Beskæftigelsesudvalget 2019-20
BEU Alm.del Bilag 309
Offentligt
2220656_0001.png
ARBEJDSTILSYNET ÅRSOPGØRELSE 201 9
ANMELDTE ERHVERVSSYGDOMME 2014-2019
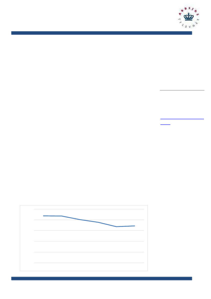
I 2019 er der anmeldt omkring 17.000 erhvervssygdomme, og dermed er antal-
let på samme niveau som i 2018. Fra 2014 til 2019 er antallet af anmeldelser
Antal anmeldte er-
faldet med ca. 4.700 anmeldelser, svarende til et fald på 21 pct. I 2019 udgør
hvervssygdomme er
muskelskeletsygdomme den største gruppe blandt anmeldte erhvervssyg-
på samme niveau i
domme efterfulgt af psykiske sygdomme.
2019 som i 2018. I
Arbejdstilsynets årsopgørelse indeholder oplysninger om anmeldte erhvervssyg-
den samlede periode
domme i perioden 2014-2019 fordelt på sygdomsgrupper, påvirkninger i arbejdsmil-
fra 2014 til 2019 er
jøet (årsager), køn, alder og brancher. Opgørelsen er baseret på tal fra Erhvervssyg-
der et fald på 21 pct.
domsregistret. Se bilag A.
En erhvervssygdom er en sygdom, som helt eller delvist skyldes påvirkninger på arbej-
det. Læger og tandlæger har pligt til at anmelde erhvervssygdomme, hvis de har mis-
tanke om, at sygdommen er opstået på grund af forhold i arbejdsmiljøet.
Anmeldelse sker elektronisk til Erhvervssygdomsregistret, som er fælles for Arbejds-
markedets Erhvervssikring og Arbejdstilsynet. De fleste sygdomme bliver anmeldt af
læger (ca. 90 pct.) men kan anmeldes af alle, fx skadelidte selv og fagforeninger. Ar-
bejdsskadesikringsloven definerer de sygdomme, der kan anerkendes.
Anmeldte erhvervssygdomme 2014-2019
Der er i 2019 anmeldt 17.183 erhvervssygdomme, se figur 1, og dermed er antallet af
anmeldte sygdomme på samme niveau som i 2018. Siden 2014 er antallet af anmeldel-
ser samlet faldet med ca. 4700 anmeldelser, svarende til et fald på 21 pct.
Tallene i årsopgørelsen giver ikke det fulde billede af forekomsten af erhvervssyg-
domme, da statistikken er påvirket af en vis underanmeldelse. Desuden kan flere fak-
torer påvirke antallet af anmeldte erhvervssygdomme, fx problemer i arbejdsmiljøet
der ligger år tilbage, opmærksomhed eller presseomtale vedr. bestemte arbejdsmiljø-
områder. Det betyder, at antallet af anmeldelser kan svinge fra år til år.
Figur 1: Antal erhvervssygdomme anmeldt til Erhvervssygdomsregisteret 2014-2019.
LÆS MERE
På Arbejdstilsynets
hjemmeside
www.at.dk/arbejdska-
detal
er der mulighed
for ved selvbetjening
at finde yderligere
oplysninger om an-
meldte erhvervssyg-
domme 2014-2019
25.000
20.000
15.000
10.000
5.000
0
2014
2015
2016
2017
2018
2019
21.878
21.784
20.127
18.869
16.842
17.183
1
BEU, Alm.del - 2019-20 - Bilag 309: Orientering om arbejdstilsynets årsopgørelse 2019 - anmeldte erhvervssygdomme 2014-2019, fra beskæftigelsesministeren
2220656_0002.png
Muskelskeletsygdomme og psykiske sygdomme udgør halvdelen af anmeldelserne
Omkring halvdelen af alle anmeldte erhvervssygdomme i 2019, 56 pct., omhandler
muskelskeletsygdomme og psykiske sygdomme, se tabel 1 i bilag B. Denne procentan-
del har været omtrent den samme hvert år i perioden 2014-2019.
Muskelskeletsygdomme udgør i 2019 den største gruppe af anmeldelserne med 5.534
anmeldelser. Dette svarer til 32 pct. af de anmeldte erhvervssygdomme. Andelen har
været på næsten samme niveau siden 2014.
Antallet af anmeldte muskelskeletsygdomme er fra 2014 til 2019 faldet med 1.807 an-
meldelser, se tabel 1 i bilag B. Det svarer til et fald på 25 pct., dvs. lidt højere end det
samlede fald for samtlige anmeldte tilfælde på 21 pct. De fleste tilfælde af muskelske-
letsygdomme vedrører arm og håndlidelser, dernæst skulderlidelser, og den tredje-
største gruppe vedrører ryglidelser, se figur 2 og tabel 3 i bilag B.
