Miljø- og Fødevareudvalget 2018-19 (2. samling)
MOF Alm.del Bilag 122
Offentligt
2076325_0001.png
BEATE
Benchmarking af affaldssektoren 2016
Deponering
Rapporten er udarbejdet af Dansk Affaldsforening, DI og Dansk Energi.
Redskabet til indsamling af data er stillet til rådighed af Energistyrelsen.
MOF, Alm.del - 2018-19 (2. samling) - Bilag 122: Orientering vedrørende benchmarking af forbrændings- og deponeringsanlæg
INDHOLD
1
2
3
4
5
INTRODUKTION
AFFALDSMÆNGDER
ØKONOMI
MILJØ
OM BEATE
3
6
9
21
24
2
MOF, Alm.del - 2018-19 (2. samling) - Bilag 122: Orientering vedrørende benchmarking af forbrændings- og deponeringsanlæg
2076325_0003.png
1 Introduktion
Denne benchmarking omfatter økonomi og miljø på danske deponeringsanlæg
for 2016. Benchmarkingen er baseret på en model, som var frivillig for årene
2008 og 2009, men som fra 2010 blev obligatorisk.
Siden implementeringen af EU’s deponeringsdirektiv i 2009 er der sket en stor
reduktion i antallet af deponeringsanlæg i Danmark, da mange anlæg ikke
ønskede eller kunne fortsætte driften efter de nye regler. Derfor er der i dag kun
41 anlæg i drift. Tre af disse anlæg modtog i 2016 ikke affald til deponering.
Benchmarkingen omfatter således 41 deponeringsanlæg, der er godkendt til at
modtage affald efter kravene i bekendtgørelsen om deponeringsanlæg. I
benchmarkingen indgår ikke deponeringsanlæg for havbundsmaterialer. Af de 41
anlæg, som indgår i benchmarkingen, er 38 offentligt ejede, og de resterende tre
er privatejede.
Figur 1: Kort over deponeringsanlæg i BEATE.
Note: Anlæggene er skaleret efter deponeringskapacitet.
3
MOF, Alm.del - 2018-19 (2. samling) - Bilag 122: Orientering vedrørende benchmarking af forbrændings- og deponeringsanlæg
2076325_0004.png
Figur 2 viser deponeringsanlæggenes kapacitet som forventes ibrugtaget frem til
udgangen af henholdsvis 2018 og 2024. Det ses af figuren, at anlæggenes
kapacitet varierer fra flere mio. tons til få tusinde tons. Den reelle kapacitet kan
variere fra det, som figuren viser
1
.
Figur 2: Deponeringskapacitet i mio. tons.
Note: Nogle anlæg modtager primært jord, blandt andet de to anlæg med størst kapacitet: KMC
Nordhavn og Køge Jorddepot v. Køge Kommune.
1
Der kan være kapacitet, som ikke forventes godkendt eller ibrugtaget inden for den undersøgte periode,
eller kapacitet, der forventes godkendt, men som endnu ikke er kapacitetsberegnet.
4
MOF, Alm.del - 2018-19 (2. samling) - Bilag 122: Orientering vedrørende benchmarking af forbrændings- og deponeringsanlæg
2076325_0005.png
Figuren nedenfor viser ejerskabsforholdene for deponeringskapaciteten i
Danmark.
Figur 3: Ejerskabsforhold over deponi vægtet efter deponeringskapacitet, 2016.
5
MOF, Alm.del - 2018-19 (2. samling) - Bilag 122: Orientering vedrørende benchmarking af forbrændings- og deponeringsanlæg
2076325_0006.png
2 Affaldsmængder
Deponeringsanlæg kan modtage affald i fire affaldsklasser: Blandet affald, inert
affald, mineralsk affald og farligt affald. Hvilke klasser og affaldsfraktioner, der
kan modtages på det enkelte anlæg, fremgår af dets miljøgodkendelse. Kun få
anlæg har faciliteter til at deponere alle affaldsfraktioner ligesom der er betydelig
variation i, hvor store mængder affald anlæggene modtager i de forskellige
klasser.
