Tilsynet i henhold til grundlovens § 71 2019-20
§71 Alm.del
Offentligt
2102674_0001.png
Tilsynet i henhold til grundlovens § 71 2018-19
§71 Alm.del - Bilag 98
Offentligt
Holbergsgade 6
DK-1057 København K
T +45 7226 9000
F +45 7226 9001
M [email protected]
W sum.dk
Sundhedsministeren
Folketingets Sundheds- og Ældreudvalg
Folketingets §71-udvalg
Dato: 01-05-2019
Enhed: JURPSYK
Sagsbeh.: DEPALEK
Sagsnr.: 1903734
Dok. nr.: 883263
Offentliggørelse af monitorering af tvang i psykiatrien for
perioden 1. januar 2018 til 31. december 2018
./.
Til Folketingets Sundheds- og Ældreudvalgs samt § 71 udvalgets orientering
fremsendes hermed Sundhedsstyrelsens
Monitorering af tvang i psykiatrien
opgørelse for perioden 1. januar 2018 til 31. december 2018.
Der vedlægges desuden:
Bilag 1: Notat til Sundhedsstyrelsens kommentering af monitoreringen af tvang
Bilag 2: Oversigt over tvangsformer
Bilag 3: Dokumentation af indikatorer for tvang i psykiatrien
Bilag 4: Baggrundstabeller
Tallene er offentliggjort på esundhed.dk.
Der blev i foråret 2014 indgået en politisk aftale med Danske Regioner om at nå
målsætningen om en halvering af tvangsanvendelsen i psykiatrien i 2020.
Efterfølgende er der indgået partnerskabsaftaler med hver enkelt region som led i at
nedbringe anvendelsen af tvang og for at sikre patienter med psykiske lidelser en
behandling af høj kvalitet.
Sundhedsdatastyrelsen har sammen med regionerne og Sundhedsstyrelsen udviklet
en national model til monitorering af anvendelsen af tvang. Monitoreringen
offentliggøres halvårligt og kommenteres af Sundhedsstyrelsen. Udviklingen følges og
drøftes i Task Force for Psykiatriområdet.
Overordnet viser den nye monitoreringsrapport følgende udvikling:
-
at andelen af patienter, der bæltefikseres af antal indlagte er faldet fra 5,4 pct. i
2017 til 5,1 pct. i 2018.
-
at antallet af patienter, som bæltefikseres, er faldet fra 1.435 i 2017 til 1.374 i
2018.
-
at det totale antal af bæltefikseringer er faldet fra 4.298 i 2017 til 3.692 i 2018.
-
at andelen af patienter, der fastholdes, er faldet fra 4,4 pct. i 2017 til 4,1 pct. i
2018.
-
at andelen af patienter, der får akut beroligende medicin er steget fra 8,1 pct. i
2017 til 8,2 pct. i 2018.
-
at andelen af voksne patienter, der berøres af tvangsforanstaltninger er fortsat
23,4 pct. i 2018, som det var tilfældet i 2017.
-
at andelen af børn og unge, der berøres af tvangsforanstaltninger er faldet fra
21,7 pct. i 2017 til 19,5 pct. i 2017
./.
§71, Alm.del - 2019-20 - Endeligt svar på spørgsmål 7: Spm. om der ses en stigning i andre former for tvang i psykiatrien mens der er fokus på at nedbringe anvendelsen af bæltefiksering, til sundheds- og ældreministeren
Der ses stadig en betydelig regional variation i anvendelsen af tvang, og flere regioner
får vanskeligt ved at nå partnerskabsaftalens målsætning inden 2020. Det er
Sundhedsstyrelsens vurdering, at partnerskabsaftalens målsætning om reduktion af
tvang
herunder den samlede anvendelse af tvang - ikke kan nås i 2020. Dertil er der
behov for mere konsekvent fald i tendensen, hvis målsætningen om halvering af
bæltefikseringer i 2020 skal nås. For en nærmere uddybning af udviklingen i
anvendelsen af tvang i psykiatrien henvises til den vedlagte rapport.
Udvalgene gøres for god ordens skyld opmærksom på, at data også omfatter børn og
unge under 18 år, inkl. tvang med forældresamtykke. Data er dog behæftet med en
vis usikkerhed, da den lovpligtige registrering af tvang over for mindreårige med
forældresamtykke først er trådt i kraft den 1. juni 2015 (jf. bilag 1)
Med venlig hilsen
Ellen Trane Nørby
Side 2
§71, Alm.del - 2019-20 - Endeligt svar på spørgsmål 7: Spm. om der ses en stigning i andre former for tvang i psykiatrien mens der er fokus på at nedbringe anvendelsen af bæltefiksering, til sundheds- og ældreministeren
2102674_0003.png
Tilsynet i henhold til grundlovens § 71 2018-19
§71 Alm.del - Bilag 98
Offentligt
2019
Monitorering af tvang i
psykiatrien
OPGØRELSE FOR PERIODEN 1. JANUAR 2018
31. DECEMBER 2018
§71, Alm.del - 2019-20 - Endeligt svar på spørgsmål 7: Spm. om der ses en stigning i andre former for tvang i psykiatrien mens der er fokus på at nedbringe anvendelsen af bæltefiksering, til sundheds- og ældreministeren
2102674_0004.png
Monitorering af tvang i psykiatrien
Side 2/53
Monitorering af tvang i psykiatrien
OPGØRELSE FOR PERIODEN 1. JANUAR 2018
31. DECEMBER 2018
© Sundhedsstyrelsen, 2019.
Publikationen kan frit refereres
med tydelig kildeangivelse.
Sundhedsstyrelsen
Islands Brygge 67
2300 København S
www.sst.dk
Sprog:
Dansk
Version: 1,0
Versionsdato:
10.4.2019
Format:
pdf
Udgivet af Sundhedsstyrelsen,
April 2019
§71, Alm.del - 2019-20 - Endeligt svar på spørgsmål 7: Spm. om der ses en stigning i andre former for tvang i psykiatrien mens der er fokus på at nedbringe anvendelsen af bæltefiksering, til sundheds- og ældreministeren
Monitorering af tvang i psykiatrien
Side 3/53
Indholdsfortegnelse
1. Introduktion ..................................................................................................................... 4
1.1. Baggrund ........................................................................................................................ 4
1.2. National monitorering af tvang i psykiatrien .................................................................. 5
2. Sundhedsstyrelsens vurdering af resultater .............................................................. 6
2.1. Overordnet vurdering ..................................................................................................... 6
2.2. Strategier for nedbringelse af tvang .............................................................................. 6
2.3. Tvangsanvendelse over for børn og unge .................................................................... 7
2.4. Sundhedsstyrelsens dialog med regionerne................................................................. 7
2.5 Sundhedsstyrelsens fremadrettede fokus ..................................................................... 8
3. Sammenfatning af resultater ......................................................................................... 9
3.1. Nationale resultater ........................................................................................................ 9
3.2. Regionale resultater ....................................................................................................... 9
4. Udviklingen i andel der bæltefikseres og antal bæltefikseringer over 48
timer .................................................................................................................................... 13
4.1. Indikatorer med målsætning om halvering i 2020....................................................... 13
4.2. Andelen af personer, der bæltefikseres ud af antal indlagte ...................................... 13
4.3. Antal bæltefikseringer over 48 timer ........................................................................... 20
4.4. Øvrige indikatorer med relevans for bæltefikseringer ................................................. 24
5. Udviklingen i varighed af bæltefikseringer og i personer udsat for
tvangsforanstaltninger ..................................................................................................... 32
5.1. Indikatorer med målsætning om reduktion i 2020 ...................................................... 32
5.2. Anvendelse og varighed af bæltefikseringer ............................................................... 33
5.3. Personer udsat for én eller flere tvangsforanstaltninger ............................................. 39
5.4. Øvrige indikatorer med relevans for monitoreringen af tvang .................................... 43
Bilagsfortegnelse .............................................................................................................. 52
§71, Alm.del - 2019-20 - Endeligt svar på spørgsmål 7: Spm. om der ses en stigning i andre former for tvang i psykiatrien mens der er fokus på at nedbringe anvendelsen af bæltefiksering, til sundheds- og ældreministeren
Monitorering af tvang i psykiatrien
Side 4/53
1. Introduktion
1.1. Baggrund
Som et vigtigt led i realiseringen af målsætningen om at forbedre kvaliteten i den regio-
nale psykiatri indgik Ministeriet for Sundhed og Forebyggelse i 2014 en aftale med Dan-
ske Regioner om at halvere anvendelsen af tvang i psykiatrien inden 2020. Der blev i den
forbindelse afsat midler til at nå målene om halvering af tvangsanvendelsen. Midlerne an-
vendes til øgede ressourcer til initiativer i regionerne om patientinddragelse, kompetence-
udvikling samt udbredelse og implementering af metoder med gode nationale og interna-
tionale erfaringer. Hver region indgik endvidere en konkret og forpligtende regional part-
nerskabsaftale om at nedbringe anvendelsen af tvang.
Partnerskabsaftalerne udmønter en fælles målsætning om, at antallet af patienter, der
spændes fast med bælter og remme, skal halveres i 2020, samtidig med at der skal ske
en reduktion i den samlede brug af tvang i psykiatrien.
Konkret er målet om at nedbringe anvendelsen af tvang i psykiatrien formuleret ved:
et mål om at reducere anvendelsen af bæltefikseringer frem mod 2020
et mål om en generel reduktion i anvendelsen af alle former for tvang
Målsætningen om at nedbringe anvendelsen af tvang er helt central for at sikre, at patien-
ter med psykiske lidelser får en behandling af høj kvalitet. Tvang i psykiatrien berører
nogle af de mest grundlæggende menneskerettigheder; nemlig retten til frihed og respekt
for den fysiske og psykiske integritet. Det er derfor afgørende, at der konsekvent arbej-
des med reduktion af tvang i psykiatrien, for dermed at sikre brugernes selvbestemmel-
sesret og grundlæggende menneskerettigheder.
Tvang i psykiatrien kan ikke helt undgås, men skal udøves så skånsomt som muligt og
med størst mulig hensyntagen til patienten, således at der ikke forvoldes unødig kræn-
kelse eller ulempe. Psykiatrilovens mindstemiddelsprincip fastlægger, at tvang ikke må
benyttes, før der er gjort, hvad der er muligt for at opnå patientens frivillige medvirken.
Derudover skal anvendelse af tvang stå i rimeligt forhold til det, som søges opnået her-
ved
er mindre indgribende foranstaltninger tilstrækkelige, skal disse anvendes. Dog
skal realisering af det nationale fælles mål om halvering af tvang gennemføres uden, at
der sker en uhensigtsmæssig substitution mellem forskellige tvangsforanstaltninger
Sundhedsstyrelsen følger udviklingen og opfølgningen på anvendelsen af tvang tæt med
en forventning om, at samtlige regioner lever op til de forpligtende aftaler om reduktion af
tvang i psykiatrien.
§71, Alm.del - 2019-20 - Endeligt svar på spørgsmål 7: Spm. om der ses en stigning i andre former for tvang i psykiatrien mens der er fokus på at nedbringe anvendelsen af bæltefiksering, til sundheds- og ældreministeren
Monitorering af tvang i psykiatrien
Side 5/53
1.2. National monitorering af tvang i psykiatrien
Sundhedsdatastyrelsen har i samarbejde med regionerne og Sundhedsstyrelsen udviklet
en national model til monitorering af anvendelsen af tvang, hvor målsætningen om reduk-
tion i anvendelsen af tvang er operationaliseret ved monitorering af 15 indikatorer (se bi-
lag 1). Hvert halve år offentliggøres data for udviklingen i de 15 indikatorer, og Sundheds-
styrelsen kommenterer på udviklingen det seneste år. Derudover indgår Sundhedsstyrel-
sens vurdering af udviklingen i anvendelsen af tvang i psykiatrien i forhold til at nå mål-
sætningerne i 2020.
De bagvedliggende data for den samlede monitorering kan downloades på Sundhedsda-
tastyrelsens hjemmeside.
På baggrund af resultaterne i denne årsopgørelse for 2018 beder Sundhedsstyrelsen alle
fem regioner om at redegøre for udviklingen, samt hvilke indsatser og ledelsesmæssige
skridt regionerne vil tage for at sikre nedbringelsen af tvang. Disse redegørelser drøftes
på det førstkommende møde i Task Force for Psykiatri.
§71, Alm.del - 2019-20 - Endeligt svar på spørgsmål 7: Spm. om der ses en stigning i andre former for tvang i psykiatrien mens der er fokus på at nedbringe anvendelsen af bæltefiksering, til sundheds- og ældreministeren
Monitorering af tvang i psykiatrien
Side 6/53
2. Sundhedsstyrelsens vurdering
af resultater
2.1. Overordnet vurdering
Overordnet set er regionerne kommet et godt stykke vej i forhold til at nå den politiske
målsætning vedrørende anvendelsen af bæltefikseringer. Samtidig viser udviklingen, at
der fortsat er udfordringer i forhold til at reducere den samlede tvangsanvendelse. Den
samlede udvikling dækker dog over, at der har været en meget forskellig udvikling i de
fem regioner, men også forskellig udvikling mellem sygehuse. Sundhedsstyrelsen finder
det meget bekymrende at man ikke i tilstrækkelig grad formår at nedbringe anvendelsen
af tvang i Danmark, og der er fortsat behov for et meget stort ledelsesmæssigt fokus på
området.
Billedet i årsopgørelsen for 2018 er fortsat, at den samlede tvangsanvendelse overordnet
ikke er nedbragt, og at bæltefikseringer er omlagt til andre tvangsformer. Det samlede
antal mennesker, der udsættes for tvang er fortsat stigende og således over niveauet ved
baseline. Selv om der generelt er sket et fald i anvendelsen af bæltefiksering og bæltefik-
sering over 48 timer sker dette fald ikke hurtig nok i forhold til at nå målet om en halvering
i 2020. Samtidig er Sundhedsstyrelsen bekymret over fortsat stigning i anvendelse af
akut beroligende medicin. Siden 2017 ses et lille fald i tvangsindlæggelser og tvangstilba-
geholdelse, men samlet er flere voksne berørt af tvang siden 2017.
Sundhedsstyrelsen konstaterer et fald over det sidste år i den samlede tvangsanven-
delse over for børn og unge. Ved monitoreringen for 2017-2018 var stigningen i tvangs-
anvendelse stoppet og ved denne monitorering ses nu et mindre fald. Anvendelsen af
tvang over for børn og unge er dog stadig for høj.
Sundhedsstyrelsen er bekymret over stigningen i bæltefikseringer i Region Syddanmark
og Region Sjælland siden 2017. Sundhedsstyrelsen er yderligere bekymret over en fort-
sat negativ udvikling i Region Nordjylland i forhold til akut beroligende medicin, fastholdel-
ser samt tvangsindlæggelser, en negativ udvikling i Region Sjælland i forhold til tvangs-
medicinering, tvangstilbageholdelser og tvangsindlæggelser, samt en negativ udvikling i
Region Syddanmark, der især ses over det sidste år i forhold til akut beroligende medicin
med tvang, fastholdelse, tvangsindlæggelser og tvangstilbageholdelser.
2.2. Strategier for nedbringelse af tvang
Der er solid viden om, hvad der kan nedbringe anvendelsen af tvang. Ledelsesinvolve-
ring er den vigtigste af de seks kernestrategier, som er blevet benyttet i flere lande til at
opnå positive resultater i forhold til at nedbringe brugen af tvang, og er forudsætningen
§71, Alm.del - 2019-20 - Endeligt svar på spørgsmål 7: Spm. om der ses en stigning i andre former for tvang i psykiatrien mens der er fokus på at nedbringe anvendelsen af bæltefiksering, til sundheds- og ældreministeren
Monitorering af tvang i psykiatrien
Side 7/53
for, at de andre strategier har effekt. Desuden indgår kompetenceudvikling, brugerinddra-
gelse, anvendelse af forskellige forebyggelsesværktøjer og debriefingteknikker samt an-
vendelse af data til en datadrevet praksis som strategier og værktøjer, ledelsen kan an-
vende for at nedbringe tvang. Nedbringelsen af tvang handler om en langsigtet kulturæn-
dring i psykiatrien, som kun kan ske ved vedvarende og konsekvent at fastholde fokus på
tvangsnedbringelse.
Resultaterne fra satspuljeprojektet ”Forsøg med bæltefrit afsnit i psykiatrien” viser ligele-
des, at anvendelsen bæltefikseringer næsten helt kan undgås ved at arbejde med kerne-
strategierne
også uden at anvendelsen af øvrige tvangsformer stiger. Derudover viser
resultaterne fra satspuljeprojektet, at de organisatoriske og kulturmæssige forandringer
er mere betydningsfulde i forhold til at nedbringe tvang, end hvilke konkrete redskaber,
personalet benytter.
I lyset af at flere udsættes for tvang, og at antallet af tvangsindlæggelser er stigende, ser
Sundhedsstyrelsen fortsat et behov for at se på, hvordan man bedre kan forebygge an-
vendelsen af tvang i såvel voksen- som børne- og ungdomspsykiatrien, da tvangsindlæg-
gelser ofte følges af brug af tvang under indlæggelsen.
2.3. Tvangsanvendelse over for børn og unge
Sundhedsstyrelsen er særligt bekymret i forhold til tvangsanvendelse over for børn og
unge. Der er overordnet sket en stigning i den samlede anvendelse af tvang over for
børn og unge siden baseline, herunder en stigning i både tvangsindlæggelser og tvangs-
tilbageholdelser. Sundhedsstyrelsen er i den forbindelse opmærksom på, at der er usik-
kerhed vedrørende data for børn og unge på grund af ændringer i registreringspraksis fra
1. juni 2015
1
. Hvis man blot betragter udviklingen siden juni 2015 er det imidlertid ikke
lykkedes at nedbringe brugen af tvang over for børn og unge, hvilket Sundhedsstyrelsen
finder foruroligende.
2.4. Sundhedsstyrelsens dialog med regionerne
I Sundhedsstyrelsens dialog med regionerne siden 2016 om nedbringelsen af tvang er
det bl.a. blevet tydeligt, at der på tværs af regionerne er afdelinger, hvor det er lykkedes
at nedbringe tvang, og afdelinger, hvor indsatsen ikke har haft den ønskede effekt. Drøf-
telserne på disse møder har generelt bekræftet, at et vedvarende og langsigtet ledelses-
fokus på og prioritering af nedbringelse af tvang
både på politisk, direktions- og afde-
lingsniveau
som led i en kulturændring, er det vigtigste greb for at nedbringe brugen af
1
Data før 1. juni 2015 ikke inkluderer tilfælde af tvangslignende foranstaltninger med forældresamtykke (magtanvendelse). Så-
danne foranstaltninger iværksat mod den mindreåriges vilje, men med informeret samtykke fra forældremyndighedens indeha-
ver, er i den nye psykiatrilov fra 2015 lovpligtige at registrere, mens dette ikke var tilfældet i den tidligere psykiatrilov. Disse regi-
streres nu som magtanvendelse.
§71, Alm.del - 2019-20 - Endeligt svar på spørgsmål 7: Spm. om der ses en stigning i andre former for tvang i psykiatrien mens der er fokus på at nedbringe anvendelsen af bæltefiksering, til sundheds- og ældreministeren
Monitorering af tvang i psykiatrien
Side 8/53
tvangsforanstaltninger. Ligeledes er det vigtigt at fremhæve, at systematisk dataindsam-
ling, analyser af data og opsætning af mål er meget vigtige for at kunne nedbringe anven-
delsen af tvangsforanstaltninger.
Fremadrettet vil Sundhedsstyrelsen fortsat drøfte muligheder og erfaringer med regio-
nerne i forhold til at nedbringe anvendelsen af tvang, særligt i forhold til børn og unge.
2.5 Sundhedsstyrelsens fremadrettede fokus
Det er som nævnt Sundhedsstyrelsens vurdering, at partnerskabsaftalens målsætning
om reduktion af tvang
herunder den samlede anvendelse af tvang - ikke kan nås i
2020. Som Sundhedsstyrelsen tidligere har påpeget, er der flere steder, hvor regionerne
er nået langt med nedbringelsen af tvang og dermed har vist, at det er muligt eksempel-
vis at nedbringe brugen af bæltefikseringer. Sundhedsstyrelsen vil derfor fortsat i samar-
bejde med regionerne drøfte, hvordan den eksisterende viden om tvangsnedbringelse
kan anvendes, og hvordan gode erfaringer med nedbringelse af tvang i enkelte regioner
kan fastholdes og deles med andre regioner. Derudover vil Sundhedsstyrelsen som før-
nævnt have særligt fokus på børn og unge samt på substitutionseffekt i forhold til akut
beroligende medicin og fastholdelser. Desuden vil Sundhedsstyrelsen fremadrettet have
et øget fokus på det tværsektorielle samarbejde og tidlige, forebyggende indsatser.
§71, Alm.del - 2019-20 - Endeligt svar på spørgsmål 7: Spm. om der ses en stigning i andre former for tvang i psykiatrien mens der er fokus på at nedbringe anvendelsen af bæltefiksering, til sundheds- og ældreministeren
Monitorering af tvang i psykiatrien
Side 9/53
3. Sammenfatning af resultater
3.1. Nationale resultater
De to indikatorer i partnerskabsaftalen, som har tilknyttet en målsætning om halvering er:
andelen af personer der bæltefikseres af antal indlagte
totale antal bæltefikseringer over 48 timer
Nationalt er der opnået et fald i anvendelsen det seneste år og siden baseline.
Der er desuden opnået et betydeligt fald i anvendelsen af remme det seneste år og siden
baseline, men der ses fortsat en markant stigning i samtlige af de øvrige indikatorer siden
baseline, på nær anvendelsen af skærmning. Der ses en stigning i anvendelsen af akut
beroligende medicin med tvang. Ligeledes er anvendelsen af fastholdelser steget mar-
kant siden baseline, på trods af en reduktion i anvendelsen det seneste år.
Der har været udsving i udviklingen i anvendelsen af tvangsindlæggelser og tvangstilba-
geholdelser siden baseline, og der er derfor ikke nogen klar tendens i udviklingen. Ni-
veauet for tvangsindlæggelser og tvangstilbageholdelser ligger fortsat over niveauet for
baseline. Derudover er der sket en stigning i anvendelsen af tvangsmedicinering, både
siden baseline og det seneste år.
Resultaterne viser endvidere, at det i samtlige regioner ikke er lykkedes at nedbringe an-
tallet af personer, der udsættes for tvang, men at anvendelsen af bæltefikseringer over-
ordnet set er ændret til mindre indgribende tvangsformer. Det vil sige, at brugen af tvang
stadigvæk er omlagt frem for nedbragt, og at det samlede antal og den samlede andel af
mennesker, som berøres af tvang, fortsat er langt over niveauet for baseline.
Børn og unge
Overordnet viser data, at der stadig er flere børn og unge, der bliver berørt af én eller
flere tvangsforanstaltninger, end i 2015. Der er dog sket et fald siden 2017. Der er siden
2015 sket en stigning i tvangsindlæggelser af børn og unge, mens der samtidig er sket et
fald i tvangstilbageholdelserne. Sundhedsstyrelsen vil i resten af rapporten kommentere
udviklingen siden den ændrede registreringspraksis i 2015 på grund af usikkerheden i
data.
3.2. Regionale resultater
De fem regioner har haft forskellige udgangspunkter i forhold til at anvende tvang. Ande-
len af patienter der blev udsat for bæltefiksering, ved indgåelse af partnerskabsaftalen
var lavest i Region Hovedstaden og Region Sjælland, og højest i Region Midtjylland og
§71, Alm.del - 2019-20 - Endeligt svar på spørgsmål 7: Spm. om der ses en stigning i andre former for tvang i psykiatrien mens der er fokus på at nedbringe anvendelsen af bæltefiksering, til sundheds- og ældreministeren
Monitorering af tvang i psykiatrien
Side 10/53
Region Syddanmark. Regionerne er også forskellige, hvad angår eksempelvis befolknin-
gens størrelse og patientsammensætning. Der er derfor etableret individuelle regionale
baselines for hver af indikatorerne i monitoreringsmodellen. Regionernes resultater skal
ses og vurderes i det lys.
De væsentligste regionale resultater for de enkelte indikatorer er sammenfattet i det føl-
gende.
Region Hovedstaden
Region Hovedstaden har opnået et fald på næsten alle indikatorer i forhold til bæltefikse-
ringer, både siden 2017 og siden baseline Dog er der sket en stigning i længevarende
bæltefikseringer (24-48 timer) siden 2017. Der er ligeledes sket et fald i anvendelsen af
remme siden baseline og siden 2017. I forhold til andelen af personer, som bæltefikse-
res, er regionen tæt på at nå målet om halvering, hvilket Sundhedsstyrelsen finder meget
positivt
Der er det seneste år sket et fald i både antallet og andelen af voksne berørt af tvang -
dog ligger andelen af voksne fortsat over baseline.
Der er sket et fald i antallet og andelen af personer, der får akut beroligende medicin med
tvang og som fastholdes siden 2017, mens der er sket i stigning i det totale antal gange
der gives akut beroligende medicin med tvang eller fastholdes siden 2017. Anvendelsen
ligger fortsat over baseline for disse tvangsforanstaltninger.
Antal voksne, der tvangsindlægges, er faldet siden baseline og siden 2017, mens ande-
len fortsat ligger lige over baseline. Anvendelsen af tvangstilbageholdelser er faldet det
seneste år, men ligger fortsat over baseline. Derudover er der sket en stigning tvangsme-
dicinering.
Antallet af børn og unge berørt af tvang er steget siden 2017, mens andelen er faldet.
Herunder er antallet af tvangsindlæggelser og tvangstilbageholdelser blandt børn og
unge steget siden 2017. Regionen er tæt på at nå målet om en reduktion i den samlede
brug af tvang.
Region Midtjylland
Der er i Region Midtjylland sket et betydeligt fald i anvendelsen af bæltefikseringer det
seneste år og regionen har nået målsætningen om en halvering af det totale antal bælte-
fikseringer over 48 timer. Regionen ligger lavere end tre andre regioner i forhold til antal
bæltefikseringer over 48 timer. Der er yderligere sket et betydeligt fald i anvendelsen af
remme, som nu ligger under baseline.
Den samlede brug af tvang over for voksne er fortsat over niveauet for baseline, dog er
andelen af voksne udsat for tvang faldet det seneste år.
§71, Alm.del - 2019-20 - Endeligt svar på spørgsmål 7: Spm. om der ses en stigning i andre former for tvang i psykiatrien mens der er fokus på at nedbringe anvendelsen af bæltefiksering, til sundheds- og ældreministeren
Monitorering af tvang i psykiatrien
Side 11/53
Der er sket en stigning i anvendelsen af akut beroligende medicin med tvang det seneste
år, og niveauet ligger fortsat over baseline. Det totale antal fastholdelser er ligeledes ste-
get det seneste år, og anvendelsen af fastholdelser ligger fortsat væsentligt over base-
line.
Anvendelsen af tvangsmedicinering samt tvangsindlæggelser af voksne er faldet siden
2017, men niveauet er dog fortsat over baseline. Anvendelsen af tvangstilbageholdelser
blandt voksne er steget siden 2017, men ligger fortsat under baseline.