Psykiske sygdomme udgør med 4.169 anmeldelser den andenstørste gruppe af anmel-
delser i 2019, svarende til 24 pct. af de anmeldte sygdomme. Andelen af psykiske syg-
domme set i forhold til de samlede anmeldelser har været på næsten samme niveau
siden 2014 Antallet af anmeldelser set over hele perioden er faldet med 17 pct., idet
der dog har været udsving med 4.993 anmeldelser i 2015 som det højeste antal og la-
vest i 2018 med 3.754 anmeldelser, se tabel 1 i bilag B.
Figur 2: Anmeldte erhvervssygdomme i 2019 fordelt på sygdomsgrupper.
56%
af alle anmeldte er-
hvervssygdomme i
2019 var enten om
muskelskeletsyg-
domme eller psyki-
ske sygdomme
6.000
5.000
4.000
3.000
2.000
1.000
0
5.534
4.169
2.375
2.362
856
493
455
442
497
Note: Ukendt: Kun de anmeldelser, som anmeldes elektronisk, bliver registreret med diagnose og
dermed sygdomsgruppe i Arbejdstilsynets Erhvervssygdomsregister.
Hudsygdomme udgør sammen med øresygdomme den tredjestørste andel med 14
pct. af de anmeldte tilfælde i 2019.
For de øvrige sygdomsgrupper er antallet af anmeldelser væsentligt mindre, idet de
hver især kun tegner sig for mellem 450-850 anmeldelser. Det svarer til 3-5 pct. af alle
2
BEU, Alm.del - 2019-20 - Bilag 309: Orientering om arbejdstilsynets årsopgørelse 2019 - anmeldte erhvervssygdomme 2014-2019, fra beskæftigelsesministeren
2220656_0003.png
årets anmeldte tilfælde. Luftvejssygdomme er fra 2018 til 2019 steget med 130 flere
anmeldelser fra 726 til 856 tilfælde. Se i øvrigt tabel 1 bilag B for udviklingen i antal og
andele i perioden 2014-2019.
Kønsforskelle i anmeldte typer af sygdomme
Fordelingen af antallet af anmeldte erhvervssygdomme mellem mænd og kvinder er
nogenlunde ens i 2019 med henholdsvis 51 pct. for mænd og 49 pct. for kvinder. An-
tallet af anmeldte erhvervssygdomme pr. 10.000 beskæftigede (incidens) er i 2019 lidt
højere for kvinder (61) end for mænd (59), se tabel 5 i bilag B. Læs også om incidens i
bilag A.
For nogle typer sygdomme er der store kønsforskelle i anmeldemønstret i perioden
2014-2019. Der er fx i 2019 væsentlig flere anmeldelser vedrørende mænd end kvin-
der for sygdomsgrupperne øresygdomme (91 pct. mænd og 9 pct. kvinder) og luftvejs-
sygdomme (81 pct. mænd og 19 pct. kvinder). Omvendt er der flere anmeldelser ved-
rørende kvinder end mænd, når det gælder psykiske sygdomme (74 pct. kvinder og 26
pct. mænd) og hudsygdomme (62 pct. kvinder og 38 pct. mænd), se figur 1 i bilag B.
Flest anmeldte muskelskeletpåvirkninger og psykosociale påvirkninger
Lægen, der anmelder en erhvervssygdom, skal altid angive, hvilke påvirkninger de mis-
tænker har forårsaget sygdommen. I 2019 er der i alt oplyst 24.960 påvirkninger, som
helt eller delvist kan have forårsaget sygdommen. For hver anmeldelse er der i gen-
nemsnit angivet ca. 1,5 påvirkninger.
Påvirkningerne i arbejdsmiljøet giver et billede af, hvilke årsager i arbejdsmiljøet, som
kan føre til sygdom, se tabel 3. Muskelskeletpåvirkninger og psykosociale påvirkninger
er oftest anført som årsag til henholdsvis muskelskeletsygdomme og psykiske syg-
domme.
De øvrige tre typer arbejdsmiljøpåvirkninger, som er støj og andre fysiske faktorer, ke-
miske og industrielle faktorer og biologiske faktorer, kan forårsage flere forskellige
grupper af sygdomme som fx hudsygdomme, luftvejssygdomme, kræftsygdomme og
høreskader.
Figur 3: Anmeldte arbejdsmiljøpåvirkninger i 2019 fordelt på påvirkningstype i pct.
74 %
af de psykiske an-
meldelser i 2019
vedrører kvinder
Mens der anmeldes
lige mange muskel-
skeletsygdomme
for mænd og kvin-
der
Muskelskeletpåvirkninger
Psykosociale faktorer
Støj og a. fysiske faktorer
Kemiske og industrielle faktorer
Biologiske faktorer
-
1
5
10
15
20
25
30
35
13
16
32
37
40
Note: Kun de anmeldelser som anmeldes elektronisk bliver registreret med påvirkninger i Erhvervssygdomsregistret.
