Beskæftigelsesudvalget 2019-20
BEU Alm.del Bilag 201
Offentligt
2177725_0001.png
Håndholdt Indsats i
Ressourceforløb
Slutevaluering
Oktober 2019
BEU, Alm.del - 2019-20 - Bilag 201: Evalueringer af projekter om virksomhedsforløb med lønnede timer for udsatte borgere, fra beskæftigelsesministeren
2177725_0002.png
Håndholdt Indsats i Ressourceforløb - Slutevaluering
INDHOLDSFORTEGNELSE
OPSUMMERING AF EVALUERINGEN
KORT OM HÅNDHOLDT INDSATS I RESSOURCEFORLØB
KONKLUSIONER OG PERSPEKTIVERING
Konklusioner
Perspektivering
2
3
4
4
6
EFFEKT AF NEDSAT CASELOAD OG INDSATS I HIR
Virkning af nedsat caseload i forhold til kortere tid mellem LAB-indsatser
(succeskriterie 1)
Virkning af nedsat caseload i forhold til andel i virksomhedspraktik
OG/ELLER med ordinære timer (succeskriterie 2)
Virkning af nedsat caseload i forhold til sagsbehandlers belief (succeskriterie 3)
9
10
19
28
METODE OG DATAKILDER
30
1
BEU, Alm.del - 2019-20 - Bilag 201: Evalueringer af projekter om virksomhedsforløb med lønnede timer for udsatte borgere, fra beskæftigelsesministeren
2177725_0003.png
Håndholdt Indsats i Ressourceforløb - Slutevaluering
OPSUMMERING AF EVALUERINGEN
’Hå dholdt I dsats i Ressour eforlø ’
har undersøgt effekten af nedsat caseload
højest 35 sager
pr. sagsbehandler
hos koordinerende sagsbehandlere i 15 kommuner.
Efter 13 måneders indsats er effekten i de 15 kommuner samlet set
e ge e s itlig reduktio på uger elle LAB-i dsatser,
dvs. at
tiden mellem LAB-
indsatser gennemsnitligt har været 4 uger kortere for borgere i deltagerkommunerne
sammenlignet med borgere i de øvrige kommuner
en gennemsnitlig stigning i andelen af borgere i virksomhedspraktik og/eller med ordinære
timer med
3,6 procentpoint til 20,8% ved projektets slutning.
I landets øvrige kommuner er
andelen af borgere i virksomhedspraktik og/eller med ordinære timer i samme periode
steget med 1,9 procentpoint til 16,8%.
De medvirkende koordinerende sagsbehandlere vurderer samlet set, at nedsat caseload har
forbedret deres muligheder for at tilrettelægge indsatser uden passive perioder
styrket deres samarbejde med virksomhedskonsulenter
givet dem større viden om arbejdsmarkedet for borgere i ressourceforløb.
Effekten varierer fra kommune til kommune, så nedsat caseload kan ikke alene kan skabe effekt. En
afgørende forudsætning for opnå effekt er, at organisationen er modnet til en virksomhedsrettet
indsats og at den ekstra tid, som nedsat caseload giver de koordinerende sagsbehandlere, bruges til
en målrettet virksomhedsrettet indsats som vist i modellen nedenfor.
De ’
od e’ orga isatio
kendetegnes
ved
virksomhedsrettet faglighed
hos
medarbejderne
et
jobrettet virksomhedssamarbejde
en
team-orienteret arbejdsform
et
virksomhedsrettet mindset og
belief
Nedsat caseload
giver sagsbehandler tid
til:
hyppig jobrettet dialog
løse udfordringer
involvere borger
følge op
tæt
kontakt til samarbejdspartnere
kvalificere sagsarbejdet
Effekt:
kortere tid
mellem
borgernes indsatser
flere i virksomheds-
rettet indsats / med
ordinære timer
flere borgere afklares
2
BEU, Alm.del - 2019-20 - Bilag 201: Evalueringer af projekter om virksomhedsforløb med lønnede timer for udsatte borgere, fra beskæftigelsesministeren
2177725_0004.png
Håndholdt Indsats i Ressourceforløb - Slutevaluering
KORT OM HÅNDHOLDT INDSATS I
RESSOURCEFORLØB
I videnspilotprojektet
’Håndholdt
Indsats i Ressourceforløb’ (HIR-projektet) har 15 deltagerkommuner fra
1. marts 2018 til 31. marts 2019 nedsat caseload for den enkelte koordinerende sagsbehandler til højst
35 sager.
Dette er det første projekt på beskæftigelsesområdet, hvor man specifikt undersøger effekten af nedsat
caseload hos den enkelte sagsbehandler, og hvordan et nedsat caseload influerer på sagsbehandlerens
opgaveløsning.
Udover nedsat caseload har deltagerkommunerne opereret med to kerneelementer i projektet:
Systematisk tilrettelæggelse af sagsforløbet, som indebærer en fast kontaktperson, der
koordinerer indsatsen overfor borgeren
Mindsteindgrebsmodellen som indsatsmodel, dvs. at borgeren tidligt i forløbet får en klar
jobrettet plan, der sigter mod ordinære timer. Den jobrettede plan er omdrejningspunktet,
understøttet af relevante sociale og helbredsmæssige hensyn og om nødvendigt
mentorstøtte.
Effekten af det nedsatte caseload vurderes ud fra følgende succeskriterier:
1. Kortere tid mellem LAB-indsatser
2. Øget antal borgere i virksomhedspraktik eller ordinære timer
3. Sagsbehandler opnår øget belief
1
.
Opfyldelse af de tre succeskriterier er hver for sig en indikation på, om borgerne i ressourceforløb får
en indsats, der hjælper dem videre på trods af komplekse problemstillinger. Herunder at de ikke går
passive i længere perioder, at udviklingen af deres arbejdsevne understøttes via en
virksomhedsrettet indsats, og at de oplever belief fra en sagsbehandler i forhold til deres muligheder
for at opnå en plads på arbejdsmarkedet.
Deltagende kommuner
Favrskov
Faxe
Faaborg-Midtfyn
Gladsaxe
Greve
Haderslev
Hedensted
Herning
Horsens
Kolding
Lyngby-Taarbæk
Slagelse
Syddjurs
Vallensbæk-Ishøj
Varde
1
Jf. indikator vedr. sagsbehandlers tro på, at borger får job fra Beskæftigelses Indikator Projektet. I HIR måles
belief på koordinerende sagsbehandleres vurdering af, hvor mange af deres ressourceforløbsborgere, som de
tror, kan komme i virksomhedspraktik indenfor 3 måneder, opnå ordinære løntimer indenfor et år og opnå
beskæftigelse i form af fleksjob eller en halvtids- eller heltidsstilling indenfor de næste to år.
3
BEU, Alm.del - 2019-20 - Bilag 201: Evalueringer af projekter om virksomhedsforløb med lønnede timer for udsatte borgere, fra beskæftigelsesministeren
2177725_0005.png
Håndholdt Indsats i Ressourceforløb - Slutevaluering
KONKLUSIONER OG PERSPEKTIVERING
KONKLUSIONER
De 15 kommuner har alle overholdt kravet om at nedsætte caseload. Kommunerne havde forskelligt
udgangspunkt forud for projektet, men alle jobcentre har nedsat eller fastholdt et lavt caseload
gennem projektperioden.
Det samlede gennemsnitlige caseload har været 30,3 i projektperioden, mens det før HIR-projektet
var 38,9. Sagsbehandlernes gennemsnitlige caseload er altså sænket betydeligt med 8,6 sager.
Konklusionerne ser derfor på virkning af nedsat caseload i forhold til projektets 3 succeskriterier.
1. Virkning af nedsat caseload i forhold til. kortere tid mellem LAB-indsatser
Effekt:
Sa let ser er der i de 1 ko
u er e statistisk sig ifika t effekt i for af e ge e s itlig
reduktio på uger elle LAB-i dsatser, svare de til e reduktio på 9, % i hele
projektperiode ge e s it 1 uger elle LAB-i dsatser ved projektets slut i g
På sagsbehandlerniveau ses en statistisk signifikant sammenhæng mellem fald i caseload og
kortere tid mellem LAB-indsatser.
Sagsbehandlerne i de 15 kommuner angiver, at de har haft hyppigere og mere fleksibel kontakt
med borgerne. Typisk en gang om måneden eller hver anden uge, hvor det før projektet typisk var
en gang om måneden eller hver anden måned.
Sagsbehandlerne oplever, at deres muligheder for at tilrettelægge indsatser uden passive
perioder er forbedret med nedsat caseload. Især mulighederne for tæt opfølgning, for at lære
borgerens situation godt at kende og for at involvere borgeren i planlægning af eget forløb.
Sagsbehandlerne bruger fortsat ca. 1/3 af deres tid på administrative opgaver, blandt andet fordi
den tætte borgerkontakt har medført behov for at dokumentere den øget aktivitet og udvikling
for de enkelte borgere. Sagsbehandlerne oplever, at de på den baggrund og med et lavere
caseload kan levere dokumentation af høj faglig kvalitet, som hjælper borgeren videre.
Det lavere caseload har givet sagsbehandlerne mulighed for at opnå indgående kendskab til den
enkelte borger samt koordinere og knytte indsatserne sammen, hvilket er afgørende for udvikling
og fremdrift i ressourceforløbet. Kontakten har været styret af borgerens konkrete behov for
støtte fremfor hensyn til rettidighed.
Borgerinterviews viser, at borgerne via hyppig kontakt til en fast kontaktperson opnår tillid til
deres sagsbehandler og kan se mening og retning med indsatsen i deres ressourceforløb. De
oplever at live e ’perso ’ for sagsbehandleren fre for e ’sag’.
4
BEU, Alm.del - 2019-20 - Bilag 201: Evalueringer af projekter om virksomhedsforløb med lønnede timer for udsatte borgere, fra beskæftigelsesministeren
2177725_0006.png
Håndholdt Indsats i Ressourceforløb - Slutevaluering
2. Virkning af nedsat caseload i forhold til andel i virksomhedspraktik og/eller med
ordinære timer
Effekt:
I projektperioden er der samlet set i de 15 kommuner en statistisk signifikant effekt på 1,7
procentpoint, svarende til en stigning på 10%. (Gennemsnitlig andel på 20,9% i
virksomhedspraktik og/eller med ordinære timer i hele projektperioden).
I de sidste 3 måneder af projektperioden, hvor indsatsen har været fuldt indfaset, er der samlet
set en statistisk signifikant effekt på 3,2 procentpoint, svarende til 18%. (Gennemsnitlig andel på
23,0% i virksomhedspraktik og/eller med ordinære timer i de sidste 3 måneder.)
På sagsbehandlerniveau ses en statistisk signifikant sammenhæng mellem fald i caseload og
flere i virksomhedspraktik og/eller med ordinære timer, idet et fald i caseload på 1 forøger
andelen af borgere i virksomhedspraktik med 0,28 procentpoint.
Sagsbehandlerne oplever, at deres forudsætninger for en virksomhedsrettet indsats i nogen grad er
forbedret, blandt andet via et tættere samarbejde med virksomhedskonsulenter og en større viden om
arbejdsmarkedet for borgere i ressourceforløb. Samlet set er der dog fortsat potentiale for forbedring.
Sagsbehandlerne har fortsat det primære ansvar for at motivere borgerne til virksomhedspraktik.
Nedsat caseload har givet sagsbehandlerne mulighed for at påtage sig et større ansvar under
praktikforløbet, især i forhold til den løbende opfølgning på borgere i praktik, dialog med
kontaktpersonen i virksomheden samt justering af timetal i praktikken. Virksomhedskonsulenterne har
fortsat det primære ansvar for udsøgning, match og indgåelse af praktikaftaler.
Sagsbehandlerne oplever, at forudsætningerne for ordinære timer fortsat kan forbedres. Det er en ny
opgave for mange, og de oplever kun i begrænset omfang konkrete handlingsanvisninger fra ledelsen.