Der er sket et betydeligt fald i den samlede brug af tvang over for børn og unge siden
2015, herunder et fald i både tvangsindlæggelser og tvangstilbageholdelser.
Region Nordjylland
I Region Nordjylland er andelen af personer, der bæltefikseres, faldet det seneste år,
mens antallet af bæltefikseringer over 48 timer er steget
dog har regionen nået målsæt-
ningen om halvering ift. antal bæltefikseringer over 48 timer. Andelen af personer, der
bæltefikseres, er stadig langt fra at nå målsætningen for 2020. Der er ligeledes sket en
mindre stigning i anvendelsen af de længerevarende bæltefikseringer (8-24 timer, 24-48
timer og over 48 timer). Anvendelsen af remme er stort set uændret.
Den samlede brug af tvang over for voksne er fortsat over niveauet for baseline og er li-
geledes steget siden 2017.
Anvendelsen af akut beroligende medicin med tvang og fastholdelser er steget siden
2017 og ligger fortsat over baseline. Dog er det totale antal gange, der fastholdes, faldet
betydeligt.
Anvendelsen af tvangstilbageholdelser og tvangsindlæggelser blandt voksne er steget
siden 2017. Derudover er anvendelsen af tvangsmedicinering faldet det seneste år, men
niveauet er fortsat langt over baseline.
Den samlede anvendelse af tvang over for børn og unge er steget siden 2015, herunder
også en stigning i tvangstilbageholdelser og tvangsindlæggelser. Det seneste år er der
dog sket en reduktion i anvendelsen af tvangsindlæggelser og tvangstilbageholdelser
blandt børn og unge.
Region Sjælland
I Region Sjælland er der sket en stigning i anvendelsen af bæltefikseringer på alle para-
metre, dog undtaget de korte bæltefikseringer på 0-2 timer og andelen af personer, der
§71, Alm.del - 2019-20 - Endeligt svar på spørgsmål 7: Spm. om der ses en stigning i andre former for tvang i psykiatrien mens der er fokus på at nedbringe anvendelsen af bæltefiksering, til sundheds- og ældreministeren
Monitorering af tvang i psykiatrien
Side 12/53
bæltefikseres, som er uændret. Der er derudover sket en markant stigning i antal bælte-
fikseringstimer siden baseline og siden 2017. Der har også været en stigning i anvendel-
sen af remme.
Den samlede brug af tvang over for voksne er fortsat over niveauet for baseline og er li-
geledes steget siden 2017.
Der er sket en stigning i antallet og andelen af personer, der får akut beroligende medicin
med tvang siden 2017, mens der er sket et fald i det totale antal gange, der gives akut
beroligende medicin med tvang. Anvendelsen af akut beroligende medicin med tvang lig-
ger fortsat væsentligt over baseline. Anvendelsen af fastholdelser er faldet det seneste
år, men ligger fortsat over baseline.
Der har været en stigning i anvendelsen af tvangsmedicinering, tvangsindlæggelser og
tvangstilbageholdelser blandt voksne siden 2017. Anvendelsen af tvangsmedicinering,
tvangsindlæggelser og tvangstilbageholdelser er fortsat over baseline.
Den samlede anvendelse af tvang over for børn og unge er faldet siden 2015. Der ses et
mindre fald i tvangstilbageholdelser siden 2015, mens der ses en stigning i tvangsindlæg-
gelser.
Region Syddanmark
Der er i Region Syddanmark sket en stigning for samtlige indikatorer vedrørende bælte-
fiksering det seneste år, på nær de korte bæltefikseringer på 0-2 timer, hvor der er sket et
betydeligt fald. Der er kun sket en mindre stigning i antal bæltefikseringer over 48 timer,
men regionen har alligevel fortsat opnået målsætningen om halvering. Sundhedsstyrel-
sen finder det bekymrende, at der er sket en stigning det senest og det er vigtigt, at regio-
nen fastholder den gode udvikling fra tidligere.
Der er en stigning siden 2017 i det samlede antal og den samlede andel af voksne berørt
af tvang og antallet af voksne, der berøres af tvang, ligger nu over niveauet ved baseline.
Der er sket en stigning i anvendelsen af akut beroligende medicin med tvang siden base-
line og siden 2017 og niveauet er nu over baseline. Antal og andel personer, der fasthol-
des er faldet det seneste år, mens det totale antal gange der fastholdes, er steget.
Der er sket en stigning i anvendelsen af tvangsmedicinering, tvangsindlæggelser og
tvangstilbageholdelser siden baseline og siden 2017.
Udviklingen i den samlede anvendelse af tvang over for børn og unge er steget siden
2015, og der er ligeledes sket en stigning i anvendelsen af tvangsindlæggelser blandt
børn og unge. Anvendelsen af tvangstilbageholdelser er stagneret siden 2015.
§71, Alm.del - 2019-20 - Endeligt svar på spørgsmål 7: Spm. om der ses en stigning i andre former for tvang i psykiatrien mens der er fokus på at nedbringe anvendelsen af bæltefiksering, til sundheds- og ældreministeren
2102674_0015.png
Monitorering af tvang i psykiatrien
Side 13/53
4. Udviklingen i andel der bælte-
fikseres og antal bæltefikseringer
over 48 timer
4.1. Indikatorer med målsætning om halvering i 2020
I dette kapitel beskrives udviklingen i følgende to indikatorer, hvor der i partnerskabsafta-
len er tilknyttet en målsætning om halvering frem mod 2020.
Boks 1. Indikatorer
mål om halvering af anvendelsen af bæltefikseringer
Følgende to indikatorer indgår i målsætningen om at halvere brugen af bæltefikseringer
frem mod 2020:
Andelen af personer der bæltefikseres af antal indlagte
Totale antal bæltefikseringer over 48 timer
Herefter gennemgås udviklingen i anvendelsen af beroligende medicin med tvang, fast-
holdelse og personlig skærmning, da disse indikatorer har relation til anvendelsen af bæl-
tefiksering.
I gennemgangen af indikatorerne præsenteres først udviklingen på nationalt niveau og
derefter på regionalt niveau.
4.2. Andelen af personer, der bæltefikseres ud af antal indlagte
I tabel 1 ses, at andelen af personer, der har været bæltefikseret ud af antal indlagte, på
nationalt plan ligger under baseline og er faldet siden 2017.
Til sammenligning fremgår det af tabel 10 på side 33, at antallet af personer, der bælte-
fikseres, også ligger under baseline og er faldet siden 2017. Det samme gælder for det
totale antal påbegyndte bæltefikseringer.
§71, Alm.del - 2019-20 - Endeligt svar på spørgsmål 7: Spm. om der ses en stigning i andre former for tvang i psykiatrien mens der er fokus på at nedbringe anvendelsen af bæltefiksering, til sundheds- og ældreministeren
2102674_0016.png
Monitorering af tvang i psykiatrien
Side 14/53
Tabel 1. Andelen af personer, der bæltefikseres ud af antal indlagte i hele landet
Base-
line
INDIKATOR
1.01
Andelen af
personer der bæl-
tefikseres af antal
indlagte
(Andel i pct.)
Monitorering
Udvikling
Base-
line til
2018
2017
til
2018
Mile-
pæl
2020
2011-
2014 2015 2016 2017 2018
2013
7,7
7,0
5,9
6,3
5,4
5,1
-2,6
-0,3
3,9
Kilde: Register over anvendelse af tvang i psykiatrien 11. marts 2019 og Landspatientregisteret 10. marts 2019,
Sundhedsdatastyrelsen
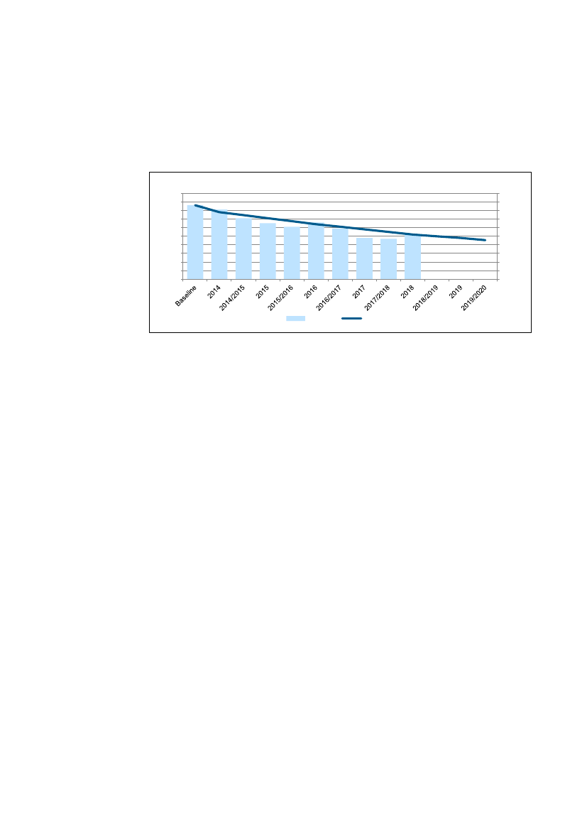
Figur 1 viser udviklingen i andelen af personer, der bæltefikseres ud af antal indlagte i
forhold til tendenslinjen. Heraf fremgår det, at udviklingen følger den rette tendens, men
at der er behov for mere konsekvent fald i tendensen, hvis målsætningen om halvering i
2020 skal nås.
Figur 1 Tendenslinje med andelen af personer der bæltefikseres ud af antal indlagte i hele landet
Pct.
Pct.
10
9
8
7
6
5
4
3
2
1
0
10
9
8
7
6
5
4
3
2
1
0
Andel
Milepæl
Kilde: Register over anvendelse af tvang i psykiatrien 11. marts 2019 og Landspatientregisteret 10. marts 2019,
Sundhedsdatastyrelsen
Tabel 2 viser udviklingen på regionalt niveau i andelen af personer, der bæltefikseres
2
.
Alle regioner med undtagelse af Region Sjælland og Region Syddanmark har siden 2017
opnået et fald i andelen af personer, der bæltefikseres. Region Nordjylland og Region
Sjælland er de regioner der fortsat ligger tættest ved baseline og som altså dermed kun i
2
Sundhedsstyrelsen er opmærksom på, at der i forhold til indberetning af bæltefiksering i somatikken kan være forskelle i regi-
streringspraksis mellem regionerne.
§71, Alm.del - 2019-20 - Endeligt svar på spørgsmål 7: Spm. om der ses en stigning i andre former for tvang i psykiatrien mens der er fokus på at nedbringe anvendelsen af bæltefiksering, til sundheds- og ældreministeren
2102674_0017.png
Monitorering af tvang i psykiatrien
Side 15/53
mindre grad har formået at nedbringe andelen af personer der bæltefikseres. For flere af
regionerne virker det ikke realistisk at de når målsætningen om halvering frem mod 2020.
Tabel 2. Andelen af personer, der bæltefikseres ud af antal indlagte fordelt på regioner
Base-
line
INDIKA-
REGION
TOR
Region
Hoved-
staden
Region
Midtjyl-
land
Region
Nordjyl-
land
Region
Sjælland
Region
Syddan-
mark
Monitorering
Udvikling
Base-
line
til
2018
-3,1
Mile-
pæl
2011-
2013
2014
2015
2016
2017
2018
2017
til
2018
-0,2
2020
1.01
Andelen
af perso-
ner der
bæltefik-
seres af
antal
indlagte
(Andel i
pct.)
6,8
6,1
4,8
5,0
3,9
3,7
3,4
9,2
8,0
7,8
9,0
8,7
6,8
-2,4
-1,9
4,6
7,6
6,7
6,0
6,4
6,6
6,1
-1,5
-0,5
3,8
6,6
6,6
5,8
5,8
5,2
5,2
-1,4
0,0
3,3
8,6
8,1
6,5
6,6
4,8
5,2
-3,4
0,4
4,3
Kilde: Register over anvendelse af tvang i psykiatrien 11. marts 2019 og Landspatientregisteret 10. marts 2019,
Sundhedsdatastyrelsen
I vurderingen af resultaterne vedrørende andelen af personer, der bæltefikseres, bør re-
gionernes indlæggelsestal tages i betragtning, jf.
tabel 3.
For eksempel kan en stigning i
antallet af indlæggelser medføre et fald i andelen af bæltefikseringer per indlagte. De en-
kelte regioners indlæggelsestal har dog ligget relativt stabilt i monitoreringsperioden.
§71, Alm.del - 2019-20 - Endeligt svar på spørgsmål 7: Spm. om der ses en stigning i andre former for tvang i psykiatrien mens der er fokus på at nedbringe anvendelsen af bæltefiksering, til sundheds- og ældreministeren
2102674_0018.png
Monitorering af tvang i psykiatrien
Side 16/53
Tabel 3. Antal indlagte i perioden 2011-2017 fordelt på regioner
3
INDIKA-
TOR
2011
REGION
Hele lan-
det
Hele
året
2012
Hele
året
2013
Hele
året
27.108
10.682
2014
Hele
året
2015
Hele
året
2016
Hele
året
26.184
10.145
2017
Hele
året
26.508
10.022
2018
Hele
året
27.094
9.959
25.824 26.730
27.198 26.824
10.545 10.482
Antal
indlagte
Region
10.403 10.604
Hovedsta-
den
Region
4.352
5.093
Midtjyl-
land
Region
2.239
2.311
Nordjyl-
land
Region
Sjælland
3.743
3.678
5.162
5.254
5.127
5.054
5.033
5.123
2.377
3.830
2.349
3.755
2.160
3.678
2.135
3.661
5.770
2.190
3.846
6.044
2.281
3.907
6.510
Region
5.578
5.533
5.565
5.823
5.932
Syddan-
mark
Kilde: Landspatientregisteret 10. marts 2019, Sundhedsdatastyrelsen
I figur 2-6 er den regionale udvikling i andelen af personer, der bæltefikseres, illustreret i
forhold til tendenslinjen, som illustrerer hvorvidt regionen følger tendensen ift. at nå mål-
sætningen om halvering for 2020. Det fremgår, at Region Midtjylland, Region Nordjylland
og Region Sjælland ligger over tendenslinjen, mens Region Hovedstaden ligger lige un-
der tendenslinjen og Region Syddanmark ligger lige ved tendenslinjen.
3
Opgørelsen af antal indlagte er baseret på antal unikke personer berørt af indlæggelse. Da en person kan være indlagt på hos-
pitaler i mere end én region, tæller disse indlæggelser med i de regionale opgørelser, men kun én gang for hele landet.
§71, Alm.del - 2019-20 - Endeligt svar på spørgsmål 7: Spm. om der ses en stigning i andre former for tvang i psykiatrien mens der er fokus på at nedbringe anvendelsen af bæltefiksering, til sundheds- og ældreministeren
2102674_0019.png
Monitorering af tvang i psykiatrien
Side 17/53
Figur 2 Tendenslinje med andelen af personer der bæltefikseres ud af antal indlagte i Region Hovedstaden
Pct.
Pct.
10
9
8
7
6
5
4
3
2
1
0
10
9
8
7
6
5
4
3
2
1
0
Andel
Milepæl
Kilde: Register over anvendelse af tvang i psykiatrien 11. marts 2019 og Landspatientregisteret 10. marts 2019,
Sundhedsdatastyrelsen
Figur 3 Tendenslinje med andelen af personer der bæltefikseres ud af antal indlagte i Region Midtjylland
Pct.
Pct.
10
9
8
7
6
5
4
3
2
1
0
10
9
8
7
6
5
4
3
2
1
0
Andel
Milepæl
Kilde: Register over anvendelse af tvang i psykiatrien 11. marts 2019 og Landspatientregisteret 10. marts 2019,
Sundhedsdatastyrelsen
§71, Alm.del - 2019-20 - Endeligt svar på spørgsmål 7: Spm. om der ses en stigning i andre former for tvang i psykiatrien mens der er fokus på at nedbringe anvendelsen af bæltefiksering, til sundheds- og ældreministeren
2102674_0020.png
Monitorering af tvang i psykiatrien
Side 18/53
Figur 4 Tendenslinje med andelen af personer der bæltefikseres ud af antal indlagte i Region Nordjylland
Pct.
Pct.
10
9
8
7
6
5
4
3
2
1
0
10
9
8
7
6
5
4
3
2
1
0
Andel
Milepæl
Kilde: Register over anvendelse af tvang i psykiatrien 11. marts 2019 og Landspatientregisteret 10. marts 2019,
Sundhedsdatastyrelsen
Figur 5 Tendenslinje med andelen af personer der bæltefikseres ud af antal indlagte i Region Sjælland
Pct.
Pct.
10
9
8
7
6
5
4
3
2
1
0
10
9
8
7
6
5
4
3
2
1
0
Andel
Milepæl
Kilde: Register over anvendelse af tvang i psykiatrien 11. marts 2019 og Landspatientregisteret 10. marts 2019,
Sundhedsdatastyrelsen
§71, Alm.del - 2019-20 - Endeligt svar på spørgsmål 7: Spm. om der ses en stigning i andre former for tvang i psykiatrien mens der er fokus på at nedbringe anvendelsen af bæltefiksering, til sundheds- og ældreministeren
2102674_0021.png
Monitorering af tvang i psykiatrien
Side 19/53
Figur 6 Tendenslinje med andelen af personer der bæltefikseres ud af antal indlagte i Region Syddanmark
Pct.
Pct.
10
9
8
7
6
5
4
3
2
1
0
10
9
8
7
6
5
4
3
2
1
0
Andel
Milepæl
Kilde: Register over anvendelse af tvang i psykiatrien 11. marts 2019 og Landspatientregisteret 10. marts 2019,
Sundhedsdatastyrelsen
Det har på møde i Task Force for Psykiatriområdet være drøftet, om andelen af perso-
ner, der bæltefikseres, giver et retvisende billede af udviklingen i brug af bæltefiksering.
Det skyldes, at udviklingen med omlægning af stationære sengepladser til ambulant be-
handling kan medføre, at andelen øges, selvom antallet af personer, der bæltefikseres,
ikke stiger. Efter ønske fra Task Force har Sundhedsstyrelsen derfor suppleret kommen-
teringen med figur 7, der viser antal personer, der bæltefikseres pr. 100.000 borgere.
§71, Alm.del - 2019-20 - Endeligt svar på spørgsmål 7: Spm. om der ses en stigning i andre former for tvang i psykiatrien mens der er fokus på at nedbringe anvendelsen af bæltefiksering, til sundheds- og ældreministeren
2102674_0022.png
Monitorering af tvang i psykiatrien
Side 20/53
Figur 7. Antal personer, der bæltefikseres pr. 100.000 borgere
Antal borgere der bæltefikseres per 100.000 borgere
45
40
35
30
25
20
15
10
5
0
2014
2015
2016
Region Midtjylland
Region Sjælland
2017
2018
Region Nordjylland
Region Hovedstaden
Region Syddanmark
Nationalt
Kilde: Figuren er udarbejdet på baggrund af data fra Register over anvendelse af tvang i psykiatrien pr. 11.
marts 2019, Landspatientregisteret pr. 10. marts 2019, Sundhedsdatastyrelsen
Det fremgår af figur 7, at antallet af personer, der bæltefikseres per 100.000 borgere, på
nationalt niveau er faldet fra 2014 til 2018.
For samtlige regioner, er antallet af personer, der bæltefikseres per 100.000 borgere fal-
det fra 2014-2018. Samtlige regioner har haft et fald i antallet fra 2014-2015, mens udvik-
lingen for de fleste regioner er stagneret siden 2015, på nær Region Hovedstaden, hvor
der er sket et synligt fald fra 2015-2018. I Region Midtjylland er der derudover sket et fald
det seneste år.
4.3. Antal bæltefikseringer over 48 timer
Af tabel 4 fremgår det, at der siden 2017 på nationalt niveau stort set ikke er sket nogen
ændring i det samlede antal bæltefikseringer med en varighed over 48 timer. Det natio-
nale niveau for anvendelse af bæltefikseringer over 48 timer er dog fortsat mindre end
ved baseline.
I den forbindelse kan det nævnes, at den samlede sum af bæltefikseringstimer over 48
timers varighed er faldet siden 2017 og ligger derfor også fortsat under baseline (se tabel
12 på side 35).
§71, Alm.del - 2019-20 - Endeligt svar på spørgsmål 7: Spm. om der ses en stigning i andre former for tvang i psykiatrien mens der er fokus på at nedbringe anvendelsen af bæltefiksering, til sundheds- og ældreministeren
2102674_0023.png
Monitorering af tvang i psykiatrien
Side 21/53
Tabel 4. Total antal bæltefikseringer over 48 timer i hele landet
Base-
line
INDIKATOR
1.11
Total antal
bæltefikseringer
over 48 timer
(Antal påbe-
gyndt)
Monitorering
Udvikling
2017
til
2018
1,0
Mile-
pæl
2020
2011-
2013
Baseline
2014 2015 2016 2017 2018
til 2018
777
809
551
512
450
451
-326,0
389
Kilde: Register over anvendelse af tvang i psykiatrien 11. marts 2019, Sundhedsdatastyrelsen
Den nationale udvikling i det samlede antal bæltefikseringer over 48 timer er vist i figur 8 i
forhold til tendenslinjen med en 10 pct. årlig reduktion. Heraf fremgår det, at udviklingen
følger den rette tendens.
Figur 8 Tendenslinje med det totale antal bæltefikseringer over 48 timer i hele landet
Antal
Antal
900
800
700
600
500
400
300
200
100
0
900
800
700
600
500
400
300
200
100
0
Antal
Milepæl
Kilde: Register over anvendelse af tvang i psykiatrien 11. marts 2019, Sundhedsdatastyrelsen
I tabel 5 ses den regionale udvikling i antal bæltefikseringer med en varighed over 48 ti-
mer. Region Hovedstaden har det seneste år oplevet et fald i antallet af bæltefikseringer
over 48 timer, og Region Midtjylland har oplevet et betydeligt fald. Region Syddanmark,
Region Nordjylland og Region Sjælland har haft en stigning i det totale antal bæltefikse-
ringer over 48 timer siden 2017. I alle andre regioner end Region Sjælland er antallet
mindre end ved baseline - Region Syddanmark og Region Midtjylland har allerede op-
nået målet om 50 pct. reduktion siden baseline, mens Region Nordjylland har nået målet
i 2018.
§71, Alm.del - 2019-20 - Endeligt svar på spørgsmål 7: Spm. om der ses en stigning i andre former for tvang i psykiatrien mens der er fokus på at nedbringe anvendelsen af bæltefiksering, til sundheds- og ældreministeren
2102674_0024.png
Monitorering af tvang i psykiatrien
Side 22/53
Tabel 5. Total antal bæltefikseringer over 48 timer fordelt på regioner
Base-
line
INDIKA-
TOR
1.11
Total
antal bæl-
tefikserin-
ger over 48
timer
(Antal på-
begyndt)
Milepæl
2020: Re-
duceres
med 50
pct.
Monitorering
Udvikling
2017
til
2018
-6,0
Milepæl
REGION
Region
Hoved-
staden
Region
Midtjyl-
land
Region
Nordjyl-
land
Region
Sjælland
Region
Syddan-
mark
2011-
Baseline
2014 2015 2016 2017 2018
2013
til 2018
196
230
140
164
126
120
-76,0
2020
98
177
150
137
139
125
90
-87,0
-35,0
88
66
55
64
30
20
33
-33,0
13,0
33
80
95
78
70
68
96
16,0
28,0
40
258
279
132
109
111
112
-146,0
1,0
129
Kilde: Register over anvendelse af tvang i psykiatrien 11. marts 2019, Sundhedsdatastyrelsen
I figur 9-13 er den regionale udvikling i det samlede antal bæltefikseringer over 48 timer
illustreret i forhold til tendenslinjen for målsætningen om halvering. Der ses en positiv ten-
dens for alle regioner bortset fra Region Sjælland, der ligger langt over tendenslinjen. Re-
gion Syddanmark ligger allerede langt under tendenslinjen.
Figur 9 Tendenslinje med det totale antal bæltefikseringer over 48 timer i Region Hovedstaden
Antal
Antal
250
200
150
100
50
0
250
200
150
100
50
0
Antal
Milepæl
Kilde: Register over anvendelse af tvang i psykiatrien 11. marts 2019, Sundhedsdatastyrelsen
§71, Alm.del - 2019-20 - Endeligt svar på spørgsmål 7: Spm. om der ses en stigning i andre former for tvang i psykiatrien mens der er fokus på at nedbringe anvendelsen af bæltefiksering, til sundheds- og ældreministeren
2102674_0025.png
Monitorering af tvang i psykiatrien
Side 23/53
Figur 10 Tendenslinje med det totale antal bæltefikseringer over 48 timer i Region Midtjylland
Antal
Antal
200
180
160
140
120
100
80
60
40
20
0
200
180
160
140
120
100
80
60
40
20
0
Antal
Milepæl
Kilde: Register over anvendelse af tvang i psykiatrien 11. marts 2019, Sundhedsdatastyrelsen
Figur 11 Tendenslinje med det totale antal bæltefikseringer over 48 timer i Region Nordjylland
Antal
Antal
70
60
50
40
30
20
10
0
70
60
50
40
30
20
10
0
Antal
Milepæl
Kilde: Register over anvendelse af tvang i psykiatrien 11. marts 2019, Sundhedsdatastyrelsen
§71, Alm.del - 2019-20 - Endeligt svar på spørgsmål 7: Spm. om der ses en stigning i andre former for tvang i psykiatrien mens der er fokus på at nedbringe anvendelsen af bæltefiksering, til sundheds- og ældreministeren
2102674_0026.png
Monitorering af tvang i psykiatrien
Side 24/53
Figur 12 Tendenslinje med det totale antal bæltefikseringer over 48 timer i Region Sjælland
Antal
Antal
120
100
80
60
40
20
0
120
100
80
60
40
20
0
Antal
Milepæl
Kilde: Register over anvendelse af tvang i psykiatrien 11. marts 2019, Sundhedsdatastyrelsen
Figur 13 Tendenslinje med det totale antal bæltefikseringer over 48 timer i Region Syddanmark
Antal
Antal
300
250
200
150
100
50
0
300
250
200
150
100
50
0
Antal
Milepæl
Kilde: Register over anvendelse af tvang i psykiatrien 11. marts 2019, Sundhedsdatastyrelsen
4.4. Øvrige indikatorer med relevans for bæltefikseringer
Et fokus på nedbringelse af én type af tvang kan resultere i stigninger i visse andre typer
af tvang. Fokus på nedbringelse af antallet af bæltefikseringer kan for eksempel medvirke
til, at der sker en stigning i anvendelse af andre tvangsforanstaltninger såsom fasthol-
delse. Denne udvikling i brugen af andre tvangsformer betragtes efter princippet om
mindste middel som hensigtsmæssig, når én type tvang erstattes af en mindre indgri-
bende type tvang. Men der kan også ske en uhensigtsmæssig substitution mellem
§71, Alm.del - 2019-20 - Endeligt svar på spørgsmål 7: Spm. om der ses en stigning i andre former for tvang i psykiatrien mens der er fokus på at nedbringe anvendelsen af bæltefiksering, til sundheds- og ældreministeren
Monitorering af tvang i psykiatrien
Side 25/53
tvangsforanstaltninger, hvis for eksempel bæltefikseringer erstattes af langvarige fasthol-
delser eller øget brug af blandt andet akut beroligende medicin med tvang. Der ses dog
flere eksempler i regionerne på, at afdelinger formår at nedbringe brugen af bæltefikse-
ringer samtidig med at andre tvangsformer nedbringes.
