsvarende udvikling. Der er således også en større andel
af lederne i 2018, som har en læreruddannelse, pædagoguddannelse, pædagogikum eller lignende
(fra 78 % til 89 %), ligesom en større andel af lederne har en diplom- eller masteruddannelse i le-
delse (fra 39 % til 58 %). I den sammenhæng ses det ligeledes, at en større andel af lederne har ta-
get en diplom- eller masteruddannelse i ledelse, før de blev skoleledere (fra 13 % til 25 %).
Danmarks Evalueringsinstitut
51
BUU, Alm.del - 2019-20 - Bilag 127: OECD den internationale rapport om OECD’s Teaching and Learning International Survey (TALIS) 2018., fra børne- og undervisningsministeren
2169672_0052.png
TALIS 2018 – 2. rapport
Skoleledelse
Med hensyn til udviklingen i andelen af ledere, der har en læreruddannelse, pædagoguddannelse,
pædagogikum eller lignende, er det væsentligt at bemærke, at der er foretaget en ændring i svar-
kategorien fra 2013 til 2018, og at de præsenterede tal derfor skal forstås med forbehold for dette
4
.
Det samme er tilfældet med hensyn til andelen af ledere, der har en diplom- eller masteruddan-
nelse i ledelse, hvor der er ligeledes er foretaget en ændring i svarkategorien
5
.
5.2 Kompetenceudvikling af lederne
I dette afsnit præsenteres resultaterne vedrørende ledernes kompetenceudvikling. Først ser vi på,
hvilke faglige kompetenceudviklingsaktiviteter lederne har deltaget i. Dernæst ser vi på, hvilke be-
hov for kompetenceudvikling lederne oplever. Endelig belyses det, hvilke hindringer lederne ople-
ver for deres deltagelse i kompetenceudvikling.
5.2.1
Hvilke faglige kompetenceudviklingsaktiviteter har lederne deltaget i?
I TALIS spørges lederne om, hvilke faglige kompetenceudviklingsaktiviteter de har deltaget i inden
for de seneste 12 måneder. Faglig kompetenceudvikling defineres i den forbindelse som aktiviteter,
der har til formål at udvikle den enkeltes faglige færdigheder, viden og ekspertise. Figuren nedenfor
viser, hvilke faglige kompetenceudviklingsaktiviteter de danske grundskole- og ungdomsuddan-
nelsesledere har deltaget i inden for de seneste 12 måneder:
4 2018: ”Læreruddannelse, pædagoguddannelse, pædagogikum, pædagogisk grunduddannelse, diplomuddannelse i erhvervspædago-
gik eller lignende”. 2013: ”Læreruddannelse, cand.mag./cand.scient. med pædagogikum, diplomuddannelse i pædagogik eller lig-
nende”.
5 2018: ”Diplom- eller masteruddannelse i ledelse”. 2013: ”Diplom- eller masteruddannelse i ledelse af uddannelsesinstitutioner”.
Danmarks Evalueringsinstitut
52
BUU, Alm.del - 2019-20 - Bilag 127: OECD den internationale rapport om OECD’s Teaching and Learning International Survey (TALIS) 2018., fra børne- og undervisningsministeren
2169672_0053.png
TALIS 2018 – 2. rapport
Skoleledelse
FIGUR 5.2
Andel af ledere, der inden for de seneste 12 måneder har deltaget i faglig
kompetenceudvikling gennem følgende aktiviteter
93
97
87
74
84
87
72
74
68
72
50
54
42
32
31
34
22
18
13
6
Læsning af faglitteratur
Kurser/seminarer om ledelse
Konferencer hvor lærere, skoleledere og/eller forskere
præsenterer deres forskning eller drøfter faglige…
Kurser/seminarer om fagligt indhold, undervisningsmetoder
eller pædagogiske/didaktiske emner
Deltagelse i et netværk af skoleledere oprettet specifikt med
henblik på faglig kompetenceudvikling af skoleledere
Kurser/seminarer med fremmøde
Kollegial observation og/eller selvobservation og coaching
som led i en formel prakis på skolen
Andet
Efteruddannelse inden for det ordinære efter- og
videreuddannelsessystem (fx diplom- eller…
Onlinekurser/-seminarer
0%
Grundskole 7.-10. klasse
20 %
40 %
60 %
80 %
100 %
Ungdomsuddannelser
Kilde: Spørgeskemaundersøgelse til ledere TALIS, 2018 (spørgsmål 7).
Note: Den fulde formulering af tredje svarmulighed i figuren er: ”Konferencer hvor lærere, skoleledere og/eller forskere
præsenterer deres forskning eller drøfter faglige problemstillinger”.
Note: Den fulde formulering af niende svarmulighed i figuren er: ”Efteruddannelse inden for det ordinære efter- og vide-
reuddannelsessystem (fx diplom- eller masteruddannelse)”.
Det fremgår af figuren, at henholdsvis 93 % af grundskolelederne og 97 % af ungdomsuddannel-
seslederne har deltaget i faglig kompetenceudvikling inden for de seneste 12 måneder gennem
læsning af faglitteratur. Derudover har 87 % af lederne på grundskoleområdet deltaget i kurser/se-
minarer om ledelse, mens det er 74 % af lederne, når man ser på ungdomsuddannelsesområdet.
Endvidere fremgår det af figuren, at 72 % af grundskolelederne og 74 % af ungdomsuddannelsesle-
derne har deltaget i kurser/seminarer om fagligt indhold, undervisningsmetoder eller pædagogi-
ske/didaktiske emner.
Sammenlignet med lederne i henholdsvis Finland og Sverige er der en noget større andel af de
danske ledere, som har deltaget i kurser/seminarer om fagligt indhold, undervisningsmetoder eller
pædagogiske/didaktiske emner. Det samme gælder med hensyn til de danske grundskolelederes
deltagelse i kurser/seminarer om ledelse. Resultatet vedrørende ledernes deltagelse i kurser/semi-
narer om fagligt indhold, undervisningsmetoder eller pædagogiske/didaktiske emner er beskrevet
nærmere i det følgende.
En større andel af de danske ledere har deltaget i kurser/seminarer om fagligt
indhold sammenlignet med Finland og Sverige
Nedenstående figur viser andelen af ledere, der har deltaget i kurser/seminarer om fagligt indhold,
undervisningsmetoder eller pædagogiske/didaktiske emner.
Danmarks Evalueringsinstitut
53
BUU, Alm.del - 2019-20 - Bilag 127: OECD den internationale rapport om OECD’s Teaching and Learning International Survey (TALIS) 2018., fra børne- og undervisningsministeren
2169672_0054.png
TALIS 2018 – 2. rapport
Skoleledelse
FIGUR 5.3
Andel af ledere, der inden for de seneste 12 måneder har deltaget i
kurser/seminarer om fagligt indhold, undervisningsmetoder eller
pædagogiske/didaktiske emner
Grundskole 7.-10. klasse
Norge
Island
Danmark
OECD
Finland
Sverige
Ungdomuddannelser
Danmark
Sverige
0%
27
74
28
27
72
70
77
92
20 %
40 %
60 %
80 %
100 %
Kilde: Spørgeskemaundersøgelse til ledere TALIS, 2018 (spørgsmål 7).
Note: Tal markeret med gul viser, hvilke landes besvarelser der er signifikant forskellige fra danske besvarelser ved et
signifikansniveau på 5 %.
Som tidligere nævnt er det 72 % af de danske grundskoleledere, som har deltaget i kurser/semina-
rer om fagligt indhold, undervisningsmetoder eller pædagogiske/didaktiske emner. Til sammenlig-
ning er det en væsentlig mindre andel af lederne i Finland (28 %) og Sverige (27 %), som har delta-
get i denne form for kompetenceudvikling. Andelen af danske ledere, der har deltaget i kompeten-
ceudviklingsaktiviteten, ligger endvidere på niveau med Island (77 %) og OECD-gennemsnittet (70
%). Endelig skal det nævnes, at der er en større andel af lederne i Norge, som har deltaget, nemlig
92 %.
På ungdomsuddannelsesområdet ses et lignende billede, da der også på dette område er en væ-
sentlig mindre andel af de svenske ledere, som har deltaget i kurser og seminarer om fagligt ind-
hold, undervisningsmetoder eller pædagogiske/didaktiske emner. På ungdomsuddannelsesområ-
det er det således 74 % af de danske ledere, som har deltaget i kurser/seminarer med det nævnte
fokus, mens det er tilfældet for 27 % af de svenske ledere.
5.2.2
Hvilke behov for kompetenceudvikling oplever lederne?
I TALIS er lederne også blevet spurgt til deres behov for kompetenceudvikling. Nedenstående figur
viser andelen af danske grundskole- og ungdomsuddannelsesledere, der mener, at de lige nu har
et behov for kompetenceudvikling inden for forskellige områder. Det drejer sig fx om feedback,
brug af data samt udformning af faglig kompetenceudvikling for/med lærere.
Danmarks Evalueringsinstitut
54
BUU, Alm.del - 2019-20 - Bilag 127: OECD den internationale rapport om OECD’s Teaching and Learning International Survey (TALIS) 2018., fra børne- og undervisningsministeren
2169672_0055.png
TALIS 2018 – 2. rapport
Skoleledelse
FIGUR 5.4
Andel af ledere, der i høj eller nogen grad oplever et behov for
kompetenceudvikling inden for følgende områder
At give effektiv feedback
Brug af data til at forbedre skolens kvalitet
Udformning af faglig kompetenceudvikling for/med lærere
Viden om og forståelse af ny ledelsesforskning og -teori
Viden om og forståelse af aktuelle nationale/lokale politikker
på uddannelsesområdet
Udvikling af samarbejdet mellem lærere/mellem lærere og
pædagoger
Hvordan Fælles Mål/læreplaner/fagenes faglige mål
implementeres i skolens arbejde
Personaleledelse
Økonomistyring
Observation af klassundervisning
At fremme ligestilling og diversitet
0%
Grundskole 7.-10. klasse
16
6
29
47
35
41
54
41
37
40
36
30
36
28
34
32
30
38
27
36
24
21
20 %
Ungdomsuddanelse
40 %
60 %
Kilde: Spørgeskemaundersøgelse til ledere TALIS, 2018 (spørgsmål 8).