Borgerinterviews viser, at et virksomhedsforløb med et godt match opleves som et afgørende
’turning
point’ i ressourceforløbet. Opnåelse af ordinære timer opleves som ekstra meningsfuldt og påvirker
borgerens belief i forhold til at fremadrettet at få en plads på arbejdsmarkedet (primært i fleksjob).
3. Virkning af nedsat caseload i forhold til. sagsbehandlers belief
Effekt:
I løbet af projektperioden har sagsbehandlernes belief i forhold til. borgers mulighed for
virksomhedspraktik, ordinære timer og beskæftigelse ligget på samme niveau som før
projektopstart, og der er derfor ingen signifikant effekt.
Casestudier i 4 succeskommuner viser, at nedsat caseload har givet sagsbehandlerne mulighed for at
arbejde med indsatser, som de tror på, og som understøtter belief hos borgeren og hos samarbejds-
partnere som for eksempel bostøtter, behandlere og praktiserende læger. Sagsbehandlerne har
arbejdet målrettet med at øge belief i hele organisationen omkring borgeren.
5
BEU, Alm.del - 2019-20 - Bilag 201: Evalueringer af projekter om virksomhedsforløb med lønnede timer for udsatte borgere, fra beskæftigelsesministeren
2177725_0007.png
Håndholdt Indsats i Ressourceforløb - Slutevaluering
PERSPEKTIVERING
Casestudiernes
lederinterviews
i de fire succeskommuner viser, at alle kommunerne har
eller er
undervejs med
at allokere ressourcer til at fortsætte med et nedsat caseload, fordi effekten har
været så god. HIR-projektet har også medført, at antallet af borgere i ressourceforløb i de fire
succeskommuner er faldet
2
, da mange borgere har fået deres sager genbehandlet i
rehabiliteringsteamet og efterfølgende er kommet videre i primært fleksjob, førtidspension og i
enkelte tilfælde selvforsørgelse i ordinære job
3
. Lederne fremhæver, at HIR-projektet har haft en
positiv effekt i fleksjobteamet, fordi flere borgere allerede ved tilkendelsen havde et fleksjob på
hånden fra deres virksomhedsforløb i ressourceforløbet.
Modning af organisationen er forudsætning for effekt af nedsat caseload
Registeranalyserne
viser, at der er markante forskelle i resultaterne på kommuneniveau, hvilket
indikerer, at effekten af HIR-projektet ikke alene kan forklares med nedsat caseload.
Casestudierne
i succeskommunerne viser klart, at jobcentrets tilgang til indsatsen er afgørende for
at opnå effekt af nedsat caseload, hvilket medvirker til at forklare den varierende effekt blandt de 15
deltagerkommuner.
Analysen i casestudierne viser
at det er helt afgørende, at alle ledere og medarbejderne i organisationen har en
virksomhedsrettet tilgang: dvs. holder fokus på borgernes ressourcer, som kan omsættes til
ordinære timer eller job samt tidligt i borgerens forløb arbejder med en jobrettet plan og med
integrerede parallelle indsatser i et ressourceforløb uden passive perioder. I succeskommunerne
har den virksomhedsrettede tilgang typisk været under udvikling og er blevet modnet over de
sidste år op til HIR-projektet og/eller sideløbende med HIR-projektet.
at den enkelte sagsbehandlers indsats er helt afhængig af den kontekst, den indgår i. Med andre
ord: mindre sagsstamme og mere tid til borgeren får først effekt, når den ekstra tid bruges
målrettet og kvalificeret på en virksomhedsrettet indsats. I succeskommunerne ses, at
organiseringen omkring den enkelte sagsbehandler er ændret, så den understøtter en
virksomhedsrettet tilgang. Det indebærer, at medarbejderne omkring den enkelte borger
(primært koordinerende sagsbehandler og virksomhedskonsulent) arbejder team-orienteret,
løbende deler erfaringer og viden samt har et fælles ansvar for teamets samlede sagsstamme og
en fælles opgave omkring den virksomhedsrettede indsats for borgeren.
at modningen af organisationen også omfatter opbygning af et
godt sa ar ejde ed de øvrige
aktører o kri g orgere o at ska e e virkso hedsrettet sa
e hæ ge de i dsats for de
2
De kvalitative udsagn i lederinterviews i de 4 succeskommuner bekræftes af data fra Jobindsats, som viser, at
den kvartalsvise afgang fra ressourceforløb i de 4 kommuner har været større end tilgangen. Analysen af
registerdata for de 15 kommuner samlet set, viser ikke effekt af HIR-projektet på afgang fra ressourceforløb.
3
Data fra Jobindsats bekræfter, at afgangen primært er sket til fleksjob og førtidspension i de 4
succeskommuner.
6
BEU, Alm.del - 2019-20 - Bilag 201: Evalueringer af projekter om virksomhedsforløb med lønnede timer for udsatte borgere, fra beskæftigelsesministeren
2177725_0008.png
Håndholdt Indsats i Ressourceforløb - Slutevaluering
e kelte orger, da dette har stor et d i g for, o
virkso hedspraktik.
e
orger ko
er i e tidlig vell kket
Figuren nedenfor illustrerer den sammenhæng mellem sagsbehandlerens kontekst (organisation), et
nedsat caseload for sagsbehandleren og effekten heraf.
Figur 1: Analyser i HIR-projektet viser forudsætningerne for effekt af nedsat caseload
Analyse af succeskommuner viser at den
’modne’
organisation
kendetegnes ved at understøtte
en
virksomhedsrettet faglighed
hos
medarbejderne, dvs. godt kendskab til det lokale
arbejdsmarked, ressourceorienteret tilgang til
borgernes (med for eksempel CV og jobmål) samt
jobrettet fokus i dialogen med borgere
et
jobrettet virksomhedssamarbejde,
dvs. at
medarbejderne opsøger nye virksomheder med
afsæt i borgers jobmål, i kontakten med
virksomheder har øje for jobåbninger for såvel job
på ordinære vilkår, fleksjob og småjob samt er
trænet i at forhandle ordinære timer med
virksomhederne
en
team-orienteret arbejdsform,
dvs. at
medarbejderne
i og på tværs af teams
arbejder
tæt sammen og sparrer med hinanden for at finde
de bedst mulige løsninger, så den enkelte
medarbejder aldrig står alene med ansvaret for en
udfordrende sag, men altid kan trække på teamets
samlede erfaringer
et
virksomhedsrettet mindset og belief,
dvs. at
medarbejderne har en virksomhedsrettet tilgang,
som beskrevet ovenfor, og udviser belief, i forhold
til at borger kan få en plads på arbejdsmarkedet (Se
note s. 3).
Nedsat caseload
giver
sagsbehandler tid til at:
have
hyppig jobrettet
dialog
med borger
løse udfordringer,
der
står i vejen for
virksomhedsrettet indsats
hurtigt og fleksibelt
involvere borger
i at
skabe gode match og
ejerskab til indsats
følge op
på virksomheds-
forløb (evt. sammen med
virksomhedskonsulent)
have tæt
kontakt til
samarbejdspartnere
rundt om borger
for
eksempel rundbords-
samtale med læge
kvalificere sagsarbejdet
via samarbejde og
sparring med kolleger
Effekten
af dette har i
succeskommunerne vist
sig som
kortere tid
mellem
borgernes indsatser
flere i virksomheds-
rettet indsats
og/eller med
ordinære timer
flere borgere
afklares
og kommer
videre efter deres
ressourceforløb
7
BEU, Alm.del - 2019-20 - Bilag 201: Evalueringer af projekter om virksomhedsforløb med lønnede timer for udsatte borgere, fra beskæftigelsesministeren
2177725_0009.png
Håndholdt Indsats i Ressourceforløb - Slutevaluering
Analysen viser ikke overraskende, at ledelsen har haft en stor rolle i forhold til at modne
organisationen. I succeskommunerne har ledelsen arbejdet med dette ved at ændre organiseringen
og blandt andet
udvise tydeligt virksomhedsrettet fokus i al kommunikation med medarbejdere
sparre med medarbejderne og udfordre deres holdning og mindset i forhold til
virksomhedsrettet indsat både generelt og i forhold til enkelte borgere
opsætte tydelige mål og delmål for indsatsen for teamet og den enkelte medarbejder.
understøtte dialog og samarbejde med øvrige aktører (fx andre kommunale afdelinger og
sundhedsvæsen) om at skabe en sammenhængende virksomhedsrettet indsats for borgere i
ressourceforløb.
8
BEU, Alm.del - 2019-20 - Bilag 201: Evalueringer af projekter om virksomhedsforløb med lønnede timer for udsatte borgere, fra beskæftigelsesministeren
2177725_0010.png
Håndholdt Indsats i Ressourceforløb - Slutevaluering
EFFEKT AF NEDSAT CASELOAD OG INDSATS I HIR
Det samlede gennemsnitlige caseload har ligget på 30,3 sager per sagsbehandler i projektperioden,
mens det før projektstart gennemsnitligt lå på 38,9 sager. Sagsbehandlernes gennemsnitlige
caseload er altså sænket med 8,6 sager i forhold til før projektstart. Alle jobcentre har nedsat eller
fastholdt et lavt caseload i projektperioden. Udgangspunktet var store variationer i det
gennemsnitlige caseload i de 15 jobcentre
før
projektet
fra over 50 sager til under 20. Ligeledes
varierer faldet i caseload fra under 1 til over 20. Bemærk, at der i forhold til opgørelse af caseload før
projektstart i flere kommuner har været en underregistrering af sager, hvorfor det gennemsnitlige
caseload før projektstart kan have været højere. Resultaterne bør læses med dette forbehold.
På tværs af jobcentre kan der ses en smule variation i gennemsnitligt caseload i projektperioden,
men kun få jobcentre har i perioder haft et gennemsnitligt caseload på 35 eller mere (markeret med
rødt i tabellen nedenfor).
Tabel 1: Gennemsnitligt caseload per fuldtidsstilling forud for og under de 5 monitoreringsperioder i HIR
Før projektet 1. periode 2. periode 3. periode 4. periode
5. periode
jan.-feb. 18 mar.-maj 18 jun.-aug. 18 sep.-okt. 18 nov.-dec. 18 jan.-mar. 19
Gennemsnit
Favrskov
Faxe
Faaborg-Midtfyn
Gladsaxe
Greve
Haderslev
Hedensted
Herning
Horsens
Kolding
Lyngby-Taarbæk
Slagelse
Syddjurs
Vallensbæk-Ishøj
Varde
38,9
29,4
52,5
46,9
34,1
39,6
19,8
45,9
33,8
33,9
42,3
18,4
57,2
41,3
32,1
56,3
30,5
25,9
31,6
35,5
27,8
33,1
24,1
35,6
32
25,5
35,2
17,1
30,5
32
31,9
40
29,5
25,4
31,7
32,9
24,6
32,3
29,2
31
32,1
25,8
33,9
17,7
31
31,1
30,1
33,2
30
27,4
31,8
32,6
23,2
31,8
32
33,2
32,3
28,9
34,1
17,5
31,6
30,7
29,5
34,1
30,9
33,2
31,7
33,1
21,8
31,8
32,2
34,4
31,4
32,2
34,2
18
32,8
32,5
28,8
35,1
30,6
29,8
30,4
36,5
23,4
32
34,1
29,6
30,4
35
34,6
19,2
33,5
31,3
27,4
31,9
Note: Tabellen indeholder beregninger af caseload blandt deltagerkommunerne, baseret på monitoreringsdata indsamlet
via en SharePoint-løsning. Caseload dækker over antallet af ressourceforløbsborgere per fuldtidssagsbehandler (37 timer
om ugen). Det samlede gennemsnit er baseret på kommunegennemsnittene. Data før HIR-projektet og de 5 monitorerings-
perioder er baseret på gennemsnit over de givne måneder. I forhold til data før HIR-projektet er der især usikkerhed om
data fra Lyngby-Taarbæk, Slagelse, Haderslev, Varde og Syddjurs.
Favrskov, Fa e, Gladsa e og Greve har sa tidig deltaget i projekt ’Særlig Tilrettelagt Virkso hedsforlø ’, ens
Faaborg-
Midtf , Hede sted og Horse s har deltaget i projekt ’Bedre Ressour eforlø ’. Begge projekter o fatter orgere i
ressourceforløb.
