Europaudvalget 2018-19 (2. samling)
EUU Alm.del Bilag 122
Offentligt
2069279_0001.png
NOTAT
30. juli 2019
Status for Danmarks implementering af EU’s indre markedslovgiv-
ning (jan.
dec. 2018)
Resumé
Europa-Kommissionen offentliggør årligt en resultattavle for im-
plementering af regler i det indre marked (Single
Market Score-
board).
Ifølge Kommissionen er Portugal, Slovakiet, Finland,
Sverige og Litauen de lande, der samlet set klarer sig bedst på den
seneste resultattavle. Danmark er ikke længere blandt de fem
bedst præsterende lande på resultattavlen. Det skyldes en lille til-
bagegang på flere parametre, der samlet set betyder, at Danmark
går fra en placering over EU-gennemsnittet på sidste års resultat-
tavle til at ligge på gennemsnittet.
Medlemsstaterne implementeringsniveau er i 2018 stabiliseret,
efter niveauet faldt i 2016 på grund af en stigning i antallet af
direktiver, der skulle implementeres.
Syv direktiver er i 2018 ikke implementeret rettidigt i dansk
lovgivning. Det er en stigning i forhold til 2017, og implemen-
teringsunderskuddet ligger nu på EU-gennemsnittet på 0,7 pct.
Danmarks implementeringsunderskud er stadig under Det Eu-
ropæiske Råds målsætning på 1 pct.
Syv direktiver er i 2018 ikke vurderet korrekt implementeret i
dansk lovgivning, hvilket er en stigning i forhold til 2017. Dan-
mark er gået fra at møde Kommissionens foreslåede målsæt-
ning om overensstemmelsesunderskud i implementeringen på
maksimalt 0,5 pct. til at ligge på 0,7 pct., hvilket dog stadig er
under EU-gennemsnittet (0,8 pct.).
Der er i alt 18 verserende traktatkrænkelsessager imod Dan-
mark på grund af ukorrekt implementering eller forkert anven-
delse af indre markedslovgivning. Siden 2017 er der blevet luk-
ket fire sager og åbnet otte nye sager. EU-gennemsnittet er på
25 verserende traktatkrænkelsessager pr. medlemsland, og
Danmark er blandt de ti medlemslande med det laveste antal
sager.
EUU, Alm.del - 2018-19 (2. samling) - Bilag 122: Notat om status for Danmarks implementering af EU’s indre markedslovgivning (jan. – dec. 2018)
2069279_0002.png
1. Indledning
EU’s indre marked er afhængigt af, at medlemslandene implementerer og
håndhæver de fælles regler rettidigt og korrekt. Når ét eller flere lande ikke
lever op til deres forpligtelser, skader det borgere og virksomheder på tværs
af EU, fordi der så gælder forskellige regler, hvor de burde være ens. For
at undgå en situation med et ufuldstændigt indre marked er der behov for
en effektiv styring af det indre marked både fra medlemslandenes og Eu-
ropa-Kommissionens side. Derfor står en rettidig og korrekt implemente-
ring af indre markedslovgivning i medlemslandene højt på Kommissionens
dagsorden.
Siden 1997 har Kommissionen årligt offentliggjort en resultattavle
det
såkaldte
Single Market Scoreboard
over medlemslandenes implemente-
ring af
EU’s indre markedslovgivning. På
resultattavlen sætter Kommissi-
onen fokus på medlemslandenes præstationer i forhold til rettidig og kor-
rekt implementering. Den seneste resultattavle blev offentliggjort den 4.
juli 2019 og dækker hele 2018.
Single Market Scoreboard 2019
er tilgæn-
gelig på Kommissionens hjemmeside, hvor der findes en række statistikker
om landenes implementering i et interaktivt format.
1
Ifølge Kommissionen
er Portugal, Slovakiet, Finland, Sverige og Litauen de lande, der samlet set
klarer sig bedst på resultattavlen for 2018, hvilket betyder, at Danmark går
fra en plads blandt de tre bedst præsterende lande i 2018 til ikke længere
at blive fremhævet.
2
Det skyldes en svag nedgang i Danmarks præstation
på flere parametre, hvilket sammenlagt betyder, at Danmark ikke længere
præsterer over EU-gennemsnittet.