Note: På grundskoleområdet er der spurgt til implementeringen af Fælles Mål, mens der på ungdomsuddannelsesom-
rådet er spurgt til læreplaner/fagenes faglige mål.
Figuren viser overordnet set, at der er mindre forskelle inden for henholdsvis grundskole- og ung-
domsuddannelsesområdet og på tværs af de to områder med hensyn til det oplevede behov for
kompetenceudvikling.
Ser man nærmere på grundskoleområdet, oplever lederne især et behov for kompetenceudvikling
inden for feedback. Mere konkret er det således 47 % af lederne, der har svaret, at de i høj eller no-
gen grad er enige i, at de lige nu har et behov for kompetenceudvikling med hensyn til at give effek-
tiv feedback. Derudover er der 41 % af lederne, der oplever et behov for kompetenceudvikling med
hensyn til henholdsvis arbejdet med data og udformning af faglig kompetenceudvikling for/med
lærere.
På ungdomsuddannelsesområdet er det 54 % af lederne, som lige nu oplever et behov for kompe-
tenceudvikling inden for arbejdet med data. Dertil kommer, at 37 % af lederne oplever et behov for
kompetenceudvikling med hensyn til udformning af faglig kompetenceudvikling for/med lærere,
mens 35 % af lederne oplever et behov inden for feedback. Derudover er der 38 % af lederne, som
oplever et behov for kompetenceudvikling inden for personaleledelse, og 36 % som oplever et be-
hov inden for økonomistyring.
Endvidere skal det nævnes, at det er fælles for lederne på grundskole- og ungdomsuddannelses-
området, at de i mindre omfang oplever et behov for kompetenceudvikling med henblik på at
Danmarks Evalueringsinstitut
55
BUU, Alm.del - 2019-20 - Bilag 127: OECD den internationale rapport om OECD’s Teaching and Learning International Survey (TALIS) 2018., fra børne- og undervisningsministeren
2169672_0056.png
TALIS 2018 – 2. rapport
Skoleledelse
fremme ligestilling og diversitet (16 % på grundskoleområdet og 6 % på ungdomsuddannelsesom-
rådet).
Ser man på de internationale resultater, tegner der sig generelt et billede af, at en mindre andel af
de danske ledere oplever et behov for kompetenceudvikling sammenlignet med lederne i de andre
lande. Dette er beskrevet nærmere i det følgende.
En mindre andel af de danske ledere oplever et behov for kompetenceudvikling
sammenlignet med de øvrige nordiske lande
Uanset hvilket af de 11 kompetenceudviklingsområder, der er spurgt ind til, ligger besvarelserne fra
de danske ledere på grundskolens 7.-10. klassetrin under besvarelserne fra lederne i ét eller flere af
de andre lande. Dertil kommer, at de på intet tidspunkt ligger signifikant over lederne fra nogen af
de øvrige nordiske lande på samme klassetrin. Sammenlignet med lederne i de øvrige nordiske
lande tegner der sig således et billede af, at det er en mindre andel af de danske ledere, der lige nu
oplever et behov for kompetenceudvikling.
Nogenlunde tilsvarende resultater ses for lederne på 0.-6. klassetrin og for lederne på ungdomsud-
dannelsesområdet, dog ligger Danmark her på niveau med Sverige for flere af de kompetenceud-
viklingsområder, der er spurgt ind til. På 0.-6. klassetrin ligger Danmark således på niveau med Sve-
rige for fem spørgsmål, mens de to lande ligger på niveau for tre af spørgsmålene på ungdomsud-
dannelsesområdet. I Sverige er lederne i øvrigt kun blevet spurgt til 10 af de 11 spørgsmål, idet
spørgsmålet om implementeringen af Fælles Mål i skolens arbejde ikke er stillet i Sverige.
Ét af de kompetenceudviklingsområder, hvor de danske ledere især adskiller sig fra lederne i de
andre lande, er med hensyn til behovet for kompetenceudvikling inden for ligestilling og diversitet.
FIGUR 5.5
Andel af ledere, der er i høj eller nogen grad oplever et behov for
kompetenceudvikling inden for ligestilling og diversitet
Grundskole 7.-10. klasse
Island
OECD
Finland
Sverige
Norge
Danmark
Ungdomsuddannelser
Sverige
Danmark
0%
6
40
16
26
35
46
44
61
20 %
40 %
60 %
80 %
Kilde: Spørgeskemaundersøgelse til ledere TALIS, 2018 (spørgsmål 8).
Note: Tal markeret med gul viser, hvilke landes besvarelser der er signifikant forskellige fra danske besvarelser ved et
signifikansniveau på 5 %.
Danmarks Evalueringsinstitut
56
BUU, Alm.del - 2019-20 - Bilag 127: OECD den internationale rapport om OECD’s Teaching and Learning International Survey (TALIS) 2018., fra børne- og undervisningsministeren
2169672_0057.png
TALIS 2018 – 2. rapport
Skoleledelse
Sammenligner man med de andre lande og OECD-gennemsnittet (46 %), er det en mindre andel af
de danske ledere, som oplever et behov for kompetenceudvikling inden for ligestilling og diversi-
tet. Hvor det i Danmark er 16 % af lederne på grundskoleområdet og 6 % af lederne på ungdoms-
uddannelsesområdet, som oplever et behov for kompetenceudvikling, er det således 61 % og 44 %
af grundskolelederne i Island og Finland, mens det er 35 % af de svenske ledere og 26 % af de nor-
ske ledere. På ungdomsuddannelsesområdet er det 40 % af de svenske ledere, som oplever et be-
hov for kompetenceudvikling med henblik på at fremme ligestilling og diversitet, og Danmark ad-
skiller sig dermed fra samtlige andre lande.
Et andet kompetenceudviklingsområde, hvor de danske ledere på grundskole- og ungdomsuddan-
nelsesområdet adskiller sig fra lederne i flere af de andre lande (alle lande bortset fra Sverige på
grundskoleområdet) og OECD-gennemsnittet (64 %), er med hensyn til udviklingen af samarbejdet
mellem lærere/mellem lærere og pædagoger.
FIGUR 5.6
Andel af ledere, der er i høj eller nogen grad oplever et behov for
kompetenceudvikling inden for udviklingen af samarbejdet mellem
lærere/mellem lærere og pædagoger
Grundskole 7.-10. klasse
Island
Finland
OECD
Norge
Sverige
Danmark
Ungdomsuddannelser
Sverige
Danmark
0%
28
59
36
41
51
64
76
75
20 %
40 %
60 %
80 %
Kilde: Spørgeskemaundersøgelse til ledere TALIS, 2018 (spørgsmål 8).
Note: Tal markeret med gul viser, hvilke landes besvarelser der er signifikant forskellige fra danske besvarelser ved et
signifikansniveau på 5 %.
Hvor det i Danmark er 36 % af grundskolelederne, som oplever et behov for kompetenceudvikling
inden for udviklingen af samarbejdet mellem lærere/mellem lærere og pædagoger, er det eksem-
pelvis 76 % af lederne i Island og 75 % af lederne i Finland. På ungdomsuddannelsesområdet er
det 28 % af de danske ledere, som oplever et behov for kompetenceudvikling, og Danmark place-
rer sig dermed under Sverige, hvor det er 59 % af lederne, som oplever et behov for kompetence-
udvikling.
Ud over ovennævnte gælder det specifikt for lederne på 7.-10. klassetrin, at de i mindre grad ople-
ver et behov for kompetenceudvikling inden for personaleledelse (30 %) og økonomistyring (27 %),
sammenlignet med de finske (63 % for personaleledelse og 51 % for økonomistyring) og islandske
(72 % for personaleledelse og 49 % for økonomistyring) ledere. I den forbindelse ligger de danske
ledere ligeledes under OECD-gennemsnittet, som er på 59 % for personaleledelse og på 57 % for
økonomistyring.
Danmarks Evalueringsinstitut
57
BUU, Alm.del - 2019-20 - Bilag 127: OECD den internationale rapport om OECD’s Teaching and Learning International Survey (TALIS) 2018., fra børne- og undervisningsministeren
2169672_0058.png
TALIS 2018 – 2. rapport
Skoleledelse
Specifikt for lederne på ungdomsuddannelsesområdet gælder det, at de fx oplever et mindre be-
hov for kompetenceudvikling inden for det område, der handler om udformning af faglig kompe-
tenceudvikling for/med lærere (37 % i Danmark og 65 % i Sverige).
5.2.3
Hvilke hindringer for kompetenceudvikling oplever lederne?
I TALIS er skolelederne endvidere blevet bedt om at angive, hvor enige eller uenige de er i, at for-
skellige forhold udgør en hindring for deres deltagelse i faglig kompetenceudvikling. Nedenstå-
ende figur viser andelen af danske grundskole- og ungdomsuddannelsesledere, som oplever for-
skellige hindringer for kompetenceudvikling.