Af figur 4 kan man se, at affaldsmængderne til deponering (ekskl. jord) har haft
en faldende tendens siden 2010 fra ca. 610.000 tons i 2010 til ca. 450.000 tons i
2016. Den deponerede mængde affald (ekskl. jord) udgjorde i følge
Miljøstyrelsens affaldsstatistik ca. 4 % af den samlede affaldsmængde i 2016
(ekskl. jord)
2
.
Figur 4: Mængde deponeret affald ekskl. jord, mio. ton.
0,7
0,6
0,5
Mio. ton
0,4
0,3
0,2
0,1
0,0
2010
2011
2012
2013
2014
2015
2016
Deponeret mængde, ekskl jord
Affaldsstatistik 2016, Miljøstyrelsen. Der kan være forskelle mellem den primære danske
affaldsproduktion (ekskl. jord) gående til deponering (som bliver indberettet til Affaldsdatasystemet og
indgår i affaldsstatistikken), og den reelt modtagne affaldsmængde til deponering på de danske
deponeringsanlæg (som anlæggene har indberettet til BEATE). Forskellen skyldes især, at affaldsmængden
til deponering modtaget på de danske deponeringsanlæg indeholder affaldsmængder, som via
sorteringsprocesser, videredistribueres til anden behandling.
2
Jf.
6
MOF, Alm.del - 2018-19 (2. samling) - Bilag 122: Orientering vedrørende benchmarking af forbrændings- og deponeringsanlæg
2076325_0007.png
Figur 5 viser, at den samlede mængde affald til deponering inkl. jord er højere i
2016 i forhold til 2010. Dette skyldes at mængderne af jord var større i 2016 end i
2010. De større mængder skyldes blandt andet udbygningen af Københavns
Metro Cityring.
Figur 5: Affaldsfraktioner inkl. jord.
Note: Indtil 2010 blev forurenet jord og ren jord opgivet under ét. Herefter differentieres mellem de
to.
7
MOF, Alm.del - 2018-19 (2. samling) - Bilag 122: Orientering vedrørende benchmarking af forbrændings- og deponeringsanlæg
2076325_0008.png
Tabel 1 viser den overordnede fordeling af de endeligt deponerede
affaldsmængder i 2016 (inkl. jordfraktioner) på anlæggene. Det har ikke været
muligt at fordele jorden på de enkelte affaldsfraktioner, men den bliver typisk
klassificeret som blandet eller mineralsk affald. Fordelingen kan variere betydeligt
fra anlæg til anlæg.
Forurenet jord udgør ca. 75 % af den deponerede mængde, og ren jord udgør ca.
12 % af den deponerede mængde. En del af den rene jord bliver brugt som
driftsmiddel til daglig afdækning samt slutafdækning og reetableringsformål på
deponeringsanlæggene.
Omtrent 6 % af den deponerede mængde er blandet affald, der typisk stammer
fra de kommunale genbrugspladser.
Inert affald udgør ca. 0,8 % af den samlede deponerede mængde og vil i denne
rapport blive behandlet under mineralsk affald, som sammen med inert affald
udgør ca. 4 % af de samlede mængder deponeret affald i 2016. Inert og
mineralsk affald stammer typisk fra restprodukter fra kulfyrede kraftværker samt
bygge- og anlægsaktiviteter
3
.
Endelig udgjorde farligt affald ca. 3 % af den samlede deponerede mængde i
2016.
Tabel 1: Endeligt deponerede (modtagne) mængder affald i 2016 (ekskl. havbundsmateriale).
Affaldsklasse
Forurenet jord
Ren jord
Blandet affald
Mineralsk inkl. inert
Farligt affald
Total
1.000 tons
2.498
386
212
138
106
3.340
Andel
afrundet
75 %
12 %
6%
4%
3%
100 %
Note: Tallene er afrundede til hele 1.000 tons. Forurenet jord er som udgangspunkt kategoriseret
som mineralsk eller blandet affald, men det afhænger af affaldets forureningsindhold samt de
anlægsspecifikke grænseværdier og forureningsindhold. Asbestaffald er opgjort under mineralsk
affald og blandet affald.
