Boligudvalget 2019-20
BOU Alm.del Bilag 72
Offentligt
2185122_0001.png
Analyse af renoveringsbehov i den almene
boligsektor
Delrapport III: Vurdering af incitamenter og effektivitet i renoverings- og
driftsstøtteordningerne
5. marts 2020
1
BOU, Alm.del - 2019-20 - Bilag 72: Offentliggørelse af renoveringsanalyser, fra boligministeren
2185122_0002.png
Delrapport III:
Vurdering af
incitamenter og
effektivitet i
renoverings- og
driftsstøtteordningerne
2
BOU, Alm.del - 2019-20 - Bilag 72: Offentliggørelse af renoveringsanalyser, fra boligministeren
1
1.1
Indledning
Analysens grundlag
4
5
2
2.1
2.2
Det nuværende støttesystem
Afdelingernes selvstændighed
balancelejeprincippet
Støtte fra Landsbyggefonden
solidaritetsprincippet
6
6
7
3
3.1
3.2
Støttesystemets understøttelse af den almene sektors
formål
Støttekategorier og passende boliger
Driftsstøtteordningen og rimelig husleje
19
19
21
4
5
5.1
5.2
5.3
Incitamenter og adfærd i støttesystemet
Støttesystemets effektivitet
Effektivitet i forhold til lovgivningens formål
Effektivitet i forhold til afdelingernes økonomiske selvstændighed
Effektivitet i allokeringen af støttemidler
24
32
32
34
36
6
7
7.1
7.2
7.3
Samlet vurdering
Bilag
Bilag 1. Renoveringsstøtteordningens baggrund
Bilag 2. Beskrivelse af huslejemodellens beregningsteknik
Regressioner
39
45
45
47
50
3
BOU, Alm.del - 2019-20 - Bilag 72: Offentliggørelse af renoveringsanalyser, fra boligministeren
2185122_0004.png
1
Indledning
Analysen har til formål at vurdere incitamenter og effektivitet i de
nuværende renoverings- og driftsstøtteordninger.
Landsbyggefonden blev oprettet i 1967 og har siden ydet forskellige former for renoveringsstøtte
og driftsstøtte. Støtteformerne har gennem årene varieret. En væsentlig del af støtten ydes i dag i
regi af renoveringsstøtteordningen og i regi af driftsstøtteordningen. Dertil kommer særlige tilskud
til renoveringer og støtte til boligsociale indsatser. Endelig yder Landsbyggefonden støtte til
nybyggeri.
Landsbyggefondens udgifter til renoverings- og driftsstøtte samt tilskud til renoveringer til almene
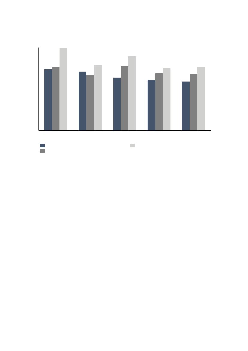
boligafdelinger udgør årligt ca. 2,2 mia. kr., jf. figur 1 nedenfor.
1
Udover Landsbyggefondens støtte
til almene afdelinger afholder boligorganisationerne også udgifter til tilskud og driftsstøtte til
afdelingerne, og staten yder driftsstøtte som følge af forskellige ældre driftsstøtteordninger.
2
Figur 1. Landsbyggefondens støtte (tilskud og lån) til almene afdelinger (mio. kr.)
2017
Renoveringsstøtte (ydelsesstøtte)
509
2018
439
Tilskud til renoveringer (infrastruktur og investeringstilskud)
Driftsstøtte eksklusive boligsociale indsatser
Boligsociale indsatser
110
1.297
236
217
1.385
235
Samlede renoverings- og driftsstøtte
2.152
2.276
Kilde:
Landsbyggefonden
Renoverings- og driftsstøttesystemet er et komplekst system med mange forskellige ordninger. De
indgår i et kompliceret samspil, hvor der er opstillet forskellige rammer og kriterier for, hvornår og
til hvad en afdeling kan opnå st øtte. Den høje grad af kompleksitet samt mængden af ordninger
kan føre til ineffektivitet i systemet. Det kan på den baggrund være relevant at vurdere, hvordan
systemet i dag samlet set fungerer. Med udgangspunkt i kvantitative analyser og kvalitative
Figur 2. Overordnede formål med systemet med udgangspunkt i gældende lovgivning
Den almene sektor stiller ”passende boliger til rådighed for alle med behov herfor til en rimelig husleje”,
jf. Almenboliglovens formålsparagraf (§ 5b).
Den enkelte afdeling har selvstændig beslutningskompetence og er en selvstændig økonomisk enhed,
hvor udgifter og husleje skal balancere, jf. Almenboliglovens §§ 16 og 37.
Landsbyggefonden bidrager til sektorens selvfinansiering ved at støtte afdelinger, hvis videreførelse som
almene boligafdelinger er truet, jf. blandt andet Almenboliglovens § 76 og Landsbyggefondens regulativer.
1
Udgifterne skal ikke forveksles med Landsbyggefondens investeringsramme svarende til
omfanget
af renoveringer med
ydelsesstøtte fra Landsbyggefonden, som behandles i delrapport II. Investeringsrammen er udtryk for det renoveringsomfang
finansieret af realkreditlån, som Landsbyggefonden kan give tilsagn om ydelsesstøtte til. Det skal bemærkes, at opgørelsen af
udgifterne til driftsstøtte både omfatter driftsstøtte, der gives som tilskud, og driftsstøtte, der gives som rente- og afdragsfrie
lån.
2
De statslige
driftsstøtteordninger har været under udfasning siden 1980’erne, og den statslige driftsstøtte, der blev givet som
lån, tilbagebetales gradvist.
4
BOU, Alm.del - 2019-20 - Bilag 72: Offentliggørelse af renoveringsanalyser, fra boligministeren
2185122_0005.png
interviews med aktører inden for sektoren er fokus for analysen en vurdering af, om systemet
effektivt opnår de overordnede formål med systemet jf. figur 2.
Analysen indledes med en kort beskrivelse af analysens grundlag. Derefter følger fem kapitler, hvor
det vurderes, om systemet understøtter de ovenstående målsætninger.
De fem kapitler er bygget op som følgende:
Kapitel 2:
Det nuværende støttesystem.
I kapitlet gives en gennemgang af det nuværende
støttesystem.
Kapitel 3:
Støttesystemets understøttelse af den almene sektors formål.
I kapitlet undersøges
aktørernes syn på renoveringsstøtteordningens støttekategorier og driftsstøtteordningernes effekt i
forhold til at sikre passende boliger til en rimelig husleje.
Kapitel 4:
Incitamenter og adfærd i støttesystemet.
I kapitlet undersøges incitamenterne i det
nuværende system, herunder eventuelle free-rider-problematikker i forhold til renoverings- og
driftsstøtteordningerne.
Kapitel 5:
Støttesystemets effektivitet.
I kapitlet vurderes systemets struktur og effektivitet i
forhold til at opnå de fastsatte målsætninger.
Kapitel
6: Samlet vurdering.
Opsummering af de væsentligste observationer og overvejelser.
1.1 Analysens grundlag
Analysen er baseret dels på kvantitative analyser, dels kvalitative analyser. Det sker med henblik
på at sikre, at systemet bliver belyst på den mest dækkende måde. De kvantitative analyser
bygger på regnskabsdata fra perioden 2007-2017
3
sammenholdt med data for støttede
renoveringer fra samme periode. Det skal bemærkes, at dataperioden er relativt kort, hvilket kan
medføre en vis usikkerhed om konklusionerne.
De kvalitative analyser er baseret på interviews gennemført med aktører inden for sektoren med
deltagelse af følgende:
Landsbyggefonden
13 boligselskaber (selvadministrerede boligorganisationer og administrationsselskaber)
Tilsynet med den almene sektor i fire kommuner
Interviewene er gennemført delvist som fokusgruppeinterview, delvist som solointerview. Der vil
naturligt fremkomme forskellige synspunkter i interviewene. Analysen er baseret på generelle
synspunkter, der er fremsat på tværs af interviewene, eller relevante eksempler på adfærd, som
flere aktører har givet udtryk for.
3
Dataperioden begrænses blandt andet af, at Landsbyggefondens stamdata ikke går længere tilbage end 2007.
5
BOU, Alm.del - 2019-20 - Bilag 72: Offentliggørelse af renoveringsanalyser, fra boligministeren
2185122_0006.png
2
Det nuværende støttesystem
Formålet med kapitlet er at beskrive det eksisterende støttesystem som
grundlag for analyserne i de følgende kapitler.
Kapitlet indledes med en beskrivelse af balancelejeprincippet, der skal sikre, at en afdeling som
udgangspunkt skal være i økonomisk balance og ikke have behov for støtte. Dernæst beskrives
afdelingens muligheder for at få støtte fra Landsbyggefonden. I dette afsnit om Landsbyggefondens
støttesystem beskrives først renoveringsstøtteordningen, herunder hvilke renoveringsindsatser der
støttes af Landsbyggefonden, og hvordan disse renoveringer finansieres. Dernæst beskrives
driftsstøtteordningen, der giver mulighed for efterfølgende løbende støtte.
Både balancelejeprincippet og Landsbyggefondens støttesystem skal tilsammen sikre, at
afdelingerne lever op til lovens formål om at stille passende boliger til rådighed til en rimelig
husleje, jf. figur 2.
Det er et overordnet princip i den almene sektor, at hver afdeling er en selvstændig økonomisk
enhed, hvor indtægterne/huslejen og udgifterne balancerer. Princippet om at den enkelte afdeling
er en selvstændig økonomisk enhed, indebærer, at afdelingens vedligeholdelse skal finansieres
enten af henlæggelser eller af de løbende driftsudgifter.
Det følger desuden af princippet om selvstændighed, at den enkelte afdeling på et afdelingsmøde
har mulighed for at beslutte at foretage forbedringer, der skal finansieres af forbedringslån, som
afdelingen selv afdrager. De forbedringer, som afdelingerne udfører på den baggrund, er typisk
forbedringer, der:
øger kvaliteten af boligerne, fx etablering af nye køkkener, badeværelser og altaner
øger kvaliteten af fællesarealer, fx ny legeplads, grillplads, fælleslokale mv.
øger kvaliteten af installationer og klimaskærm med henblik på at begrænse
energiforbruget samt at skabe mere komfort, fx forbedring af varmeanlæg og isolering
øger kvaliteten af bygningsdele i forbindelse med vedligehold/fornyelse, blandt andet som
følge af nye lovkrav, fx ved udskiftning af vinduer og elinstallationer.
2.1 Afdelingernes selvstændighed
balancelejeprincippet
Kravene til finansiering af vedligehold og forbedringer skal sikre, at beboerne i en afdeling selv
træffer beslutning om deres ønskede boligforbrug og betaler en husleje, der svarer til dette
boligforbrug. Beboerne betaler således gennem henlæggelser for deres slid/forbrug af bygningen
og gennem ydelsen på lån for de forbedringer, som de beslutter at gennemføre og nyde godt af.
En afdeling har mulighed for at få tilskud til sit vedligehold og sine forbedringer fra blandt andet
boligorganisationen. Den væsentligste tilskudsmulighed er trækningsretten, se figur 3 nedenfor.
Figur 3. Trækningsretten
En del af de midler, som boligorganisationens afdelinger indbetaler til Landsbyggefonden, indsættes på en
særskilt konto i Landsbyggefonden, som den enkelte boligorganisation råder over. Midlerne kaldes
trækningsretten.
Boligorganisationen kan med godkendelse fra Landsbyggefonden bevilge tilskud til sine afdelinger af
midlerne. Tilskuddet kan bevilges til en bred vifte af forbedringsarbejder og til særligt udgiftskrævende
vedligeholdelsesarbejder. Trækningsret bevilges både til enkeltstående forbedrings- og
vedligeholdelsesarbejder og til at finansiere en del af renoveringen i forbindelse med en støttet renovering.
Tilskuddet kan maksimalt udgøre 2/3 af udgifterne til de pågældende arbejder, men udgør i praksis i
gennemsnit ca. 1/3. Der udbetales i alt ca. 450-500 mio. kr. årligt i trækningsret.
6
BOU, Alm.del - 2019-20 - Bilag 72: Offentliggørelse af renoveringsanalyser, fra boligministeren
2185122_0007.png
Der kan imidlertid være tilfælde, hvor en afdeling ikke selv er i stand til at løse driftsøkonomiske
udfordringer, herunder især nødvendige vedligeholdelses- og forbedringsopgaver. Til at håndtere
sådanne situationer er der i den almene sektor etableret to typer solidariske ordninger. Det er dels
Landsbyggefondens renoveringsstøtteordning, dels Landsbyggefondens driftsstøtteordning. Begge
ordninger giver mulighed for, at en afdeling kan modtage støtte i forbindelse med renoveringer.
Nedenfor beskrives de to ordninger.
2.2 Støtte fra Landsbyggefonden
solidaritetsprincippet
Renoveringsstøtteordningen
Landsbyggefonden støtter inden for renoveringsstøtteordningen renoveringer i almene
boligafdelinger inden for en investeringsramme fastsat i lovgivningen.
4
Støtten består i, at almene
afdelinger inden for denne investeringsramme kan gennemføre renoveringer, som finansieres af
almindelige realkreditlån, men hvor Landsbyggefonden betaler en del af ydelsen i form af
ydelsesstøtte, jf. figur 4.
5
Figur 4. Ydelsesstøtten
Ydelsesstøtten indebærer, at der i hver enkelt renoveringssag fastsættes en ydelsesprocent for de
realkreditlån, som finansierer renoveringen. Den fastsatte ydelsesprocent kaldes beboerbetalingen, og er
den betaling, som afdelingen skal betale, mens Landsbyggefonden betaler den del af ydelsen på
realkreditlånene, som ligger over beboerbetalingen.
Hvis ydelsen på realkreditlånene ligger under beboerbetalingen, opkræver Landsbyggefonden differencen
(negativ ydelsesstøtte).
Beboerbetalingen skal som minimum udgøre 3,4 pct. i gennemsnit for alle renoveringssager.
Den enkelte afdelings beboerbetaling reguleres en gang årligt med 75 pct. af stigningen i nettoprisindekset
eller, hvis dette er steget mindre, lønindekset for den private sektor.
For at igangsætte en renoveringssag med ydelsesstøtte fra Landsbyggefonden i en afdeling skal en
række kriterier og forudsætninger være opfyldt, jf. figur 5. Det væsentligste kriterium er, at
afdelingen skal få betydelige økonomiske vanskeligheder, hvis der ikke ydes støtte til renoveringen.
Landsbyggefonden prioriterer i forlængelse heraf mellem de afdelinger, der opfylder kriterierne og
lever op til forudsætningerne ud fra et trangs- eller skadestueprincip, hvor de mest trængende
afdelinger støttes først. Landsbyggefonden prioriterer således løbende investeringsrammen og
fordeler den på de afdelinger, der har størst behov.
Figur 5. Kriterier og forudsætninger for at få støtte fra renoveringsstøtteordningen
Kriterier
Større behov end andre afdelinger, da Landsbyggefonden prioriterer afdelinger med størst behov.
Støtte til renoveringen skal være en driftsøkonomisk nødvendighed.
Udgifterne til renoveringen skal udgøre mindst 10 pct. af bygningsværdien.
For at modtage støtte til infrastruktur skal afdelingen være på regeringens liste over udsatte områder.
Afdelingens problemer skal kortlægges og dokumenteres, og der skal udarbejdes en helhedsplan for
løsningen heraf.
Afdelingen skal have afsøgt andre muligheder for at få finansieret renoveringen, herunder dækning fra
Byggeskadefonden, anden forsikring, huslejestigninger mv.
Boligorganisationen skal medfinansiere renoveringen, og renoveringen skal i videst muligt omfang finansieres
af lejeforhøjelser.
Afdelingens beboere, boligorganisationen og kommunen skal godkende renoveringen. Alternativt skal der
gennemføres en call-in, hvor boligorganisationens repræsentantskab og kommunen beslutter at gennemføre
renoveringen, selvom afdelingens beboere ikke vil godkende renoveringen.
Forud-
sætninger
Det konkrete indhold i en renovering med ydelsesstøtte bliver udformet og aftalt i en dialog mellem
Landsbyggefonden, boligorganisationen og boligafdelingen samt kommunen. Det kan ofte være et
længerevarende forløb, hvor aktørerne sammen med rådgivere afklarer afdelingens behov og de
relevante tiltag i en såkaldt fysisk helhedsplan. Både prækvalifikation og tilsagn fra
4
5
Rammen er fastsat i Almenboliglovens § 91.
Renoveringsstøtteordningen omfatter også enkelte særlige indsatser, der ikke finansieres af realkreditlån med ydelsesstøtte,
men i stedet for af direkte tilskud fra Landsbyggefonden, jf. Almenboliglovens §§ 92 og 92b. Indsatserne er nærmere beskrevet
nedenfor.
7
BOU, Alm.del - 2019-20 - Bilag 72: Offentliggørelse af renoveringsanalyser, fra boligministeren
2185122_0008.png
Landsbyggefonden om ydelsesstøtte forudsætter godkendelse fra kommunen. Derudover kan der
være behov for at vente på, at Landsbyggefonden har mulighed for at give tilsagn til renoveringen
inden for investeringsrammen. Processen er skitseret i figur 6 nedenfor.
Figur 6. Den nuværende proces for beslutning om en helhedsplan
Dialog og foreløbig helhedsplan
Afdækning af afdelingens udfordringer
Landsbyggefonden besigtiger og
prækvalificerer
Vi vurderer, at dette
kan støttes, og
støtten kan blive på
dette beløb
Vedtagelse
Beslutning på afdelingsmøde
Hvad
betyder det
Hvad skal vi
for mig og
selv betale?
min bolig?
Beboere
Hvad betyder
det for min
husleje?
Hvad får vi
ikke lavet?
Udbud og justering
Vi vurderer, at dette
er løsningen!
Rådgiver
Vi prioriterer disse
tiltag!
Vi drømmer om
dette!
Beboere
Jeg synes, dette er
vigtigt!
Driftschef
Kommune
Skema C: Byggesagen afsluttes
Landsbygge-
fonden
Tilbud fra entreprenører
Beslutning om tiltag, der
medtages i endelige helhedsplan
Beregning af finansieringsbehov
og huslejekonsekvenser
Endelig
helhedsplan
Skema B:
Justeret
helhedsplan
Fastlæggelse af renoveringsbehov
Foreløbig
helhedsplan
Anbefaling fra kommunen om
planens gennemførelse
Skema A: Tilsagn fra
Landsbyggefonden og
kommune
År 0
År 3
År 5
År 6
Byggestart
Nedenfor beskrives de tre væsentligste elementer i renoveringsstøtteordningen, nemlig
støttekategorierne, opdelingen af renoveringssagen i gruppe 1-, 2- og 3-arbejder samt
finansieringen af renoveringen.
Støtteberettigede arbejder og inddeling i gruppe 1, 2 og 3
Det er kun bestemte typer af indsatser, hvortil Landsbyggefonden i henhold til
renoveringsstøtteordningen yder ydelsesstøtte. Renoveringsstøtteordningen har således sit
udspring i slutningen af
1970’erne, hvor der i en række
relativt nybyggede afdelinger fra 1960’erne
opstod byggeskader, som afdelingerne ikke selv kunne finansiere at udbedre. I 1980’erne blev
ordningen udvidet til også at omfatte indsatser, som skulle forebygge udlejningsvanskeligheder,
der truede en række afdelingers overlevelse. I 2002 blev renoveringsstøtteordningen yderligere
udvidet, så den nu også omfatter indsatser, der skal sikre mere tidssvarende og
konkurrencedygtige almene boliger. Renoveringsstøtteordningens baggrund er beskrevet nærmere
i bilag 1.
Overordnet støttes en renoveringsindsats således, fordi afdelingerne ikke selv ville kunne finansiere
den, eller fordi renoveringsindsatsen er samfundsmæssigt prioriteret. På baggrund heraf er der i
dag defineret otte indsatser inden for fem støttekategorier, som støttes. De otte indsatser kaldes
også støtteberettigede arbejder. De fem støttekategorier og otte indsatser fremgår af figur 7
nedenfor. Af figuren fremgår også, om indsatsen finansieres af realkreditlån med ydelsesstøtte eller
af direkte tilskud fra Landsbyggefonden.
8
BOU, Alm.del - 2019-20 - Bilag 72: Offentliggørelse af renoveringsanalyser, fra boligministeren
2185122_0009.png
Figur 7. Støttekategorier
Støttekategori
Indsats
Beskrivelse
Udbedring af byggeskader som følge af byggetekniske svigt i
konstruktionerne, så der ikke opstår yderligere skader og/eller farlige
forhold.
Udbedring af sundhedsskadelige forhold, særligt problemer med
sundhedsskadelige stoffer eller skimmelsvamp.
Opretning
Opretning
Energi-
demonstrations-
projekter
Energibesparende foranstaltninger, som ellers ikke vil kunne støttes,
men som kan fungere som demonstrationsprojekter for det øvrige
almene byggeri (og andet byggeri) og skabe efterspørgsel efter
avancerede løsninger.
Nedrivning af boliger, hvis den almene afdeling er i så store
vanskeligheder, at det er umuligt at videreføre afdelingen, fx et udsat
område. Derudover kan permanente udlejningsvanskeligheder også
føre til nedrivning.
Nedrivning
1
Afhændelse
Renoveringsarbejder med henblik på at en bolig skal afhændes, fx
som led i ændring af et udsat boligområde.
Opdeling eller sammenlægning af lejligheder samt anden ombygning,
så boligerne i højere grad matcher efterspørgslen/det ønskede udbud.
Etablering af tilgængelighed, så boligerne kan bebos af borgere med
handicap og gangbesvær.
Forbedring af miljøet i almene bebyggelser, herunder forskellige
trygheds- og kriminalitetsforebyggende foranstaltninger, forbedring af
friarealer og legepladser, belysning, adgangskontrol, opførelse og
indretning af beboerlokaler og fællesfaciliteter mv.
