Klima-, Energi- og Forsyningsudvalget 2018-19 (2. samling)
KEF Alm.del Bilag 22
Offentligt
2066923_0001.png
En dansk klimalov
Hvilke mål og midler bør en stærk dansk klimalov indeholde?
af Stig Melgaard og Palle Bendsen
NOAH Friends of the Earth Denmark, juli 2019
1
KEF, Alm.del - 2018-19 (2. samling) - Bilag 22: Henvendelse af 19/8-19 fra NOAH om anbefalinger til en ny klimalov
Der er nu – endelig – en ny dansk klimalov på vej. Men det er yderst
vigtigt, at denne klimalov bliver skruet rigtigt sammen. I dette papir
beskæftiger vi os med de overordnede rammer og forudsætninger
for en klimalov, samt de vigtigste hovedelementer i den.
En ny, stærk dansk klimalov
Krav om at få en klimalov med klare mål for vores reduktioner af drivhusgasser blev
fremført af NOAH allerede i 2010
1
. Dengang blev kravet bakket op af over 10.000
underskrifter. Den daværende opposition – altså de partier, der udgør den nye
regering og dens støttepartier – samlede sig bag kravet, men da Folketinget i 2014
vedtog en klimalov, nu også med støtte fra Det Konservative Folkeparti, blev det
desværre i første omgang kun til en lov om et klimaråd. Siden er den folkelige støtte
til kravet om en klimalov vokset.
2018 blev den varmeste og tørreste sommer i mands minde og efteråret 2018 så nye
former for klimaaktivisme i form af skolestrejker verden over, Extinction Rebellion i
mange lande og herhjemme en ny grøn studenterbevægelse og ugentlige
klimapåmindelser foran Christiansborg. Det var alt sammen baggrund for at
et
borgerforslag i januar 2019 på rekordtid kunne samle de 50.000 underskrifter der
kræves for, at Folketinget debatterer et sådant forslag. Klimaet og specifikt kravet om
en ny klimalov kom højt på dagsordenen i valgkampen, og der er derfor gode
udsigter til, at der nu kan komme en ny og bedre klimalov. Men det er yderst vigtigt,
at en sådan klimalov bliver skruet rigtigt sammen.
En klimalov må tage udgangspunkt i at Danmark, som er et af de rigeste lande i
verden, også er et af de lande, som ligger i toppen, hvad angår udledninger af
drivhusgasser pr. indbygger. Derfor må vi påtage os vores del af ansvaret for, at den
globale opvarmning holdes så tæt som muligt på 1,5 grader celsius som på nogen
måde muligt.
Reduktionerne i en klimalov
Den globale opvarmning er allerede nu så fremskreden, at den globale
gennemsnitstemperatur er oppe på ca. 1,1 grad celsius over den førindustrielle
gennemsnitstemperatur, og den stiger stadig. Og allerede nu er klimakrisen reel og
rammer især de fattigste.
Tager vi højde for den træghed, hvormed Jordens klimasystem reagerer på vores
udledninger af drivhusgasser, må vi regne med, at temperaturen vil stige mellem 0,3
og 0,6 grader, selv om vi standsede alle udledninger af drivhusgasser i dag. Den
2
KEF, Alm.del - 2018-19 (2. samling) - Bilag 22: Henvendelse af 19/8-19 fra NOAH om anbefalinger til en ny klimalov
2066923_0003.png
virkelighed, vi må se i øjnene, er altså, at vi med stor sandsynlighed ikke kan undgå
at overskride det såkaldte 1,5 graders mål.
Derfor eksisterer der reelt ikke noget budget – noget råderum for, at vi risikofrit kan
udlede flere drivhusgasser. Hvert ton CO
2
eller andre drivhusgasser, vi udleder,
driver os tættere på en klimakatastrofe.
Det betyder, at de reduktionsmål, vi sætter i en klimalov, ikke kan betragtes som
andet end værktøjer, som vi kan bruge til at handle ud fra i en presset situation. Det
er ikke reduktioner, vi kan ”tillade os”, hvis skal holde os inden for 1,5 graders målet.
Hvert ton drivhusgasser, vi udleder, er et ton for meget.
Det er på den baggrund, vi i det følgende tager udgangspunkt i IPCC's globale
udledningsbudget
2
for CO
2
. Ud fra det kan man beregne, at vi i Danmark med afsæt
i år 2020 skal reducere CO
2
-udledningerne med mindst 22 procent år for år.
Reduktionerne i vores udledninger af CO
2
må følges op af lignende reduktioner af
de andre drivhusgasser, primært metan (CH
4
) og lattergas (N
2
O).
Disse reduktioner må under alle omstændigheder betragtes som utilstrækkelige i
forhold til, at vi skal holde os så tæt på 1,5 graders målet som muligt. Derfor må
reduktionerne suppleres af CO
2
-dræn i form af en udstrakt skovplantning og en
omlægning af vores landbrug til langt mindre husdyrproduktion og dyrkningsmetoder,
som medfører kulstoflagring i jorden.
Reduktion på 22 % år for år
Mt CO
2
/år
År
3
KEF, Alm.del - 2018-19 (2. samling) - Bilag 22: Henvendelse af 19/8-19 fra NOAH om anbefalinger til en ny klimalov
Klimalovens formål
Klimaloven skal sikre, at Danmarks udledning af CO
2
og andre drivhusgasser
reduceres i overensstemmelse med konkrete målsætninger og fastlagte budgetter.
Disse skal tage udgangspunkt i den bedste videnskabelige vurdering af Danmarks
andel af det mindst mulige globale drivhusgasbudget (råderum) og indeholde de
reduktioner, som følger heraf.
Loven skal i første række forpligte den danske regering og de danske myndigheder,
og den skal sikre,
at reduktionerne foregår i alle dele af samfundet.
Loven skal sikre, at Danmarks udledning af drivhusgasser så hurtigt som muligt
reduceres til et niveau, der er mindre end, hvad der optages i planter, jord og
sediment via naturlige processer og mekanismer.
Loven skal binde fremtidige regeringer til at sikre, at Danmarks samlede
drivhusgasreduktioner sker på grundlag af en lovmæssigt fastlagt tidsplan og på
baggrund af handlingsplaner for alle sektorer i samfundet, som tilsammen kan gøre
det muligt at opnå de krævede reduktioner. Ingen sektor kan friholdes for
reduktioner, og klimaloven skal være overordnet anden lovgivning, hvor den
regulerer aktiviteter, der medfører drivhusgasudledninger.
NOAHs forslag til en klimalov
NOAH foreslår følgende målsætninger:
1. Klimaloven skal sikre bindende årlige reduktioner af udledningen af CO
2
og
andre drivhusgasser samt sikre en udvikling hen imod en 100 procent
vedvarende, CO
2
-fri energiforsyning senest år 2030. Reduktionerne skal ske på
efterspørgselssiden med reelle (energi)besparelser og (energi)effektiviseringer og
på forsyningssiden med vedvarende (energi)teknologi.
2. Af hensyn til størrelsen af det samlede drivhusgasbudget skal udledningerne af
drivhusgasser i Danmark reduceres med mindst 22 procent år for år for at blive
helt udfaset allersenest i år 2036. Reduktionerne skal være reelle, indenlandske
reduktioner og skal omfatte udledninger af alle former for drivhusgasser
inklusive udledninger fra afbrænding af biomasse. Biomasse kan i forhold til det
meget begrænsede tidsrum, der er til at opnå de krævede reduktioner, ikke
anses for at være klimaneutralt, da det tager mellem 30 og flere hundrede år, før
udledningerne fra afbrænding af biomasse kan være optaget igen gennem ny
plantevækst - og der er risiko for at det aldrig vil ske, dersom der fortsat sker en
overudnyttelse af jord- og plantesystemerne.
4
KEF, Alm.del - 2018-19 (2. samling) - Bilag 22: Henvendelse af 19/8-19 fra NOAH om anbefalinger til en ny klimalov
3. Med klimaloven indføres et princip om udarbejdelse af 3-årlige
drivhusgasbudgetter for hele perioden frem til 2036.
4. Regeringen skal årligt rapportere om de samlede reduktioner såvel som for de
enkelte sektorer, således at Folketinget og offentligheden kan følge, at
reduktionerne sker som planlagt. Ingen sektorer kan friholdes, og ingen sektorer
kan udskyde deres andel af de samlede reduktioner eller modregne deres
manglende reduktioner i andre sektorers reduktioner.
5. Den danske energiforsyning skal være fri for fossile brændsler og biomasse i
2030.
6. Transporten skal reduceres og omlægges til overvejende kollektiv transport.
Transportsektoren skal inden 2030 omstilles til drivmidler, som kan indgå i en
vedvarende energiforsyning, dvs. primært el. Brugen af flydende
biobrændstoffer kan ikke indgå i omstillingen, da disse ikke kan regnes for
bæredygtige hverken i klimamæssig eller miljømæssig forstand.