3
Havbundsmateriale er ligeledes kategoriseret som mineralsk affald, men indgår ikke i denne opgørelse. I
stedet bliver havbundsmateriale deponeret på særskilte anlæg (spuleanlæg).
8
MOF, Alm.del - 2018-19 (2. samling) - Bilag 122: Orientering vedrørende benchmarking af forbrændings- og deponeringsanlæg
2076325_0009.png
3 Økonomi
Det er ikke muligt at kortlægge økonomien for de privatejede deponeringsanlæg,
da de alene modtager eget affald og derfor ikke har separate
økonomioplysninger for anlæggene.
De privatejede anlæg indgår derfor ikke i dette afsnit om anlæggenes økonomi,
på nær i figur 16 om fyldhøjde.
Figur 6 viser den totale takstindtægt på kommunale anlæg (ekskl. statslig
affaldsafgift). I 2010 var affaldsfraktionen ren jord ikke taget med i
benchmarkingen, og derfor fremgår takstindtægter for ren jord for 2010 ikke af
figuren.
Figur 6: Total takstindtægt for deponeret affald på kommunale anlæg, ekskl. afgifter (uden
sikkerhedsstillelse
4
), 2010-2016, løbende priser.
400
350
300
Mio. DKK
250
200
150
100
50
0
2010
2011
Forurenet jord
Blandet affald
2012
Ren jord
Mineralsk affald
2013
2014
Jord (2010)
Farligt affald
2015
2016
4
Sikkerhedsstillelse bliver uddybet sidst i afsnit 3.
9
MOF, Alm.del - 2018-19 (2. samling) - Bilag 122: Orientering vedrørende benchmarking af forbrændings- og deponeringsanlæg
2076325_0010.png
Figur 7 og tabel 2 viser udviklingen i takst pr. ton for mineralsk inkl. inert affald,
farligt affald og blandet affald for perioden 2010-2016. Stigningen i
deponeringstaksten for farligt affald fra 2015 til 2016 skyldes bl.a., at
opgørelsesmetoden for et enkelt anlæg er ændret.
Figur 7: Gennemsnitlig årlig takst pr. ton for forskellige affaldstyper, ekskl. afgifter (uden
sikkerhedsstillelse), 2010-2016, løbende priser.
450
400
350
300
DKK pr. ton
250
200
150
100
50
0
2010
2011
Blandet affald
Ren jord
S
2012
2013
Farligt affald
Forurenet jord
2014
2015
2016
Mineralsk affald
Udviklingen i deponeringstaksterne for forskellige affaldsfraktioner er
udspecificeret i tabel 2 nedenfor.
Tabel 2: Gennemsnitlig årlig takst pr. ton, ekskl. afgifter (uden sikkerhedsstillelse), 2010-2016,
løbende priser.
Affaldsklasse
Blandet affald
Farligt affald
Mineralsk inkl. inert
affald
Forurenet jord
Ren jord
Jord
2010
356
279
420
-
-
55
2011
364
227
333
63
21
-
2012
362
212
338
63
22
-
2013
368
198
360
69
30
-
2014
386
196
422
73
44
-
2015
391
200
411
73
43
-
2016
386
316
326
72
54
-
10
MOF, Alm.del - 2018-19 (2. samling) - Bilag 122: Orientering vedrørende benchmarking af forbrændings- og deponeringsanlæg
2076325_0011.png
Figur 8 nedenfor viser gennemsnitstakster pr. ton for de forskellige typer affald i
2016.
De privatejede anlæg samt askedeponierne BIOFOS Renseanlæg (Lynetten) og
BIOFOS Renseanlæg (Avedøre) indgår ikke i figur 8 til figur 13.