Afdelinger, som er på listen over udsatte områder, kan få støtte til
ændringer af infrastrukturen i afdelingen.
Ombygning
Ombygning
Tilgængelighe d
Tilgængelighe d
Miljøarbejder
Miljøarbejder
Infrastruktur
Infrastruktur
Note:
De fire første støttekategorier (opretning, ombygning, tilgængelighed og miljøarbejder) bevilges efter
Almenboliglovens § 91 og finansieres som udgangspunkt af realkreditlån med ydelsesstøtte fra Landsbyggefonden.
Den sidste støttekategori (infrastruktur) bevilges efter Almenboliglovens § 92b og finansieres som udgangspunkt fuldt
ud af et tilskud fra Landsbyggefonden.
Udgifter til de fysiske arbejder i forbindelse med nedrivning falder ind under støttekategorien opretning og finansieres
med lån med ydelsesstøtte, jf. Almenboliglovens § 91. Afledte udgifter i forbindelse med nedrivningen, fx til indfrielse
af restgæld mv., finansieres uden for renoveringsstøtteordningen med tilskud fra Landsbyggefonden, jf.
Almenboliglovens § 92.
1
Gruppe 1, 2 og 3
I praksis består en renoveringssag med ydelsesstøtte ikke kun af støtteberettigede arbejder, men
også af ikke-støtteberettigede arbejder, hvortil der ikke ydes ydelsesstøtte. Der skelnes derfor
mellem tre grupper af renoveringsarbejder i den enkelte renoveringssag med ydelsesstøtte fra
Landsbyggefonden:
Gruppe 1
omfatter de støtteberettigede arbejder samt såkaldte fordelte arbejder, jf. figur
8. Gruppe 1-arbejderne svarer til Landsbyggefondens investeringsramme. Gruppe 1-
arbejderne omtales ofte som de støttede arbejder.
Gruppe 2
omfatter indsatser, som det er hensigtsmæssigt at udføre samtidig med de
støtteberettigede arbejder, og som støttes på anden vis. Gruppe 2-arbejderne omtales ofte
som de ustøttede arbejder, selvom de er delvist støttede, jf. figur 9.
Gruppe 3
omfatter andre indsatser, som afdelingen gerne vil udføre samtidig med de
støttede arbejder, men som ikke støttes. Gruppe 3-arbejderne omtales ofte som private
arbejder, da de ikke modtager støtte fra Landsbyggefonden.
9
BOU, Alm.del - 2019-20 - Bilag 72: Offentliggørelse af renoveringsanalyser, fra boligministeren
Forskellen mellem de tre grupper af arbejder er, dels hvilke typer arbejder de omfatter, dels hvor
meget de støttes, og hvordan de finansieres. I
figur
9
nedenfor er gruppe 1, 2 og 3 beskrevet mere uddybende.
10
BOU, Alm.del - 2019-20 - Bilag 72: Offentliggørelse af renoveringsanalyser, fra boligministeren
2185122_0011.png
Figur 8. Fordelte arbejder
De fordelte arbejder er en andel af de støtteberettigede arbejder, som afdelingen selv burde betale, og
således som udgangspunkt ikke er støtteberettigede, men som medregnes under de støtteberettigede
arbejder. Det omfatter hovedsageligt den del af de støtteberettigede arbejder, som afdelingen burde have
henlagt til som led i afdelingens vedligeholdelses- og fornyelsesplan, og hele eller dele af visse forbedringer.
De fordelte arbejder varierer fra sag til sag, men udgør i gennemsnit 25 pct. af udgifterne i gruppe 1. Det er
beskrevet nærmere i delrapport II. I delrapport II udskilles de fordelte arbejder i forbindelse med
opgørelsen af renoveringsbehovet.
Baggrunden for de fordelte arbejder er et ønske om at differentiere beboerbetalingen, der som minimum
skal udgøre 3,4 pct. i gennemsnit. Når beboerbetalingen differentieres, er det ud fra et ønske om at have
en lav beboerbetaling på under 3,4 pct. for visse støttekategorier og en højere beboerbetaling for arbejder,
der som udgangspunkt ikke ville være støtteberettigede. Beboerbetalingen på de fordelte arbejder er
således 5,8 pct., hvilket på nuværende tidspunkt ligger over den markedsmæssige ydelse på realkreditlån.
Da de fordelte arbejder indgår i gruppe 1, vil der dog være nogle sager, hvor der kan opnås driftsstøtte til
beboerbetalingen.
Figur 9. En renoveringssags opdeling i gruppe 1-, 2- og 3-arbejder
Gruppe 1
”Støttede arbejder”
Omfatter arbejder, der falder inden
for de fem støttekategorier, og
som skønnes nødvendige at
udføre.
Gruppe 2
”Ustøttede arbejder”
Omfatter arbejder, der er afledt af
eller hensigtsmæssige at udføre
samtidig med den
støtteberettigede renovering
(gruppe 1). Det omfatter typisk
arbejder, som nedbringer
afdelingens drifts- og
energiudgifter eller medvirker til at
reducere et
vedligeholdelsesefterslæb.
Gruppe 3
”Private arbejder”
Omfatter arbejder, som afdelingen
ønsker at udføre samtidig med
gruppe 1- og 2-arbejderne. Det er
typisk anden vedligeholdelse eller
andre forbedringer, fx nye
køkkener og badeværelser i
boliger, der ikke ombygges/gøres
tilgængelige.
Definition
Omfatter også ”fordelte arbejder”,
der er den del af en
støtteberettiget renovering, som
afdelingerne selv ”burde”
finansiere, fordi det er
vedligeholdelse eller forbedringer,
som normalt ikke støttes.
Omfang
I perioden 2003-2018 udgjorde
gruppe 1-arbejder i gennemsnit ca.
290.000 kr. pr. bolig pr. sag.
Landsbyggefonden fastsætter i
hver sag en ramme / et maksimum
for gruppe 2-arbejder. Normalt 50-
100.000 kr. pr. bolig.
Finansieres typisk af ustøttede lån,
forskellige tilskud og henlæggelser.
Omfanget af gruppe 3-arbejder
varierer fra sag til sag.
Finan-
siering
Finansieres typisk af støttede lån
med ydelsesstøtte.
Enkelte indsatser finansieres af
fuldt tilskud fra Landsbyggefonden.
Er
støttet,
da:
de finansieres af støttede lån
med ydelsesstøtte eller tilskud
det derudover er muligt at få
driftsstøtte til at betale den
reducerede ydelse på de lån,
der finansierer arbejderne.
Finansieres typisk af ustøttede lån
og henlæggelser.
Støtte
Er
delvist støttet,
da
de finansieres delvist med
forskellige tilskud
det derudover er muligt at få
driftsstøtte til at betale ydelsen
på de lån, der finansierer
arbejderne.
Er
ustøttet,
da
de som udgangspunkt
finansieres af lån og
henlæggelser, som afdelingen
fuldt ud selv skal finansiere
det ikke er muligt at opnå
driftsstøtte til at betale ydelsen
på de lån, der finansierer
arbejderne.
Finansiering af renoveringerne
Finansieringen af udgifterne i en renoveringssag (anskaffelsessummen) sammensættes i de fleste
renoveringer af flere forskellige finansieringskilder. Overordnet kan der skelnes mellem tre former
for finansieringskilder: lån, tilskud og opsparing/henlæggelser. Inden for hver finansieringsform
findes forskellige konkrete finansieringskilder, som er beskrevet nærmere i figur 10 nedenfor. Som
det fremgår, er det også forskellige parter, som finansierer renoveringerne. Den væsentligste del af
finansieringen består af realkreditlån, som boligafdelingen optager, samt tilskud fra
boligorganisationen og Landsbyggefonden.
11
BOU, Alm.del - 2019-20 - Bilag 72: Offentliggørelse af renoveringsanalyser, fra boligministeren
2185122_0012.png
Figur 10. Forskellige finansieringsmuligheder i forbindelse med en renoveringssag
Lån, hvortil der ydes ydelsesstøtte. Ydelsesstøtten består i, at Landsbyggefonden
betaler en del af låneydelsen. Landsbyggefondens ydelsesstøtte varierer fra
renoveringssag til renoveringssag, da afdelingens ydelse (beboerbetalingen)
fastsættes som et vægtet gennemsnit af renoveringssagens forskellige støttede
arbejder ud fra følgende satser for støttekategorierne:
1,8 pct.: Ombygning, tilgængelighed og miljøarbejder
3,4 pct.: Opretning
5,8 pct.: Fordelte arbejder, uanset støttekategori
Lånene er garanteret af kommunen og Landsbyggefonden.
O-lån
(Ombygningslån)
Lån
Ustøttede forbedringslån
med garanti
Støttede renoveringslån
30-årigt annuitetslån direkte fra Landsbyggefonden, som ydes i særlige tilfælde,
hvor nødvendige indsatser (fx nedrivning) ikke kan finansieres af almindelige
realkreditlån. Lånene forrentes med diskontoen.
Realkreditlån, hvor kommunen stiller garanti.
Realkredit- eller banklån på normale markedsvilkår uden kommunal garanti.
En kapitaltilførsel kan tilvejebringe et provenu, der kan anvendes som finansiering.
En del af kapitaltilførslen er et rente- og afdragsfrit lån, mens en anden del er et
tilskud. En kapitaltilførsel kaldes også en femtedelsløsning, da den tilvejebringes af
fem dele fra fire parter: Landsbyggefonden (2/5), boligorganisationen (1/5),
kommunen (1/5) og realkreditinstituttet (1/5).
Boligorganisationen eller kommunen kan yde et lån til afdelingen.
Ustøttede forbedringslån
uden garanti
Kapitaltilførsel
Lån fra boligorganisation
eller kommune
Investeringstilskud
Landsbyggefonden kan yde et investeringstilskud til renoveringen på maksimalt
20.000 kr. pr. bolig. Det er forudsætning, at boligorganisationen også bidrager
med finansiering, fx trækningsret.
Tilskud fra boligorganisationens trækningsret i Landsbyggefonden. Se figur 3
ovenfor.
En kapitaltilførsel ydes delvist som lån og tilskud, se ovenfor.
Støttekategorien infrastruktur finansieres af direkte tilskud fra Landsbyggefonden.
Reguleringskontoen består af opsparede midler af den ydelsesstøtte, der er
bevilget til de støttede lån, idet ydelsesstøtten bevilges fra tidspunktet for tilsagn
til renoveringen (skema A), mens lånene hjemtages ved afslutningen af
renoveringen. Reguleringskontoen kan efter ansøgning til Landsbyggefonden
anvendes til at dække uforudsete udgifter, der opstår under renoveringen.
Trækningsret
Kapitaltilførsel
Direkte tilskud
Tilskud
Reguleringskontoen
Tilskud fra
boligorganisation eller
kommune
Opsparing
Henlæggelser
Boligorganisationen eller kommunen kan yde et tilskud til afdelingen.
De vedligeholdelsesarbejder, der udføres i forbindelse med renoveringen, kan
finansieres helt eller delvist af midler henlagt hertil i afdelingen.
Udgifterne til de forskellige støttekategorier og grupper af arbejder kan kun delvist henføres til
bestemte finansieringskilder. Den samme finansieringskilde kan således anvendes til flere
forskellige kategorier og grupper af arbejder, og de enkelte kategorier og grupper af arbejder kan
finansieres af flere forskellige finansieringskilder. Figur 11 indeholder et overblik over de forskellige
mulige sammenhænge.
12
BOU, Alm.del - 2019-20 - Bilag 72: Offentliggørelse af renoveringsanalyser, fra boligministeren
2185122_0013.png
Figur 11. Sammensætning af finansieringen af anskaffelsessummen i en støttet renovering i forhold til
grupper af renoveringsarbejder (gruppe 1, 2 og 3).
Typer af arbejder
Støttede arbejder, der som udgangspunkt
finansieres af lån med ydelsesstøtte:
Finansiering af anskaffelsessummen
Støttet garanteret lån
Gruppe 1
Opretning, ombygning, tilgængelighed og
miljøarbejder samt fordelte arbejder
Ydelsen på lån indgår i beregning af driftsstøtte
O-lån
(Egenfinansiering som i gruppe 2 og 3)
Reguleringskontoen kan finansiere uforudsete udgifter
Støttede arbejder, der finansieres af direkte
tilskud:
Infrastruktur
Tilskud fra Landsbyggefonden
Ustøttet forbedringslån
med garanti
Ustøttede arbejder
inden for ramme fastsat af LBF:
Arbejder, som er ‘almindelige’ vedligeholdelses-
og forbedringsarbejder, men som skønnes
nødvendige for afdelingen typisk til nedbringelse
af driftsudgifter, energiudgifter eller
vedligeholdelsesefterslæb
Gruppe 2
Ustøttet forbedringslån
uden garanti
Investeringstilskud (fællespuljetilskud)
Trækningsret
Kapitaltilførsel (som finansiering)
Ydelsen på lån indgår i beregning af driftsstøtte
Egne henlæggelser
Tilskud eller lån fra boligorganisation,
kommune eller andre
Private arbejder:
Gruppe 3
Ustøttet forbedringslån
uden garanti
Ustøttet forbedringslån
med garanti
Trækningsret
Andre ‘almindelige’ vedligeholdelses-
og
forbedringsarbejder, som gennemføres sammen
med gruppe 1- og 2-arbejderne, og som falder
uden for rammen for gruppe 2-arbejder
Ydelsen på lån indgår IKKE i
driftsstøtteberegningen.
Egne henlæggelser
Tilskud eller lån fra boligorganisation,
kommune eller andre
Finansieringstyper:
Lån
Tilskud
Henlæggelser (opsparing)
Driftsstøtteordningen
I midten af 1960’erne opstod der i en række nybyggede afdelinger væsentlige økonomiske
problemer allerede kort efter opførelsen. Det stigende renteniveau sammenholdt med udviklingen
på boligmarkedet medførte, at afdelingernes husleje ikke var konkurrencedygtig. På den baggrund
blev der indført en række
generelle ordninger
med løbende såkaldt driftsstøtte til alle nybyggede
afdelinger, blandt andet den statslige rentesikringsordning. De generelle driftsstøtteordninger
svarer til den nuværende generelle ydelsesstøtte til nybyggede afdelinger.
Fra 1971 og frem blev der tillige indført en række
særlige driftsstøtteordninger,
der tog
udgangspunkt i en konkret vurdering af den enkelte afdelings udfordringer. Den særlige driftsstøtte
skulle for særligt udfordrede afdelinger nedbringe huslejen til et niveau, hvor
udlejningsvanskelighederne blev reduceret eller fjernet, og afdelingernes økonomi blev bragt i
13
BOU, Alm.del - 2019-20 - Bilag 72: Offentliggørelse af renoveringsanalyser, fra boligministeren
2185122_0014.png
balance.
6
De lovgivningsmæssige rammer om de særlige driftsstøtteordninger blev forenklet i
1990,
7
og ansvaret for at fastsætte de nærmere rammer og vilkår samt finansiere dem blev i vidt
omfang overdraget til Landsbyggefonden og kommunerne.
Hvor formålet med de oprindelige særlige driftsstøtteordninger fra 1971 og frem til 1990 alene var
at sikre afdelingernes overlevelse ved udlejningsvanskeligheder, anvendes i lovgivningen og
Landsbyggefondens regulativ siden 1990 formuleringen, at driftsstøtte kan bevilges til afdelinger,
”hvor der er så
væsentlige økonomiske vanskeligheder, at disse vil kunne vanskeliggøre
afdelingens videreførelse”.
Udmøntningen af denne formulering er ikke yderligere præciseret i
Landsbyggefondens regulativ, men som følge af at driftsstøtten udmåles ved hjælp af
Landsbyggefondens huslejemodel, er praksis, at den særlige driftsstøtte i dag bevilges med henblik
på at opnå et huslejeniveau, der svarer til andre almene boligafdelinger. Der tages på den måde
udgangspunkt i de almene boligers generelle lejeniveau og deres finansieringsmodel, så afdelinger,
der modtager driftsstøtte, fortsat kan opfylde deres formål som almene boligafdelinger. Det
betyder samtidig, at den særlige driftsstøtte bevilges til en bredere kreds af afdelinger end før
1990, da afdelinger, som i markedsmæssig henseende kunne bære en højere husleje uden at
risikere udlejningsvanskeligheder, kan modtage driftsstøtte.
I dag bevilges driftsstøtte i vid udstrækning i tilknytning til gennemførelse af støttede renoveringer.
Driftsstøtte bevilges således i praksis i en renoveringssag for at nedbringe eller indfase
huslejekonsekvenserne af ydelserne på lånene til finansiering af renoveringen. Driftsstøtten har
derfor i praksis også den funktion at sikre tryghed i udfordrede boligafdelinger og stabile
belåningsforhold.
Størrelsen på den samlede driftsstøtte beregnes ud fra Landsbyggefondens huslejemodel, der
fastsætter en
tilstræbt husleje
for afdelingen, der modsvarer huslejen i sammenlignelige almene
boliger i lokalområdet. Driftsstøtten dækker den del af udgifterne i afdelingen, som ligger over den
tilstræbte husleje, og aftrappes typisk over en årrække. Når driftsstøtten beregnes, tages der kun
hensyn til de fremtidige udgifter til finansiering af gruppe 1- og 2-arbejder. Der ydes ikke
driftsstøtte til finansiering af gruppe 3-arbejder. Huslejemodellen, som anvendes til at fastsætte
den tilstræbte husleje, er beskrevet nærmere i figur 12, og princippet i beregningen af afdelingens
støttebehov, dvs. den mulige driftsstøtte er illustreret i figur 13.
6
De første særlige driftsstøtteordninger blev finansieret af staten og Landsbyggefonden, hvor Landsbyggefondens andele
hovedsageligt blev finansieret af statslån til Landsbyggefonden.
7
Lov 248 af 25. april 1990.
14
BOU, Alm.del - 2019-20 - Bilag 72: Offentliggørelse af renoveringsanalyser, fra boligministeren
2185122_0015.png
Figur 12. Landsbyggefondens huslejemodel.
Landsbyggefondens huslejemodel bruges til at beregne en afdelings støttebehov på følgende vis:
1. Afdelingens
beregnede husleje
findes ved at lægge afdelingens nuværende husleje (balancelejen) sammen
med de fremtidige låneydelser til de lån, der finansierer renoveringen.
2. Den beregnede husleje justeres for unormale budgetposter, og låneydelser til gruppe 3-arbejder fratrækkes.
3. Dermed findes den
støtteberettigede husleje.
4. Samtidig beregnes afdelingens
tilstræbte husleje
på baggrund Landsbyggefondens huslejemodel.
5. Differencen mellem den støtteberettigede husleje og den tilstræbte husleje er afdelingens
støttebehov,
som
kan finansieres af driftsstøtte. Sammensætningen af driftsstøtten er vist figur 14.
Beregningen af støttebehovet er illustreret i figur 13.
Den tilstræbte husleje findes ved hjælp af huslejemodellen og skal sikre, at afdelingens husleje efter en renovering
svarer til andre sammenlignelige boligafdelinger.
Beregningen af den tilstræbte husleje tager udgangspunkt i den gennemsnitlige husleje for almene boliger i
regionen fra samme opførelsesår. Det kaldes også årstalslejen.
Årstalslejen korrigeres for at finde den tilstræbte husleje for den konkrete afdeling. Følgende faktorer indgår i
korrektionen:
1. Afdelingens beboersammensætning.
Der tages udgangspunkt i Landsbyggefondens beboerindeks.
2. Beliggenhedskommunens ejendomspriser i forhold til regionen.
Der tages udgangspunkt i
Realkreditrådets kvartalsopgørelse af kvadratmeterpriser for salg af parcelhuse/rækkehuse og ejerlejligheder.
3. Afdelingens bygningstype.
Der gives et fradrag for etageboliger og et tillæg for tæt/lav-byggeri.
4. Afdelingens fysiske fremtoning vurderes på en skala fra 1 til 5.
Der tages udgangspunkt i byggemåde,
arkitektur, miljø, ry og omdømme, geografisk placering, trafikforhold samt boligkvalitet
5. Boligernes størrelse.
Der foretages en regulering, så små lejligheder medfører en opregulering og store
lejligheder en nedregulering.
15
BOU, Alm.del - 2019-20 - Bilag 72: Offentliggørelse af renoveringsanalyser, fra boligministeren
2185122_0016.png
Figur 13. Beregning af afdelingens støttebehov og dermed mulige driftsstøtte
Umiddelbar
huslejekonsekvens
af renovering
Beregning af støttebehov
ved brug af huslejemodellen
Husleje efter
renovering
inklusive støtte
Ydelsesstøtte til
lån til gruppe 1
Ydelsesstøtte til
lån til gruppe 1
Låneydelse
gruppe 3
Låneydelse
gruppe 2
Låneydelse
gruppe 3
Justering
Mulig driftsstøtte,
jf. figur 14
Støttebehov
Låneydelse
gruppe 1
(efter ydelsesstøtte)
Beregnet
husleje
Støtteberettiget
husleje
Husleje efter
renovering
=
Tilstræbt
Husleje før
renovering
husleje
Tilstræbt husleje +
Låneydelse gruppe 3 +
Justering
Støttebehovet og dermed den mulige driftsstøtte dækkes ikke af én driftsstøtteordning, men typisk
af flere forskellige driftsstøtteordninger. Der er således i dag
og har gennem tiden været
flere
forskellige driftsstøtteordninger, som varierer i forhold til tildelingskriterier, om de bevilges som
tilskud eller lån, lånenes vilkår, hvordan tilskuddene eller lånene aftrappes eller udfases, og hvem
der finansierer ordningerne.
8
En række afdelinger får stadig udbetalt løbende støtte efter en række
af de ældre ordninger.
Driftsstøtten til en afdeling sammensættes derfor af flere forskellige driftsstøtteordninger, som
kombinerer driftsstøtte fra hovedsageligt Landsbyggefonden og boligorganisationen. I figur
15
er
vist, hvordan driftsstøtten i dag sammensættes af fem forskellige ordninger.