7. Det industrialiserede landbrug skal omlægges til økologiske driftsformer inden
2030. Landbruget skal være klimaneutralt forstået således, at udslip af
drivhusgasser fra landbrugets husdyrhold skal neutraliseres ved hjælp af
dyrkningsmetoder, som medfører kulstofbinding i jorden. For at det kan blive
muligt, skal landbrugets husdyrhold reduceres kraftigt. Danmark skal være
selvforsynende med foder, så vi ikke blot outsourcer de emissioner, der er
forbundet med foderproduktion.
8. Det samlede landbrugsareal skal reduceres for at give plads til en omfattende
skovrejsning og en udlægning af større arealer med mose, eng og kystnære
vådområder. Den kulstofbinding, som opnås herigennem må ikke modregnes i
reduktionsmålet på de 22 procent, men skal tjene til, at vi kan nå en reduktion
så tæt som muligt på de 35 procent, vi ifølge forsigtighedsprincippet bør stræbe
efter.
9. Nuværende statsejede skove såvel som nye skovarealer skal henlægges som
ægte, urørt skov bestående af hjemmehørende træsorter inden år 2025. Al
kommerciel skovdrift i disse bør ophøre for at give plads til opbygning af
kulstoflagring i skovenes jordbund. En væsentlig del af de private skove bør
inden 2035 omlægges til urørte skove. Det opnåede CO
2
-dræn skal være med
til at afbøde den usikkerhed, der ligger i de reduktionsberegninger, som 1,5
grader målet baserer sig på.
10. Brugen af enhver form for drivhusgasser i den danske industri, hvad enten de
indgår i produktionsfasen eller i produkter skal være helt ophørt i 2030.
11. Danmark skal forpligte sig til at assistere udviklingslande gennem overførsel af
teknologi til og finansiering af opbygningen af vedvarende, bæredygtige
energiforsyningssystemer. Disse midler må ikke modregnes i den ordinære
5
KEF, Alm.del - 2018-19 (2. samling) - Bilag 22: Henvendelse af 19/8-19 fra NOAH om anbefalinger til en ny klimalov
udviklingshjælp, da det skal ses som én måde at afbetale den historiske
klimagæld på.
Klimalovens hovedelementer
Klimaloven skal desuden indeholde følgende hovedelementer:
En beskrivelse af de sociale processer, inddragelse af borgere og virksomheder
herunder ikke mindst landbruget, kommuner og forskningsinstitutioner, der skal
medvirke til, at de skyhøje målsætninger i loven kan realiseres på så kort tid, som
der er til rådighed.
En beskrivelse af de opgaver, der påhviler det offentlige, staten og alle ministerier
og styrelser, regionerne og kommunerne og de institutioner, der hører under de
forskellige grene af det offentlige.
En beskrivelse af hovedstrukturen i det vedvarende energiforsyningssystem, der
kræves for at sikre målopfyldelsen om en helt emissionsfri energiforsyning i 2030.
En beskrivelse af, hvilke strukturelle og institutionelle forandringer der skal sættes
i værk i form af en energihandlingsplan, en transporthandlingsplan, en
landbrugshandlingsplan, en handlingsplan for byggeri og anlægsarbejde samt en
handlingsplan for arealanvendelse og skovrejsning med tilhørende lovinitiativer,
nye retningslinjer for planlægning, offentlig indkøbspolitik, øget tværsektoriel
indsats inkl. en plan for ændret arealanvendelse.
En beskrivelse af en incitamentsstruktur indeholdende målrettede, langsigtede
tilskud og afgifter samt en økologisk skattereform med øget vægt på beskatning
af ressourcer og miljøskadelige stoffer og mindre beskatning af arbejdskraft.
Landbrugsstøtten må ændres til at understøtte den ønskede ændring i
arealanvendelse.
En energisparelov til sikring af de nødvendige el- og varmebesparelser.
En statistik for drivhusgasemissioner, der medtager alle emissioner, herunder
emissioner fra biomasse og og skibsfart samt den fulde klimaeffekt fra luftfart.
En opdateret VE-lov til sikring af den nødvendige vedvarende energi gennem
forskning, udvikling og demonstration samt en langsigtet tarifstruktur for alle typer
VE.
En finansieringsplan indeholdende en finansieringsfond, der kan tilvejebringe de
nødvendige midler på de rette tidspunkter.
En plan for ændring af subsidiestrukturen, så der hverken er direkte eller indirekte
subsidier, der støtter den fossile sektor, CO
2
-fangst og -lagring (CCS), atomkraft
(via EURATOM), biomasse i energisektoren eller biobrændstoffer til
transportsektoren.
6
KEF, Alm.del - 2018-19 (2. samling) - Bilag 22: Henvendelse af 19/8-19 fra NOAH om anbefalinger til en ny klimalov
Oplysning om og hjælp til adfærdsændringer hos den enkelte borger, husstand og
virksomhed.
En beskrivelse af, hvilke yderligere ændringer der kræves på andre lovområder,
for at disse kan understøtte klimaloven. Det er vigtigt at sikre, at omstillingen ikke
bliver socialt skæv.
Handlingsplanerne for de forskellige sektorer i samfundet skal gennemses og evt.
revideres hvert andet år i takt med dels den teknologiske udvikling, dels de krav, de
løbende klimaændringer vil stille til ændringer af f.eks. samfundets infrastruktur og
dels de erfaringer, som opsamles undervejs.
Forbrug, adfærd, vaner og normer
Mange års laden stå til i forhold til klimaproblemet betyder, at vi nu skal reducere
meget drastisk. Men det kan ikke lykkes gennem lovgivning alene.
Den nødvendige samfundsomstilling er på samme tid den største politiske og den
største ingeniørmæssige udfordring nogensinde, og det er samtidig en omstilling,
der kræver en medvirken fra borgere og virksomheder i et tempo og et omfang, som
vi ikke har kendt tidligere.
Bilag 1. Reduktionerne i en klimalov
Med de meget store usikkerheder, der eksisterer omkring beregningerne af klimaets
udvikling, er det en næsten umulig opgave et beregne et troværdigt tal for, hvor
store mængder drivhusgasser, vi kan tillade os at udlede, hvis vi skal holde os inden
for et bestemt niveau af global opvarmning. Derfor kan de reduktioner, man kan
regne sig frem til, kun betragtes som et værktøj til at opstille nogle målbare,
operationelle mål.
Hertil kommer, at IPCC opgiver sine såkaldte drivhusgasbudgetter med forskellige
sandsynligheder for ikke at overskride et bestemt niveau af global opvarmning. Selv
den højeste sandsynlighed på 67 procent ville vi i almindelighed betragte som
meget risikabel. Vi må derfor se IPCC's budgetter som retningsgivende og ikke som
et udtryk for præcise, maksimalt tilladte udledninger, som meget vel kan vise sig at
være mindre end det beregnede budget. IPCC’s rapporter er envidere historisk
kendt for snarere at underdrive end at overdrive situationens alvor.
Når vi alligevel bruger IPCC's budgetter som udgangspunkt for vores anbefalinger,
er det udelukkende, fordi det er nødvendigt at kunne opstille nogle rimelige mål at
kunne handle ud fra.
7
KEF, Alm.del - 2018-19 (2. samling) - Bilag 22: Henvendelse af 19/8-19 fra NOAH om anbefalinger til en ny klimalov
2066923_0008.png
Tager vi udgangspunkt i IPCC's 1.5C Special Report (2018), lå det globale budget
på henholdsvis 336 og 416 GtCO
2
afhængigt af beregningsmetoden ved udgangen
af 2017, med en ca. 67 procent sandsynlighed for at vi holder os inden for en 1,5
graders global temperaturstigning.
På basis af befolkningstallet kan vi herudfra anslå, at Danmarks andel af det
globale råderum (dog stadig med en 33 procents sandsynlighed for at skyde over
målet), vil være på 316 henholdsvis 429 MtCO
2
ved udgangen af 2017, afhængigt
af, hvilken af de to beregningsmetoder, man bruger.
Danmarks CO
2
-udledninger lå i 2018 på ca. 38 Mt per år.
Men i dette tal er ikke
medregnet afbrænding af biomasse samt Danmarks andel af den internationale
flytransport og skibstrafik. Afbrænding af biomasse udleder store mængder CO
2
,
som først er fuldt ud optaget i ny skov igen – hvis der overhovedet bliver plantet ny
skov - lang tid efter, at vi skal være ophørt med at udlede drivhusgasser. Set i det
perspektiv er biomasse i vores energiforsyning på ingen måde CO
2
-neutral.
Indregner vi dette, når vores udledninger op på ca. 68 MtCO
2 å
rligt i stedet for 38.
Altså en væsentlig forskel.
Da vores reduktionsberegninger tager afsæt i 2020, skal vi altså fratrække
udledningerne i 2018 og 2019 fra råderummet, så vi samlet set har et råderum
tilbage på 180 MtCO
2
henholdsvis 293 MtCO
2
afhængigt af beregningsmetoden.
Hvor meget vi så skal reducere år for år afhænger af, hvordan vi vælger at reducere.