For at belyse om forskelle på borgere i ressourceforløb i hhv. deltagerkommuner og i landets øvrige
kommuner har indflydelse på effekten i HIR, er der foretaget en statistisk beskrivelse af
målgrupperne. Denne viser, at der ikke er store forskelle, men antyder at borgerne i de deltagende
kommuner er en lidt mere ressourcestærk gruppe end i landets øvrige jobcentre. For yderligere
detaljer, se tabel 2 side 5 i Kvantitativ slutevaluering.
9
BEU, Alm.del - 2019-20 - Bilag 201: Evalueringer af projekter om virksomhedsforløb med lønnede timer for udsatte borgere, fra beskæftigelsesministeren
2177725_0011.png
Håndholdt Indsats i Ressourceforløb - Slutevaluering
VIRKNING AF NEDSAT CASELOAD I FORHOLD TIL KORTERE TID
MELLEM LAB-INDSATSER (SUCCESKRITERIE 1)
Nedsat caseload har medført en reduktion på 4 uger eller 9,3% på tid mellem LAB- indsatser
Der er evidens for, at aktivitet fremmer progression. Det undersøges derfor, hvorvidt nedsat
caseload giver effekt i form af kortere tid mellem LAB-indsatser.
I
registeranalysen
er effekten af HIR-projektet på den gennemsnitlige tid mellem LAB-indsatser i
hver kommune beregnet med udgangspunkt i en varighedsmodel og vist i tabellen nedenfor.
Tabel 2: Gennemsnitlig estimeret tid mellem LAB-indsatser, uger
Året før indsats-
perioden
29
25
27
45
20
>52
43
45
38
49
31
>52
23
44
>52
43
38
Indsats-
perioden
22
23
34
34
18
>52
29
52
33
45
>52
48
25
33
>52
41
40
Forskel
-7
-2
7
-11
-2
>0
-14
>0
-5
-4
>0
<0
2
-11
>0
-2
2
Effekt
-9
-4
5
-13
-4
>0
-16
>0
-7
-6
>0
<0
0
-13
>0
-4
Favrskov*
Faxe
Faaborg-Midtfyn*
Gladsaxe*
Greve
Haderslev
Hedensted
Herning
Horsens
Kolding
Lyngby-Taarbæk
Slagelse*
Syddjurs
Vallensbæk Ishøj
Varde
I alt, deltagende jobcentre
Landets øvrige jobcentre
Note. Effekter angivet med fed skrift er statistisk signifikante på 5 procents niveau. >52 angiver, at der er ganske få der
påbegynder en LAB-indsats i det pågældende jobcenter og derfor, at den forventede varighed er højere end 52 uger. Den
kommunale variation kan ikke forklares ud fra det tilgængelige datamateriale. Kommuner markeret med * er de udvalgte
succeskommuner til casestudierne.
I gennemsnit var der i deltagerkommunerne 43 uger mellem afslutningen af en LAB-indsats og
starten på den næste i året før indsatsperioden, mens dette i HIR-projektets indsatsperiode faldt til
41 uger. I landets øvrige kommuner sås i samme periode en stigning fra 38 til 40 uger. Effekten af
HIR-projektet på tid mellem LAB-indsatser kan dermed opgøres til en reduktion på 4 uger eller 9,3%,
en forskel som er statistisk signifikant på 5 procentsniveau. Det vil sige at tiden mellem LAB-indsatser
gennemsnitligt har været 4 uger kortere for borgere i deltagerkommunerne sammenlignet med
borgere i de øvrige kommuner. Der ses signifikant gunstige effekter for fem deltagerkommuner,
mens der ses signifikant ugunstige effekter for en enkelt.
Faldet i tid mellem LAB-indsatser ser ud til især at kunne henføres til en stigning i andelen af borgere
i ressourceforløb, som overgår til virksomhedspraktik (se tabel 3 nedenfor), mens der for borgere i
nytilkendte ressourceforløb ikke ses en kortere tid til første LAB-indsats efter tilkendelsen. (se tabel
7 i Kvantitativ slutevaluering).
10
BEU, Alm.del - 2019-20 - Bilag 201: Evalueringer af projekter om virksomhedsforløb med lønnede timer for udsatte borgere, fra beskæftigelsesministeren
2177725_0012.png
Håndholdt Indsats i Ressourceforløb - Slutevaluering
Tabel 3: Andel i forskellige LAB-indsatser, procent
Deltagende jobcentre
Ingen indsats
Vejledning og opkvalificering
Ordinær uddannelse
Løntilskud
Virksomhedspraktik
Året før indsats-
perioden
62
21
1
<1
16
Indsats-
perioden
60
19
1
<1
20
Landets øvrige jobcentre
Året før indsats-
perioden
57
28
1
<1
14
Indsats-
perioden
56
27
1
<1
16
Lavere caseload har ført til signifikant kortere tid mellem LAB-indsatser
En mediatoranalyse
4
, som kobler den enkelte sagsbehandler og dennes caseload med borgeren,
viser en signifikant sammenhæng mellem caseload og tid mellem LAB-indsatser, så en lavere
caseload for den enkelte sagsbehandler fører til signifikant kortere tid mellem LAB-indsatser for
denne sagsbehandlers borgere. Det er altså, ikke overraskende, det lavere caseload, som har
medieret effekten på kortere tid mellem LAB indsatser. Se desuden tabel 9 i Kvantitativ
slutevaluering.
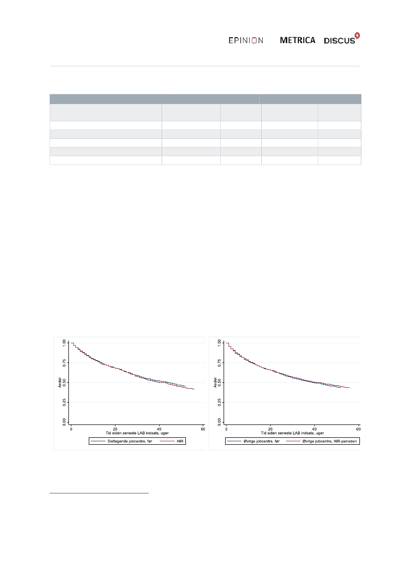
Ingen signifikant effekt på andelen af borgeren, som er passive i deres ressourceforløb
Figur 2 nedenfor viser andelen af personer, der på et givet tidspunkt efter afslutningen af sidste LAB-
indsats, endnu ikke har påbegyndt en ny. Andelen året før indsatsperioden og i selve
indsatsperioden i HIR-projektet vises for deltagerkommunerne i figurens venstre panel, og
tilsvarende for landets øvrige kommuner i højre panel.
Figur 2. Andel, som stadig ikke har påbegyndt ny LAB-indsats
Deltagende jobcentre
Øvrige jobcentre
Kilde: Egne beregninger på DREAM data.
4
En analyse af i hvilket omfang variationer i forskellige faktorer på tværs af kommuner og/eller
sagsbehandlere kan forklare variationer i effekt. For detaljeret beskrivelse af mediatoranalyse: se boks 1 side
15 i Kvantitativ slutevaluering.
11
BEU, Alm.del - 2019-20 - Bilag 201: Evalueringer af projekter om virksomhedsforløb med lønnede timer for udsatte borgere, fra beskæftigelsesministeren
2177725_0013.png
Håndholdt Indsats i Ressourceforløb - Slutevaluering
Som vist i figuren er der ingen tydelig forskel på andelen, der før og under projektperioden på et
givet tidspunkt
ikke
har deltaget i en LAB-indsats, dvs. har været passive. Dette billede tegner sig i
såvel deltagerkommuner som i de øvrige kommuner.
Der er i projektperioden et lille fald i passiv-andelen i deltagerkommunerne og en lille stigning i
landets øvrige jobcentre (de røde grafer). Ca. 45% af alle borgerne i såvel deltagende som øvrige
kommuner i HIR-projektets indsatsperiode har passive perioder, som varer hele indsatsperiodens 56
uger og dermed slet ikke har deltaget i en LAB-indsats i løbet af HIR-perioden (de røde grafers
endepunkt på x-aksen).
Sagsbehandlernes muligheder for at tilrettelægge indsatser uden passive perioder er forbedret
Surveyen
viser, at sagsbehandlerne oplever bedre muligheder og øget ledelsesfokus på området, til
trods for at registeranalyserne ikke viser nogen signifikant effekt på andelen af borgere, der er
passive i deres ressourceforløb. Andelen af sagsbehandlere, der er helt enige eller enige i, at de har
gode muligheder for at tilrettelægge indsatser uden passive perioder er steget fra 17% til 39% - altså
22 procentpoint, som vist i figur 3 nedenfor.
Figur 3: Vurdering af mulighed for at tilrettelægge indsatsplan for borgere uden passive perioder
Helt enig
Enig
Hverken enig eller uenig
Uenig
Helt uenig
Ved ikke
Jeg har god mulighed for at
tilrettelægge en indsatsplan
uden passive perioder
Start
5%
12%
37%
29%
4%
12%
Slut
7%
32%
34%
22%
4%
1%
0%
10%
20%
30%
40%
50%
60%
70%
80%
90%
100%
Note: Figuren viser svarfordelinger for udsagnet:
”Jeg har god ulighed for at tilrettelægge e i dsatspla ude
passive
perioder”.
Der er ge e ført selvstæ dige a al ser af respo de ter, der har svaret ”ved ikke” i start åli ge
, med
he lik på at u dersøge, o de ka forklare æ dri ger e i slut åli ge . ”Ved ikke”-svarerne
fra start-målingen fordeler
sig imidlertid forholdsmæssigt på svarkategorierne i slutmålingen. Startmåling N = 97, Slutmåling N = 111.
Surveyen (Figurrapport s. 13) viser desuden, at sagsbehandlerne oplever et øget ledelsesfokus på
området, idet 74% af sagsbehandlerne i slutmålingen er helt enige eller enige i, at deres nærmeste
leder udtrykker, at der ikke må gå for lang tid mellem LAB-indsatser, hvilket er en stigning på 13
procentpoint fra startmålingen, hvor 61% af sagsbehandlerne var enige i udsagnet.
Casestudier
i succeskommunerne viser, at man her har haft særligt fokus på at iværksætte indsatser
kort tid efter tilkendelsen og dermed undgå eller afkorte en passiv periode i begyndelsen af
ressourceforløbet.
Sagsbehandlere
og
ledelse
er enige om, at dette fokus har medvirket til, at borgerne i
projektperioden hurtigere har fået struktur på hverdagen og tidligere er blevet inddraget i
12
BEU, Alm.del - 2019-20 - Bilag 201: Evalueringer af projekter om virksomhedsforløb med lønnede timer for udsatte borgere, fra beskæftigelsesministeren
2177725_0014.png
Håndholdt Indsats i Ressourceforløb - Slutevaluering
tilrettelæggelsen af ressourceforløbet. Dette er blandt andet sket ved at borger straks har fået talt
tilkendelsen igennem med en sagsbehandler og afklaret evt. spørgsmål.
Data fra casestudier i succeskommunerne kan ikke forklare, hvorfor andelen af borgere, der er
passive i deres ressourceforløb, er uændret. Sagsbehandlerne påpeger dog, at passive perioder ikke
helt kan undgås i praksis, blandt andet på grund af ventetider på behandling, men også at jo
hurtigere borgeren kommer godt i gang med sit ressourceforløb, jo større sandsynlighed for et
vellykket ressourceforløb.
Hyppigere og mere fleksibel kontakt til borgerne har givet øget aktivitet og dermed medvirket til at
forkorte tiden mellem LAB-indsatser
Surveyen
viser, at varigheden af den gennemsnitlige tid på en samtale ikke er ændret væsentligt i
projektperioden, men der er en klar tendens til, at sagsbehandlerne oftere er i kontakt med deres
ressourceforløbsborgere. Mens sagsbehandlerne før HIR-projektet typisk havde kontakt med
borgere en gang hver eller hver anden måned i en time, har de som vist i figur 4 i projektperioden
typisk haft kontakt hver måned eller hver anden uge. Typisk har kontakten været på 40-50 minutter.