3
BEU, Alm.del - 2019-20 - Bilag 309: Orientering om arbejdstilsynets årsopgørelse 2019 - anmeldte erhvervssygdomme 2014-2019, fra beskæftigelsesministeren
2220656_0004.png
Muskelskeletpåvirkninger udgør med 37 pct. den største påvirkningstype i forbindelse
med en anmeldt erhvervssygdom, se figur 3. Her er det især løfte- og bærearbejde,
skub- og trækarbejde samt repetitivt arbejde, der bliver anmeldt. Dernæst kommer
dårlige arbejdsstillinger, se tabel 7 i bilag B.
Psykosociale faktorer udgør den næststørste påvirkningstype med 32 pct. Her er det
især arbejdsrelationer og stor arbejdsmængde (kvantitative krav), der er anmeldt. Ar-
bejdsrelationer omfatter bl.a. problematiske arbejdsrelationer til chefer eller kolleger.
Støj og andre fysiske faktorer udgør sammen med kemiske og industrielle faktorer
henholdsvis 16 pct. og 13 pct. af de nævnte årsager. Kategorien støj og andre faktorer
handler også om vibrationer, mens kemiske og industrielle faktorer handler om fx vådt
arbejde, rengøringsmidler, maling, lim, støv, røg og fibre. Biologiske årsager udgør 1
pct. af årsagerne.
Anmeldelser fordelt på branchegrupper
Årsopgørelsen viser, at branchegruppen Slagterier for sjette år i træk er den branche-
gruppe med den højeste incidens af anmeldte erhvervssygdomme. I denne branche-
gruppe er der i 2019 199 sygdomsanmeldelser pr. 10.000 beskæftigede, hvilket er
mere end tre gange højere end gennemsnittet for alle branchegrupper, som er 59 an-
meldelser pr. 10.000 beskæftigede.
Også andre branchegrupper som fx Transportmidler og Træ og møbler ligger over gen-
nemsnittet, men betydeligt under slagterier.
Figur 4 viser anmeldte erhvervssygdomme i 2019 fordelt på 36 branchegrupper pr.
10.000 beskæftigede i branchegruppen.
Opgørelsen af incidens er forbundet med usikkerhed, da påvirkningsperioden ikke er
den samme for de forskellige sygdomme eller er ukendt, og fordi nogle påvirkninger er
sket for år tilbage, se bilag A.
Andelen af de fem forskellige påvirkningstyper (jf. figur 3) for hver branchegruppe
fremgår af figur 5 i bilag B. Her ses fx, at for slagterier udgør muskelskeletpåvirkninger
75 pct. at de anmeldte påvirkninger.
199
anmeldelser pr.
10.000 beskæftigede
i branchegruppen
slagterier
Gennemsnittet er 59
for alle branchegrup-
per
4
BEU, Alm.del - 2019-20 - Bilag 309: Orientering om arbejdstilsynets årsopgørelse 2019 - anmeldte erhvervssygdomme 2014-2019, fra beskæftigelsesministeren
2220656_0005.png
Figur 4: Antal anmeldte erhvervssygdomme 2019 pr. 10.000 beskæftigede fordelt på 36 branchegrupper*.
19 Slagterier
13 Transportmidler
14 Træ og møbler
2 Opførelse og nedrivning af byggeri
24 Frisører og anden personlig pleje
10 Metal og maskiner
3 Færdiggørelse af byggeri
21 Politi beredskab og fængsler
11 Plast glas og beton
20 Nærings- og nydelsesmidler
12 Tekstil og papir
23 Vand kloak og affald
8 Installation og reparation af maskiner
32 Døgninstitutioner og hjemmepleje
27 Rengøring
Gennemsnit
33 Hospitaler
30 Transport af passagerer
6 Elektronik
31 Daginstitutioner
7 Energi og råstoffer
25 Hotel og camping
34 Læger tandlæger og dyrlæger
17 Kontor
29 Transport af gods
35 Undervisning
28 Restauranter og barer
9 Kemi og medicin
18 Landbrug skovbrug og fiskeri
1 Anlægsarbejde
22 Religiøse institutioner og begravelsesvæ
5 Engros
4 Butikker
36Universiteter og forskning
26 Kultur og sport
15 Film presse og bøger
16 IT og telekommunikation
-
73
72
72
68
66
60
59
53
52
49
45
44
44
43
42
41
39
39
39
38
37
36
36
27
24
22
17
10
50
100
150
200
109
99
97
93
92
90
88
84
199
250
Kilde: Arbejdstilsynets erhvervssygdomsregister og Danmarks Statistiks Registerbaserede Arbejdsstyrkestatistik (RAS).
De a eldte erhvervssygdo
e i de for ra hegruppe ”ko tor” o fatter, ud over
administrativt arbejde, også
anmeldelser knyttet til fx social-og sundhedsarbejde samt omsorgs- og pædagogarbejde, hvis arbejdsgiveren er regi-
streret som kommunal administration i stedet for fx plejehjem eller daginstitutioner.
* Opgjort pr. 28/4 2020. Antallet af anmeldelser i en branche kan ændre sig løbende i takt med sagsbehandlingen i Ar-
bejdsmarkedets Erhvervssikring.
5