Her ser vi på to mulige reduktionsveje, hvor vi enten reducerer udledninger med en
fast mængde CO
2
hvert år, eller vi reducerer med en fast procentdel af det til enhver
tid tilbageværende budget år for år. Den første reduktionsvej giver en lineær
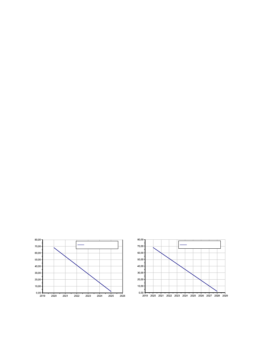
reduktionskurve, hvor vi reducerer lige meget hvert år.
Reduktion på 13 Mt CO
2
/år
Reduktion på 8 Mt CO
2
/år
Mt CO
2
/år
Mt CO
2
/år
År
År
Lineær reduktionskurve med en reduktion på
13 Mt CO2 per år og 2025 som det år, hvor
udledningerne går næsten i 0.
Lineær reduktionskurve med en reduktion på
8 Mt CO2 per år og 2029 som det år, hvor
udledningerne går næsten i 0.
8
KEF, Alm.del - 2018-19 (2. samling) - Bilag 22: Henvendelse af 19/8-19 fra NOAH om anbefalinger til en ny klimalov
2066923_0009.png
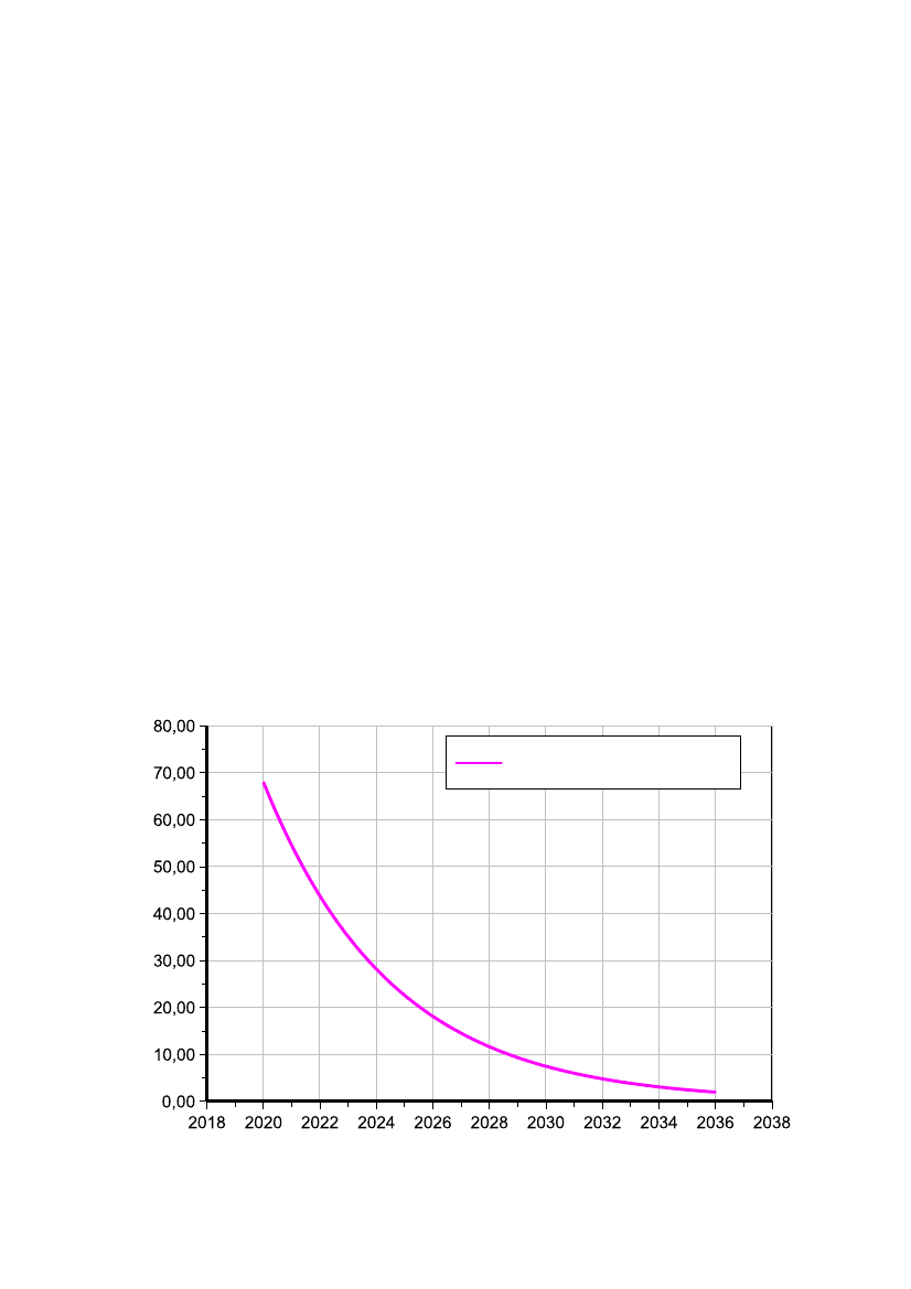
Den anden reduktionsvej giver en eksponentiel reduktionskurve, hvor vi reducerer
med en fast procentdel hvert år, hvilket betyder, at vi reducerer mest i begyndelsen
af perioden og derefter mindre og mindre år for år.
Reduktion på 35 % år for år
Reduktion på 22 % år for år
Mt CO
2
/år
Mt CO
2
/år
År
År
Eksponentielt aftagende reduktionskurve med
en reduktion på 35 procent år for år og 2030
som det år, hvor udledningerne går næsten i
0.
Eksponentielt aftagende reduktionskurve med
en reduktion på 22 procent år for år og 2036
som det år, hvor udledningerne går næsten i
0.
Ønsker vi at reducere lige meget hvert år, skal vi for det lave råderumseksempel
reducere med ca. 8 Mt per år og for det høje med ca. 13 Mt per år og dermed være
tæt på 0-udledning i henholdsvis 2025 og 2028.
Vælger vi en eksponentiel aftagende udledningskurve med en fast procentreduktion
år for år, skal vi for det lave råderumseksempel reducere med ca. 35 procent og det
høje med 22 procent og være tæt på 0-udledning i henholdsvis 2030 og 2036.
Skal vi følge forsigtighedsprincippet, bør vi med de meget store usikkerheder, der
eksisterer, bruge det mindste budget, som medfører en reduktionstakt på procent år
for år.
Dette er imidlertid hverken politisk eller praktisk realisabelt udelukkende ved hjælp
af besparelser, effektiviseringer og tekniske hjælpemidler, ændring af adfærd og
forbrug.
Derfor ser vi ingen anden vej, end at vi bruger en kombination af kraftige reduktioner
i alle sektorer af samfundet med udgangspunkt i en 22 procents reduktionskurve
sammen med optag af CO
2
fra atmosfæren i jord og planter herunder i skove,
således at vi kan nærme os nettoreduktioner på de 35 procent. Det kræver, at der i
løbet af de næste årtier plantes skov på en meget stor del af de landbrugsarealer,
der i dag bruges til at dyrke foder til husdyr. Dette skal ses i perspektiv af, at
9
KEF, Alm.del - 2018-19 (2. samling) - Bilag 22: Henvendelse af 19/8-19 fra NOAH om anbefalinger til en ny klimalov
Danmark er det europæiske land, der bruges den største del af sit areal på
landbrug, nemlig 62 procent, og at ca. 80 procent af dette areal bruges til at dyrke
foderafgrøder til husdyr, primært svin.
Da vi bør reducere vores kødforbrug såvel som vores husdyrproduktion betragteligt,
vil det også være muligt at reducere det areal, vi bruger til at dyrke husdyrfoder, og
lade en del af dette blive til skov. Hvis det skal hjælpe at plante ny skov, skal det ske
hurtigt, men det vil have den konsekvens, at den danske landbrugsproduktion bliver
mindre. Overvejelser om jordbrugsproduktionens rolle i forhold til at sikre sund og
tilstrækkelig kost til mange bør indgå i planerne for arealanvendelse i Danmark, jfr.
NOAHs arbejde med fremtidens jordbrug og kostsammensætning i ”Future Nordic
Diet”
3
Der er derfor behov for, at mulighederne for på samme tid at have en kulstoflagring
og en produktion af fødevarer undersøges og diskuteres i sammenhæng. NOAH har
i den forbindelse (baseret på modelberegninger støttet af Nordisk Ministerråd)
formuleret et første bud på mulighederne for at producere mest mulig mad med
mindst mulig klima- og miljøbelastning.
3
Nogen mener, at vi kan bruge arealer i andre (læs fattigere) lande til at klare vores
skovplantning. Dette er i NOAHs øjne ikke en acceptabel løsning. Danmark er
blandt de lande i verden, der har de største udledninger af CO
2
, og vi må løse vores
egne problemer.
IPCC's budget i 1.5C-rapporten omfatter kun rene CO
2
-udledninger. Reduktionerne
i vores udledninger af CO
2
må derfor følges op af lignende reduktioner af de andre
drivhusgasser, primært metan og lattergas, men også andre drivhusgasser. En del af
disse reduktioner kan opnåes ved hjælp af en omlægning af landbruget til en langt
mindre husdyrproduktion samt en kraftig reduktion af brugen af kunstgødning.