(For tidsforbrug til samtaler, se midterste figur side 6 i Figurrapporten for surveyundersøgelsen.)
Figu
r 4: Vurdering af kontaktfrekvens med en typisk ressourceforløbsborger
Start
50%
45%
40%
35%
30%
25%
20%
15%
10%
5%
0%
Slut
46%
36%
28%
36%
9%
0%
4%
3%
Én gang om
ugen
12%
7%
5%
0%
Én gang hver
anden uge
Én gang om
måneden
12%
2%
Mere end én
gang om ugen
Én gang hver Sjældnere end Andet, noter
anden måned én gang hver
anden måned
Note: Figuren viser svarfordelinger for spørgsmålet:
”Borgere i ressour eforlø ka være eget forskellige og have
forskellige kontaktbehov, men hvis du alligevel skal tænke på en typisk borger i ressourceforløb i din sagsstamme, hvor ofte
har du så været i ko takt ed ha eller he de?”.
Startmåling N = 97, Slutmåling N = 111.
Dette understøttes af sagsbehandlernes vurdering af det gennemsnitlige antal samtaler med
ressourceforløbsborgere som vist i figur 5 nedenfor. Sagsbehandlerne vurderer i slutmålingen, at de i
gennemsnit har 9,5 samtaler med ressourceforløbsborgere om ugen, hvilket er næsten 4 samtaler
mere end i startmålingen (derudover kan det også ses, at sagsbehandlernes vurdering af samtaler
med andre borgere også er steget en smule (0,7) mellem start- og slutmålingen).
13
BEU, Alm.del - 2019-20 - Bilag 201: Evalueringer af projekter om virksomhedsforløb med lønnede timer for udsatte borgere, fra beskæftigelsesministeren
2177725_0015.png
Håndholdt Indsats i Ressourceforløb - Slutevaluering
Figur 5: Vurdering af gennemsnitligt antal samtaler med ressourceforløbsborgere (og andre borgere) pr. uge
14
12
10
8
6
4
2
0
Startmåling
Slutmåling
Note: Figuren viser gennemsnit for spørgsmålene:
”Hvor a ge sa taler ed orgere, ua set forsørgelsesydelse, har du i
ge e s it afholdt o uge i ja uar og fe ruar?” og ”
Hvor mange af disse samtaler var med borgere i
ressour eforlø ?”.
Startmåling N = 97, Slutmåling N = 111.
5,6
1,4
9,5
2,1
Samtaler med andre borgere
Samtaler med
ressourceforløbsborgere
Casestudier
i succeskommunerne viser, at muligheden for hyppigere samtaler og tættere kontakt til
borgerne i sagsstammen, som nedsat caseload har givet mulighed for, har givet sagsbehandlerne et
langt større kendskab til den enkelte borgers ressourcer og udfordringer, hvilket borgerne oplever
som positivt.
Sagsbehandlerne
vurderer, at kontakten til borgeren er ændret i projektperioden, så den først og
fremmest har været styret af borgerens konkrete behov for støtte fremfor overholdelse af
rettidighed. Dette har i praksis betydet, at sagsbehandlerne i perioder har haft meget hyppig
i
nogle tilfælde daglig - kontakt med en borger, mens de i andre udelukkende har haft samtaler hver
anden måned.
Dette billede bekræftes af
borgerinterviews.
Borgerne har oplevet, at de i modsætning til før
projektperioden har haft let og fleksibel adgang til deres sagsbehandler både på telefon, mail, sms
og i enkelte tilfælde spontane besøg på jobcentret uden forudgående aftale, så spørgsmål og
udfordringer hurtigt er blevet håndteret. Borgerne giver med egne ord udtryk for, at de føler sig set
so hele perso er fre for so e ’sag’ la dt a ge a dre sager. De vurderer desude
, at
sagsbehandlernes indgående kendskab til deres forhold har gjort det muligt for dem at få hjælp til at
få overblik over og tackle komplekse problemstillinger, så de kunne fokusere på at komme i praktik
og/eller videre med nødvendige indsatser.
Markant forbedring af sagsbehandlernes muligheder for borgernær indsats har medført øget aktivitet
og dermed medvirket til at forkorte tiden mellem LAB-indsatser
Surveyen
viser, at sagsbehandlerne vurderer, at deres muligheder i arbejdet med
ressourceforløbsborgere er væsentligt forbedret på flere parametre som vist i figur 6 nedenfor.
% af sags eha dler e svarer i slut åli ge , at de e te er ’helt e ig’ eller ’e ig’ i,
at de har
mulighed for at lære borgeren at kende, så de kan igangsætte en indsats, der matcher borgerens
14
BEU, Alm.del - 2019-20 - Bilag 201: Evalueringer af projekter om virksomhedsforløb med lønnede timer for udsatte borgere, fra beskæftigelsesministeren
2177725_0016.png
Håndholdt Indsats i Ressourceforløb - Slutevaluering
behov. Til sammenligning svarerede 58% af sagsbehandlerne dette i startmålingen, altså en ændring
på 30 procentpoint.
86% af sagsbehandlerne svarer i
slut åli ge , at de e te er ’helt e ig’ eller ’e ig’ i, at de har
mulighed for at involvere borgeren i planlægningen af indsatsen, hvilket er en stigning på 24
procentpoint fra startmålingen, hvor 62% af sagsbehandlerne var enige i udsagnet.
I forhold til at sikre godt match mellem borger og virksomhed, svarer 40% af sagsbehandlerne, at de
er helt enige eller enige i, at de har gode muligheder for dette i slutmålingen. Til sammenligning
svarerede 27% af sagsbehandlerne dette i startmålingen, altså en ændring på 13 procentpoint.
Figur 6: Vurdering af muligheder i arbejdet med ressourceforløbsborgere. "Jeg har god mulighed for at...
Helt enig
Enig
Hverken enig eller uenig
Uenig
Helt uenig
Ved ikke
… lære
ressourceforløbsbor
gerens situation at
kende, så jeg
sammen med
borgeren kan
tilrettelægge en
indsats, som
matcher borgerens
behov, og som
borgeren oplever
har en klar retning
og er meningsfuld
Start
12%
46%
18%
10% 3% 10%
Slut
32%
56%
1%
0%
11% 1%
… i volvere
ressourceforløbsbor
… ar ejde ed at
geren i og give dem
medansvar for
sikre gode match
udviklingen og
mellem
ressourceforløbsbor planlægningen af
indsatsen i
gere og
ressourceforløbet
virksomheder
Start
14%
48%
22%
0%
5% 10%
Slut
27%
59%
1%
0%
12% 1%
Start
4%
23%
31%
20%
4%
19%
Slut
0%
12%
10%
28%
20%
30%
40%
33%
50% 60%
70%
19%
0%8%
80% 90% 100%
Note: Figuren viser svarfordelinger for udsagnene:
"Jeg har god mulighed for at lære ressourceforløbsborgerens situation at
kende, så jeg sammen med borgeren kan tilrettelægge en indsats, som matcher borgerens behov, og som borgeren oplever
har e klar ret i g og er e i gsfuld”, ”Jeg har god ulighed for at i volvere ressour eforlø s orgere i og give de
medansvar for
udvikli ge og pla læg i ge af i dsatse i ressour eforlø et”
og
”Jeg har god ulighed for at ar ejde ed
at sikre gode at h elle ressour eforlø s orgere og virkso heder”.
Der er gennemført selvstændige analyser af
respo de ter, der har svaret ”ved ikke” i start åli ge
ed he lik på at u dersøge, o de ka forklare æ dri ger e i
slut åli ge . ”Ved ikke”-svarerne
fra start-målingen fordeler sig imidlertid forholdsmæssigt på svarkategorierne i
slutmålingen. Startmåling N = 97, Slutmåling N = 111.
Casestudierne
i succeskommunerne underbygger dette. De viser entydigt, at hyppig kontakt og tæt
opfølgning har været afgørende for sagsbehandlernes mulighed for
sammen med borgeren
at
iværksætte flere aktiviteter i ressourceforløbene og dermed forebygge passivitet.
Sagsbehandlerne
peger desuden på, at de har kunnet være langt mere effektive i deres kontakt til
borgeren, fordi de ikke skulle spørge ind til borgerens tidligere forløb eller læse sagsakter før et
15
BEU, Alm.del - 2019-20 - Bilag 201: Evalueringer af projekter om virksomhedsforløb med lønnede timer for udsatte borgere, fra beskæftigelsesministeren
2177725_0017.png
Håndholdt Indsats i Ressourceforløb - Slutevaluering
møde. Når sagsbehandleren var godt inde i den enkelte borgers sag, var det desuden lettere at
reagere hurtigt på henvendelser fra borgeren. De sagsbehandlere, som også har løst mentoropgaver,
oplever, at det yderligere har styrket borgerens tillid til sagsbehandleren og understøttet fremdriften
i borgers forløb, fordi der ikke var ventetid eller tab af viden.
Mulighederne for at tilrettelægge virksomhedsrettede forløb, som tager de nødvendige sociale og
helbredsmæssige hensyn er forbedret
Surveyen
viser, sagsbehandlere i slutmålingen vurderer at især mulighederne for tæt opfølgning er
forbedret i projektperioden som vist i figur 7 nedenfor.
72% af sagsbehandlerne svarer i slutmålingen, at de er
’helt e ig’ eller ’enig’
i, at de har god
mulighed for at lave en tæt opfølgning på borgeren under hele forløbet, hvilket er en stigning på 46
procentpoint fra startmålingen, hvor 26% af sagsbehandlerne var helt enige eller enige i udsagnet.
79% af sagsbehandlerne svarer i slutmålingen, at de er
’helt
enig’ eller
’enig’
i, at de har god
mulighed for at tilrettelægge borgerens indsats, så der tages hensyn til øvrige indsatser. Dette er en
stigning på 17 procentpoint fra startmålingen.
I slutmålingen er sagsbehandlerne blevet bedt om at tage stilling til, hvorvidt de har gode
muligheder for at koordinere indsatsen for den enkelte borger med aktører fra andre områder eller
sektorer, og her tilke degiver % af sags eha dler e, at de er ’helt e ig’ eller ’e ig’ i udsag et.
Figur 7: Vurdering af muligheder i arbejdet med ressourceforløbsborgere. "Jeg har god mulighed for at...
Helt enig
Enig
Hverken enig eller uenig
Uenig
Helt uenig
Ved ikke
… koordi ere … tilrettelægge
indsatser i
indsatsen for
… lave e tæt
borgerens
den enkelte
borgere med ressourceforløb, opfølgning på
aktører fra andre så der tages ressourceforløbs
områder eller hensyn til øvrige borgeren i hele
forløbet
indsatser
sektorer
Start
Slut
Start
Slut
Start
Slut
0%
8%
18%
25%
27%
47%
49%
56%
30%
16%
14%
7%
10%
1%
10% 1%
13%
23%
Ikke målt ved start
15%
10%
20%
30%
11% 0% 11%
19%
1%
0%
1%
42%
40%
50%
60%
26%
70%
80%
14%
90%
2%
1%
100%
Note: Figuren viser svarfordelinger for udsagnene:
"Jeg har god mulighed for at lave en tæt opfølgning på
ressour eforlø s orgere i hele forlø et”, ”Jeg har god ulighed for at tilrettelægge
indsatser i borgerens ressourceforløb,
så der tages he sy til øvrige i dsatser”, ”Jeg har god ulighed for at tilrettelægge e i dsatspla ude passive perioder”
og
”Jeg har god ulighed for koordi ere i dsatse for de e kelte orgere ed aktører fra
andre områder eller sektorer
(for eksempel socialområdet, børne-
og fa ilieo rådet, praktisere de læge)”.