For at holde øje med, om målsætningen om nedbringelse af for eksempel bæltefikserin-
ger fører til stigninger i andre tvangstyper, monitoreres udviklingen i en lang række
tvangsforanstaltninger. Nogle af disse har tilknyttede målsætninger om reduktion i forhold
til baseline, og nogle har ikke, men følges. I vurderingen af resultaterne skal det under-
streges, at det på baggrund af patientens forhåndstilkendegivelse altid vil være en vurde-
ring i det konkrete tilfælde, hvilken tvangsforanstaltning, der er mindst indgribende.
I de næste tre afsnit gennemgås udviklingen i anvendelsen af beroligende medicin med
tvang, fastholdelse samt personlig skærmning.
4.4.1. Anvendelse af akut beroligende medicin med tvang
I tabel 6 ses udviklingen i brugen af akut beroligende medicin med tvang på både natio-
nalt og regionalt niveau.
I alle regioner er antallet af personer, der får akut beroligende medicin med tvang, stadig
større end ved baseline og er også steget siden 2017 med undtagelse af Region Hoved-
staden, som har opnået et fald det seneste år og nu ligger under niveauet for baseline.
På nationalt plan er det samlede antal gange, der gives akut beroligende medicin med
tvang, steget siden baseline, og der er sket en væsentlig stigning siden 2017 Der er sket
en stigning i alle regioner på nær Region Sjælland det seneste år
særligt i Region
Midtjylland. Alle regioner ligger fortsat væsentligt over baseline.
4
Andelen af personer, der får akut beroligende medicin med tvang er ligeledes steget si-
den 2017 på nær i Region Hovedstaden og Region Midtjylland, hvor der har været et
mindre fald i anvendelsen. Andelen er fortsat større end ved baseline i alle regioner på
nær Region Syddanmark.
Udviklingen henimod at flere personer får akut beroligende medicin med tvang, finder
Sundhedsstyrelsen meget bekymrende.
4
Anvendelsen af akut beroligende medicin og bæltefikseringer kan i flere tilfælde følges ad eksempelvis i behandling af svært
selvskadende patienter.
§71, Alm.del - 2019-20 - Endeligt svar på spørgsmål 7: Spm. om der ses en stigning i andre former for tvang i psykiatrien mens der er fokus på at nedbringe anvendelsen af bæltefiksering, til sundheds- og ældreministeren
2102674_0028.png
Monitorering af tvang i psykiatrien
Side 26/53
Tabel 6. Akut beroligende medicin med tvang i antal og andele i hele landet og fordelt på regioner
Base-
line
INDIKATOR
3.01
Antal perso-
ner der får akut
beroligende me-
dicin med tvang
(Antal berørt)
Milepæl 2020:
Området følges
Monitorering
Udvikling
2017
til
2018
74
REGION
Hele lan-
det
Region
Hoved-
staden
Region
Midtjyl-
land
Region
Nordjyl-
land
Region
Sjælland
Region
Syddan-
mark
Base-
2011-
2014 2015 2016 2017 2018 line til
2013
2018
2.043
2.130 2.054 2.076 2.160 2.234
191
914
944
905
882
916
897
-17
-19
401
380
388
434
444
446
45
2
132
107
114
123
138
157
25
19
234
263
264
278
320
330
96
10
384
462
412
404
380
450
66
70
3.02
Total antal
gange der gives
beroligende me-
dicin med tvang
(Antal påbe-
gyndt)
Milepæl 2020:
Området følges
Hele lan-
det
Region
Hoved-
staden
Region
Midtjyl-
land
Region
Nordjyl-
land
Region
Sjælland
Region
Syddan-
mark
7.133
7.986 8.118 7.856 8.364 9.241
2.108
877
3.317
3.898 3.808 3.185 3.487 3.590
273
103
1.507
1.191 1.608 1.691 1.681 2.359
852
678
418
271
359
505
421
483
65
62
685
1.101
753
890
1.266 1.218
533
-48
1.206
1.525 1.590 1.585 1.509 1.591
385
82
3.03
Andelen af
personer der får
Hele lan-
det
7,7
7,8
7,7
7,9
8,1
8,2
0,5
0,1
§71, Alm.del - 2019-20 - Endeligt svar på spørgsmål 7: Spm. om der ses en stigning i andre former for tvang i psykiatrien mens der er fokus på at nedbringe anvendelsen af bæltefiksering, til sundheds- og ældreministeren
2102674_0029.png
Monitorering af tvang i psykiatrien
Side 27/53
akut beroligende
medicin af antal
indlagte
(Andel i pct.)
Milepæl 2020:
Området følges
Region
Hoved-
staden
Region
Midtjyl-
land
Region
Nordjyl-
land
Region
Sjælland
Region
Syddan-
mark
8,7
9,0
8,6
8,7
9,1
9,0
0,3
-0,1
8,3
7,2
7,6
8,6
8,8
8,7
0,4
-0,1
5,7
4,6
5,3
5,8
6,3
6,9
1,2
0,6
6,3
7,0
7,2
7,6
8,3
8,4
2,1
0,1
6,9
7,9
6,9
7,0
6,3
6,9
0,0
0,6
Kilde: Register over anvendelse af tvang i psykiatrien 11. marts 2019 og Landspatientregisteret 10. marts 2019,
Sundhedsdatastyrelsen
4.4.2. Anvendelse af fastholdelser
Udviklingen i anvendelsen af fastholdelser fremgår af tabel 7. På nationalt plan er antallet
af personer, der har været fastholdt, faldet siden 2017, men antallet er fortsat væsentligt
større end ved baseline. I forhold til det totale antal gange, der fastholdes, er antallet på
nationalt plan også faldet siden 2017, men er fortsat væsentligt højere end ved baseline.
Alle regioner på nær Region Nordjylland har siden 2017 opnået et fald i antallet af perso-
ner, der fastholdes. Antallet er i alle regioner fortsat væsentligt større end ved baseline.
I forhold til antal gange, der fastholdes, har Region Nordjylland og Region Sjælland haft
et betydeligt fald siden 2016, mens de øvrige regioner har haft en stigning. I alle regioner
er antallet fortsat væsentligt større end ved baseline.
§71, Alm.del - 2019-20 - Endeligt svar på spørgsmål 7: Spm. om der ses en stigning i andre former for tvang i psykiatrien mens der er fokus på at nedbringe anvendelsen af bæltefiksering, til sundheds- og ældreministeren
2102674_0030.png
Monitorering af tvang i psykiatrien
Side 28/53
Tabel 7. Fastholdelser i antal i hele landet og fordelt på regioner
Base-
line
INDIKATOR
4.01
Antal per-
soner der fast-
holdes
(Antal berørt)
Milepæl 2020:
Området følges
Monitorering
Udvikling
2017
til
2018
-40
-12
REGION
Hele landet
Region Ho-
vedstaden
Region
Midtjylland
Region
Nordjylland
Region
Sjælland
Region
Syddan-
mark
2011-
2013
927
378
Baseline
2014 2015 2016 2017 2018
til 2018
1.047 1.092 1.091 1.161 1.121
456
487
478
477
465
194
87
195
209
231
219
223
219
24
-4
129
148
153
148
169
179
50
10
153
162
146
150
202
180
27
-22
83
83
92
121
104
92
9
-12
4.02
Total antal Hele landet
gange der fast-
holdes
Region Ho-
(Antal påbe-
vedstaden
gyndt)
Milepæl 2020:
Området følges
Region
Midtjylland
Region
Nordjylland
Region
Sjælland
Region
Syddan-
mark
2.822
1.169
3.726 4.263 3.719 4.244 3.835
1.727 2.230 1.699 1.534 1.647
1.013
478
-409
113
573
544
787
651
683
770
197
87
483
577
657
565
859
596
113
-263
402
613
349
474
920
478
76
-442
196
265
240
330
248
344
148
96
Kilde: Register over anvendelse af tvang i psykiatrien 11. marts 2019, Sundhedsdatastyrelsen
Det fremgår af tabel 8, at andelen af personer, der fastholdes ud af det samlede antal
indlagte, er faldet nationalt. Andelen er det seneste år faldet i alle andre regioner end Re-
gion Nordjylland. Andelen er i alle regioner fortsat større end ved baseline bortset fra i
Region Syddanmark, hvor der ikke er sket et lille fald siden baseline.
§71, Alm.del - 2019-20 - Endeligt svar på spørgsmål 7: Spm. om der ses en stigning i andre former for tvang i psykiatrien mens der er fokus på at nedbringe anvendelsen af bæltefiksering, til sundheds- og ældreministeren
2102674_0031.png
Monitorering af tvang i psykiatrien
Side 29/53
Tabel 8. Fastholdelser i andele i hele landet og fordelt på regioner
Base-
line
Monitorering
Base-
line til
2018
0,6
Udvik-
ling
2017 til
2018
-0,3
REGION 2011- 2014 2015 2016 2017
2013
4.03
An-
delen af
personer
der fast-
holdes af
antal ind-
lagte
(Andel i
pct.)
Milepæl
2020: Om-
rådet føl-
ges
Hele
landet
Region
Hoved-
staden
Region
Midtjyl-
land
Region
Nordjyl-
land
Region
Sjælland
Region
Syddan-
mark
3,5
3,8
4,1
4,2
4,4
2018
4,1
3,5
4,3
4,6
4,7
4,8
4,7
1,2
-0,1
4,1
4,0
4,5
4,3
4,4
4,3
0,2
-0,1
5,6
6,3
7,1
6,9
7,7
7,8
2,2
0,1
4,1
4,3
4,0
4,1
5,2
4,6
0,5
-0,6
1,5
1,4
1,6
2,1
1,7
1,4
-0,1
-0,3
Kilde: Register over anvendelse af tvang i psykiatrien 11. marts 2019 og Landspatientregisteret 10. marts 2019,
Sundhedsdatastyrelsen
4.4.3. Anvendelse af personlig skærmning
I tabel 9 ses udviklingen i anvendelsen af personlig skærmning over 24 timer. Her frem-
går det, at der på nationalt plan siden 2017 er sket et betydeligt fald i antallet af personer
og i det totale antal gange, der skærmes, mens andelen af personer, der skærmes, er
uændret siden 2017. På nationalt plan er niveauet på alle tre indikatorer vedrørende per-
sonlig skærmning mindre end ved baseline bortset fra i Region Hovedstaden, hvor ande-
len af personer der skærmes er uændret i forhold til baseline.
På regionalt plan har Region Sjælland det seneste år haft et betydeligt fald i antal perso-
ner og gange, der skærmes, og niveauet ligger derfor nu under baseline. Region Hoved-
staden og Region Midtjylland har haft et mindre fald i både antallet af gange og antal per-
soner, der skærmes, siden 2017. Andelen af personer, der skærmes, er stort set uæn-
dret i samtlige regioner de seneste år og ligger fortsat under baseline for samtlige regio-
ner, bortset fra Region Hovedstaden som ligger på det samme niveau som ved baseline.
I vurderingen af data bør der tages forbehold for, at det både på nationalt og regionalt
plan er meget få personer og gange, der skærmes. I Region Nordjylland er der under 5
personer, der er blevet skærmet det seneste år og i Region Syddanmark er der slet ikke
nogen, som er blevet skærmet det seneste år.
§71, Alm.del - 2019-20 - Endeligt svar på spørgsmål 7: Spm. om der ses en stigning i andre former for tvang i psykiatrien mens der er fokus på at nedbringe anvendelsen af bæltefiksering, til sundheds- og ældreministeren
2102674_0032.png
Monitorering af tvang i psykiatrien
Side 30/53
Tabel 9 Personlig afskærmning over 24 timer i antal og andel i hele landet og fordelt på regioner
Base-
line
INDIKATOR
5.01
Antal perso-
ner der skærmes
(Antal berørt)
Milepæl 2020:
Området følges
Monitorering
Udvikling
Base-
line til
2018
-37
REGION
Hele lan-
det
Region
Hovedsta-
den
Region
Midtjyl-
land
Region
Nordjyl-
land
Region
Sjælland
Region
Syddan-
mark
2011-
2014 2015 2016
2017
2018
2013
79
74
59
60
55
42
2017
til
2018
-13
21
33
19
21
22
16
-5
-6
22
13
15
17
12
12
-10
0
5
-
<5
<5
<5
<5
-
-
17
24
18
14
17
8
-9
-9
14
<5
5
5
<5
<5
-
-
5.02
Total antal
gange der skær-
mes
(Antal påbegyndt)
Milepæl 2020:
Området følges
Hele lan-
det
Region
Hovedsta-
den
Region
Midtjyl-
land
Region
Nordjyl-
land
Region
Sjælland
Region
Syddan-
mark
88
92
64
60
77
47
-41
-30
27
45
20
21
27
18
-9
-9
25
14
18
18
15
13
-12
-2
<5
-
<5
<5
<5
<5
-
-
17
29
19
12
30
10
-7
-20
15
<5
5
6
<5
<5
-
-
5.03
Andelen af
personer der
skærmes af antal
indlagte
(Andel i pct.)
Milepæl 2020:
Området følges
Hele lan-
det
Region
Hovedsta-
den
Region
Midtjyl-
land
0,3
0,2
0,3
0,3
0,2
0,2
0,2
0,2
0,2
0,2
0,2
0,2
-0,1
0,0
0,0
0,0
0,5
0,2
0,3
0,3
0,2
0,2
-0,3
0,0
§71, Alm.del - 2019-20 - Endeligt svar på spørgsmål 7: Spm. om der ses en stigning i andre former for tvang i psykiatrien mens der er fokus på at nedbringe anvendelsen af bæltefiksering, til sundheds- og ældreministeren
2102674_0033.png
Monitorering af tvang i psykiatrien
Side 31/53
Region
Nordjyl-
land
Region
Sjælland
0,2
-
0,1
0,1
0,0
0,1
-0,1
0,1
0,4
0,6
0,5
0,4
0,4
0,2
-0,2
-0,2
Region
0,3
0,1
0,1
0,1
0,0
0,0
-0,3
0,0
Syddan-
mark
Kilde: Register over anvendelse af tvang i psykiatrien 11. marts 2019 og Landspatientregisteret 10. marts 2019,
Sundhedsdatastyrelsen
§71, Alm.del - 2019-20 - Endeligt svar på spørgsmål 7: Spm. om der ses en stigning i andre former for tvang i psykiatrien mens der er fokus på at nedbringe anvendelsen af bæltefiksering, til sundheds- og ældreministeren
Monitorering af tvang i psykiatrien
Side 32/53
5. Udviklingen i varighed af bælte-
fikseringer og i personer udsat for
tvangsforanstaltninger
5.1. Indikatorer med målsætning om reduktion i 2020
Det foregående kapitel omhandlede udviklingen i de indikatorer for tvang, hvor der er til-
knyttet en målsætning om en halvering i 2020. I dette kapitel kommenteres udviklingen i
de indikatorer for tvang, hvor der er aftalt en målsætning om reduktion i 2020. Det drejer
sig om følgende indikatorer:
Antal og varighed af bæltefikseringer:
Antal personer der bæltefikseres
Total antal bæltefikseringer
Total antal bæltefikseringer 0-2 timer
Total antal bæltefikseringer 2-8 timer
Total antal bæltefikseringer 8-24 timer
Total antal bæltefikseringer 24-48 timer
Sum af bæltefikseringstimer over 48 timers varighed
Antal personer hvor der bruges remme
Andel af personer hvor der bruges remme af antal indlagte
Personer udsat for én eller flere tvangsforanstaltninger:
Antal voksne berørt af en eller flere tvangsforanstaltninger
Andel af voksne berørt af en eller flere tvangsforanstaltninger i forhold til antal ind-
lagte
Antal af børn og unge under 18 berørt af en eller flere tvangsforanstaltninger
Andel af børn berørt af en eller flere tvangsforanstaltninger i forhold til antal ind-
lagte
I afsnit 5.4 kommenteres udviklingen i anvendelsen af tvangsmedicinering og tvangsind-
læggelse og -tilbageholdelse. Her er der ikke tilknyttet en målsætning om reduktion, men
Sundhedsstyrelsen følger området.
Indikatorerne præsenteres først på nationalt niveau og derefter på regionalt niveau.
§71, Alm.del - 2019-20 - Endeligt svar på spørgsmål 7: Spm. om der ses en stigning i andre former for tvang i psykiatrien mens der er fokus på at nedbringe anvendelsen af bæltefiksering, til sundheds- og ældreministeren
2102674_0035.png
Monitorering af tvang i psykiatrien
Side 33/53
5.2. Anvendelse og varighed af bæltefikseringer
Den nationale udvikling i antallet af personer, der bæltefikseres, fremgår af tabel 10. An-
tallet er faldet det seneste år og der har siden 2017 været et betydeligt fald i det totale an-
tal bæltefikseringer. Både antal personer og det totale antal gange, der bæltefikseres, lig-
ger nu langt under baseline.
Tabel 10. Antal personer, der bæltefikseres og det totale antal bæltefikseringer i hele landet
Baseline
INDIKATOR
1.02
Antal personer
der bæltefikseres
(Antal berørt)
1.03
Total antal
bæltefikseringer
(Antal påbegyndt)
Monitorering
2014 2015 2016 2017 2018
1.907 1.595 1.654 1.435 1.374
Udvikling
Baseline
til 2018
-661
2011-
2013
2.035
2017 til
2018
-61
5.681
5.192 5.061 5.044 4.298 3.692
-1.989
-606
Kilde: Register over anvendelse af tvang i psykiatrien 11. marts 2019, Sundhedsdatastyrelsen
Den regionale udvikling i bæltefikseringer er vist i tabel 11. Her fremgår det, at alle regio-
ner ud over Region Sjælland og Region Syddanmark siden 2017 har opnået et fald i an-
tal personer, der bæltefikseres. Region Hovedstaden har som den eneste region et jævnt
fald siden baseline, som fortsætter i 2018. Region Sjælland og Region Syddanmark har
siden 2017 haft en stigning i antallet. Antallet af personer, der bæltefikseres er i alle regi-
oner lavere end ved baseline.
§71, Alm.del - 2019-20 - Endeligt svar på spørgsmål 7: Spm. om der ses en stigning i andre former for tvang i psykiatrien mens der er fokus på at nedbringe anvendelsen af bæltefiksering, til sundheds- og ældreministeren
2102674_0036.png
Monitorering af tvang i psykiatrien
Side 34/53
Tabel 11. Antal personer, der bæltefikseres og det totale antal bæltefikseringer fordelt på regioner
Base-
line
INDIKA-
TOR
1.02
Antal
personer
der bælte-
fikseres
(Antal be-
rørt)
Monitorering
Udvikling
Base-
line til
2018
-346
RE-
GION
Region
Hoved-
staden
Region
Midtjyl-
land
Region
Nordjyl-
land
Region
Sjæl-
land
Region
Syddan-
mark
Region
Hoved-
staden
Region
Midtjyl-
land
Region
Nordjyl-
land
Region
Sjæl-
land
Region
Syddan-
mark
2011-
2014 2015 2016 2017
2013
716
639
504
510
396
2018
2017 til
2018
-26
370
449
419
398
455
437
349
-100
-88
174
158
130
137
145
139
-35
-6
248
249
215
213
201
205
-43
4
477
473
383
379
290
338
-139
48
1.770
1.663
1.256
987
827
748
-1.022
-79
1.632
1.222
1.708 2.085 1.804
1.131
-501
-673
1.03
Total
antal bæl-
tefikserin-
ger
(Antal på-
begyndt)
593
387
638
526
388
397
-196
9
579
817
490
431
476
531
-48
55
1.107
1.103
969
1.015
803
885
-222
82
Kilde: Register over anvendelse af tvang i psykiatrien 11. marts 2019, Sundhedsdatastyrelsen
I forhold til det totale antal bæltefikseringer fremgår det, at Region Hovedstaden og Re-
gion Midtjylland har opnået betydelige fald i antal bæltefikseringer siden 2017. I Region
Syddanmark, Region Sjælland og Region Nordjylland er der sket en stigning det seneste
år. I alle regioner er det totale antal bæltefikseringer nu under baseline.
§71, Alm.del - 2019-20 - Endeligt svar på spørgsmål 7: Spm. om der ses en stigning i andre former for tvang i psykiatrien mens der er fokus på at nedbringe anvendelsen af bæltefiksering, til sundheds- og ældreministeren
2102674_0037.png
Monitorering af tvang i psykiatrien
Side 35/53
Det fremgår af tabel 12, at antallet af kortere bæltefikseringer (0-2 timer og 2-8 timer)
samt antallet af mellemlange og lange bæltefikseringer (8-24 timer, 24-48 timer og over
48 timer) og på nationalt niveau er faldet siden baseline. Ligeledes er summen af bælte-
fikseringstimer på over 48 timer faldet nationalt siden baseline og siden 2017. Dog er det
totale antal bæltefikseringer over 48 timer stagneret siden 2017, og der ses en stigning
nationalt i forhold til bæltefikseringer på 24-48 timer.
Tabel 12. Bæltefikseringer fordelt på varighed i hele landet
Baseline
INDIKATOR
2011-
2013
2014
Monitorering
2015
2016
2017
Udvikling
Baseline
2018
til 2018
2017
til
2018
-167
1.07
Total antal
bæltefikseringer 0-2
timer
(Antal påbegyndt)
1.08
Total antal
bæltefikseringer 2-8
timer
(Antal påbegyndt)
1.09
Total antal
bæltefikseringer 8-
24 timer
(Antal påbegyndt)
1.10
Total antal
bæltefikseringer 24-
48 timer
(Antal påbegyndt)
1.12
Sum af bælte-
fikseringstimer over
48 timers varighed
(Antal timer)
814
640
752
795
717
550
-264
1.445
1.277
1.469
1.483
1.313
1.012
-433
-301
1.897
1.755
1.711
1.679
1.449
1.267
-630
-182
744
703
563
533
365
403
-341
38
105.798
135.269 70.602 67.129 70.351 54.849
-50.949
-15.502
Kilde: Register over anvendelse af tvang i psykiatrien 11. marts 2019, Sundhedsdatastyrelsen
Tabel 13 viser, at alle regioner siden 2017 har haft et fald i antallet af korte bæltefikserin-
ger (0-2 timer). Alle regioner ligger nu under baseline for de helt korte bæltefikseringer.
I forhold til antallet af bæltefikseringer på 2-8 timer har Region Sjælland og Region Syd-
danmark haft en stigning siden 2017, mens de andre regioner har opnået et fald. Region
Syddanmark ligger nu som den eneste region over baseline.
Udviklingen i de korte bæltefikseringer skal vurderes i sammenhæng med mindste mid-
dels princippet. En stigning i antallet af korte bæltefikseringer kan i en periode være et
forventeligt resultat af indsatsen med at reducere antallet af mellemlange og lange bælte-
§71, Alm.del - 2019-20 - Endeligt svar på spørgsmål 7: Spm. om der ses en stigning i andre former for tvang i psykiatrien mens der er fokus på at nedbringe anvendelsen af bæltefiksering, til sundheds- og ældreministeren
2102674_0038.png
Monitorering af tvang i psykiatrien
Side 36/53
fikseringer, da disse erstattes af kortvarige bæltefikseringer. Dette kan være en medvir-
kende årsag til, at der det seneste år har været en stigning i korterevarende bæltefikse-
ringer i Region Sjælland og Region Syddanmark.
Tabel 13. Antal bæltefikseringer fordelt varighed og på regioner
Base-
line
INDIKATOR REGION
1.07
Total
antal bælte-
fikseringer
0-2 timer
(Antal påbe-
gyndt)
Region Ho-
vedstaden
Region
Midtjylland
Region Nord-
jylland
Region Sjæl-
land
Region Syd-
danmark
1.08
Total
antal bælte-
fikseringer
2-8 timer
(Antal påbe-
gyndt)
Region Ho-
vedstaden
Region
Midtjylland
Region Nord-
jylland
Region Sjæl-
land
Region Syd-
danmark
Monitorering
Udvikling
Base- 2017
line til
til
2018 2018
-170
-35
2011-
2014 2015 2016 2017
2013
285
165
165
95
150
2018
115
276
151
372
373
319
248
-28
-71
101
68
82
128
84
74
-27
-10
55
193
33
37
26
24
-31
-2
97
63
100
162
138
89
-8
-49
501
442
358
214
178
161
-340
-17
441
322
568
774
702
381
-60
-321
178
112
215
151
139
130
-48
-9
141
225
90
75
109
119
-22
10
184
176
238
269
185
221
37
36
Kilde: Register over anvendelse af tvang i psykiatrien 11. marts 2019, Sundhedsdatastyrelsen
I tabel 14 ses den regionale udvikling i mellemlange bæltefikseringer (8-24 timer), lange
bæltefikseringer (24-48 timer) samt summen af bæltefikseringer over 48 timer. Region
Sjælland og Region Syddanmark har siden 2017 haft en stigning i antallet af bæltefikse-
ringer på 8-24 timer, og Region Nordjylland har haft en lille stigning. De øvrige regioner
har opnået et fald i antallet af bæltefikseringer på 8-24 timer. I Region Sjælland ligger an-
tallet over niveauet ved baseline
5
.
5
Alle regioner har haft en lille stigning af medianvarigheden af bæltefikseringer siden 2017. Region Sjælland har den længste
medianvarighed af bæltefikseringer på 15,8 timer. Medianvarigheden er i Region Hovedstaden og Region Sjælland større end
ved baseline. Region Midtjylland har den laveste medianvarighed af bæltefikseringer på 6,2 timer.
§71, Alm.del - 2019-20 - Endeligt svar på spørgsmål 7: Spm. om der ses en stigning i andre former for tvang i psykiatrien mens der er fokus på at nedbringe anvendelsen af bæltefiksering, til sundheds- og ældreministeren
2102674_0039.png
Monitorering af tvang i psykiatrien
Side 37/53
I forhold til antallet af lange bæltefikseringer med en varighed på 24-48 timer har Region
Midjylland som den eneste region opnået et fald siden 2017, mens de andre regioner har
haft en stigning. Alle regioner ligger væsentligt under baseline i antallet af bæltefikserin-
ger på 24-48 timer.
Vedrørende summen af bæltefikseringstimer over 48 timer har Region Sjælland og Re-
gion Syddanmark haft væsentlige stigninger siden 2017 mens Region Nordjylland har
haft en mindre stigning. I alle regioner er summen af bæltefikseringstimer over 48 timer
nu under baseline.