I figur 15 beskrives de fem driftsstøtteordninger, der typisk kan opnås støtte fra i dag, nærmere.
En del afdelinger får dog som nævnt også fortsat driftsstøtte fra en række ældre ordninger.
Driftsstøtten aftrappes i overensstemmelse med bestemmelserne for hver af de konkrete
ordninger. Aftrapningen udgør typisk 5 eller 9 kr./kvm årligt. Som udgangspunkt aftrappes kun én
ordning ad gangen.
8
Flere af ordningerne var oprindeligt finansieret af staten, mens de fleste ordninger, der i dag bevilges støtte efter, er
finansieret af Landsbyggefonden. De statslige ordninger er under udfasning, og den statslige støtte aftrappes og tilbagebetales,
hvis den er givet som lån.
16
BOU, Alm.del - 2019-20 - Bilag 72: Offentliggørelse af renoveringsanalyser, fra boligministeren
2185122_0017.png
Figur 14. Sammensætning af driftsstøtten.
Beregning
af
støttebehov
Beregning af afdelingens støttebehov ved hjælp af huslejemodellen, jf. figur 12 og 13
Hvis afdelingen er kvalificeret
til
huslejestøtte
(§ 91a)
Hvis afdelingen
ikke
er
kvalificeret til
huslejestøtte
Støttebehovet reduceres, ved at afdelingens
opsamlede underskud
afvikles ved
1. Kapitaltilførsel
(hvis underskuddet er over 20.000 kr./bolig), eller
2. Tilskud fra boligorganisationen
(hvis underskuddet er under 20.000 kr. pr. bolig)
Husleje-
støtte
Huslejestøtte
gives derefter inden for følgende rammer:
De første 110 kr./kvm af det beregnede støttebehov dækkes ikke (bundfradrag).
Hvis støttebehovet over bundfradraget, er mindre end 30 kr./kvm, ydes ikke huslejestøtte (minimumsgrænsen).
Huslejestøtten kan maksimalt udgøre 200 kr./kvm og 8 mio. kr. pr. afdeling (maksimumsgrænsen).
Huslejestøtten finansieres af
1. Landsbyggefonden (75 %)
2. Boligorganisationen (25 %).
Boligorganisationens andel finansieres så vidt muligt af
fritagelser
for boligorganisationens andel af udamortiserede
lån og pligtmæssige bidrag, subsidiært af
huslejestøtte direkte fra dispositionsfonden.
Er der ”overskydende”
fritagelser
efter finansiering af boligorganisationens andel af huslejestøtten, anvendes disse til
at nedsætte støttebehovet, der ligger til grund for huslejestøtteberegningen.
Huslejestøtten genberegnes på den baggrund.
Øvrig
driftsstøtte
Landsbyggefonden stiller som udgangspunkt som betingelse, at den del af støttebehovet, som ikke dækkes af huslejestøtte, dækkes
af andre driftsstøtteordninger, herunder særligt driftsstøtte fra boligorganisationen.
Driftsstøtten kan dog nedsættes, hvis der er enighed mellem Landsbyggefonden, boligorganisationen og kommunen.
Det resterende støttebehov dækkes af:
1. Kapitaltilførsel
(typisk begrænset omfang)
2. Driftsstøtte fra boligorganisationen
(dispositionsfonden), subsidiært
mankolån fra Landsbyggefonden.
Et forhøjet støttebehov på grund af forhøjede låneydelser til gruppe 1-arbejder som følge af godkendte fordyrelser i løbet af
renoveringssagen (efter fastsættelse af den øvrige driftsstøtte) dækkes af
løbende driftslån fra Landsbyggefonden.
17
BOU, Alm.del - 2019-20 - Bilag 72: Offentliggørelse af renoveringsanalyser, fra boligministeren
2185122_0018.png
Figur 15. Nuværende driftsstøtteordninger
Kapitaltilførsel
Afdelingen kan få en kapitaltilførsel, hvor provenuet anvendes på den mest effektive måde til at
nedbringe afdelingens støttebehov.
Provenuet kan fx anvendes til at nedbringe et opsamlet underskud i afdelingen, nedbringe eksisterende
lån, finansiere renoveringsarbejder eller blive placeret i et kapitaldepot (obligationsbeholdning), hvor
afkast og nedsparing løbende tilgår afdelingens drift
typisk over 30 år svarende til løbetiden på
lånene til renoveringen.
Kapitaltilførslen finansieres som lån og tilskud og typisk fra fire parter fordelt på fem femtedele:
Landsbyggefonden (1/5 lån og 1/5 tilskud), boligorganisationen (1/5 tilskud), kommunen (1/5 lån) og
realkreditinstitut (1/5 lån eller tilskud).
Huslejestøtte
Afdelingen kan
hvis den er tilstrækkeligt udsat
få bevilget huslejestøtte, jf. Almenboliglovens § 91a.
Huslejestøtten er et løbende tilskud over en årrække fra Landsbyggefonden (75 %) og
boligorganisationen (25 %).
Huslejestøtten aftrappes med 0 kr./kvm de første fire år og herefter med 9 kr./kvm i ti år, hvorefter
den bortfalder helt. Typisk erstattes den derefter af en ny huslejestøtteordning.
Fritagelser
Afdelingen kan blive fritaget for at betale boligorganisationens andel af de pligtmæssige bidrag og
udamortiserede ydelser.
Hvis afdelingen i 1999 havde fritagelse for Landsbyggefondens andel af de pligtmæssige bidrag og
udamortiserede ydelser, kan der opnås fortsat fritagelse også for disse indbetalinger.
Fritagelsen for betaling af pligtmæssige bidrag kan dog kun nedsættes til det beløb, som afdelingen
betalte i 1982.
Afdelingen kan endvidere blive bevilget fortsat fritagelse for tilbagebetaling af tidligere midlertidige
driftslån (ældre ordning
lov 268 af 9/6/1971) og trojkalån (ældre ordning
lov 111 af 31/3/1977),
men kun hvis den allerede har disse fritagelser.
For alle fritagelserne gælder, at de ophører, når formålet med den konkrete fritagelser ophører/er
opnået.
Driftsstøtte fra
boligorganisationen
- subsidiært mankolån
fra Landsbyggefonden
Landsbyggefonden kan stille krav om, at boligorganisationen af sin dispositionsfond yder afdelingen et
løbende tilskud, såkaldt driftsstøtte.
Hvis boligorganisationens dispositionsfond ikke kan bære at betale driftsstøtten, overtager
Landsbyggefonden forpligtelsen og udbetaler støtten som særlige driftslån, såkaldte mankolån.
Driftsstøtte aftrappes med 0 kr./kvm de første fire år og herefter med 9 kr./kvm pr. år, indtil den er
helt aftrappet, eller ydelserne på renoveringslånene ophører.
Driftslån
Afdelingen kan få bevilget et løbende driftslån fra Landsbyggefonden.
Driftslånet aftrappes, dvs. reduceres løbende.
18
BOU, Alm.del - 2019-20 - Bilag 72: Offentliggørelse af renoveringsanalyser, fra boligministeren
3
Støttesystemets understøttelse af
den almene sektors formål
Formålet med kapitlet er at undersøge, om støttesystemet overordnet
understøtter den almene sektors formål gennem de nuværende
støttekategorier i renoveringsstøtteordningen og driftsstøtte fra
driftsstøtteordningen.
Kapitlet består af to afsnit. I det første afsnit undersøges det, om renoveringsstøtteordningens
støttekategorier og dermed de indsatser, der støttes, bidrager til, at afdelingerne kan opfylde
almenboliglovens formål om at stille ”passende boliger til rådighed for alle med behov herfor”. I det
andet afsnit undersøges det, om driftsstøtten bidrager til, at afdelingerne efter en renovering kan
opfylde den anden del af almenboliglovens formålsparagraf om, at boligerne skal have en ”rimelig
husleje”.
3.1 Støttekategorier og passende boliger
Det er relativt veldefineret, hvad Landsbyggefonden giver støtte til gennem de fastlagte
støttekategorier beskrevet i kapitel 2. Disse dækker i overordnede træk skader og svigt i byggeriet,
sundhedsskadelige forhold (opretning), tilpasning af boligudbuddet (tilgængelighed og ombygning)
samt særlige forhold i udsatte afdelinger og afdelinger med udlejningsvanskeligheder
(miljøarbejder, infrastruktur, nedrivning og klargøring til afhændelse). Med relativt faste rammer
for, hvad der kan ydes støtte til, kan det være relevant at undersøge, hvorvidt støttekategorierne
understøtter det overordnede formål i sektoren. Det omfatter, om støttekategorierne modsvarer
det behov for støtte, som boligorganisationer og kommuner oplever, og om støttekategorierne er
rettet mod behov, som ikke opleves som relevante eller nødvendige at opfylde.
Sektorens aktører har overordnet den opfattelse, at støttekategorierne og dermed de støttede
renoveringer generelt understøtter afdelingerne i at leve op til det overordnede formål om at stille
passende boliger til rådighed for personer med behov herfor. Aktørerne peger samtidig på nogle
uhensigtsmæssige forhold ved støttekategorierne:
Mulighed for ombygning uden sammenlægning:
Både boligorganisationer og
kommuner peger på, at støttekategorien
ombygning
fører til, at afdelingerne
sammenlægger flere små boliger, som det ville være bedre at bevare på grund af behovet
for billige boliger. Flere boligorganisationer peger på, at det kunne være mere relevant,
hvis støtten i højere grad kunne gives til ombygninger af, hvad der opfattes som
utidssvarende boliger, uden at boligerne lægges sammen. Derved vil huslejeforøgelsen
blive mindre end ved en sammenlægning.
Mere målrettet anvendelse af midler til tilgængelighed:
Boligorganisationernes
opfattelse af, hvor stort behovet for etablering af tilgængelighed er, varierer på tværs af
regioner og efter, hvordan deres lokale boligmarked ser ud. I udkantsområder opfattes
behovet som markant. Det er både i forhold til at opfylde et behov for passende boliger i
forhold til den demografiske udvikling og for at kunne være konkurrencedygtige på et
udfordret boligmarked
.
I Hovedstadsområdet opfattes etablering af tilgængelighed i nogle
tilfælde som meget dyre løsninger, hvor udgifterne ikke står mål med de
samfundsøkonomiske gevinster, herunder modsvarer det demografiske behov. På den
baggrund foreslår nogle boligorganisationer, at midlerne kunne anvendes mere effektivt på
anden vis, fx til etablering af tilgængelighed
o
i nybyggeri
19
BOU, Alm.del - 2019-20 - Bilag 72: Offentliggørelse af renoveringsanalyser, fra boligministeren
o
i de bygninger, hvor omkostningerne til tilgængelighed vil være relativt mindre
o
i mindre omfang, så det matcher det demografiske behov.
Landsbyggefonden påpeger, at etablering af tilgængelighed dels har udgangspunkt i
centralt besluttede handicap-indsatser, dels bidrager til at fastholde en stor og
stabiliserende gruppe af ældre beboere.
Øget fokus på energiforbedringer:
Både boligorganisationer og kommuner giver udtryk
for, at energiforbedringer i højere grad burde være støtteberettigede. Baggrunden er et
ønske om at understøtte de nationale bestræbelser på at reducere klimabelastningerne.
Derudover er der også en bekymring for, om der vil være behov for at energirenovere
nyrenoverede afdelinger igen i de kommende år. Det vil kunne blive tilfældet, hvis kravene
til bygningerne øges, eller at energistandarder bliver et mere væsentligt
konkurrenceparameter på boligmarkedet.
Støtte til lydisolering:
Flere boligorganisationer peger på, at lydisolering mellem boliger
burde være støtteberettiget for at sikre boliger, der efter en renovering lever op til, hvad
der i henhold til dem betragtes som en tidssvarende bolig.
Øget fleksibilitet i forhold til lokale behov:
Støttekategorierne opleves som meget
styrende for, hvordan boligudbuddet ændres i forbindelse med renoveringerne. Nogle
boligorganisationer og kommuner peger på, at der kunne være behov for større
fleksibilitet, hvor støtten fx kunne tilpasses det lokale behov. Desuden at der i den lange
proces fra indledende drøftelser om en helhedsplan til udførelsen er mulighed for at tilpasse
renoveringerne til ændrede behov. Omvendt er boligorganisationer og kommuner også
bevidste om behovet for klare retningslinjer, og at støttekategorierne medvirker til at styre
indsatsen mod samfundsmæssigt prioriterede indsatser, fx
tilgængelighed.
Derudover
bidrager det til at afgrænse, hvilke behov Landsbyggefonden har mulighed for at opfylde,
og hvilke der kan håndteres på anden vis.
Både boligorganisationer og kommuner er overordnet set tilfredse med støttekategorierne, men
som det fremgår ovenfor, stilles der også spørgsmålstegn ved, om støttekategorierne i alle tilfælde
matcher de behov, der er i dag.
Det kan for det første skyldes, at støttekategorierne dels udspringer af de historiske ordninger fra
1970’erne og frem, dels kun i begrænset omfang har været ændret i de seneste knap tyve år siden
renoveringsstøtteordningens oprettelse i 2002. Der kan således være opstået en
uoverensstemmelse mellem de oprindelige problemstillinger og intentioner med lovgivningen og de
problemstillinger, som boligorganisationer og kommuner oplever i dag, fx i forhold til behovet for
billige boliger og klimatiltag.
Det kan for det andet skyldes, at der kun er begrænset sammenhæng mellem almenboliglovens
formålsparagraf, de relevante bestemmelser om renoveringsstøtteordningen og
Landsbyggefondens regulativer, herunder i forhold til beskrivelsen af de målsætninger, der søges
opnået. Der foreligger således ikke en overordnet systematisk og beskrevet forandringsteori, der
skaber sammenhæng mellem formål, målsætninger og støttekategorier/indsatser. Det skal dog
bemærkes, at Landsbyggefonden stiller krav om, at der foreligger en analyse, der svarer til en
sådan forandringsteori, i den enkelte renoveringssag i form af den fysiske helhedsplan. Det skal
desuden bemærkes, at den begrænsede sammenhæng mellem de forskellige elementer af
reguleringen på området ikke betyder, at Landsbyggefonden ikke i praksis løbende indarbejder og
administrerer efter gældende politiske prioriteringer.
Det kan for det tredje skyldes, at der ikke foregår en overordnet og systematisk opfølgning på
effekterne af renoveringsstøtten. Det omfatter fx en opfølgning på sammenhængen mellem
behovet for tilgængelige boliger og etableringen af tilgængelige boliger eller opfølgning på de
samlede effekter af sammenlægning og opdeling af boliger inden for den enkelte kommune eller på
landsplan. Det kan medføre, at boligorganisationer og kommuner har vanskeligt ved at vurdere
behovet for de forskellige indsatser i en overordnet sammenhæng. Det skal dog bemærkes, at
nogle kommuner gennemfører forskellige politikker, planer og analyser af udviklingen på
20
BOU, Alm.del - 2019-20 - Bilag 72: Offentliggørelse af renoveringsanalyser, fra boligministeren
2185122_0021.png
boligmarkedet, der anvendes aktivt i udformningen af de konkrete renoveringssager. Det skal
desuden bemærkes, at Landsbyggefonden støtter blandt andet AlmenNet, som er erfarings- og
læringsnetværk målrettet renoveringer, og forskellige evalueringer af støttede renoveringer.
1
Deloittes vurderinger:
a)
Opdatering af støttekategorierne:
Det vil være hensigtsmæssigt, at
støttekategorierne opdateres på baggrund af en vurdering af dels nutidige behov og
politiske prioriteringer, dels en underbygget forandringsteori.
b)
Sammenhæng mellem formål, lovgivningsmæssige rammer og regulativer:
Det
vil være hensigtsmæssigt, at der er en klarere sammenhæng mellem almenboliglovens
formålsparagraf, de lovgivningsmæssige rammer om Landsbyggefondens
renoveringsstøtteordning (§ 91 m.fl.) og Landsbyggefondens regulativer og
støttekategorier. Det kan tage udgangspunkt i en egentlig forandringsteori for
renoveringsstøtten. I forlængelse heraf kan det fx være relevant, at § 91 m.fl. snarere
end detaljerede investeringsrammer omfatter de overordnede mål for
renoveringsstøtten, fx svarende til temaoverskrifterne i delrapport I.
c)
Opfølgning på effekterne:
Det vil være hensigtsmæssigt, at det på kommunalt og
evt. på nationalt niveau bliver muligt i højere grad at følge op på effekterne af
renoveringsstøtten. Det vil blandt andet kunne understøtte kommunerne i at kunne
opstille overordnede rammer for udformningen af de konkrete renoveringsprojekter.
d)
Rum for lokale prioriteringer:
Det vil være hensigtsmæssigt at klargøre, hvilket rum
der er for lokale prioriteringer (jf. også afsnit 5.1 nedenfor). Det omfatter blandt andet,
hvordan forskelle i lokale behov kan udmøntes i forskellig anvendelse af
støttekategorierne, fx i forhold til tilgængelighed og ombygninger.
3.2 Driftsstøtteordningen og rimelig husleje
Når en afdeling gennemfører en renovering med støtte fra Landsbyggefonden, vil huslejen i
afdelingen trods ydelsesstøtte fra Landsbyggefonden næsten altid nå et niveau, der gør det muligt
at få bevilget driftsstøtte fra Landsbyggefonden og boligorganisationen. Det er på den baggrund
relevant at overveje, om driftsstøtten effektivt bidrager til at opnå formålene for den almene
boligsektor om at stille boliger til rådighed til en rimelig husleje i forbindelse med støttede
renoveringer.
Boligorganisationer og kommuner er generelt af den opfattelse, at driftsstøtteordningerne
medvirker til at skabe rimelige huslejer. Driftsstøtten bidrager derudover ifølge
boligorganisationerne til at sikre den beboerdemokratiske vedtagelse af renoveringerne ved at
indfase de efterfølgende huslejestigninger. Landsbyggefonden påpeger samtidig, at driftsstøtten
fungerer som en overgangshjælp, der sikrer tryghed i udfordrede afdelinger og sikrer stabile
belåningsforhold. Aktørerne peger dog også på en række forhold, som der kan være
opmærksomhed på:
Uklarhed om, hvordan driftsstøtten beregnes og udmøntes.
Alle boligorganisationer
og kommuner giver udtryk for, at de ikke forstår, hvordan driftsstøtten fastsættes. De
giver desuden udtryk for, at de ikke forstår, hvordan den fordeles på forskellige ordninger,
herunder boligorganisationernes egen andel af driftsstøtten. Boligorganisationerne giver
således udtryk for, at fastsættelsen af driftsstøtten tages til efterretning, herunder
fastsættelsen af boligorganisationens egen andel af driftsstøtten.
Uklarhed om, hvad der bestemmer niveauet for driftsstøtten.
I områder, hvor der er
pres på boligmarkedet, er det mere uklart for boligorganisationer og kommuner, hvad der
bestemmer niveauet for driftsstøtten, da driftsstøtten medvirker til at fastholde huslejen
under markedslejen.
21
BOU, Alm.del - 2019-20 - Bilag 72: Offentliggørelse af renoveringsanalyser, fra boligministeren
2185122_0022.png
For høj husleje efter driftsstøtte.
Enkelte kommuner peger på, at selvom afdelingen
modtager driftsstøtte, er der ikke nødvendigvis sammenhæng mellem huslejen efter en
renovering og den betalingsevne, som borgere med behov for en almen bolig har. Det kan
have negative konsekvenser for de svageste lejere. Kommunerne er dog meget
tilbageholdende med ikke at godkende støttede renoveringer på trods af dette forhold, men
griber oftere ind, i forhold til hvilke gruppe 3-arbejder der godkendes.
Omfanget af driftsstøtte er et væsentligt element i boligafdelingers og boligorganisationers
beslutninger om at gennemføre renoveringer, og som det fremgår af kapitel 4, har driftsstøtten
samtidig væsentlig betydning for incitamenterne i støttesystemet. Derudover lægger driftsstøtten
samtidig beslag på en betydelig del af både Landsbyggefondens og de enkelte boligorganisationers
solidariske midler. Midlerne bliver fordelt på baggrund af huslejemodellen, som tager
udgangspunkt i det gennemsnitlige huslejeniveau for sammenlignelige afdelinger. Der tages
således i princippet ikke udgangspunkt i, hvad der er en markedsmæssig eller socialt bæredygtig
husleje. Det kan på baggrund af ovenstående konkluderes, at det er afgørende, at systemet er så
stringent og gennemsigtigt for aktørerne som muligt og også fremover fremstår robust og legitimt.
Deloitte vurderer på den baggrund, at det er uhensigtsmæssigt, at der i dag fra
boligorganisationernes og kommunernes synsvinkel er begrænset gennemsigtighed i systemet.
Deloitte finder desuden, at der kunne være en stærkere sammenhæng mellem lovens
formålsparagraf, de relevante bestemmelser i loven om driftsstøtte og Landsbyggefondens
udmøntning af driftsstøtten. Det følger af lovens §
92, at driftsstøtte kan ydes til ”almene
boligafdelinger, hvor der er så væsentlige økonomiske problemer, at disse vil kunne vanskeliggøre
afdelingens videreførelse.” Denne målsætning
udspringer formentlig af de oprindelige
driftsstøtteordninger
fra 1970’erne,
der havde fokus på de betydelige udlejningsvanskeligheder,
der direkte truede en række boligafdelingers eksistens.
9
Med den nuværende driftsstøtteordning og
huslejemodel tages der imidlertid ikke alene udgangspunkt i økonomiske problemer i snæver
forstand, men i at sikre, at afdelinger, fx efter en renovering, ikke får en husleje, som ligger
væsentligt over andre sammenlignelige almene afdelinger. Baggrunden herfor er, at
Landsbyggefonden med driftsstøtten har som målsætning at sikre, at afdelingen kan videreføres på
”alment grundlag”, dvs. med en husleje,
der svarer til andre almene afdelinger, og at der ikke
opstår udfordringer i afdelingen i form af en skæv beboersammensætning mv. Udmøntningen
sikrer på den baggrund, at driftsstøtten bidrager til at opfylde lovens formålsparagraf om at stille
passende boliger
til rådighed til en ”rimelig husleje”.