Figur 8: Gennemsnitlige vægtede deponeringstakster pr. ton modtaget affald, ekskl. afgifter (uden
sikkerhedsstillelse), 2016.
450
400
DKK pr. ton modtaget affald
350
300
250
200
150
100
50
0
Blandet affald Mineralsk affald
Farligt affald
Gns.
Forurenet jord
Ren jord
72
54
386
326
316
Noter:
1) Forurenet jord kan deponeres uden statsafgift på særskilte enheder (specialdepoter). Hvis jord
deponeres sammen med de øvrige typer af affald, skal der betales afgift (den statslige afgift er på
475 dkr).
2) For rent jordfyld, ren jord og noget lettere forurenet jord, der tilføres et deponeringsanlæg som
hele selvstændige læs, og som anvendes til daglig afdækning eller slutafdækning, skal der ikke
betales en afgift.
11
MOF, Alm.del - 2018-19 (2. samling) - Bilag 122: Orientering vedrørende benchmarking af forbrændings- og deponeringsanlæg
2076325_0012.png
Figurerne 9 til 13 viser deponeringstaksterne for hvert anlæg for fraktionerne ren
jord, forurenet jord, blandet affald, farligt affald samt mineralsk- og inert affald.
Antallet af søjler illustrerer antallet af anlæg, der modtager den pågældende
affaldstype.
Figur 9: Deponeringstakster for ren jord, ekskl. afgifter (uden sikkerhedsstillelse),
deponeringsanlæg 2016 (den røde streg angiver det vægtede gennemsnit, der blev vist for
fraktionen i figur 8).
90
80
70
DKK per ton
60
50
40
30
20
10
0
Anlæg
Godkendt takst, Ren jord
Gns. takst
Note: For en række af de anlæg, der modtager små mængder ren jord, er taksten 0.
12
MOF, Alm.del - 2018-19 (2. samling) - Bilag 122: Orientering vedrørende benchmarking af forbrændings- og deponeringsanlæg
2076325_0013.png
Figur 10 viser, at taksten for modtagelse af forurenet jord varierede mellem
anlæggene i 2016. Det skyldtes blandt andet, at de tre store
specialdeponeringsanlæg, som udelukkende eller næsten udelukkende modtager
forurenet jord, har relativt lavere takster. De øvrige deponier modtog forurenet
jord som blandet eller mineralsk affald, og tog derfor en relativt højere takst,
svarende til taksten på det affald, der i øvrigt blev deponeret i cellen.
Figur 10: Deponeringstakster for forurenet jord, ekskl. affaldsafgifter (uden sikkerhedsstillelse),
deponeringsanlæg 2016 (den røde streg angiver det vægtede gennemsnit, der blev vist for
fraktionen i figur 8).
700
600
500
DKK pr. ton
400
300
200
100
0
Anlæg
Godkendt takst, forurenet jord
Gns. takst
13
MOF, Alm.del - 2018-19 (2. samling) - Bilag 122: Orientering vedrørende benchmarking af forbrændings- og deponeringsanlæg
2076325_0014.png
Det er tydeligt i figur 11, at et enkelt deponeringsanlæg havde en væsentlig
højere deponeringstakst for blandet affald end de øvrige anlæg. Det skyldtes, at
det årligt kun modtog få tons blandet affald, og at det ikke modtog andre
fraktioner.
Figur 11: Deponeringstakster for blandet affald ekskl. affaldsafgifter (uden sikkerhedsstillelse),
deponeringsanlæg 2016 (den røde streg angiver det vægtede gennemsnit, der blev vist for
fraktionen i figur 8).
2500
2000
DKK pr. ton
1500
1000
500
0
Anlæg
Takst, blandet affald
Gns. takst
Note: Anlægget med den højeste takst deponerede kun 199 tons blandet affald i 2016.