Tabel 14. Antal bæltefikseringer fordelt på varighed og regioner
Base-
line
INDIKA-
TOR
1.09
Total
antal bælte-
fikseringer
8-24 timer
(Antal på-
begyndt)
Monitorering
Udvikling
Base-
line til
2018
-343
2011-
REGION
2013
Region
Hoved-
staden
Region
Midtjyl-
land
Region
Nordjyl-
land
Region
Sjælland
Region
Syddan-
mark
577
2014
606
2015
426
2016
375
2017
286
2018
234
2017
til
2018
-52
545
451
523
635
555
330
-215
-225
193
107
215
148
115
118
-75
3
214
220
204
180
215
232
18
17
368
371
343
341
278
353
-15
75
1.10
Total
antal bælte-
fikseringer
24-48 timer
(Antal på-
begyndt)
Region
Hoved-
staden
Region
Midtjyl-
land
Region
Nordjyl-
land
Region
Sjælland
Region
Syddan-
mark
212
218
163
134
85
116
-96
31
191
147
108
160
103
81
-110
-22
55
44
58
48
30
41
-14
11
88
84
83
66
57
60
-28
3
199
210
151
125
90
105
-94
15
1.12
Sum
af bæltefik-
seringsti-
mer over
48 timers
varighed
Region
Hoved-
staden
Region
Midtjyl-
land
24.728 26.280 16.802 21.818 23.868 16.098
-8.630
-7.770
25.093 26.492 15.460 18.058 25.240
9.802
-15.291 -15.438
§71, Alm.del - 2019-20 - Endeligt svar på spørgsmål 7: Spm. om der ses en stigning i andre former for tvang i psykiatrien mens der er fokus på at nedbringe anvendelsen af bæltefiksering, til sundheds- og ældreministeren
2102674_0040.png
Monitorering af tvang i psykiatrien
Side 38/53
(Antal ti-
mer)
Region
Nordjyl-
land
Region
Sjælland
7.578
8.100
8.763
3.446
2.838
2.849
-4.729
11
11.530 21.115 13.242 10.263
6.518
13.992
2.462
7.474
Region
36.869 53.282 16.336 13.543 11.888 12.107 -24.762
Syddan-
mark
Kilde: Register over anvendelse af tvang i psykiatrien 11. marts 2019, Sundhedsdatastyrelsen
219
Tabel 15 og tabel 16 viser udviklingen i anvendelsen af remme i forbindelse med tvangs-
fiksering på henholdsvist nationalt og regionalt niveau.
På nationalt niveau (tabel 15) ses der siden 2017 et fald både i antallet og andelen af
personer, hvor der bruges remme. Niveauet er fortsat lavere end ved baseline.
Tabel 15. Antal personer, hvor der er anvendt remme, og andelen af personer, hvor der er anvendt remme af
antal indlagte i hele landet
Base-
line
INDIKATOR
2.01
Antal personer
hvor der bruges remme
(Antal berørt)
1.315
Monitorering
Udvikling
2017
til
2018
2011-
2013
Baseline
2014 2015 2016 2017 2018
til 2018
1.270 1.117 1.217 1.085 1.081
-234
-4
2.03
Andel af personer
hvor der anvendes
remme af antal indlagte
(Antal påbegyndt)
4,9
4,7
4,2
4,6
4,1
4,0
-0,9
-0,1
Kilde: Register over anvendelse af tvang i psykiatrien 11. marts 2019 og Landspatientregisteret 10. marts 2019,
Sundhedsdatastyrelsen
På regionalt niveau (tabel 16) har Region Sjælland og Region Syddanmark siden 2017
haft en stigning i både antal og andelen af personer, hvor der bruges remme. Derudover
har Region Nordjylland haft en lille stigning i forhold til antal personer, hvor der bruges
remme. Region Sjælland ligger som den eneste region over baseline i forhold til antal
personer, hvor der bruges remme.
§71, Alm.del - 2019-20 - Endeligt svar på spørgsmål 7: Spm. om der ses en stigning i andre former for tvang i psykiatrien mens der er fokus på at nedbringe anvendelsen af bæltefiksering, til sundheds- og ældreministeren
2102674_0041.png
Monitorering af tvang i psykiatrien
Side 39/53
Tabel 16. Antal personer, hvor der er anvendt remme, og andelen af personer, hvor der er anvendt remme af
antal indlagte fordelt på regioner
Base-
line
INDIKATOR
2.01
Antal per-
soner hvor der
bruges remme
(Antal berørt)
Milepæl 2020:
Reduceres i for-
hold til baseline
Monitorering
Udvikling
REGION
Region
Hoved-
staden
Region
Midtjyl-
land
Region
Nordjyl-
land
Region
Sjælland
Region
Syddan-
mark
Base- 2017
2011-
2014 2015 2016 2017 2018 line til til
2013
2018 2018
399
397
341
359
314
288
-111
-26
308
289
282
329
328
269
-39
-59
104
87
87
104
98
101
-3
3
146
140
125
142
135
150
4
15
372
380
307
306
234
291
-81
57
2.03
Andel af
personer hvor
der anvendes
remme af antal
indlagte
(Antal påbe-
gyndt)
Milepæl 2020:
Reduceres i for-
hold til baseline
Region
Hoved-
staden
Region
Midtjyl-
land
Region
Nordjyl-
land
Region
Sjælland
Region
Syddan-
mark
3,8
3,8
3,3
3,5
3,1
2,9
-0,9
-0,2
6,3
5,5
5,5
6,5
6,5
5,3
-1,0
-1,2
4,5
3,7
4,0
4,9
4,5
4,4
-0,1
-0,1
3,9
3,7
3,4
3,9
3,5
3,8
-0,1
0,3
6,7
6,5
5,2
5,3
3,9
4,5
-2,2
0,6
Kilde: Register over anvendelse af tvang i psykiatrien 11. marts 2019 og Landspatientregisteret 10. marts 2019,
Sundhedsdatastyrelsen
5.3. Personer udsat for én eller flere tvangsforanstaltninger
Tabel 17 og 18 viser de nationale og regionale tal for voksne samt børn og unge, der be-
røres af tvang. I opgørelsen af tvangsforanstaltninger inkluderes al tvang, og der skelnes
§71, Alm.del - 2019-20 - Endeligt svar på spørgsmål 7: Spm. om der ses en stigning i andre former for tvang i psykiatrien mens der er fokus på at nedbringe anvendelsen af bæltefiksering, til sundheds- og ældreministeren
Monitorering af tvang i psykiatrien
Side 40/53
ikke mellem tvangsformer. Eksempelvis sidestilles bæltefiksering med skærmning i opgø-
relsen af denne indikator. Indikatoren medtages for at kunne følge udviklingen i den sam-
lede brug af tvang.
6
Først kommenteres udviklingen for voksne og dernæst for børn og unge.
Tabel 17 viser den nationale og regionale udvikling i antal og andel af voksne berørt af en
eller flere tvangsforanstaltninger. Nationalt er antallet af voksne, der berøres af tvang,
større end ved baseline og er steget siden 2017. Andelen er nationalt steget siden base-
line, og er på samme niveau som i 2017. Alle regioner undtagen Region Hovedstaden
har siden 2017 haft en stigning i antallet af voksne, der berøres af tvang. I forhold til an-
delen har Region Nordjylland, Region Sjælland og Region Syddanmark haft en stigning
siden 2017. Sundhedsstyrelsen ser fortsat med stor bekymring på, at flere voksne ud-
sættes for tvang samlet set, og finder det stærkt bekymrende at det ikke skønnes reali-
stisk at nå målet om reduktion inden udgangen af 2020.
6
Regionernes indlæggelsestal varierer, jf. tabel 3 på side 18. Dette bør tages i betragtning, når andelen af personer berørt af
tvang vurderes.
§71, Alm.del - 2019-20 - Endeligt svar på spørgsmål 7: Spm. om der ses en stigning i andre former for tvang i psykiatrien mens der er fokus på at nedbringe anvendelsen af bæltefiksering, til sundheds- og ældreministeren
2102674_0043.png
Monitorering af tvang i psykiatrien
Side 41/53
Tabel 17. Antal og andel voksne berørt af tvangsforanstaltninger i hele landet og fordelt på regioner
Base-
line
INDIKATOR
9.04
Antal
voksne berørt
af en eller
flere tvangs-
foranstaltnin-
ger
(Antal berørt)
Milepæl 2020:
Reduceres i
forhold til
baseline
Monitorering
Udvikling
Base-
line til
2018
338
RE-
GION
Hele
landet
Region
Hoved-
staden
Region
Midtjyl-
land
Region
Nordjyl-
land
Region
Sjælland
Region
Syddan-
mark
2011-
2013
5.632
2014 2015 2016 2017
5.797
5.638
5.638
5.829
2018
5.970
2017
til
2018
141
2.232
2.264
2.274
2.185
2.241
2.146
-86
-95
1.152
1.160
1.140
1.178
1.234
1.237
85
3
487
506
487
488
524
589
102
65
691
709
714
734
781
842
151
61
1.163
1.252
1.134
1.171
1.170
1.296
133
126
9.05
Andel af
voksne berørt
af en eller
flere tvangs-
foranstaltnin-
ger i forhold
til antal ind-
lagte
(Andel i pct.)
Milepæl 2020:
Reduceres i
forhold til
baseline
Hele
landet
Region
Hoved-
staden
Region
Midtjyl-
land
Region
Nordjyl-
land
Region
Sjælland
22,4
22,6
22,3
22,9
23,4
23,4
1,0
0,0
22,2
22,6
22,9
22,7
23,7
23,0
0,8
-0,7
25,2
23,6
23,8
24,9
26,2
25,7
0,5
-0,5
22,7
22,7
23,8
24,5
25,7
27,5
4,8
1,8
19,9
20,4
21,0
21,7
21,8
23,2
3,3
1,4
Region
22,0
22,8
20,3
21,6
20,4
20,9
-1,1
0,5
Syddan-
mark
Kilde: Register over anvendelse af tvang i psykiatrien 11. marts 2019 og Landspatientregisteret 10. marts 2019,
Sundhedsdatastyrelsen
Tabel 18 viser den nationale og regionale udvikling i antal og andel af børn og unge, der
berøres af en eller flere tvangsforanstaltninger. Her fremgår det, at selvom antallet og an-
delen af børn og unge, der berøres af tvang, er faldet på nationalt niveau siden 2017, er
alle regioner fortsat over niveauet for baseline. Dog har Region Hovedstaden som den
eneste region haft en reduktion siden baseline i forhold til andelen af børn og unge berørt
af tvang. For Region Sjælland ses en reduktion i andelen af børn og unge berørt af tvang
§71, Alm.del - 2019-20 - Endeligt svar på spørgsmål 7: Spm. om der ses en stigning i andre former for tvang i psykiatrien mens der er fokus på at nedbringe anvendelsen af bæltefiksering, til sundheds- og ældreministeren
2102674_0044.png
Monitorering af tvang i psykiatrien
Side 42/53
siden 2017. Sundhedsstyrelsen er fortsat meget bekymret over, at det overordnet set sta-
dig ikke er lykkedes at nedbringe brugen af tvang over for børn og unge.
Tabel 18. Antal og andel børn og unge under 18 år berørt af tvangsforanstaltninger i hele landet og fordelt på
regioner
Base-
line
INDIKATOR
9.01
Antal af
børn og unge
under 18 berørt
af en eller flere
tvangsforan-
staltninger
(Antal berørt)
Milepæl 2020:
Reduceres i for-
hold til baseline
Monitorering
Udvikling
Base-
line til
2018
73
RE-
GION
Hele
landet
Region
Hoved-
staden
Region
Midtjyl-
land
Region
Nord-
jylland
Region
Sjæl-
land
Region
Syd-
dan-
mark
2011-
2014 2015 2016 2017
2013
243
294
300
351
338
2018
316
2017
til
2018
-22
107
125
120
110
110
119
12
9
51
76
74
75
84
68
17
-16
19
9
15
29
28
28
9
0
40
47
61
87
74
52
12
-22
37
48
40
71
55
61
24
6
9.02
Andel af
børn og unge
berørt af en el-
ler flere tvangs-
foranstaltninger
i forhold til antal
indlagte
(Andel i pct.)
Milepæl 2020:
Reduceres i for-
hold til baseline
Hele
landet
Region
Hoved-
staden
Region
Midtjyl-
land
Region
Nord-
jylland
Region
Sjæl-
land
16,6
18,8
18,8
22,4
21,7
19,5
2,9
-2,2
20,3
22,9
20,9
20,8
19,7
19,4
-0,9
-0,3
18,4
22,2
21,8
22,9
26,4
21,3
2,9
-5,1
11,5
7,5
12,7
19,9
18,7
20,4
8,9
1,7
14,6
16,9
22,3
31,6
27,0
18,5
3,9
-8,5
§71, Alm.del - 2019-20 - Endeligt svar på spørgsmål 7: Spm. om der ses en stigning i andre former for tvang i psykiatrien mens der er fokus på at nedbringe anvendelsen af bæltefiksering, til sundheds- og ældreministeren
2102674_0045.png
Monitorering af tvang i psykiatrien
Side 43/53
Region
Syd-
dan-
mark
13,9
14,9
11,8
20,6
18,5
19,6
5,7
1,1
Kilde: Register over anvendelse af tvang i psykiatrien 11. marts 2019 og Landspatientregisteret 10. marts 2019,
Sundhedsdatastyrelsen
Det fremgår også af tabellen, at Region Hovedstaden og Region Syddanmark som de
eneste regioner har haft en stigning siden 2017 i antallet af børn og unge berørt af tvang,
mens Region Nordjylland og Region Syddanmark har haft en stigning i forhold til andelen
af børn og unge berørt af tvang. I Region Sjælland og Region Midtjylland er både antallet
og andelen af børn og unge berørt af tvang faldet væsentligt siden 2017.
Sundhedsstyrelsen gør opmærksom på, at antallet af børn og unge under 18 år berørt af
én eller flere tvangsforanstaltninger er lavt (i alt 316 tilfælde). Det betyder, at en lille stig-
ning i antallet af børn og unge berørt af tvang kan medføre store udsving i andelen.
5.4. Øvrige indikatorer med relevans for monitoreringen af tvang
I det følgende beskrives udviklingen inden for en række andre tvangsforanstaltninger
med relevans for monitoreringen af tvang. Det drejer sig om tvangsmedicinering, tvangs-
indlæggelse og tvangstilbageholdelse
7
.
5.4.1. Anvendelse af tvangsmedicinering
I tabel 19 fremgår den nationale og regionale udvikling i anvendelsen af tvangsmedicine-
ring. Tvangsmedicinering omfatter
ikke
akut beroligende medicin med tvang.
På nationalt niveau er der siden 2017 sket en stigning i antallet af personer, der tvangs-
medicineres. Antallet er nu betydeligt større end ved baseline. Det samme mønster gør
sig gældende for andelen af personer, der tvangsmedicineres.
I tabellen fremgår det desuden, at alle regioner ud over Region Midtjylland og Region
Nordjylland har haft en stigning i både antallet og andelen af personer, der tvangsmedici-
neres, siden 2017. Antallet af personer, der tvangsmedicineres, er i alle regioner større
end ved baseline. Andelen af personer, der tvangsmedicineres, ligger i alle regioner over
baseline, undtagen Region Midtjylland, som ligger på niveau med baseline.
7
Indikatorerne tvangsindlæggelse og tvangstilbageholdelse udgjorde i tidligere opgørelser indikatoren frihedsberøvelse, men
blev fra og med årsopgørelsen for 2016 opgjort som to separate indikatorer.
§71, Alm.del - 2019-20 - Endeligt svar på spørgsmål 7: Spm. om der ses en stigning i andre former for tvang i psykiatrien mens der er fokus på at nedbringe anvendelsen af bæltefiksering, til sundheds- og ældreministeren
2102674_0046.png
Monitorering af tvang i psykiatrien
Side 44/53
Tabel 19. Antal og andele personer, der tvangsmedicineres i hele landet og fordelt på regioner
Baseline
INDIKATOR
6.01
Antal
personer der
tvangsmedi-
cineres (om-
fatter ikke
akut beroli-
gende)
(Antal be-
rørt)
Monitorering
2014 2015 2016 2017 2018
758
741
760
838
902
Udvikling
Baseline
2017 til 2018
til 2018
234
64
RE-
GION
Hele
landet
Region
Hoved-
staden
Region
Midtjyl-
land
2011-
2013
668
300
372
386
359
392
407
107
15
133
132
112
125
150
138
5
-12
Milepæl
2020: Områ-
Region
det følges.
Nordjyl-
land
Region
Sjæl-
land
Region
Syddan-
mark
6.02
Ande-
len af perso-
ner der
tvangsmedi-
cineres af
antal ind-
lagte
Hele
landet
Region
Hoved-
staden
57
70
73
84
87
86
29
-1
78
88
69
95
97
119
41
22
102
102
102
103
115
161
59
46
2,5
2,8
2,8
2,9
3,2
3,3
1
0
2,8
3,5
3,7
3,5
3,9
4,1
1,3
0,2
(Andel i pct.) Region
Midtjyl-
land
Milepæl
2020: Områ- Region
det følges.
Nordjyl-
land
Region
Sjæl-
land
Region
Syddan-
mark
2,7
2,5
2,2
2,5
3,0
2,7
0,0
-0,3
2,5
3,0
3,4
3,9
4,0
3,8
1,3
-0,2
2,1
2,3
1,9
2,6
2,5
3,0
0,9
0,5
1,8
1,8
1,7
1,8
1,9
2,5
0,7
0,6
Kilde: Register over anvendelse af tvang i psykiatrien 11. marts 2019 og Landspatientregisteret 10. marts 2019,
Sundhedsdatastyrelsen
§71, Alm.del - 2019-20 - Endeligt svar på spørgsmål 7: Spm. om der ses en stigning i andre former for tvang i psykiatrien mens der er fokus på at nedbringe anvendelsen af bæltefiksering, til sundheds- og ældreministeren
2102674_0047.png
Monitorering af tvang i psykiatrien
Side 45/53
5.4.2. Anvendelse af tvangsindlæggelse og tvangstilbageholdelse
Frihedsberøvelse opgøres som henholdsvis tvangsindlæggelse og tvangstilbagehol-
delse. Nedenfor kommenteres først udviklingen for voksne og dernæst udviklingen for
børn og unge.
Tabel 20 viser den nationale og regionale udvikling i antallet og andelen af voksne, der
tvangsindlægges. Nationalt har der været en lille stigning i antallet af voksne, der tvangs-
indlægges, siden 2017. Der har været et lille fald i andelen i samme periode. Både antal
og andel ligger dog fortsat over baseline.
På regionalt plan har Region Hovedstaden og Region Midtjylland opnået et fald i antallet
og andelen af voksne, der tvangsindlægges, siden 2017, mens de andre regioner har
haft stigninger. Region Syddanmark er på samme niveau som i 2017 i forhold til andelen
af voksne, der tvangsindlægges. Antallet og andelen af voksne, der tvangsindlægges, er
i alle regioner bortset fra Region Hovedstaden fortsat større end ved baseline.
Tabel 20. Antal og andele af voksne der tvangsindlægges i hele landet og fordelt på regioner
Base-
line
INDIKA-
TOR
7.04
Antal
voksne der
tvangsind-
lægges
(Antal be-
rørt)
Milepæl
2020: Om-
rådet føl-
ges"
Monitorering
Udvikling
Base-
line til
2018
349
RE-
GION
Hele
landet
Region
Hoved-
staden
Region
Midtjyl-
land
Region
Nordjyl-
land
Region
Sjæl-
land
Region
Syddan-
mark
2011-
2014 2015 2016 2017
2013
2.871
3.059
3.023 3.118 3.172
2018
3.220
2017 til
2018
48
1.098
1.130
1.163 1.128 1.099
1.040
-58
-59
545
593
600
635
683
672
127
-11
240
252
227
243
263
298
58
35
361
385
390
418
447
486
125
39
649
725
674
721
713
770
121
57
7.05
Andel
af voksne
Hele
landet
11,5
11,9
12,0
12,7
12,7
12,6
1,1
-0,1
§71, Alm.del - 2019-20 - Endeligt svar på spørgsmål 7: Spm. om der ses en stigning i andre former for tvang i psykiatrien mens der er fokus på at nedbringe anvendelsen af bæltefiksering, til sundheds- og ældreministeren
2102674_0048.png
Monitorering af tvang i psykiatrien
Side 46/53
der tvangs-
indlægges i
forhold til
antal ind-
lagte
(Andel i
pct.)
Milepæl
2020: Om-
rådet føl-
ges"
Region
Hoved-
staden
Region
Midtjyl-
land
Region
Nordjyl-
land
Region
Sjæl-
land
Region
Syddan-
mark
10,9
11,3
11,7
11,7
11,6
11,1
0,2
-0,5
11,9
12,1
12,5
13,4
14,5
14,0
2,1
-0,5
11,2
11,3
11,1
12,2
12,9
13,9
2,7
1,0
10,4
11,1
11,5
12,3
12,5
13,4
3,0
0,9
12,3
13,2
12,0
13,3
12,4
12,4
0,1
0,0
Kilde: Register over anvendelse af tvang i psykiatrien 11. marts 2019 og Landspatientregisteret 10. marts 2019,
Sundhedsdatastyrelsen
Tabel 21 viser den nationale og regionale udvikling i tvangstilbageholdelse af voksne.
Nationalt har der i antallet af voksne, der tvangstilbageholdes, været en stigning siden
2017, mens der har været et lille fald i andelen af voksne, der tilbageholdes. Både antal
og andel er fortsat større end ved baseline.
På regionalt plan har Region Hovedstaden som den eneste region opnået et fald siden
2017 i antallet af voksne, der tvangstilbageholdes, mens de øvrige regioner har haft en
stigning i antallet. Alle regioner ud over Region Midtjylland ligger fortsat over baseline for
antal voksne, der tvangstilbageholdes.
I forhold til andelen af voksne, der tvangstilbageholdes, har Region Hovedstaden haft et
mindre fald siden 2017. Region Midjylland og Region Nordjylland har haft stigninger,
mens udviklingen er stagneret i Region Sjælland og Region Syddanmark. I Region Ho-
vedstaden og Region Nordjylland er andelen af voksne, der tvangstilbageholdes, fortsat
større end ved baseline. De andre regioner ligger lige under baseline.
§71, Alm.del - 2019-20 - Endeligt svar på spørgsmål 7: Spm. om der ses en stigning i andre former for tvang i psykiatrien mens der er fokus på at nedbringe anvendelsen af bæltefiksering, til sundheds- og ældreministeren
2102674_0049.png
Monitorering af tvang i psykiatrien
Side 47/53
Tabel 21. Antal og andele af voksne der tvangstilbageholdes i hele landet og fordelt på regioner
Base-
line
INDIKATOR
REGION
Monitorering
Udvikling
2017
til
2018
42
Base-
2011-
2014 2015 2016 2017 2018 line til
2013
2018
2.345
2.470 2.364 2.363 2.411 2.453
108
8.04
Antal
voksne der
tvangstilbagehol-
des
(Antal berørt)
Hele lan-
det
Region
Hoved-
staden
Region
Midtjyl-
land
Region
Nordjyl-
land
Region
Sjælland
Region
Syddan-
mark
969
1.030 1.044 1.027 1.054 1.001
32
-53
Milepæl 2020:
Området følges"
469
456
425
462
426
467
-2
41
209
250
232
229
222
237
28
15
285
295
272
248
282
287
2
5
442
473
428
442
457
498
56
41
8.05
Andel af
voksne der
tvangstilbagehol-
des i forhold til
antal indlagte
(Andel i pct.)
Milepæl 2020:
Området følges"
Hele lan-
det
Region
Hoved-
staden
Region
Midtjyl-
land
Region
Nordjyl-
land
Region
Sjælland
9,3
9,6
9,4
9,6
9,7
9,6
0,3
-0,1
9,7
10,3
10,5
10,7
11,1
10,7
1,0
-0,4
10,2
9,3
8,9
9,8
9,0
9,7
-0,5
0,7
9,7
11,2
11,4
11,5
10,9
11,1
1,4
0,2
8,2
8,5
8,0
7,3
7,9
7,9
-0,3
0,0
§71, Alm.del - 2019-20 - Endeligt svar på spørgsmål 7: Spm. om der ses en stigning i andre former for tvang i psykiatrien mens der er fokus på at nedbringe anvendelsen af bæltefiksering, til sundheds- og ældreministeren
2102674_0050.png
Monitorering af tvang i psykiatrien
Side 48/53
Region
Syddan-
mark
8,3
8,6
7,7
8,1
8,0
8,0
-0,3
0,0
Kilde: Register over anvendelse af tvang i psykiatrien 11. marts 2019 og Landspatientregisteret 10. marts 2019,
Sundhedsdatastyrelsen
Tabel 22 og tabel 23 viser den nationale og regionale udvikling i tvangsindlæggelser og
tvangstilbageholdelser af børn og unge under 18 år.
Tabel 22. Antal og andele børn og unge under 18 år der tvangsindlægges i hele landet og fordelt på regioner
Base-
line
INDIKATOR
7.01
Antal børn og
unge under 18 der
tvangsindlægges
(Antal berørt)
Milepæl 2020: Områ-
det følges"
Monitorering
Udvikling
REGION
Hele lan-
det
Region
Hoved-
staden
Region
Midtjyl-
land
Region
Nordjyl-
land
Region
Sjælland
Region
Syddan-
mark
Base- 2017
2011-
2014 2015 2016 2017 2018 line til
til
2013
2018 2018
103
134
116
159
162
148
45
-14
37
48
41
44
51
55
18
4
23
39
32
41
34
21
-2
-13
8
<5
11
11
17
13
5
-4
16
20
20
26
30
28
12
-2
22
29
16
44
37
34
12
-3
7.02
Andel af børn og Hele lan-
unge under 18 der
det
tvangsindlægges i
forhold til antal ind-
Region
lagte
Hoved-
(Andel i pct.)
staden
Milepæl 2020: Områ-
det følges"
Region
Midtjyl-
land
Region
Nordjyl-
land
7,0
8,6
7,3
10,2
10,4
9,2
2,2
-1,2
6,9
8,8
7,2
8,3
9,1
9,0
2,1
-0,1
8,3
11,4
9,4
12,5
10,7
6,6
-1,7
-4,1
4,6
1,7
9,3
7,5
11,3
9,5
4,9
-1,8
§71, Alm.del - 2019-20 - Endeligt svar på spørgsmål 7: Spm. om der ses en stigning i andre former for tvang i psykiatrien mens der er fokus på at nedbringe anvendelsen af bæltefiksering, til sundheds- og ældreministeren
2102674_0051.png
Monitorering af tvang i psykiatrien
Side 49/53
Region
Sjælland
Region
Syddan-
mark
5,8
7,2
7,3
9,5
10,9
10,0
4,2
-0,9
8,4
9,0
4,7
12,8
12,5
10,9
2,5
-1,6
Kilde: Register over anvendelse af tvang i psykiatrien 11. marts 2019 og Landspatientregisteret 10. marts 2019,
Sundhedsdatastyrelsen
Tabel 22 viser udviklingen for tvangsindlæggelser. Her ses der på nationalt plan et fald
siden 2017 i antallet og andelen af børn og unge, der tvangsindlægges. Nationalt er an-
tallet og andelen væsentligt større end i 2015. På trods af mindre fald i de fleste regioner
siden 2017, er både antallet og andelen af børn og unge, der tvangsindlægges, væsent-
ligt større end i 2015 i alle regioner på nær Region Midtjylland. Det skal bemærkes, at det
samlede antal tvangsindlæggelser hos børn er relativt lavt (i alt 148 børn og unge), hvil-
ket bør inddrages i vurderingen af resultaterne.