Det lægges i den forbindelse til grund, at det
generelle huslejeniveau i den almene sektor udgør en sådan rimelig husleje. Det betyder imidlertid
samtidig, at driftsstøtteordningen får en meget bred målgruppe af afdelinger.
9
Se afsnit 2.2 for en nærmere beskrivelse af driftsstøtteordningernes historik, herunder ændringerne i 1990, hvor den
nuværende formulering af § 92 blev indført.
22
BOU, Alm.del - 2019-20 - Bilag 72: Offentliggørelse af renoveringsanalyser, fra boligministeren
2185122_0023.png
Deloittes vurderinger:
2
a)
Klare rammer om driftsstøtten:
Det vil være hensigtsmæssigt, at formålet med
driftsstøtteordningerne præciseres i lovgivningen og Landsbyggefondens regulativ,
herunder om driftsstøtten skal sikre afdelingers videreførelse i snæver økonomisk forstand,
bidrage til at forebygge sociale, økonomiske og driftsmæssige problemer eller sikre en
”rimelig husleje”. Det vil desuden være hensigtsmæssigt, at det enten i lovgivningen eller
Landsbyggefondens regulativer gøres klart, hvad udgangspunktet for fastsættelse af
driftsstøtten skal være. Endelig vil det være hensigtsmæssigt, at boligorganisationernes
forpligtelser og handlemuligheder i forhold til deres andel af driftsstøtten gøres klare.
b)
Klart grundlag for bevilling af driftsstøtte:
Det vil være hensigtsmæssigt, at der
etableres et klarere og mere gennemsigtigt grundlag for bevillingen af driftsstøtte, så det
er klart for aktørerne, hvordan og hvorfor driftsstøtten til den enkelte afdeling fastsættes
og sammensættes, som den gør.
c)
Forenkling af driftsstøtteordningerne:
Det vil være hensigtsmæssigt at undersøge,
hvordan de forskellige driftsstøtteordninger og deres samspil kan forenkles og konsolideres.
Det omfatter blandt andet, at det bliver gennemsigtigt, hvordan driftsstøtten
sammensættes, samt hvordan ordningerne spiller sammen og aftrappes. Det omfatter
desuden, at det bliver gennemsigtigt, hvordan driftsstøtteforpligtelsen fordeles mellem
Landsbyggefonden og den enkelte boligorganisation.
23
BOU, Alm.del - 2019-20 - Bilag 72: Offentliggørelse af renoveringsanalyser, fra boligministeren
2185122_0024.png
4
Incitamenter og adfærd i
støttesystemet
Formålet med kapitlet er at undersøge, om støttesystemet understøtter
principperne om, at afdelingerne som udgangspunkt skal være
selvfinansierende, og at støttesystemet skal understøtte afdelinger med
behov for støtte.
I dette kapitel undersøges det, om støttesystemet indeholder uhensigtsmæssige incitamenter og
understøtter en uhensigtsmæssig adfærd i forhold til at opretholde principperne om, at
afdelingerne skal være selvfinansierende, mens støttesystemet skal hjælpe afdelinger med behov
for støtte. Med udgangspunkt i incitamenter, der kan udledes af kortlægningen af støttesystemet i
kapitel 2, undersøges tre hypoteser om adfærd, der vil kunne have betydning for
renoveringsbehovet. Kapitlet indledes med et afsnit med overvejelser om, hvordan en
uhensigtsmæssig adfærd overordnet kan tænkes at blive understøttet af incitamenter i
støttesystemet. Dernæst opstilles på baggrund heraf tre hypoteser om en sådan uhensigtsmæssig
adfærd med udgangspunkt i konkrete elementer i støttesystemet. Endelig testes de tre hypoteser
på baggrund af kvantitative analyser og kvalitative interviews.
Incitamenter og adfærd
Den almene boligsektor er baseret på det såkaldte balancelejeprincip, hvor den enkelte afdeling
løbende vedligeholder og forbedrer sine bygninger finansieret gennem den løbende husleje.
Renoverings- og driftsstøtteordningerne er på den baggrund i væsentligt omfang rettet mod at
støtte afdelinger, der i særlige tilfælde ikke kan håndtere et uforudsigeligt behov for
vedligeholdelse (byggeskader), eller for forbedringer, der ligger ud over, hvad det kan forventes,
en afdeling selv kan bære.
10
Med andre ord er udgangspunktet, at en afdeling skal være
selvfinansierende, men at den kan opnå støtte til at løse helt særlige udfordringer, som den ikke
selv vil kunne håndtere.
Støtteordninger kan generelt medføre en risiko for såkaldt
free-riding,
hvor aktører forsøger at
opnå støtte i et større omfang end tiltænkt. Tilsvarende kan forsikringsordninger medføre risiko for
moral hazard,
hvor aktører har incitament til at træffe mere risikable beslutninger, da den
økonomiske risiko påtages af forsikringsselskabet.
Landsbyggefondens støtteordninger vil tilsvarende indeholde risiko for free-riding og moral hazard.
Risikoen for free-riding opstår, hvis afdelingerne søger at få støtte til vedligeholdelse og
forbedringer, som de selv kunne eller burde kunne finansiere. Hvis det er tilfældet, vil der ske en
skævvridning, hvor dele af de almene boligafdelinger finansierer andre afdelingers
uhensigtsmæssige adfærd. Free-riding vil umiddelbart øge behovet for støttede renoveringer til
mere end nødvendigt og tiltænkt, mens det samlede renoveringsbehov ikke nødvendigvis øges.
På samme måde kan Landsbyggefondens støtteordninger, som kan sammenlignes med en
forsikringsordning, medføre moral hazard-problemer, hvor nogle afdelinger tager mere risikable
beslutninger, end de ellers ville. Det kan føre til, at både det samlede renoveringsbehov og behovet
for støttede renoveringer bliver større, end det ville være ved en hensigtsmæssig adfærd. Det sker,
hvis afdelinger ikke vedligeholder tilstrækkeligt, vælger unødigt risikable løsninger eller lader
byggetekniske eller sundhedsmæssige problemer vokse til et niveau, som ikke ville opstå, hvis de
10
Driftsstøtteordningerne tager endvidere sigte på andre situationer, hvor en afdeling er kommet i driftsøkonomiske
vanskeligheder.
24
BOU, Alm.del - 2019-20 - Bilag 72: Offentliggørelse af renoveringsanalyser, fra boligministeren
2185122_0025.png
blev håndteret i tide. En sådan adfærd vil særligt blive fremmet af, at Landsbyggefonden i stort set
alle tilfælde vil hjælpe en afdeling, der er i så væsentlige problemer, at dens videreførelse vil være
truet, jf. almenboliglovens § 92.
Problemstillinger med free-riding og moral hazard reduceres gennem gældende lovgivning,
regulativer, kommunernes tilsyn med afdelingernes vedligeholdelsesstand og henlæggelser samt
Landsbyggefondens gennemgang og vurdering af de enkelte ansøgninger i forhold til relevans og
grundlag. Denne gennemgang inkluderer vurdering af afdelingernes konkrete adfærd og praksis i
forhold til løbende vedligehold.
Hypoteser
Der er med udgangspunkt i kortlægningen af støttesystemet opstillet tre hypoteser for at
undersøge omfanget af free-riding og moral hazard i støttesystemet. Med andre ord, i hvilken grad
systemet medfører uhensigtsmæssig og opportunistisk adfærd, der kan føre til et øget behov for
renoveringer.
Den første hypotese tager udgangspunkt i, at afdelingerne i kraft af reglerne om fordelte arbejder
og gruppe 2-arbejder kan få udført vedligeholdelse og ustøttede forbedringer med billig finansiering
og driftsstøtte i forbindelse med en støttet renovering. Det kan føre til, at afdelingerne udskyder
vedligeholdelse og forbedringer til en støttet renoveringssag.
Den anden hypotese tager udgangspunkt i, at støttesystemet er indrettet, så den marginale
forøgelse af en støttet renoveringssag tilnærmelsesvis er omkostningsfri for afdelingerne. Det kan
føre til, at afdelingerne søger at gøre renoveringerne større end nødvendigt. Det kan desuden
understøttes af, at en forøgelse af omfanget af støttet ombygning og tilgængelighed kan bidrage til
at håndtere en afdelings vedligeholdelsesefterslæb.
Den tredje hypotese tager udgangspunkt i, at støttesystemet er indrettet, så udgifterne til
ustøttede forbedringer regnes med i opgørelsen af støttebehovet, når de er udført før en
renoveringssag. Det kan føre til, at afdelingerne gennemfører flere ustøttede forbedringer, end de
egentlig ville kunne finansiere uden driftsstøtte.
De tre hypoteser fremgår af figur 14 og undersøges i det efterfølgende afsnit.
Figur 16. Hypoteser
Afdelingerne henlægger og vedligeholder ikke tilstrækkeligt samt gennemfører ikke løbende ustøttede
forbedringer i tilstrækkeligt omfang, fordi de forventer at få dækket disse omkostninger billigere i
forbindelse med en støttet renoveringssag.
De støttede renoveringssager bliver større end nødvendigt, dels fordi renoveringsindsatser kan være
med til at håndtere et vedligeholdsefterslæb, dels fordi det er muligt at få driftsstøtte, der dækker
samtlige marginale omkostninger ved en støttet renovering (gruppe 1- og 2-arbejder), hvorved den
marginale forøgelse af gruppe 1- og 2-arbejder ikke betales af afdelingerne.
Afdelingerne gennemfører ustøttede forbedringer (svarende til gruppe 3-arbejder), der er mindre
nødvendige eller uhensigtsmæssige at gennemføre på det pågældende tidspunkt, fordi udgifterne
hertil på den måde indgår i beregningen af driftsstøtte i forbindelse med den efterfølgende støttede
renovering. Det ville ikke være tilfældet, hvis de blev gennemført i forbindelse med den støttede
renovering.
H1
H2
H3
25
BOU, Alm.del - 2019-20 - Bilag 72: Offentliggørelse af renoveringsanalyser, fra boligministeren
2185122_0026.png
Test af hypoteser
H1
Afdelingerne henlægger og vedligeholder ikke tilstrækkeligt samt gennemfører ikke løbende
ustøttede forbedringer i tilstrækkeligt omfang, fordi de kan få dækket disse omkostninger
billigere i forbindelse med en støttet renoveringssag.
Gennem støttesystemet har afdelingerne mulighed for i kraft af fordelte arbejder og gruppe 2-
arbejder at opnå finansiering med ydelsesstøtte
11
og driftsstøtte til indsatser, der ikke betragtes
som støtteberettigede. De indsatser ville normalt blive finansieret af henlæggelser eller
forbedringslån evt. med tilskud fra trækningsretten. Indretningen af støttesystemet kan således
medføre, at afdelingerne løbende henlægger og vedligeholder mindre end nødvendigt. Det kan føre
til utilstrækkeligt vedligehold af afdelingen, hvilket i sidste ende kan medføre større støttede
renoveringer og øge det samlede renoveringsbehov. Landsbyggefonden har dog i sin
sagsbehandling fokus på ikke at støtte vedligeholdelsesarbejder.
En sammenligning af afdelinger, der har fået en støttet renovering, med afdelinger, der ikke har
fået støttede renoveringer, viser, at der er en negativ sammenhæng mellem en afdelings
vedligeholdelsesudgifter
12
og sandsynligheden for, at afdelingen har haft en støttet
renoveringssag.
13
Det vil sige, at afdelinger, som har vedligeholdt relativt lidt, alt andet lige har en
øget sandsynlighed for at have haft en støttet renoveringssag.
En sammenligning af afdelinger, der har fået gennemført støttede renoveringer, viser samtidig, at
der er en negativ sammenhæng mellem en afdelings vedligeholdelsesudgifter og størrelsen på
anskaffelsessummen af den støttede renovering (gruppe 1-arbejderne). Der er således indikationer
på, at en reduktion af de gennemsnitlige årlige vedligeholdelsesudgifter forud for en støttet
renoveringssag hænger sammen med en forøgelse af den støttede renoverings samlede
afskaffelsessum. Det antyder, at et fald på 1 pct. i de gennemsnitlige årlige
vedligeholdelsesudgifter forud for en støttet renovering alt andet lige fører til en stigning i
anskaffelsessummen for gruppe 1-arbejderne på ca. 0,75 pct.
14
Data indikerer således, at afdelingernes selvstændige økonomiske ansvar mindskes gennem det
nuværende system, da afdelinger, som vedligeholder mindre, modtager mere støtte. Det skal dog
bemærkes, at der ikke er mulighed for at tage højde for de fordelte arbejders andel af
anskaffelsessummen. Landsbyggefonden kan således fastsætte de fordelte arbejder til at udgøre
en større del af den støttede renovering i afdelinger med et vedligeholdelsesefterslæb, hvilket vil
øge beboerbetalingen og reducere ydelsesstøtten til afdelingen. Men afdelingen vil fortsat have
mulighed for at få dækket den forøgede beboerbetaling af driftsstøtte.
De kvantitative resultater understøttes af de gennemførte interviews. Boligorganisationer og
kommuner påpeger her, at afdelinger, der får en renoveringsstøttesag, ofte er nedslidte og har et
vedligeholdelsesefterslæb. Ovenstående kunne samlet set indikere, at der er et element af free-
riding i systemet. Der er tillige indikationer på moral hazard-problemer, hvor afdelinger ikke
håndterer udfordringer i tide eller påtager sig større risici, end de ellers ville gøre. Som eksempel
blev i interviewene nævnt en afdeling, der har udskiftet vinduer uden at etablere ventilation. Den
økonomiske risiko ved, at der efterfølgende kan opstå problemer med skimmelsvamp, vil i et
sådant tilfælde ligge hos Landsbyggefonden og ikke afdelingen selv.
Boligorganisationerne peger på, at den lave vedligeholdelsesstand i afdelinger, der får støtte, ikke
nødvendigvis er udtryk for bevidst opportunistisk adfærd. Den lave vedligeholdelsesstand kan
således skyldes, at markedslejen for afdelingen ikke giver mulighed for tilstrækkelige henlæggelser
og vedligeholdelse. Afdelingerne er således ikke i stand til både at have en konkurrencedygtig
11
Det skal bemærkes, at der med det nuværende renteniveau reelt ikke gives ydelsesstøtte til fordelte arbejder, da
ydelsesstøtte hertil kun gives til den del af ydelsen, der ligger over 5,8 pct.
12
Konto 115, 116 og 117.
13
Se bilag 5.
14
Se bilag 7.
26
BOU, Alm.del - 2019-20 - Bilag 72: Offentliggørelse af renoveringsanalyser, fra boligministeren
2185122_0027.png
husleje og samtidig opretholde den ønskede boligstandard. Det understøttes af figur 17, hvoraf det
fremgår, at henlæggelsesniveauet varierer betydeligt på tværs af regioner. Regioner med den
laveste markedsleje har de laveste henlæggelser og dermed som udgangspunkt også det laveste
vedligeholdelsesniveau. Det kan desuden konstateres, at de støttede renoveringers omfang pr.
kvm relativt set er større uden for Region Hovedstaden.
15
Figur 17. Forskellen i det gennemsnitlige henlæggelsesniveau og huslejen på tværs af regioner (kr./kvm)
-43%
158
123
120
90
103
-24%
158
123
120
805
103
90
737
666
688
632
Hovedstaden
Sjælland
Midtjylland Syddanmark Nordjylland
Henlæggelser
Hovedstaden
Sjælland
Midtjylland Nordjylland
Sydjylland
Resterende husleje
Note:
De gennemsnitlige henlæggelser (til venstre) og huslejen (til højre) pr. kvm vidner om betydelige
regionale forskelle. Baseret på paneldataregressioner er effekten fra regionerne desuden isoleret, og
resultaterne heraf bekræfter ovenstående tendens og indikerer, at den isolerede effekt fra regionerne kan være
større, se bilag 3 og bilag 6.
Kilde:
Landsbyggefondens stamdata og Regnstat.
Boligorganisationerne beskriver problemstillingen sådan, at det lave vedligeholdelsesniveau ofte
skyldes udlejningsvanskeligheder, og at afdelingen for at imødegå dem har sænket huslejen.
Følgerne heraf er, at afdelingen ikke henlægger nok til at vedligeholde bygningsmassen, hvilket
kan føre til et vedligeholdelsesefterslæb på længere sigt. Vedligeholdelsesefterslæbbet gør
afdelingen mindre attraktiv, hvilket kan skabe yderligere udlejningsvanskeligheder. For afdelinger,
som har prøvet at løse deres problem på den måde, er det noget nær umuligt at bryde denne onde
cirkel.
Det skal dog bemærkes, at huslejen i de almene boliger i regioner med den laveste markedsleje
ligger lavere i forhold til private boliger end i regioner med en højere markedsleje, jf. figur 18. Det
kunne indikere, at der er rum for lejeforhøjelser i de almene boliger i regioner med en lav
markedsleje, medmindre der er en intern konkurrence mellem de almene boliger.
15
Se bilag 7.
27
BOU, Alm.del - 2019-20 - Bilag 72: Offentliggørelse af renoveringsanalyser, fra boligministeren
2185122_0028.png
Figur 18. 2019 husleje på tværs af regioner (kr. pr. kvm.)
1.200
1.100
1.000
900
800
885
1.190
1.071
921
850
800
945
927
829
763
732
901
822
708
915
700
600
500
400
300
200
100
0
Region
Hovedstaden
Region Sjælland
Region Midtjylland Region Nordjylland
Region
Syddanmark
Almene familieboliger
Private udlejningsboliger (ikke ejerlejligheder)
Kilde:
Boligstat.
Private udlejningsboliger (ejerlejligheder)
Nogle boligorganisationer peger på, at der er en sådan intern konkurrence i den almene sektor,
hvor den onde cirkel kan blive forstærket af støttede renoveringer. I områder, hvor der er risiko for
udlejningsvanskeligheder, oplever flere boligorganisationer således, at driftsstøtten indirekte kan
bidrage til også at prissætte andre afdelingers husleje. Der kan på den baggrund være en risiko
for, at driftsstøtten til renoverede afdelinger skaber udlejningsvanskeligheder i eller behov for
renoveringer af ikke-renoverede afdelinger/boliger, da forskellen i boligstandard er større end
forskellen i husleje. Med andre ord kan driftsstøtten potentielt medvirke til, at boliger i renoverede
afdelinger udbydes til en husleje, som ganske vist er højere end i ikke-renoverede afdelinger, men
at forskellen ikke modsvarer den reelle værdi for potentielle lejere. De potentielle lejere vælger
derfor i højere grad de renoverede boliger med den effekt, at ikke-renoverede boliger får
udlejningsvanskeligheder eller behov for renovering.
Udover en lav markedsleje og afdelingens konkurrencesituation kan en anden årsag til det lave
vedligeholdelsesniveau være kommunernes praksis for bevilling af garantier for lån til
vedligeholdelsesarbejder. Flere boligorganisationer peger således på, at nogle kommuners praksis
med ikke at bevilge garantier uden for støttede renoveringer kan medføre, at afdelingernes eneste
mulighed for at håndtere et vedligeholdelsesefterslæb er gennem støttede renoveringer eller
boligorganisationens dispositionsfonden. Kommunerne peger omvendt på, at praksis skal fremme
ansvarlighed i afdelingerne, så de håndterer nødvendigt vedligehold med henlæggelser og ikke
med lån.
Overordnet kan det konkluderes, at data indikerer, at der i en række afdelinger ikke bliver henlagt
tilstrækkeligt til at vedligeholde, og at støtte fra renoverings- og driftsstøtteordningerne bidrager til
at håndtere disse afdelingers manglende vedligeholdelse.
Det kan desuden konkluderes, at en del af årsagen til det manglende vedligehold kan være
afdelingernes konkurrencesituation. Konkurrencesituationen betyder, at den boligstandard, der
ønskes opretholdt, og som i øvrigt tilstræbes i forbindelse med de støttede renoveringer, ikke kan
opnås for markedslejen i visse dele af landet. Det kan i forlængelse heraf bemærkes, at forståelsen
af begrebet passende boliger og den boligstandard, der generelt tilstræbes i de støttede
renoveringer, ikke differentieres i forhold til områdets markedsleje.
28
BOU, Alm.del - 2019-20 - Bilag 72: Offentliggørelse af renoveringsanalyser, fra boligministeren
2185122_0029.png
Deloittes vurdering:
3
a)
Opdeling af støtte til støtteberettigede arbejder og vedligeholdelse:
Det vil være
hensigtsmæssigt, hvis der i renoveringssagerne og finansieringen skelnes tydeligt og
gennemsigtigt mellem støtteberettigede arbejder og støtte til at dække vedligeholdelse.
Det kan fx ske ved, at vedligeholdelsesdelen af en støttet renoveringssag fremgår eksplicit,
fx som det kendes fra Byggeskadefondens system.
b)
Konsekvenser af almene boligers konkurrencesituation:
Det vil være
hensigtsmæssigt at gennemføre en undersøgelse af konsekvenserne af almene boligers
konkurrencesituation i forhold til henlæggelses- og vedligeholdelsesniveau. Det kan
omfatte konsekvenserne for de berørte afdelinger, deres fremtidige støttebehov fra
Landsbyggefonden og udbuddet af almene boliger.
c)
Adgang til finansiering af nødvendigt vedligehold:
Det vil være hensigtsmæssigt at
undersøge, hvordan afdelinger, der er på vej til at få væsentlige problemer, får adgang til
finansiering til nødvendigt vedligehold, uden at det nødvendigvis omfatter en fysisk
helhedsplan. Det kunne fx være gennem lånegarantier fra kommunen, boligorganisationen
eller Landsbyggefonden.
d)
Tiltag, der reducerer problemer med skimmelsvamp:
Det kan være hensigtsmæssigt
at gennemføre tiltag, der sikrer, at afdelingerne i videst muligt omfang selv håndterer
problemerne med skimmelsvamp. Det kunne fx ske ved, at boligorganisationen,
kommunen eller staten kan stille krav om, at løbende vedligehold og forbedringer omfatter
tiltag, der reducerer risikoen for skimmelsvamp, herunder etablering af ventilation.
