Sundheds- og Ældreudvalget 2018-19 (1. samling)
SUU Alm.del
Offentligt
1998399_0001.png
Økonomisk analyse:
Stigende levetider
for alle befolknings-
grupper
April 2017
1
SUU, Alm.del - 2018-19 (1. samling) - Endeligt svar på spørgsmål 282: Spm. om redegørelse for restlevetiden for 60-årige i 2018 sammenlignet med for hhv. 10 og 20 år siden for ufaglærte, faglærte, personer med en kort videregående uddannelse og personer med en lang videregående uddannelse, til sundhedsministeren
2
SUU, Alm.del - 2018-19 (1. samling) - Endeligt svar på spørgsmål 282: Spm. om redegørelse for restlevetiden for 60-årige i 2018 sammenlignet med for hhv. 10 og 20 år siden for ufaglærte, faglærte, personer med en kort videregående uddannelse og personer med en lang videregående uddannelse, til sundhedsministeren
1998399_0003.png
Økonomisk analyse:
Stigende levetider for
alle befolknings-
grupper
April 2017
3
SUU, Alm.del - 2018-19 (1. samling) - Endeligt svar på spørgsmål 282: Spm. om redegørelse for restlevetiden for 60-årige i 2018 sammenlignet med for hhv. 10 og 20 år siden for ufaglærte, faglærte, personer med en kort videregående uddannelse og personer med en lang videregående uddannelse, til sundhedsministeren
1998399_0004.png
I tabeller kan afrunding medføre,
at tallene ikke summer til totalen.
Denne publikation er udarbejdet af
Finansministeriet
Center for holdbarhed og strukturpolitik
Christiansborg Slotsplads 1
1218 København K
Telefon 33 92 33 33
Elektronisk publikation:
ISBN: 978-87-93531-10-9
Publikationen kan hentes på
Finansministeriets hjemmeside
fm.dk
4
SUU, Alm.del - 2018-19 (1. samling) - Endeligt svar på spørgsmål 282: Spm. om redegørelse for restlevetiden for 60-årige i 2018 sammenlignet med for hhv. 10 og 20 år siden for ufaglærte, faglærte, personer med en kort videregående uddannelse og personer med en lang videregående uddannelse, til sundhedsministeren
1998399_0005.png
Stigende levetid for alle
befolkningsgrupper
Nyt kapitel
Levetiden fortsætter med at stige i Danmark. Det viser nye tal fra Danmarks Statistik fra
februar 2017. Dermed videreføres en tendens, som startede i midten af 1990’erne. Siden da
er levetiden steget i næsten alle år.
I denne analyse undersøges, om stigningen er bredt funderet på tværs af forskellige befolk-
ningsgrupper, herunder i forskellige dele af landet og på tværs af uddannelses- og indkomst-
grupper.
Analysens hovedkonklusioner er gengivet i boks 1.
Boks 1
Hovedkonklusioner
Levetiden fortsætter med at stige i Danmark. Det viser nye tal offentliggjort af Danmarks Statistik februar
2017.
I løbet af de seneste 20 år er levetiden for 60-årige mænd og kvinder steget med henholdsvis 4,2 år og
3,4 år.
Stigningen i middellevetiden afspejler fortrinsvis, at dødeligheden for personer i alderen 60-80 år er
faldet.
Selvom levetiden er steget forholdsvis meget i de seneste 20 år, er det også tilfældet i de øvrige
vesteuropæiske lande. Danmark har derfor fortsat en lav levetid sammenlignet med andre
vesteuropæiske lande.
Restlevetiden for 60-årige er højere blandt personer med videregående uddannelser end for ufaglærte
og faglærte – men alle grupper har oplevet en stigning i levetiden i de seneste 10-15 år.
Levetiden er steget på tværs af indkomstgrupper. For mænd har personer med relativ lav og høj
indkomst omtrent oplevet samme stigning i restlevetiden. For kvinder har stigningen været størst for
gruppen med relativt lav indkomst.