14
MOF, Alm.del - 2018-19 (2. samling) - Bilag 122: Orientering vedrørende benchmarking af forbrændings- og deponeringsanlæg
2076325_0015.png
Figur 12 viser sammenholdt med figur 11, at taksten var forholdsvis lav for at
deponere farligt affald i forhold til taksten for at deponere blandet affald i 2016.
Det skyldtes, at der var tale om få anlæg, som modtog store mængder farligt
affald og dermed kunne udnytte stordriftsfordele og holde taksten nede.
Figur 12: Deponeringstakster for farligt affald ekskl. affaldsafgifter (uden sikkerhedsstillelse),
deponeringsanlæg 2016 (den røde streg angiver det vægtede gennemsnit, der blev vist for
fraktionen i figur 8).
900
800
700
600
DKK pr. ton
500
400
300
200
100
0
Anlæg
Takst, farligt affald
Gns. takst
15
MOF, Alm.del - 2018-19 (2. samling) - Bilag 122: Orientering vedrørende benchmarking af forbrændings- og deponeringsanlæg
2076325_0016.png
Figur 13 viser, at også deponeringstaksten for mineralsk og inert affald varierede
mellem anlæggene, og at 13 af anlæggene modtog den type affald i 2016.
Figur 13: Deponeringstakster for mineralsk og inert affald ekskl. affaldsafgifter (uden
sikkerhedsstillelse), deponeringsanlæg 2016 (den røde streg angiver det vægtede gennemsnit,
der blev vist for fraktionen i figur 8).
1200
1000
800
DKK pr. ton
600
400
200
0
Anlæg
Takst, mineralsk og inert affald
Gns. takst
16
MOF, Alm.del - 2018-19 (2. samling) - Bilag 122: Orientering vedrørende benchmarking af forbrændings- og deponeringsanlæg
2076325_0017.png
Figur 14 viser fordeling af anlæggenes omkostninger i kr. Da anlæggene har
forskellig opbygning og alder er der variation i omkostningerne. En del af
variationen kan også skyldes forskelle i spildevandsafgifter og særbidrag for de
anlæg, der afleder perkolat til det kommunale rensningsanlæg. Af de samlede
driftsomkostninger i 2016 udgjorde omkostningerne til håndtering af perkolat (og
gas) i gennemsnit ca. 17 %.
Figur 14: Fordeling af omkostninger på deponeringsanlæg, 2016.
35.000.000
30.000.000
25.000.000
Mio. DKK
20.000.000
15.000.000
10.000.000
5.000.000
0
Anlæg
Driftomkostninger, ordinære
Afskrivninger
Henlæggelser
Hensættelser
Finansielle omkostninger
Ekstraordniære driftsomkostninger
Sikkerhedsstillelse
Alle deponeringsanlæg, der modtager affald, skal under anlæggets driftsperiode
opkræve et beløb via taksten til en sikkerhedsstillelse, som
i nedlukningsperioden omfatter slutafdækning og reetablering af arealet
i efterbehandlingsperioden omfatter bl.a. monitering af perkolat,
overfladevand og grundvand, perkolatbortskaffelse og diverse
omkostninger.
Beløb til dækning af uforudsigelige omkostninger (forureningsskader som følge af
brand, eksplosion, utæt membran m.v.) er ikke omfattet af sikkerhedsstillelsen.
17
MOF, Alm.del - 2018-19 (2. samling) - Bilag 122: Orientering vedrørende benchmarking af forbrændings- og deponeringsanlæg
2076325_0018.png
Størrelsen af omkostningerne ved at nedlukke og efterbehandle et
deponeringsanlæg vil være betinget af forhold vedr. det deponerede affald og
øvrige forhold på det konkrete anlæg. Således vil størrelsen af
nedlukningsomkostningerne afhænge af blandt andet:
affaldsmængder
affaldsklasse og affaldets vægtfylde
deponeringsenhedernes fyldhøjde
mængden af perkolat
omfanget og arten af reetablering af arealet og efterbehandlingsperiodens
varighed m.m.
anlægstekniske vilkår, som er indeholdt i miljøgodkendelsen af det
enkelte deponeringsanlæg.