H2
De støttede renoveringssager bliver større end nødvendigt, dels fordi renoveringsindsatser kan
være med til at håndtere et vedligeholdsefterslæb, dels fordi det er muligt at få driftsstøtte,
der dækker samtlige marginale omkostninger ved en støttet renovering (gruppe 1- og 2-
arbejder), hvorved den marginale forøgelse af gruppe 1- og 2-arbejder ikke betales af
afdelingerne.
Driftsstøtteordningen er indrettet sådan, at driftsstøtten i de første år efter renoveringen dækker
alle de marginale udgifter ved gruppe 1- og gruppe 2-arbejderne. Det betyder, at en marginal
forøgelse af omfanget af gruppe 1- og 2-arbejderne umiddelbart er omkostningsfrie for
afdelingen.
16
Det kan medføre, at renoveringerne bliver mere omfattende end nødvendigt.
Derudover støtter Landsbyggefonden forbedringer i form af ombygninger og tilgængelighed.
Indgrebene i den forbindelse medfører ofte, at fx køkkener og badeværelser skal udskiftes. Da der
ofte vil være tale om ældre udtjente badeværelser og køkkener, får afdelingerne dermed mulighed
for at få støtte til arbejder, der ellers ville skulle finansieres som vedligehold med henlæggelser.
Det kan medføre, at afdelinger, der ikke har henlagt tilstrækkeligt til vedligehold, får støtte til at
håndtere dette vedligeholdelsesefterslæb. Det kan føre til et større omfang af ombygninger og
tilgængelighed end nødvendigt.
I interviewene peger både boligorganisationer og kommuner generelt på, at systemet er indrettet,
så man indledningsvist maksimerer størrelsen på den indsendte helhedsplan. Aktørerne er mindre
enige om, i hvilken grad det medfører større renoveringer end nødvendigt. Nogle aktører mener, at
det er totaløkonomisk fornuftigt at renovere mest muligt på én gang, mens andre aktører giver
udtryk for, at det i nogle tilfælde medfører større renoveringer end nødvendigt.
16
Afhængig af driftsstøttens størrelse og aftrapningens profil vil den marginale forøgelse i det fleste tilfælde på et tidspunkt få
en effekt på huslejen.
29
BOU, Alm.del - 2019-20 - Bilag 72: Offentliggørelse af renoveringsanalyser, fra boligministeren
2185122_0030.png
Det er imidlertid en udbredt oplevelse blandt boligorganisationerne, at tendensen til at gøre
renoveringerne større end nødvendigt begrænses af, at Landsbyggefondens støttepraksis sætter en
grænse for, hvor meget støtte man modtager. Det underbygges af Landsbyggefonden, som også
påpeger, at ansøgningerne typisk bliver reduceret med 50 % i forbindelse med Landsbyggefondens
sagsbehandling, og at der i hver renoveringssag fastsættes en maksimal ramme for gruppe 2-
arbejder på typisk 50-100.000 kr. pr. bolig. Derudover vil aftrapningen af driftsstøtten
17
også
medføre, at den marginale forøgelse af en renoveringssag i de fleste tilfælde vil få konsekvenser
for huslejen, men det sker ofte først efter mange år, og flere boligorganisationer nævner, at
beboerne sjældent gøres opmærksom herpå i forbindelse med vedtagelsen af renoveringerne.
En sammenligning af afdelinger, der har modtaget støtte til ombygning eller tilgængelighed, viser,
at der er en negativ sammenhæng mellem vedligehold og størrelsen på støtten.
18
Udgifterne til
tilgængelighed og ombygning er således større i afdelinger, der vedligeholder mindre, hvilket
svarer til de overordnede indikationer i hypotese 1. Data indikerer således, at støtte til ombygning
og tilgængelighed bidrager til at håndtere et vedligeholdelsesefterslæb. Det understøttes af
interviewene, hvor både kommuner og boligorganisationer er enige om, at afdelingerne ofte får
håndteret et vedligeholdelsesefterslæb i forbindelse med støtte til ombygninger og tilgængelighed.
Også her er aktørerne imidlertid mindre enige om, hvorvidt de gennemførte renoveringer altid er
nødvendige, eller om nogle ombygninger og tilgængelighedsarbejder udføres mere af hensyn til
renoveringssagens økonomi end af behovet. Det kunne fx dreje sig om, at ønsket om ombygninger
og etablering af tilgængelighed er mere drevet af, at der ikke er henlagt tilstrækkeligt, end at der
er et reelt behov for at ændre boligudbuddet. Flere aktører peger desuden på, at ombygninger i
form af sammenlægninger reducerer udbuddet af mindre og billige boliger, men at
sammenlægningerne gennemføres alligevel for at opnå støtte fra Landsbyggefonden. Det skal dog
bemærkes, at det altid er et krav i en helhedsplan, at der skal redegøres for behovet for de
påtænkte indsatser, hvilket vil reducere problemet.
Det kan konkluderes, at afdelingerne overordnet har incitament til at søge om støtte for så store
beløb som muligt, og at ombygninger og tilgængelighedsarbejder bidrager til at håndtere et
vedligeholdelsesefterslæb. Det er vanskeligere at konkludere, i hvilket omfang disse incitamenter
bidrager til, at renoveringerne bliver større end nødvendigt. Både boligorganisationer og kommuner
peger dog på, at det i nogle sager er tilfældet.
Deloittes vurdering:
4
a)
Afdelingens udgifter følger størrelsen på sagen:
Det kan overvejes, om systemet skal
ændres, så afdelingens egne udgifter i alle tilfælde stiger, når renoveringssagens størrelse
forøges.
b)
Ændring af driftsstøttens aftrapningsprofil:
Det kan overvejes, om
driftsstøtteordningerne skal ændres, så den fremtidige driftsstøttes aftrapningsprofil skal
ændres, fx til en mere flad profil. Det kan herunder overvejes, om det er hensigtsmæssigt,
at systemet er indrettet, så de nuværende beboere træffer beslutninger om fremtidig
husleje, hvor den økonomiske konsekvens er meget begrænset på kort sigt, men herefter
øges.
c)
Særskilt finansiering af vedligeholdsefterslæb:
Det vil være hensigtsmæssigt, at
afdelingens forpligtelse i forhold til vedligehold fremgår tydeligt af støttesagen og
finansieres særskilt, herunder som udgangspunkt af afdelingens henlæggelser, jf. også
vurderingen under hypotese 1.
17
18
De første fire år er der ingen aftrapning af driftsstøtten, hvorefter den aftrappes med 9 kr. pr. kvm om året.
Se bilag 8.
30
BOU, Alm.del - 2019-20 - Bilag 72: Offentliggørelse af renoveringsanalyser, fra boligministeren
2185122_0031.png
Hypotese 3
Afdelingerne gennemfører forbedringer frem for vedligeholdelse
H3
Afdelingerne gennemfører ustøttede forbedringer (svarende til gruppe 3-arbejder), der er
mindre nødvendige eller uhensigtsmæssige at gennemføre på det pågældende tidspunkt, fordi
udgifterne hertil på den måde indgår i beregningen af driftsstøtte i forbindelse med den
efterfølgende støttede renovering.
Fastsættelse af driftsstøtte i forbindelse med en renoveringssag tager udgangspunkt i afdelingens
husleje forud for renoveringen og anvendes til at reducere afdelingens udgifter til finansiering af
gruppe 1- og 2-arbejderne efter renoveringen. Når driftsstøtten i den forbindelse udmåles, kan
udgifterne til finansiering af gruppe 3-arbejder ikke indregnes i de forventede udgifter som følge af
renoveringen. Hvis gruppe 3-arbejderne derimod udføres forud for den støttede renovering, vil
udgifterne til finansiering heraf indgå i afdelingens husleje forud for renoveringen og dermed i
udmålingen af driftsstøtte.
Der kan således være et incitament for afdelingerne til at gennemføre gruppe 3-arbejder, dvs.
selvvalgte forbedringer, forud for en støttet renovering
også selvom de måske er mindre
nødvendige. En sådan adfærd understøttes af, at marginalomkostningen i princippet er nul for
afdelingen, da udgifterne til forbedringerne vil blive inkluderet i beregningen af driftsstøtte og
derved blive dækket af driftsstøtten. Det kan samtidig formodes, at det er lettere at få
beboerdemokratisk tilslutning til huslejestigninger til finansiering af forbedringer som fx altaner end
til øgede henlæggelser og vedligehold. Det kan medføre, at udgifterne til driftsstøtte bliver højere
end nødvendigt. Det skal dog bemærkes, at huslejemodellen i et vist omfang tager højde for
afdelingens boligkvalitet, når driftsstøttebehovet beregnes.
En analyse af afdelingernes adfærd viser, at afdelinger, der får en støttet renovering, bruger 15
pct. mere på forbedringer i årene op til den støttede renovering, end afdelinger, som ikke får
gennemført en støttet renovering
19
. Data indikerer således, at afdelingerne reagerer på
incitamentet og øger forbedringerne op til en støttesag.
Interviewene viser, at der blandt boligorganisationerne er kendskab til den finansielle fordel ved at
gennemføre forbedringer inden en støttet renoveringssag. Der er dog forskellige vurderinger af, i
hvilket omfang adfærden faktisk finder sted, blandt andet fordi afdelingerne ofte vælger at samle
renoveringsarbejderne i forbindelse med den støttede renovering, og fordi afdelingerne som
udgangspunkt ikke har kendskab til incitamentet.
Det kan konkluderes, at afdelingerne har et væsentligt incitament til at gennemføre forbedringer
inden en støttet renovering, uanset om det er totaløkonomisk hensigtsmæssigt. Data indikerer, at
det også er tilfældet, at der gennemføres flere forbedringer i afdelinger, der får støtte til
renoveringer, mens aktørerne i interviewene har en mere blandet vurdering af, i hvilket omfang
det finder sted.
5
Deloittes vurdering:
a)
Vedligehold frem for forbedringer:
Det vil være hensigtsmæssigt, at afdelingerne ikke
har mulighed for at vælge forbedringer frem for vedligehold, hvis vedligeholdet ikke er
tilstrækkeligt. Det kunne fx sikres ved, at afdelingerne ikke har mulighed for at
nedprioritere vedligeholdelse, jf. afsnit 5.2 nedenfor.
b)
Støtteberettiget husleje inkluderer ikke tidligere forbedringer:
Det vil være
hensigtsmæssigt, at forbedringer gennemført inden en støttet renovering reducerer
udmålingen af driftsstøtte i forbindelse med den støttede renovering. Det kan fx sikres ved,
at udgifter til forbedringer, der er gennemført inden en støttet renovering, ikke tælles med
i fastsættelse af driftsstøtten.
19
Se bilag 4.
31
BOU, Alm.del - 2019-20 - Bilag 72: Offentliggørelse af renoveringsanalyser, fra boligministeren
5
Støttesystemets effektivitet
Formålet med kapitlet er at vurdere om støttesystemet fungerer effektivt i
forhold til at understøtte lovgivningens formål og principper.
I de foregående to kapitler er det undersøgt, hvordan støttesystemet og reguleringen på området
understøtter formålene i almenboligloven, herunder formålsparagraffen samt de to principper om
afdelingernes selvfinansiering og Landsbyggefondens solidariske rolle. I dette kapitel vurderes det,
hvor effektivt systemet fungerer i forhold til disse formål. Der er taget udgangspunkt i de tre
centrale temaer:
1. Hvor effektivt understøtter støttesystemet formålet i lovgivningen?
2. Hvor effektivt understøtter støttesystemet den grundlæggende præmis om, at afdelingerne
som udgangspunkt skal være selvstændige økonomiske enheder (balancelejeprincippet)?
3. Hvor effektivt understøtter systemet allokeringen af støttemidler (solidaritetsprincippet)?
Disse tre temaer behandles i tre afsnit nedenfor.
5.1 Effektivitet i forhold til lovgivningens formål
Formålsparagraffen omfatter
to væsentlige elementer, nemlig at der skal stilles ”passende boliger
til rådighed for alle med behov herfor”, og at det skal ske
”til en rimelig husleje”.
Som det fremgår af kapitel 3, er der ikke en stringent sammenhæng i udmøntningen af lovens
formålsparagraf i støttesystemet, og en renoveringssag er kendetegnet ved flere forskellige
aktører, hvis ønsker og krav skal indarbejdes i sagen. Disse forhold kan medføre, at
støttesystemets effektivitet reduceres.
Overordnet er en renoveringssag således karakteriseret ved at skulle håndtere tre forskellige
niveauers tilgange til at opfylde formålet i lovgivningen:
1. centralt fastsatte udmøntninger af formålet i lovgivningen og boligaftaler
2. decentralt fastsatte målsætninger i den kommunale boligpolitik
3. lokalt fastsatte målsætninger i den enkelte boligorganisation og boligafdeling.
Systemet og den enkelte renoveringssag bærer således præg af det forhandlingsrum, som disse
forskellige niveauer skal mødes i. Nedenfor analyseres disse tre niveauers roller med henblik på at
vurdere forhold, der kan forbedres for at gøre støttesystemet og samspillet mellem dem mere
effektivt.
Centralt niveau
Den centrale udmøntning af lovgivningens formål sker gennem den øvrige lovgivning,
boligaftalerne og Landsbyggefondens regulativer og praksis.
I forhold til formålet om
passende boliger
bærer styringen i væsentligt omfang præg af styring af
input. Det centrale i lovgivningen og boligaftalerne er således fastsættelsen af Landsbyggefondens
investeringsramme. Derudover omfatter lovgivningen og boligaftalerne en delvis opdeling af
investeringsrammen på indsatsområder. Boligaftalerne har også i varierende form og omfang
politiske retningsangivelser eller målsætninger. Den centrale styring fra lovgiver er således på et
meget overordnet niveau og med begrænsede målsætninger for effekten af investeringerne.
32
BOU, Alm.del - 2019-20 - Bilag 72: Offentliggørelse af renoveringsanalyser, fra boligministeren
I forhold til formålet om
rimelige huslejer
bærer styringen præg af, at der ikke er fastsat en
økonomisk ramme for omfanget af driftsstøtten, eller hvordan den konkret skal udmøntes. Det kan
desuden bemærkes, at Landbyggefondens udmøntning af driftsstøtten med udgangspunkt i
sammenlignelige afdelingers husleje ikke umiddelbart tager udgangspunkt i lovgivningens formål
om rimelige huslejer. Udmøntningen tager heller ikke udgangspunkt i lovgivningens formulering
om, at driftsstøtten kan bevilges til afdelinger, hvor der er så væsentlige økonomiske problemer, at
disse vil kunne vanskeliggøre afdelingens videreførelse.
Den centrale styring af Landsbyggefonden er således relativt begrænset. Det skal dog ses i lyset
af, at Landsbyggefonden er en selvejende institution, og at boligpolitik generelt i lovgivningen
anses for at være et kommunalt anliggende.
Decentralt niveau
Det forudsættes i lovgivningen og Landsbyggefondens praksis, at kommunerne er en central aktør i
styringen af boligpolitikken, herunder i udformningen af de støttede renoveringssager. Det er
således kommunerne, der konkret skal vurdere, hvilket boligudbud der er behov for, og hvilke
tiltag der på baggrund heraf kan gennemføres i den enkelte støttede renovering, fx i forhold til
etablering af tilgængelige boliger, ombygninger mv.
Der er forskel på, hvilken rolle kommunerne spiller i renoveringssagerne. Nogle kommuner
arbejder systematisk med udvikling af boligpolitik og rammer for renoveringssagerne og indgår
løbende i udviklingen af den enkelte renoveringssag. Andre kommuner foretager i højere grad
alene et legalitetstjek i forbindelse med kommunalbestyrelsens godkendelse af de støttede
renoveringer.
Forskellen mellem kommunerne er formentlig udtryk for forskellig prioritering af området, blandt
andet som følge af forskellige behov. Men det skal formentlig også ses i lyset af, at området og
reguleringen har en meget høj kompleksitet, som forudsætter en betydelig specialisering og
specialkompetencer. Områdets og reguleringens kompleksitet kan således medvirke til, at
kommunerne ikke i det omfang, som lovgivningen forudsætter, kan udfylde deres rolle.
Lokalt niveau
Boligorganisationerne har ansvaret for udviklingen af renoveringssagerne i dialog med
boligafdelingerne. Boligorganisationerne og boligafdelingerne tager i praksis udgangspunkt i
lovgivningens formål, idet de typisk har som målsætning at have gode tidssvarende og passende
boliger til rådighed, der modsvarer den lokale efterspørgsel. For boligorganisationerne er fokus på
både den kortsigtede og den mere langsigtede udvikling af de enkelte boligafdelinger med
udgangspunkt i både nuværende og kommende beboeres ønsker. For boligafdelingerne er det
afgørende at imødekomme konkrete ønsker fra de nuværende beboere, herunder krav til
udviklingen i huslejen.
Udviklingen af renoveringssagerne resulterer ofte i lange forløb over flere år med dialog med
Landsbyggefonden og boligafdelingerne, inden en renovering kan igangsættes. Forløbet op til en
støttet renovering er en proces, hvor Landsbyggefondens tolkning af lovgivningens formålsparagraf
og centralt fastsatte målsætninger skal mødes med lokale tolkninger af samme formål samt lokale
målsætninger og ønsker.
Boligorganisationerne opfatter disse forløb som saglige og langt henad vejen bidragende til en
effektiv anvendelse af investeringerne, men også som langstrakte, delvist ineffektive i sig selv og
med risiko for, at de besluttede renoveringer bliver forældede, inden de gennemføres. Det gælder
blandt andet for støttekategorierne, hvor de politisk prioriterede emner kan virke mindre relevante,
når renoveringen gennemføres, end ved projektets begyndelse. Flere boligorganisationer peger dog
på, at forløbene i sig selv er vigtige for at opnå en beboerdemokratisk forankring og tilslutning til
renoveringerne. Det kan således ifølge boligorganisationerne tage tid at få beboerdemokratisk
opbakning til tiltag, der er påkrævede for på længere sigt at kunne levere passende boliger til
kommende beboere, men som ikke umiddelbart finder opbakning blandt de nuværende beboere.
33
BOU, Alm.del - 2019-20 - Bilag 72: Offentliggørelse af renoveringsanalyser, fra boligministeren
2185122_0034.png
Boligorganisationerne peger samtidig på, at de ikke har indflydelse på eller forstår det
huslejeniveau, der er fastsat af Landsbyggefonden i forbindelse med renoveringerne.
Boligorganisationerne finder dog ikke de fastsatte huslejer forkerte eller urimelige.
Det kan overordnet konkluderes, at de aktører, der har størst indflydelse på udmøntningen af
lovens formålsparagraf i renoveringsstøttesagerne, er Landsbyggefonden, boligorganisationerne og
boligafdelingerne. Deloitte vurderer, at det grundlæggende er hensigtsmæssigt og medfører en høj
grad af agilitet og fleksibilitet i systemet, hvor centralt fastsatte målsætninger tilpasses lokale
ønsker og målsætninger, herunder de enkelte boligafdelingers. Men det er samtidig afgørende
elementer i systemet, at der sker en overordnet prioritering fra lovgivers side, og at særligt
kommunerne spiller en afgørende rolle med at sikre, at den enkelte renoveringssag understøtter
det nødvendige lokale boligudbud. Det er Deloittes vurdering, at disse to elementer kan styrkes.
Deloittes vurdering:
6
a)
Tydeligere udmøntning af lovgivningens formålsparagraf:
Det kan overvejes, om der
fra centralt politisk hold skal ske en tydeligere udmøntning af lovgivningens
formålsparagraf i den øvrige del af lovgivningen og regulering på området. En sådan
udmøntning bør ikke være detailregulerende, men sætte en klarere ramme for dialogen
mellem Landsbyggefonden, boligorganisationerne og kommunerne. Det kan fx ske ved, at
den overordnede inputstyring i form af investeringsrammen suppleres med overordnede
målsætninger, fx svarende til titlerne på de fem temaer i delrapport I. Tilsvarende kan det
være relevant at fastsætte klarere rammer for udmøntning af driftsstøtten.
b)
Redskaber til at understøtte kommunernes rolle:
Det kan overvejes, om der kan
etableres redskaber, der kan understøtte kommunerne i at udfylde deres rolle som
ansvarlige for den decentrale boligpolitik. Det kan omfatte systemer, der gør det muligt at
tilrettelægge og følge op på renoveringernes konsekvenser for den lokale boligpolitik. Det
kan endvidere omfatte forenklinger af systemet, der reducerer behovet for
specialkompetencer, og som samtidig kan gøre systemet mere gennemskueligt for
beboerdemokratiet.
5.2 Effektivitet i forhold til afdelingernes økonomiske
selvstændighed
Det er i lovgivningen forudsat, at afdelingerne er økonomisk selvstændige enheder, hvor der er en
tæt sammenhæng mellem husleje og boligforbrug. Overordnet betyder det, at der skal være tæt
sammenhæng mellem ansvar for vedligeholdelsen og forbedringen af afdelingerne samt de
økonomiske konsekvenser heraf i form af huslejeniveau.
Støttesystemet kan potentielt hæmme effektiviteten i denne økonomiske ansvarliggørelse af den
enkelte afdeling ved at indeholde incitamenter til at free-ride. Det forhold er behandlet i kapitel 4,
herunder tiltag der kan reducere disse incitamenter i støttesystemet. Det må dog forventes, at der
altid vil være et element af mulighed for free-riding i et støttesystem. Det gælder særligt, fordi
støttesystemet i praksis altid vil sikre, at en afdeling ikke går ned, herunder som følge af et
opbygget vedligeholdelsesefterslæb. Det er derfor væsentligt at undersøge, om det
uden for
støttesystemet er muligt at sikre, at afdelingerne henlægger og vedligeholder tilstrækkeligt. Med
andre ord er det relevant generelt at sikre, at afdelingerne henlægger og vedligeholder som
tiltænkt.