FIGUR 5.7
Andel af ledere, der er meget enige eller enige i, at der er følgende
hindringer for deres deltagelse i faglig kompetenceudvikling
Grundskole 7.-10. klasse
Efteruddannelse kolliderer med min skemalagte arbejdstid
Efteruddannelse er for dyrt
25
30
30
28
16
18
14
16
11
19
5
11
4
5
Manglende udbud af egnede kurser
Jeg har ikke tid på grund af familiære forpligtelser
Manglende tilskyndelse til deltagelse i faglig
kompetenceudvikling
Manglende støtte fra min nærmeste leder
Jeg har ikke forudsætningerne (fx kvalifikationer, erfaring,
anciennitet)
Ungdomsuddannelser
Efteruddannelse kolliderer med min skemalagte arbejdstid
Manglende udbud af egnede kurser
25
34
22
19
14
23
12
14
11
20
1
16
0
13
Manglende tilskyndelse til deltagelse i faglig
kompetenceudvikling
Efteruddannelse er for dyrt
Jeg har ikke tid på grund af familiære forpligtelser
Manglende støtte fra min nærmeste leder
Jeg har ikke forudsætningerne (fx kvalifikationer, erfaring,
anciennitet)
0%
2018
2013
20 %
Kilde: Spørgeskemaundersøgelse til ledere TALIS, 2013 og 2018 (spørgsmål 8, 9).
Note: Tal markeret med gul viser, at der er sket en signifikant ændring fra 2013 til 2018 ved et signifikansniveau på 5 %.
Figuren viser, at henholdsvis 30 % og 25 % af lederne på grundskole- og ungdomsuddannelsesom-
rådet er meget enige eller enige i, at det er en hindring for deres deltagelse i faglig kompetenceud-
vikling, at efteruddannelse kolliderer med den skemalagte arbejdstid. Derudover er der fx 28 % af
Danmarks Evalueringsinstitut
58
BUU, Alm.del - 2019-20 - Bilag 127: OECD den internationale rapport om OECD’s Teaching and Learning International Survey (TALIS) 2018., fra børne- og undervisningsministeren
2169672_0059.png
TALIS 2018 – 2. rapport
Skoleledelse
lederne på grundskoleområdet og 12 % af lederne på ungdomsuddannelsesområdet, der oplever
det som en hindring, at efteruddannelse er for dyrt.
Angående udviklingen fra 2013 til 2018 er der i flere tilfælde en mindre andel af skolelederne på
grundskolens 7.-10. klassetrin og på ungdomsuddannelserne, som i 2018 oplever hindringer for de-
res deltagelse i kompetenceudvikling:
Det er fx fælles for skolelederne på grundskolens 7.-10. klassetrin og på ungdomsuddannelserne, at
en mindre andel af lederne oplever manglende støtte fra deres nærmeste leder som en hindring
for deres deltagelse i kompetenceudvikling (uændret på 0.-6. klassetrin). På grundskolens 7.-10.
klassetrin var det således 11 % af lederne i 2013, som oplevede manglende støtte fra den nærme-
ste leder som en hindring, mens andelen er 5 % i 2018. På ungdomsuddannelsesområdet var det
16 % af lederne i 2013, som oplevede manglende støtte som en hindring, hvor det er 1 % af lederne
i 2018.
Ud over ovennævnte gælder det specifikt for grundskolelederne på 7.-10. klassetrin, at andelen af
ledere, der oplever manglende tilskyndelse til faglig kompetenceudvikling som en hindring for de-
res deltagelse, er blevet mindre (fra 19 % til 11 %). Tilsvarende gælder det specifikt for ungdomsud-
dannelseslederne, at andelen af ledere, som oplever manglende forudsætninger for faglige kom-
petenceudvikling som en hindring, er blevet mindre (fra 13 % i til 0 %).
Angående ledernes oplevelse af manglende støtte
6
skal det bemærkes, at der er ændret i svarkate-
gorien fra 2013 til 2018, og det præsenterede resultat skal derfor tages med forbehold for dette. Det
samme er tilfældet med det resultat, der handler om manglende tilskyndelse til at deltage i faglig
kompetenceudvikling
7
.
Sammenholder man de danske resultater med resultaterne fra de øvrige nordiske lande, er der for
flere af de spørgsmål, der er stillet i TALIS, en mindre andel af de danske ledere, som oplever hin-
dringer for kompetenceudvikling. Dog gælder det for grundskolelederne på 0.-6. klassetrin, at de
som oftest ligger på niveau med de svenske ledere (for 6 ud af 7 spørgsmål).
Det er fælles for de danske grundskole- og ungdomsuddannelseslederne, at der er en mindre an-
del, som oplever manglende støtte fra den nærmeste leder, sammenlignet med lederne i samtlige
af de øvrige nordiske lande. Derudover er der fx en mindre andel af ungdomsuddannelseslederne
og grundskolelederne på 7.-10. klassetrin, som oplever, at efteruddannelse kolliderer med den ske-
malagte arbejdstid. Også i dette tilfælde gælder det, uanset hvilket af de øvrige nordiske lande der
sammenlignes med.
5.3 Ledelsesorganisering
I det følgende præsenteres resultaterne vedrørende ledelsesorganisering. Først ser vi på, hvordan
ledelsen er organiseret på skolerne, herunder fx hvem der indgår i ledelsesteamet. Dernæst ser vi
på, hvilken autonomi der er på skolerne, og det belyses i den forbindelse, hvem der konkret har an-
svaret for at varetage forskellige opgaver.
6 2018: ”Manglende støtte fra min nærmeste leder”. 2013: ”Manglende støtte fra min leder”.
7 2018: ”Manglende tilskyndelse til deltagelse i faglig kompetenceudvikling”. 2013: ”Der er ingen tilskyndelse til at deltage i sådanne
aktiviteter”.
Danmarks Evalueringsinstitut
59
BUU, Alm.del - 2019-20 - Bilag 127: OECD den internationale rapport om OECD’s Teaching and Learning International Survey (TALIS) 2018., fra børne- og undervisningsministeren
2169672_0060.png
TALIS 2018 – 2. rapport
Skoleledelse
5.3.1
Hvordan er ledelsen organiseret på skolerne?
I TALIS er lederne blevet spurgt om deres ledelsesorganisering. I dette afsnit fokuserer vi på tilste-
deværelsen af ledelsesteams på skolerne samt på organiseringen af disse. I spørgeskemaet define-
res et ledelsesteam som en gruppe ansatte, der har ansvar for ledelse af skolen på områder som
undervisning, pædagogik/didaktik, ressourcefordeling, undervisningsindhold, karaktergivning og
evaluering og andre strategiske beslutninger relateret til hensigtsmæssig drift af skolen.
Figuren nedenfor viser andelen af skoler med et ledelsesteam i Danmark:
FIGUR 5.8
Andel af ledere, som angiver, at der er et ledelsesteam på skolen
94
92
99
93
Grundskole 7.-10. klasse
Ungdomsuddannelser
0%
20 %
40 %
2018
60 %
80 %
100 %
2013
Kilde: Spørgeskemaundersøgelse til ledere TALIS, 2018 (spørgsmål 18).
Størstedelen af skolelederne angiver, at de har et ledelsesteam på skolen. Blandt grundskolele-
derne er det 94 %, som angiver, at der er et ledelsesteam, mens det på ungdomsuddannelsesom-
rådet er 99 % af lederne.
Sammenlignes der med de øvrige nordiske lande og OECD-gennemsnittet, er der en større andel af
skolerne i Danmark, som har et ledelsesteam. Resultatet understøtter billedet fra 2013, hvor tallene
ligeledes viste, at størstedelen af danske grundskole- og ungdomsuddannelsesledelser havde et
ledelsesteam, og at Danmark var et af de lande, hvor andelen af grundskoler og ungdomsuddan-
nelser med et ledelsesteam var størst.
En større andel af de danske grundskoler og ungdomsuddannelser har et
ledelsesteam sammenlignet med flere af de øvrige nordiske lande
Figuren nedenfor viser andelen af grundskoler og ungdomsuddannelser i de nordiske lande, som
har et ledelsesteam.
Danmarks Evalueringsinstitut
60
BUU, Alm.del - 2019-20 - Bilag 127: OECD den internationale rapport om OECD’s Teaching and Learning International Survey (TALIS) 2018., fra børne- og undervisningsministeren
2169672_0061.png
TALIS 2018 – 2. rapport
Skoleledelse
FIGUR 5.9
Andel af ledere, der angiver, at der er et ledelsesteam på skolen
Grundskole 7.-10. klasse
Danmark
Norge
OECD
Island
Sverige
Finland
Ungdomsuddannelser
Danmark
Sverige
0%
20 %
84
99
71
81
77
87
94
92
40 %
60 %
80 %
100 %
Kilde: Spørgeskemaundersøgelse til ledere TALIS, 2018 (spørgsmål 18).
Note: Tal markeret med gul viser, hvilke landes besvarelser der er signifikant forskellige fra danske besvarelser ved et
signifikansniveau på 5 %.
Figuren viser, at andelen af grundskoler med et ledelsesteam er større i Danmark sammenlignet
med Island (81%) og Finland (71 %). Danmark ligger ligeledes over OECD-gennemsnittet, som er på
87 %, mens Danmark ligger på niveau med henholdsvis Norge (92 %) og Sverige (77 %). Andelen af
danske ungdomsuddannelser med et ledelsesteam er endvidere højere end i Sverige (84 %).
5.3.2
Hvilke personer indgår i skolernes ledelsesteam?
Foruden at blive spurgt om, hvorvidt der er et ledelsesteam på skolen, er lederne blevet spurgt om,
hvem der i givet fald er repræsenteret i skolens ledelsesteam. Nedenstående figur viser, hvem der
indgår i skolernes ledelsesteam:
Danmarks Evalueringsinstitut
61
BUU, Alm.del - 2019-20 - Bilag 127: OECD den internationale rapport om OECD’s Teaching and Learning International Survey (TALIS) 2018., fra børne- og undervisningsministeren
2169672_0062.png
TALIS 2018 – 2. rapport
Skoleledelse
FIGUR 5.10
Hvem er repræsenteret i skolens ledelsesteam?