Nedlukningsomkostninger kan derfor variere meget fra anlæg til anlæg, som
følge heraf indgår de ikke i opgørelserne af deponeringstaksterne.
Figur 15 viser således, at sikkerhedsstillelsen i 2016 varierede fra 3 kr. pr. ton til
164 kr. pr. ton med et gennemsnit på ca. 12 kr. pr. ton. Specialdepoter, der alene
modtager forurenet jord, havde den laveste sikkerhedsstillelse.
Figur 15: Sikkerhedsstillelse, kr. pr. ton, vægtet for alt affald, ekskl. ren jord (den sorte streg
angiver det vægtede gennemsnit på ca. 12 kr.).
180
160
140
120
DKK pr. ton
100
80
60
40
20
0
Anlæg
Note: Ekskl. de private anlæg, der ikke opererer med en særskilt sikkerhedsstillelse.
18
MOF, Alm.del - 2018-19 (2. samling) - Bilag 122: Orientering vedrørende benchmarking af forbrændings- og deponeringsanlæg
2076325_0019.png
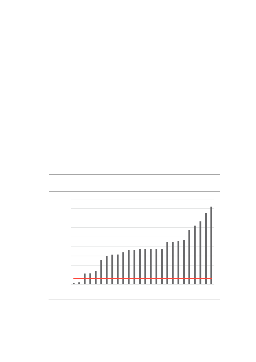
Fyldhøjder
Både mængder og anlæggenes samlede kapacitet har stor betydning for
økonomien. Sidstnævnte afhænger i høj grad af den godkendte fyldhøjde.
Fyldhøjden angiver højden af affaldet, for alle typer affald. Figur 16 viser
fyldhøjden på anlæggene uanset affaldstype. Den gennemsnitlige fyldhøjde på
de pågældende anlæg varierede fra 3 meter og op til 27 meter i 2016.
Figur 16: Gennemsnitlig fyldhøjde på anlæggene i meter (den røde streg angiver det vægtede
gennemsnit på 14,5 m).
30
25
20
Meter
15
10
5
0
Anlæg
19
MOF, Alm.del - 2018-19 (2. samling) - Bilag 122: Orientering vedrørende benchmarking af forbrændings- og deponeringsanlæg
2076325_0020.png
Figur 17 viser udviklingen i den vægtede gennemsnitlige vægtede fyldhøjde
uanset affaldstype på anlæggene.
Figur 17: Udvikling i gennemsnitlig fyldhøjde på anlæggene i meter, 2010-2016.
16,0
14,0
12,0
10,0
Meter
8,0
6,0
4,0
2,0
0,0
2010
2011
2012
2013
Årstal
2014
2015
2016
20
MOF, Alm.del - 2018-19 (2. samling) - Bilag 122: Orientering vedrørende benchmarking af forbrændings- og deponeringsanlæg
2076325_0021.png
4 Miljø
Perkolat
Miljøkravene til deponering handler først og fremmest om at beskytte drikke-/
grundvandsressourcer samt kvaliteten af overfladevandet. Derfor opsamles al
nedbør, som har givet anledning til perkolatdannelse (forurenet vand), og det
bliver sendt til behandling på et rensningsanlæg. Endvidere udføres et passende
antal boringer, hvorfra der udtages grundvandsprøver til kemisk analyse.
Overvågningen fortsætter efter ophør af deponering i efterbehandlingsperioden,
som i udgangspunktet er 30 år. Herefter vil deponeringsanlægget overgå til en
passiv tilstand, der betyder, at de miljøbeskyttende foranstaltninger ikke længere
drives aktivt.
Figur 18 viser hvordan anlæggene håndterede perkolatet, og at ca. 66 % af
perkolatet håndteredes uden for deponeringsanlægget.
Figur 18: Anlæggenes håndtering af perkolat vægtet efter mængder deponeret affald, alle anlæg.