Folketinget blev den 17. august 2018 orienteret om Danmarks placering på
resultattavlen for 2017.
2. Det totale EU-implementeringsunderskud i perioden 2000-2018
5 pct. af direktiverne
vedrørende EU’s indre marked mangler sta-
dig at blive implementeret i ét eller flere medlemslande.
Direktiver skal implementeres i national lovgivning inden for en bestemt
tidsfrist, som er nærmere specificeret i de enkelte direktiver.
Implemente-
ringsunderskuddet
omfatter den andel af direktiver vedrørende det indre
marked, som ikke er blevet implementeret inden for den fastlagte tidsfrist.
Resultattavlen viser, at 5 pct. af samtlige af
EU’s direktiver vedrørende det
indre marked, svarende til 55 direktiver, fortsat ikke er implementeret i ét
1
2
http://ec.europa.eu/internal_market/scoreboard/
https://ec.europa.eu/commission/presscorner/detail/da/ip_19_3030
2
EUU, Alm.del - 2018-19 (2. samling) - Bilag 122: Notat om status for Danmarks implementering af EU’s indre markedslovgivning (jan. – dec. 2018)
2069279_0003.png
eller flere medlemslande. Implementeringsunderskuddet er faldende, og
efter en stigning til 7 pct. i 2016, har det ligget på 5 pct. siden 2017. Figur
1 viser, at andelen af direktiver, der ikke er implementeret i ét eller flere
medlemslande, er ved at være tilbage på de forrige års niveauer efter stig-
ningen i 2016.
Det er især i forhold til direktiver målrettet offentlige udbud, finansielle
tjenesteydelser samt intellektuelle ejendomsrettigheder, herunder ophavs-
ret, at den nationale implementering halter efter.
Figur 1: Andel af direktiver for EU's indre marked, som ikke er implementeret i ét eller flere medlemslande i
perioden 1997-2018
30%
25%
20%
15%
10%
5%
0%
Kilde: Kommissionens Single Market Scoreboard 2019 over implementering. Tal fra november 1997 er EU-15,
fra november 2004 EU-25, fra maj 2007 EU-27 og fra juli 2013 EU-28.
3. Rettidig implementering af indre markedsdirektiver
Danmark mangler at implementere syv direktiver vedrørende det
indre marked, jf. bilag 1, svarende til en andel på 0,7 pct. Danmark
ligger hermed under Det Europæiske Råds målsætning på 1 pct.,
men når ikke Kommissionens foreslåede mål om, at implemente-
ringsunderskuddet maksimalt må være 0,5 pct.
Kommissionen har en målsætning om, at EU-landenes gennemsnitlige im-
plementeringsunderskud skal være på maksimalt 0,5 pct. af det samlede
antal af direktiver vedrørende det indre marked. Målsætningen er alene
Kommissionens, og medlemslandene har således ikke formelt bekræftet
denne. Det Europæiske Råds målsætning ligger på 1 pct.
3
1997
1998
1999
2000
2001
2002
2003
2004
2005
2006
2007
2008
2009
2010
2011
2012
2013
2014
2015
2016
2017
2018
EUU, Alm.del - 2018-19 (2. samling) - Bilag 122: Notat om status for Danmarks implementering af EU’s indre markedslovgivning (jan. – dec. 2018)
2069279_0004.png
Når et medlemsland har implementeret et direktiv i national lovgivning,
skal dette notificeres til Kommissionen. For at bestemme implementerings-
underskuddet tager Kommissionen udgangspunkt i det antal direktiver, et
medlemsland ikke har notificeret inden for den fastsatte tidsfrist.
Ifølge resultattavlen manglede Danmark at implementere syv direktiver in-
den for den fastlagte tidsfrist i 2018, hvilket svarer til et implementerings-
underskud på 0,7 pct. Det er en stigning på 0,2 procentpoint fra 2017, jf.
figur 2. Det placerer Danmark i en gruppe på syv lande, der har øget sit
implementeringsunderskud det seneste år, mens 15 lande har mindsket sit
implementeringsunderskud. Danmarks implementeringsunderskud ligger
dog stadig på EU-gennemsnittet, ligesom Kommissionen bemærker, at kun
ét medlemsland (Holland) har opnået sit hidtil bedste resultat på denne pa-
rameter på resultattavlen for 2018. For Danmarks vedkommende påpeger
Kommissionen, at Danmark med sin score kan gøre mere for at fremme
den rettidige gennemførelse af direktiver.