Bilag 2. På vej ind i klimakrisen
Siden 2010 har hverken Danmark eller andre lande for den sags skyld gjort nær nok
for at formindske den skadelige påvirkning af Jordens klimasystem. Derfor befinder
vi os nu i en meget mere alvorlig situation end dengang, en reel krise. Tegnene på
det er mange:
Mennesker lider allerede under klimakrisen, og det er som sædvanlig de i
forvejen fattigste og mest udsatte, der lider mest. Ekstremt varme, tørke,
ødelæggelser på grund af storme og oversvømmelser tvinger mennesker til at
bryde op fra deres bopæl og blive internt fordrevne eller internationale flygtninge.
Koncentrationen af CO
2
i atmosfæren har passeret 415 ppm. Det er den vigtigste
markør for klimaforandringer.
10
KEF, Alm.del - 2018-19 (2. samling) - Bilag 22: Henvendelse af 19/8-19 fra NOAH om anbefalinger til en ny klimalov
Den globale gennemsnitlige temperatur er steget mere end 1 grad Celsius.
Klimasystemet reagerer med træghed på koncentrationen af CO
2
, og forskningen
peger på, at mellem
0,3 og 0,6 grader
C allerede ligger ‘indbygget’ i
klimasystemet (i en hypotetisk situation, hvor alle udledninger standsede i dag)
Der er flere forhold, der især kan forværre følgerne af temperaturstigningen
drastisk: det er blandt andet metanudslip fra den permanent frosne jord i
tundraen i Sibirien og Nordamerika og sommerhavisens forsvinden i Arktis -
begge disse er såkaldte feedback-mekanismer, der accelererer udviklingen.
Der er nu tegn på, at afsmeltningen af iskapperne i Grønland og Antarktis
accelererer, og at verdenshavene af den grund stiger hurtigere og mere, end man
tidligere havde regnet med
Klimaforskere advarer nu om, at vi nu kraftig nærmer os de såkaldte tipping-
points, som de længe har advaret os imod. Sker det, vil det betyde en situation,
hvor klimaændringerne ikke mere kan ‘styres’, også selv om vi hurtigt reducerer
de menneskeskabte udledninger.
Bilag 3. Klimaretfærdighed
NOAH har i lighed med andre især internationale miljø- og udviklingsorganisationer
været optaget af miljøretfærdighed. I klimasammenhæng betyder det, at vi
anerkender, at de tidligt industrialiserede lande, der har været kilde til langt
hovedparten af de historiske udledninger af CO
2
, har en klimagæld i forhold til resten
af verden, som oveni købet ofte er de lande, der lider først og mest under
klimaforandringerne. I projektet Det miljømæssige råderum
4
(1994-1997) kunne vi
se muligheden af, at udviklingslandene i en række år kunne have udledninger, der
oversteg udledningerne fra industrilandene. På den måde kunne klimagælden
"betales tilbage i CO
2
". Da vi i 2008 igen beregnede råderummet for udledningen af
CO
2
kunne vi se, at det ikke længere ville være muligt.
Der er to væsentlige principper i Det miljømæssige råderum: det ene er et etisk
princip, som betyder, at ingen kan hævde at have mere ret til Jordens ressourcer
end nogen anden. Det andet er, at lave tilnærmelsesvise beregninger af, hvor stor en
andel af en bestemt ressource et individ kan tillade sig at lægge beslag på, uden at
det går ud over andres - nulevende eller fremtidige - ret til samme.
På baggrund af, at det viste sig ikke at være muligt at betale klimagælden, tilsluttede
NOAH sig i 2008 The Greenhouse Development Rights Framework
5
, GDR, der var
udarbejdet af Ecoequity (USA) og Stockholm Environment Institute (Sverige og
USA). GDR er en model for, hvordan man på samme tid kan sikre klimaretfærdighed
og tilstrækkelige globale drivhusgasreduktioner i tide i samme ånd som Det miljø-
mæssige råderum. GDR beregner land for land dels andelen af et globalt drivhus-
11
KEF, Alm.del - 2018-19 (2. samling) - Bilag 22: Henvendelse af 19/8-19 fra NOAH om anbefalinger til en ny klimalov
2066923_0012.png
gasbudget, dels de finansielle og teknologiske overførsler, der kan gøre det muligt
for de fattige lande at sikre sig en bæredygtig social og økonomisk udvikling uden at
bruge fossile brændsler.
Bilag 4. NOAHs udkast til en klimalov fra 2010
NOAH’s udkast til en klimalov fra 2010 bygger på en skitse fra professor dr.jur. Ellen
Margrethe Basse. Bemærk at reduktionsmålsætninger, budgetter og årstal, der er
anført har et 2-graders budget som forudsætning, og delbudgetterne dækker
perioden 2012-2050. Men udkastet kan stadig bruges som forlæg for en ny klimalov.
Udkastet starter på side 13.
Noter og henvisninger
NOAHs beregninger af CO
2
-budgettet baserer sig på IPCC's opgivelser i den seneste IPCC-rapport,
Special Report: Global Warming of 1,5 °C, Summary for Policy Makers, specielt kapitel C.1.3. Disse
beregninger er omfattet af en del usikkerhed, og opgiver typisk budgettet med en større eller mindre
sandsynlighed for at skyde over målet.
1
NOAHs udkast til en klimalov fra 2010 kan stadigvæk bruges som forlæg for en ny klimalov, og det
ligger også som baggrund for dette papir. Udkastet i 2010 byggede på en skitse fra professor dr.jur.
Ellen Margrethe Basse blandt andet med inspiration fra de dengang nye britiske og skotske
klimalove.
2
https://report.ipcc.ch/sr15/pdf/sr15_spm_final.pdf
3
Future Nordic Diets
– exploring ways for sustainable feeding the Nordics:
https://www.noah.dk/
materialer/future-nordic-diets?gclid=Cj0KCQjw3uboBRDCARIsAO2XcYBWeIt8ylqU-
i5bsFagYnfYG17MvFpRwhb32AhqKDs1_vFul1Pxi40aApxBEALw_wcB
4
Det miljømæssige råderum (eng: Environmental space) er den samlede mængde energi, ikke-
fornyelige råstoffer, landbrugsjord, tømmer og ferskvand vi kan bruge, uden at hindre fremtidige
generationer i at få adgang til de samme mængder. Størrelsen af det miljømæssige råderum er pr.
definition begrænset, og er desuden (delvist) kvantificerbart.
Publikationer/1998/87-7909-200-4/html/kap01.htm
5
http://klima-sos.dk/onewebmedia/A-GDR-analysis-DK-March2009.pdf
https://www2.mst.dk/udgiv/
12
KEF, Alm.del - 2018-19 (2. samling) - Bilag 22: Henvendelse af 19/8-19 fra NOAH om anbefalinger til en ny klimalov
2066923_0013.png
Hvordan kan en dansk klimalov se ud, og hvad skal den indeholde?
Et konkret forsøg på at formulere en skitse til et lovforslag
(uden ledsagende lovbemærkninger)
NOAH Energi og Klima
26. marts 2010
Den oprindelige skitse blev udarbejdet af professor, dr. jur. Ellen Margrethe Basse, formand
for Aarhus Universitets klimapanel og leder af Klimasekretariatet og er efterfølgende
bearbejdet af NOAH. Det nedenstående forslag er NOAH´s bud på en dansk klimalov.
Skitsen blev oprindeligt udarbejdet ifm. Ellen Margrethe Basse´s indlæg ”Hvordan
kan en
dansk klimalov se ud, og hvad kan den indeholde?”
på NOAH’s arrangement, ”Skal Danmark
have en klimalov?”, der blev afholdt på Kalvebod Brygge den 10. november 2009 med
deltagelse af bl. a. ordførere fra Folketinget Per Clausen (EL), Per Dalgaard (DF), Anne Grete
Holmsgaard (SF), Ole Hækkerup (S), Per Ørum Jørgensen (KF) og Margrethe Vestager (RV).
Skitsen er inspireret af den klimalov, der er vedtaget i Storbritannien i 2008 hhv. den
klimalov, der er vedtaget i Skotland i 2009. Forslaget er udformet under hensyntagen til de
danske traditioner, idet der ikke i Danmark er tradition for formulering af love, der - som de
to nævnte - pålægger regeringen konkrete forpligtelser til at realisere konkrete målsætninger,
hvor opfyldelsen vedrører en tidsperiode, der er meget længere end regeringens mulige
funktionsperiode.
_____
Lov nr. ..... af ..... om klimaændringer og –tilpasninger
Kapitel 1.
Formål, anvendelsesområde og definitioner
§ 1.
Loven fastlægger en forpligtelse for de danske myndigheder, herunder især den danske
regering, til at sikre, at den nationale udledning af drivhusgasser reduceres i overensstemmelse
med de i denne lov angivne konkrete målsætninger og de i medfør af loven fastlagte budgetter.
Stk. 2.
Loven skal sikre en hurtig udfasning af Danmarks brug af fossile brændsler gennem
energibesparelser og etablering af en energiforsyning baseret på vedvarende energikilder.