21
MOF, Alm.del - 2018-19 (2. samling) - Bilag 122: Orientering vedrørende benchmarking af forbrændings- og deponeringsanlæg
Gas
Ved nedbrydning af deponeret organisk affald under anaerobe forhold dannes
der metan, der er en kraftig drivhusgas.
Danmark indførte den 1. januar 1997 i
praksis et forbud mod at deponere forbrændingsegnet affald, herunder organisk
affald. Derfor bliver der i dag deponeret yderst
begrænsede mængder organisk
affald på deponeringsanlæggene i Danmark. På gamle deponeringsanlæg
produceres der fortsat metan, som i nogle tilfælde opsamles og udnyttes til
produktion af el og/eller varme eller affakles (brændes af).
22
MOF, Alm.del - 2018-19 (2. samling) - Bilag 122: Orientering vedrørende benchmarking af forbrændings- og deponeringsanlæg
2076325_0023.png
Figur 19 viser hvor meget gas, der er blevet indvundet på
deponeringsanlæggene i perioden fra 2010 til 2016. I 2016 blev der indvundet ca.
2,1 mio. m
3
gas. Der blev indvundet gas på 9 anlæg, som alle udnytter gassen til
energiproduktion. I flere tilfælde var det kun på dele af anlæggene, gassen blev
indvundet, og generelt har produktionen været faldende. DTU har undersøgt
effektiviteten på enkelte anlæg og vurderer, at de kun udnytter 50-60 %
5
eller
mindre af den potentielt udnyttelige gas, så der er et stort potentiale for
forbedringer, primært med sigte på at reducere udledningen af drivhusgasser.
Figur 19: Opsamlet gas (m3) på deponeringsanlæggene, 2010-2016.
10.000.000
9.000.000
8.000.000
7.000.000
M
3
opsamlet gas
6.000.000
5.000.000
4.000.000
3.000.000
2.000.000
1.000.000
0
2010
2011
2012
2013
2014
2015
2016
Årstal
5
Reduktion af metan emissionen fra Klintholm losseplads ved etablering af Biocover”- DTU miljø, 2012
23
MOF, Alm.del - 2018-19 (2. samling) - Bilag 122: Orientering vedrørende benchmarking af forbrændings- og deponeringsanlæg
5 Om BEATE
I BEATE indsamles de data, som fremgår af affaldsbekendtgørelsen. De
indsamlede data gennemgår en kvalitetssikring, men det kan ikke udelukkes, at
der er enkelte dataset, der ikke er opgjort på samme grundlag. Det giver en
usikkerhed i anvendelsen af data. BEATE er en resultatbenchmarking, der
beskriver de enkelte anlægs udvikling og branchen som helhed i det enkelte år
og over flere år. BEATE forklarer ikke årsagerne til præstationerne for de enkelte
anlæg og branchen. Ønsker man at undersøge og forklare de mere specifikke
grunde til en given udvikling, kan man supplere med andre typer benchmarking,
herunder matematiske modeller (DEA/SFA) eller procesbenchmarking, hvor man
analyserer og sammenligner arbejdsprocesser. Ønsker man herudover at
forklare, hvordan anlæggenes forskellige rammevilkår eller ændring af generelle
rammebetingelser påvirker de enkelte anlæg, vil dette forudsætte yderligere
analyser.
Alle danske deponeringsanlæg, der er godkendt til at modtage affald efter
kravene i bekendtgørelsen om deponeringsanlæg, skal deltage i
benchmarkingen. Dette gælder dog ikke anlæg for havbundssedimenter.
Redskabet til indsamling af data er stillet til rådighed af Energistyrelsen (i
perioden 2007-2013 blev redskabet stillet til rådighed af Miljøstyrelsen). Incentive
har udarbejdet redskabet i samarbejde med foreningerne, samt indsamlet,
kvalitetssikret og behandlet data. Brancheforeningerne har haft adgang til data
fra de anlæg, der er medlem af de respektive foreninger, og har bistået med
kvalitetssikringen af data.
24