Figur 2 viser, at Danmarks implementeringsunderskud med undtagelse af
i 2016 og 2018 har ligget på eller under 0,5 pct. siden november 2008. Jf.
bilag 1 er direktiverne relateret til transport, hvidvask og miljø.
Figur 2: Andel direktiver, som Danmark ikke har implementeret rettidigt fra 1997-2018
3,5%
3,0%
2,5%
2,0%
1,5%
1,0%
0,5%
0,0%
Kilde: Kommissionens Single Market Scoreboard 2019 for Danmark. Tal fra november 1997 er EU-15, fra
november 2004 EU-25, fra maj 2007 EU-27 og fra juli 2013 EU-28.
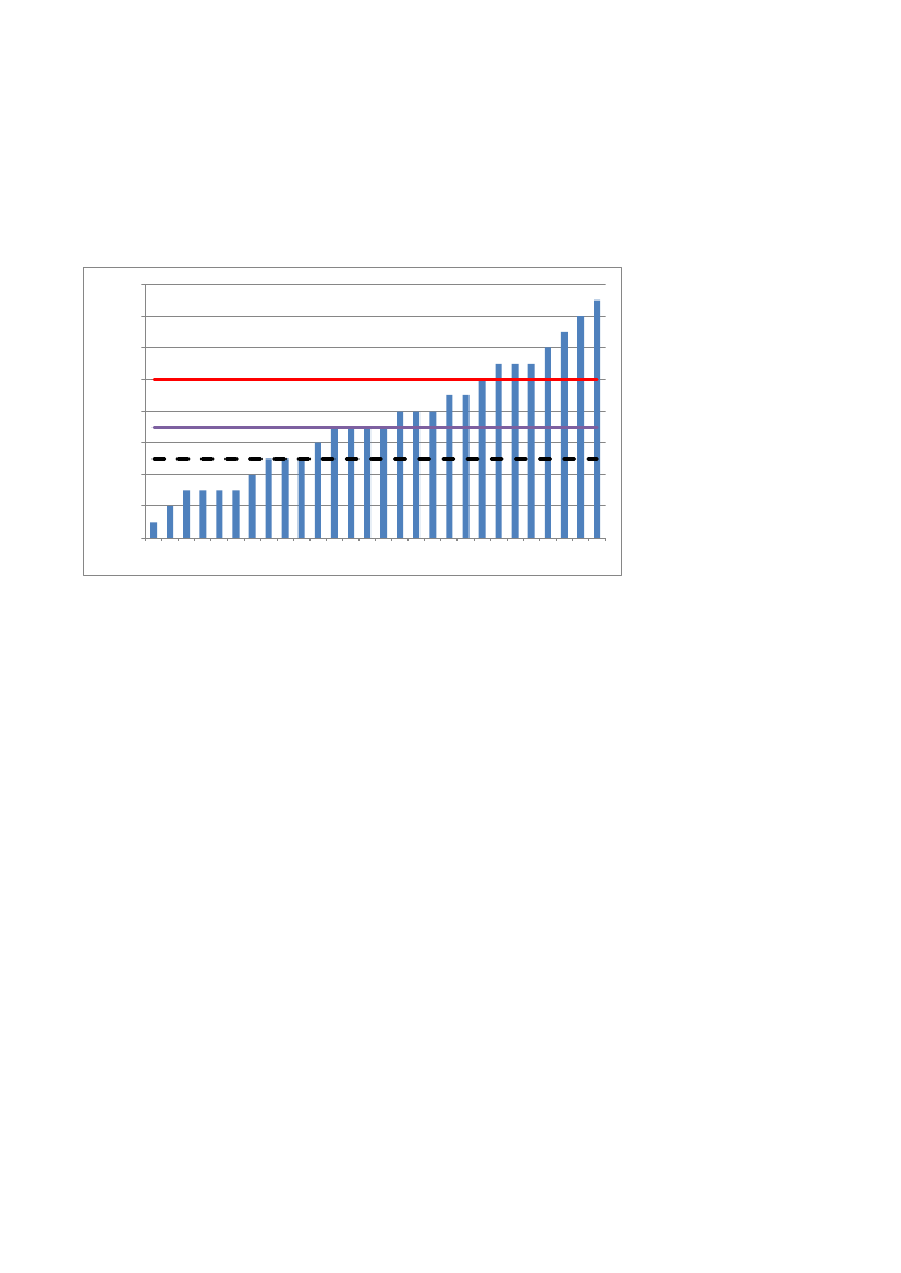
Figur 3 viser, at Danmark befinder sig i en gruppe af 21 lande, der når
Rådets mål om et implementeringsunderskud på 1 pct. Gruppen af lande,
der overholder Rådets implementeringsunderskudsmålsætning er vokset
fra 15 til 21 lande siden sidste års resultattavle. Generelt har der været en
1997
1998
1999
2000
2001
2002
2003
2004
2005
2006
2007
2008
2009
2010
2011
2012
2013
2014
2015
2016
2017
2018
4
EUU, Alm.del - 2018-19 (2. samling) - Bilag 122: Notat om status for Danmarks implementering af EU’s indre markedslovgivning (jan. – dec. 2018)
2069279_0005.png
positiv udvikling i implementeringen, og det højeste implementeringsun-
derskud for resultattavlen for 2018 er 1,5 pct. mod 3,4 pct. for 2016 og 1,7
Figur 3: Andel direktiver som ikke er implementeret rettidigt pr. 30. november 2018 fordelt på EU's medlems-
lande (antal direktiver i parentes)
1,60%
1,40%
1,20%
1,00%
0,80%
0,60%
0,40%
0,20%
0,00%
SE SK EE HR MT NL PT EL FR FI LT BG CZ DK SI IT LV UK IE HU PL DE LU RO AT BE CY ES
(1) (2) (3) (3) (3) (3) (4) (5) (5) (5) (6) (7) (7) (7) (7) (8) (8) (8) (9) (9) (10)(11)(11)(11)(12)(13)(14)(15)
pct. i 2017.
Note: Den røde linje illustrerer Det Europæiske Råds mål på 1,0 pct., den lilla linje illustrerer EU-gennemsnittet