Data indikerer, som det fremgår af kapitel 4, at afdelingerne ikke henlægger og vedligeholder
tilstrækkeligt. Der kan peges på tre forhold uden for støttesystemet, der kan være årsager hertil:
34
BOU, Alm.del - 2019-20 - Bilag 72: Offentliggørelse af renoveringsanalyser, fra boligministeren
2185122_0035.png
Markedssituationen og intern konkurrence
Boligorganisationerne giver udtryk for, at det i store dele af landet ikke er muligt at hæve
henlæggelserne til et niveau, der modsvarer afdelingernes vedligeholdelsesbehov, da markedslejen
ikke muliggør dette. Med andre ord peger boligorganisationerne på, at dele af den almene sektor
ikke kan udleje boligerne til den reelle udgift, der er forbundet ved at drive boligerne.
Henlæggelserne afspejler således ikke vedligeholdelsesbehovet, men er udtryk for differencen
mellem de øvrige driftsudgifter og markedslejen. Som det fremgår af kapitel 4, kan den
problemstilling blive forstærket af støttede renoveringer og den interne konkurrence mellem de
almene boliger. Det skyldes, at renoveringerne øger boligstandarden, samtidig med at huslejen
ikke øges med et beløb, der reelt svarer til den forøgede boligkvalitet.
Boligorganisationernes implementering af reglerne om henlæggelser
Det er som udgangspunkt afdelingerne selv, der i forbindelse med vedtagelse af driftsbudgettet
fastsætter henlæggelses- og vedligeholdelsesniveauet i afdelingen. Nogle boligorganisationer giver
i den forbindelse udtryk for, at det kan være vanskeligt at overbevise afdelingsbestyrelserne om
det nødvendige i at øge henlæggelserne. Det kan blandt andet skyldes, at afdelingerne har fokus
på effektiviseringsdagsordenen og lavere huslejer, og fordi de kan have opfattelsen af, at
tilstrækkelige henlæggelser og vedligeholdelse kan medføre, at de får mindre i støtte fra
Landsbyggefonden.
Der er samtidig en række praktiske forhold ved boligorganisationernes implementering af reglerne
om henlæggelser, der kan medføre et vedligeholdelsesefterslæb. Det omfatter særligt
utilstrækkelige henlæggelser til fornyelse af badeværelser, køkkener og klimaskærm. I nogle
afdelinger henlægges der desuden ikke tilstrækkeligt fra begyndelsen i nybyggede afdelinger. Det
betyder, at vedligehold med tiden skal lånefinansieres. Tidligere lånefinansiering til vedligeholdelse
vil i praksis medføre, at der i en periode skal betales for både tidligere og fremtidige udgifter til
vedligeholdelse. Det skyldes, at der både skal afdrages på lånefinansieringen til den tidligere
vedligeholdelse og henlægges til den fremtidige vedligeholdelse. Det kan være økonomisk og
beboerdemokratisk meget vanskeligt at gennemføre.
Der kan dog ses en tendens til, at henlæggelserne i disse år er stigende,
20
og der må forventes
fortsat stigende henlæggelser, som følge af stramningen af reglerne for henlæggelser, som løbende
træder i kraft i disse år.
Det kommunale tilsyn
Det er kommunernes opgave at føre tilsyn med, om afdelingerne henlægger og vedligeholder
tilstrækkeligt. Kommunerne er opmærksomme herpå, men giver udtryk for, at det er vanskeligt at
føre et reelt tilsyn med vedligeholdelsesstanden og henlæggelserne i de almene boligafdelinger. Et
effektivt tilsyn vil forudsætte, at kommunerne kan sammenholde hver enkelt afdelings konkrete
vedligeholdelsesstand med dens vedligeholdelses- og fornyelsesplan samt henlæggelserne i
afdelingen. Det er i dag ikke praktisk muligt. I delrapport II undersøges mulighederne for at
digitalisere disse planer.
Det kan overordnet konkluderes, at tilstrækkelige henlæggelser og vedligeholdelse er afgørende for
et velfungerende støttesystem, da problemer med free-riding dermed vil blive reduceret. Der er
imidlertid dele af landet, hvor afdelingerne reelt ikke skaber balance mellem boligforbrug og
husleje. Det kan være en udfordring for støttesystemet, afhængigt af hvordan man ønsker at
prioritere ressourcerne i systemet. Problemstillingen kan blive øget af:
at beboerdemokratiet har begrænset incitament til at sikre tilstrækkelige henlæggelser og
vedligehold
boligorganisationernes implementering af reglerne på området
at kommunerne har utilstrækkelige redskaber til at føre et effektivt tilsyn med
afdelingernes vedligeholdelse og henlæggelser.
20
Se bilag 3
35
BOU, Alm.del - 2019-20 - Bilag 72: Offentliggørelse af renoveringsanalyser, fra boligministeren
2185122_0036.png
7
Deloittes vurdering:
a)
Håndtering af afdelingers udsatte markedsposition:
Det vil være hensigtsmæssigt at
undersøge omfanget af afdelinger, der er udfordret af markedssituationen, og
konsekvenserne for deres henlæggelser og vedligehold. Hvis det konstateres, at der er et
problem, kan det overvejes, om de i højere grad skal modtage driftsstøtte, uden at der
blive gennemført omfattende renoveringer, eller om der skal være en større grad af
differentiering i boligstandarden på tværs af landet.
b)
Nybyggeri betinges af henlæggelsesniveauet:
Det kan overvejes, om der skal ske en
sammenkædning af mulighederne for nybyggeri af almene boliger og
henlæggelsesniveauet i de eksisterende afdelinger i boligorganisationen eller kommunen.
Det vil mindske sandsynligheden for, at der bygges til udlejningsvanskeligheder samt øge
incitamentet til at etablere tilstrækkelige henlæggelser.
c)
Boligorganisationen bestemmer henlæggelsesniveauet:
Det kan overvejes, om
beslutningskompetencen for henlæggelsesniveauet skal flyttes fra afdelingen til
boligorganisationen i tråd med de senere års styrkelse af boligorganisationens ansvar for
en forsvarlig drift i afdelingerne.
d)
Styrke kendskabet til reglerne om henlæggelser:
Det vil være hensigtsmæssigt at
styrke boligorganisationernes viden om det konkrete regelsæt for henlæggelser. Det kan
hjælpe med at begrænse lånefinansieret vedligeholdelse.
e)
Strategisk planlægning:
Det vil være hensigtsmæssigt at etablere bedre redskaber og
rammer for en strategisk planlægning mellem kommuner og boligorganisationer, der sikrer
tilpasning af boligudbuddet i overensstemmelse med det lokale boligmarked. Det kan
samtidig bidrage til, at der ikke opstår usund intern konkurrence i den almene boligsektor,
der driver henlæggelser og vedligeholdelse ned.
f)
Styrkelse af kommunernes tilsynsmuligheder:
Det vil være hensigtsmæssigt at
etablere bedre redskaber og rammer til at understøtte kommunernes tilsynsmuligheder,
evt. gennem digitalisering af vedligeholdelses- og fornyelsesplanerne, jf. delrapport II,
samt evt. samle tilsynet på tværs af kommuner.
5.3 Effektivitet i allokeringen af støttemidler
Systemet er generelt anerkendt af boligorganisationer og kommuner for at være sagligt, retfærdigt
og med en vis fleksibilitet. Alle aktører giver dog stort set samstemmende udtryk for, at
støttesystemet er yderst komplekst, og at opnåelsen af et tilsagn om renoveringsstøtte ofte tager
mange år. Det skyldes blandt andet mange involverede aktører, kompleksiteten i systemet samt
ventelisten i Landsbyggefonden.
21
Der er således enighed om, at der er væsentlige
transaktionsomkostninger i systemet, men at dette samtidig skal ses i lyset af, at systemet også
allokerer betydelige midler.
Det kan dog overvejes, om kompleksiteten og transaktionsomkostningerne kan reduceres, og om
de medfører en skævvridning af allokeringen af støttemidler. Nedenfor gennemgås overvejelser om
disse to forhold.
Ventelisten i Landsbyggefonden udgøres hovedsageligt af sager, som er besigtiget og prækvalificeret af Landsbyggefonden,
men hvor igangsætning af renoveringssagen afventer endelige tilpasninger og vedtagelse i afdelingerne samt endeligt tilsagn,
når Landsbyggefondens investeringsramme giver mulighed herfor.
21
36
BOU, Alm.del - 2019-20 - Bilag 72: Offentliggørelse af renoveringsanalyser, fra boligministeren
2185122_0037.png
Kompleksitet
Der er i kapitel 3 og 4 peget på en række områder, hvor kompleksiteten i systemet og dermed
transaktionsomkostningerne kan reduceres. Nedenfor gennemgås yderligere tre konkrete og
centrale områder, som det kan overvejes også at forenkle.
Fordelte arbejder:
22
Fordelte arbejder omfatter ikke-støtteberettigede arbejder, der
medtages i gruppe 1 som støtteberettigede arbejder. For at opnå en større stringens i
systemet kan det overvejes at fjerne de fordelte arbejder som en del af gruppe 1. Det kan
således gøre det mere entydigt, at ikke-støtteberettigede arbejder skal finansieres uden for
Landsbyggefondens investeringsramme, og at de ikke skal finansieres af de støttede lån.
Hvis kategorien fjernes, er det nødvendigt, at den ikke-støtteberettigede vedligeholdelse og
de ikke-støttede forbedringer indgår i andre grupper af arbejder, og det kan herunder
overvejes, om de skal deles op. Det er endvidere nødvendigt at tage stilling til, hvordan de
skal finansieres, og i hvilket omfang udgifterne til finansieringen skal kunne dækkes af
driftsstøtte.
Den differentierede beboerbetaling:
23
Hvis kategorien
fordelte arbejder
udgår af
gruppe 1-arbejderne, kan det overvejes, om reglerne for beboerbetalingen skal ændres,
herunder at den som minimum skal udgøre 3,4 pct. Hidtil er de fordelte arbejder anvendt
til at hæve den gennemsnitlige beboerbetaling til over 3,4 pct. Det kan derfor overvejes,
om minimumssatsen skal ændres eller fjernes, og om der skal være én samlet sats for
beboerbetalingen for de forskellige støttekategorier. Det vil formentlig medføre en højere
beboerbetaling for tilgængelighed og ombygninger, hvilket vil kunne reducere incitamentet
til at gennemføre disse tiltag.
Gruppe 1, 2 og 3:
24
Hvis kategorien
fordelte arbejder
udgår, skal det overvejes, hvordan
det, der var fordelte arbejder, skal indgå i gruppe 1, 2 og 3, eller om der skal etableres en
ny opdeling. Det kan i den forbindelse også overvejes, om rammerne for gruppe 2 skal
klargøres, da der er en vis usikkerhed blandt aktørerne om, hvad der kendetegner gruppe
2-arbejder.
Skævvridning af allokering
Boligorganisationerne giver desuden udtryk for, at systemet forudsætter, at man har betydelig
erfaring med og kan begå sig i systemet, mens det er vanskeligt at gennemskue for uerfarne
ansatte, organisationer, beboerdemokrater og rådgivere.
Flere mindre organisationer giver således udtryk for, at det er altafgørende at have de rette
rådgivere tilknyttet for at kunne begå sig i systemet. De mindre boligorganisationer har dog
mulighed for få vejledning fra Landsbyggefonden gennem processen med at søge om og
gennemføre en støttet renoveringssag. Det bemærkes desuden, at aktørerne næsten
samstemmende giver udtryk for, at beboerdemokratiet ikke har mulighed for at forstå systemet,
men alene systemets output, fx det fastsatte huslejeniveau i en renoveringssag.
Der kan på den baggrund potentielt opstå en skævvridning i, hvilke afdelinger der modtager støtte.
Det vil være tilfældet, hvis kompleksiteten i systemet afholder eller begrænser mindre
selvadministrerende boligorganisationer i at søge om renoveringsstøtte. Det var flere aktørers
indtryk, at der potentielt kan være en sådan skævvridning af midler. Data indikerer, at det kan
være tilfældet, idet sandsynligheden for at få en støttesag stiger, jo flere støttesager en
administrationsenhed
25
allerede har gennemført. Med andre ord peger data på, at der er en
læringskurve for en administrationsenhed, som dog aftager.
22
23
24
25
Se nærmere beskrivelse i figur 8.
Se nærmere beskrivelse i figur 10.
Se nærmere beskrivelse i figur 9.
Selvadministrerende boligorganisation eller administrationsselskab.
37
BOU, Alm.del - 2019-20 - Bilag 72: Offentliggørelse af renoveringsanalyser, fra boligministeren
2185122_0038.png
Figur 19. Ændringen i sandsynligheden for at søge og modtage støtte efter antal tilsagn
boligadministrationen har modtaget.
%-point
4,5
4
3,5
3
2,5
2
1,5
1
0,5
0
0
1
2
3
4
5
6
7
Antal tilsagn
Note:
Figuren viser alt andet lige ændringen i sandsynligheden for at modtage støtte på baggrund af, hvor
mange støttesager administrationsenheden har været igennem. Det bemærkes, at effekten over tid er
aftagende, og ved ca. syv støttesager flader effekten ud, se bilag 5.
Kilde:
Landsbyggefondens sagssystem,
Landsbyggefondens stamdata, Regnstat, DST, Landsbyggefondens statistik over tomme boliger og BBR.
Det kan overordnet konkluderes, at der er en høj grad af kompleksitet i systemet, og at der er
indikationer på, at det øger transaktionsomkostningerne unødigt meget og fører til en
skævvridning af allokering af støttemidler. Kompleksiteten reducerer samtidig gennemsigtigheden i
systemet og gør det vanskeligt for en række aktører, fx beboerdemokrater, mindre
boligorganisationer og kommuner, at agere i systemet. Det kan potentielt medføre, at
ansvarliggørelse, gennemsigtighed og det demokratiske element i systemet reduceres, og at
midlerne i systemet ikke allokeres så effektivt som muligt.
Deloittes vurdering:
8
a)
Begrænsning af kompleksitet i støttesystemet:
Det vil være hensigtsmæssigt at
undersøge, om systemet kan forenkles. Det kan i den forbindelse konkret overvejes at
forenkle reglerne om fordelte arbejder og beboerbetaling. Det kan også overvejes, om en
mere gennemgribende forenkling vil være relevant, idet systemet bærer præg af at være
udviklet over mange år med flere tilføjelser undervejs.
38
BOU, Alm.del - 2019-20 - Bilag 72: Offentliggørelse af renoveringsanalyser, fra boligministeren
6
Samlet vurdering
Formålet med kapitlet er at opsummere vurderingerne fra kapitel 3-5.
Dette kapitel indledes med en kort overordnet vurdering. Derefter følger fire afsnit, hvor
vurderingerne i kapitel 3-5 grupperes og kommenteres inden for fire overordnede temaer.
Overordnet vurdering
Det er Deloittes overordnede vurdering, at støttesystemet generelt bidrager til at opfylde formålet i
almenboligloven om at ”stille
passende boliger til rådighed for alle med behov herfor til en rimelig
husleje”.
Formålet i lovgivningen er dog ikke systematisk implementeret i støttesystemet, hvilket
kan medføre uklarhed om de konkrete målsætninger for og opfølgningen på effekten af
renoveringerne.
Det er endvidere vurderingen, at Landsbyggefonden bidrager til sektorens selvfinansiering, og at
det generelt sker effektivt og i overensstemmelse med de politiske intentioner. Systemet
indeholder dog nogle elementer, der øger risikoen for free-riding og moral hazard. Allokeringen af
støtten kan desuden ske på en enklere og mere gennemsigtig måde, som blandt andet vil kunne
styrke andre aktørers rolle.
Det er endelig vurderingen, at der er indikationer på, at den grundlæggende forudsætning i den
almene sektor om, at den enkelte afdeling skal være en selvstændig økonomisk enhed, ikke er til
stede i alle dele af landet. Der skal som udgangspunkt være balance mellem
udgifterne/boligforbruget og huslejen, hvilket for en række afdelinger synes ikke at være tilfældet.
Det vil kunne have konsekvenser for afdelingernes adfærd og behov i forhold til støttesystemet.
Der kan på den baggrund peges på fire områder, hvor forbedringer af systemet kan overvejes:
1.
Målstyring og forenkling:
Der kan være en tættere kobling mellem de overordnede
formål og målsætninger og støttesystemets konkrete udmøntning samt bedre muligheder
for at følge op på effekten af renoveringerne. Systemet kan samtidig forenkles.
2.
Incitamenter:
Der er elementer i systemet, der kan ændres, så incitamenter til free-riding
og moral hazard reduceres.
3.
Passende henlæggelser og vedligeholdelse:
Der kan være fokus på at sikre, at
afdelingerne henlægger og vedligeholder tilstrækkeligt, så behovet for støttede
renoveringer reduceres.
4.
Kommunernes rolle og tilsyn:
Der kan etableres bedre redskaber for kommunerne, så
de kan udfylde deres rolle i forhold til at fastlægge rammer for det lokale boligudbud og
føre tilsyn med boligafdelingerne.
Nedenfor beskrives de fire områder, og der gives et overblik over vurderingerne i kapitel 3-5 i
forhold til hvert område.
Målstyring og forenkling
Det er Deloittes vurdering, at støttesystemet bærer præg af inputstyring samt begrænset
systematisk sammenhæng mellem de overordnede formål og målsætninger og den konkrete
udmøntning af støtten. En sådan sammenhæng kan med fordel implementeres i lovgivningen og
Landsbyggefondens regulativer, og der kan med udgangspunkt heri samtidig gennemføres en mere
systematisk opfølgning på resultaterne og effekten af støtten. Det kan blandt andet ske ved at
etablere en tættere sammenhæng mellem almenboliglovens formålsparagraf, de centrale politiske
målsætninger og støttekategorierne samt klarere målsætninger for driftsstøtten. Det kan dog ske
39
BOU, Alm.del - 2019-20 - Bilag 72: Offentliggørelse af renoveringsanalyser, fra boligministeren
under hensyntagen til, at boligpolitikken generelt er et kommunalt anliggende og med rum for
lokale beslutninger i de enkelte boligorganisationer og boligafdelinger.
Det er samtidig Deloittes vurdering, at systemet kan forenkles. Det kan blandt andet ske ved en
forenkling af reglerne om driftsstøtte, beboerbetalingen/ydelsesstøtten og ved en konsolidering af
de forskellige støtteformer og ordninger i form af ydelsesstøtte til lån, tilskud og driftsstøtte.
Det er endelig Deloittes vurdering, at systemet med fordel kan gøres mere gennemsigtigt i forhold
til, hvilke typer indsatser der ydes støtte til, og hvordan disse finansieres. Det kan blandt andet
omfatte en afskaffelse af kategorien
fordelte arbejder,
så det bliver gennemsigtigt, hvad der er
støtteberettigede indsatser, og hvad der er håndtering af vedligeholdelse og ikke-støtteberettigede
forbedringer. Et mere enkelt og gennemsigtigt system vil give en række aktører, fx
beboerdemokrater og kommuner, bedre muligheder for at spille den tiltænkte rolle i systemet og
bidrage til en effektiv allokering af midlerne.
I figur 20 nedenfor er samlet de ni vurderinger, der relaterer sig til målstyring og forenkling.
40
BOU, Alm.del - 2019-20 - Bilag 72: Offentliggørelse af renoveringsanalyser, fra boligministeren
2185122_0041.png
Figur 20. Deloittes vurderinger af forbedringsmuligheder inden for målstyring og forenkling
1.a
Opdatering af støttekategorierne:
Det vil være hensigtsmæssigt, at støttekategorierne opdateres på baggrund af en vurdering af dels nutidige
behov og politiske prioriteringer, dels en underbygget forandringsteori.
1.b
Sammenhæng mellem formål, lovgivningsmæssige rammer og regulativer:
Det vil være hensigtsmæssigt, at der er en klarere sammenhæng mellem almenboliglovens formålsparagraf, de
lovgivningsmæssige rammer om Landsbyggefondens renoveringsstøtteordning (§ 91 m.fl.) og Landsbyggefondens
regulativer og støttekategorier. Det kan tage udgangspunkt i en egentlig forandringsteori for renoveringsstøtten. I
forlængelse heraf kan det fx være relevant, at § 91 m.fl. snarere end detaljerede investeringsrammer omfatter de
overordnede mål for renoveringsstøtten, fx svarende til temaoverskrifterne i delrapport I.
1.c
Opfølgning på effekterne:
Det vil være hensigtsmæssigt, at det på kommunalt og evt. på nationalt niveau bliver muligt i højere grad at følge
op på effekterne af renoveringsstøtten. Det vil blandt andet kunne understøtte kommunerne i at kunne opstille
overordnede rammer for udformningen af de konkrete renoveringsprojekter.
1.d
Rum for lokale prioriteringer:
Det vil være hensigtsmæssigt at klargøre, hvilket rum der er for lokale prioriteringer (jf. også afsnit 5.1
nedenfor). Det omfatter blandt andet, hvordan forskelle i lokale behov kan udmøntes i forskellig anvendelse af
støttekategorierne, fx i forhold til tilgængelighed og ombygninger.
2.a
Klare rammer om driftsstøtten:
Det vil være hensigtsmæssigt, at formålet med driftsstøtteordningerne præciseres i lovgivningen og
Landsbyggefondens regulativ, herunder om driftsstøtten skal sikre afdelingers videreførelse i snæver økonomisk
forstand, bidrage til at forebygge sociale, økonomiske og driftsmæssige problemer eller sikre en ”rimelig husleje”.
