Finansudvalget 2018-19 (2. samling)
FIU Alm.del
Offentligt
2129056_0001.png
Folketingets Finansudvalg
Christiansborg
19. december 2019
Svar på Finansudvalgets spørgsmål nr. 67 (Alm. del) af 20.
september 2019 stillet efter ønske fra Rune Lund (EL)
Spørgsmål
Det fremgår af svaret FIU alm. del - spørgsmål 5 (2012-13),
at ”I regneeksemplet i
omtalte bilag medfører en strukturreform, der øger arbejdsudbuddet med 10.000
personer, at reallønsfremgangen over 5-10 år samlet set er 0,1-0,3 pct. mindre end
uden reformen
fx en fremgang over 10 år på 14,7-14,9 pct. mod 15 pct. i fravær
af reformen. For en person med en årsindkomst på fx 400.000 kr. svarer den la-
vere reallønsfremgang til 400-1.200 kr. om året før skat og ca. 250-700 kr. om året
efter
skat.” Det fremgår tillige af ”Økonomisk Analyse: Reformer har styrket
dansk
økonomi”, at reformerne har bidraget til at øge arbejdsudbuddet med
170.950 personer i 2020 og 250.650 personer i 2025. Vil ministeren på den bag-
grund redegøre for, hvor meget mindre reallønsfremgangen forventes at blive
frem mod hhv. 2030 og 2035, når arbejdsudbuddet øges med 170.950 personer i
2020 og 250.650 personer i 2025? Påvirkningen ønskes oplyst i procent, og som
påvirkningen i kroner og øre af en initial løn på 400.000 kr. årligt.
Svar
Indledende bemærkes det, at de reformer der er gennemført over en årrække bi-
drager afgørende til at øge arbejdsstyrken i de aktuelle år, hvor der ellers ville være
udtalt mangel på arbejdskraft
både for virksomheder og for det offentlige, fx
medarbejdere, der arbejder med den borgernære velfærd.
Høj beskæftigelse bidrager til generelt høj velstand og til langsigtet holdbarhed,
dvs. langsigtet finansiering af det danske velfærdssamfund. De gennemførte refor-
mer og de forudsatte virkninger heraf frem mod 2025 er blandt andet afgørende
for det råderum, der skønnes at være i den offentlige økonomi i de kommende år,
herunder til prioritering af den offentlige velfærd og grøn omstilling mv.
I forhold til spørgsmålsteksten bemærkes det, at det af svaret på Finansudvalgets
spørgsmål nr. 5 af 3. oktober 2012 først og fremmest fremgår, at:
”Det centrale for reallønnen og velstanden på sigt er produktiviteten i dansk økonomi, som
blandt andet afhænger af virksomhedernes investeringer, medarbejdernes kvalifikationer og ud-
dannelse, velfungerende arbejds- og produktmarkeder samt god infrastruktur og en række andre
forhold.
Finansministeriet · Christiansborg Slotsplads 1 · 1218 København K · T 33 92 33 33 · E [email protected] · www.fm.dk
FIU, Alm.del - 2018-19 (2. samling) - Endeligt svar på spørgsmål 67: Spm. om hvor meget mindre reallønsfremgangen forventes at blive frem mod hhv. 2030 og 2035, når arbejdsudbuddet øges, til finansministeren
Side 2 af 5
Hvis Danmark som en lille åben økonomi på langt sigt er ”pristager” på verdensmarkedet –
dvs. hvis danske priser for produkter af en given art og kvalitet ikke på langt sigt kan afvige fra
udenlandske priser for tilsvarende produkter
så har øget arbejdsudbud ikke nogen betydning
for løndannelsen på sigt. Kapitalapparatet vil på længere sigt følge med beskæftigelsen op, og den
øgede produktion af varer og tjenester vil kunne afsættes, uden at det isoleret set påvirker priserne
eller reallønnen.
I Finansministeriets langsigtede fremskrivninger er antagelsen, at dansk økonomi på sigt funge-
rer som en lille åben økonomi, hvor priserne på et givet produkt ikke varigt kan afvige fra ver-
densmarkedsprisen. Dermed vil dansk løn og realløn på langt sigt være den samme, når arbejds-
udbuddet øges.
Populært er dansk økonomi
”en lille ø” blandt mange (primært vestlige) økonomier med adgang
til stort set samme teknologi og et globalt marked, hvor virksomheder og kapital bevæger sig frit
over grænserne. En forøgelse af arbejdsudbuddet i Danmark udgør en forsvindende del af ar-
bejdsstyrken i de velstående lande.
På kortere sigt er det imidlertid ikke tilfældet. Hvis det øgede arbejdsudbud omsættes i øget be-
skæftigelse med en vis forsinkelse kan der i en periode være en afdæmpning af reallønsfremgan-
gen.”
Helt grundlæggende er det således produktivitetsudviklingen, der er afgørende for
lønudviklingen i Danmark over længere perioder.
