Transport-, Bygnings- og Boligudvalget 2018-19 (1. samling)
TRU Alm.del
Offentligt
1992442_0001.png
Folketingets Finansudvalg
Christiansborg
19. november 2018
Svar på Transport-, Bygnings og Boligudvalgets spørgsmål nr. 39
(Alm. del) af 19. oktober 2018 stillet efter ønske fra Rasmus Prehn
(S)
Spørgsmål
Hvordan vurderer ministeren finansieringsgrundlaget for Togfonden set i lyset af,
at olieprisen er på sit højeste siden 2014 og vurderes at stige fremadrettet?
Svar
Det blev med
Aftale om harmonisering af beskatningen i Nordsøen
af september 2013 (S,
R, SF, EL, DF) besluttet at afsætte det forventede akkumulerede statslige merpro-
venu som følge af aftalen til etableringen af Togfonden DK.
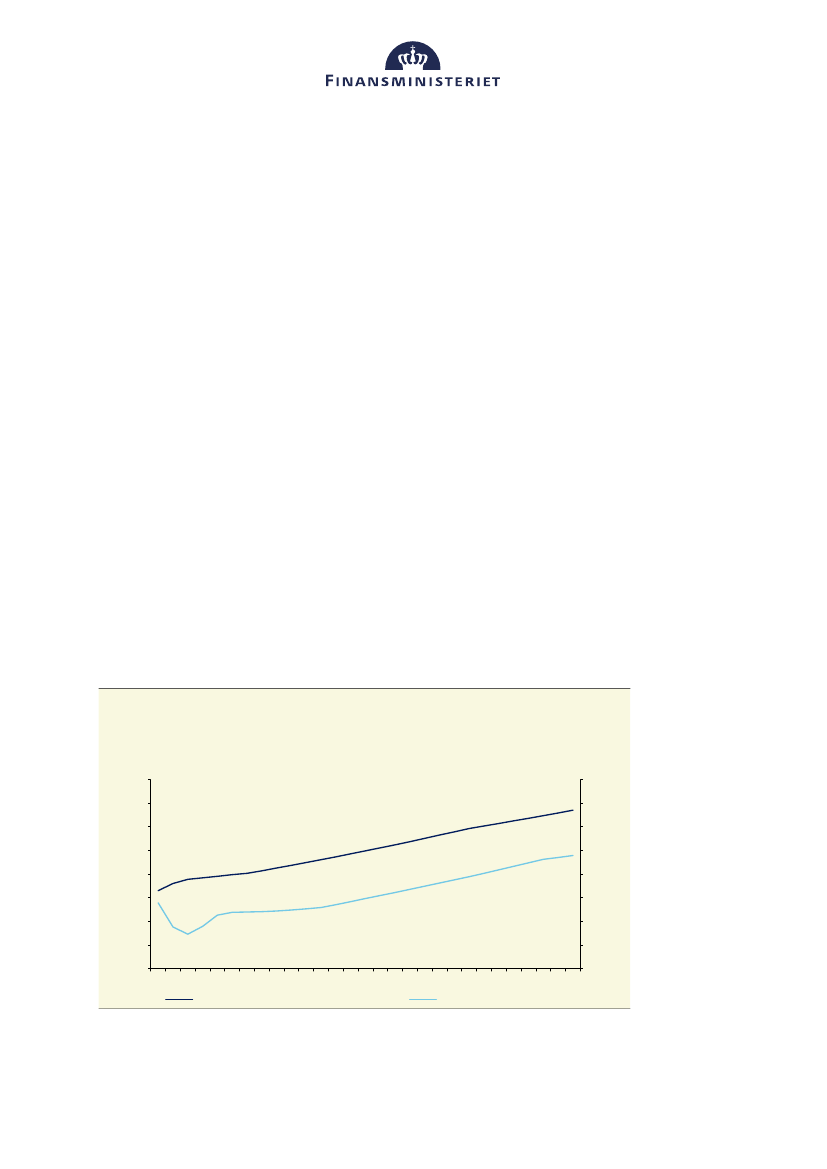
Af figur 1 fremgår det skønnede niveau for olieprisen frem mod 2042 i forbindel-
se med hhv. den beregningstekniske fremskrivning af olieprisen fra august 2013
(der lå til grund for provenuberegningen i forbindelse med harmoniseringen) og
det seneste mellemfristede forløb
Opdateret 2025-forløb,
august 2018.