mens den stiplede linje illustrerer Kommissionens foreslåede mål på 0,5 pct. Kilde: Kommissionens Single Mar-
ket Scoreboard 2019 over implementering.
Figur 4 illustrerer det gennemsnitlige implementeringsunderskud i EU si-
den 1997. Der fremgår heraf, at medlemsstaternes gennemsnitlige imple-
menteringsunderskud er på 0,7 pct. i 2018, og dermed holder sig under Det
Europæiske Råds mål på 1 pct. efter det steg i 2016. Det sker efter stignin-
gen i antallet af direktiver, der skulle implementeres i 2016, medførte, at
EU’s gennemsnitlige implementeringsunderskud
blev fordoblet fra 0,7 pct.
i december 2015 til 1,5 pct. i december 2016.
5
EUU, Alm.del - 2018-19 (2. samling) - Bilag 122: Notat om status for Danmarks implementering af EU’s indre markedslovgivning (jan. – dec. 2018)
2069279_0006.png
Figur 4: EU's gennemsnitlige implementeringsunderskud i perioden 1997-2018
7,00%
6,00%
5,00%
4,00%
3,00%
2,00%
1,00%
0,00%
Kilde: Kommissionens Single Market Scoreboard 2019 over implementering. Tal fra november 1997 er EU-15,
fra november 2004 EU-25, fra maj 2007 EU-27 og fra juli 2013 EU-28.
Den tidsmæssige forsinkelse for implementeringen af indre markeds-di-
rektiver i Danmark er i gennemsnit 9,1 måneder ifølge resultattavlen for
2018. Dette er en stigning på 1,9 måneder i forhold til seneste måling, hvor
Danmarks forsinkelse for implementeringen var 7,2 måneder. Forsinkelsen
overstiger nu EU-gennemsnittet, der er 8,4 måneder. Det skyldes, at tre ud
af de syv udestående direktiver i Danmark har været forfaldne i omkring
18 måneder, hvilket bidrager væsentligt til den gennemsnitlige forsinkelse.
Danmark har til gengæld ingen direktiver med stor forsinkelse (2 år eller
derover).