Tabel 23 viser udviklingen i tvangstilbageholdelser for børn og unge. Nationalt har der si-
den 2015 været et fald i både antallet og andelen af børn og unge, der tvangstilbagehol-
des. På regionalt plan er antallet af tvangstilbageholdelser blandt børn og unge faldet si-
den 2015 i Region Midtjylland, mens den er steget i Region Syddanmark. I Region Ho-
vedstaden, Region Nordjylland og Region Sjælland er stagneret siden 2015. Andelen af
børn og unge, der tvangstilbageholdes, er faldet i Region Hovedstaden, Region Midtjyl-
land, Region Nordjylland og Region Sjælland siden 2015. Dog er udviklingen i forhold til
anvendelse af tilbageholdelser gået lidt op og ned i flere af regionerne, hvorfor det kan
være svært at se en egentlig tendens.
Tabel 23. Antal og andele børn og unge under 18 år der tvangstilbageholdes i hele landet og fordelt på regioner
Base-
line
INDIKATOR
8.01
Antal
børn og unge
under 18 der
tvangstilba-
geholdes
(Antal berørt)
Milepæl
2020: Områ-
det følges"
Monitorering
Udvikling
Base-
2017 til
line til
2018
2018
9
-1
2011
-
REGION
2013
Hele lan-
det
Region
Hoved-
staden
Region
Midtjyl-
land
83
2014
91
2015 2016 2017
105
109
93
2018
92
37
39
46
38
33
37
0
4
15
18
20
20
16
12
-3
-4
§71, Alm.del - 2019-20 - Endeligt svar på spørgsmål 7: Spm. om der ses en stigning i andre former for tvang i psykiatrien mens der er fokus på at nedbringe anvendelsen af bæltefiksering, til sundheds- og ældreministeren
2102674_0052.png
Monitorering af tvang i psykiatrien
Side 50/53
Region
Nordjyl-
land
Region
Sjælland
Region
Syddan-
mark
8.02
Andel af
børn og unge
under 18 der
tvangstilba-
geholdes i
forhold til an-
tal indlagte
(Andel i pct.)
Milepæl
2020: Områ-
det følges
Hele lan-
det
Region
Hoved-
staden
Region
Midtjyl-
land
Region
Nordjyl-
land
Region
Sjælland
Region
Syddan-
mark
7
5
<5
9
10
7
0
-3
15
13
16
24
13
15
0
2
11
18
20
26
21
23
12
2
5,6
5,8
6,6
7,0
6,0
5,7
0,1
-0,3
6,9
7,1
8,0
7,2
5,9
6,0
-0,9
0,1
5,3
5,2
5,9
6,1
5,0
3,8
-1,5
-1,2
4,2
4,2
3,4
6,2
6,7
5,1
0,9
-1,6
5,5
4,7
5,8
8,7
4,7
5,3
-0,2
0,6
4,0
5,6
5,9
7,6
7,1
7,4
3,4
0,3
Kilde: Register over anvendelse af tvang i psykiatrien 11. marts 2019 og Landspatientregisteret 10. marts 2019,
Sundhedsdatastyrelsen
§71, Alm.del - 2019-20 - Endeligt svar på spørgsmål 7: Spm. om der ses en stigning i andre former for tvang i psykiatrien mens der er fokus på at nedbringe anvendelsen af bæltefiksering, til sundheds- og ældreministeren
Monitorering af tvang i psykiatrien
Side 51/53
§71, Alm.del - 2019-20 - Endeligt svar på spørgsmål 7: Spm. om der ses en stigning i andre former for tvang i psykiatrien mens der er fokus på at nedbringe anvendelsen af bæltefiksering, til sundheds- og ældreministeren
Monitorering af tvang i psykiatrien
Side 52/53
Bilagsfortegnelse
Bilag 1:
Notat vedrørende Sundhedsstyrelsens kommentering af tvangsmonitorerin-
gen i psykiatrien.
Heri findes ligeledes en vejledning til Sundhedsstyrelsens
kommentering.
Oversigt over tvangsformer.
Heri ses en oversigt over og beskrivelse af de
tvangsformer, der vedrører den løbende monitorering af tvang i psykiatrien i
henhold til psykiatriloven.
Dokumentation af indikatorer for tvang i psykiatrien.
Heri ses en beskrivelse
og dokumentation af anvendelsen af indikatorer for tvang med henblik på at
opnå målsætningen om halvering af brugen af tvang i 2020.
Baggrundstabeller til monitoreringen af tvang i psykiatrien 2018.
Heri ses en
samlet oversigt over tabellerne for monitoreringen.
Bilag 2:
Bilag 3:
Bilag 4:
§71, Alm.del - 2019-20 - Endeligt svar på spørgsmål 7: Spm. om der ses en stigning i andre former for tvang i psykiatrien mens der er fokus på at nedbringe anvendelsen af bæltefiksering, til sundheds- og ældreministeren
2102674_0055.png
Monitorering af tvang i psykiatrien
Side 53/53
Sundhedsstyrelsen
Islands Brygge 67
2300 København S
www.sst.dk
§71, Alm.del - 2019-20 - Endeligt svar på spørgsmål 7: Spm. om der ses en stigning i andre former for tvang i psykiatrien mens der er fokus på at nedbringe anvendelsen af bæltefiksering, til sundheds- og ældreministeren
2102674_0056.png
Tilsynet i henhold til grundlovens § 71 2018-19
§71 Alm.del - Bilag 98
Offentligt
Dato 21-09-2017
Sagsnr. 4-1613-76/4
abmo
Bilag 1. Notat til monitorering af tvang i psykiatrien
1. Baggrund
Som et vigtigt led i realiseringen af en fælles målsætning om at forbedre kvaliteten i den regi-
onale psykiatri, herunder særligt for den gruppe af patienter der er mest udsatte, indgik Mini-
steren for Sundhed og Forebyggelse i 2014 en aftale med Danske Regioner om at halvere
tvangsanvendelsen i psykiatrien i 2020. Umiddelbart efter blev der ligeledes indgået partner-
skabsaftaler med hver af de fem regioner med henblik på at sikre patienter med psykiske li-
delser en behandling af høj kvalitet og som et led heri at nedbringe anvendelsen af tvang.
Sundhedsdatastyrelsen har i forlængelse heraf i regi af Task Force for Psykiatriområdet i
samarbejde med regionerne og Sundhedsstyrelsen udviklet en national model til monitorering
af anvendelsen af tvang. Monitoreringen varetages af Sundhedsdatastyrelsen og data offent-
liggøres halvårligt. Ved offentliggørelsen af data kommenterer Sundhedsstyrelsen på de ud-
valgte monitoreringsdata. Udviklingen følges og drøftes i Task Force for Psykiatriområdet,
der fungerer som et nationalt forum, der skal understøtte videndeling og spredning af bedste
praksis på området.
Monitoreringen offentligøres og kommenteres med en halvårlig kadence med henblik på lø-
bende at monitorere og følge udviklingen i henhold til regeringens partnerskabsaftaler med
regionerne. Opgørelserne viser de fem regioners udvikling og målopfyldelse ift. de politisk
fastsatte mål i partnerskabsaftalen. På baggrund af data fra 2011-2013 er der etableret indivi-
duelle regionale baselines inden for hver af de respektive tvangsindikatorer i monitorerings-
modellen. Det er disse baselines, som udviklingen og målopfyldelsen sammenholdes med i
årsopgørelserne, når målsætningen om at halvere anvendelsen af tvang i psykiatrien opgøres.
Sundhedsstyrelsen kan i forbindelse med opgørelserne anmode regionerne om supplerende
redegørelser for udviklingen inden for udvalgte indikatorer i det omfang det vurderes rele-
vant.
Realisering af det nationale fælles mål om halvering af tvang skal gennemføres uden, at der
sker en uhensigtsmæssig substitution mellem forskellige tvangsforanstaltninger. Derfor følges
udviklingen i de hyppigst anvendte øvrige tvangsforanstaltninger, der skal understøtte, at den
samlede anvendelse af tvang i psykiatrien reduceres frem mod 2020. Nedenstående boks 2 vi-
ser en oversigt over, hvilke tvangsindikatorer der følges.
§71, Alm.del - 2019-20 - Endeligt svar på spørgsmål 7: Spm. om der ses en stigning i andre former for tvang i psykiatrien mens der er fokus på at nedbringe anvendelsen af bæltefiksering, til sundheds- og ældreministeren
2102674_0057.png
Det skal bemærkes, at der kan forekomme registreringsudfordringer, hvilket bør tages med i
betragtning i tolkningen af tallene. Sundhedsdatastyrelsen arbejder sammen med regionerne
på at sikre så valide dataregistreringer som muligt. Af samme grund er de regionale baselines
dynamiske og vil løbende blive tilpasset eventulle korrektioner og rettelser i registreringen.
Dog vil baselines konstant være udregnet på baggrund af gennemsnitsdata fra 2011-2013.
2. Målsætninger om reduktion i anvendelse af tvang
Konkret er målet om en halvering af den anvendte tvang i psykiatrien formuleret ved:
1) et mål om, at andelen af personer som tvangsfikseres skal halveres i 2020
2) et mål om, at der forekommer et generelt fald i anvendelsen af alle former for tvang
Der ikke er fastsat årlige mål for nedbringelsen af tvangsanvendelsen. Målsætningen vedrø-
rende halvering af tvangsfiksering er operationaliseret via en række delmål inden for udvalgte
indikatorer, der viser udviklingen i fiksering med bælte og remme
1
. Målsætningen vedrørende
et generelt fald i anvendelsen af alle former for tvang er operationaliseret og måles via indika-
torer, der viser udvikling i nedenstående tvangsforanstaltninger beskrevet i Bekendtgørelse af
lov om anvendelse af tvang i psykiatrien:
Frihedsberøvelse
Tvangsindlæggelse
Tvangstilbageholdelse
Tvangsbehandling
Tvangsmedicinering
Tavngsbehandling med ECT
Tvangsernæring
Tvangsbehandling for legemlig lidelse
Tvungen opfølgning efter udskrivelse
Fysisk magtanvendelse
Tvangsfikseringer med bælte
Fikseringer med remme
Anvendelse af handsker
Fastholdelser
Dørafløsning
ikke patientstuer, men ydredør
Akut beroligende medicin
Skærmning over 24 timer
Beskyttelsesforanstaltninger
Beskyttelsesfikseringer med stofbælte og lign.
Aflåsning af ydredør
Personlige alarmsystemer
Særlige dørlåse
Tabel 2 viser de delmål, der knytter sig til det ene overordnede mål om, at andelen af personer som tvangsfikse-
res skal halveres i 2020.
1
2
§71, Alm.del - 2019-20 - Endeligt svar på spørgsmål 7: Spm. om der ses en stigning i andre former for tvang i psykiatrien mens der er fokus på at nedbringe anvendelsen af bæltefiksering, til sundheds- og ældreministeren
2102674_0058.png
Boks 1
Mål om halvering af tvang
”Andelen
af personer som tvangsfikseres skal halveres i 2020, og den samlede anvendelse af tvang i psykiatrien skal samtidigt
reduceres.”
Der kan være risiko for, at et ensidigt fokus på én type tvang kan medvirke til en stigning i øvrige tvangsindgreb. Det er derfor nødvendigt
at sikre, at et mål for én enkelt tvangsform understøttes af en række indikatorer, som tilsammen udgør målet, og dermed definerer om må-
let er opnået. Nedenstående tabel indeholder de indikatorer, der understøtter ovenstående mål om halvering af tvang.
Indikatorer
Personer berørt af nedenstående tvangsformer
(baseline 2011-2013)
Antal
Andel (pct.)
2.036
7,6
V: 5.632 / B: 242
V: 22,4 / B: 16,5
4.776
18,0
2.043
7,7
928
3,5
79
0,3
666
2,5
Milepæle
Tvangsfiksering
Alle former for tvang
Frihedsberøvelse
Beroligende medicin
Fastholdelse
Skærmning
Tvangsmedicin
Andelen reduceres med 50 pct. ift. baseline
Reduceres ift. baseline
Følges
Følges
Følges
Følges
Følges
Kilde: Statens Serum Institut(nu Sundhedsdatastyrelsen). Opgørelse over anvendelsen af tvang i psykiatrien (version 12. marts 2015)
Anm. Tal for anvendelse af tvang på Sikringsafdelingen indgår ikke i tabellen. (V:Voksen og B: Barn)
3. Tvangsforanstaltninger
Psykiatrilovens mindstemiddelsprincip fastlægger, at tvang ikke må benyttes, før der er gjort,
hvad der er muligt for at opnå patientens frivillige medvirken. Når forholdene tillader det, skal
patienten have en passende betænkningstid. Derudover skal anvendelse af tvang stå i rimeligt
forhold til det, som søges opnået herved. Er mindre indgribende foranstaltninger tilstrækkeli-
ge, skal disse anvendes. Tvang skal udøves så skånsomt som muligt og med størst mulig hen-
syntagen til patienten, således at der ikke forvoldes unødig krænkelse eller ulempe. Endelig
må tvang ikke anvendes i videre omfang, end hvad der er nødvendigt for at opnå det tilsigtede
formål.
Fordi tvangsanvendelse er så indgribende, er der retssikkerhedsgarantier knyttet til beslutnin-
ger om tvangsanvendelse, fx skal patienter, der udsættes for tvang, have beskikket en patient-
rådgiver, tvangen skal protokolføres og indberettes, og patienten har mulighed for at klage
over tvangsindgrebet. Der er således, udover den rent lægefaglige, også en juridisk tilskyndel-
se til kun at benytte tvang, når det er helt nødvendigt. Tvangsforanstaltninger må kun anven-
des af psykiatriske eller børne- og ungdomspsykiatriske afdelinger på offentlige sygehuse.
I visse tilfælde vil det ifølge gældende lovgivning være udtryk for manglende omhu og sam-
vittighedsfuldhed ikke at anvende tvang med henblik på at udøve omsorg for mennesker med
svære psykiske lidelser med begrænset sygdomsindsigt, når psykiatrilovens betingelser i øv-
rigt er opfyldt.
Realisering af det nationale fælles mål om halvering af tvang skal gennemføres uden, at der
sker en uhensigtsmæssig substitution mellem forskellige tvangsforanstaltninger og realisering
af målet må ikke være en hindring for, at behandling iværksættes overfor personer, der udgør
en væsentlig fare for sig selv eller andre, samt hvis helbredstilstand ellers vil blive væsentligt
forringet.
De forskellige tvangsformer er kort beskrevet i Bilag 2
Oversigt over tvangsformer.
3
§71, Alm.del - 2019-20 - Endeligt svar på spørgsmål 7: Spm. om der ses en stigning i andre former for tvang i psykiatrien mens der er fokus på at nedbringe anvendelsen af bæltefiksering, til sundheds- og ældreministeren
2102674_0059.png
4. Datamonitoreringen
Monitoreringen af tvangsforanstaltningerne tager udgangspunkt i data fra Register for Anven-
delse af Tvang i Psykiatrien (TIP), Landspatientregisteret (LPR) samt Danmarks Statistiks
opgørelse af befolkningstallet (Statistikbank/folk1).
De anvendte data for tvang opgøres i forhold til antal berørte personer (unikke CPR numre)
og andel berørte personer i forhold til antallet af indlagte psykiatriske patienter. Der medtages
ikke data fra Sikringsafdelingen i Nykøbing Sjælland, da særlige forhold gør sig gældende
her. Det totale antal tvangsforanstaltninger opgøres som antal påbegyndte/iværksatte tvangs-
foranstaltninger inden for den periode, der opgøres. I nedenstående boks 2 ses en detaljeret
oversigt over de udvalgte tvangsindikatorer og milepæle, herunder på hvilket niveau indikato-
rerne belyses.
Boks 2
Indikatorer og milepæle til opfyldelse af målet om halvering af tvangsfiksering
Indikator
(nr.)
Tvangsfiksering
Antal personer (unikke CPR) der bæltefikseres
(1.02)
Total antal bæltefikseringer
(1.03)
Andelen af personer der bæltefikseres af antal
indlagte
(1.01)
Niveau
Baseline
Milepæle
Andel er personer der bæl-
tefikseres reduceres med
50 %
(1.01)
Øvrige reduceres i forhold
til baseline
2.036
Region
5.689
7,6 %
Længden af bæltefikseringer
(1.07-1.12)
Tærskelværdier for bæltefiksringer:
Region
Total antal bæltefikseringer 0-2 timer
Total antal bæltefikseringer 2-8 timer
Total antal bæltefikseringer 8-24 timer
Total antal bæltefikseringer 24-48 timer
Total antal bæltefikseringer over 48 timer
Sum af bæltefikseringstimer over 48 timers varig-
hed
Total antal personer, der fastspændes med remme
(2.01)
Andelen af personer, hvor der bruges
remme af antal indlagte
(2.03)
Alle former for tvang
Antal voksne (unikke CPR) omfattet af en eller fle-
re tvangsforanstaltninger
(8.04)
Andel af voksne omfattet af en eller flere tvangs-
foranstaltninger i forhold til antal indlagte
(8.05)
Antal af børn og unge under 18 (unikke CPR) om-
fattet af en eller flere tvangsforanstaltninger
(8.01)
Andel af børn omfattet af en eller flere tvangsfor-
anstaltninger i forhold til antal indlagte
(8.02)
Region
Region
22,4 %
Region
Median og kvartiler
(1.04-1.06)
Reduceres med 50 % af
det totale antal bæltefikse-
ringer over 48 timer
(1.11).
Øvrige nedadgående i for-
hold til baseline
Median og kvartil følges.
1.316
Reduceres i forhold til
baseline
4,9 %
5.632
Reduceres i forhold til
baseline
242
Reduceres i forhold til
baseline
16,5 %
Frihedsberøvelse
Antal voksne (unikke CPR) der tvangsindlægges
eller tvangstilbageholdes
(7.04)
Andel af voksne der tvangsindlægges eller tvangs-
tilbageholdes i forhold til antal indlagte
(7.05)
Region
4.622
Området følges
18,4 %
4
§71, Alm.del - 2019-20 - Endeligt svar på spørgsmål 7: Spm. om der ses en stigning i andre former for tvang i psykiatrien mens der er fokus på at nedbringe anvendelsen af bæltefiksering, til sundheds- og ældreministeren
2102674_0060.png
Antal af børn og unge under 18 (unikke CPR) der
tvangsindlægges eller tvangstilbageholdes
(7.01)
Andel af børn/unge der tvangsindlægges eller
tvangstilbageholdes i forhold til indlagte
(7.02)
161
Området følges
Region
10,9 %
Beroligende medicin med tvang
Antal personer (unikke CPR) der får beroligende
medicin med tvang
(3.01)
Total antal gange der gives beroligende medicin
med tvang
(3.02)
Andelen af personer der gives beroligende medicin
med tvang af antal indlagte
(3.03)
Region
2.043
7.155
Området følges
7,7 %
Fastholdelse
Antal personer (unikke CPR) der fastholdes
(4.01)
Region
Total antal gange der fastholdes
(4.02)
2.828
Andelen af personer der fastholdes af antal indlag-
te
(4.03)
3,5 %
Skærmning
Antal personer (unikke CPR) der skærmes
(5.01)
Region
Total antal gange der skærmes
(5.02)
88
Andelen af personer der skærmes af antal indlagte
(5.03)
0,3 %
Tvangsmedicin
Antal personer (unikke CPR) der tvangsmedicine-
res (omfatter ikke akut beroligende)
(6.01)
Andelen af personer (unikke CPR) der får tvangs-
medicin i forhold til antal indlagte
(6.02)
79
Området følges
928
Området følges
Region
666
Området følges
2,5 %
Kilde: Statens Serum Institut. Register for anvendelsen af tvang i psykiatrien (version 12. marts 2015)
Anm. Tal for anvendelse af tvang på Sikringsafdelingen indgår ikke i ovenstående. Baseline er baseret på gennemsnittet for perioden 2011-
2013
Vedrørende tvang overfor mindreårige skal det anføres, at såfremt disse foranstaltninger
iværksættes mod den mindreåriges vilje, men med informeret samtykke fra forældremyndig-
hedens indehaver, betragtes det ikke som tvang i psykiatrilovens forstand. Der var før 1. juni
2015 ikke lovkrav om at indberette disse foranstaltninger, men der var mulighed for det. Ved
seneste revision af psykiatriloven, der trådte i kraft den 1. juni 2015, er det blevet indført, at
der er tale om magtanvendelse når en patient under 15 år bliver psykiatrisk behandlet mod sin
vilje, men med samtykke fra forældremyndighedsindehaver. Det blev samtidigt lovpligtigt at
registrere denne magtanvendelse i tvangsprotokollerne. Ændringerne blev indført i Statens
Serum Instituts Elektroniske Indberetningssystem (SEI) pr. 1. juli 2015. Der har derfor ikke i
hele perioden for datatrækket været den samme lovgivning for så vidt angår krav om registre-
ring heraf i afdelingens tvangsprotokol. Den årlige monitoreringsopgørelse af tvang overfor
mindreårige vil således fremhæve, hvor stor en andel af de registrerede foranstaltninger, der
iværksættes overfor mindreårige mod dennes vilje, som er iværksat med informeret samtykke
fra forældremyndighedens indehaver.
Vedrørende monitorering af tvangsfiksering vil det blive angivet, hvor stor en andel af de re-
gistrerede bæltefikseringer, der er frivillige.
5
§71, Alm.del - 2019-20 - Endeligt svar på spørgsmål 7: Spm. om der ses en stigning i andre former for tvang i psykiatrien mens der er fokus på at nedbringe anvendelsen af bæltefiksering, til sundheds- og ældreministeren
2102674_0061.png
Pr. 1. juli 2015 blev det endvidere muligt for regionerne at registrere, hvorvidt den anvendte
tvang forekommer i forbindelse med tvangsbehandling af legemlig lidelse i somatisk afde-
lingsregi.
Enkelte afdelinger har højtspecialiserede funktioner som er landsdækkende
2
. Det betyder, at
nogle regioner behandler komplicerede patienter fra andre regioner. Dette kan naturligvis af-
stedkomme et fald i anvendelsen af tvang i en region, og en stigning i anvendelsen af tvang i
den region som modtager patienten. De højtspecialiserede funktioner er ikke ligeligt fordelt
mellem regionerne, og det er de mest komplekse og komplicerede patienter derfor heller ikke,
da disse patienter overflyttes mellem regionerne. Dette forhold kan påvirke udviklingen i
tvangstallene i den enkelte region.
5. Sundhedsstyrelsens kommentering
Regionerne har forskellige udgangspunkter, når det kommer til størrelse af optagerområde,
patientsammensætningens tyngde mv. Dette skal der tages højde for, når data sammenlignes
på tværs af regionerne. Der er mange hensyn at tage i fortolkningen af de rå tal for tvang. På
baggrund heraf er der udarbejdet et notat, der nærmere beskriver datagrundlag, metode og in-
dikatorer. Notatet findes i bilag 3
Dokumentation af indikatorer for tvang i psykiatrien.
Da der ikke er fastsat årlige mål for nedbringelsen af tvangsanvendelsen, vil Sundhedsstyrel-
sens kommentarer være centreret om, hvorvidt der er tale om en positiv eller negativ udvik-
ling inden for anvendelsen af udvalgte former for tvang.
2
Link til specialevejledningen for psykiatriområdet:
http://sundhedsstyrelsen.dk/da/sundhed/planlaegning-og-
beredskab/specialeplanlaegning/specialeplan-2010/psykiatri
6
§71, Alm.del - 2019-20 - Endeligt svar på spørgsmål 7: Spm. om der ses en stigning i andre former for tvang i psykiatrien mens der er fokus på at nedbringe anvendelsen af bæltefiksering, til sundheds- og ældreministeren
2102674_0062.png
Tilsynet i henhold til grundlovens § 71 2018-19
§71 Alm.del - Bilag 98
Offentligt
Dato 21-09-2017
Sagsnr. 4-1613-76/4
abmo
93 59 64 33
Bilag 2 Oversigt over tvangsformer
Nedenfor er de tvangsformer, der vedrører den løbende monitorering af tvang i psykiatrien
kort beskrevet i henhold til psykiatriloven
1
. Visse steder er der tillige knyttet supplerende
kommentarer.
Tvangsindlæggelse
§§ 6 og 7 med flere. Familiemedlemmer, naboer, hjemmehjælpere, personale på bosteder, po-
litiet eller andre skal kontakte en læge, hvis de bliver opmærksomme på, at en person, der må
antages at være sindssyg (psykotisk), har behov for hjælp. Lægen, der undersøger personen,
kan iværksætte tvangsindlæggelse af den pågældende på en psykiatrisk afdeling, hvis:
1. patienten er sindssyg eller i en tilstand, der svarer til sindssygdom.
2. det er uforsvarligt at undlade at frihedsberøve patienten for at kunne give behandling, fordi:
a) udsigten til helbredelse eller en betydelig og afgørende bedring af sygdommen ellers vil
blive væsentligt forringet, eller
b) patienten er til nærliggende og væsentlig fare for sig selv eller andre.
Hvis lægen iværksætter tvangsindlæggelse af patienten, skal politiet efterfølgende sikre sig, at
lovens betingelser og tidsfrister for tvangsindlæggelse er overholdt og ledsage patienten til en
psykiatrisk afdeling. Ved ankomsten til afdelingen skal en overlæge afgøre, om tvangsind-
læggelsen skal gennemføres.
Tvangstilbageholdelse
§ 10. En overlæge kan beslutte, at en patient ikke kan udskrives fra en psykiatrisk afdeling.
Der gælder samme betingelser for en tvangstilbageholdelse som for en tvangsindlæggelse.
Hvis en patient ønsker at blive udskrevet, skal overlægen inden for 24 timer afgøre, om øn-
sket skal imødekommes, eller om patienten skal tvangstilbageholdes. I tilfælde, hvor patienten
1
Bekendtgørelse nr. 1729 af 2. december 2010 lov om anvendelse af tvang i psykiatrien.
https://www.retsinformation.dk/Forms/R0710.aspx?id=134497
Bilag x
§71, Alm.del - 2019-20 - Endeligt svar på spørgsmål 7: Spm. om der ses en stigning i andre former for tvang i psykiatrien mens der er fokus på at nedbringe anvendelsen af bæltefiksering, til sundheds- og ældreministeren
lige er blevet tvangsindlagt, har overlægen 48 timer regnet fra indlæggelsestidspunktet til at
træffe sin afgørelse.
Tvangsindlæggelse og tvangstilbageholdelse betegnes under ét som frihedsberøvelse. Hvis
betingelserne for frihedsberøvelse er til stede, skal der ske tvangstilbageholdelse. Hvis betin-
gelserne ikke er til stede, skal ønsket om udskrivelse imødekommes.
Tvangsmedicinering
§ 12, stk. 2. Ved tvangsmedicinering skal der anvendes afprøvede lægemidler i sædvanlig do-
sering og med færrest mulige bivirkninger. Tvangsmedicinering må ikke påbegyndes, før pa-
tienten har haft en passende betænkningstid, dog højst tre dage.