Figur 1
Skønnet niveau, oliepris
DKK. pr. tønde
1600
1400
1200
1000
800
600
400
200
0
2014
2016
2018
2020
2022
2024
2026
2028
2030
2032
2034
2036
2038
2040
2042
DKK pr. tønde
1600
1400
1200
1000
800
600
400
200
0
beregningsteknisk fremskrivning, august 2013
Opdateret 2025-forløb, august 2018
Anm: Hvad angår
Opdateret 2025-forløb
er der til og med 2017 tale om realiserede prisniveauer.
Finansministeriet · Christiansborg Slotsplads 1 · 1218 København K · T 33 92 33 33 · E [email protected] · www.fm.dk
TRU, Alm.del - 2018-19 (1. samling) - Endeligt svar på spørgsmål 39: Spm. om finansieringsgrundlaget for Togfonden, til finansministeren
1992442_0002.png
Side 2 af 3
Af figur 2 fremgår den procentuelle afvigelse mellem den beregningstekniske
fremskrivning af olieprisen fra august 2013 og
Opdateret 2025-forløb,
august 2018.
Figur 2
Procentvis afvigelse i oliepris
Pct.
0
2014
-10
2016
2018
2020
2022
2024
2026
2028
2030
2032
2034
2036
2038
2040
2042
-10
Pct.
0
-20
-20
-30
-30
-40
-40
-50
-50
-60
-60
-70
-70
Procentuel afvigelse
Kilde: Beregningsteknisk fremskrivning, august 2013 samt
Opdateret 2025-forløb,
august 2018.
Som det fremgår af ovenstående er verdensmarkedsprisen for Nordsøolien faldet
markant siden
Aftale om harmonisering af beskatningen i Nordsøen
blev indgået i 2013,
ligesom forventningen til den fremtidige pris også er reduceret. Den gennemsnit-
lige oliepris er således over perioden frem mod 2042 ved det seneste skøn over
oliepriserne i gennemsnit knap 40 pct. lavere end i 2013.
Det skal hertil bemærkes, at der i forbindelse med de mellemfristede fremskriv-
ninger af danske økonomi fastsættes en ramme til offentlige investeringer. Ram-
men til offentlige investeringer udmøntes med udgangspunkt i de årlige finanslove
og økonomiaftalerne med kommuner og regioner. Alle offentlige investeringer
skal finansieres år til år inden for denne ramme uanset udviklingen i indtægter fra
Nordsøen. Dette gælder også baneprojekter i regi af Togfonden.
Udviklingen i olieprisen indebærer imidlertid, alt andet lige, at statens indtægter fra
felter berørt af harmoniseringen af beskatningen af Nordsøen er betydeligt lavere
end skønnet på aftaletidspunktet for etableringen af Togfonden DK.
Der er tidligere foretaget følsomhedsberegninger fsva. betydningen af ændringer i
olieprisen for Togfondens finansiering,
jf. svar på alm. del. KEB nr. 4 af 8. oktober
2013.
Der har siden svaret på
alm. del KEB nr. 4
i 2013 været betydelige ændringer i
blandt andet produktionsprognoser samt investeringsforventninger i oliesektoren.
På denne baggrund vurderes det ikke retvisende at anvende følsomhedsberegnin-
TRU, Alm.del - 2018-19 (1. samling) - Endeligt svar på spørgsmål 39: Spm. om finansieringsgrundlaget for Togfonden, til finansministeren
Side 3 af 3
gen i relation til at skønne over de nærmere provenumæssige konsekvenser af de
seneste ændringer i de realiserede og forventede oliepriser.
Med venlig hilsen
Kristian Jensen
Finansminister