4. Korrekt implementering af indre markedsdirektiver
Danmark har syv direktiver, der ikke er vurderet korrekt imple-
menteret, jf. bilag 2, svarende til et overensstemmelsesunderskud
på 0,7 pct., hvilket er en stigning fra 0,5 pct. på resultattavlen for
2017. Danmark opfylder således ikke længere Kommissionens fo-
reslåede målsætning om overensstemmelsesunderskud på maksi-
malt 0,5 pct. Stigningen går dog igen for de fleste EU-lande, og
den gennemsnitlige overensstemmelsesunderskud for hele EU steg
fra 0,6 pct. i 2017 til 0,8 pct. i 2018.
1997
1998
1999
2000
2001
2002
2003
2004
2005
2006
2007
2008
2009
2010
2011
2012
2013
2014
2015
2016
2017
2018
6
EUU, Alm.del - 2018-19 (2. samling) - Bilag 122: Notat om status for Danmarks implementering af EU’s indre markedslovgivning (jan. – dec. 2018)
2069279_0007.png
Kommissionen måler ikke kun implementeringsunderskuddet, men vurde-
rer også indholdet af de implementerede direktiver. Det betyder, at resul-
tattavlen måler antallet af direktiver vedrørende det indre marked, hvor
Kommissionen har påbegyndt en traktatkrænkelsessag som følge af, at na-
tional lovgivning eller administrativ praksis vurderes at være i modstrid
med EU-reglerne. Her er der tale om et
overensstemmelsesunderskud.
Overensstemmelsesunderskuddet udtrykker den procentdel af direktiver,
som Kommissionen finder, ikke er gennemført korrekt, og hvor der er åb-
net traktatkrænkelsessager mod det pågældende medlemsland.
3
Det er i
sidste ende dog kun Den Europæiske Unions Domstol, der kan træffe af-
gørelse om et lands manglende overensstemmelse, hvilket man skal være
opmærksom på, når man analyserer overensstemmelsesunderskuddet.
Kommissionen arbejder med en målsætning for ukorrekt gennemførelse af
indre markedsdirektiver i medlemslandene på maksimalt 0,5 pct. af alle
indre markedsdirektiver.
Ifølge resultattavlen for 2018 steg overensstemmelsesunderskuddet for næ-
sten alle EU-lande. Hvor Kommissionen åbnede 26 nye sager i 2017 steg
antallet til 89 nye sager i 2018, en 250 %-stigning Kommissionen forklarer
med deres nye politik ift. anvendelse af EU Pilot-ordningen
4
. EU-gennem-
snittet er således steget fra 0,6 pct. i 2017 til 0,8 pct. i 2018. For Danmarks
vedkommende er der sket en stigning fra 0,5 pct. til 0,7 pct. siden sidste
års resultattavle, hvilket altså stadig er under EU-gennemsnittet.
5. Traktatkrænkelsessager
Danmark havde i alt 18 verserende traktatkrænkelsessager i rela-
tion til lovgivningen vedrørende det indre marked pr. 1. december
2018. Det gennemsnitlige antal verserende traktatkrænkelsessager
for EU’s medlemslande er 25 sager.
Det samlede antal verserende traktatkrænkelsessager er steget fra
664 til 692 siden sidste års resultattavle. Danmark tilhører en
gruppe af otte medlemslande, hvis præstation er blevet dårligere si-
den sidste år. Kun ét land (Finland) modtager aggregeret en vurde-
ring over middel for sin præstation i forhold til traktatkrænkelses-
sager.
Traktatkrænkelsessager bliver indledt i de tilfælde, hvor Kommissionen
vurderer, at et medlemsland ikke opfylder sine forpligtelser i medfør af
Traktaten. Det kan være i tilfælde af, at et direktiv ikke er implementeret
3
Procentdelen baseres alene på antallet af konkrete direktiver og ikke på antallet af sager pr. direktiv, dvs. selv
om der er åbnet flere sager i henhold til et direktiv, tælles direktivet kun én gang.
4
EU Pilot-ordningen anvendes ikke længere konsekvent, med begrundelsen, at overtrædelser af EU-retten
skal behandles hurtigt, og ikke tilføjes langvarige trin
7
EUU, Alm.del - 2018-19 (2. samling) - Bilag 122: Notat om status for Danmarks implementering af EU’s indre markedslovgivning (jan. – dec. 2018)
2069279_0008.png
til tiden, at direktivet ifølge Kommissionen ikke er implementeret korrekt
eller ved forkert eller utilstrækkelig håndhævelse af reglerne.