Beroligende medicin
§ 17, stk. 2. Er det af afgørende betydning for bedring af en meget urolig patients tilstand, kan
lægen bestemme, at patienten om fornødent med magt skal have et beroligende middel. I
modsætning til tvangsmedicinering kan beroligende medicin kun gives i enkeltstående tilfæl-
de.
Tvangsfiksering
(omfatter ikke § 18 vedr. beskyttelsesfiksering )
§ 14. Som midler til tvangsfiksering må alene anvendes bælte, hånd- og fodremme samt hand-
sker.
Stk. 2. Tvangsfiksering må kun anvendes, i det omfang det er nødvendigt for at afværge, at en
patient:
1. udsætter sig selv eller andre for nærliggende fare for at lide skade på legeme eller helbred,
2. forfølger eller på anden lignende måde groft forulemper medpatienter eller
3. øver hærværk af ikke ubetydeligt omfang.
Overlægen kan, hvis det er nødvendigt, også beslutte, at der udover et mavebælte også skal an-
vendes hånd- og fodremme og/eller handsker. Fiksering med remme anvendes således ikke uden
en fiksering med mavebælte.
Fastholden
§ 17. I visse situationer er det tilladt for personalet at holde en patient fast og eventuelt føre
vedkommende til et andet opholdssted på sygehuset. Personalet må også bruge fysisk magt
for at forhindre, at en frihedsberøvet patient forlader afdelingen. Fysisk magt må bruges under
de samme betingelser som tvangsfiksering.
Personlig skærmning
§ 18 d. Ved personlig skærmning forstås foranstaltninger, hvor et eller flere personalemed-
lemmer konstant befinder sig i umiddelbar nærhed af patienten.
Stk. 2. Personlig skærmning, som patienten ikke samtykker til, må kun benyttes, i det omfang
det er nødvendigt for at afværge, at en patient:
1. begår selvmord eller på anden vis udsætter sit eller andres helbred for betydelig skade eller
2. forfølger eller på anden lignende måde groft forulemper medpatienter eller andre.
2
§71, Alm.del - 2019-20 - Endeligt svar på spørgsmål 7: Spm. om der ses en stigning i andre former for tvang i psykiatrien mens der er fokus på at nedbringe anvendelsen af bæltefiksering, til sundheds- og ældreministeren
2102674_0064.png
Der henvises også til Ministeriet for Sundheds og Forebyggelses pjece om Tvang i Psykiatri-
en
om psykiatriske patienters rettigheder ved tvangsanvendelse
2
.
Hvis patienten ikke samtykker til personlig skærmning, skal det registreres, når skærmingen
uafbrudt har strakt sig over en periode på mere end 24 timer
3
.
2
Link til pjecen:
http://sum.dk/Aktuelt/Publikationer/~/media/Filer%20-%20dokumenter/Pjece-tvang-i-
psykiatri-2013/Pjece%20-%20tvang%20i%20psykiatrien%202013.ashx
3
Jf. Sundhedsstyrelsens Vejledning om udfyldelse af tvangsprotokoller (registrering af anvendelse af tvang i
psykiatrien) samt registrering af anvendelse af udskrivningsaftaler/koordinationsplaner
3
§71, Alm.del - 2019-20 - Endeligt svar på spørgsmål 7: Spm. om der ses en stigning i andre former for tvang i psykiatrien mens der er fokus på at nedbringe anvendelsen af bæltefiksering, til sundheds- og ældreministeren
2102674_0065.png
Tilsynet i henhold til grundlovens § 71 2018-19
§71 Alm.del - Bilag 98
Offentligt
Center for Sundhedsanalyser, Lægemiddelstatistik og Sundhedsdataprogrammet
28. september 2016
Dokumentation af indikatorer for tvang i psykiatrien
Notatet beskriver og dokumenterer de indikatorer, der af Task Force for Psykiatriområdet er foreslået til
monitorering af tvang i psykiatrien med henblik på at opnå målsætningen om halvering af anvendelse af
tvangsforanstaltninger i 2020 i forhold til beregnet baseline for årene 2011-2013.
Notatet beskriver overordnet beregningsgrundlaget samt valgte metoder til at beregne indikatorerne.
Dokumentet er tænkt som en uddybning af værdierne og datagrundlaget bag opgørelsen af indikatorerne.
Dokumentet er delt op i følgende overafsnit:
1.
2.
3.
4.
5.
Frekvens for offentliggørelse af indikatorer for tvang i psykiatrien
Datagrundlag
Om data for tvang i psykiatrien
Metodevalg
Indikatorbeskrivelse
Ad 1) Frekvens for offentliggørelse af indikatorer for tvang i psykiatrien
Frekvensen er to årlige offentliggørelser af indikatorerne for løbende år, hvilket vil sige 12 på hinanden
følgende måneder.
Dette indebærer, at hver anden offentliggørelse er tal for et helt år, mens hver anden vil medtage andet
halvår for foregående år samt første halvår for indeværende år.
Ved opgørelse af hele år opgøres tal efter kalenderårets udløb på årsniveau i forhold til baseline med
offentliggørelse i april måned. De årlige opgørelser skal ses som en status i forhold til målet i 2020.
Baseline er fastlagt som et simpelt gennemsnit af årene 2011-2013.
På samme måde opgøres indikatorerne på årsniveau glidende over to fortløbende kalenderår på basis af
registerdata fra 1. juli foregående år til 30. juni indeværende år. Fx medtager offentliggørelsen i oktober
måned 2016 data fra 1. juli 2015 til og med 30. juni 2016. Data vises ligeledes i forhold til baseline med
offentliggørelse i oktober måned.
Ad 2) Datagrundlag
Datagrundlaget for opgørelsen af tvang i psykiatrien er Register for Anvendelse af Tvang i Psykiatrien (TIP).
Regionerne indberetter til registeret via Sundhedsdatastyrelsens Elektroniske Indberetningssystem (SEI).
Der skelnes i opgørelserne mellem to opgørelsesmetoder:
1. Påbegyndte tvangsforanstaltninger i perioden
§71, Alm.del - 2019-20 - Endeligt svar på spørgsmål 7: Spm. om der ses en stigning i andre former for tvang i psykiatrien mens der er fokus på at nedbringe anvendelsen af bæltefiksering, til sundheds- og ældreministeren
2102674_0066.png
2. Patienter berørt af tvangsforanstaltninger inden for perioden.
”Påbegy dt” betyder, at tva gsfora stalt i ge er påbegy dt i de giv e periode, dvs. baseret på episoder,
hvor startdatoen falder inden for periodens start- og afslutningstidspunkt.
Kvartiler og median er beregnet på baggrund af påbegyndte bæltefikseringer, hvor fikseringen ligeledes er
afsluttet. Dette indebærer, at uafsluttede bæltefikseringer ikke medtages i beregningen.
”Berørt” betyder, at
den enkelte patient er berørt af en af tvangsforanstaltningerne i perioden. Dvs. alle
patienter med tvangsforanstaltning påbegyndt inden for anvendte tidsperiode er medtaget tælles med som
patienter berørt af tvangsforanstaltning. Der udover tælles personer med hvis tvangsforanstaltningen er
påbegyndt i perioden, men uden ophørsdato. Se grafisk eksempel (figur 1) nedenfor.
Figur 1. Illustration af patientforløb, der indgår i opgørelsen af berørte patienter/patienter med
påbegyndte behandlinger i 2015
1. januar 2015
31. december 2015
Tid
Patientforløb, der tæller både med i berørte patienter og påbegyndte
tvangsforanstaltninger
Patientforløb, der kun tæller med i berørte patienter
Patientforløb, der ikke tæller med i nogen af periodens opgørelser
§71, Alm.del - 2019-20 - Endeligt svar på spørgsmål 7: Spm. om der ses en stigning i andre former for tvang i psykiatrien mens der er fokus på at nedbringe anvendelsen af bæltefiksering, til sundheds- og ældreministeren
2102674_0067.png
Konsekvensen er, at registreringer i Registeret for Tvang i Psykiatrien uden registreret slutdato for
tvangsforanstaltningen ikke tæller med i opgørelserne over berørte, men kun tæller med i opgørelserne
over påbegyndte tvangsforanstaltning
1
. Fra og med opgørelsen af indikatorerne for hele året 2014 vil det
dog være sådan, at patienter med tvangsforanstaltning uden indberettet slutdato med startdato i perioden
tæller med i opgørelsen for den givne periode, men ikke i senere perioder.
Når andelen af personer med tvangsforanstaltninger opgøres
i forhold til antallet af indlagte,
medtages
oplysninger i Landspatientregistret i beregningen. Det drejer sig om patienter med kontakttypen
indlæggelse.
Alle opgørelser på data fra Landspatientregisteret er afgræ
set so
indikatoren.
”berørt” –
både i nævner og tæller for
Ved opgørelser
i forhold til befolkningstallet
er kilden til antallet af borgere Danmarks Statistiks
kvartalsvise opgørelse af befolkningstallet (Statistikbanken/folk1).
Antallet af borgere i regionerne er opgjort ved årets start for hele år og 3. kvartals start for løbende år.
3) Om data for tvang i psykiatrien
Data omfatter indberetninger til Register for Tvang i Psykiatrien (TIP), herunder:
a) Data fra voksenpsykiatrien og børne- og ungdomspsykiatrien.
b) Data fra både almenpsykiatriske afdelinger og retspsykiatrien.
c) Data for patienter som er udsat for tvangsforanstaltninger (i psykiatrilovens forstand) under indlæggelse
på somatiske afdelinger.
d) Data fra afdelinger med hovedfunktion, regionsfunktion og højtspecialiseret funktion. De
højtspecialiserede funktioner inden for de to psykiatriske specialer er ikke ligeligt fordelt mellem
regionerne, hvilket alt andet lige betyder, at de mest komplekse og komplicerede patienter behandles i
udvalgte regioner.
Dataafgrænsning
Data fra Sikringen indgår ikke i opgørelserne.
1
Dette gælder dog ikke for opgørelsen af akut beroligende medicin som tvangsforanstaltning, da der ikke indberettes
slutdato her, og derfor er der teknisk sat en kunstig slutdato (samme dato som startdato), så man er i stand til at opgøre
antallet af berørte personer.
§71, Alm.del - 2019-20 - Endeligt svar på spørgsmål 7: Spm. om der ses en stigning i andre former for tvang i psykiatrien mens der er fokus på at nedbringe anvendelsen af bæltefiksering, til sundheds- og ældreministeren
2102674_0068.png
Fastholdelser, der er tilladte tvangsmidler i forbindelse med tvangsbehandling (eksempelvis
tvangsmedicinering eller tvangsernæring) på skema 2 indgår ikke i opgørelsen af fastholdelser, der
registreres på skema 3.
Udskriv i gsaftaler og koordi atio spla er i dgår ikke i opgørelse af ”al tva g”. Baggru de
er, at det
ikke er en tvangsforanstaltning.
Børn og unge
Der skal foretages registrering i tvangsprotokol, når der over for patienter under 15 år og umodne 15-17-
årige iværksættes tvangsforanstaltninger i medfør af psykiatriloven i de tilfælde, hvor foranstaltningerne
iværksættes mod patientens vilje og uden informeret samtykke fra forældremyndighedens indehaver.
Såfremt disse foranstaltninger iværksættes mod den mindreåriges vilje, men med informeret samtykke fra
forældremyndighedens indehaver, betragtes det ikke som tvang i Psykiatrilovens forstand. I de tilfælde
hvor en afdeling frivilligt indberetter disse foranstaltninger, tæller de med som tvang.
Der skelnes i nogle indikatorer imellem voksenpsykiatrien og børne- og ungdomspsykiatrien. Som følge af
ny psykiatrilov 1/6-2015 sidestilles tvang mod 15-17 årige med vokse og iværksættelser mod patienter
under 15 år gøres indberetningspligtigt. Det kan påvirke indikatorerne 7.01-7.03 og 8.01-8.03. Tidligere har
Sundhedsstyrelsen kun henstillet til indberetning af iværksættelser mod børn og unge.
Der skal være opmærksomhed på, at Region Syddanmark anvender en aldersdifferentiering for børn og
ungepsykiatrien på til og med 19 år.
Frivillige bæltefikseringer
Frivillige bæltefikseringer er medregnet i opgørelsen af bæltefikseringer. Det vil sige bæltefikseringer, hvor
patienten selv anmoder om at blive lagt i bælte af tryghedsgrunde.
Andel indlagte som bæltefikseres
Udviklingen i hovedi
dikatore ”a dele af perso er, der bæltefikseres” påvirkes både af udvikli ge i
antal patienter berørt af bæltefiksering og udviklingen i antal patienter berørt af indlæggelser. Nedlægges
der eksempelvis et større antal senge i psykiatrien over de kommende år, må andelen af patienter som
bæltefikseringer alt andet lige forventes at stige. Dette skyldes at det må forventes at være de mest
komplekse patienter, som fortsat indlægges, og dermed den gruppe som er i størst risiko for at blive
bæltefikseret.
Al tvang
I opgørelse af ”al tva g” i dgår følge de tva gstyper:
Frihedsberøvelse
§71, Alm.del - 2019-20 - Endeligt svar på spørgsmål 7: Spm. om der ses en stigning i andre former for tvang i psykiatrien mens der er fokus på at nedbringe anvendelsen af bæltefiksering, til sundheds- og ældreministeren
2102674_0069.png
Tvangsindlæggelse
Tvangstilbageholdelse
Tvangsbehandling
Tvangsmedicinering
Tvangsbehandling Med ECT
Tvangsernæring
Tvangsbehandling for legemlig lidelse
Tvungen opfølgning efter udskrivelse
Fysisk magtanvendelse
Tvangsfikseringer med bælte
Fikseringer med remme
Anvendelse af handsker
Fastholdelser
Dørafløsning
ikke patientstuer, men yderdøre
Akut beroligende medicin
Skærmning over 24 timer
Beskyttelsesforanstaltninger
Beskyttelsesfikseringer med stofbælte og lignende
Aflåsning af yderdøre
Personlige alarmsystemer
Særlige dørlåse
Andet
Ad 4) Metodevalg
Indikatorerne bliver offentliggjort på regions- og landsniveau. Ligeledes er beregningerne for alle former for
tvangsforanstaltninger blevet placeret nederst i opgørelsen.
§71, Alm.del - 2019-20 - Endeligt svar på spørgsmål 7: Spm. om der ses en stigning i andre former for tvang i psykiatrien mens der er fokus på at nedbringe anvendelsen af bæltefiksering, til sundheds- og ældreministeren
2102674_0070.png
I opgørelserne i forhold til antallet af borgere i regionen, er der afgrænset på to forskellige måder:
Opgørelserne baseret på data fra Registeret for Tvang i Psykiatrien er afgrænset på sygehusregion, mens
opgørelserne baseret på befolkningstallet er afgrænset på bopælsregion. Denne inkonsistens skyldes, at
det er nødvendigt at bibeholde muligheden for regionerne at genskabe og validere tallene. Dette er ikke
muligt, hvis afgrænsningen i TIP-data sker på bopælsregion.
Ad 5) Indikatorbeskrivelse
Nedenfor i tabel 1 ses indikatorerne med beskrivelse af beregningsmetode:
§71, Alm.del - 2019-20 - Endeligt svar på spørgsmål 7: Spm. om der ses en stigning i andre former for tvang i psykiatrien mens der er fokus på at nedbringe anvendelsen af bæltefiksering, til sundheds- og ældreministeren
2102674_0071.png
Tabel 1 - Indikatorbeskrivelse
Nr.
Indikator
Enhed
Andel i pct.
Beskrivelse
Andel beregnes som
antal personer berørt af
bæltefiksering af antal
berørt af indlæggelse i
perioden.
Fortolkning og
sammenhæng
Andelen udgør forholdet
mellem personer, der
bæltefikseres, og
personer, der er indlagt
på en psykiatrisk afdeling
i perioden. Den udgør
hovedindikatoren og skal
ifølge aftalen halveres
frem til 2020.
Denne indikator
fortæller, hvorvidt
populationen af
bæltefikserede patienter
er faldende eller
stigende.
Den er tælleren i
indikator 1.01.
Forbehold og
substitutionseffekt
Andelen påvirkes både af
nævner og tæller. Derfor
bør denne indikator ses i
sammenhæng med
indikator 1.02, som er
i dikator . ’s tæller.
1.01 Andelen af
personer der
bæltefikseres af
antal indlagte
1.02 Antal personer der Antal berørt Antal berørt er unikke
bæltefikseres
personer, hvor tvang er
startet før periodens
udløb og sluttet efter
periodens start.
Indikatoren skal ses i
sammenhæng med
udviklingen i antal
Tvangsindlæggelser
Tvangstilbageholdelser
Skærmning
Tvangsmedicinering
Fastholdelser
1.03 Total antal
bæltefikseringer
Antal
påbegyndt
Antal påbegyndt er
summen af tvang med
startdato i perioden.
Bør ses i sammenhæng
med indikator 1.04-1.11,
som beskriver
udviklingen i længden af
bæltefikseringerne.
Indikator 1.03 kan godt
stige, selvom indikator
1.02 falder, hvis de
personer, der
bæltefikseres, fikseres
oftere. Der kan være en
substitution fra lange
fikseringer til flere korte
fikseringer.
Denne indikator skal
fortolkes i sammenhæng
med indikator 1.03. Hvis
antallet af
bæltefikseringer falder kan
det påvirke medianen.
Hvis det eksempelvis er de
kortvarige fikseringer der
reduceres først, vil
medianen stige, fordi
anvendelsen af tvang
falder.
1.04 Længden af
bæltefikseringer
(median)
Antal timer
Median af varighed af
bæltefikseringer målt i
timer.
Indikatoren bør ses i
sammenhæng med
indikator 1.03, som
beskriver udviklingen i
det totale antal
bæltefikseringer.
Indikator 1.04-1.06 og
1.07-1.12 angiver
længden af
bæltefikseringer på
forskellig måde.
§71, Alm.del - 2019-20 - Endeligt svar på spørgsmål 7: Spm. om der ses en stigning i andre former for tvang i psykiatrien mens der er fokus på at nedbringe anvendelsen af bæltefiksering, til sundheds- og ældreministeren
2102674_0072.png
Nr.
Indikator
Enhed
Antal timer
Beskrivelse
Fortolkning og
sammenhæng
Forbehold og
substitutionseffekt
Skal fortolkes i
sammenhæng med
indikator 1.03. Hvis
antallet af
bæltefikseringer falder,
kan det påvirke nedre
kvartil.
1.05 Længden af
bæltefikseringer
(nedre kvartil)
Nedre kvartil af varighed Indikator 1.04-1.06 og
af bæltefikseringer målt i 1.07-1.12 angiver
længden af
timer.
bæltefikseringer på
forskellig måde.
1.06 Længden af
bæltefikseringer
(øvre kvartil)
Antal timer
Øvre kvartil af varighed Indikator 1.04-1.06 og
af bæltefikseringer målt i 1.07-1.12 angiver
længden af
timer.
bæltefikseringer på
forskellig måde.
Skal fortolkes i
sammenhæng med
indikator 1.03. Selv hvis
det samlede antal af
bæltefikseringer falder,
kan det øge øvre kvartil.
1.07 Total antal
Antal
bæltefikseringer 0- påbegyndt
2 timer
Antal påbegyndte
bæltefiksering med
varighed af 0-2 timer
Indikator 1.04-1.06 og
1.07-1.12 angiver
længden af
bæltefikseringer på
forskellig måde.
Der kan ske en
substitution fra få
langvarige fikseringer til
mange kortvarige
fikseringer og omvendt.
Det er derfor vigtigt at se
udviklingen i indikator
1.07 til 1.12 i
sammenhæng.
Der kan ske en
substitution fra få
langvarige fikseringer til
mange kortvarige
fikseringer og omvendt.
Det er derfor vigtigt at se
udviklingen i indikator
1.07 til 1.12 i
sammenhæng.
Der kan ske en
substitution fra få
langvarige fikseringer til
mange kortvarige
fikseringer og omvendt.
Det er derfor vigtigt at se
udviklingen i indikator
1.07 til 1.12 i
sammenhæng.
1.08 Total antal
Antal
bæltefikseringer 2- påbegyndt
8 timer
Antal påbegyndte
bæltefiksering med
varighed af 2-8 timer
Indikator 1.04-1.06 og
1.07-1.12 angiver
længden af
bæltefikseringer på
forskellig måde.
1.09 Total antal
Antal
bæltefikseringer 8- påbegyndt
24 timer
Antal påbegyndte
bæltefiksering med
varighed af 8-24 timer
Indikator 1.04-1.06 og
1.07-1.12 angiver
længden af
bæltefikseringer på
forskellig måde.
§71, Alm.del - 2019-20 - Endeligt svar på spørgsmål 7: Spm. om der ses en stigning i andre former for tvang i psykiatrien mens der er fokus på at nedbringe anvendelsen af bæltefiksering, til sundheds- og ældreministeren
2102674_0073.png
Nr.
Indikator
Enhed
Antal
påbegyndt
Beskrivelse
Antal påbegyndte
bæltefiksering med
varighed af 24-48 timer
Fortolkning og
sammenhæng
Indikator 1.04-1.06 og
1.07-1.12 angiver
længden af
bæltefikseringer på
forskellig måde.
Forbehold og
substitutionseffekt
Der kan ske en
substitution fra få
langvarige fikseringer til
mange kortvarige
fikseringer og omvendt.
Det er derfor vigtigt at se
udviklingen i indikator
1.07 til 1.12 i
sammenhæng.
Der kan ske en
substitution fra få
langvarige fikseringer til
mange kortvarige
fikseringer og omvendt.
Det er derfor vigtigt at se
udviklingen i indikator
1.07 til 1.12 i
sammenhæng.
1.10 Total antal
bæltefikseringer
24-48 timer
1.11 Total antal
bæltefikseringer
over 48 timer
Antal
påbegyndt
Antal påbegyndte
bæltefiksering med
varighed over 48 timer.
Bæltefikseringer uden
slutdato er udeladt.
Indikator 1.04-1.06 og
1.07-1.12 angiver
længden af
bæltefikseringer på
forskellig måde.
1.12 Sum af
bæltefikseringer
over 48 timers
varighed
2.01 Antal personer
hvor der bruges
remme
Sum af antal Den samlede sum af
timer
bæltefikseringer over 48
timers varighed.
Bæltefikseringer uden
slutdato er udeladt.
Antal berørt Antal berørt er unikke
personer, hvor tvang er
startet før periodens
udløb og sluttet efter
periodens start
Antal påbegyndt er
summen af tvang med
startdato i perioden.
Andel beregnes som
antal personer berørt af
fiksering med remme af
antal berørt af
indlæggelse i perioden.
Indikator 1.04-1.06 og
1.07-1.12 angiver
længden af
bæltefikseringer på
forskellig måde.
Brugen af remme er
afhængig af brugen af
bæltefikseringer. Der kan
kun bruges remme, hvis
patienten er
bæltefikseret.
2.02 Total antal remme Antal
påbegyndt
2.03 Andelen af
personer hvor der
bruges remme af
antal indlagte
Andel i pct.
Indikatoren påvirkes
både af udviklingen i
antal indlagte og i antal
fikseringer med remme.
§71, Alm.del - 2019-20 - Endeligt svar på spørgsmål 7: Spm. om der ses en stigning i andre former for tvang i psykiatrien mens der er fokus på at nedbringe anvendelsen af bæltefiksering, til sundheds- og ældreministeren
2102674_0074.png
Nr.
Indikator
Enhed
Beskrivelse
Antal berørt er unikke
personer, hvor tvang er
startet før periodens
udløb og sluttet efter
periodens start.
Antal påbegyndt er
summen af tvang med
startdato i perioden.
Fortolkning og
sammenhæng
I modsætning til
tvangsmedicinering kan
beroligende medicin kun
gives i enkeltstående
tilfælde.
Forbehold og
substitutionseffekt
En stigning i denne
indikator kan være udslag
af substitution fra andre
tvangsforanstaltninger
som bæltefiksering mm.
3.01 Antal personer der Antal berørt
får beroligende
medicin med
tvang
3.02 Total antal gange
der gives
beroligende
medicin med
tvang
3.03 Andelen af
personer der får
beroligende
medicin af antal
indlagte
Antal
påbegyndt
Andel i pct.
Andel beregnes som
antal personer hvor der
er anvendt beroligende
medicin af antal
personer berørt af
indlæggelse i perioden.
En stigning i denne
indikator kan betyde, at
der for at undgå
bæltefiksering oftere
benyttes fastholden over
for den enkelte patient.
Desuden kan det være, at
der skal 3-4 fastholdelser
til for at undgå en
bæltefiksering. Så man kan
ikke antage at forholdet er
1:1 i substitution.
4.01 Antal personer der Antal berørt Antal berørt er unikke
fastholdes
personer, hvor tvang er
startet før periodens
udløb og sluttet efter
periodens start.
4.02 Total antal gange
der fastholdes
Antal
påbegyndt
Antal påbegyndt er
summen af tvang med
startdato i perioden.
Andel beregnes som
antal personer berørt af
fastholdelse af antal
berørt af indlæggelse i
perioden.
4.03 Andelen af
Andel i pct.
personer der
fastholdes af antal
indlagte
§71, Alm.del - 2019-20 - Endeligt svar på spørgsmål 7: Spm. om der ses en stigning i andre former for tvang i psykiatrien mens der er fokus på at nedbringe anvendelsen af bæltefiksering, til sundheds- og ældreministeren
2102674_0075.png
Nr.
Indikator
Enhed
Beskrivelse
Fortolkning og
sammenhæng
Forbehold og
substitutionseffekt
En stigning i denne
indikator kan være udslag
af substitution fra andre
tvangsforanstaltninger
som bæltefiksering mm.
5.01 Antal personer der Antal berørt Antal berørt er unikke
skærmes
personer, hvor tvang er
startet før periodens
udløb og sluttet efter
periodens start.
5.02 Total antal gange
der skærmes
5.03 Andelen af
personer der
skærmes af antal
indlagte
Antal
påbegyndt
Andel i pct.
Antal påbegyndt er
summen af tvang med
startdato i perioden.
Andel beregnes som
antal personer berørt af
skærmniong af antal
berørt af indlæggelse i
perioden.
Antal berørt er unikke
personer, hvor tvang er
startet før periodens
udløb og sluttet efter
periodens start.
Tvangsmedicinering
omfatter den
tvangsmedicinering
iværksat på psykiatriske
afdelinger, samt de
tvangsmedicineringer,
der under særlige vilkår
kan være iværksat på
somatiske afdelinger.
6.01 Antal personer der Antal berørt
tvangsmedicineres
(omfatter ikke
akut beroligende)
6.02 Andelen af
Andel i pct.
personer der
tvangsmedicineres
af antal indlagte
7.01 Antal af børn og
Antal berørt
unge under 18 der
tvangsindlægges
eller
tvangstilbageholde
s
Andel beregnes som
antal personer berørt af
tvangsmedicinering af
antal berørt af
indlæggelse i perioden.
Antal berørt er unikke
personer, hvor tvang er
startet før periodens
udløb og sluttet efter
periodens start. Alder er
beregnet ved startdato
for tvang.