1
KEF, Alm.del - 2018-19 (2. samling) - Bilag 22: Henvendelse af 19/8-19 fra NOAH om anbefalinger til en ny klimalov
Stk. 3.
Loven skal sikre, at Danmarks udledning af drivhusgasser hurtigt reduceres til et
niveau, der er mindre end hvad der optages i planter, jord og sediment via naturlige processer
og mekanismer.
Stk. 4.
Loven skal sikre, at Danmark medvirker til at opfylde FN´s Klimakonventions formål.
principper og forpligtelser samt yde sit retfærdige bidrag til at holde den globale
temperaturstigning så langt under 2 grader Celsius som muligt set i forhold til det
førindustrielle niveau.
Stk. 5.
Loven skal medvirke til at sikre opfyldelse af de internationalt og i EU fastlagte
målsætninger om en omfattende kvantitativ reduktion af udledningen af drivhusgasser.
Stk. 6.
Loven skal medvirke til at sikre en omfattende kvantitativ reduktion i den del af
udledningerne af drivhusgasser fra international luftfart og international skibsfart, der kan
tilskrives Danmark.
Stk. 7.
Loven skal medvirke til at sikre en klimatilpasningspolitik, der integreres i den øvrige
politik og lovgivning, og som bidrager til tilvejebringelse af fælles rettidige løsninger.
§ 2.
I denne lov forstås ved følgende:
1)
Drivhusgasser:
Kuldioxid (CO
2
), metan (CH
4
), lattergas (N
2
O), hydroflourcarboner
(HFC), perfluorcarboner (PFC) og svovlhexaflouorid (SF
6
) og andre gasser, der måtte
blive omfattet af post-Kyoto regimet.
2)
CO
2
-ækvivalenter:
Omregning af drivhuseffekten fra én af de af loven omfattede
drivhusgasser til effekten af den tilsvarende mængde CO
2
.
3)
Basisåret:
Det år, som internationalt er fastlagt som referenceåret for den konkrete
procentvise reduktion af drivhusgasudledning.
4)
Reduktionsmålsætninger:
Målsætninger for reduktionen af drivhusgasudledningen fra
samtlige kilder, der er omfattet af denne lov, jf. § 3.
5)
Nettoudledning:
Den samlede udledning af drivhusgasser fratrukket det samlede optag
af drivhusgasser.
6)
Drivhusgasbudgetter:
Et budget for den totale mængde drivhusgasudledning i en given
periode.
7)
Årlige budgetter:
Den maksimale mængde af drivhusgasser, der netto kan udledes
inden for et givent år.
8)
Forpligtelsesperiode:
Den tidsperiode, der er omfattet af et emissionsbudget.
§ 3.
Loven gælder på land- og søterritoriet og i den eksklusive økonomiske zone, for
flyvninger, der foregår fra eller ankommer til en flyveplads i Danmark og for bunkring af
skibe foretaget i Danmark.
Stk. 2.
Uden for lovens anvendelsesområde falder den del af drivhusgasudledningen inden for
Rigsfællesskabet, der vedrører Grønland og Færøerne.
Stk. 3.
Regeringen kan til gennemførelse af internationale aftaler og EU’s retsforskrifter
udvide lovens anvendelsesområde, så den omfatter de yderligere udledninger, Danmark måtte
blive ansvarlig for.
2
KEF, Alm.del - 2018-19 (2. samling) - Bilag 22: Henvendelse af 19/8-19 fra NOAH om anbefalinger til en ny klimalov
§ 4.
Ved lovens anvendelse skal der lægges vægt på, at princippet om at
drivhusgasreduktionerne primært skal sikres gennem egne reduktioner
(supplementaritetsprincippet), respekteres. For de ikke-kvoteomfattede sektorer skal
reduktionerne udelukkende ske ved hjemlige tiltag. For de kvoteomfattede sektorer skal
mindst 90 % af reduktionerne ske gennem hjemlige tiltag.
Kapitel 2.
Emissionsreduktionsmålsætninger
§ 5.
Det er regeringens forpligtelse at sikre, at nettoudledningen af drivhusgasser i Danmark,
-
-
-
senest i 2020 er reduceret med mindst 50 % i forhold til 1990/1995-basisåret,
senest i 2030 er reduceret med mindst 90 % i forhold til 1990/1995-basisåret,
senest i 2050 er reduceret med mindst 100 % i forhold til 1990/1995-basisåret.
Stk. 2.
Basisåret for CO
2
og CH
4
er 1990. Basisåret for N
2
O, HFC, PFC og SF
6
er 1995.
Stk. 3.
Ved 1990/1995-basisåret forstås den samlede nettomængde udledning i 1990 hhv.
1995 for de i stk. 3 nævnte drivhusgasser.
Stk. 4.
Reduktionsmålsætningerne for årene 2020, 2030 og 2050 beregnes som den
gennemsnitlige årlige udledning for de tilhørende 3-årlige budgetperioder (jf. § 8).
§ 6.
Regeringen kan ændre de i § 5, stk. 1 nævnte procentsatser og de i § 5, stk. 3 angivne
basisår, hvis det er begrundet i
-
-
afgørende ny videnskabelig indsigt om klimaændringerne og deres konsekvenser m.v.,
som internationalt anerkendes, eller
afgørende ændringer i den internationale og/eller i EU’s lovgivning og politik.
Hvis internationale aftaler og EU’s retsforskrifter, som Danmark er forpligtet til at følge,
indebærer ændringer mht. basisåret, skal opgørelserne efter denne lov tage udgangspunkt i de
internationale forpligtelser og forpligtelserne ift. EU.
Stk. 2.
Regeringen skal, så hurtigt som praktisk muligt, anmode Klimakommissionen (jævnf.
§ 25) om rådgivning med hensyn til mulige ændringer der overvejes, på grund af de i stk. 1
nævnte forhold.
Stk. 3.
Klimakommissionen skal skriftligt redegøre for den internationale videnskabelige
viden, der er relevant for regeringens beslutninger, samt redegøre for de anbefalinger, den vil
give i forhold til de overvejede ændringer. Kommissionen skal sende materialet til regeringen
senest .... måneder efter modtagelsen af henvendelsen. I den udstrækning, kommissionens
medlemmer ikke er indbyrdes enige, skal det klart fremgå af det til regeringen fremsendte
materiale.
Stk. 4.
Klimakommissionen skal samtidig med fremsendelsen af materialet til regeringen
sende en kopi til relevante nationale myndigheder. Kommissionens redegørelse og
anbefalinger skal offentliggøres hurtigst muligt.
3
KEF, Alm.del - 2018-19 (2. samling) - Bilag 22: Henvendelse af 19/8-19 fra NOAH om anbefalinger til en ny klimalov
Stk. 5.
Regeringens beslutninger, der er omfattet af stk. 1, skal baseres på rådgivning fra
Klimakommissionen samt de synspunkter, der modtages fra andre nationale myndigheder.
§ 7.
Regeringen skal senest ... anmode Klimakommissionen om rådgivning med hensyn til,
om den i § 5, stk. 1 nævnte 2020-reduktionsmålsætning kan betragtes som den højest
opnåelige, eller om det er muligt at opstille mere ambitiøse målsætninger for 2020.
Stk. 2.
Regeringens beslutninger vedrørende en eventuel skærpelse af målsætningen for de
reduktioner, der skal opnås senest i 2020, skal baseres på den rådgivning, den modtager fra
Klimakommissionen samt de synspunkter, der modtages fra andre nationale myndigheder.
Fravigelser fra denne rådgivning skal begrundes.
Stk. 3.
Kommissionens rådgivning, der afgives efter en henvendelse modtaget fra regeringen,
baseres på følgende kriterier:
(1) den internationale videnskabelige viden om forhold vedrørende klimaændringer,
konsekvenserne af klimaændringer m.v.,
(2) den aktuelle tilgængelige teknologi og kendte teknologi, der er så udviklet, at den er
tæt på at kunne tages i anvendelse, herunder eventuelt under forudsætning af
iværksættelse af nye incitamenter,
(3) energipolitikken, især energiforsyningssituationen, import- og eksport af energi,
andelen af vedvarende energi i energiforsyningen, samt kulstof- og energiintensiteten i
den danske økonomi,
(4) miljømæssige forhold, herunder især biodiversitet, spørgsmål om arealanvendelse og
bæredygtig anvendelse af biomasse (jf. § 11),
(5) økonomiske forhold, især den danske økonomi, forholdene for små og mellemstore
virksomheder samt situationen på arbejdsmarkedet, herunder den aktuelle
beskæftigelsessituation,
(6) finansielle forhold, herunder især de skattemæssige indtægter, de offentlige udgifter
og den offentlige gæld,
(7) sociale forhold, især forholdene for de økonomisk dårligst stillede og særligt sårbare,
(8) særlige forhold der har betydning for erhvervsudvikling og livsbetingelserne i øvrigt i
det åbne land og/eller på øerne (dog ikke Fyn og Sjælland), og
(9) den europæiske og internationale lovgivning og politik.
Stk. 4.
Klimakommissionen skal skriftligt redegøre for den internationale videnskabelige
indsigt af relevans for regeringens beslutning samt redegøre for de anbefalinger,
kommissionen vil give i forhold til en eventuel skærpelse af målsætningen for 2020.