Med hensyn til indre markedslovgivning havde Danmark i alt 18 verse-
rende traktatkrænkelsessager pr. 1. december 2018. Det er fire sager mere
end i 2017, idet fire sager er blevet afsluttet og otte nye åbnet. EU-gennem-
snittet er på 25 traktatkrænkelsessager pr. medlemsland, hvilket er en lille
stigning fra 24 for 2017. De mest berørte sektorer for Danmark er transport,
som udgør 5 (28 pct.) af de verserende danske traktatkrænkelsessager.
Af figur 5 fremgår det, at antallet af traktatkrænkelsessager mod Danmark
overordnet set har været faldende siden 2005.
Figur 5: Antal traktatkrænkelsessager i Danmark fra 2003-2018
35
30
25
20
15
10
5
0
Kilde: Kommissionens Single Market Scoreboard 2019 for Danmark. Tal fra november 2003 er EU-15, fra
november 2004 EU-25, fra maj 2007 EU-27 og fra juli 2013 EU-28.
Resultattavlen viser desuden, at det samlede antal verserende traktatkræn-
kelsessager med relation til det indre marked er steget til 692 i december
2018 fra 664 i december 2017, hvor antallet var det laveste nogensinde.
Danmark tilhører en gruppe af i alt 17 medlemslande, for hvilke antallet af
traktatkrænkelsessager er steget det sidste år, mens 10 medlemslande op-
levet et fald i deres antal i 2018.
Desuden fremgår det af resultattavlen, at kun ét land (Finland) sammenlagt
modtager
vurderingen ”over
middel” repræsenteret ved et grønt kort for
sin præstation i forhold til traktatkrænkelsessager i 2018. Det fremgår der-
udover, at Danmark sammen med Østrig og Litauen er tæt på også at mod-
tage et grønt kort frem for et gult kort for deres samlede præstation.
Ses der på medlemslandenes håndtering af traktatkrænkelsessager, varer
sagsbehandlingen for en traktatkrænkelsessag i gennemsnit 38,1 måneder
8
EUU, Alm.del - 2018-19 (2. samling) - Bilag 122: Notat om status for Danmarks implementering af EU’s indre markedslovgivning (jan. – dec. 2018)
det vil sige fra det tidspunkt, hvor Kommissionen fremsender en formel
åbningsskrivelse til et medlemsland, til det tidspunkt, hvor sagen afsluttes.
For Danmark er den gennemsnitlige sagsbehandlingstid for de 17 sager,
der endnu ikke er indbragt for EU-Domstolen, 25,2 måneder, hvilket er et
drastisk fald på 7,6 måneder siden sidste år, og Danmark er nu det land
med den tredjelaveste sagsbehandlingstid. Danmarks gennemsnitlige sags-
behandlingstid er således væsentligt bedre end EU-gennemsnittet.
I forhold til efterlevelsestiden af afgørelser fra Domstolen (f.eks. ændring
af den pågældende lovgivning) for sager, der er lukket i de seneste 5 år, er
den gennemsnitlige tid 14,1 måneder for Danmark. Det er en lille stigning
på 0,4 måneder i forhold til sidste års resultat på 13,7 måneder, hvilket
skyldes, at en sag med kort efterlevelsestid, der tidligere har trukket gen-
nemsnittet ned, nu er over 5 år gammel, og derfor ikke indgår i statistikken.
Danmark ligger stadig under både grænsen for efterlevelse på 18 måneder
og EU-gennemsnittet på 28,2 måneder. Danmark har det fjerdekorteste ef-
terlevelsestid blandt de 25 lande, der de sidste 5 år har overholdt Domsto-
lens afgørelser.