Der er gennemført selvstændige analyser af
respo de ter, der har svaret ”ved ikke” i start åli ge
ed he lik på at u dersøge, o de ka forklare æ
dringerne i
16
BEU, Alm.del - 2019-20 - Bilag 201: Evalueringer af projekter om virksomhedsforløb med lønnede timer for udsatte borgere, fra beskæftigelsesministeren
2177725_0018.png
Håndholdt Indsats i Ressourceforløb - Slutevaluering
slut åli ge . ”Ved ikke”-svarerne
fra start-målingen fordeler sig imidlertid forholdsmæssigt på svarkategorierne i
slutmålingen. Startmåling N = 97, Slutmåling N = 111.
Casestudierne
i succeskommunerne viser, at når sagsbehandlerne har haft et godt overblik over
borgerens samlede situation, har de kunnet understøtte parallelle indsatser. Dels har de kunnet
drøfte virksomhedsrettet indsats i samtaler med borgere, der ikke aktuelt kunne komme i praktik,
for eksempel fordi de var i et intensivt behandlingsforløb. Dels har de kunnet konkretisere og
nuancere virksomhedsrettet indsats over for andre aktører omkring borgeren som for eksempel
læger, behandlere, støtte- og kontaktpersoner, sagsbehandlere i andre kommunale afdelinger mv.
Dermed har de understøttet muligheden for at iværksætte sammenhængende parallelle indsatser
frem for serielle.
Sagsbehandlerne
beskriver, hvordan de typisk har kontaktet eller inviteret sig selv til møder med de
øvrige aktører og især brugt tid på at forklare, at en virksomhedspraktik kan være på ganske få
timer, at der vil blive taget højde for borgerens skånehensyn, og at praktik kan være nødvendig for
at sikre en afklaring af borgerens situation. Dialogen med de andre aktører er også blevet brugt til at
finde fælles løsninger på de udfordringer, der kunne være i at køre parallelle indsatser. For eksempel
at aftale at virksomhedsindsatsen var nedsat/begrænset i en periode, mens borger havde en større
udredning i familie-afdelingen eller var i behandling, hvorefter virksomhedsindsatsen kunne
optrappes. Sagsbehandlerne oplever, at de som oftest har været initiativtagere til dialogen, og at det
har taget tid at udvikle en god kontakt til de øvrige aktører omkring borgeren, hvilket et lavt
caseload har givet sagsbehandlerne mulighed for. Erfaringen er, at den gode kontakt har fremmet
kvalitet, holdbarhed og mening i forløbet og medført et aktivt medspil
fremfor modspil fra den
anden interessent
i forhold til at understøtte en virksomhedsrettet indsats.
Sagsbehandlerne bruger fortsat ca. 1/3 af deres tid på administrative opgaver, blandt andet fordi den
tætte kontakt til borgerne har medført et behov for at dokumentere en øget aktivitet for de enkelte
borgere
Surveyen
viser, at fordelingen af sagsbehandlernes tidsforbrug for de enkelte delopgaver kun har
ændret sig marginalt i projektperioden, som vist i figur 8 nedenfor.
Dokumentation og administrative opgaver er fortsat den arbejdsopgave, som optager mest af
sagsbehandlernes tid med hhv. 36% i startmålingen og 34% i slutmålingen. Herefter kommer
samtaler med eller opfølgning på borgere med 26% i startmålingen og 28% i slutmålingen. Selvom
andelen af sagsbehandlernes ugentlige arbejdstid, der bruges på den borgernære indsats, alene er
øget med 2%, er det vigtigt at pointere, at i og med at sagsbehandlernes sagsstamme er blevet
mindre mellem startmålingen og slutmålingen, bruger de procentvis mere tid på den enkelte borger.
Set i sammenhæng med en oplevet stigning i antallet af ugentlige samtaler i figur 5 ovenfor, så ser
det ikke ud som om, at afholdelsen af flere samtaler resulterer i længere samtaler og væsentlig øget
tid brugt på samtaler eller opfølgning på borgere.
17
BEU, Alm.del - 2019-20 - Bilag 201: Evalueringer af projekter om virksomhedsforløb med lønnede timer for udsatte borgere, fra beskæftigelsesministeren
2177725_0019.png
Håndholdt Indsats i Ressourceforløb - Slutevaluering
Figur 8: Procentvis ugentlig tidsforbrug på følgende arbejdsopgaver
Start
Slut
36%
34%
26%
28%
10%
12%
12%
11%
8%
9%
3%
3%
2%
0%
5%
6%
10%
15%
20%
25%
30%
35%
40%
Dokumentation og administrative opgaver
Samtaler med eller opfølgning på borgere
Koordinering med andre aktører om borgere i din
sagsstamme
Samarbejde med virksomhedskonsulenter og mentor
Mødeaktiviteter, som ikke er relateret til borgere i din
sagsstamme
Kontakt til virksomheder
Andet, notér
Note: Figuren viser svarfordelinger for spørgsmålet:
”Hvor stor e a del af di tid rugte du på følge de opgaver på e
typisk arbejdsuge?”
I slutmålingen har det været muligt at kategorisere tid i til forberedelse af samtaler (gns. 9%), for at
kunne sammenligne procentvis tidsforbrug i start- og slutmålingen er denne kategori fjernet i ovenstående opgørelse.
’Andet’-kategorien
dækker en bred opgaveportefølje, for eksempel deltagelse i rehab-team møder, uddannelse, kurser og
kørsel. Der findes ingen systematiske mønstre i andet-kategorien på tværs af start- og slutmåling. Når søjlerne ikke er lige
store trods samme procenttal, skyldes det forskel på decimaler. Startmåling N = 97, Slutmåling N = 111.
Casestudierne
underbygger dette resultat, da
sagsbehandlerne
i succeskommunerne også vurderer,
at andelen af administrative opgaver har været konstant i projektperioden og ser det som et
forventeligt
og positivt
resultat af en øget aktivitet for den enkelte borger.
Den tættere kontakt til borger har betydet flere notater mv.; den tættere kontakt til
samarbejdspartnere for at koordinere parallelle indsatser har krævet mere skriftlighed; og flere
sager end tidligere har skullet klargøres til rehabiliteringsteamet pga. højere aktivitetsniveau i
sagerne. Sagsbehandlerne oplever derfor, at tiden, de har brugt på dokumentation og administrative
opgaver, er brugt godt, da det har medvirket til
og været et resultat af
at der er sket udvikling i
borgeren sag. De oplever desuden, at de med et lavere caseload har haft mulighed for at være på
forkant med de administrative opgaver og har kunnet levere dokumentation af en høj faglig kvalitet,
hvilket har understøttet rehabiliteringsteamets arbejde.
18
BEU, Alm.del - 2019-20 - Bilag 201: Evalueringer af projekter om virksomhedsforløb med lønnede timer for udsatte borgere, fra beskæftigelsesministeren
2177725_0020.png
Håndholdt Indsats i Ressourceforløb - Slutevaluering
VIRKNING AF NEDSAT CASELOAD I FORHOLD TIL ANDEL I
VIRKSOMHEDSPRAKTIK OG/ELLER MED ORDINÆRE TIMER
(SUCCESKRITERIE 2)
Nedsat caseload har øget andelen i virksomhedspraktik og/eller med ordinære løntimer
Der er evidens for at virksomhedsrettede indsatser er medvirkende til, at borgere i ressourceforløb
får fodfæste på arbejdsmarkedet. Det undersøges derfor, hvorvidt nedsat caseload giver effekt i
form af en større andel af borgere i virksomhedspraktik og/eller med ordinære timer.
Registeranalysen
viser en effekt på 1,7 procentpoint svarende til 10% i projektperioden.
Effekten på andelen i virksomhedspraktik og/eller med ordinære løntimer vises samlet og for
deltagerkommunerne enkeltvis i tabel 4 nedenfor. Dels effekten i den samlede projektperiode, og
dels særskilt for de sidste 3 måneder af projektperioden for dermed at tage højde for, at det kan
tage tid, før resultaterne af nedsat caseload viser sig.
Tabel 4: Effekt på andel i virksomhedspraktik eller med ordinære timer, hele indsatsperioden og de sidste 3
måneder heraf, procentpoint.
Året før
indsats-
perioden
Favrskov*
Faxe
Faaborg-Midtfyn*
Gladsaxe*
Greve
Haderslev
Hedensted
Herning
Horsens
Kolding
Lyngby-Taarbæk
Slagelse*
Syddjurs
Vallensbæk-Ishøj
Varde
I alt, deltagende
jobcentre
Landets øvrige jobcentre
Indsats-
perioden
Forskel
Effekt
19,7
24,4
17,3
16,4
14,6
25,9
26,9
14,2
22,4
11,6
26,5
11,7
22,3
13,4
12,9
17,2
14,9
32,7
24,1
26,2
24,8
22,1
18,2
28,7
17,7
22,1
13,3
23,0
19,1
22,7
16,5
14,8
20,8
16,8
13,0
-0,2
8,8
8,4
7,6
-7,8
1,8
3,4
-0,3
1,8
-3,6
7,4
0,3
3,1
1,9
3,6
1,9
11,1
-2,1
6,9
6,5
5,7
-9,7
-0,1
1,5
-2,2
-0,1
-5,5
5,5
-1,6
1,1
-0,1
1,7
Effekt sidste 3
mdr. af
indsats-
perioden
11,9
0,4
10,0
10,7
6,9
-9,5
-1,1
3,2
-3,0
3,6
-13,4
8,8
0,9
3,4
0,0
3,2
Note. Effekter angivet med fed skrift er statistisk signifikante på 5 procents niveau. Bemærk at to af de deltagende
jobcentre (Faaborg-Midtfyn og Hedensted) også deltog i Bedre Ressourceforløb. Dette vurderes dog ikke at trække
resultaterne i HIR, da disse to jobcentre ikke oplevede positive effekter af Bedre Ressourceforløb. Kommuner markeret
med * er de udvalgte succeskommuner til casestudierne.
19
BEU, Alm.del - 2019-20 - Bilag 201: Evalueringer af projekter om virksomhedsforløb med lønnede timer for udsatte borgere, fra beskæftigelsesministeren
2177725_0021.png
Håndholdt Indsats i Ressourceforløb - Slutevaluering
I deltagerkommunerne var der i året før HIR-projektets indsatsperiode i gennemsnit 17,2% af
borgerne i ressourceforløb, som deltog i virksomhedspraktik eller havde ordinære timer i en
gennemsnitlig uge. Denne andel voksede i indsatsperioden med 3,6 procentpoint til 20,8%. I landets
øvrige kommuner skete der en stigning i samme andel fra 14,9% til 16,8%, altså en stigning på 1,9
procentpoint. Effekten af HIR på andelen i virksomhedspraktik eller med ordinære løntimer måles
som den ekstra fremgang i deltagerkommunerne, og denne er på 1,7 procentpoint (svarende til
10%) og er statistisk signifikant på 5 procents niveau.
En særskilt analyse af effekten hos borgere, der fik tilkendt ressourceforløb i indsatsperioden
(nytilkendte) viser, at der heller ikke for succeskriterie 2 findes nogen effekt for denne gruppe.
Effekten er størst i slutningen af projektperioden
Når caseload reduceres må der forventes en vis forsinkelse før effekten viser sig. Blandet andet fordi
det tager tid at træffe aftaler med virksomheder om flere praktikpladser og implementere
systematiske arbejdsgange, hvor borgerne præsenteres for mulighederne og matches med
virksomhederne. Dette belyses ved at se på effekten i dele af projektperioden. I de tre sidste
måneder af projektperioden (som evaluator fortolker som den fuldt indfasede effekt, hvilket også
underbygges af casestudier i succeskommuner) er den overordnede effekt vokset til 3,2
procentpoint (svarende til 18%). Omvendt ses ingen effekt (ikke rapporteret) i indsatsperiodens
første halve år. Opdelt på jobcentre findes store positive effekter for Favrskov, Faaborg-Midtfyn,
Gladsaxe, Greve og Slagelse, mens der er negative effekter for Lyngby-Taarbæk og Haderslev.