Kommissionen skal svare regeringen senest .... måneder efter modtagelsen af henvendelsen. I
den udstrækning, kommissionens medlemmer ikke er indbyrdes enige, skal det klart fremgå af
det fremsendte.
Stk. 5.
Kommissionen skal samtidig med at den fremsender sine betragtninger til regeringen,
sende en kopi til andre nationale myndigheder. Kommissionens betragtninger skal
offentliggøres hurtigst muligt.
4
KEF, Alm.del - 2018-19 (2. samling) - Bilag 22: Henvendelse af 19/8-19 fra NOAH om anbefalinger til en ny klimalov
Kapitel 3.
Emissionsbudgetter
§ 8.
Regeringen skal udarbejde et samlet budget for perioden 2012 til 2050, som angiver den
maksimale mængde drivhusgasser, der kan udledes fra det af denne lov omfattede territorium,
jf. § 3.
Stk. 2.
Regeringen skal for den samlede periode 2010 til 2050 opdele drivhusgasbudgettet i 3-
årlige budgetperioder med tilhørende årlige budgetter. De 3-årlige budgetperioder er,
1. Perioden 2012-2014, budgettet skal senest fastsættes 1. januar 2012
2. Perioden 2015-2017, budgettet skal senest fastsættes 1. januar 2012
3. Perioden 2018-2020, budgettet skal senest fastsættes 1. januar 2012
4. Perioden 2021-2023, budgettet skal senest fastsættes 1. januar 2012
5. Perioden 2024-2026, budgettet skal senest fastsættes 1. januar 2012
6. Perioden 2027-2029, budgettet skal senest fastsættes 1. januar 2015
7. Perioden 2030-2032, budgettet skal senest fastsættes 1. januar 2018
8. Perioden 2033-2035, budgettet skal senest fastsættes 1. januar 2021
9. Perioden 2036-2038, budgettet skal senest fastsættes 1. januar 2024
10. Perioden 2039-2041, budgettet skal senest fastsættes 1. januar 2027
11. Perioden 2042-2044, budgettet skal senest fastsættes 1. januar 2030
12. Perioden 2045-2047, budgettet skal senest fastsættes 1. januar 2033
13. Perioden 2048-2050, budgettet skal senest fastsættes 1. januar 2036
Stk. 3.
Regeringen kan under særlige omstændigheder ændre de i stk. 2 nævnte budgetter og
budgetperioder.
Stk. 4.
Regeringens beslutninger omfattet af stk. 1-3 skal baseres på rådgivning fra
Klimakommissionen samt den rådgivning, der modtages fra andre nationale myndigheder.
Stk. 5.
Kommissionens rådgivning efter stk. 1 skal baseres på følgende kriterier:
(1) den videnskabelige indsigt i forhold af betydning for klimaændringer og
konsekvenserne af ændringerne,
(2) den aktuelle tilgængelige teknologi og den kendte teknologi, der er udviklet så meget,
at den er tæt på at kunne tages i anvendelse, herunder eventuelt med brug af nye
virkemidler,
(3) energipolitikken, især energiforsyningssituationen, import- og eksport af energi,
andelen af vedvarende energi samt kulstof- og energiintensiteten i den danske
økonomi,
(4) miljømæssige forhold og især påvirkningen af biodiversiteten, spørgsmål om
arealanvendelse og bæredygtig anvendelse af biomassen (jf. § 11),
(5) økonomiske forhold, især den danske økonomi, forholdene for små og mellemstore
virksomheder og arbejdsmarkedet, herunder arbejdsløshedstal,
5
KEF, Alm.del - 2018-19 (2. samling) - Bilag 22: Henvendelse af 19/8-19 fra NOAH om anbefalinger til en ny klimalov
(6) finansielle forhold, herunder især skattemæssige indtægter, de offentlige udgifter og
den offentlige gæld,
(7) sociale forhold, især forholdene for de økonomisk dårligst stillede,
(8) særlige forhold for befolkningen og den del af erhvervslivet, der er etableret i det åbne
land og på øerne (dog ikke Fyn og Sjælland), og
(9) den europæiske og internationale lovgivning og politik.
Stk. 6.
Klimakommissionen skal skriftligt redegøre for den internationale videnskabelige
indsigt af relevans for de beslutninger vedrørende budgetperioder, som regeringen overvejer
eller kan overveje, samt redegøre for de anbefalinger, der kan gives i forhold til valget af
konkrete forpligtelsesperioder. Kommissionen skal fremsende materialet til regeringen senest
.... måneder efter modtagelsen af henvendelsen. I den udstrækning, kommissionens
medlemmer ikke er indbyrdes enige, skal det klart fremgå af det fremsendte.
Stk. 7.
Kommissionen skal samtidig med, at den fremsender materialet til regeringen sende en
kopi til andre nationale myndigheder. Kommissionens materiale skal offentliggøres hurtigst
muligt.
Stk. 8.
Regeringen er pligtig til at sikre, at det fastsatte årsbudget overholdes. Enhver
overskridelse skal offentliggøres og ledsages af en nærmere begrundelse, jf. § 22.
Kapitel 4.
Emissionsreduktionsprogram
§ 9.
Regering er forpligtet til senest ...... at udarbejde et sammenhængende
emissionsreduktionsprogram, der er egnet til at sikre opfyldelse af den langsigtede 2050-
reduktionsmålsætning og reduktionsmålsætningen for årene 2020 og 2030 samt overholdelse
af de emissionsbudgetter, der er fastlagt ved denne lov eller vedtaget i henhold til loven.
Stk. 2.
I programmet skal der redegøres for, hvorledes hovedstrukturen i et kommende
energiforsyningssystem udelukkende baseret på vedvarende energikilder skal se ud, samt
hvilke behov der vil være til finansiering.
Konkret skal programmet gøre rede for behovet for etablering af en klimainvesteringsfond og
en klimainnovationsfond, der tilsammen skal sikre helheden i det kommende
energiforsyningssystem ved at sikre, at den nødvendige finansiering kan tilvejebringes på de
rette tidspunkter. Fondene skal træde til i det omfang udviklingen af systemets
delkomponenter ikke kan forventes etableret via markedsmekanismen og en ny
incitamentsstruktur.
Programmet skal endvidere redegøre for, hvordan regeringens forskellige
sektorhandlingsprogrammer, regeringens relevante strategier samt de indgåede politiske
aftaler, vedrørende politikken inden for sektorerne: energi, transport, land- og skovbrug,
affald, natur og miljø m.v., konkret kan opfattes som effektive midler (delelementer) til
realisering af det i stk. 1 omhandlede overordnet emissionsreduktionsprogram. Tilsvarende
skal der redegøres for, hvordan aftaler, strategier m.v. på skatteområdet konkret bidrager til
opfyldelsen af det i stk. 1 omhandlede overordnede emissionsreduktionsprogram.
6
KEF, Alm.del - 2018-19 (2. samling) - Bilag 22: Henvendelse af 19/8-19 fra NOAH om anbefalinger til en ny klimalov
Stk. 3.
I det i stk. 1 omhandlede emissionsreduktionsprogram skal der endvidere redegøres
for, hvordan gældende lovgivning kan bidrage til opfyldelsen af reduktionsmålsætningerne.
Der skal foretages en afdækning af eventuelle barrierer i den gældende lovgivning og
administrative praksis, ligesom der skal redegøres for, hvilke nye tiltag, regeringen vil
iværksætte.
Stk. 4.
Programmet skal forelægges Folketinget senest ..., og offentliggøres samtidig med
forelæggelsen.
Stk. 5.
Folketinget træffer beslutning om, hvornår og hvordan programmet skal evalueres, og
hvornår et nyt samlet emissionsreduktionsprogram skal forelægges.
Kapitel 5.
Klimatilpasningsprogram
§ 10.
Regeringen er forpligtet til senest .... at præsentere et integreret
klimatilpasningsprogram, som forelægges Folketinget. Det skal angive,
(1) relationen til de internationale aftaler om klimatilpasning samt EU’s retsakter om
klimatilpasning, herunder hvidbogen om klimatilpasning,
(2) de nationale målsætninger der er bestemmende for indsatsen, den konkrete sårbarhed i
Danmark, eventuelle ”hot spots”, som skal vurderes og analyseres nærmere, og
konkrete lov- og politikområder, der er relevante ift. programmet,
(3) sammenhængen med de øvrige målsætninger, budgetter og programmer der er
omfattet af denne lov, og mulige konflikter imellem disse, skal analyseres,
(4) forslag til planer, initiativer, virkemidler og mekanismer, der skal bidrage til en
integreret og rettidig indsats,
(5) overslag over de medfølgende omkostninger samt forslag til finansiering,
(6) forslag til procedurer, der skal sikre en bred offentlig inddragelse i og medansvar for
rettidige og adækvate løsninger,
(7) forslag til procedurer, der skal sikre en inddragelse af interesseorganisationer,
virksomheder, institutioner og myndigheder i indsatsen og ansvaret for rettidige og
adækvate løsninger, og
(8) den periode, som klimatilpasningsprogrammet vedrører.