På kort sigt kan der som beskrevet være en vis tilpasningsperiode før et øget ar-
bejdsudbud omsættes i højere beskæftigelse. Tilpasningen vil blandt andet af-
hænge af den generelle konjunktursituation og om der samtidig gennemføres
penge- eller finanspolitiske tiltag, der fx bidrager til, at den faktiske beskæftigelse
udvikler sig på linje med den strukturelle. Aktuelt skønnes den faktiske beskæfti-
gelse at være lidt højere end det strukturelle niveau, og der er således ikke nedad-
gående pres på reallønnen herfra.
Det bemærkes dog, at hvis der ikke var gennemført reformer, som øgede arbejds-
udbuddet, ville der have været et opadgående lønpres i dag. Dette ville have med-
ført et tab af konkurrenceevne og lavere investeringer, som på nogle års sigt ville
føre til et fald i beskæftigelsen.
Den mulige reallønsvirkning af en forøgelse af arbejdsudbuddet, som ikke følges
af en parallel stigning i den faktiske beskæftigelse, og hvor det lægges til grund, at
priserne for danske varer permanent kan afvige fra konkurrenternes uden at med-
føre løbende tab af markedsandele, kan illustreres ved et stød til den makroøko-
nomiske model ADAM. ADAM er en traditionel Keynesiansk-inspireret model
med en given langsigtet strukturledighed, der er udviklet af Danmarks Statistik.
ADAM er primært en konjunkturmodel, som bedst er egnet til at illustrere tilpas-
FIU, Alm.del - 2018-19 (2. samling) - Endeligt svar på spørgsmål 67: Spm. om hvor meget mindre reallønsfremgangen forventes at blive frem mod hhv. 2030 og 2035, når arbejdsudbuddet øges, til finansministeren
2129056_0003.png
Side 3 af 5
ninger til midlertidige stød. Efter Finansministeriets vurdering er ADAM-model-
len ikke velegnet til effektvurdering af tilpasningen til strukturelle stød til arbejds-
udbuddet. Det skyldes blandt andet, at modelleringen af forbrugere og virksomhe-
ders adfærd i ADAM ikke umiddelbart skelner mellem midlertidige og perma-
nente stød til økonomien. ADAM er som udgangspunkt kendetegnet ved en rela-
tivt langsom tilpasningstid til strukturelle stød, som blandt andet skyldes at forbru-
gernes og virksomhedernes adfærd ikke er fremadskuende. Det bemærkes, at em-
piriske studier af arbejdsmarkedets tilpasning til arbejdsmarkedsreformer i vidt
omfang peger på, at tilpasningshastigheden kan være højere end det som ADAM-
modellen forudsiger, jf.
Finansredegørelse 2014.
Når Finansministeriet anvender ADAM-modellen til analyser af beskæftigelsens
tilpasning til strukturreformer anvendes priselasticiteter i udenrigshandlen, som
svarer til de langsigtede elasticiteter i DREAM-modellen. Det betyder at elastici-
terne øges fra ca. -2 i ADAM-modellen til -5. I forbindelse med analyser af tilpas-
ningen til strukturreformer vurderes det, at en forøgelse af langsigtspriselasticite-
terne i udenrigshandelen er empirisk og teoretisk velfunderet.
1
Det bemærkes dog
samtidig, at dette er en ad hoc løsning, som ikke fuldt ud bringer ADAM-model-
lens egenskaber på linje med Finansministeriets gængse regneantagelse om, at dan-
ske varer af en given art og kvalitet ikke permanent kan afvige fra konkurrenternes
priser.
Det, som spørger angiver i sin beregningsforudsætning, er grundlæggende et
strukturelt stød af en betydelig størrelsesorden, som skal udføres i ADAM. Som
nævnt vurderes et sådant stød i standard-ADAM ikke at give pålidelige effekter
for bl.a. tilpasningstiden eller den langsigtede reallønstigning ved permanente stød.
Hvis der helt mekanisk alligevel regnes på virkningen på løndannelsen i ADAM
med forhøjede udenrigshandelselasticiteter kan der betragtes et stød, hvor forøgel-
sen af arbejdsudbuddet med godt 170.000 personer i 2020 og godt 250.000 perso-
ner i 2025 indlægges i modellen ad to veje: antallet af personer på folkepension,
efterløn, førtidspension, dagpenge, kontanthjælp mv. reduceres i overensstem-
melse med de vedtagne reformer. Dertil kommer, at antallet af præsterede timer
pr. beskæftiget hæves som udtryk for, at gennemførte skattereformerne øger til-
skyndelsen til, at beskæftigede i gennemsnit vælger at arbejde flere timer. Det er
lagt til grund for den stiliserede beregning, at forøgelsen sker gradvist over en år-
række, svarende til at reformvirkningen indfases fra og med 2007 (år 1 i nedenstå-
ende figur) frem til 2025 (år 19 i figuren), svarende til opgørelsen i
Økonomisk Ana-
lyse: Reformer har styrket dansk økonomi
(Finansministeriet, november 2018).
1
Se Appendiks 5C i
Finansredegørelse 2014
for en gennemgang.