Grundskole 7.-10. klasse
Skoleleder
Viceskoleleder, viceforstander, viceinspektør, souschef
SFO-leder, SFO-souschef
Afdelingsleder, uddannelsesleder
Økonomichef/administrativ leder
Lærere
Ungdomsuddannelser
Uddannelseschef, afdelingsleder, uddannelsesleder
Direktør, rektor
Vicedirektør, vicerektor, viceforstander
Økonomichef/administrativ leder
Lærere
0%
2018
7
1
52
65
70
91
96
93
93
96
6
5
35
42
62
43
72
87
100
98
100
20 %
2013
40 %
60 %
80 %
100 %
Kilde: Spørgeskemaundersøgelse til ledere TALIS, 2013 og 2018 (spørgsmål 16, 19).
Note: Det er udelukkende ledere, der har angivet, at der er et ledelsesteam på skolen, der har besvaret spørgsmålet.
Note: Tal markeret med gul viser, at der er sket en signifikant ændring fra 2013 til 2018 ved et signifikansniveau på 5 %.
Figuren viser, at de stillingsbetegnelser der oftest er repræsenteret i ledelsesteamet på grundskole-
området, er henholdsvis skoleleder (98 %), viceskoleleder (87 %), SFO-leder (72 %) og afdelingsle-
der (62 %). På ungdomsuddannelsesområdet er det stillingsbetegnelserne uddannelseschef (96
%), direktør (93 %) og vicedirektør (70 %), som oftest er repræsenteret i ledelsesteamet.
Figuren viser endvidere, at 35 % af grundskolelederne angiver, at der er en økonomichef/en admi-
nistrativ leder i ledelsesteamet, mens det er 52 % af lederne på ungdomsuddannelsesområdet,
som angiver dette. Derudover gælder det for de danske grundskoler og ungdomsuddannelser, at
lærerne er dem, der sjældnest er repræsenteret i ledelsesteamet (6 % og 7 %).
Endelig skal det nævnes, at resultaterne vedrørende svarkategorien ”Andet” er udeladt grundet
ændringer i svarkategorien fra 2013 til 2018, samt at spørgsmålet vedrørende SFO-ledere udeluk-
kende er stillet i 2018
8
.
8 2018: ”Andet”. 2013: ”Andre, fx SFO-leder”.
Danmarks Evalueringsinstitut
62
BUU, Alm.del - 2019-20 - Bilag 127: OECD den internationale rapport om OECD’s Teaching and Learning International Survey (TALIS) 2018., fra børne- og undervisningsministeren
2169672_0063.png
TALIS 2018 – 2. rapport
Skoleledelse
Sammenholder man resultaterne fra 2013 og 2018, er der sket flere ændringer i organiseringen af
skolernes ledelsesteams:
For det første er der sket et fald i andelen af viceskoleledere og vicedirektører, som er repræsente-
ret i ledelsesteamet. Faldet er på henholdsvis 13 procentpoint for de danske grundskoler (fra 100 %
til 87 %) og 21 procentpoint for ungdomsuddannelserne (fra 91 % til 70 %)
9
.
For det andet er der sket en stigning i andelen af afdelingsledere og uddannelseschefer, som er re-
præsenteret i ledelsesteamet. Stigningen er på 19 procentpoint for de danske grundskoler (fra 43
% til 62 %) og 3 procentpoint for de danske ungdomsuddannelser (fra 93 % til 96 %).
Når vi sammenligner de danske resultater med resultaterne fra de andre lande, ser vi, at andelen af
skoler med lærere repræsenteret i deres ledelsesteams er lavere i Danmark. Dette er beskrevet
nærmere nedenfor.
Andelen af skoler med lærere repræsenteret i deres ledelsesteams er lavere i
Danmark sammenlignet med de øvrige nordiske lande
Nedenstående figur viser andelen af skoler i Danmark og i de øvrige nordiske lande, der har lærere
repræsenteret i deres ledelsesteam:
FIGUR 5.11
Andel af lærere, som er repræsenteret i skolens ledelsesteam
Grundskole 7.-10. klasse
Finland
OECD
Norge
Sverige
Island
Danmark
Ungdomsuddannelser
Sverige
Danmark
0%
7
35
93
65
6
23
94
28
77
37
72
56
63
85
44
15
20%
Lærere repræsenteret
40%
60%
80%
100%
Lærere ikke repræsenteret
Kilde: Spørgeskemaundersøgelse til ledere TALIS, 2018 (spørgsmål 19).
Note: Tal markeret med gul viser, hvilke landes besvarelser der er signifikant forskellige fra danske besvarelser ved et
signifikansniveau på 5 %.
9 2018: ”Viceskoleleder, viceforstander, viceinspektør, souschef”. 2013: ”Viceinspektør/vicerektor/vicedirektør/viceforstander/ledende
inspektor/souschef”.
Danmarks Evalueringsinstitut
63
BUU, Alm.del - 2019-20 - Bilag 127: OECD den internationale rapport om OECD’s Teaching and Learning International Survey (TALIS) 2018., fra børne- og undervisningsministeren
2169672_0064.png
TALIS 2018 – 2. rapport
Skoleledelse
Figuren viser, at andelen af skoler i Danmark med lærere repræsenteret i ledelsesteamet er lavere
end i samtlige øvrige nordiske lande. Hvor det i Danmark er 6 % af skolerne, der har lærere i ledel-
sesteamet, er det til sammenligning 85 % af skolerne i Finland. I Norge er der lærere repræsenteret
i ledelsesteamet på 37 % af skolerne, mens det gælder 28 % og 23 % af skolerne i henholdsvis Sve-
rige og Island. Danmark ligger ligeledes under OECD-gennemsnittet på 56 %.
Andelen af danske ungdomsuddannelsesledere, der svarer, at der er lærere repræsenteret i ledel-
sesteamet på skolen, er også mindre end i Sverige. I Sverige er det således 35 % af skolerne, der har
lærere repræsenteret i ledelsesteamet, hvor det i Danmark er 7 % af skolerne.
5.3.3
Hvilken indflydelse har skolerne?
I TALIS spørges lederne om, hvem der har et væsentligt ansvar i forbindelse med varetagelsen af
forskellige opgaver. Med væsentligt ansvar menes i den forbindelse, at vedkommende spiller en
aktiv rolle i beslutningstagningen.
Overordnet set er det fælles for grundskole- og ungdomsuddannelsesområdet, at lederne har angi-
vet, at skolelederne/direktørerne har et væsentligt ansvar for varetagelsen af de forskellige opga-
ver. Det gælder fx med hensyn til ansættelsen og afskedigelsen af lærere, beslutninger vedrørende
skolens budget samt etableringen af politikker og procedurer for elevernes adfærd.
Derudover er det fælles for grundskole- og ungdomsuddannelsesområdet, at lederne har angivet,
at ansvaret generelt er fordelt bredt mellem de forskellige parter. For flere opgaver fremgår det så-
ledes, at eksempelvis andre medlemmer af skolens ledelsesteam, lærere og skolebestyrelsen lige-
ledes har et væsentligt ansvar. Det gælder fx med hensyn til ansættelsen af lærere og optagelsen af
elever, men også i forbindelse med beslutninger vedrørende prioriteringen af posterne på skolens
budget, er der flere parter, der har et væsentligt ansvar i Danmark. Nedenstående figur viser an-
svarsfordelingen ved ansættelsen af lærere.
FIGUR 5.12
Hvem har et væsentligt ansvar ved ansættelsen af lærere?
Grundskole 7.- 10. klasse
Skoleleder
Andre medlemmer af skolens ledelsesteam
Skolens bestyrelse
Lærere (ikke som medlemmer af skolens ledelsesteam)
Kommunale eller statslige myndigheder
Ungdomsuddannelser
Direktør, rektor
Andre medlemmer af skolens ledelsesteam
Lærere (ikke som medlemmer af skolens ledelsesteam)
Skolens bestyrelse
Kommunale eller statslige myndigheder
0%
Har et væsentligt ansvar
20%
40%
2
32
98
100
64
68
76
36
24
49
46
100
74
51
54
95
26
5
60%
80%
100%
Har ikke et væsentligt ansvar
Kilde: Spørgeskemaundersøgelse til ledere TALIS, 2018 (spørgsmål 20).
Danmarks Evalueringsinstitut
64
BUU, Alm.del - 2019-20 - Bilag 127: OECD den internationale rapport om OECD’s Teaching and Learning International Survey (TALIS) 2018., fra børne- og undervisningsministeren
2169672_0065.png
TALIS 2018 – 2. rapport
Skoleledelse
Det fremgår af figuren, at 95 % af skolelederne på grundskoleområdet har et væsentligt ansvar ved
ansættelsen af lærere. Samtidig svarer 74 % af lederne, at andre medlemmer af skolens ledelses-
team har et væsentligt ansvar for denne opgave. Endvidere er der henholdsvis 46 % og 49 %, der
svarer, at lærere og skolens bestyrelse har et væsentligt ansvar i denne sammenhæng.
Ser man på udviklingen fra 2013 til 2018, er der særligt to udviklinger, der skal fremhæves:
For det første er der på ungdomsuddannelsesområdet en tendens til, at andre medlemmer af sko-
lens ledelsesteam har et større ansvar i 2018. Det gælder fx med hensyn til fastlæggelsen af indhol-
det i de fag, der tilbydes (fra 18 % til 37 %), og valg af undervisningsmaterialer (fra 23 % til 41 %).
For det andet er der på ungdomsuddannelsesområdet ligeledes en tendens til, at kommunale eller
statslige myndigheder har et mindre ansvar i 2018. Dette kommer eksempelvis til udtryk ved fast-
sættelsen af lærernes startløn (fra 35 % til 13 %). Det skal dog bemærkes, at der er ændret i spørge-
skemaet fra 2013 og 2018, hvilket kan have betydning for den præsenterede udvikling
10
.
I det følgende ses der nærmere på, hvordan de danske resultater ser ud, når man sammenholder
dem med resultaterne fra de andre lande.