9
EUU, Alm.del - 2018-19 (2. samling) - Bilag 122: Notat om status for Danmarks implementering af EU’s indre markedslovgivning (jan. – dec. 2018)
Bilag 1:
Liste over direktiver vedrørende det indre marked, Danmark ikke har
implementeret inden for den fastlagte tidsramme (implementeringsunderskud)
Europa-Parlamentets og Rådets direktiv (EU) 2015/413 af 11. marts 2015
om fremme af grænseoverskridende udveksling af oplysninger om
tra-
fiksikkerhedsrelaterede færdselslovsovertrædelser
Europa-Parlamentets og Rådets direktiv 2014/46/EU af 3. april 2014 om
ændring af Rådets direktiv 1999/37/EF om
registreringsdokumenter
for motorkøretøjer
Europa-Parlamentets og Rådets direktiv 2015/849/EU af 20. maj 2015
om
forebyggende foranstaltninger mod anvendelse af det finansielle
system til hvidvask af penge eller finansiering af terrorisme,
om æn-
dring af Europa-Parlamentets og Rådets forordning (EU) nr. 648/2012 og
om ophævelse af Europa-Parlamentets og Rådets direktiv 2005/60/EF
samt Kommissionens direktiv 2006/70/EF
Kommissionens direktiv 2018/217/EU af 31. januar 2018 om ændring af
Europa-Parlamentets og Rådets direktiv 2008/68/EF om
indlandstrans-
port af farligt gods
ved at tilpasse del I.1 i bilag I til den videnskabelige
og tekniske udvikling
Rådets direktiv 2017/738/EU af 27. marts 2017 om ændring af bilag II til
Europa-Parlamentets og Rådets direktiv 2009/48/EF om
sikkerhedskrav
til legetøj med henblik på tilpasning til den tekniske udvikling
for så
vidt angår bly
Kommissionens direktiv 2017/774/EU af 3. maj 2017 om ændring af til-
læg C til bilag II til Europa-Parlamentets og Rådets direktiv 2009/48/EF
om
sikkerhedskrav til legetøj med henblik på vedtagelse af specifikke
grænseværdier for kemikalier anvendt i legetøj for så vidt angår
phenol
Kommissionens direktiv 2017/898/EU af 24. maj 2017 om ændring af
tillæg C til bilag II til Europa-Parlamentets og Rådets direktiv
2009/48/EF om
sikkerhedskrav til legetøj med henblik på vedtagelse
af specifikke grænseværdier for kemikalier anvendt i legetøj for så
vidt angår bisphenol A
10
EUU, Alm.del - 2018-19 (2. samling) - Bilag 122: Notat om status for Danmarks implementering af EU’s indre markedslovgivning (jan. – dec. 2018)
Bilag 2:
Liste over direktiver vedrørende det indre marked, Danmark vurderes
ikke at have implementeret korrekt (overensstemmelsesunderskud)
Europa-Parlamentets og Rådets direktiv 2005/29/EF af 11. maj 2005 om
virksomheders urimelige handelspraksis over for forbrugerne på det
indre marked
og om ændring af Rådets direktiv 84/450/EØF og Europa-
Parlamentets og Rådets direktiv 97/7/EF, 98/27/EF og 2002/65/EF og Eu-
ropa-Parlamentets og Rådets forordning (EF) nr. 2006/2004
Europa-Parlamentets og Rådets direktiv 2004/35/EF af 21. april 2004 om
miljøansvar for så vidt angår forebyggelse og afhjælpning af miljø-
skader
Europa-Parlamentets og Rådets direktiv 2011/83/EU af 25. oktober 2011
om
forbrugerrettigheder,
om ændring af Rådets direktiv 93/13/EØF og
Europa-Parlamentets og Rådets direktiv 1999/44/EF samt om ophævelse
af Rådets direktiv 85/577/EØF og Europa-Parlamentets og Rådets direk-
tiv 97/7/EF
Europa-Parlamentets og Rådets direktiv 2006/123/EF af 12. december
2006 om
tjenesteydelser i det indre marked
Rådets direktiv 2011/70/Euratom af 19. juli 2011 om fastsættelse af en
fællesskabsramme for ansvarlig og sikker håndtering af brugt nukle-
art brændsel og radioaktivt affald
Europa-Parlamentets og Rådets direktiv 2005/36/EF af 7. september
2005 om
anerkendelse af erhvervsmæssige kvalifikationer
Europa-Parlamentets og Rådets direktiv 2013/55/EU af 20. november
2013 om
ændring af direktiv 2005/36/EF om anerkendelse af er-
hvervsmæssige kvalifikationer og forordning (EU) nr. 1024/2012 om
det administrative samarbejde ved hjælp af informationssystemet
for det indre marked
( »IMI-forordningen« )
11