FIU, Alm.del - 2018-19 (2. samling) - Endeligt svar på spørgsmål 67: Spm. om hvor meget mindre reallønsfremgangen forventes at blive frem mod hhv. 2030 og 2035, når arbejdsudbuddet øges, til finansministeren
2129056_0004.png
Side 4 af 5
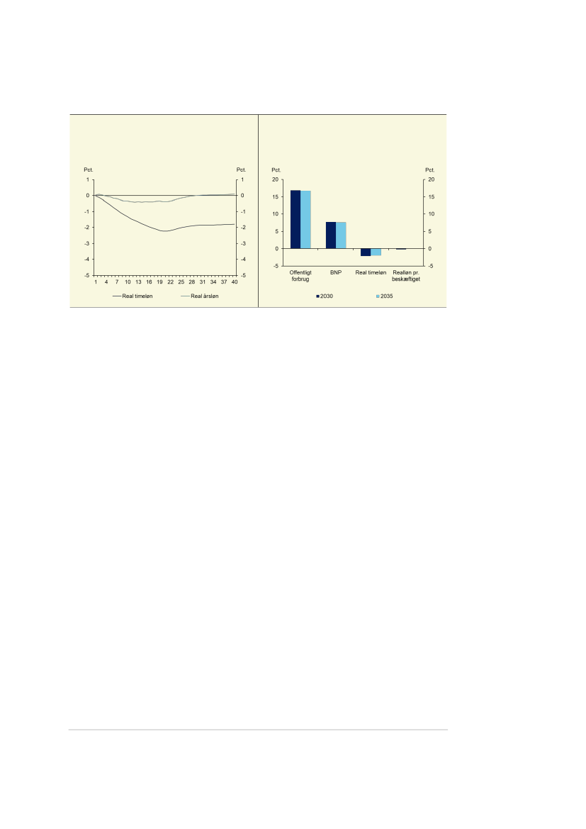
Figur 1
Virkning på den gennemsnitlige reale årsløn og
reallønnen pr. time i ADAM-modellen
Figur 2
Virkning på udvalgte realøkonomiske størrelser i
ADAM-modellen
Anm.: Beregningerne er foretaget på den senest tilgængelige version af ADAM-modellen (offentliggjort juni 2019)
og med forhøjede priselasticiteter i udenrigshandlen.
Kilde: Egne beregninger.
En person med en initial årsindkomst på 400.000 kr. vil som udgangspunkt og ved
konstant arbejdstid opleve en reallønsfremgang på i størrelsesordenen 30-35 pct.
fra 2006 til 2030-2035, da timeproduktiviteten vokser. Den isolerede virkning på
den reale timeløn af stødet til ADAM-modellen vil indebære at timelønnen vokser
mindre end den ellers ville have gjort, men samtidig indebærer reformerne, at den
gennemsnitlige årlige arbejdstid er højere end ellers. Virkningen på den reale time-
løn i det stiliserede regneeksempel på baggrund af ADAM-modellen er således en
reduktion på ca. 2 pct.-point i 2030 og 2035 (svarende til henholdsvis år 24 og 29 i
figuren),
jf. figur 1 og 2.
Den gennemsnitlige reale årsløn pr. beskæftiget er omtrent
uændret i beregningen,
jf. figur 1 og 2
2
.
Beregningen er foretaget under forudsætning af at den strukturelle saldo er uæn-
dret, og den øgede strukturelle beskæftigelse indebærer, at det offentlige forbrug
kan være højere end i en situation, hvor arbejdsudbuddet ikke var øget. Forøgel-
sen af det offentlige forbrug muliggjort af den øgede beskæftigelse svarer isoleret
set til ca. 17 pct. eller ca. 16.000 kr. pr. dansker om året fra og med 2025.
Beregningen på ADAM-modellen indebærer, at velstanden målt ved BNP øges
med ca. 8 pct., hvilket svarer til et løft på 30.000 kr. pr. dansker. Grundlæggende
afspejler det, at der med en højere beskæftigelse er flere, som bidrager til værdiska-
belsen i både virksomheder og i det offentlige og flere, som tjener løn og har
større privatforbrug.
Med Finansministeriets sædvanlige regneprincipper vurderes det, at de reformer
som er gennemført siden 2006 samlet set har styrket de offentlige finanser med
2
Når dette er anderledes end den stiliserede beregning, der indgik i svaret på FIU alm. del spørgsmål 5 (2012-2013), skal
det ses i lyset af, at der i den beregning kun blev illustreret et stød til beskæftigelsen i hoveder, men ikke til den gennemsnit-
lige arbejdstid.
FIU, Alm.del - 2018-19 (2. samling) - Endeligt svar på spørgsmål 67: Spm. om hvor meget mindre reallønsfremgangen forventes at blive frem mod hhv. 2030 og 2035, når arbejdsudbuddet øges, til finansministeren
2129056_0005.png
Side 5 af 5
3¾ pct. af BNP, svarende til 77 mia. kr.
3
Hvis ikke reformerne var blevet gennem-
ført ville det have været nødvendigt at konsolidere de offentlige finanser gennem
enten højere skatter eller lavere offentlige udgifter i samme størrelsesorden.
Med venlig hilsen
Nicolai Wammen
Finansminister
3
Se
Økonomisk Analyse: Reformer har styrket dansk økonomi
(Finansministeriet, november 2018).