Danske skoleledere angiver, at ledelsesansvaret er mere delt sammenlignet med de
øvrige nordiske lande
Som tidligere nævnt er de danske resultater kendetegnet ved, at flere parter har et væsentligt an-
svar i forbindelse med de opgaver, der er spurgt ind til. Ud over skolelederen har andre medlem-
mer af skolens ledelsesteam, lærere og skolens bestyrelse således også i flere tilfælde et væsentligt
ansvar i forbindelse med varetagelsen af de forskellige opgaver.
Ser man i den forbindelse igen nærmere på ansættelsen af lærere, adskiller Danmark sig fra samt-
lige øvrige nordiske lande på grundskoleområdet. Danmark adskiller sig ligeledes fra Sverige på
ungdomsuddannelsesområdet. Tabellen nedenfor viser ansvarsfordelingen i forbindelse med an-
sættelsen af lærere:
10 2018: ”Kommunale eller statslige myndigheder”. 2013: ”Lokale eller statslige myndigheder”.
Danmarks Evalueringsinstitut
65
BUU, Alm.del - 2019-20 - Bilag 127: OECD den internationale rapport om OECD’s Teaching and Learning International Survey (TALIS) 2018., fra børne- og undervisningsministeren
2169672_0066.png
TALIS 2018 – 2. rapport
Skoleledelse
TABEL 5.1
Hvilke personer har et væsentligt ansvar ved ansættelsen af lærere?
Grundskole 7.-10. klasse
Skoleleder
Andre medlem-
mer af skolens
ledelsesteam
%
74
3
48
28
26
27
Lærere (ikke
som medlem-
mer af skolens
ledelsesteam)
%
46
2
1
8
3
7
Skolens bestyrelse
Kommunale el-
ler statslige
myndigheder
%
0
51
2
19
3
30
%
Danmark
Finland
Island
Norge
Sverige
OECD
95
81
99
91
98
73
%
49
4
1
9
0
12
Ungdomsuddannelse
Direktør, rektor
Andre medlem-
mer af skolens
ledelsesteam
%
64
15
Lærere (ikke
som medlem-
mer af skolens
ledelsesteam)
%
32
9
Skolens bestyrelse
Kommunale el-
ler statslige
myndigheder
%
0
10
%
Danmark
Sverige
76
98
%
2
0
Kilde: Spørgeskemaundersøgelse til ledere TALIS, 2018 (spørgsmål 20).
Note: På grundskoleområdet er der brugt svarkategorien ”Skoleleder”, mens der på ungdomsuddannelsesområdet er
brugt svarkategorien ”Direktør/rektor”.
Note: Tal markeret med fed viser, hvilke landes besvarelser der er signifikant forskellige fra danske besvarelser ved et
signifikansniveau på 5 %.
Det fremgår af tabellen, at Danmark især adskiller sig fra Finland med hensyn til ansvarsfordelin-
gen ved ansættelsen af lærere. I Danmark er det 74 %, der har svaret, at andre medlemmer af sko-
lens ledelsesteam har et væsentligt ansvar, mens det er 3 % i Finland. Dertil kommer, at henholds-
vis 46 % og 49 % af de danske ledere har svaret, at lærere og skolens bestyrelse har et væsentligt
ansvar, hvor det til sammenligning er 2 % og 4 % i Finland. Danmark adskiller sig ligeledes på sko-
lelederniveauet, hvor det i Danmark er 95 %, der har et væsentligt ansvar, mens andelen er 81 % i
Finland. Endelig skal det nævnes, at ingen af de danske ledere har svaret, at kommunale eller
startslige myndigheder har et væsentligt ansvar, mens det er 51 % i Finland.
Ovennævnte resultater viser, at de danske grundskolelærere har indflydelse på nogle af de opga-
ver, der er spurgt om i TALIS, selv om de ikke formelt er repræsenteret i skolens ledelsesteam, jf.
afsnit 5.2.3.
Danmarks Evalueringsinstitut
66
BUU, Alm.del - 2019-20 - Bilag 127: OECD den internationale rapport om OECD’s Teaching and Learning International Survey (TALIS) 2018., fra børne- og undervisningsministeren
2169672_0067.png
TALIS 2018 – 2. rapport
Skoleledelse
5.4 Ledelsesopgaver
I dette afsnit præsenteres resultaterne vedrørende ledernes opgaver. Først ser vi på, hvordan sko-
leledernes tid fordeler sig på forskellige opgaver, fx administrative opgaver og møder samt ledel-
sesmæssige opgaver og møder. Dernæst er det beskrevet, hvor ofte skolelederen har beskæftiget
sig med forskellige aktiviteter inden for de seneste 12 måneder, herunder fx overværelse af klasse-
undervisning og feedback til lærerne på baggrund af egne observationer.
5.4.1
Hvordan fordeler skolelederens tid sig på forskellige opgaver?
I TALIS spørges lederne om, hvor stor en procentdel af deres tid de bruger på forskellige opgaver i
løbet af et skoleår. I boksen herunder er det beskrevet, hvordan de forskellige opgaver er defineret i
TALIS.
Definition af ledelsesopgaver i TALIS
Administrative opgaver og møder:
Herunder samarbejde med forvaltningen, bekendtgørel-
ser, rapporter, skolens budget, skemalægning og klassesammensætning samt besvarelse af
henvendelser fra offentlige instanser.
Ledelsesmæssige opgaver og møder:
Herunder strategisk planlægning og ledelsesaktivite-
ter, såsom udarbejdelse af udviklingsplaner for skolen og personalespørgsmål som fx ansæt-
telse af nye medarbejdere.
Opgaver og møder relateret til indholdet i undervisningen og selve undervisningen:
Her-
under udvikling af undervisningsindhold, overværelse af undervisning, evaluering af elever,
vejledning af lærere, kompetenceudvikling af lærere.
Kontakt med elever:
Herunder disciplinære problemer, rådgivning og samtaler, der ikke
indgår i faste undervisningsaktiviteter.
Kontakt med forældre:
Herunder både formel og uformel kontakt.
Kontakt med det omgivende samfund og erhvervslivet i området:
Herunder samarbejde
med aftagerinstitutioner og samarbejde med andre skoler eller virksomheder om gennemfø-
relse af uddannelserne.
Danmarks Evalueringsinstitut
67
BUU, Alm.del - 2019-20 - Bilag 127: OECD den internationale rapport om OECD’s Teaching and Learning International Survey (TALIS) 2018., fra børne- og undervisningsministeren
2169672_0068.png
TALIS 2018 – 2. rapport
Skoleledelse
Nedenstående figur viser, hvordan skoleledernes tid fordeler sig på de forskellige opgaver.
FIGUR 5.13
Ledernes tid fordelt procentvis på nedenstående opgaver
Grundskole 7.-10. klasse
Administrative opgaver og møder
Ledelsemæssige opgaver og møder
Opgaver og møder relateret til indholdet i undervisningen og
selve undervisningen
Kontakt med elever
Kontakt med forældre
Kontakt med det omgivende samfund og erhvervslivet i
området
Andet
Ungdomsuddannelser
Ledelsemæssige opgaver og møder
Administrative opgaver og møder
Opgaver og møder relateret til indholdet i undervisningen og
selve undervisningen
Kontakt med det omgivende samfund og erhvervslivet i
området
Kontakt med elever
Kontakt med forældre
Andet
0%
2018
2013
4
4
4
5
15
19
13
10
9
11
29
27
4
4
7
6
14
18
11
12
10
10
28
26
20 %
40 %
Kilde: Spørgeskemaundersøgelse til ledere TALIS, 2013 og 2018 (spørgsmål 18, 21).
Note: Tal markeret med gul viser, at der er sket en signifikant ændring fra 2013 til 2018 ved et signifikansniveau på 5 %.
Figuren viser, at de danske grundskoleledere skønner, at de bruger 28 % af deres tid på administra-
tive opgaver og møder og 26 % på ledelsesmæssige opgaver og møder. Derudover skønner grund-
skolelederne eksempelvis, at de bruger 14 % af deres tid på opgaver og møder relateret til indhol-
det i undervisningen og selve undervisningen, mens de angiver at bruge 7 % af deres tid på kontakt
med det omgivende samfund.
På ungdomsuddannelsesområdet ses lignende resultater. Her skønner lederne, at de bruger 27 %
af deres tid på administrative opgaver og 29 % på ledelsesmæssige opgaver og møder. Endvidere
skønner de, at de bruger 15 % af deres tid på opgaver og møder relateret til indholdet i undervis-
ningen og selve undervisningen og 13 % på kontakt med det omgivende samfund.
Danmarks Evalueringsinstitut
68
BUU, Alm.del - 2019-20 - Bilag 127: OECD den internationale rapport om OECD’s Teaching and Learning International Survey (TALIS) 2018., fra børne- og undervisningsministeren
2169672_0069.png
TALIS 2018 – 2. rapport
Skoleledelse
I 2013 var der ét samlet spørgsmål for administrative og ledelsesmæssige opgaver og møder, mens
det i 2018 er delt op i to spørgsmål. Det har derfor ikke været muligt her at sammenligne med be-
svarelserne fra 2013
11
.
I et internationalt perspektiv skønner de danske ledere, at de bruger en mindre procentdel af deres
tid på administrative opgaver og møder end lederne i flere af de andre lande. Modsat skønner de
danske ledere at bruge en større procentdel af deres tid på ledelsesmæssige opgaver og møder,
opgaver relateret til undervisningen og selve undervisningen samt kontakten med det omgivende
samfund end lederne i flere af de andre lande. Resultaterne vedrørende administrative og ledelses-
mæssige opgaver samt møder er beskrevet nærmere i det følgende.