Nedsat caseload har ført til signifikant større andel i virksomhedspraktik og/eller ordinære timer
I en mediatoranalyse, hvor den enkelte sagsbehandler og dennes caseload kobles med borgeren,
findes en signifikant sammenhæng mellem fald i caseload og andelen i virksomhedspraktik eller med
ordinære løntimer. (Tabel 9 i Kvantitativ slutevaluering) Analysen viser, at et fald i caseload på 8
borgere fører til 2,2 procentpoint flere i virksomhedspraktik eller med ordinære løntimer. Det er
altså, ikke overraskende, det lavere caseload som har medieret effekten på andelen i
virksomhedspraktik eller med ordinære løntimer.
Forudsætningerne for at igangsætte virksomhedsrettet indsats er i nogen grad forbedret, men der er
fortsat et klart potentiale for forbedring.
Surveyen
viser, at sagsbehandlerne i løbet af projektperioden i nogen grad oplever at have øget
deres viden om ressourceforløbsborgeres muligheder på arbejdsmarkedet, hvilket er en af
forudsætningerne for, at de effektivt kan styrke den virksomhedsrettede indsats, som registerdata
ovenfor peger på. Især i forhold til at få indsigt i rammerne for ordinære løntimer, men også generelt
i forhold til at være informeret om muligheder og udviklingen på det lokale arbejdsmarked,
herunder hvor der særligt er gode muligheder for ressourceforløbsborgere. Som det fremgår af figur
9
ede for, så er % af sags eha dler e i slut åli ge ’helt e ig’ eller ’e ig’ i, at de lø e de får
information om muligheder og udviklinger i det lokale arbejdsmarked. Dette er en stigning på 6
procentpoint fra start
åli ge . A dele e so er ’hverke e ig eller ue ig’, ’ue ig’ eller ’ eget
ue ig’ udgør i idlertid sa let %, og vokser således også ed pro e tpoi t
i forhold til
startmålingen.
20
BEU, Alm.del - 2019-20 - Bilag 201: Evalueringer af projekter om virksomhedsforløb med lønnede timer for udsatte borgere, fra beskæftigelsesministeren
2177725_0022.png
Håndholdt Indsats i Ressourceforløb - Slutevaluering
20% af sagsbehandlerne svarer i slutmålingen, at de er enige i at have godt kendskab til
virksomheder og brancher med gode muligheder for ressourceforløbsborgere, hvilket er en stigning
på 4 procentpoint fra startmålingen. Det er imidlertid interessant, at den samlede andel, som er
’hverke e ig eller ue ig’, ’ue ig’ eller ’ eget ue ig’ vokser i slut åli ge fra % til %.
57% af sagsbehandlerne svarer i slutmålingen, at de er enige i, at de har den nødvendige indsigt i
rammerne for ordinære løntimer i ressourceforløb, hvilket er en stigning på 18 procentpoint fra
startmålingen, hvor 39% af sagsbehandlerne var enige i udsagnet.
Figur 9: Vurdering af viden om arbejdsmarkedet og muligheder for ressourceforløbsmodtagere
Helt enig
Enig
Hverken enig eller uenig
Uenig
Helt uenig
Ved ikke
Jeg har et godt
Jeg får løbende
billede af hvilke
information om
virksomheder eller
Jeg har den fornødne brancher, der aktuelt mulighederne og
indsigt i rammerne er gode muligheder udviklingen på det
lokale arbejdsmarked
for ordinære
for ordinære
løntimer for borgere fra min ledelse eller
løntimer i
i ressourceforløb kolleger i jobcentret
ressourceforløb
Start
3%
21%
28%
29%
7%
12%
Slut
2%
28%
31%
25%
11% 3%
Start
1%
15%
23%
31%
15%
14%
Slut
2%
18%
35%
28%
13%
4%
Start
9%
30%
24%
16%
6%
14%
Slut
0%
13%
10%
20%
44%
30%
40%
50%
60%
26%
70%
80%
11%
90%
4%3%
100%
Note: Figure viser svarfordeli ger for udsag e e: ”Jeg
får løbende information om mulighederne og udviklingen på det
lokale arbejdsmarked fra min ledelse eller kolleger i jobcentret”,
”Jeg
har et godt billede af i hvilke virksomheder eller
brancher, der aktuelt er gode muligheder for ordinære løntimer for borgere i ressourceforløb”
og ”Jeg
har den fornødne
indsigt i rammerne for ordinære løntimer i ressourceforløb (lovgivning, kombination af løntimer og praktik, borgernes
økonomiske fordele ved at tage ordinære løntimer)”.
Der er ge e ført selvstæ dige a al ser af respo de ter, der har
svaret ”ved ikke” i start åli ge
ed he lik på at u dersøge, o de ka forklare æ dri ger e i slut åli ge . A al ser e
viser, at ”ved ikke”-svarere
i startmålingen fordeler sig jævnt over svarkategorierne, og derfor ikke kan forklare
æ dri ger e i ”helt e ig” og ”e ig” kategorier e. Start åli g N = , Slut åli g N =
.
Øget viden hos den enkelte sagsbehandler gør det dog ikke alene. Også udbuddet af
virksomhedspladser og muligheden for at etablere forløb med ordinære timer spiller en vigtig rolle.
Surveyen
viser, at sagsbehandlerne i begrænset grad oplever, at udbuddet af virksomhedspladser til
borgere i ressourceforløb i løbet af projektperioden er forbedret. 34% af sagsbehandlerne svarer i
slutmålingen, at de er helt enige eller enige i, at udbuddet af virksomhedspladser til borgere i
ressourceforløb er tilstrækkeligt, hvilket er en stigning på 9 procentpoint i forhold til startmålingen.
21
BEU, Alm.del - 2019-20 - Bilag 201: Evalueringer af projekter om virksomhedsforløb med lønnede timer for udsatte borgere, fra beskæftigelsesministeren
2177725_0023.png
Håndholdt Indsats i Ressourceforløb - Slutevaluering
Stig i ge i a dele , der svarer ”hverke e ig eller ue ig” ka forklares af faldet i a dele , der
svarer ved ikke (se figur 10 nedenfor).
Derimod vurderer sagsbehandlerne, at mulighederne for ordinære timer er blevet marginalt
dårligere end ved projektets start, idet andelen af sagsbehandlere, som er enige i at samarbejdet
med virksomhederne rummer mulighed for opnåelse af ordinære løntimer i slutmålingen er 3
procentpoint lavere end ved startmålingen (se figur 10). Dette fald kan blandet andet henføres til et
fald i ”ved ikke” esvarelser e elle start- og slut åli ge . Perso er, so har svaret ”ved ikke” i
start åli ge pla erer sig især i ’hverke e ig eller ue ig’ og
til dels
i ’ue ig’ eller ’ eget ue ig’.
Samlet set er det interessant at se, at kun lidt mere end en femtedel vurderer mulighederne
positive.
I slutmålingen har sagsbehandlerne desuden besvaret et spørgsmål om, hvorvidt de tilrettelægger
deres arbejde med ressourceforløbsborgere efter, at borgeren skal opnå ordinære timer. Til det
udsag svarer % af sags eha dler e, at de er ’helt e ig’ eller ’e ig’.
(se figur 10)
Figur 10: Vurdering af muligheder for virksomhedsindsats for ressourceforløbsmodtagere og tilrettelæggelse
af arbejdet
Helt enig
Enig
Hverken enig eller uenig
Uenig
Helt uenig
Ved ikke
Vores nuværende
Jeg tilrettelægger samarbejde med
Vi har et
virksomheder
mit arbejde med
rummer mulighed tilstrækkeligt bredt
borgere i
udbud af
for, at borgeren
ressourceforløb
efter at borgeren kan opnå ordinære virksomhedspraktik
pladser til borgere i
løntimer på
skal opnå ordinære
ressourceforløb
virksomheden
timer
Start
3%
22%
15%
26%
16%
18%
Slut
6%
28%
27%
25%
9%
6%
Start
6%
19%
25%
22%
7%
22%
Slut
2%
20%
38%
19%
12%
9%
Start
Ikke målt ved start
Slut
7%
0%
10%
36%
20%
30%
40%
50%
37%
60%
70%
80%
15%
90%
3%
3%
100%
Note: Figuren viser svarfordelinger for udsagnene:
”Vi har et tilstrækkeligt redt ud ud af virkso hedspraktikpladser til
orgere i ressour eforlø ”, ”Vores uvære de sa ar ejde ed virkso heder ru
er ulighed for, at orgere ka op å
ordi ære lø ti er på virkso hede ”
og
”Jeg tilrettelægger it arbejde
med borgere i ressourceforløb efter at borgeren
skal op å ordi ære ti er”.
Der er ge e ført selvstæ dige a al ser af respo de ter, der har svaret ”ved ikke” i
startmålingen med henblik på at undersøge, om de kan forklare ændringerne i slutmålingen. I fald det har, er det angivet i
teksten. Startmåling N = 97, Slutmåling N = 109.
22
BEU, Alm.del - 2019-20 - Bilag 201: Evalueringer af projekter om virksomhedsforløb med lønnede timer for udsatte borgere, fra beskæftigelsesministeren
2177725_0024.png
Håndholdt Indsats i Ressourceforløb - Slutevaluering
Casestudier
i succeskommunerne viser, at et godt samarbejde mellem sagsbehandlere og
virksomhedskonsulenter, herunder videndeling og klare rammer for samarbejdet, har været
afgørende for at få flere borgere i virksomhedsforløb.
Sagsbehandlerne
vurderer, at deres mulighed for
i dialog med borger og/eller virksomheds-
konsulent
at understøtte relevante og holdbare forløb generelt er forbedret, og at der med afsæt i
borgernes jobmål har været en øget opsøgende indsats overfor lokale virksomheder.
Sagsbehandlernes udsagn understøtter dermed fundet i registerdata af en øget effekt i de sidste tre
måneder af projektperioden.
I lighed med andre undersøgelser på området (blandet andet Bedre ressourceforløb og STV), peger
borgerne
på, at de vigtigste forudsætninger for at de kom i virksomhedspraktik var, at sagsbehandler
og virksomhedskonsulent var lydhøre overfor deres ønsker og fandt praktikpladser på virksomheder,
hvor borgerne kunne bruge erfaringer fra tidligere job eller indenfor et fag eller en branche, der
interesserer dem. Ligeså vigtigt for borgerne var det, at praktikken tog højde for deres skånehensyn,
herunder en langsom øgning af timetallet i starten af praktikken og nedjustering af timetallet i
perioder, hvor borgerne for eksempel har særlige udfordringer på hjemmefronten.
Sagsbehandlerne
i succeskommunerne oplever, at arbejdet med ordinære timer til målgruppen,
stadig er en relativt ny opgave, som en del af medarbejderne endnu kun har begrænset erfaring
med, jf. spørgsmål til dette i figur 10 ovenfor. Dette gælder både i forhold til at italesætte
muligheden for borgere og i kontakten med virksomheder. Desuden opfatter nogle virksomheder i
følge sagsbehandlerne borgere i ressourceforløb som en målgruppe med få ressourcer, hvilket har
vanskeliggjort forhandling om ordinære timer.
Også for
borgerne
er ulighede for ordi ære lø ti er ’e
hed’, da de t pisk ikke var
opmærksomme på muligheden, før de blev orienteret om det af deres sagsbehandler eller
virksomhedskonsulent, efter de var begyndt i ressourceforløb. De borgere, som har ordinære timer,
oplever det som meget motiverende. Dels økonomisk, dels fordi det i deres øjne øger muligheden
for et fremtidigt fleksjob på praktikvirksomheden. De fremhæver desuden betydningen af, at
sagsbehandler og/eller virksomhedskonsulent har forhandlet ordinære timer med virksomheden, da
de ikke vurderer, at de selv ville være i stand til det.
Såvel sagsbehandlere som
ledelse
fremhæver som en sidegevinst, at når det er lykkedes at opnå
ordinære timer i ressourceforløbet til en borger, vil borgeren som oftest have et konkret fleksjob på
hånden til mødet i rehabiliteringsteamet (før fleksjobtilkendelsen).