§71, Alm.del - 2019-20 - Endeligt svar på spørgsmål 7: Spm. om der ses en stigning i andre former for tvang i psykiatrien mens der er fokus på at nedbringe anvendelsen af bæltefiksering, til sundheds- og ældreministeren
2102674_0076.png
Nr.
Indikator
Enhed
Beskrivelse
Andel er beregnet som
antal personer berørt af
frihedsberøvelse af antal
berørt af indlæggelse i
perioden. Alder er
beregnet ved startdato
for tvang. Alder for
indlagte er beregnet ved
periodens start.
Antal pr. 100.000
borgere i regionen primo
perioden. Alder er
beregnet ved startdato
for tvang. Alder for
borgere er beregnet ved
periodens start.
Antal berørt er unikke
personer, hvor tvang er
startet før periodens
udløb og sluttet efter
periodens start. Alder er
beregnet ved startdato
for tvang.
Andel er beregnet som
antal personer berørte
frihedsberøvelse af antal
berørt af indlæggelse i
perioden. Alder er
beregnet ved startdato
for tvang. Alder for
indlagte er beregnet ved
periodens start.
Antal pr. 100.000
borgere i regionen primo
perioden. Alder er
beregnet ved startdato
for tvang. Alder for
borgere er beregnet ved
periodens start.
Fortolkning og
sammenhæng
Forbehold og
substitutionseffekt
7.02 Andel af børn der Andel i pct.
tvangsindlægges
eller
tvangstilbageholde
s i forhold til antal
indlagte
7.03 Antal børn der
Antal pr.
tvangsindlægges
100.000
eller
tvangstilbageholde
s pr. 100.000
borgere i regionen
7.04 Antal voksne der
Antal berørt
tvangsindlægges
eller
tvangstilbageholde
s
7.05 Andel af voksne
Andel i pct.
der
tvangsindlægges
eller
tvangstilbageholde
s i forhold til antal
indlagte
7.06 Antal voksne der
Antal pr.
tvangsindlægges
100.000
eller
tvangstilbageholde
s pr. 100.000
borgere i regionen
§71, Alm.del - 2019-20 - Endeligt svar på spørgsmål 7: Spm. om der ses en stigning i andre former for tvang i psykiatrien mens der er fokus på at nedbringe anvendelsen af bæltefiksering, til sundheds- og ældreministeren
2102674_0077.png
Nr.
Indikator
Enhed
Beskrivelse
Antal berørt er unikke
personer, hvor tvang er
startet før periodens
udløb og sluttet efter
periodens start. Alder er
beregnet ved startdato
for tvang.
Andel er beregnet som
antal personer berørt
frihedsberøvelse af antal
berørt af indlæggelse i
perioden. Alder er
beregnet ved startdato
for tvang. Alder for
indlagte er beregnet ved
periodens start.
Antal pr. 100.000
borgere i regionen primo
perioden. Alder er
beregnet ved startdato
for tvang. Alder for
borgere er beregnet ved
periodens start.
Fortolkning og
sammenhæng
Forbehold og
substitutionseffekt
7.07 Antal personer der Antal berørt
tvangsindlægges
eller
tvangstilbageholde
s
7.08 Andel personer
Andel i pct.
der
tvangsindlægges
eller
tvangstilbageholde
s i forhold til antal
indlagte
7.09 Antal personer der Antal pr.
tvangsindlægges
100.000
eller
tvangstilbageholde
s pr. 100.000
borgere i regionen
8.01 Antal af børn og
unge under 18
berørt af en eller
flere
tvangsforanstaltni
nger
Antal berørt Antal berørt er unikke
personer, hvor tvang er
startet før periodens
udløb og sluttet efter
periodens start. Alder er
beregnet ved startdato
for tvang.
Indikator 8.01-8.09
indeholder al tvang i
forbindelse med
indlæggelse, ophold og
behandling på en
psykiatrisk afdeling
(skema 1-4). Indikatorer
for al tvang er primært
med i forhold til at
monitorere
substitutionseffekter.
Indikatoren er opgjort på
unikke CPR-numre,
hvilket betyder, at
personer, der berøres af
flere former for tvang,
kun optræder én gang i
indikatoren.
Indikatorerne 8.01-8.09
summerer over forskellige
tvangsbegreber. Man bør
derfor være varsom i
fortolkningen af
udviklingen i den.
Eksempelvis sidestilles
bæltefiksering med
skærmning i opgørelsen af
denne indikator.
§71, Alm.del - 2019-20 - Endeligt svar på spørgsmål 7: Spm. om der ses en stigning i andre former for tvang i psykiatrien mens der er fokus på at nedbringe anvendelsen af bæltefiksering, til sundheds- og ældreministeren
2102674_0078.png
Nr.
Indikator
Enhed
Andel i pct.
Beskrivelse
Andel er beregnet som
antal personer berørt af
tvang af antal berørt af
indlæggelse i perioden.
Alder er beregnet ved
startdato for tvang. Alder
for indlagte er beregnet
ved periodens start.
Antal pr. 100.000
borgere i regionen primo
perioden. Alder er
beregnet ved startdato
for tvang. Alder for
borgere er beregnet ved
periodens start.
Fortolkning og
sammenhæng
Forbehold og
substitutionseffekt
8.02 Andel af børn
berørt af en eller
flere
tvangsforanstaltni
nger i forhold til
antal indlagte
8.03 Antal børn berørt Antal pr.
af en eller flere
100.000
tvangsforanstaltni
nger pr. 100.000
borgere i regionen
8.04 Antal voksne
berørt af en eller
flere
tvangsforanstaltni
nger
Antal berørt Antal berørt er unikke
personer, hvor tvang er
startet før periodens
udløb og sluttet efter
periodens start. Alder er
beregnet ved startdato
for tvang.
Andel i pct.
Andel er beregnet som
antal personer berørt af
tvang af antal berørt af
indlæggelse i perioden.
Alder er beregnet ved
startdato for tvang. Alder
for indlagte er beregnet
ved periodens start.
Antal pr. 100.000
borgere i regionen primo
perioden. Alder er
beregnet ved startdato
for tvang. Alder for
borgere er beregnet ved
periodens start.
8.05 Andel af voksne
berørt af en eller
flere
tvangsforanstaltni
nger i forhold til
antal indlagte
8.06 Antal voksne
Antal pr.
berørt af en eller
100.000
flere
tvangsforanstaltni
nger pr. 100.000
borgere i regionen
§71, Alm.del - 2019-20 - Endeligt svar på spørgsmål 7: Spm. om der ses en stigning i andre former for tvang i psykiatrien mens der er fokus på at nedbringe anvendelsen af bæltefiksering, til sundheds- og ældreministeren
2102674_0079.png
Nr.
Indikator
Enhed
Beskrivelse
Fortolkning og
sammenhæng
Forbehold og
substitutionseffekt
8.07 Antal personer
berørt af en eller
flere
tvangsforanstaltni
nger
8.08 Andel personer
berørt af en eller
flere
tvangsforanstaltni
nger i forhold til
antal indlagte
Antal berørt Antal berørt er unikke
personer, hvor tvang er
startet før periodens
udløb og sluttet efter
periodens start.
Andel i pct.
Andel er beregnet som
antal personer berørt af
tvang af antal berørt af
indlæggelse i perioden.
8.09 Antal personer
Antal pr.
berørt af en eller
100.000
flere
tvangsforanstaltni
nger pr. 100.000
borgere i regionen
Antal pr. 100.000
borgere i regionen primo
perioden. Alder er
beregnet ved startdato
for tvang.
§71, Alm.del - 2019-20 - Endeligt svar på spørgsmål 7: Spm. om der ses en stigning i andre former for tvang i psykiatrien mens der er fokus på at nedbringe anvendelsen af bæltefiksering, til sundheds- og ældreministeren
2102674_0080.png
Tilsynet i henhold til grundlovens § 71 2018-19
§71 Alm.del - Bilag 98
Offentligt
1. BÆLTE
INDIKATOR
1.01
Andelen af personer der bæltefikseres
af antal indlagte
( Andel i pct. )
Milepæl 2020:
Reduceres med 50 pct
Baseline
REGION
Hele landet
Region Hovedstaden
Region Midtjyllland
Region Nordjylland
Region Sjælland
Region Syddanmark
Hele landet
Region Hovedstaden
Region Midtjyllland
Region Nordjylland
Region Sjælland
Region Syddanmark
Hele landet
Region Hovedstaden
Region Midtjyllland
Region Nordjylland
Region Sjælland
Region Syddanmark
Hele landet
Region Hovedstaden
Region Midtjyllland
Region Nordjylland
Region Sjælland
Region Syddanmark
Monitorering
2014
7,0
6,1
8,0
6,7
6,6
8,1
1.907
639
419
158
249
473
5.192
1.663
1.222
387
817
1.103
12,3
11,3
11,4
9,0
7,5
20,3
4,3
5,0
4,3
3,2
2,0
9,3
29,7
27,2
23,1
24,1
20,3
48,3
640
165
151
68
193
63
Udvikling
2017
5,4
3,9
8,7
6,6
5,2
4,8
1.435
396
437
145
201
290
4.298
827
1.804
388
476
803
9,0
11,3
6,0
6,3
15,4
11,0
2,9
3,2
2,5
2,3
6,6
3,4
19,8
24,5
14,4
13,4
24,9
24,0
717
150
319
84
26
138
Milepæl
2020
3,9
3,4
4,6
3,8
3,3
4,3
2.035
716
449
174
248
477
5.681
1.770
1.632
593
579
1.107
-
-
-
-
-
-
-
-
-
-
-
-
-
-
-
-
-
-
814
285
276
101
55
97
2011 til 2013
7,7
6,8
9,2
7,6
6,6
8,6
2.035
716
449
174
248
477
5.681
1.770
1.632
593
579
1.107
11,5
9,9
10,1
8,9
14,1
19,8
3,8
3,2
3,3
3,2
5,5
7,8
26,2
22,3
22,1
19,7
30,4
49,1
814
285
276
101
55
97
2015
5,9
4,8
7,8
6,0
5,8
6,5
1.595
504
398
130
215
383
5.061
1.256
1.708
638
490
969
9,8
11,0
6,5
8,8
16,0
13,5
3,2
4,0
2,2
3,2
7,8
4,5
21,5
23,3
15,3
19,0
34,3
27,6
752
165
372
82
33
100
2016
6,3
5,0
9,0
6,4
5,8
6,6
1.654
510
455
137
213
379
5.044
987
2.085
526
431
1.015
9,3
14,0
6,7
5,8
15,3
10,5
3,0
5,5
2,5
1,5
7,3
3,2
20,6
32,0
15,8
16,1
33,1
22,5
795
95
373
128
37
162
2018
5,1
3,7
6,8
6,1
5,2
5,2
1.374
370
349
139
205
338
3.692
748
1.131
397
531
885
10,7
13,3
6,2
7,2
15,8
12,3
3,2
3,8
2,0
2,4
7,0
4,5
22,5
33,1
15,7
17,7
33,0
23,3
550
115
248
74
24
89
Baseline til
2018
-2,6
-3,1
-2,4
-1,5
-1,4
-3,4
-661
-346
-100
-35
-43
-139
-1.989
-1.022
-501
-196
-48
-222
-1
3
-4
-2
2
-8
-1
1
-1
-1
2
-3
-4
11
-6
-2
3
-26
-264
-170
-28
-27
-31
-8
2017-2018
-0,3
-0,2
-1,9
-0,5
0,0
0,4
-61
-26
-88
-6
4
48
-606
-79
-673
9
55
82
2
2
0
1
0
1
0
1
-1
0
0
1
3
9
1
4
8
-1
-167
-35
-71
-10
-2
-49
1.02
Antal personer der bæltefikseres
(
Antal berørt
)
Milepæl 2020:
Reduceres i forhold til
baseline
1.03
Total antal bæltefikseringer
(
Antal påbegyndt
)
Milepæl 2020:
Reduceres i forhold til
baseline
1.04
Længden af bæltefikseringer (median)
( Antal timer )
Milepæl 2020: Området følges
1.05
Længden af bæltefikseringer (nedre
kvartil)
( Antal timer )
Milepæl 2020: Området følges
Hele landet
Region Hovedstaden
Region Midtjyllland
Region Nordjylland
Region Sjælland
Region Syddanmark
Hele landet
Region Hovedstaden
Region Midtjyllland
Region Nordjylland
Region Sjælland
Region Syddanmark
Hele landet
Region Hovedstaden
Region Midtjyllland
Region Nordjylland
Region Sjælland
Region Syddanmark
1.06
Længden af bæltefikseringer (øvre
kvartil)
( Antal timer )
Milepæl 2020: Området følges
1.07
Total antal bæltefikseringer 0-2 timer
(
Antal påbegyndt
)
Milepæl 2020:
Reduceres i forhold til
baseline
§71, Alm.del - 2019-20 - Endeligt svar på spørgsmål 7: Spm. om der ses en stigning i andre former for tvang i psykiatrien mens der er fokus på at nedbringe anvendelsen af bæltefiksering, til sundheds- og ældreministeren
2102674_0081.png
1.08
Total antal bæltefikseringer 2-8 timer
(
Antal påbegyndt
)
Milepæl 2020:
Reduceres i forhold til
baseline
Hele landet
Region Hovedstaden
Region Midtjyllland
Region Nordjylland
Region Sjælland
Region Syddanmark
Hele landet
Region Hovedstaden
Region Midtjyllland
Region Nordjylland
Region Sjælland
Region Syddanmark
Hele landet
Region Hovedstaden
Region Midtjyllland
Region Nordjylland
Region Sjælland
Region Syddanmark
Hele landet
Region Hovedstaden
Region Midtjyllland
Region Nordjylland
Region Sjælland
Region Syddanmark
Hele landet
Region Hovedstaden
Region Midtjyllland
Region Nordjylland
Region Sjælland
Region Syddanmark
1.445
501
441
178
141
184
1.897
577
545
193
214
368
744
212
191
55
88
199
777
196
177
66
80
258
105.798
24.728
25.093
7.578
11.530
36.869
1.277
442
322
112
225
176
1.755
606
451
107
220
371
703
218
147
44
84
210
809
230
150
55
95
279
135.269
26.280
26.492
8.100
21.115
53.282
1.469
358
568
215
90
238
1.711
426
523
215
204
343
563
163
108
58
83
151
551
140
137
64
78
132
70.602
16.802
15.460
8.763
13.242
16.336
1.483
214
774
151
75
269
1.679
375
635
148
180
341
533
134
160
48
66
125
512
164
139
30
70
109
67.129
21.818
18.058
3.446
10.263
13.543
1.313
178
702
139
109
185
1.449
286
555
115
215
278
365
85
103
30
57
90
450
126
125
20
68
111
70.351
23.868
25.240
2.838
6.518
11.888
1.012
161
381
130
119
221
1.267
234
330
118
232
353
403
116
81
41
60
105
451
120
90
33
96
112
54.849
16.098
9.802
2.849
13.992
12.107
-433
-340
-60
-48
-22
37
-630
-343
-215
-75
18
-15
-341
-96
-110
-14
-28
-94
-326
-76
-87
-33
16
-146
-50.949
-8.630
-15.291
-4.729
2.462
-24.762
-301
-17
-321
-9
10
36
-182
-52
-225
3
17
75
38
31
-22
11
3
15
1
-6
-35
13
28
1
-15.502
-7.770
-15.438
11
7.474
219
1.445
501
441
178
141
184
1.897
577
545
193
214
368
744
212
191
55
88
199
389
98
88
33
40
129
105.798
24.728
25.093
7.578
11.530
36.869
1.09
Total antal bæltefikseringer 8-24 timer
(
Antal påbegyndt
)
Milepæl 2020:
Reduceres i forhold til
baseline
1.10
Total antal bæltefikseringer 24-48
timer
(
Antal påbegyndt
)
Milepæl 2020:
Reduceres i forhold til
baseline
1.11
Total antal bæltefikseringer over 48
timer
(
Antal påbegyndt
)
Milepæl 2020:
Reduceres med 50 pct
1.12
Sum af bæltefikseringstimer over 48
timers varighed
( Antal timer )
Milepæl 2020:
Reduceres i forhold til
baseline
§71, Alm.del - 2019-20 - Endeligt svar på spørgsmål 7: Spm. om der ses en stigning i andre former for tvang i psykiatrien mens der er fokus på at nedbringe anvendelsen af bæltefiksering, til sundheds- og ældreministeren
2102674_0082.png
2. REMME
INDIKATOR
2.01
Antal personer hvor der bruges remme
(
Antal berørt
)
Milepæl 2020:
Reduceres i forhold til
baseline
Baseline
REGION
Hele landet
Region Hovedstaden
Region Midtjyllland
Region Nordjylland
Region Sjælland
Region Syddanmark
Hele landet
Region Hovedstaden
Region Midtjyllland
Region Nordjylland
Region Sjælland
Region Syddanmark
Hele landet
Region Hovedstaden
Region Midtjyllland
Region Nordjylland
Region Sjælland
Region Syddanmark
Monitorering
2014
1.270
397
289
87
140
380
2.985
833
737
235
326
854
4,7
3,8
5,5
3,7
3,7
6,5
Udvikling
2017
1.085
314
328
98
135
234
3.033
672
1.208
221
327
605
4,1
3,1
6,5
4,5
3,5
3,9
Milepæl
2020
1.315
399
308
104
146
372
3.463
875
1.099
331
292
867
-
-
-
-
-
-
2011 til 2013
1.315
399
308
104
146
372
3.463
875
1.099
331
292
867
4,9
3,8
6,3
4,5
3,9
6,7
2015
1.117
341
282
87
125
307
3.214
724
1.121
428
264
677
4,2
3,3
5,5
4,0
3,4
5,2
2016
1.217
359
329
104
142
306
3.395
629
1.443
390
267
666
4,6
3,5
6,5
4,9
3,9
5,3
2018
1.081
288
269
101
150
291
2.691
545
793
224
366
763
4,0
2,9
5,3
4,4
3,8
4,5
Baseline til
2018
-234
-111
-39
-3
4
-81
-772
-330
-306
-107
74
-104
-0,9
-0,9
-1,0
-0,1
-0,1
-2,2
2017-2018
-4
-26
-59
3
15
57
-342
-127
-415
3
39
158
-0,1
-0,2
-1,2
-0,1
0,3
0,6
2.02
Total antal remme
(
Antal påbegyndt
)
Milepæl 2020:
Reduceres i forhold til
baseline
2.03
Andelen af personer hvor der bruges
remme af antal indlagte
( Andel i pct. )
Milepæl 2020: Området følges
3. BEROLIGENDE MEDICIN
INDIKATOR
3.01
Antal personer der får beroligende
medicin med tvang
(
Antal berørt
)
Milepæl 2020: Området følges
Baseline
REGION
Hele landet
Region Hovedstaden
Region Midtjyllland
Region Nordjylland
Region Sjælland
Region Syddanmark
Hele landet
Region Hovedstaden
Region Midtjyllland
Region Nordjylland
Region Sjælland
Region Syddanmark
Hele landet
Region Hovedstaden
Region Midtjyllland
Region Nordjylland
Region Sjælland
Region Syddanmark
Monitorering
2014
2.130
944
380
107
263
462
7.986
3.898
1.191
271
1.101
1.525
7,8
9,0
7,2
4,6
7,0
7,9
Udvikling
2017
2.160
916
444
138
320
380
8.364
3.487
1.681
421
1.266
1.509
8,1
9,1
8,8
6,3
8,3
6,3
2011 til 2013
2.043
914
401
132
234
384
7.133
3.317
1.507
418
685
1.206
7,7
8,7
8,3
5,7
6,3
6,9
2015
2.054
905
388
114
264
412
8.118
3.808
1.608
359
753
1.590
7,7
8,6
7,6
5,3
7,2
6,9
2016
2.076
882
434
123
278
404
7.856
3.185
1.691
505
890
1.585
7,9
8,7
8,6
5,8
7,6
7,0
2018
2.234
897
446
157
330
450
9.241
3.590
2.359
483
1.218
1.591
8,2
9,0
8,7
6,9
8,4
6,9
Baseline til
2018
191
-17
45
25
96
66
2.108
273
852
65
533
385
0,5
0,3
0,4
1,2
2,1
0,0
2017-2018
74
-19
2
19
10
70
877
103
678
62
-48
82
0,1
-0,1
-0,1
0,6
0,1
0,6
3.02
Total antal gange der gives
beroligende medicin med tvang
(
Antal påbegyndt
)
Milepæl 2020: Området følges
3.03
Andelen af personer derfår
beroligende medicin af antal indlagte
( Andel i pct. )
Milepæl 2020: Området følges
§71, Alm.del - 2019-20 - Endeligt svar på spørgsmål 7: Spm. om der ses en stigning i andre former for tvang i psykiatrien mens der er fokus på at nedbringe anvendelsen af bæltefiksering, til sundheds- og ældreministeren
2102674_0083.png
4. FASTHOLDEN
INDIKATOR
4.01
Antal personer der fastholdes
(
Antal berørt
)
Milepæl 2020: Området følges
Baseline
REGION
Hele landet
Region Hovedstaden
Region Midtjyllland
Region Nordjylland
Region Sjælland
Region Syddanmark
Monitorering
2014
1.047
456
209
148
162
83
3.726
1.727
544
577
613
265
3,8
4,3
4,0
6,3
4,3
1,4
Udvikling
2017
1.161
477
223
169
202
104
4.244
1.534
683
859
920
248
4,4
4,8
4,4
7,7
5,2
1,7
2011 til 2013
927
378
195
129
153
83
2.822
1.169
573
483
402
196
3,5
3,5
4,1
5,6
4,1
1,5
2015
1.092
487
231
153
146
92
4.263
2.230
787
657
349
240
4,1
4,6
4,5
7,1
4,0
1,6
2016
1.091
478
219
148
150
121
3.719
1.699
651
565
474
330
4,2
4,7
4,3
6,9
4,1
2,1
2018
1.121
465
219
179
180
92
3.835
1.647
770
596
478
344
4,1
4,7
4,3
7,8
4,6
1,4
Baseline til
2018
194
87
24
50
27
9
1.013
478
197
113
76
148
0,6
1,2
0,2
2,2
0,5
-0,1
2017-2018
-40
-12
-4
10
-22
-12
-409
113
87
-263
-442
96
-0,3
-0,1
-0,1
0,1
-0,6
-0,3
4.02
Total antal gange der fastholdes
(
Antal påbegyndt
)
Milepæl 2020: Området følges
Hele landet
Region Hovedstaden
Region Midtjyllland
Region Nordjylland
Region Sjælland
Region Syddanmark
4.03
Andelen af personer der fastholdes af
antal indlagte
( Andel i pct. )
Milepæl 2020: Området følges
Hele landet
Region Hovedstaden
Region Midtjyllland
Region Nordjylland
Region Sjælland
Region Syddanmark
5. PERSONLIG AFSKÆRMNING
OVER 24 TIMER
INDIKATOR
5.01
Antal personer der skærmes
(
Antal berørt
)
Milepæl 2020: Området følges
Baseline
REGION
Hele landet
Region Hovedstaden
Region Midtjyllland
Region Nordjylland
Region Sjælland
Region Syddanmark
Monitorering
2014
74
33
13
-
24
<5
92
45
14
-
29
<5
0,3
0,3
0,2
-
0,6
0,1
Udvikling
2017
55
22
12
<5
17
<5
77
27
15
<5
30
<5
0,2
0,2
0,2
0,0
0,4
0,0
2011 til 2013
79
21
22
5
17
14
88
27
25
<5
17
15
0,3
0,2
0,5
0,2
0,4
0,3
2015
59
19
15
<5
18
5
64
20
18
<5
19
5
0,2
0,2
0,3
0,1
0,5
0,1
2016
60
21
17
<5
14
5
60
21
18
<5
12
6
0,2
0,2
0,3
0,1
0,4
0,1
2018
42
16
12
<5
8
<5
47
18
13
<5
10
<5
0,2
0,2
0,2
0,1
0,2
0,0
Baseline til
2018
-37
-5
-10
-9
-41
-9
-12
-7
-0,1
0,0
-0,3
-0,1
-0,2
-0,3
2017-2018
-13
-6
0
-9
-30
-9
-2
-20
0,0
0,0
0,0
0,1
-0,2
0,0
5.02
Total antal gange der skærmes
(
Antal påbegyndt
)
Milepæl 2020: Området følges
Hele landet
Region Hovedstaden
Region Midtjyllland
Region Nordjylland
Region Sjælland
Region Syddanmark
5.03
Andelen af personer der skærmes af
antal indlagte
( Andel i pct. )
Milepæl 2020: Området følges
Hele landet
Region Hovedstaden
Region Midtjyllland
Region Nordjylland
Region Sjælland
Region Syddanmark
§71, Alm.del - 2019-20 - Endeligt svar på spørgsmål 7: Spm. om der ses en stigning i andre former for tvang i psykiatrien mens der er fokus på at nedbringe anvendelsen af bæltefiksering, til sundheds- og ældreministeren
2102674_0084.png
6. MEDICINERING
INDIKATOR
6.01
Antal personer der tvangsmedicineres
(omfatter ikke akut beroligende)
(
Antal berørt
)
Milepæl 2020: Området følges
Baseline
REGION
Hele landet
Region Hovedstaden
Region Midtjyllland
Region Nordjylland
Region Sjælland
Region Syddanmark
Hele landet
Region Hovedstaden
Region Midtjyllland
Region Nordjylland
Region Sjælland
Region Syddanmark
Monitorering
2014
758
372
132
70
88
102
2,8
3,5
2,5
3,0
2,3
1,8
Udvikling
2017
838
392
150
87
97
115
3,2
3,9
3,0
4,0
2,5
1,9
2011 til 2013
668
300
133
57
78
102
2,5
2,8
2,7
2,5
2,1
1,8
2015
741
386
112
73
69
102
2,8
3,7
2,2
3,4
1,9
1,7
2016
760
359
125
84
95
103
2,9
3,5
2,5
3,9
2,6
1,8
2018
902
407
138
86
119
161
3,3
4,1
2,7
3,8
3,0
2,5
Baseline til
2018
234
107
5
29
41
59
1
1,3
0,0
1,3
0,9
0,7
2017-2018
64
15
-12
-1
22
46
0
0,2
-0,3
-0,2
0,5
0,6
6.02
Andelen af personer der
tvangsmedicineres af antal indlagte
( Andel i pct. )
Milepæl 2020: Området følges
7. TVANGSINDLÆGGELSE
INDIKATOR
7.01
Antal af børn og unge under 18 der
tvangsindlægges
(
Antal berørt
)
Milepæl 2020: Området følges
Baseline
REGION
Hele landet
Region Hovedstaden
Region Midtjyllland
Region Nordjylland
Region Sjælland
Region Syddanmark
Hele landet
Region Hovedstaden
Region Midtjyllland
Region Nordjylland
Region Sjælland
Region Syddanmark
Hele landet
Region Hovedstaden
Region Midtjyllland
Region Nordjylland
Region Sjælland
Region Syddanmark
Hele landet
Region Hovedstaden
Region Midtjyllland
Region Nordjylland
Region Sjælland
Region Syddanmark
Monitorering
2014
134
48
39
<5
20
29
8,6
8,8
11,4
1,7
7,2
9,0
11,4
13,4
14,2
<5
11,8
11,5
3.059
1.130
593
252
385
725
Udvikling
2017
162
51
34
17
30
37
10,4
9,1
10,7
11,3
10,9
12,5
13,9
14,0
12,4
14,8
18,0
15,0
3.172
1.099
683
263
447
713
2011 til 2013
103
37
23
8
16
22
7,0
6,9
8,3
4,6
5,8
8,4
8,7
10,3
8,2
6,4
9,1
8,6
2.871
1.098
545
240
361
649
2015
116
41
32
11
20
16
7,3
7,2
9,4
9,3
7,3
4,7
9,9
11,4
11,7
9,5
11,9
6,4
3.023
1.163
600
227
390
674
2016
159
44
41
11
26
44
10,2
8,3
12,5
7,5
9,5
12,8
13,6
12,2
15,0
9,6
15,5
17,7
3.118
1.128
635
243
418
721
2018
148
55
21
13
28
34
9,2
9,0
6,6
9,5
10,0
10,9
12,7
15,1
7,7
11,4
16,9
13,9
3.220
1.040
672
298
486
770
Baseline til
2018
45
18
-2
5
12
12
2,2
2,1
-1,7
4,9
4,2
2,5
4,0
4,8
-0,5
5,0
7,8
5,3
349
-58
127
58
125
121
2017-2018
-14
4
-13
-4
-2
-3
-1,2
-0,1
-4,1
-1,8
-0,9
-1,6
-1,2
1,1
-4,7
-3,4
-1,1
-1,1
48
-59
-11
35
39
57
7.02
Andel af børn der tvangsindlægges i
forhold til antal indlagte
( Andel i pct. )
Milepæl 2020: Området følges
7.03
Antal børn der tvangsindlægges pr.