Danske ledere angiver at bruge en mindre andel af deres tid på administrative
opgaver og møder sammenlignet med flere af de øvrige nordiske lande
Nedenstående figur viser, hvilken procentdel af deres tid lederne bruger på administrative opgaver
og møder:
FIGUR 5.14
Procentdel af ledernes tid brugt på administrative opgaver og møder
Grundskole 7.-10. klasse
Norge
Sverige
Finland
OECD
Danmark
Island
Ungdomsuddannelser
Sverige
Danmark
0%
27
35
25
30
28
34
33
39
20 %
40 %
Kilde: Spørgeskemaundersøgelse til ledere TALIS, 2018 (spørgsmål 21).
Note: Tal markeret med gul viser, hvilke landes besvarelser der er signifikant forskellige fra danske besvarelser ved et
signifikansniveau på 5 %.
I Norge angiver lederne at bruge 39 % af deres tid på administrative opgaver, mens de svenske og
finske ledere skønner at bruge henholdsvis 34 % og 33 % af deres tid, og de tre lande ligger således
5-11 procentpoint over Danmark. Island ligger som det eneste land på niveau med Danmark med
25 %.
På ungdomsuddannelsesområdet skønner de svenske ledere at bruge 35 % af deres tid på denne
type opgaver, og de svenske ledere ligger dermed 8 procentpoint over de danske.
11 2013: ”Administrative og ledelsesmæssige opgaver og møder”.
Danmarks Evalueringsinstitut
69
BUU, Alm.del - 2019-20 - Bilag 127: OECD den internationale rapport om OECD’s Teaching and Learning International Survey (TALIS) 2018., fra børne- og undervisningsministeren
2169672_0070.png
TALIS 2018 – 2. rapport
Skoleledelse
Danske ledere angiver at bruge en større andel af deres tid på ledelsesmæssige
opgaver og møder sammenlignet med flere af de øvrige nordiske lande
Hvor de danske ledere angiver at bruge en mindre del af deres tid på administrative opgaver og
møder, forholder det sig anderledes med de ledelsesmæssige opgaver og møder. Figuren nedenfor
viser, hvilken procentdel af deres tid lederne bruger på ledelsesmæssige opgaver og møder.
FIGUR 5.15
Procentdel af ledernes tid brugt på ledelsesmæssige opgaver og møder
Grundskole 7.-10. klasse
Danmark
Finland
Sverige
Norge
OECD
Island
Ungdomsuddannelser
Danmark
Sverige
0%
23
29
21
20
24
24
23
26
20 %
40 %
Kilde: Spørgeskemaundersøgelse til ledere TALIS, 2018 (spørgsmål 21).
Note: Tal markeret med gul viser, hvilke landes besvarelser der er signifikant forskellige fra danske besvarelser ved et
signifikansniveau på 5 %.
Figuren viser, at det udelukkende er Finland (24 %), som ligger på niveau med Danmark på grund-
skoleområdet. De øvrige lande ligger dog relativt tæt på Danmark. I Sverige bruger lederne således
også 24 % af deres tid på ledelsesmæssige opgaver og møder, mens de norske ledere bruger 23 %
af deres tid på denne del. I Island skønner lederne at bruge 20 % af deres tid på ledelsesmæssige
opgaver og møder.
På ungdomsuddannelsesområdet skønner de svenske ledere, at de bruger 23 % af deres tid på le-
delsesmæssige opgaver og møder, hvilket er 6 procentpoint under Danmark.
5.4.2
Hvor ofte beskæftiger skolelederen sig med forskellige aktiviteter?
I TALIS er skolelederne desuden blevet spurgt om, hvor ofte de har beskæftiget sig med forskellige
opgaver inden for de seneste 12 måneder, herunder fx overværelse af klasseundervisning og feed-
back til lærerne på baggrund af egne observationer. Nedenstående figur viser andelen af danske
grundskole- og ungdomsuddannelsesledere, der har angivet, at de meget ofte eller ofte har be-
skæftiget sig med de forskellige aktiviteter inden for de seneste 12 måneder.
Danmarks Evalueringsinstitut
70
BUU, Alm.del - 2019-20 - Bilag 127: OECD den internationale rapport om OECD’s Teaching and Learning International Survey (TALIS) 2018., fra børne- og undervisningsministeren
2169672_0071.png
TALIS 2018 – 2. rapport
Skoleledelse
FIGUR 5.16
Andel af ledere, der meget ofte eller ofte beskæftiger sig med
nedenstående aktiviteter
Grundskole 7.-10. klasse
Jeg har iværsat konkrete tiltag for at sikre, at lærerne tager
ansvar for at forbedre deres pædagogiske/didaktiske…
Jeg har iværksat konkrete tiltag for at sikre, at lærerne tager
ansvar for elevernes udbytte af undervisningen
Jeg har gennemgået administrative procedurer og
afrapporteringer
Jeg har samarbejdet med lærere om at løse disciplinære
problemer i klasserne
Jeg har arbejdet på en plan for faglig kompetenceudvikling
for denne skole
Jeg har taget initiativ til at støtte samarbejde mellem
lærerne om at udvikle nye undervisningsformer
Jeg har afklaret skemamæssige problemer på skolen
Jeg har samarbejdet med skoleledere fra andre skoler om
udfordrende arbejdsopgaver
Jeg har givet forældre information om skolens og elevernes
resultater
Jeg har overværet undervisning i klasserne
Jeg har givet feedback til lærere baseret på mine egne
observationer
Ungdomsuddannelser
Jeg har iværksat konkrete tiltag for at sikre, at lærerne tager
ansvar for at forbedre deres pædagogiske/didaktiske…
Jeg har iværksat konkrete tiltag for at sikre, at lærerne tager
ansvar for elevernes udbytte af undervisningen
Jeg har taget initiativ til at støtte samarbejde mellem
lærerne om at udvikle nye undervisningsformer
Jeg har gennemgået administrative procedurer og
afrapporteringer
Jeg har samarbejdet med skoleledere fra andre skoler om
udfordrende arbejdsopgaver
Jeg har arbejdet på en plan for faglig kompetenceudvikling
for denne skole
Jeg har afklaret skemamæssige problemer på skolen
Jeg har samarbejdet med lærere om at løse disciplinære
problemer i klasserne
Jeg har overværet undervisning i klasserne
Jeg har givet feedback til lærere baseret på mine egne
observationer
Jeg har givet forældre information om skolens og elevernes
resultater
0%
2018
2013
19
17
17
14
12
27
42
26
26
24
40
65
37
58
53
57
51
48
51
46
18
17
17
29
28
24
50
56
47
45
44
42
40
41
58
45
55
59
54
55
20 %
40 %
60 %
80 %
Kilde: Spørgeskemaundersøgelse til ledere TALIS, 2013 og 2018 (spørgsmål 20, 22).
Note: Den fulde formulering af første svarmulighed for grundskole 7.-10. klasse og ungdomsuddannelser i figuren er:
”Jeg har iværksat konkrete tiltag for at sikre, at lærerne tager ansvar for at forbedre deres pædagogiske/didaktiske
kompetencer”.
Note: To udsagn var ikke med i TALIS 2013. Det drejer sig om ”Jeg har arbejdet på en plan for faglig kompetenceudvik-
ling for denne skole” og ”Jeg har givet feedback til lærere baseret på mine egne observationer”.
Note: Tal markeret med gul viser, at der er sket en signifikant ændring fra 2013 til 2018 ved et signifikansniveau på 5 %.
Note: I spørgsmålet spørges der ind til aktiviteter, lederne har beskæftiget sig med inden for de seneste 12 måneder.
Danmarks Evalueringsinstitut
71
BUU, Alm.del - 2019-20 - Bilag 127: OECD den internationale rapport om OECD’s Teaching and Learning International Survey (TALIS) 2018., fra børne- og undervisningsministeren
2169672_0072.png
TALIS 2018 – 2. rapport
Skoleledelse
Figuren viser, at lederne på grundskole- og ungdomsuddannelsesområdet især har beskæftiget sig
med at iværksætte konkrete tiltag for at sikre, at lærerne tager ansvar for at forbedre henholdsvis
deres pædagogiske/didaktiske kompetencer (59 % på grundskoleområdet og 58 % ungdomsud-
dannelsesområdet) og elevernes udbytte af undervisningen (55 % på grundskoleområdet og 57 %
på ungdomsuddannelsesområdet).
Ser vi på udviklingen fra 2013 til 2018 gælder det for begge områder, at en større andel af skolele-
derne i 2018 meget ofte eller ofte har beskæftiget sig med administrative procedurer og afrappor-
teringer. Konkret ses der på grundskoleområdet en stigning fra 24 % til 55 %, mens der på ung-
domsuddannelsesområdet ses en stigning fra 24 % til 46 %. Endvidere gælder det for begge områ-
der, at en mindre andel af skolelederne har samarbejdet med skoleledere fra andre skoler om ud-
fordrende arbejdsopgaver. På grundskoleområdet ses således et fald fra 58 % til 41 % og på ung-
domsuddannelsesområdet er det fra 65 % til 40 %.
Ovennævnte udvikling kan hænge sammen med, at der er foretaget formuleringsmæssige ændrin-
ger i spørgeskemaet fra 2013 til 2018, og ændringerne er derfor vigtige at have in mente i fortolk-
ningen af resultaterne. Angående de administrative procedurer og afrapporteringer
12
er der såle-
des kommet en lidt bredere formulering i 2018, mens formuleringen om samarbejdet med andre
skoleledere
13
er blevet mere snæver.
Sammenholder vi de danske resultater med resultaterne fra de øvrige nordiske lande, fremgår det
blandt andet, at der er en mindre andel af de danske lederne på grundskoleområdet, som har givet
feedback til lærerne baseret på egne observationer.
En mindre andel af danske grundskoleledere giver feedback til lærerne
sammenlignet med flere af de øvrige nordiske lande
Figuren nedenfor viser andelen af ledere, der meget ofte eller ofte giver feedback til lærerne.
12 2018: ”Jeg har gennemgået administrative procedurer og afrapporteringer”. 2013: ”Jeg har undersøgt administrative procedurer og
afrapporteringer for fejl”.