Sagsbehandlerne har fået en større rolle i det virksomhedsvendte arbejde
Surveyen
viser, at godt ni ud af ti sagsbehandlere oplever, at hele eller dele af virksomhedsindsatsen
(for eksempel på udsøgning af virksomhed, match af borger og virksomhed, indgåelse af
praktikaftale, opfølgning under praktik) i ressourceforløb varetages af en virksomhedskonsulent (se
figur 11 nedenfor). Surveyen viser imidlertid også, at der henover projektperioden er sket ændringer
i samarbejde og opgavevaretagelsen mellem sagsbehandlerne og virksomhedskonsulenterne.
Både ved start og slutmåling vurderer sagsbehandlerne, at det primært er deres ansvar at motivere
borgeren til virksomhedspraktik; mens udsøgning og match, indgåelse af praktikaftale og løbende
23
BEU, Alm.del - 2019-20 - Bilag 201: Evalueringer af projekter om virksomhedsforløb med lønnede timer for udsatte borgere, fra beskæftigelsesministeren
2177725_0025.png
Håndholdt Indsats i Ressourceforløb - Slutevaluering
opfølgning i forhold til en kontaktperson på virksomheden primært har været
virksomhedskonsulentens ansvar. Opfølgning på borger under praktikforløb samt justering af timetal
og opgaver har været et fælles ansvar.
Som det fremgår af figur 11 nedenfor, så kan der I løbet af projektperioden ses en tendens til, at
sagsbehandlerne påtager sig et større ansvar for især løbende opfølgning på borgere i praktik og
med kontaktpersoner i virksomheden samt justering af timetal.
Figur 11: Opgavefordeling af delopgaver i forbindelse med virksomhedspraktik mellem medarbejderen og
virksomhedskonsulenten
Primært mit ansvar
Primært fælles ansvar
Primært virksomheds-konsulents ansvar
Ved ikke
Motivation af
ressourceforløbs
Løbende
borger til
opfølgning på
borger under virksomhedsprak
tik
praktikforløb
Start
66%
21%
13%
Slut
66%
32%
2%
Start
19%
32%
36%
13%
Slut
32%
45%
21%
2%
Løbende
Justering af
opfølgning på
timetal og
kontaktperson
på virksomhed arbejdsopgaver
Start
14%
38%
36%
12%
Slut
31%
38%
29%
2%
Start
9%
6%
72%
13%
Slut
24%
12%
63%
1%
Indgåelse af
praktikaftale
eller anden
arbejdsaftale
Start
3%
3%
Slut
82%
12%
4%
7%
88%
1%
Udsøgning af
virksomhed og
match med
borger
Start
1%
Slut
2%
0%
13%
74%
12%
15%
10%
20%
30%
40%
50%
81%
60%
70%
80%
90%
2%
100%
Note: Figuren viser svarfordelinger for spørgsmålet:
”Hvorda har opgavefordeli ge af følge de delopgaver
ifm.
virksomhedspraktik været mellem dig og virksomhedskonsulenten?”.
Der er gennemført selvstændige analyser af
respo de ter, der har svaret ”ved ikke” i start åli ge
ed he lik på at u dersøge, o de ka forklare æ dri ger e i
slut åli ge . ”Ved ikke”-svarerne
fra start-målingen fordeler sig imidlertid forholdsmæssigt på svarkategorierne i
slutmålingen. Startmåling N = 100, Slutmåling N = 104.
24
BEU, Alm.del - 2019-20 - Bilag 201: Evalueringer af projekter om virksomhedsforløb med lønnede timer for udsatte borgere, fra beskæftigelsesministeren
2177725_0026.png
Håndholdt Indsats i Ressourceforløb - Slutevaluering
Casestudier
i succeskommunerne viser i lighed med figur 11 ovenfor, at sagsbehandlerne er kommet
til at spille en større og mere synlig rolle i forhold til virksomhedspraktik, hvilket i nogle tilfælde har
været en helt ny funktion for sagsbehandlerne. I en succeskommune har sagsbehandlere overtaget
hele opfølgningen, mens de i de tre øvrige er med til opfølgningsmøder.
Sagsbehandlerne
oplever i begge tilfælde, at de med deres tætte kendskab til borgerne har
kvalificeret opfølgningen og som myndighed sat ting i værk på stedet. Kontakten til virksomheder
ved opfølgning eller besøg har ifølge sagsbehandlerne givet dem værdifuld viden både om den
enkelte borger, om arbejdsmarkedet generelt og særligt om mulighederne for borgere i
ressourceforløb.
Mulighederne for samarbejde mellem sagsbehandler og virksomhedskonsulent er markant forbedret
Sagsbehandlerne vurderer i
surveyen
5
at de i projektperioden har fået:
lettere adgang til en virksomhedskonsulent (helt enig/enig fra 66 til 87%)
større mulighed for at sparre med virksomhedskonsulenten om mulighederne for en
virksomhedsrettet indsats for ressourceforløbsborgere (helt enig/enig fra 51 til 81%)
bedre mulighed for at samarbejde med virksomhedskonsulenten undervejs i
virksomhedspraktikken (helt enig/enig fra 51 til 81%).
Sagsbehandlerne vurderer også, at virksomhedskonsulenterne er blevet mere kompetente i forhold
til at matche borgere og virksomheder (helt enig/enig fra 42 til 66%). Sagsbehandlernes vurdering af
virksomhedskonsulenternes blik for at understøtte overgang til ordinære timer ligger til
sammenligning noget lavere, men stiger (helt enig/enig fra 22 til 30%) og andel af sagsbehandlere,
der vurderer, at virksomhedskonsulenterne ikke har blik for ordinære timer til målgruppen, falder 10
procentpoint. Det skal bemærkes at sagsbehandlere, der også varetager virksomhedskonsulent-
opgaver, er frasorteret i denne opgørelse.
Casestudierne
i succeskommunerne viser i lighed med surveyen ovenfor, at sagsbehandlerne har
fået et tættere samarbejde med virksomhedskonsulenterne. Uanset om sagsbehandlere og
virksomhedskonsulenter har siddet i samme eller i forskellige teams, har det været altafgørende, at
de har haft mulighed for et tæt, smidigt og veldefineret samarbejde. Et tæt samarbejde lettes af, at
sagsbehandlere og virksomhedskonsulenter sidder tæt på hinanden fysisk, med faste møderutiner,
med ledelsesmæssig opbakning, med sparring til at håndtere evt. barrierer og med fælles tilgang til
indsatsen for den enkelte borger.
Sagsbehandlerne
i succeskommunerne oplever alle, at det lavere caseload har givet dem mulighed
for både flere 3-partsamtaler og løbende dialog med virksomhedskonsulenter, som medvirker til at
målrette dialogen med borger og giver sagsbehandlerne indblik i konkrete og realistiske muligheder
for praktik. Fælles samtaler med virksomhedskonsulent tidligt i ressourceforløbet har ifølge
sagsbehandlerne styrket fokus på den virksomhedsrettede indsats, også for borgere, som ikke
umiddelbart kunne komme i virksomhedspraktik.
5
Disse data bygger på yderligere databehandling af surveybesvarelser, som ikke vist i Figurrapporten for
surveyundersøgelsen.
25
BEU, Alm.del - 2019-20 - Bilag 201: Evalueringer af projekter om virksomhedsforløb med lønnede timer for udsatte borgere, fra beskæftigelsesministeren
2177725_0027.png
Håndholdt Indsats i Ressourceforløb - Slutevaluering
Sagsbehandlerne oplever kun i begrænset omfang øget ledelsesfokus og konkrete
handlingsanvisninger fra deres ledelse ifm. virksomhedsrelaterede forløb
I
surveye
er
ledelsesmæssig opbakning og engagement undersøgt i form af sagsbehandlernes
oplevelse af, hvorvidt deres nærmeste leder italesætter sikring af gode match mellem borger
virksomhed og giver konkrete handlingsanvisninger til centrale dele af indsatsen i HIR-projektet.
% af sags eha dler e a giver i slut åli ge , at de e te er ’helt e ig’ eller ’e ig’ i, at deres
ær este leder udtr kker, at de skal ruge tid på at sikre et godt at h elle
orger og
virkso hed Side i
Figurrapport for surveyundersøgelsen
. Til sa
e lig i g svarede % det
sa
e i start åli ge .
Figur
ede for viser, at % af sags eha dler e i slut åli ge er ’helt e ig’ eller ’e ig’ i at deres
nærmeste leder har givet dem konkrete handlingsanvisninger. I startmålingen var andelen af
sagsbehandlere, der svarede dette 3 procentpoint lavere, med 32 %.
49% af sagsbehandlerne er i slutmålingen enige i, at deres nærmeste leder har givet dem
handlingsanvisninger til aktivt at inddrage borgerne i tilrettelæggelsen af deres ressourceforløb,
hvilket er en stigning på 7 procentpoint fra startmålingen, hvor 42% af sagsbehandlerne var enige.
E delig er a dele af sags eha dlere, der er helt e ige og e ige, i at deres ær este leder har givet
de ha dli gsa vis i ger til at øge op åelse af ordi ære lø ti er, uæ dret %. Baseret på
surve resultater e ka der altså ikke ide tifi eres et større ledelses æssigt fokus på, hvorda
sags eha dler e ko kret skal hjælpe flere ressour eforlø s orgere i ga g ed ordi ære lø ti er.
(Jf. figur 9 ovenfor.)
Figur 12: Oplevelse af ledelses anvisninger om indsats til ressourceforløbsborgere
Helt enig
Enig
Hverken enig eller uenig
Uenig
Helt uenig
Ved ikke
Min nærmeste Min nærmeste
Min nærmeste leder giver mig leder giver mig
konkrete
konkrete
leder giver mig
handlingsanvisni handlingsanvisni
konkrete
handlingsanvisni nger til aktivt at nger til øget
brug af
inddrage
nger til at øge
virksomhedsrett
borgerne i
ordinære
løntimer for tilrettelæggelsen ede forløb for
borgere i
af deres
borgere i
ressourceforløb ressourceforløb ressourceforløb
Start
Slut
Start
Slut
5%
8%
6%
10%
27%
27%
36%
39%
22%
21%
10%
20%
30%
40%
35%
32%
40%
25%
32%
16%
5%
16%
14%
3% 6%
12%
14%
6%
9% 5% 6%
8%
18%
16%
6% 6%
90%
100%
Start
2%
Slut
3%
0%
16%
45%
50%
60%
70%
80%
Note: Figuren viser svarfordelinger for udsagnene:
”Mi ær este leder giver ig ko krete
handlingsanvisninger til øget
rug af virkso hedsrettede forlø for orgere i ressour eforlø ”, ”Mi ær este leder giver ig ko krete ha dli gsa vis-
i ger til aktivt at i ddrage orger e i tilrettelæggelse af deres ressour eforlø ”
og
”Mi ær este leder
giver mig
ko krete ha dli gsa vis i ger til at øge ordi ære lø ti er for orgere i ressour eforlø ”.
Der er gennemført selvstændige
a al ser af respo de ter, der har svaret ”ved ikke” i start åli ge
ed he lik på at u dersøge, o de ka forklare
26
BEU, Alm.del - 2019-20 - Bilag 201: Evalueringer af projekter om virksomhedsforløb med lønnede timer for udsatte borgere, fra beskæftigelsesministeren
2177725_0028.png
Håndholdt Indsats i Ressourceforløb - Slutevaluering
ændringer
e i slut åli ge . ”Ved ikke”-svarerne
fra startmålingen fordeler sig imidlertid forholdsmæssigt på
svarkategorierne i slutmålingen. Startmåling N = 97, Slutmåling N = 109.
Casestudierne
i succeskommunerne viser, at sagsbehandlere i HIR-projektet særligt har brugt
sparring med andre sagsbehandlere, faglig koordinator og virksomhedskonsulenter til at udvikle den
virksomhedsrettede indsats.
Ledere
i succeskommuner har understøttet den virksomhedsrettede indsats ved at skabe rum for
kollegial sparring samt via brug af måltal, der har haft en dobbeltfunktion både som
ledelsesinformation og i forhold til at skabe et fælles fokus i teamet på at få flest mulige borgere i
virksomhedsrettet indsats.
Såvel
sagsbehandlere som ledere
oplever at sagsbehandlerne i starten var skeptiske, men at de nu
ser måltallene som en rettesnor på indsatsen
og når resultaterne er gode
som et skulderklap.