100.000 borgere i regionen
( Antal pr. 100.000 )
Milepæl 2020: Området følges
7.04
Antal voksne der tvangsindlægges
(
Antal berørt
)
Milepæl 2020: Området følges
§71, Alm.del - 2019-20 - Endeligt svar på spørgsmål 7: Spm. om der ses en stigning i andre former for tvang i psykiatrien mens der er fokus på at nedbringe anvendelsen af bæltefiksering, til sundheds- og ældreministeren
2102674_0085.png
7.05
Andel af voksne der tvangsindlægges
i forhold til antal indlagte
( Andel i pct. )
Milepæl 2020: Området følges
Hele landet
Region Hovedstaden
Region Midtjyllland
Region Nordjylland
Region Sjælland
Region Syddanmark
Hele landet
Region Hovedstaden
Region Midtjyllland
Region Nordjylland
Region Sjælland
Region Syddanmark
Hele landet
Region Hovedstaden
Region Midtjyllland
Region Nordjylland
Region Sjælland
Region Syddanmark
11,5
10,9
11,9
11,2
10,4
12,3
65,4
80,5
55,2
52,2
56,3
68,9
2.971
1.134
567
247
377
670
11,2
10,7
11,7
10,7
10,1
12,1
53,2
65,9
44,7
42,6
46,1
55,8
11,9
11,3
12,1
11,3
11,1
13,2
68,5
80,8
59,1
54,3
59,3
76,2
3.189
1.177
631
254
403
754
11,7
11,2
12,0
10,8
10,7
12,9
56,5
67,0
49,3
43,7
49,2
62,6
12,0
11,7
12,5
11,1
11,5
12,0
67,0
82,1
59,2
48,5
59,4
70,3
3.134
1.204
629
237
408
690
11,7
11,5
12,3
11,0
11,1
11,6
55,2
67,8
48,9
40,6
49,5
57,1
12,7
11,7
13,4
12,2
12,3
13,3
68,4
78,7
62,0
51,6
63,1
74,6
3.268
1.172
672
254
443
762
12,5
11,6
13,3
11,9
12,1
13,2
57,1
65,3
51,8
43,3
53,3
62,7
12,7
11,6
14,5
12,9
12,5
12,4
69,0
75,9
66,0
55,6
67,0
73,4
3.328
1.148
715
280
476
749
12,6
11,4
14,2
12,8
12,4
12,4
57,8
63,3
54,7
47,7
57,1
61,5
12,6
11,1
14,0
13,9
13,4
12,4
69,6
71,2
64,4
62,7
72,5
78,8
3.363
1.094
692
311
513
802
12,4
11,0
13,5
13,6
13,1
12,3
58,1
59,9
52,6
52,8
61,3
65,6
1,1
0,2
2,1
2,7
3,0
0,1
4,2
-9,3
9,2
10,5
16,2
9,9
392
-40
125
64
136
132
1,2
0,3
1,8
2,9
3,0
0,2
4,9
-6,0
7,9
10,2
15,2
9,8
-0,1
-0,5
-0,5
1,0
0,9
0,0
0,6
-4,7
-1,6
7,1
5,5
5,4
35
-54
-23
31
37
53
-0,2
-0,4
-0,7
0,8
0,7
-0,1
0,3
-3,4
-2,1
5,1
4,2
4,1
7.06
Antal voksne der tvangsindlægges pr.
100.000 borgere i regionen
( Antal pr. 100.000 )
Milepæl 2020: Området følges
7.07
Antal personer der tvangsindlægges
(
Antal berørt
)
Milepæl 2020: Området følges
7.08
Andel personer der tvangsindlægges i
forhold til antal indlagte
( Andel i pct. )
Milepæl 2020: Området følges
Hele landet
Region Hovedstaden
Region Midtjyllland
Region Nordjylland
Region Sjælland
Region Syddanmark
Hele landet
Region Hovedstaden
Region Midtjyllland
Region Nordjylland
Region Sjælland
Region Syddanmark
7.09
Antal personer der tvangsindlægges
pr. 100.000 borgere i regionen
( Antal pr. 100.000 )
Milepæl 2020: Området følges
8. TVANGSTILBAGEHOLDELSE
INDIKATOR
8.01
Antal af børn og unge under 18 der
tvangstilbageholdes
(
Antal berørt
)
Milepæl 2020: Området følges
Baseline
REGION
Hele landet
Region Hovedstaden
Region Midtjyllland
Region Nordjylland
Region Sjælland
Region Syddanmark
Hele landet
Region Hovedstaden
Region Midtjyllland
Region Nordjylland
Region Sjælland
Region Syddanmark
Monitorering
2014
91
39
18
5
13
18
5,8
7,1
5,2
4,2
4,7
5,6
Udvikling
2017
93
33
16
10
13
21
6,0
5,9
5,0
6,7
4,7
7,1
2011 til 2013
83
37
15
7
15
11
5,6
6,9
5,3
4,2
5,5
4,0
2015
105
46
20
<5
16
20
6,6
8,0
5,9
3,4
5,8
5,9
2016
109
38
20
9
24
26
7,0
7,2
6,1
6,2
8,7
7,6
2018
92
37
12
7
15
23
5,7
6,0
3,8
5,1
5,3
7,4
Baseline til
2018
9
0
-3
0
0
12
0,1
-0,9
-1,5
0,9
-0,2
3,4
2017-2018
-1
4
-4
-3
2
2
-0,3
0,1
-1,2
-1,6
0,6
0,3
8.02
Andel af børn der tvangstilbageholdes
i forhold til antal indlagte
( Andel i pct. )
Milepæl 2020: Området følges
§71, Alm.del - 2019-20 - Endeligt svar på spørgsmål 7: Spm. om der ses en stigning i andre former for tvang i psykiatrien mens der er fokus på at nedbringe anvendelsen af bæltefiksering, til sundheds- og ældreministeren
2102674_0086.png
8.03
Antal børn der tvangstilbageholdes
pr. 100.000 borgere i regionen
( Antal pr. 100.000 )
Milepæl 2020: Området følges
Hele landet
Region Hovedstaden
Region Midtjyllland
Region Nordjylland
Region Sjælland
Region Syddanmark
Hele landet
Region Hovedstaden
Region Midtjyllland
Region Nordjylland
Region Sjælland
Region Syddanmark
6,9
10,3
5,2
5,5
8,7
4,1
2.345
969
469
209
285
442
9,3
9,7
10,2
9,7
8,2
8,3
53,3
71,0
47,5
45,5
44,4
46,9
2.425
1.005
484
215
300
452
9,1
9,5
10,0
9,3
8,0
8,2
43,4
58,4
38,2
37,2
36,7
37,7
7,8
10,9
6,5
4,3
7,7
7,1
2.470
1.030
456
250
295
473
9,6
10,3
9,3
11,2
8,5
8,6
55,3
73,7
45,4
53,8
45,4
49,7
2.559
1.068
474
254
308
491
9,4
10,1
9,0
10,8
8,2
8,4
45,4
60,8
37,0
43,7
37,6
40,8
9,0
12,8
7,3
3,5
9,5
8,0
2.364
1.044
425
232
272
428
9,4
10,5
8,9
11,4
8,0
7,7
52,4
73,7
41,9
49,6
41,4
44,6
2.465
1.089
444
236
288
447
9,2
10,4
8,7
10,9
7,8
7,5
43,4
61,3
34,5
40,4
34,9
37,0
9,3
10,5
7,3
7,8
14,3
10,5
2.363
1.027
462
229
248
442
9,6
10,7
9,8
11,5
7,3
8,1
51,8
71,7
45,1
48,6
37,4
45,8
2.465
1.064
481
237
272
464
9,4
10,5
9,5
11,1
7,4
8,0
43,1
59,3
37,1
40,4
32,7
38,2
8,0
9,1
5,9
8,7
7,8
8,5
2.411
1.054
426
222
282
457
9,7
11,1
9,0
10,9
7,9
8,0
52,5
72,8
41,2
46,9
42,3
47,0
2.501
1.086
441
231
295
478
9,4
10,8
8,8
10,5
7,7
7,9
43,4
59,9
33,7
39,3
35,4
39,2
7,9
10,1
4,4
6,1
9,1
9,4
2.453
1.001
467
237
287
498
9,6
10,7
9,7
11,1
7,9
8,0
53,0
68,5
44,7
49,9
42,8
51,0
2.543
1.038
479
244
302
519
9,4
10,4
9,3
10,7
7,7
8,0
43,9
56,8
36,4
41,4
36,1
42,5
1,0
-0,2
-0,8
0,6
0,4
5,3
108
32
-2
28
2
56
0,3
1,0
-0,5
1,4
-0,3
-0,3
-0,3
-2,5
-2,8
4,4
-1,6
4,1
118,0
33,0
-5,0
29,0
2,0
67,0
0,3
0,9
-0,7
1,4
-0,3
-0,2
0,5
-1,6
-1,8
4,2
-0,6
4,8
-0,1
1,0
-1,5
-2,6
1,3
0,9
42
-53
41
15
5
41
-0,1
-0,4
0,7
0,2
0,0
0,0
0,5
-4,3
3,5
3,0
0,5
4,0
42,0
-48,0
38,0
13,0
7,0
41,0
0,0
-0,4
0,5
0,2
0,0
0,1
0,5
-3,1
2,7
2,1
0,7
3,3
8.04
Antal voksne der tvangstilbageholdes
(
Antal berørt
)
Milepæl 2020: Området følges
8.05
Andel af voksne der
tvangstilbageholdes i forhold til antal
indlagte
( Andel i pct. )
Milepæl 2020: Området følges
8.06
Antal voksne der tvangstilbageholdes
pr. 100.000 borgere i regionen
( Antal pr. 100.000 )
Milepæl 2020: Området følges
Hele landet
Region Hovedstaden
Region Midtjyllland
Region Nordjylland
Region Sjælland
Region Syddanmark
Hele landet
Region Hovedstaden
Region Midtjyllland
Region Nordjylland
Region Sjælland
Region Syddanmark
Hele landet
Region Hovedstaden
Region Midtjyllland
Region Nordjylland
Region Sjælland
Region Syddanmark
Hele landet
Region Hovedstaden
Region Midtjyllland
Region Nordjylland
Region Sjælland
Region Syddanmark
Hele landet
Region Hovedstaden
Region Midtjyllland
Region Nordjylland
Region Sjælland
Region Syddanmark
8.07
Antal personer der
tvangstilbageholdes
(
Antal berørt
)
Milepæl 2020: Området følges
8.08
Andel personer der
tvangstilbageholdes i forhold til antal
indlagte
( Andel i pct. )
Milepæl 2020: Området følges
8.09
Antal personer der
tvangstilbageholdes pr. 100.000 borgere i
regionen
( Antal pr. 100.000 )
Milepæl 2020: Området følges
§71, Alm.del - 2019-20 - Endeligt svar på spørgsmål 7: Spm. om der ses en stigning i andre former for tvang i psykiatrien mens der er fokus på at nedbringe anvendelsen af bæltefiksering, til sundheds- og ældreministeren
2102674_0087.png
9. ALLE TYPER AF TVANG
INDIKATOR
9.01
Antal af børn og unge under 18 berørt
af en eller flere tvangsforanstaltninger
(
Antal berørt
)
Milepæl 2020:
Reduceres i forhold til
baseline
9.02
Andel af børn berørt af en eller flere
tvangsforanstaltninger i forhold til antal
indlagte
( Andel i pct. )
Milepæl 2020:
Reduceres i forhold til
baseline
9.03
Antal børn berørt af en eller flere
tvangsforanstaltninger pr. 100.000 borgere
i regionen
( Antal pr. 100.000 )
Milepæl 2020: Området følges
9.04
Antal voksne berørt af en eller flere
tvangsforanstaltninger
(
Antal berørt
)
Milepæl 2020:
Reduceres i forhold til
baseline
9.05
Andel af voksne berørt af en eller
flere tvangsforanstaltninger i forhold til
antal indlagte
( Andel i pct. )
Milepæl 2020:
Reduceres i forhold til
baseline
9.06
Antal voksne berørt af en eller flere
tvangsforanstaltninger pr. 100.000 borgere
i regionen
( Antal pr. 100.000 )
Milepæl 2020: Området følges
9.07
Antal personer berørt af en eller flere
tvangsforanstaltninger
(
Antal berørt
)
Milepæl 2020: Området følges
Baseline
REGION
Hele landet
Region Hovedstaden
Region Midtjyllland
Region Nordjylland
Region Sjælland
Region Syddanmark
Hele landet
Region Hovedstaden
Region Midtjyllland
Region Nordjylland
Region Sjælland
Region Syddanmark
Hele landet
Region Hovedstaden
Region Midtjyllland
Region Nordjylland
Region Sjælland
Region Syddanmark
Hele landet
Region Hovedstaden
Region Midtjyllland
Region Nordjylland
Region Sjælland
Region Syddanmark
Hele landet
Region Hovedstaden
Region Midtjyllland
Region Nordjylland
Region Sjælland
Region Syddanmark
Hele landet
Region Hovedstaden
Region Midtjyllland
Region Nordjylland
Region Sjælland
Region Syddanmark
Hele landet
Region Hovedstaden
Region Midtjyllland
Region Nordjylland
Region Sjælland
Region Syddanmark
Monitorering
2014
294
125
76
9
47
48
18,8
22,9
22,2
7,5
16,9
14,9
25,1
34,9
27,6
7,7
27,7
19,0
5.797
2.264
1.160
506
709
1.252
22,6
22,6
23,6
22,7
20,4
22,8
129,8
162,0
115,5
109,0
109,2
131,5
6.076
2.385
1.231
514
754
1.298
Udvikling
2017
338
110
84
28
74
55
21,7
19,7
26,4
18,7
27,0
18,5
29,0
30,2
30,7
24,5
44,3
22,3
5.829
2.241
1.234
524
781
1.170
23,4
23,7
26,2
25,7
21,8
20,4
126,8
154,7
119,2
110,8
117,1
120,4
6.151
2.348
1.314
551
849
1.224
Milepæl
2020
243
107
51
19
40
37
16,6
20,3
18,4
11,5
14,6
13,9
-
-
-
-
-
-
5.632
2.232
1.152
487
691
1.163
22,4
22,2
25,2
22,7
19,9
22,0
-
-
-
-
-
-
-
-
-
-
-
-
2011 til 2013
243
107
51
19
40
37
16,6
20,3
18,4
11,5
14,6
13,9
20,4
30,1
18,1
15,5
23,0
14,2
5.632
2.232
1.152
487
691
1.163
22,4
22,2
25,2
22,7
19,9
22,0
128,2
163,7
116,7
106,1
107,6
123,5
5.865
2.335
1.201
504
729
1.199
2015
300
120
74
15
61
40
18,8
20,9
21,8
12,7
22,3
11,8
25,7
33,4
27,1
13,0
36,3
16,0
5.638
2.274
1.140
487
714
1.134
22,3
22,9
23,8
23,8
21,0
20,3
124,9
160,6
112,5
104,1
108,8
118,2
5.925
2.391
1.210
501
772
1.172
2016
351
110
75
29
87
71
22,4
20,8
22,9
19,9
31,6
20,6
30,1
30,4
27,4
25,2
51,9
28,6
5.638
2.185
1.178
488
734
1.171
22,9
22,7
24,9
24,5
21,7
21,6
123,7
152,4
115,0
103,6
110,7
121,2
5.963
2.287
1.246
515
820
1.235
2018
316
119
68
28
52
61
19,5
19,4
21,3
20,4
18,5
19,6
27,2
32,6
24,9
24,6
31,4
24,9
5.970
2.146
1.237
589
842
1.296
23,4
23,0
25,7
27,5
23,2
20,9
129,0
146,9
118,5
124,0
125,5
132,6
6.278
2.264
1.303
617
892
1.354
Baseline til
2018
73
12
17
9
12
24
2,9
-0,9
2,9
8,9
3,9
5,7
6,8
2,5
6,8
9,1
8,4
10,7
338
-86
85
102
151
133
1,0
0,8
0,5
4,8
3,3
-1,1
0,8
-16,8
1,8
17,9
17,9
9,1
413
-71
102
113
163
155
2017-2018
-22
9
-16
0
-22
6
-2,2
-0,3
-5,1
1,7
-8,5
1,1
-1,8
2,4
-5,8
0,1
-12,9
2,6
141
-95
3
65
61
126
0,0
-0,7
-0,5
1,8
1,4
0,5
2,2
-7,8
-0,7
13,2
8,4
12,2
127
-84
-11
66
43
130
§71, Alm.del - 2019-20 - Endeligt svar på spørgsmål 7: Spm. om der ses en stigning i andre former for tvang i psykiatrien mens der er fokus på at nedbringe anvendelsen af bæltefiksering, til sundheds- og ældreministeren
2102674_0088.png
9.08
Andel personer berørt af en eller flere
tvangsforanstaltninger i forhold til antal
indlagte
( Andel i pct. )
Milepæl 2020: Området følges
9.09
Antal personer berørt af en eller flere
tvangsforanstaltninger pr. 100.000 borgere
i regionen
( Antal pr. 100.000 )
Milepæl 2020: Området følges
Hele landet
Region Hovedstaden
Region Midtjyllland
Region Nordjylland
Region Sjælland
Region Syddanmark
Hele landet
Region Hovedstaden
Region Midtjyllland
Region Nordjylland
Region Sjælland
Region Syddanmark
22,1
22,1
24,7
21,8
19,4
21,6
105,0
135,7
94,7
87,0
89,1
99,8
22,3
22,6
23,4
21,9
20,1
22,3
107,7
135,8
96,2
88,4
92,1
107,8
22,1
22,8
23,6
23,2
21,0
19,8
104,3
134,7
94,0
85,9
93,7
97,0
22,8
22,5
24,7
24,1
22,4
21,4
104,2
127,4
96,0
87,9
98,7
101,7
23,2
23,4
26,1
25,2
22,1
20,3
106,8
129,6
100,4
93,8
101,8
100,4
23,2
22,7
25,4
27,0
22,8
20,8
108,4
124,0
99,0
104,8
106,7
110,8
1,1
0,6
0,7
5,2
3,4
-0,8
3,4
-11,7
4,3
17,8
17,6
11,0
0,0
-0,7
-0,7
1,8
0,7
0,5
1,6
-5,6
-1,4
11,0
4,9
10,4
-
-
-
-
-
-
-
-
-
-
-
-
§71, Alm.del - 2019-20 - Endeligt svar på spørgsmål 7: Spm. om der ses en stigning i andre former for tvang i psykiatrien mens der er fokus på at nedbringe anvendelsen af bæltefiksering, til sundheds- og ældreministeren
2102674_0089.png
BAGGRUNDSOPLYSNINGER
INDIKATOR
BARN /
VOKSEN
REGION
Hele landet
Region Hovedstaden
Region Midtjylland
Region Nordjylland
Region Sjælland
Region Syddanmark
Hele landet
Region Hovedstaden
Region Midtjylland
Region Nordjylland
Region Sjælland
Region Syddanmark
Hele landet
Region Hovedstaden
Region Midtjylland
Region Nordjylland
Region Sjælland
Region Syddanmark
Hele landet
Region Hovedstaden
Region Midtjylland
Region Nordjylland
Region Sjælland
Region Syddanmark
Hele landet
Region Hovedstaden
Region Midtjylland
Region Nordjylland
Region Sjælland
Region Syddanmark
Hele landet
Region Hovedstaden
Region Midtjylland
Region Nordjylland
2011
Hele året
5.249,
1.525,
1.353,
555,
622,
1.194,
-
-
-
-
-
-
25.825,
10.403,
4.352,
2.239,
3.743,
5.578,
1.333,
429,
250,
150,
286,
256,
24.492,
9.974,
4.102,
2.089,
3.457,
5.322,
5.566.856,
1.704.043,
1.262.704,
579.824,
2012
Hele året
5.636,
1.796,
1.470,
637,
567,
1.166,
-
-
-
-
-
-
26.730,
10.604,
5.093,
2.311,
3.678,
5.533,
1.535,
586,
283,
175,
266,
263,
25.195,
10.018,
4.810,
2.136,
3.412,
5.270,
5.587.085,
1.720.152,
1.268.406,
579.332,
2013
Hele året
6.158,
1.989,
2.072,
588,
547,
962,
-
-
-
-
-
-
27.109,
10.682,
5.162,
2.377,
3.830,
5.566,
1.524,
562,
291,
153,
276,
280,
25.585,
10.120,
4.871,
2.224,
3.554,
5.286,
5.608.784,
1.736.889,
1.273.814,
579.864,
2014
Hele året
5.192,
1.663,
1.222,
387,
817,
1.103,
-
-
-
-
-
-
27.199,
10.545,
5.254,
2.348,
3.755,
5.825,
1.565,
546,
343,
120,
278,
322,
25.634,
9.999,
4.911,
2.228,
3.477,
5.503,
5.639.719,
1.756.068,
1.279.467,
581.340,
2015
Hele året
5.061,
1.256,
1.708,
638,
490,
969,
-
-
-
-
-
-
26.824,
10.482,
5.127,
2.160,
3.678,
5.932,
1.597,
573,
340,
118,
274,
338,
25.227,
9.909,
4.787,
2.042,
3.404,
5.594,
5.678.348,
1.775.479,
1.286.679,
583.471,
2016
Hele året
5.044,
987,
2.085,
526,
431,
1.015,
-
-
-
-
-
-
26.184,
10.145,
5.054,
2.135,
3.661,
5.770,
1.564,
528,
328,
146,
275,
344,
24.620,
9.617,
4.726,
1.989,
3.386,
5.426,
5.724.456,
1.795.211,
1.297.738,
586.104,
2017
Hele året
4.298,
827,
1.804,
388,
476,
803,
-
-
-
-
-
-
26.517,
10.031,
5.033,
2.190,
3.850,
6.043,
1.557,
559,
318,
150,
274,
297,
24.960,
9.472,
4.715,
2.040,
3.576,
5.746,
5.760.694,
1.812.168,
1.308.253,
587.611,
2018
Hele året
3.692,
748,
1.131,
397,
531,
885,
-
-
-
-
-
-
27.094,
9.959,
5.123,
2.281,
3.907,
6.510,
1.617,
613,
319,
137,
281,
312,
25.477,
9.346,
4.804,
2.144,
3.626,
6.198,
5.789.957,
1.825.952,
1.316.368,
588.888,
Total antal
bæltefikseringer
Alle
Andel frivillige
bæltefikseringer
Alle
Alle
Antal indlagte
Barn
Voksen
Alle
§71, Alm.del - 2019-20 - Endeligt svar på spørgsmål 7: Spm. om der ses en stigning i andre former for tvang i psykiatrien mens der er fokus på at nedbringe anvendelsen af bæltefiksering, til sundheds- og ældreministeren
2102674_0090.png
Befolkning
Barn
Voksen
Registrerede
tvangsforanstaltning
med forældretilslutning
som andel af alle
påbegyndte
foranstaltninger af børn
og unge under 18 år
Barn
Region Sjælland
Region Syddanmark
Hele landet
Region Hovedstaden
Region Midtjylland
Region Nordjylland
Region Sjælland
Region Syddanmark
Hele landet
Region Hovedstaden
Region Midtjylland
Region Nordjylland
Region Sjælland
Region Syddanmark
Hele landet
Region Hovedstaden
Region Midtjylland
Region Nordjylland
Region Sjælland
Region Syddanmark
819.222,
1.201.063,
1.205.882,
356.089,
283.558,
122.866,
179.476,
263.893,
4.360.974,
1.347.954,
979.146,
456.958,
639.746,
937.170,
4,7
4,7
0,2
2,9
3,7
16,0
817.609,
1.201.586,
1.195.785,
357.114,
281.377,
120.919,
176.175,
260.200,
4.391.300,
1.363.038,
987.029,
458.413,
641.434,
941.386,
12,5
8,1
11,3
55,2
0,7
10,2
816.769,
1.201.448,
1.183.120,
357.774,
278.212,
118.844,
172.400,
255.890,
4.425.664,
1.379.115,
995.602,
461.020,
644.369,
945.558,
14,2
17,4
6,6
77,0
16,2
10,2
818.733,
1.204.111,
1.172.410,
358.338,
275.402,
117.065,
169.458,
252.147,
4.467.309,
1.397.730,
1.004.065,
464.275,
649.275,
951.964,
13,5
17,8
20,5
4,3
2,7
7,5
824.199,
1.208.520,
1.165.947,
359.555,
273.520,
115.685,
167.846,
249.341,
4.512.401,
1.415.924,
1.013.159,
467.786,
656.353,
959.179,
13,0
12,8
9,3
1,8
10,8
23,0
830.618,
1.214.785,
1.167.028,
361.873,
273.611,
115.174,
167.686,
248.684,
4.557.428,
1.433.338,
1.024.127,
470.930,
662.932,
966.101,
14,9
15,9
5,4
23,8
24,8
16,1
833.997,
1.218.665,
1.165.384,
363.693,
273.289,
114.493,
166.975,
246.934,
4.595.310,
1.448.475,
1.034.964,
473.118,
667.022,
971.731,
12,9
20,1
13,1
1,1
13,1
13,1
836.379,
1.222.370,
1.162.219,
364.843,
272.700,
113.928,
165.711,
245.037,
4.627.738,
1.461.109,
1.043.668,
474.960,
670.668,
977.333,
14,8
18,8
7,7
2,2
21,8
11,4