13 2018: ”Jeg har samarbejdet med skoleledere fra andre skoler om udfordrende arbejdsopgaver”. 2013: ”Jeg har samarbejdet med
ledere fra andre skoler”.
Danmarks Evalueringsinstitut
72
BUU, Alm.del - 2019-20 - Bilag 127: OECD den internationale rapport om OECD’s Teaching and Learning International Survey (TALIS) 2018., fra børne- og undervisningsministeren
2169672_0073.png
TALIS 2018 – 2. rapport
Skoleledelse
FIGUR 5.17
Andel af ledere, der meget ofte eller ofte har givet feedback til lærere
baseret på egne observationer
Grundskole 7.-10. klasse
OECD
Sverige
Finland
Norge
Island
Danmark
Ungdomsuddannelser
Sverige
Danmark
0%
17
29
19
17
25
38
38
50
20 %
40 %
60 %
Kilde: Spørgeskemaundersøgelse til ledere TALIS, 2018 (spørgsmål 22).
Note: Tal markeret med gul viser, hvilke landes besvarelser der er signifikant forskellige fra danske besvarelser ved et
signifikansniveau på 5 %.
Note: I spørgsmålet spørges der ind til aktiviteter, lederne har beskæftiget sig med inden for de seneste 12 måneder.
Hvor det i Danmark er 17 % af lederne, som giver feedback baseret på egne observationer, er det
38 % af lederne i Finland og Sverige. Andelen af ledere, som giver feedback i Norge (25 %) og Island
(19 %), ligger på samme niveau som i Danmark.
På ungdomsuddannelsesområdet ligger Danmark på niveau med Sverige (29 %), og det er således
udelukkende på grundskoleområdet, at de danske ledere adskiller sig.
Danmarks Evalueringsinstitut
73
BUU, Alm.del - 2019-20 - Bilag 127: OECD den internationale rapport om OECD’s Teaching and Learning International Survey (TALIS) 2018., fra børne- og undervisningsministeren
Appendiks A – Litteraturliste
Egelund, N. (2009).
TALIS: Lærere og skoleledere om undervisning, kompetenceudvikling og evalue-
ring – i et internationalt perspektiv.
Aarhus: Aarhus Universitet.
EVA. (2014).
TALIS 2013: OECD’s lærer- og lederundersøgelse.
København: Danmarks Evalueringsin-
stitut.
EVA. (2018).
Gymnasiereformen følgeforskningsprogram 3. delrapport.
København: Danmarks Evalu-
eringsinstitut.
EVA. (2019a).
Kortlægning af pædagogisk kompetenceudvikling blandt lærere på EUD.
København:
Danmarks Evalueringsinstitut.
EVA. (2019b).
TALIS 2018 – 1. Rapport: OECD’s lærer- og lederundersøgelse.
København: Danmarks
Evalueringsinstitut.
OECD. (2014).
TALIS 2013 Results: An International Perspective on Teaching and Learning.
Paris:
OECD Publishing.
OECD. (2019).
TALIS 2018 Technical Report (Volume I): Preliminary version.
Paris: OECD Publishing.
Danmarks Evalueringsinstitut
74
BUU, Alm.del - 2019-20 - Bilag 127: OECD den internationale rapport om OECD’s Teaching and Learning International Survey (TALIS) 2018., fra børne- og undervisningsministeren
Appendiks B – Metode
Datagrundlag
Denne rapport baserer sig på spørgeskemadata fra TALIS 2013 og TALIS 2018. Der er i begge TALIS-
runder udsendt spørgeskemaer til et repræsentativt udvalg af lærere og ledere på i alt tre uddan-
nelsesniveauer: grundskolens 0.-6. klasse, grundskolens i 7.-10. klasse samt ungdomsuddannelser.
I TALIS 2018 har Danmarks Statistik gennemført de danske spørgeskemaundersøgelser, hvor ho-
veddelen af dataindsamlingen er sket i marts-april 2018. De danske data fra TALIS 2013 er indsam-
let af Styrelsen for It og Læring i februar-marts 2013. Dette appendiks fokuserer på, hvordan de
danske spørgeskemaundersøgelser i TALIS 2018 er gennemført. For en gennemgang af de danske
spørgeskemaundersøgelser fra TALIS 2013, se appendiks i rapporten
TALIS 2013: OECD’s lærer- og
lederundersøgelse
(EVA, 2014). Se desuden
Technical Report TALIS 2018
(www.oecd.org/talis) for
flere detaljer om gennemførelse af TALIS.
Spørgeskemaerne
Der er i begge TALIS-runder udsendt spørgeskemaer til seks respondentgrupper. Der er udsendt to
spørgeskemaer for hvert af de tre uddannelsesniveauer, henholdsvis ét til lærere og ét til ledere. De
tre spørgeskemaer til ledere på de tre forskellige uddannelsesniveauer, er, bortset fra enkelte
spørgsmål og hjælpetekster, identiske. Det samme gælder for de tre udsendte spørgeskemaer til
lærere.
OECD har sammen med et internationalt projektkonsortium og en række eksperter udfærdiget
spørgeskemaerne. Spørgsmålene er stillet med udgangspunkt i den nyeste viden om, hvilke for-
hold der er af betydning for undervisning og læring, herunder forhold af ledelsesmæssig betydning
i undervisningssektoren. Spørgsmålene er så vidt muligt stillet, så de har samme betydning i de for-
skellige deltagende lande. Alle deltagende lande har været involveret i processen og har haft mu-
lighed for at komme med forslag til nye spørgsmål samt for at komme med ændringsforslag til de
eksisterende spørgsmål. Desuden har det været muligt at tilføje nationale spørgsmål og udsagn,
som kun er stillet i det pågældende land. Temaer og spørgsmål i spørgeskemaerne tager i høj grad
udgangspunkt i spørgeskemaerne fra TALIS 2013. Der er dog lavet mange ændringer i spørgsmå-
lene fra 2013 til 2018, og der er derudover også fjernet spørgsmål, og nye er kommet til i 2018. Der
er foretaget en grundig analyse af, hvilke spørgsmål der kan sammenlignes på tværs af år. I indled-
ningen til kapitel 3, 4 og 5 beskrives, hvilke undertemaer der indeholder spørgsmål, hvor man kan
undersøge ændringer fra 2013 til 2018. De udsendte spørgeskemaer kan ses på
www.uvm.dk.
Un-
der hver tabel og figur i rapporten står, hvilket spørgsmålsnummer tabellen eller figuren tager af-
sæt i. Spørgsmålsnummeret henviser til spørgeskemaet for grundskolens 7.-10 klasse.
Danmarks Evalueringsinstitut
75
BUU, Alm.del - 2019-20 - Bilag 127: OECD den internationale rapport om OECD’s Teaching and Learning International Survey (TALIS) 2018., fra børne- og undervisningsministeren
TALIS 2018 – 2. rapport
Appendiks B – Metode
I TALIS 2018 bestod skemaet til lærere af 58 spørgsmål fordelt på 9 temaer:
1.
2.
3.
4.
5.
6.
7.
8.
9.
Baggrund og kvalifikationer
Nuværende arbejde
Faglig kompetenceudvikling
Feedback
Undervisning generelt
Undervisning i denne klasse
Diversitet på skolen
Miljøet på skolen og jobtilfredshed
Lærermobilitet.
Skemaet til skolelederne i 2018 bestod af i alt 45 spørgsmål fordelt på 8 temaer:
1.
2.
3.
4.
5.
6.
7.
8.
Personlige baggrundsoplysninger
Baggrundsoplysninger om skolen
Skoleledelse
Formel evaluering af lærere
Miljøret på skolen
Introduktions- og mentorordninger
Diversitet på skolen
Jobtilfredshed.
Spørgeskemaerne var webbaserede og kunne besvares på forskellige elektroniske platforme. Alle
udtrukne skoleledere og lærere modtog en lukket invitationskonvolut indeholdende information
om TALIS 2018, link til det elektroniske skema og en personlig adgangskode.
Stikprøvedesign og udvælgelse af skoler
I TALIS dannes tre separate stikprøver, ét for hvert uddannelsesniveau. I TALIS anvendes et klynge-
stikprøvedesign, der foretages i to skridt. Først udvælges 200 skoler tilfældigt inden for det pågæl-
dende uddannelsesniveau, hvorefter 20 lærere på de udvalgte skoler tilfældigt udvælges. Skolerne
er udvalgt tilfældigt inden for fastlagte strata. På grundskoleområdet er de danske skoler blevet
stratificeret i forhold til: offentlig/privat skole, skolestørrelse, samt hvilken region skolen tilhører.
Stratificeringen sikrer, at stikprøven af de 200 skoler er repræsentativ for de nævnte forhold. Hvis
en skole nægter at deltage i undersøgelsen, udtrækkes erstatningsskoler blandt skoler fra samme
strata. I TALIS er der dog et krav om, at over 50 % af de oprindeligt udtrukne 200 skoler skal deltage
i undersøgelsen.
Danmarks Evalueringsinstitut
76
BUU, Alm.del - 2019-20 - Bilag 127: OECD den internationale rapport om OECD’s Teaching and Learning International Survey (TALIS) 2018., fra børne- og undervisningsministeren
2169672_0077.png
TALIS 2018 – 2. rapport
Appendiks B – Metode
På ungdomsuddannelsesniveauet er det ikke muligt at udvælge 200 institutioner og samtidig
kunne udvælge erstatningsskoler, da antallet af ungdomsuddannelsesinstitutioner er for lille. Lige-
som i TALIS 2013 blev det i samråd med
OECD
besluttet at nedsætte antallet af udvalgte institutio-
ner til 150. Samtidig blev det besluttet at definere undersøgelsesenheden til at være en uddannel-
sesretning på en institution frem for en hel institution. Der blev i alt defineret syv uddannelsesret-
ninger. Erhvervsuddannelserne blev opdelt i fire uddannelsesretninger, der følger erhvervsuddan-
nelsernes fire hovedområder, mens de gymnasiale uddannelser blev inddelt i tre uddannelsesret-
ninger: hhx, htx og stx inklusiv hf. På denne baggrund bestod udvælgelsesgrundlaget af 397 under-
søgelsesenheder. Enhederne blev stratificeret efter uddannelsesretning, størrelse (antal elever),
samt hvilken region institutionen var placeret i. Der blev så vidt muligt tilfældigt udvalgt erstat-
ningsundersøgelsesenheder inden for samme strata.