Stk. 2.
Klimatilpasningsprogrammet angiver kriterier og tidsplan for evaluering og for den
rapportering, som foretages under implementeringen.
Stk. 3.
Klimakommissionen bistår regeringen i arbejdet med programmet, der skal bygge på
de nyeste videnskabelige konsekvensanalyser af klimaforandringernes indflydelse i Danmark
f.eks. hvad angår havstigning, temperatur, nedbør og vind, og de forventede konsekvenser for
landskab, natur og miljø skal vurderes. Klimakommissionen skal samtidig med, at den
fremsender sine betragtninger til regeringen sende en kopi af materialet til andre nationale
myndigheder. Kommissionens betragtninger skal offentliggøres hurtigst muligt.
7
KEF, Alm.del - 2018-19 (2. samling) - Bilag 22: Henvendelse af 19/8-19 fra NOAH om anbefalinger til en ny klimalov
Stk. 4.
Klimatilpasningsprogrammet skal forelægges Folketinget. Folketinget angiver i
forbindelse med stillingtagen til programmet, om den angivne gyldighedsperiode kan
tiltrædes, og hvornår der senest skal fremsendes forslag til et nyt klimatilpasningsprogram.
Kapitel 6.
Arealanvendelse, energibesparelse og energieffektivisering, fremme af vedvarende
energi, affaldshåndtering, transport m.v.
§ 11.
Regeringen er forpligtet til senest ... at udarbejde et program for en økologisk og
bæredygtig arealanvendelse. Programmet, der skal forelægges for Folketinget, skal ses i
sammenhæng med de målsætninger, budgetter og programmer der er omfattet af denne lov.
Det skal angive,
(1) de konkrete målsætninger og virkemidler, der tages i brug for at øge optag af
drivhusgasser (dræn) og begrænse udledningen af drivhusgasser,
(2) sammenhængen med de handlingsplaner, strategier og politiske aftaler, der er indgået
vedrørende land- og skovbrug, herunder eventuelle interessekonflikter, som begrunder
en konkret prioritering,
(3) sammenhængen med de handlingsplaner, strategier og politiske aftaler, der er indgået
vedrørende natur- og miljøforhold, herunder eventuelle interessekonflikter, som
begrunder en konkret prioritering,
(4) sammenhæng med og eventuelle konflikter i forhold til gældende internationale
aftaler, EU-retsforskrifter og dansk lovgivning,
(5) forslag til initiativer, virkemidler og mekanismer, der skal bidrage til opfyldelsen af
målsætningerne og fjernelse af barrierer, og
(6) den periode, som programmet vedrører.
Stk. 2.
Der skal i programmet opstilles kriterier og tidsplan for evaluering og rapportering
under implementeringen af programmet.
Stk. 3.
Før programmet forelægges Folketinget, skal der foretages en offentlig høring.
Stk. 4.
Folketinget træffer beslutning om programmet, herunder den i programmet angivne
gyldighedsperiode.
Stk. 5.
Senest et år før udløbet af programmets gyldighedsperiode skal regeringen fremlægge
et nyt program til afløsning.
§ 12.
Regeringen er forpligtet til senest .... at udarbejde et program for energibesparelse og
energieffektivisering. Programmet, der skal forelægges Folketinget, skal ses i sammenhæng
med de målsætninger, budgetter og programmer der er omfattet af denne lov. Det skal angive,
(1) de konkrete målsætninger og virkemidler, der tages i brug for at øge direkte
energibesparelser og energieffektiviseringen i alle sektorer, herunder virkemidler og
mekanismer, der skal bidrage til opfyldelsen af målsætningerne og fjernelse af
barrierer,
8
KEF, Alm.del - 2018-19 (2. samling) - Bilag 22: Henvendelse af 19/8-19 fra NOAH om anbefalinger til en ny klimalov
(2) sammenhængen med de forsknings- og udviklingsprogrammer, der udmøntes
vedrørende energieffektivisering,
(3) offentlige myndigheders funktion som rollemodeller, og
(4) sammenhængen med de handlingsplaner, strategier, politiske aftaler, der er indgået
vedrørende bygninger, arealanvendelse, transport og affaldshåndtering,
(5) sammenhængen med gældende internationale aftaler, EU-retsakter og dansk
lovgivning på området,
(6) sammenhængen med politiske aftaler på skatteområder samt den konkret relevante
skattelovgivning og praksis på området, herunder en vurdering af effektiviteten ift.
opfyldelsen af målsætningerne om reduktion af drivhusgasser og fremme af
energibesparelse og energieffektivisering,
(7) den periode som handlingsplanen vedrører.
Stk. 2.
Der skal i programmet være opstillet kriterier og tidsplan for evaluering og
rapportering under implementeringen af programmet.
Stk. 3.
Før programmet forelægges Folketinget skal der foretages en offentlig høring.
Stk. 4.
Folketinget træffer beslutning om programmet, herunder den i programmet angivne
gyldighedsperiode.
Stk. 5.
Senest et år før udløbet af programmets gyldighedsperiode skal regeringen fremlægge
et nyt program til afløsning.
§ 13.
Regeringen er forpligtet til senest .... at udarbejde et program for fremme af vedvarende
energi. Programmet, der skal forelægges for Folketinget, skal ses i sammenhæng med de
målsætninger, budgetter og programmer der er omfattet af denne lov. Det skal angive,
(1) de konkrete målsætninger og virkemidler, der tages i brug for at fremme andelen af
vedvarende energi og begrænse udledning af drivhusgasser,
(2) forslag til initiativer, der skal bidrage til at fjerne eller begrænse tekniske, økonomiske
og retlige barrierer,
(3) sammenhængen med de forsknings- og udviklingsprogrammer, der udmøntes til
fremme af teknologiudvikling, integrering af vedvarende energi i nettet m.v.,
(4) sammenhængen med politiske aftaler på skatteområder samt den konkret relevante
skattelovgivning og praksis på området, herunder en vurdering af effektiviteten ift.
opfyldelsen af målsætningerne om reduktion af drivhusgasser og fremme af
vedvarende energi,
(5) sammenhængen med de handlingsplaner, strategier, politiske aftaler, der er indgået
vedrørende affaldsområdet fsva. nyttiggørelse af biologisk nedbrydeligt affald fra
industri, husholdninger og jordbrug som biomateriale i energiforsyningen,
(6) sammenhængen med konkret gældende internationale aftaler, EU-retsakter og dansk
lovgivning på området, herunder interessekonflikter, som begrunder en konkret
prioritering,
(7) sammenhængen med de handlingsplaner, strategier og politiske aftaler, der er indgået
vedrørende natur- og miljøforhold, herunder eventuelle interessekonflikter, som
begrunder en konkret prioritering, og
(8) den periode som programmet vedrører.
9
KEF, Alm.del - 2018-19 (2. samling) - Bilag 22: Henvendelse af 19/8-19 fra NOAH om anbefalinger til en ny klimalov
Stk. 2.
Der skal i programmet opstilles kriterier og tidsplan for evaluering og rapportering
under implementeringen af programmet.
Stk. 3.
Før programmet forelægges Folketinget skal der foretages en offentlig høring.
Stk. 4.
Folketinget træffer beslutning om programmet, herunder den i programmet angivne
gyldighedsperiode.
Stk. 5.
Senest et år før udløbet af programmets gyldighedsperiode skal regeringen fremlægge
et nyt program til afløsning.
§ 14.
Regering er forpligtet til senest .... at udarbejde et program for en affaldspolitik og
lovgivning, der sikrer en bæredygtig nyttiggørelse af affald, og som begrænser
drivhusgasudledningen fra affaldshåndteringen. Programmet, der skal forelægges Folketinget,
skal ses i sammenhæng med de målsætninger, budgetter og programmer, der er omfattet af
denne lov. Programmet skal angive
(1) de konkrete målsætninger og virkemidler, der tages i brug for at minimere
affaldsmængderne, samt udledningen af drivhusgasser fra affaldshåndteringen,
(2) sammenhængen med politiske aftaler på skatteområder, samt den betydning den
gældende skattelovgivning har som middel til at opfylde målsætningen om reduktion
af drivhusgasser og øget anvendelse af vedvarende energi,
(3) sammenhængen med de gældende EU-retsakter, især med de klimarelevante
affaldsbestemmelser i affaldsrammedirektivet og VE-direktivet, samt den danske
opfyldelse af sådanne bestemmelser,
(4) sammenhængen med den danske lovgivning på området, herunder eventuelle
interessekonflikter, som begrunder en konkret prioritering,
(5) den periode, som programmet vedrører
Stk. 2.
Der skal opstilles kriterier og tidsplan for evaluering og rapportering under
implementeringen af programmet.
Stk. 3.
Før programmet forelægges Folketinget skal der foretages en offentlig høring.
Stk. 4.
Folketinget træffer beslutning om programmet, herunder den i programmet angivne
gyldighedsperiode.
Stk. 5.
Senest et år før udløbet af programmets gyldighedsperiode skal regeringen fremlægge
et nyt program til afløsning.
§ 15.