Det vil desuden være hensigtsmæssigt, at det enten i lovgivningen eller Landsbyggefondens regulativer gøres
klart, hvad udgangspunktet for fastsættelse af driftsstøtten skal være. Endelig vil det være hensigtsmæssigt, at
boligorganisationernes forpligtelser og handlemuligheder i forhold til deres andel af driftsstøtten gøres klare.
2.b
Klart grundlag for bevilling af driftsstøtte:
Det vil være hensigtsmæssigt, at der etableres et klarere og mere gennemsigtigt grundlag for bevillingen af
driftsstøtte, så det er klart for aktørerne, hvordan og hvorfor driftsstøtten til den enkelte afdeling fastsættes og
sammensættes, som den gør.
2.c
Forenkling af driftsstøtteordningerne:
Det vil være hensigtsmæssigt at undersøge, hvordan de forskellige driftsstøtteordninger og deres samspil kan
forenkles og konsolideres. Det omfatter blandt andet, at det bliver gennemsigtigt, hvordan driftsstøtten
sammensættes, samt hvordan ordningerne spiller sammen og aftrappes. Det omfatter desuden, at det bliver
gennemsigtigt, hvordan driftsstøtteforpligtelsen fordeles mellem Landsbyggefonden og den enkelte
boligorganisation.
6.a
Tydeligere udmøntning af lovgivningens formålsparagraf:
Det kan overvejes, om der fra centralt politisk hold skal ske en tydeligere udmøntning af lovgivningens
formålsparagraf i den øvrige del af lovgivningen og regulering på området. En sådan udmøntning bør ikke være
detailregulerende, men sætte en klarere ramme for dialogen mellem Landsbyggefonden, boligorganisationerne og
kommunerne. Det kan fx ske ved, at den overordnede inputstyring i form af investeringsrammen suppleres med
overordnede målsætninger, fx svarende til titlerne på de fem temaer i delrapport I. Tilsvarende kan det være
relevant at fastsætte klarere rammer for udmøntning af driftsstøtten.
8.a
Begrænsning af kompleksitet i støttesystemet:
Det vil være hensigtsmæssigt at undersøge, om systemet kan forenkles. Det kan i den forbindelse konkret
overvejes at forenkle reglerne om fordelte arbejder og beboerbetaling. Det kan også overvejes, om en mere
gennemgribende forenkling vil være relevant, idet systemet bærer præg af at være udviklet over mange år med
flere tilføjelser undervejs.
Incitamenter
Det er Deloittes vurdering, at der er elementer i støttesystemet, der understøtter en
uhensigtsmæssig adfærd i form af free-riding og moral hazard. Det kan på den baggrund overvejes
at ændre disse elementer, men det er vigtigt at være opmærksom på, at det samtidig vil have
betydning for den støtte, nogle afdelinger kan få.
Det er Deloittes vurdering, at det for det første kan overvejes at etablere en større sammenhæng
mellem renoveringernes omfang og huslejekonsekvenserne for de beboere, der beslutter
renoveringerne. Det kan ske ved at sikre, at en marginal forøgelse af størrelsen på en renovering
medfører en højere husleje. Det kan desuden ske ved at indføre en anden profil på aftrapningen af
driftsstøtten.
Det er Deloittes vurdering, at det for det andet kan overvejes at gøre det gennemsigtigt, hvilket
omfang vedligeholdelse udgør af en støttet renoveringssag, og sikre, at det finansieres særskilt og
evt. med mere begrænset støtte. Det kan desuden overvejes at sikre, at forbedringer udført før en
41
BOU, Alm.del - 2019-20 - Bilag 72: Offentliggørelse af renoveringsanalyser, fra boligministeren
2185122_0042.png
støttet renoveringssag påvirker driftsstøttemulighederne på samme måde som gruppe 3-arbejder i
forbindelse med renoveringssagen.
Det er Deloittes vurdering, at det for det tredje kan overvejes, om der kan etableres stærkere
incitamenter eller krav til vedligeholdelse før en renoveringssag. Det kan ske ved at undersøge,
hvordan afdelinger uden tilstrækkelige henlæggelser kan finansiere nødvendig vedligeholdelse. Det
kan desuden ske ved at undersøge, om der kan stilles krav, der reducerer risikoen for, at en
afdeling får behov for en støttet renovering. Et område, hvor det kunne være relevant, er
udfordringer med skimmelsvamp. Disse problemstillinger er yderligere behandlet i afsnittet
nedenfor.
I figur 21 nedenfor er samlet de syv vurderinger, der relaterer sig til incitamenter.
Figur 21. Deloittes vurdering af forbedringsmuligheder af incitamentsstrukturen
3.a
Opdeling af støtte til støtteberettigede arbejder og vedligeholdelse:
Det vil være hensigtsmæssigt, hvis der i renoveringssagerne og finansieringen skelnes tydeligt og gennemsigtigt
mellem støtteberettigede arbejder og støtte til at dække vedligeholdelse. Det kan fx ske ved, at
vedligeholdelsesdelen af en støttet renoveringssag fremgår eksplicit, fx som det kendes fra Byggeskadefondens
system.
3.c
Adgang til finansiering af nødvendigt vedligehold:
Det vil være hensigtsmæssigt at undersøge, hvordan afdelinger, der er på vej til at få væsentlige problemer, får
adgang til finansiering til nødvendigt vedligehold, uden at det nødvendigvis omfatter en fysisk helhedsplan. Det
kunne fx være gennem lånegarantier fra kommunen, boligorganisationen eller Landsbyggefonden.
3.d
Tiltag, der reducerer problemer med skimmelsvamp:
Det kan være hensigtsmæssigt at gennemføre tiltag, der sikrer, at afdelingerne i videst muligt omfang selv
håndterer problemerne med skimmelsvamp. Det kunne fx ske ved, at boligorganisationen, kommunen eller
staten kan stille krav om, at løbende vedligehold og forbedringer omfatter tiltag, der reducerer risikoen for
skimmelsvamp, herunder etablering af ventilation.
4.a
Afdelingens udgifter følger størrelsen på sagen:
Det kan overvejes, om systemet skal ændres, så afdelingens egne udgifter i alle tilfælde stiger, når
renoveringssagens størrelse forøges.
4.b
Ændring af driftsstøttens aftrapningsprofil:
Det kan overvejes, om driftsstøttens aftrapningsprofil skal ændres, fx til en mere flad profil. Det kan herunder
overvejes, om det er hensigtsmæssigt, at systemet er indrettet, så de nuværende beboere træffer beslutninger
om fremtidig husleje, hvor den økonomiske konsekvens er meget begrænset på kort sigt, men herefter øges.
4.c
Særskilt finansiering af vedligeholdsefterslæb:
Det vil være hensigtsmæssigt, at afdelingens forpligtelse i forhold til vedligehold fremgår tydeligt af støttesagen
og finansieres særskilt, herunder som udgangspunkt af afdelingens henlæggelser, jf. også vurderingen under
hypotese 1.
5.b
Støtteberettiget husleje inkluderer ikke tidligere forbedringer:
Det vil være hensigtsmæssigt, at forbedringer gennemført inden en støttet renovering reducerer udmålingen af
driftsstøtte i forbindelse med den støttede renovering. Det kan fx sikres ved, at udgifter til forbedringer, der er
gennemført inden en støttet renovering, ikke tælles med i fastsættelse af driftsstøtten.
Passende henlæggelser og vedligeholdelse
Som det fremgår ovenfor, er der en række konkrete elementer i støttesystemet, der kan styrkes
for at reducere mulige free-rider-problematikker. Det vil imidlertid ikke være muligt at designe et
system uden risiko for free-riding. Det gør sig særligt gældende, når Landsbyggefonden som
udgangspunkt altid vil støtte en afdeling, når dens videreførelse er truet.
Det er Deloittes vurdering, at det på den baggrund er afgørende, at de rammer, der skal sikre
tilstrækkelig vedligeholdelse og tilstrækkelige henlæggelser, fungerer effektivt. Det kan derfor
overvejes at skærpe kravene til henlæggelser og vedligeholdelse. Det kan ske ved, at kompetencen
til at fastsætte henlæggelsesniveauet overflyttes helt eller delvist til boligorganisationen, og ved at
stille krav om, at forbedringer kun kan gennemføres, hvis der er tilstrækkelige henlæggelser til
vedligehold. Det kan desuden ske ved at betinge nybyggeri af almene boliger af tilstrækkelige
henlæggelser og vedligehold i øvrige afdelinger i kommunen eller boligorganisationen. Det kan
42
BOU, Alm.del - 2019-20 - Bilag 72: Offentliggørelse af renoveringsanalyser, fra boligministeren
2185122_0043.png
endelig ske ved at øge gennemsigtigheden med afdelingernes vedligeholdelsesniveauer, jf. næste
afsnit.
Det er derudover Deloittes vurdering, at der er behov for at undersøge om utilstrækkelige
henlæggelser og vedligeholdelse skyldes et strukturelt problem med manglende sammenhæng
mellem markedssituationen for en række afdelinger og de udgifter, der følger af et nødvendigt
niveau for vedligeholdelse og henlæggelse.
I figur 22 nedenfor er samlet de seks vurderinger, der relaterer sig til passende henlæggelser og
vedligeholdelse.
Figur 22. Deloittes vurdering af forbedringsmuligheder af henlæggelses- og vedligeholdsniveau
3.b
Konsekvenser af almene boligers konkurrencesituation:
Det vil være hensigtsmæssigt at gennemføre en undersøgelse af konsekvenserne af almene boligers
konkurrencesituation i forhold til henlæggelses- og vedligeholdelsesniveau. Det kan omfatte konsekvenserne for
de berørte afdelinger, deres fremtidige støttebehov fra Landsbyggefonden og udbuddet af almene boliger.
5.a
Vedligehold frem for forbedringer:
Det vil være hensigtsmæssigt, at afdelingerne ikke har mulighed for at vælge forbedringer frem for vedligehold,
hvis vedligeholdet ikke er tilstrækkeligt. Det kunne fx sikres ved, at afdelingerne ikke har mulighed for at
nedprioritere vedligeholdelse, jf. afsnit 5.2 nedenfor.
7.a
Håndtering af afdelingers udsatte markedsposition:
Det vil være hensigtsmæssigt at undersøge omfanget af afdelinger, der er udfordret af markedssituationen, og
konsekvenserne for deres henlæggelser og vedligehold. Hvis det konstateres, at der er et problem, kan det
overvejes, om de i højere grad skal modtage driftsstøtte, uden at der blive gennemført omfattende renoveringer,
eller om der skal være en større grad af differentiering i boligstandarden på tværs af landet.
7.b
Nybyggeri betinges af henlæggelsesniveauet:
Det kan overvejes, om der skal ske en sammenkædning af mulighederne for nybyggeri af almene boliger og
henlæggelsesniveauet i de eksisterende afdelinger i boligorganisationen eller kommunen. Det vil mindske
sandsynligheden for, at der bygges til udlejningsvanskeligheder samt øge incitamentet til at etablere
tilstrækkelige henlæggelser.
7.c
Boligorganisationen bestemmer henlæggelsesniveauet:
Det kan overvejes, om beslutningskompetencen for henlæggelsesniveauet skal flyttes fra afdelingen til
boligorganisationen i tråd med de senere års styrkelse af boligorganisationens ansvar for en forsvarlig drift i
afdelingerne.
7.d
Styrke kendskabet til reglerne om henlæggelser:
Det vil være hensigtsmæssigt at styrke boligorganisationernes viden om det konkrete regelsæt for henlæggelser.
Det kan hjælpe med at begrænse lånefinansieret vedligeholdelse.
Kommunernes rolle og tilsyn
Det er i almenboligloven forudsat, at kommunerne spiller en væsentlig rolle i at fastlægge den
decentrale boligpolitik og sikre en styring af boligudbuddet på lokalt niveau. Det er samtidig en
forudsætning, at kommunerne fører tilsyn med afdelingernes økonomi, herunder at de
vedligeholder og henlægger tilstrækkeligt. Det kan konstateres, at der er forskel på, hvordan
kommunerne varetager denne rolle.
Det er Deloittes vurdering, at kommunerne kan understøttes bedre som ansvarlige for
boligpolitikken. Det kan ske ved at tilvejebringe redskaber, der gør det muligt at gennemføre en
strategisk planlægning af boligudbuddet i forbindelse med renoveringer og følge effekten af
renoveringerne på boligudbuddet i kommunen.
Det er endvidere Deloittes vurdering, at kommunerne kan understøttes bedre i at føre et effektivt
tilsyn med boligafdelingernes henlæggelser og vedligeholdelse. Det kan ske ved at udnytte nogle af
de digitale muligheder, der kunne følge af en digitalisering af afdelingernes vedligeholdelses- og
fornyelsesplaner, som analyseres nærmere i delrapport II. Derudover kan det overvejes, om
kommunernes tilsyn kan styrkes ved at samle tilsynet på tværs af flere kommuner, som det fx er
tilfældet på socialområdet.
I figur 23 nedenfor er samlet de tre vurderinger, der relaterer sig til kommunernes rolle og tilsyn.
43
BOU, Alm.del - 2019-20 - Bilag 72: Offentliggørelse af renoveringsanalyser, fra boligministeren
2185122_0044.png
Figur 23. Deloittes vurdering af forbedringsmuligheder af kommunernes rolle og tilsyn
6.b
Redskaber til at understøtte kommuners rolle:
Det kan overvejes, om der kan etableres redskaber, der kan understøtte kommunerne i at udfylde deres rolle
som ansvarlige for den decentrale boligpolitik. Det kan omfatte systemer, der gør det muligt at tilrettelægge og
følge op på renoveringernes konsekvenser for den lokale boligpolitik. Det kan endvidere omfatte forenklinger af
systemet, der reducerer behovet for specialkompetencer, og som samtidig kan gøre systemet mere
gennemskueligt for beboerdemokratiet..
7.e
Strategisk planlægning:
Det vil være hensigtsmæssigt at etablere bedre redskaber og rammer for en strategisk planlægning mellem
kommuner og boligorganisationer, der sikrer tilpasning af boligudbuddet i overensstemmelse med det lokale
boligmarked. Det kan samtidig bidrage til, at der ikke opstår usund intern konkurrence i den almene boligsektor,
der driver henlæggelser og vedligeholdelse ned.
7.f
Styrkelse af kommunernes tilsynsmuligheder:
Det vil være hensigtsmæssigt at etablere bedre redskaber og rammer til at understøtte kommunernes
tilsynsmuligheder, evt. gennem digitalisering af vedligeholdelses- og fornyelsesplanerne, jf. delanalyse II, samt
evt. samle tilsynet på tværs af kommuner.
44
BOU, Alm.del - 2019-20 - Bilag 72: Offentliggørelse af renoveringsanalyser, fra boligministeren
7
Bilag
Bilag 1. Renoveringsstøtteordningens baggrund
Støtte til renoveringer i den almene sektor blev aktuelt i slutningen af 1970’erne, hvor en række
byggerier fra slutningen af 1960’erne og
begyndelsen af
1970’erne –
trods deres unge alder
viste
sig at have så alvorlige byggeskader, at afdelingerne og beboerne ikke selv kunne håndtere
problemerne.
På den baggrund og særligt efter den såkaldte ’tagsag’ fra Albertslund blev den statslige
byggeskadeordning indført i 1978 med virkning fra 1979. Den statslige byggeskadeordning stillede
finansiering svarende til finansieringen i nybyggeri (grundkapitallån, støttede realkreditlån og
beboerindskud) til rådighed for afdelinger med byggeskader, men kun i helt særlige tilfælde.
Udover byggeskader blev det fra 1984 på grund af stadige udlejningsvanskeligheder i nogle af de
nye afdelinger muligt at opnå støtte til ombygning (opdeling af store lejligheder) og såkaldte
miljøarbejder, der skulle gøre de monotone og rå betonbebyggelser mere attraktive.
Forudsætningen for at opnå støtte hertil var, at afdelingerne skulle have betydelige og vedvarende
udlejningsvanskeligheder, og at det var forventningen, at sådanne tiltag ville reducere disse
problemer.
Den statslige byggeskadeordning blev ophævet i 1990, og i stedet trådte fra 1991 en
byggeskadeordning administreret og finansieret af Landsbyggefonden i kraft. Med den nye ordning
blev støttede renoveringer
som det kendes i dag
finansieret 100 pct. med realkreditlån med
ydelsesstøtte fra Landsbyggefonden. Ellers var der ikke væsentlige ændringer i ordningen, og fokus
var fortsat på udbedring af byggeskader samt ombygning og miljøarbejder med henblik på at
forhindre udlejningsvanskeligheder
dog blev det også muligt at støtte nært tilknyttede
vedligeholdelsesarbejder.
Byggeskadeordningen blev reformeret i 2002 og blev fra 2003 til den renoveringsstøtteordning, der
kendes i dag. Baggrunden var et ønske om at ’aktivere’ Landsbyggefondens stadigt
stigende
indtægter fra udamortiserede ydelser ved at udvide ordningen fra et relativt snævert fokus på
byggeskader (og forebyggelse af udlejningsvanskeligheder) til et bredere fokus på at sikre en
konkurrencedygtig almen boligsektor med tidssvarende boliger.
Sideløbende med byggeskadeordningerne og renoveringsstøtteordningen har Landsbyggefonden
(og staten) ydet forskellige former for såkaldt ’driftsstøtte’ til nødlidende afdelinger. Der har typisk
været en relativ tæt sammenhæng mellem afdelinger med behov for støtte til renoveringer og med
behov for driftsstøtte; og ordningerne er i dag tæt knyttet til hinanden. Renoveringsstøtten skal
således ses i sammenhæng med den supplerende støtte i form af driftsstøtte, som afdelingerne kan
få del i.
I figuren nedenfor beskrives en række forhold ved de tre ordninger.
45
BOU, Alm.del - 2019-20 - Bilag 72: Offentliggørelse af renoveringsanalyser, fra boligministeren
2185122_0046.png
Figur 24. Historisk oversigt over renoveringsstøtteordningen
Statslig byggeskadeordning
1979
1990
Byggeskadeordning under
Landsbyggefonden 1991
2002
Renoveringsstøtteordning under
Landsbyggefonden 2003
Baggrund
Indført på baggrund af Albertslundsagen
med utætte flade tage og
beboerprotester (Gårdhavehuse).
Ønske om at reducere det offentliges
udgifter og gøre sektoren mere
selvbærende.
Den eksisterende statslige ordning
ophæves, og en ny finansieret og
administreret af LBF indføres.
Ønske om at aktivere midlerne i
Landsbyggefonden og udvide omfanget
af støtteberettigede arbejder for at
opbygge en konkurrencedygtig
boligkvalitet (utidssvarende boliger med
uhensigtsmæssig indretning).
Byggeskader i det moderne
montagebyggeri (flade tage og
betonskader).
Fra 1984 også miljøarbejder og opdeling
af store u-udlejelige boliger for at
afhjælpe udlejningsvanskeligheder.
Fortsat byggeskader, miljøarbejder og
opdeling/ombygning af ledige
lejligheder.
Nært tilknyttede
vedligeholdelsesarbejder kan også
støttes.
Mål og
fokus
Fortsat byggeskader (opretning) og
udlejnings-vanskeligheder (miljøarbejder
og ombygning), nært tilknyttede
vedligeholdelsesarbejder, men også et
bredere fokus på forbedringer/
modernisering, tilpasning til
boligefterspørgslen og tidssvarende
boliger (sammenlægning af lejligheder
og tilgængelighed).
Fra 2011 også nedrivning. Fra 2013 også
infrastruktur. Fra 2015 også
energidemonstrationsprojekter. Fra 2019
også med henblik på afhændelse.
Opretning (byggeskader), herunder
også nedrivning, energidemon-
strationsprojekter og renovering med
henblik på afhændelse
Miljøarbejder
Ombygning og sammenlægning
Tilgængelighed
Infrastruktur
Fordelte arbejder
Trangsprincip / Skadestueprincip: Mest
trængende.
Driftsøkonomisk nødvendighed.
Udgifter udgør minimum 10 % af
bygningsværdien
(dispensationsmulighed).
Minimum 20 år gammel og ikke omfattet
af Byggeskadefonden
(dispensationsmulighed).
Særligt udsat/ghetto: Infrastruktur og
særlig ramme for investeringer.
Medfinansiering fra boligorganisation.
Så vidt muligt finansieret af
lejeforhøjelser.
Beboerdemokratisk godkendelse af
projektet og lejekonsekvens (eller call-
in).
Udarbejdelse af helhedsplan.
Dokumentation for problemernes
omfang.
Ekstraordinære byggeskader
Miljøarbejder (fra 1984)
Opdeling/ombygning af store
lejligheder (fra 1984)
Kategorier
Ekstraordinære byggeskader
Miljøarbejder
Ombygning af ledige lejligheder
Nært tilknyttede
vedligeholdelsesarbejder
Kriterier
Helt ekstraordinære byggeskader og i
helt særlige tilfælde.
Driftsøkonomisk nødvendighed.
Udgifter udgør minimum 10 % af
bygningsværdien
(dispensationsmulighed fra 1980).
Maksimalt 20 år gammel.
Opnået tilsagn før 1/7 1986
afdelinger
efter forudsættes dækket af
Byggeskadefonden.
Helt ekstraordinære byggeskader og i
helt særlige tilfælde.
Driftsøkonomisk nødvendighed.
Udgifter udgør minimum 10 % af
bygningsværdien
(dispensationsmulighed).
Maksimalt ca. 20 år gammel
(dispensationsmulighed).
Opnået tilsagn før 1/7 1986
afdelinger
efter forudsættes dækket af
Byggeskadefonden.
Udgifter søgt dækket på anden vis,
herunder ved krav mod ansvarlige
parter, forsikringsdækning, egne
henlæggelser, lejeforhøjelser mv.
Forudsæt-
ninger
Udgifter søgt dækket på anden vis,
herunder ved krav mod ansvarlige
parter, forsikringsdækning, egne
henlæggelser, lejeforhøjelser mv.
Rente- og afdragsfrit lån
(grundkapitallån)
til en del af
anskaffelsessummen.
Beboerindskud
(2 pct.) til
miljøarbejder og ombygning.