Svarprocent
I følgende to tabeller fremgår antal besvarelser og svarprocenter, først fra de tre lederundersøgel-
ser, dernæst fra de tre lærerundersøgelser.
TABEL B.1
Antal besvarelser og svarprocenter for lederundersøgelser
Antal besvarelser
Svarprocent blandt
oprindeligt
udtrukne skoler
57
Svarprocenter efter brug
af erstatningsskoler
Grundskoleledere
(0.-6. klasse)
Grundskoleledere
(7.-10. klasse)
Ungdomsuddannelsesle-
dere
Kilde: Technical Report TALIS 2018.
145
73
140
52
71
96
58
71
Af tabellen ses to svarprocenter. Første svarprocent viser, hvor stor en andel af lederne der har be-
svaret skemaet på de skoler, der oprindeligt var udtrukket til at deltage. I TALIS er der et krav om, at
over 50 % af de oprindeligt udtrukne skoler skal have en lederbesvarelse, hvilket er et krav, der mø-
des for alle tre danske lederundersøgelser. Anden svarprocent viser andel lederbesvarelser, efter at
skoler, der nægter at deltage, erstattes af lignende skoler. Svarprocenten ligger her over 70 % for
alle tre undersøgelser.
Danmarks Evalueringsinstitut
77
BUU, Alm.del - 2019-20 - Bilag 127: OECD den internationale rapport om OECD’s Teaching and Learning International Survey (TALIS) 2018., fra børne- og undervisningsministeren
2169672_0078.png
TALIS 2018 – 2. rapport
Appendiks B – Metode
TABEL B.2
Antal besvarelser og svarprocenter for lærerundersøgelser
Antal skoler
Antal
lærerbesvarelser
Andel skoler, der
deltager, i forhold til
oprindeligt ud-
trukne skoler
59
Svarprocent blandt
lærere på de delta-
gende skoler
Grundskolelærere
(0.-6. klasse)
Grundskolelærere
(7.-10. klasse)
Ungdomsuddannel-
seslærere
Kilde: Technical Report TALIS 2018.
154
2.592
88
141
2.001
51
87
111
1.670
66
86
Ovenstående tabel beskriver, hvor mange lærerbesvarelser der er på de tre uddannelsesniveauer,
samt hvor mange skoler lærerbesvarelserne er fordelt på. Tredje kolonne beskriver, hvor mange af
de oprindeligt udtrukne skoler der deltager i undersøgelsen. For at en skole kan deltage i TALIS,
skal mindst 50 % af de udtrukne lærere på skolen besvare skemaet. I TALIS er det et krav, at mindst
50 % af de oprindeligt udtrukne skoler deltager. Som det ses af tabellen, bliver dette krav opnået
for alle tre lærerundersøgelser. Fjerde kolonne beskriver svarprocenten blandt de skoler, der delta-
ger i undersøgelsen. Af tabellen ses, at svarprocenterne er på 86-88 %.
Bortfaldsanalyse
EVA har gennemført bortfaldsanalyse af de skoler, der deltager på de tre uddannelsesniveauer.
Bortfaldsanalysen kan bruges til at indikere, om de skoler, der deltager i undersøgelsen, er repræ-
sentative for populationen af skolerne på de tre uddannelsesniveauer. Bortfaldsanalysen er gen-
nemført for de skoler, der deltager i de tre lederundersøgelser. Der er ikke gennemført en tilsva-
rende analyse for de skoler, der deltager i lærerundersøgelsen, da der kun er få flere skoler, der del-
tager i lærerundersøgelserne (1-9 flere skoler).
Danmarks Evalueringsinstitut
78
BUU, Alm.del - 2019-20 - Bilag 127: OECD den internationale rapport om OECD’s Teaching and Learning International Survey (TALIS) 2018., fra børne- og undervisningsministeren
2169672_0079.png
TALIS 2018 – 2. rapport
Appendiks B – Metode
I nedenstående tabel ses bortfaldsanalyse af grundskolens 0.-6. klasse samt grundskolens 7.-10.
klasse.
TABEL B.3
Bortfaldsanalyse af grundskolens 0.-6. klasse samt grundskolens 7.-10.
klasse
Grundskolens 0.6. klasse
Population af skoler
(n = 1.694)
Regioner
Nordjylland
Midtjylland
Syddanmark
Hovedstadsområdet
Sjælland
Skoletype 1
Folkeskole
Privatskole
Skoletype 2
Indeholder begge
grundskoleniveauer
(0.-6. klasse og 7.-
10. klasse)
Indeholder kun det
pågældende niveau
Skolestørrelse
(antal elever)
Op til 290
290-450
Over 450
33 %
34 %
34 %
24 %*
42 %*
35 %
30 %
36 %
34 %
30 %
39 %
31 %
81 %
80 %
81 %
80 %
71 %
29 %
79 %*
21 %*
64 %
36 %
64 %
36 %
12 %
25 %
24 %
22 %
16 %
8 %*
32 %*
21 %
21 %
17 %
11 %
24 %
23 %
26 %*
16 %
14 %
25 %
23 %
21 %
17 %
Deltagende skoler
(n = 145)
Grundskolens 7.-10. klasse
Population af skoler
(n = 1.470)
Deltagende skoler
(n = 140)
19 %
20 %
19 %
20 %
Kilde: Spørgeskema til ledere TALIS (2018) samt oplysninger fra Danmarks Statistiks sampleframe.
Note: *Andelen blandt deltagende skoler er signifikant forskellig fra andelen blandt populationen af skoler.
Blandt de deltagende grundskoler med 0.-6. klasse er der en underrepræsentation af små skoler og
en overrepræsentation af mellemstore skoler. Desuden er der en overrepræsentation af folkeskoler
og skoler placeret i region Midtjylland. Den største forskel mellem populationen af skoler og delta-
gende skoler for grundskolens 0.-6. klasse er dog kun på 9 procentpoint.
For grundskolens 7.-10. klasse er der kun signifikant forskel mellem deltagende skoler og populati-
onen af skoler for andel skoler placeret i hovedstaden. Der er en lille underrepræsentation af delta-
gende skoler i region Hovedstaden på 5 procentpoint.
Danmarks Evalueringsinstitut
79
BUU, Alm.del - 2019-20 - Bilag 127: OECD den internationale rapport om OECD’s Teaching and Learning International Survey (TALIS) 2018., fra børne- og undervisningsministeren
2169672_0080.png
TALIS 2018 – 2. rapport
Appendiks B – Metode
I nedenstående tabel ses bortfaldsanalyse for ungdomsuddannelsesniveauet.
TABEL B.4
Bortfaldsanalyse af ungdomsuddannelserne
Population af
undersøgelsesenheder
(n = 397)
Regioner
Nordjylland
Midtjylland
Syddanmark
Hovedstadsområdet
Sjælland
Uddannelsesretning
Erhvervsuddannelsernes hovedom-
råde 1
Erhvervsuddannelsernes hovedom-
råde 2
Erhvervsuddannelsernes hovedom-
råde 3
Erhvervsuddannelsernes hovedom-
råde 4
Stx/hf
Htx
Hhx
Undersøgelsesenhedens størrelse
(antal elever)
Op til 320
320-750
Over 750
33 %
33 %
34 %
33 %
23 %*
44 %*
7%
7%
12 %
28 %
24 %
22 %
15 %
13 %
29 %
23 %
21 %
15 %
Deltagende
undersøgelsesenheder
(n = 96)
12 %
11 %
10 %
10 %
9%
9%
43 %
8%
11 %
44 %
9%
11 %
Kilde: Spørgeskema til ledere TALIS (2018) samt oplysninger fra Danmarks Statistiks sampleframe.
Note: *Andelen blandt deltagende undersøgelsesenheder er signifikant forskellig fra andelen blandt populationen af
undersøgelsesenheder.
For ungdomsuddannelserne er der kun signifikant forskel mellem deltagende undersøgelsesenhe-
der og populationen af undersøgelsesenheder i forhold til størrelsen af enheden. Undersøgelses-
enheder, der har mellem 320 og 750 elever, er underrepræsenteret med 10 procentpoint, mens det
modsatte er gældende for undersøgelsesenheder med over 750 elever.
Danmarks Evalueringsinstitut
80
BUU, Alm.del - 2019-20 - Bilag 127: OECD den internationale rapport om OECD’s Teaching and Learning International Survey (TALIS) 2018., fra børne- og undervisningsministeren
TALIS 2018 – 2. rapport
© 2020 Danmarks Evalueringsinstitut
Citat med kildeangivelse er tilladt
Publikationen er kun udgivet i elektronisk form på: www.eva.dk
ISBN (www) 978-87-7182-391-2
81
BUU, Alm.del - 2019-20 - Bilag 127: OECD den internationale rapport om OECD’s Teaching and Learning International Survey (TALIS) 2018., fra børne- og undervisningsministeren
2169672_0082.png
Danmarks Evalueringsinstitut (EVA) gør uddannelse og
dagtilbud bedre. Vi leverer viden, der bruges på alle niveauer
fra institutioner og skoler til kommuner og ministerier.
DANMARKS
EVALUERINGSINSTITUT
T 3555 0101
E [email protected]
H www.eva.dk