Desuden har
lederne
i succeskommunerne sparret med sagsbehandlerne, for eksempel ved at
gennemgå sagsstammer og udfordre sagsbehandlernes holdninger og synspunkter til
virksomhedsrettet indsats for konkrete borgere samt muligheden for at opnå ordinære timer. Som
nævnt ovenfor, er sidstnævnte en relativt ny opgave, også for lederne.
27
BEU, Alm.del - 2019-20 - Bilag 201: Evalueringer af projekter om virksomhedsforløb med lønnede timer for udsatte borgere, fra beskæftigelsesministeren
2177725_0029.png
Håndholdt Indsats i Ressourceforløb - Slutevaluering
VIRKNING AF NEDSAT CASELOAD I FORHOLD TIL
SAGSBEHANDLERS BELIEF (SUCCESKRITERIE 3)
Nedsat caseload har ikke haft effekt på sagsbehandlernes belief i forhold til borgers muligheder for
virksomhedspraktik, løntimer og beskæftigelse
Beskæftigelses Indikator Projektet kan påvise en stærk sammenhæng mellem sagsbehandlerens tro
på borgerens jobchancer (belief) og borgerens faktiske succes med at komme i enten beskæftigelse
eller uddannelse. I
surveyen
er sagsbehandlere derfor i start- og slutmålingen blevet bedt om at
vurdere, hvor mange af deres ressourceforløbsborgere, som de tror, kan komme i
virksomhedspraktik indenfor 3 måneder, opnå ordinære løntimer indenfor et år og opnå
beskæftigelse i form af fleksjob eller en halvtids- eller heltidsstilling indenfor de næste to år.
Som vist i figur 13 nedenfor, tror sagsbehandlerne i slutmålingen gennemsnitligt, at 44% af deres
ressourceforløbsborgere kan komme i virksomhedspraktik indenfor 3 måneder; at 17% af kan opnå
ordinære løntimer indenfor et år; og at 36% kan opnå beskæftigelse indenfor to år. Sammenlignes
der med startmålingerne, kan der kun identificeres meget små forskelle, når tallene opgøres for alle
kommuner samlet set. Ses der specifikt på de fire succeskommuner, der indgår i slutevalueringen,
har de både i start- og slutmålingen en gennemsnitlig højere belief end øvrige kommuner, men der
kan også her kun registreres minimale ændringer fra start til slut. Der har mellem startmålingen og
slutmålingen ikke været statistisk signifikante ændringer og derfor ingen effekt af HIR-projektet på
sagsbehandlernes belief på borgerne (succeskriterie 3).
Figur 13: Sagsbehandlernes tro på opnåelse af virksomhedspraktik, ordinære løntimer og beskæftigelse
50%
40%
30%
20%
10%
0%
Start
Slut
Start
Slut
Start
Slut
Virksomhedspraktik inden for 3
måneder
Ordinære løntimer inden for et år Beskæftigelse inden for de næste to
år*
18%
17%
43%
44%
35%
36%
Note: Figuren viser gennemsnit udregnet på baggrund af
følge de spørgs ål: ”Hvor
mange ressourceforløbsborgere har du
aktuelt i din sagsstamme? Skriv antal borgere.”,
”Hvor
mange af ressourceforløbsborgerne i din nuværende sagsstamme,
vurderer du, kan komme i virksomhedspraktik inden for de næste tre måneder? (indberegn dem der p.t. er i praktik)”,
Hvor mange af ressourceforløbsborgerne i din sagsstamme, vurderer du, kan opnå ordinære løntimer inden for et år?
(indberegn dem der p.t. har ordinære løntimer)”
og ”Hvor
mange af dine ressourceforløbsborgere, vurderer du, kan opnå
ordinær beskæftigelse i form af fleksjob eller en halvtids- eller heltidsstilling inden for de næste to år?”.
*Der er spurgt til
beskæftigelse i form af fleksjob eller en halvtids- eller heltidsstilling. Der er inddraget data for sagsbehandlere, der har
deltaget i både start- og slutmålingen. Startmåling og slutmåling N = 81.
Den manglende udvikling i belief kan bl.a. ses i sammenhæng med, at sagsbehandlerne kun i
begrænset grad oplever, at udbuddet af virksomhedspladser til borgere i ressourceforløb i løbet af
28
BEU, Alm.del - 2019-20 - Bilag 201: Evalueringer af projekter om virksomhedsforløb med lønnede timer for udsatte borgere, fra beskæftigelsesministeren
2177725_0030.png
Håndholdt Indsats i Ressourceforløb - Slutevaluering
projektperioden er forbedret, og at de faktisk oplever, at deres muligheder for at gøre brug af
ordinære løntimer til ressourceforløbsborgere er blevet lidt ringere hen over perioden (se figur 10 og
forklarende tekst ovenfor).
Sagsbehandlerne har fået mulighed for at arbejde med en indsats, som de tror på, og som
understøtter belief hos borgeren og i organisationen omkring borgeren
Casestudierne
i succeskommunerne viser, at alle sagsbehandlere oplever, at belief er en
grundlæggende forudsætning for overhovedet at udføre deres job. De oplever, at et nedsat caseload
har givet dem mulighed for at lave en håndholdt indsats, som konsoliderer, men ikke nødvendigvis
øger, deres egen belief i forhold til borgerne.
Sagsbehandlerne
påpeger, at de i vid udstrækning er afhængige af, at også andre omkring borgeren
udviser elief og ’trækker i sa
e ret i g’.
Sagsbehandlerne oplever, at nedsat caseload har givet
dem mulighed for at udfordre og arbejde med belief og mindset hos samarbejdspartnere som for
eksempel bostøtter, misbrugsbehandlere, praktiserende læger, psykiatere m.fl. for at sikre, at
samarbejdspartnerne også tror på og bakker op om en virksomhedsrettet indsats for målgruppen.
Sagsbehandlernes erfaring er, at initiativet til denne indsats skal komme fra sagsbehandlerne i
ressourceforløbsteamet. (Se også afsnit 3.1 side 13 om sagsbehandlernes muligheder for at
tilrettelægge virksomhedsrettede forløb, som tager nødvendige sociale og helbredsmæssige
hensyn.)
Sagsbehandlerne oplever desuden, at nedsat caseload har givet dem bedre muligheder for at
arbejde med borgers egen tro på en plads på arbejdsmarkedet. Konkret sker dette typisk i dialogen
med borgeren ved at støtte, coache og sparre med borgerne i forhold til deres CV, samtaler i en
praktikvirksomhed og under praktik.
Endelig oplever sagsbehandlerne, at deres tættere kontakt til virksomheder, blandt andet ved
opfølgning på praktik, har understøttet deres belief, fordi de har fået meget konkret indsigt i,
hvordan en virksomhedsindsats bidrager positivt til borgernes generelle situation. Disse indsigter er
blevet delt både med borgere, kolleger og samarbejdspartnere og har medvirket til at øge belief hos
borgeren selv og belief i organisationen/organiseringen omkring borgeren.
Casestudier i succeskommunerne viser desuden, som det også er erfaret i flere andre projekter, at
det har en betydning for medarbejdernes belief, at ledelsen er tydelig og italesætter vigtigheden af
belief og selv viser vejen.
Lederne
i succeskommunerne har blandt andet gjort dette ved at dele gode historier og ved at
udfordre medarbejderes manglende belief, for eksempel ved sags- eller sagstamme-gennemgang,
hvor lederen stiller uddybende, kritiske spørgsmål til, hvorfor den enkelte borger ikke vurderes klar
til virksomhedsrettet indsats. Men også ved at tage medarbejdernes konkrete udfordringer med
komplekse sager op og pege på mulige løsninger og fremgangsmåder.
29
BEU, Alm.del - 2019-20 - Bilag 201: Evalueringer af projekter om virksomhedsforløb med lønnede timer for udsatte borgere, fra beskæftigelsesministeren
2177725_0031.png
Håndholdt Indsats i Ressourceforløb - Slutevaluering
METODE OG DATAKILDER
Evalueringen har et
mixed-methods design
og bygger på fire datatyper.
Registeranalyser
af DREAM-
data beriget med e-indkomst; løbende
monitorering
af sagsbehandlernes caseload; to
surveyundersøgelser
blandt alle projektberørte koordinerende sagsbehandlere i
deltagerkommunerne ved projektstart og
–afslutning
samt
casestudier
i fire strategisk udvalgte
succeskommuner med interviews af ledere, projektledere, koordinerende sagsbehandlere og
borgere.
Dataindsamlingen er gennemført som tre delundersøgelser. Registeranalyser belyser opnåelsen af
succeskriterierne 1 og 2; monitorering og surveyundersøgelser belyser caseload og den lokale indsats,
herunder udvikling i de koordinerende sagsbehandleres belief
succeskriterie 3
deres oplevelse af
betydningen af nedsat caseload for tidsforbrug, arbejdsopgaver og muligheder for at iværksætte
virksomhedsrettet indsats til ressourceforløbsborgere; mens casestudierne belyser, hvordan
succeskommunerne konkret har tilrettelagt og gennemført indsatsen. Denne struktur går igen i
opbygningen af evalueringens enkelte afsnit.
Registeranalyser
bygger på nyeste version af DREAM, som går frem til udgangen af marts 2019.
Data omfatter de borgere i deltagerkommunerne, som har mindst en uge med ressourceforløbskode
i perioden fra primo marts 2018 til ultimo marts 2019. Som et sammenligningsgrundlag udvælges
borgere i landets øvrige kommuner ud fra de samme kriterier som oven for.
Surveyundersøgelsen
blandt de koordinerende sagsbehandlere er foretaget både ved start og ved
afslutning af projektperioden. Der er i de to målinger anvendt samme grundspørgeskema, hvilket gør
det muligt at identificere en udvikling i respondenternes belief og oplevelse af blandet andet
tidsforbrug, arbejdsopgaver og muligheder for at iværksætte en virksomhedsrettet indsats for
borgere i ressourceforløb. I startmålingen blev indsamlet 114 besvarelser, hvilket giver en
svarprocent på 93%, mens der i slutmålingen var 111 besvarelser, hvilket giver en svarprocent på
91%. 82 personer har svaret i både start- og slutmålingen, hvilket svarer til 74% af deltagerne i
slutmålingen.
Casestudierne
bygger på analyser af semistrukturerede interviews med 18 medarbejdere, 6 ledere
og 7 borgere i ressourceforløb i virksomhedsforløb i fire udvalgte succeskommuner: Gladsaxe,
Favrskov, Faaborg-Midtfyn og Slagelse. Borgerne er udvalgt af sagsbehandlere i kommunerne.
Kommunerne er udvalgt på grundlag af analyser af datamateriale fra DREAM i perioden primo marts
2018 til ultimo januar 2019. Da casestudierne skal belyse positive erfaringer, er de fire
succeskommuner udvalgt, fordi de henover projektperioden har haft den mest positive udvikling på
to af projektets tre succeskriterier, nemlig kortere tid mellem LAB-indsatser og øget antal borgere i
virksomhedspraktik eller ordinære timer. I rapporten har fremstillingen af resultater fra
casestudierne
sagsbehandlerne
som primær kilde. Hvor det er relevant er sagsbehandlernes
erfaringer suppleret og nuanceret med data fra interviews med hhv.
ledelse
og
borgere.
I denne hovedrapport sammenkobles og integreres delundersøgelser i en
samlet analyse
af effekten af
nedsat caseload, kommunernes resultatopnåelse samt succesfaktorer. Delnotat for registeranalyser i
Kvantitativ slutevaluering samt Figurrapport for surveyundersøgelsen følger med rapporten som
selvstændige bilag.
30
BEU, Alm.del - 2019-20 - Bilag 201: Evalueringer af projekter om virksomhedsforløb med lønnede timer for udsatte borgere, fra beskæftigelsesministeren
2177725_0032.png
Nørre Allé 70 G
8000 Aarhus C
Denmark
Brolæggerstræde 6
Baghuset 1. Sal
1211 København K
Denmark
+45 7020 2229
[email protected]
www.discus.dk