Regering er forpligtet til senest .... at udarbejde et program for en udvikling af
transportsektorens infrastruktur og transportpolitikken i øvrigt, der sikrer en bæredygtig
udvikling med en udfasning af sektorens drivhusgasudledning. Programmet, der skal
forelægges Folketinget, skal ses i sammenhæng med de målsætninger, budgetter og
programmer der er omfattet af denne lov. Programmet skal angive,
(1) konkrete tiltag i forhold til forbedring af infrastruktur, der har betydning for
opfyldelsen af de opstillede forpligtelser mht. at reducere udledningen af
drivhusgasser,
10
KEF, Alm.del - 2018-19 (2. samling) - Bilag 22: Henvendelse af 19/8-19 fra NOAH om anbefalinger til en ny klimalov
(2) de konkrete målsætninger og virkemidler, der i øvrigt tages i brug for at øge den
kollektive transport, begrænse brændstofforbruget og fremme af transport baseret på
vedvarende energi,
(3) sammenhængen med politiske aftaler på skatteområder, herunder den gældende
skattelovgivning,
(4) sammenhængen med konkret gældende EU-retsakter og dansk lovgivning på området,
herunder konkrete interessekonflikter, som begrunder en konkret prioritering, og
(5) den periode som programmet vedrører.
Stk. 2.
Der skal opstilles kriterier og tidsplan for evaluering og rapportering under
implementeringen af programmet.
Stk. 3.
Før programmet forelægges Folketinget, skal der foretages en offentlig høring.
Stk. 4.
Folketinget træffer beslutning om programmet, herunder den i programmet angivne
gyldighedsperiode.
Stk. 5.
Senest et år før udløbet af programmets gyldighedsperiode, skal regeringen fremlægge
et nyt program til afløsning.
Kapitel 7.
Involvering af offentligheden og de berørte sektorer
§ 16.
Regeringen og de danske myndigheder er pligtige til at sikre gennemsigtighed i de
beslutninger, der træffes, samt koordinering af den indsats, der er tale om til opfyldelse af
målsætninger om reduktion samt overholdelse af budgetter.
Stk. 2.
Regeringen skal udarbejde en strategi, der bidrager til at de investeringer, der foretages
af de relevante sektorer, kan baseres på velkendte politiske strategier, herunder i forhold til
nødvendigheden af en omstilling til anvendelse af den klimavenlige teknologi, som
producenterne investerer i.
Stk. 3.
Strategien skal baseres på en involvering af de relevante interesseorganisationer og
andre interessenter.
§ 17.
Regeringen skal i et samarbejde med Kommunernes Landsforening og Danske Regioner
udarbejde en strategi for, hvordan offentligheden involveres aktivt i opfyldelsen af lovens
målsætninger. Strategien skal forelægges for Folketinget. Den skal angive
(1) hvilke tiltag mht. konkrete informationer m.v., der skal tages for herved at bidrage til
at borgere, virksomheder og myndigheder konkret får indsigt i de forhold, der er
bestemmende for klimaændringer og klimatilpasning,
(2) hvilke virkemidler, der kan anvendes for at sikre en aktiv involvering, herunder
konkrete eksempler på, hvordan offentligheden kan bidrage til reduktioner af
drivhusgasudledningen samt klimatilpasning,
(3) uddannelsesmæssige tiltag, der skal tages på alle niveauer,
11
KEF, Alm.del - 2018-19 (2. samling) - Bilag 22: Henvendelse af 19/8-19 fra NOAH om anbefalinger til en ny klimalov
(4) fjernelse eller begrænsning af barrierer, der har betydning for opfyldelsen en aktiv
involvering af offentligheden, og
(5) den periode, som strategien forudsættes at vedrøre.
Stk. 2.
Der skal i strategien opstilles kriterier og tidsplan for evaluering og rapportering under
implementeringen af strategien.
Stk. 3.
Før strategien forelægges Folketinget, skal der foretages en offentlig høring.
Stk. 4.
Folketinget træffer beslutning om strategien, herunder den i strategien angivne
gyldighedsperiode.
Stk. 5.
Senest et år før udløbet af strategiens gyldighedsperiode skal regeringen fremlægge en
ny strategi til afløsning.
Kapitel 8.
Koordinering med anden lovgivning m.v.
§ 18.
Regeringen skal sikre, at den øvrige nationale lovgivning udformes og anvendes på en
måde, der er i overensstemmelse med denne lovs målsætninger og budgetter.
Stk. 2.
Regeringen træffer bestemmelser og andre foranstaltninger, som skal fremmes loyalt af
de relevante sektorministre med henblik på effektivt at sikre en opfyldelse af lovens bindende
målsætninger og overholdelse af de i medfør af loven fastlagte budgetter.
Stk. 3.
Regeringen træffer bestemmelser med henblik på at gennemføre eller anvende
internationale konventioner og EU-regler om forhold, der er omfattet af denne lov.
§ 19.
Når en minister forbereder fremlæggelse af et lovforslag til en ny sektor eller til
ændringer i gældende love, der er relevante efter denne lov, skal udformningen af lovforslaget
og de ledsagende bemærkninger konkret tage højde for de forpligtelser, der følger af denne
lov. Det skal fremgå af bemærkningerne, om der er konkrete interesseafvejninger, der skal
tages højde for ved en samordning af kompetenceudnyttelsen efter den relevante sektorlov
med opfyldelsen af denne lov.
§ 20.
Statsministeren fastlægger regler og retningslinjer for offentlige myndigheders
opfyldelse af forpligtelser efter denne lov.
Stk. 2.
De kompetencer – herunder myndighedsudøvelse – der er relevante efter denne lov, og
som konkret udmøntes gennem anden lovgivning, skal bidrage positivt til denne lovs
opfyldelse.
§ 21.
Regeringen skal i samarbejde med Kommunernes Landsforening og Danske Regioner
udarbejde en strategi for, hvordan den kommunale praksis samt praksis i regionerne kan
bidrage til opfyldelsen af de målsætninger, der fastlægges i denne lov, samt sikre en
overholdelse af de i medfør af loven fastlagte budgetter.
12
KEF, Alm.del - 2018-19 (2. samling) - Bilag 22: Henvendelse af 19/8-19 fra NOAH om anbefalinger til en ny klimalov
Stk. 2.
Der skal opstilles kriterier for samt tidsplan for evaluering og rapportering under
implementeringen af strategien.
Kapitel 9.
Monitorering og rapporteringsforpligtelser m.v.
§ 22.
Med henblik på opfyldelse af lovens formål skal udledningen af drivhusgasser,
reduktioner i udledningen og fjernelse af drivhusgasser fra atmosfæren monitoreres eller
kalkuleres i CO
2
-ækvivalenter (CO
2
e) i overensstemmelse med de krav og kriterier, der er
opstillet internationalt og af EU.
Stk. 2.
Folketinget udpeger et uafhængigt organ, der kan varetage monitorering, verificering
og rapportering af drivhusgasudledningen efter denne lov, jf. § ....
§ 23.
Regeringen og de nationale myndigheder er ansvarlige for årligt og senest den 31. marts
at rapportere verificerede drivhusgasudledninger for det forudgående år fra det område, de er
ansvarlige for. Drivhusgasopgørelserne indsendes til Klima- og Energiministeriet.
Stk. 2.
Rapporteringen skal oplyse, om grænseværdien ift. det årlige budget er respekteret.
Hvis ikke budgettet overholdes, skal der redegøres for, hvad der er årsagen til det, samt hvilke
nye tiltag overskridelsen giver anledning til.
Stk. 3.
Rapporteringen skal forelægges Folketinget senest den 31. oktober i den periode, der
følger efter den relevante forpligtelsesperiode. Rapporteringen offentliggøres samtidig med
forelæggelsen.
§ 24.
Statsministeren udsteder nærmere regler for indholdet af rapporteringen.
Stk. 2.
Statsministeren udsteder regler for de nationale myndigheders monitorering og
rapportering af verificerede drivhusgasudledninger i overensstemmelse med de regler og
retningslinjer, der er opstillet af FN og EU.
Kapitel 10.
Klimakommissionen
§ 25.
Regeringen etablerer et uafhængigt organ, der har til opgave at rådgive regeringen og
andre nationale myndigheder efter denne lov. Det rådgivende organ kaldes
Klimakommissionen.
Stk. 2.
Klimakommissionen består af .... medlemmer.
Stk. 3. Rådets formand og øvrige medlemmer skal være anerkendte forskere eller
forskningskyndige, der tilsammen repræsenterer indsigt i forhold, der har betydning for
klimaet, ændringer i klimaet, samfundsøkonomi og andre klimarelevante forhold.
13
KEF, Alm.del - 2018-19 (2. samling) - Bilag 22: Henvendelse af 19/8-19 fra NOAH om anbefalinger til en ny klimalov
Stk. 4. Kommissionens medlemmer vælges for .... år af statsministeren efter indstilling fra Det
Forskningspolitiske Råd. Medlemmerne kan genudnævnes.
Stk. 5. Rådet udarbejder en forretningsorden for sit virke.
Stk. 6. Rådet udarbejder en årlig beretning, som offentliggøres.
Kapitel 11.
Ikrafttræden
§ 26.
Loven træder i kraft .....
14