Støttens
form
Ydelsesstøtte
til realkreditlån til
finansiering af hele anskaffelsessummen.
Fra 1991: Beboerbetaling: 2 x 1,915 pct.
Fra 1997: Beboerbetaling: 3,6 pct.
Garanti
for realkreditlånene.
Ydelsesstøtte
til realkreditlån til
finansiering af hele anskaffelsessummen.
Beboerbetalingen varierer afhængigt af
arbejderne (og afdelingens forhold),
men udgør i gennemsnit 3,4 pct.
Garanti
for realkreditlånene.
Tilskud
til infrastruktur.
Ydelsesstøtte
(rentesikring,
rentebidrag, afdragsbidrag mv.) til
realkreditlån til den resterende del af
anskaffelsessummen.
Fordelingen mellem grundkapitallån,
beboerindskud og realkreditlån ændres
over tid og er forskellig for forskellige
typer af arbejder.
Garanti
for realkreditlånene.
Afdelingerne er
som andre afdelinger
omfattet af mulighederne for forskellige
former for særlig driftsstøtte mv.:
Midlertidige driftslån (fra 1971),
driftstabslån (fra 1973),
beboerindskudslån (fra 1972), trojkalån
(fra 1977), driftssikring (fra 1980),
omprioritering (1985), kapitaltilførsler
(fra 1985) og fritagelser (fra 1985).
Fra 1979: Mulighed for ‘trækningsret’.
Afdelingerne er
som andre afdelinger
omfattet af mulighederne for forskellige
former for særlig driftsstøtte mv.:
Driftsstøtte fra LBF (midlertidige
driftslån, driftstabslån,
beboerindskudslån), trojkalån,
driftssikring, kapitaltilførsler, fritagelser,
omprioritering (1994 og 2000),
huslejesikring (fra 1994) og
huslejebidrag (fra 2000).
Trækningsret.
Tilskud
(reguleringskonto) til (delvis)
finansiering af overskridelser.
Finansiering: Investeringstilskud,
trækningsret, kapitaltilførsel
(finansiering).
Løbende støtte: Huslejestøtte,,
driftsstøtte, fritagelser, kapitaltilførsel
(depot), driftslån.
Suppler-
ende
støtte
46
BOU, Alm.del - 2019-20 - Bilag 72: Offentliggørelse af renoveringsanalyser, fra boligministeren
Bilag 2. Beskrivelse af huslejemodellens beregningsteknik
Overordnede retningslinjer
Som grundlag for fordelingen af huslejestøttemidlerne 2011-2014 inden for rammerne af
almenboliglovens § 91a er der i udvælgelsen lagt de forudsætninger, som fremgår af loven og
regulativets § 2:
Huslejeniveauet
Beboersammensætningen
Fraflytningsfrekvens
Økonomiske problemer såsom opsamlet driftsunderskud og manglende henlæggelsesbeløb
til planlagt og periodisk vedligeholdelse.
Renoveringsbehov.
Disse kriterier anvendes ved Landsbyggefondens vurderinger af, om der for en afdeling med den
ene eller anden form for vanskeligheder har et driftsstøttemæssigt behov.
En stor del af oplysningerne ligger som statistiske oplysninger og gennem en analyse af
ansøgningerne bearbejdes disse i talform. De øvrige kriterier har mere karakter af vurderinger,
som kan være et referencegrundlag som supplement til de mere beregningsmæssige opstillinger.
Der gennemføres i den forbindelse besigtigelser af de pågældende afdelinger.
Huslejemodellen
For at bestemme om de ansøgende boligområder, der kan komme i betragtning til støtte, er der
opstillet en huslejemodel, som med ovenstående udgangspunkt vurderer støttebehovet. Modellen
indeholder følgende oplysninger om den enkelte afdeling:
Balancelejen:
Udgør det nuværende husleje for beboerne eksklusive vand.
Budgetjusteringer:
Ud fra overordnede budget- og forbrugsregnskabsoplysninger
foretages nødvendig tilpasning af budget- og lejeberegningen jf. driftsstøttereglerne.
Nye låneydelser:
For hver ansøgende afdeling vurderer fonden om og i hvilket omfang
der er behov for nye låneydelser til nødvendige renoveringer.
Afdelingens alder:
Modellens udgangspunkt er den gennemsnitlige husleje for afdelinger
fra samme årgang og region som den ansøgende afdeling
den såkaldte årstalsleje. Den
tilstræbte leje er således årstalslejen korrigeret for beboersammensætningen,
beliggenhedskommunens ejendomspriser, afdelings art, den fysiske vurdering og
bundfradraget. Datakilde for årstalslejen er Landsbyggefondens huslejestatistik/boligportal-
huslejeregister.
Beboersammensætningen:
Den ansøgende afdelings beboersammensætning
sammenholdes med den gennemsnitlige almene sektor, hvad angår beboere udenfor
arbejdsmarkedet, ikkevestlige indvandrere/efterkommere og enlige forældre. Er
beboersammensætningen mere problematisk end den gennemsnitlige almene sektor gives
der en forhøjelse af det beregnede støttebehov. Datakilde er ”forskeraftale” med Danmarks
Statistik.
Beliggenhedskommunens ejendomspriser:
Ejendomspriserne i kommunen
sammenholdes med gennemsnittet for regionen og er ejendomspriserne højere end
gennemsnittet, vurderes det, at den ansøgende afdeling alt andet lige vil kunne bære et
ændret huslejeniveau. Datakilde er Finans Danmarks (Realkreditrådets) kvartalsvise
kvadratmeterpriser i kommunerne for salg af hhv. parcel/rækkehuse og ejerlejligheder.
Afdelings art:
Idet det vurderes, at tæt/lavt-bebyggelser alt andet lige kan bære en
højere husleje end etagebebyggelser gives der et fradrag i støtteberegningen for tæt/lavt
bebyggelser og omvendt for etage-bebyggelser.
Fysisk vurdering:
Afdelingens fysiske fremtoning er på en skala fra 1 til 5 blevet vurderet
af Landsbyggefondens byggetekniske konsulenter efter følgende kategorier:
47
BOU, Alm.del - 2019-20 - Bilag 72: Offentliggørelse af renoveringsanalyser, fra boligministeren
2185122_0048.png
o
o
o
o
o
o
o
afdelingens byggemåde og -form,
arkitektur og fysisk fremtræden,
miljøet og beboernes opfattelse heraf,
afdelingens omdømme og ry,
geografisk placering og
trafikforhold og - betjening.
boligernes kvalitet
Landsbyggefonden har udarbejdet en kort beskrivelse herom for hver afdeling ud fra de
foreliggende oplysninger og kendskabet i øvrigt til afdelingen evt. suppleret med
indhentning af yderligere oplysninger ved besigtigelse m.v. Det beregnede støttebehov
bliver korrigeret for den fysiske vurdering.
Boligernes gennemsnitlige størrelse:
Huslejen beregnes i modellen som kr. pr. kvm, og
da de små lejligheder relativt set har flere af de dyre kvadratmeter (bad og køkken) end de
større lejligheder omregnes huslejen for alle ansøgende afdelinger til en 75 kvm husleje,
således tages der højde for afdelingernes forskellige boligsammensætninger, jf. reglerne
om lejefordeling efter lejlighedernes indbyrdes værdi.
De 3 centrale begreber i modellen er:
1. Samlet leje
26
2. Balanceleje
27
3. Tilstræbt leje
Den samlede leje er udgjort af:
Nye låneydelser til
gruppe 1 og 2
Samlet leje
=
Balancelejen
+
Budgetjusteringer
+
Den tilstræbte leje er huslejemodellens output, og er den tilstræbte leje større end den samlede
leje udløser modellen støtte. Støttehovet bestemmes ved:
Støttebehov
=
Samlet leje
-
Tilstræbt leje
26
27
Svarer til den støtteberettigede husleje i figur 12 og 13.
Svarer til afdelingens nuværende husleje.
48
BOU, Alm.del - 2019-20 - Bilag 72: Offentliggørelse af renoveringsanalyser, fra boligministeren
2185122_0049.png
Beregningseksempel fra huslejemodellen
Beregningseksempel
Ex. 1
kr./pr. kvm
954
833
Ex. 2
kr./pr. kvm
966
906
Samlet leje
(75 kvm) inkl. renovering
Årsleje
(gns. leje for afdelinger opført i samme år)
Kommune/Regiontillæg
Tillægsbeløb pr. kvm
Højdetillæg
Tillægsbeløb pr. kvm
Fysisk vurdering
Tillægsbeløb pr. kvm
Beboertillæg
Tillægsbeløb pr. kvm
Tilstræbt leje
Støttebehov
15
-17
-38
-44
91
91
-68
-63
833
121
873
93
49
BOU, Alm.del - 2019-20 - Bilag 72: Offentliggørelse af renoveringsanalyser, fra boligministeren
2185122_0050.png
Regressioner
Bilag 3. Gennemsnitlige årlige henlæggelser
Log(gns. årlige henlæggelser)
Før støtte
Efter støtte
Antal borgere i kommunen (1000)
Driftsstøtte
Tomgang
Andel dømte
Andel ikke vestlige
Gennemsnitlig indkomst
Andel kortuddannede
Andel udenfor arbejdsmarkedet
Bygningstype
Tæt/lavt
Tag
Tagpap
Fibercement
Cementsten
Tegl
Andet/uoplyst
Væg
Beton
Andet/uoplyst
Region
Sjælland
Syddanmark
Midtjylland
Nordjylland
Opførelsesår
1961-1977
1978-2008
2009-
År
2008
2009
2010
2011
2012
2013
2014
2015
2016
2017
Konstant
N
0,0278903
0,0028634
0,0004996
0,000135
-0,001731
-0,001947
-0,000475
-2,29E-08
0,0000953
-0,000112
***
***
***
**
**
0,0668004 ***
0,0135058
0,0513179
0,0568987
0,0467004
0,0266755
***
***
***
*
-0,002341
-0,021848 *
-0,112566
-0,332343
-0,200928
-0,473407
***
***
***
***
-0,110492 ***
-0,271284 ***
-0,519715 ***
-0,021823
0,0194732
0,0616465
0,0652748
0,0857854
0,1382548
0,1882673
0,2366524
0,3127955
0,354913
*
***
***
***
***
***
***
***
***
4,779891 ***
58921
Kilde:
Landsbyggefondens sagssystem, Landsbyggefondens stamdata, Regnstat, DST, Landsbyggefondens
statistik over tomme boliger og BBR. * p<0,1, ** p<0,05, *** p<0,01. Afhængig variabel: logaritmen til
gennemsnitlig årlige henlæggelser kr. kvm og perioden 2007-2017.
50
BOU, Alm.del - 2019-20 - Bilag 72: Offentliggørelse af renoveringsanalyser, fra boligministeren
2185122_0051.png
Bilag 4. Regressioner for forbedringer
Log(Forbedring)
Før støtte
Efter støtte
Antal borgere i kommunen (1000)
Driftsstøtte
Tomgang
Andel dømte
Andel ikke vestlige
Gennemsnitlig indkomst
Andel kortuddannede
Andel udenfor arbejdsmarkedet
Bygningstype
Tæt/lavt
Tag
Tagpap
Fibercement
Cementsten
Tegl
Andet/uoplyst
Væg
Beton
Andet/uoplyst
Region
Sjælland
Syddanmark
Midtjylland
Nordjylland
Opførelsesår
1961-1977
1978-2008
2009-
År
2008
2009
2010
2011
2012
2013
2014
2015
2016
2017
Konstant
N
0,152662
0,988048
0,000665
0,000302
-0,00659
0,004898
-0,00157
4,23E-07
-0,00038
0,00032
**
***
***
**
**
0,299135 ***
0,026741
0,160657 **
0,021378
0,055616
-0,04467
0,146861 **
0,044139
-0,2513
-0,20344
-0,27132
-0,24349
***
***
***
***
-0,16469 ***
-0,95996 ***
-0,80628 ***
-0,00802
0,071951
-0,00252
0,068126
0,096394
0,168736
0,212328
0,27497
0,316634
0,356428
***
***
***
***
***
3,745758 ***
37913
Kilde.
Landsbyggefondens sagssystem, Landsbyggefondens stamdata, Regnstat, DST, Landsbyggefondens
statistik over tomme boliger og BBR. * p<0,1, ** p<0,05, *** p<0,01. Afhængig variabel: log til den
gennemsnitlige årlige udgift forbedringer kr. pr. kvm og perioden 2007-2017.
51
BOU, Alm.del - 2019-20 - Bilag 72: Offentliggørelse af renoveringsanalyser, fra boligministeren
2185122_0052.png
Bilag 5. Regression for sandsynligheden for at få støtte
Sandsynlighed for støtte
Log(gns. årligt vedligehold)
Husleje
Antal støttesager
Antal støttesager
2
Log(gns. årlige henlæggelser)
Driftsstøtte
Tomgang
Andel dømte
Andel ikke vestlige
Gennemsnitlig indkomst
Andel kortuddannede
Andel udenfor arbejdsmarkedet
Bygningstype
Tæt/lavt
Tag
Tagpap
Fibercement
Cementsten
Tegl
Andet/uoplyst
Væg
Beton
Andet/uoplyst
Region
Sjælland
Syddanmark
Midtjylland
Nordjylland
Opførelsesår
1961-1977
1978-2008
2009-
År
2008
2009
2010
2011
2012
2013
2014
2015
2016
2017
Konstant
N
-0,0050605
-5,21E-07
0,0126335
-0,0009139
0,0046163
-0,0000181
0,0021381
0,0008763
0,0003894
-6,48E-09
0,000072
-0,0000163
***
***
***
***
***
***
***
***
0,0013625
-0,0016698
-0,000139
-0,0023474
-0,002829
-0,0008534
0,0093407 ***
0,0049699 ***
0,0046266
0,0047358
0,0063034
0,0106006
***
***
***
***
0,0056032 ***
-0,0028657 ***
-0,0129744 ***
0,0039025
0,0042999
0,0031123
0,0061244
0,0072137
0,0064462
0,0034215
0,0076483
0,0041371
0,0040106
-0,0076458
60779
**
***
**
***
Kilde.
Landsbyggefondens sagssystem, Landsbyggefondens stamdata, Regnstat, DST, Landsbyggefondens
statistik over tomme boliger og BBR. * p<0,1, ** p<0,05, *** p<0,01.Afhængig variabel: støtte (0/1) og
perioden 2007-2017.
52
BOU, Alm.del - 2019-20 - Bilag 72: Offentliggørelse af renoveringsanalyser, fra boligministeren
2185122_0053.png
Bilag 6. Regression for husleje
Log(husleje)
Log(gns. årlige henlæggelser)
Log(gns. årligt vedligehold)
Antal borgere i kommunen (1000)
Før støtte
Efter støtte
Driftsstøtte
Tomgang
Andel dømte
Andel ikke vestlige
Gennemsnitlig indkomst
Andel kortuddannede
Andel udenfor arbejdsmarkedet
Bygningstype
Tæt/lavt
Tag
Tagpap
Fibercement
Cementsten
Tegl
Andet/uoplyst
Væg
Beton
Andet/uoplyst
Region
Sjælland
Syddanmark
Midtjylland
Nordjylland
Opførelsesår
1961-1977
1978-2008
2009-
År
2008
2009
2010
2011
2012
2013
2014
2015
2016
2017
Konstant
N
0,0257763
-0,0003334
0,0001276
-0,0204645
-0,0165237
-4,48E-06
0,0012423
0,000055
-0,000119
0,0000537
-0,0000434
0,0002547
***
***
***
**
***
*
***
**
***
-0,0409232 ***
0,0177398 ***
-0,0042033
-0,013578 ***
0,0104939 **
0,0014966
-0,0157169 ***
-0,0018598
-0,0935331
-0,2388998
-0,1814546
-0,1936699
***
***
***
***
0,0447317 ***
0,2590735 ***
0,2575177 ***
-0,0054492
0,0283907
0,046433
0,0351287
0,0347209
0,0440193
0,0295799
0,0299243
0,0462525
0,0541073
***
***
***
***
***
***
***
***
***
6,500503 ***
58916
Kilde.
Landsbyggefondens sagssystem, Landsbyggefondens stamdata, Regnstat, DST, Landsbyggefondens
statistik over tomme boliger og BBR. * p<0,1, ** p<0,05, *** p<0,01. Afhængig variabel: logaritmen til
huslejen kr. pr kvm. og perioden 2007-2017.
53
BOU, Alm.del - 2019-20 - Bilag 72: Offentliggørelse af renoveringsanalyser, fra boligministeren
2185122_0054.png
Bilag 7. Regression for størrelsen på anskaffelsessummen
Log(Anskaffelsessum)
Log(gns. årligt vedligehold)
-0,74546 ***
Log(gns. årlige henlæggelser)
0,347666 ***
Antal borgere i kommunen (1000) -0,00062 *
Driftsstøtte
-0,00057
Tomgang
-0,00125
Andel dømte
0,011583
Andel ikke vestlige
-0,00577 *
Gennemsnitlig indkomst
1,26E-06
Andel kortuddannede
-0,0058
Andel udenfor arbejdsmarkedet
0,000736
Bygningstype
Tæt/lavt
Tag
Tagpap
Fibercement
Cementsten
Tegl
Andet/uoplyst
Væg
Beton
Andet/uoplyst
Region
Sjælland
Syddanmark
Midtjylland
Nordjylland
Opførelsesår
1961-1977
1978-2008
2009-
År
2008
2009
2010
2011
2012
2013
2014
2015
2016
2017
Konstant
N
-0,13248
-0,45066 **
0,182155
0,263424
0,009635
-0,4202 **
0,3075 **
0,353581 **
0,342019 **
0,379741 **
0,330941 **
0,240201
-0,34582 **
-0,7125 ***
0,045377
0,481897
-0,00908
0,413413
0,487874
1,035475
0,759519
0,527083
0,323124
0,77898
0,644901
*
*
***
***
*
***
**
9,982994 ***
592
Kilde.
Landsbyggefondens sagssystem, Landsbyggefondens stamdata, Regnstat, DST, Landsbyggefondens
statistik over tomme boliger og BBR.. * p<0,1, ** p<0,05, *** p<0,01. Afhængig variabel:
Anskaffelsessummen kr. pr. kvm. og perioden 2007-2017.
54
BOU, Alm.del - 2019-20 - Bilag 72: Offentliggørelse af renoveringsanalyser, fra boligministeren
2185122_0055.png
Bilag 8. Tilgængelighed og ombygning
Tilgængelighed
Log(gns. årlige henlæggelser)
Log(gns. årligt vedligehold)
Antal borgere i kommunen (1000)
Driftsstøtte
Tomgang
Andel dømte
Andel ikke vestlige
Gennemsnitlig indkomst
Andel kortuddannede
Andel udenfor arbejdsmarkedet
Bygningstype
Tæt/lavt
Tag
Tagpap
Fibercement
Cementsten
Tegl
Andet/uoplyst
Væg
Beton
Andet/uoplyst
Region
Sjælland
Syddanmark
Midtjylland
Nordjylland
Opførelsesår
1961-1977
1978-2008
2009-
År
2008
2009
2010
2011
2012
2013
2014
2015
2016
2017
Konstant
N
-0,63095 *
0,21086
-0,0014
0,00411
-0,0166
0,17316 **
-0,002
9,49E-06 *
7,83E-03
0,00026
Ombygning
-1,1776
0,86382
0,00052
0,0215
0,01053
-0,0795
-0,0089
-1E-05
-0,01
0,00265
-0,9755 ***
-0,2445
-0,2623
0,26427
-0,229
0,35398
-0,0231
-1,4212
-0,0244
-0,4284
0,16646
-0,5451
-0,2715
0,12529
-0,361
-0,084
0,16789
1,03779 ***
0,76248 **
0,57215
-0,5829
-0,166
-0,47
-0,2824
-0,5424 *
-0,7984 **
-1,5129
-1,1503
-1,4592
-2,6617
0,22364
0,30698
-0,0067
0,4393
0,15018
0,34103
0,03503
0,208
0,38385
0,78698
1,16627
2943
-1,4926
-2,1173
-1,0301
-0,9191
-0,8563
-0,4621
-0,2749
-0,8474
-0,7168
-0,7138
9,57808
314
Kilde.
Landsbyggefondens sagssystem, Landsbyggefondens stamdata, Regnstat, DST, Landsbyggefondens
statistik over tomme boliger og BBR.* p<0,1, ** p<0,05, *** p<0,01. Afhængig variabel: tilgængelighed og
ombygning kr. pr. kvm og perioden 2007-2017.
55
BOU, Alm.del - 2019-20 - Bilag 72: Offentliggørelse af renoveringsanalyser, fra boligministeren
2185122_0056.png
Om Deloitte
Deloitte leverer ydelser indenfor revision, consulting, financial advisory, risikostyring, skat
og dertil knyttede ydelser til både offentlige og private kunder i en lang række brancher.
Deloitte betjener fire ud af fem virksomheder på listen over verdens største selskaber,
Fortune Global 500®, gennem et globalt forbundet netværk af medlemsfirmaer i over 150
lande, der leverer kompetencer og viden i verdensklasse og service af høj kvalitet til at
håndtere kundernes mest komplekse forretningsmæssige udfordringer. Vil du vide mere
om, hvordan Deloittes omkring 264.000 medarbejdere gør en forskel, der betyder noget, så
besøg os på Facebook, LinkedIn eller Twitter.
Deloitte er en betegnelse for en eller flere af Deloitte Touche Tohmatsu Limited (”DTTL”),
dets netværk af medlemsfirmaer og deres tilknyttede virksomheder. DTTL (der også
omtales som ”Deloitte Global”) og alle dets medlemsfirmaer udgør separate og uafhængige
juridiske enheder. DTTL leverer ikke ydelser til kunderne. Vi henviser til
www.deloitte.com/about for nærmere oplysninger.
© 2020 Deloitte Statsautoriseret Revisionspartnerselskab. Medlem af Deloitte Touche
Tohmatsu Limited.
56