Der er geografiske forskelle i restlevetiden for 60-årige, men levetiden er i de seneste to årtier steget
næsten lige meget i de forskellige landsdele.
Økonomisk analyse: Stigende levetider for alle befolkningsgrupper · April 2017
3
5
SUU, Alm.del - 2018-19 (1. samling) - Endeligt svar på spørgsmål 282: Spm. om redegørelse for restlevetiden for 60-årige i 2018 sammenlignet med for hhv. 10 og 20 år siden for ufaglærte, faglærte, personer med en kort videregående uddannelse og personer med en lang videregående uddannelse, til sundhedsministeren
1998399_0006.png
Udvikling i levetid for forskellige befolkningsgrupper
Siden midten af 1990’erne er middellevetiden (for 0-årige) steget forholdsvist meget. For
mænd er middellevetiden således steget med 6 år, mens middellevetiden for kvinder er ste-
get med knap 5 år i perioden 1996-2016,
jf. figur 1.
Figur 1
Udvikling i middellevetid for mænd og
kvinder
År
90
85
80
75
70
65
60
82 84 86 88 90 92 94 96 98 00 02 04 06 08 10 12 14 16
Mænd
Kvinder
År
90
85
80
75
Figur 2
Stigning i restlevetid fra 1996 til 2016 for
forskellige alderstrin
År
7
6
5
4
3
70
65
60
År
7
6
5
4
3
2
1
0
0 år
Mænd
30 år
60 år
Kvinder
2
1
0
Anm.: Restlevetiden er i hvert år beregnet på baggrund 2-årige dødelighedstavler. Tal for 2016 er således fx
baseret på dødelighedstavlen for 2015-2016.
Kilde: Danmarks Statistik, Statistikbanken.
Stigningen i middellevetiden afspejler, at dødeligheden i løbet af de seneste 20 år er faldet
for alle aldersgrupper, men det er fortrinsvis lavere dødelighed blandt de ældre (over 60 år),
der har bidraget til stigningen i middellevetiden. I dag er dødeligheden i alderen 65-70 år fx
på niveau med dødeligheden for 60-65 årige for godt 15 år siden.
For både mænd og kvinder er det omkring to tredjedele af stigningen i middellevetiden (for 0-
årige), der kan henføres til lavere dødelighed for personer over 60 år,
jf. boks 2.
Faldet i
dødeligheden blandt de ældre har medført, at restlevetiden for 60-årige (også) er steget
forholdsvis meget i løbet af de seneste 20 år,
jf. figur 2.
Der er formentlig flere årsager til stigningen i levetiden, herunder sundere livsstil og bedre
behandlingsmuligheder i sundhedssystemet.
Det bemærkes, at i denne analyse er restlevetiden/middellevetiden beregnet på baggrund af
årets dødeligheder i en 2-årsperiode – dvs. det er dødelighederne for forskellige aldersgrup-
per i samme år (periode), der er lagt til grund. Det er samme metode, som Danmarks Statistik
anvender ved beregning af middellevetider.
Den beregnede restlevetid er imidlertid væsentligt kortere end den levetid, der ville frem-
komme, hvis man anvendte forudsætningerne om udviklingen i dødeligheden i Danmarks
Statistiks befolkningsfremskrivning, hvor dødelighederne for de enkelte aldersgrupper redu-
4
Økonomisk analyse: Stigende levetider for alle befolkningsgrupper · April 2017
6
SUU, Alm.del - 2018-19 (1. samling) - Endeligt svar på spørgsmål 282: Spm. om redegørelse for restlevetiden for 60-årige i 2018 sammenlignet med for hhv. 10 og 20 år siden for ufaglærte, faglærte, personer med en kort videregående uddannelse og personer med en lang videregående uddannelse, til sundhedsministeren
1998399_0007.png
ceres i fremskrivningsperioden. Anvendes befolkningsfremskrivningens forudsætninger om
dødeligheden for 60-årige, er den forventede restlevetid fx godt 2 år højere end ved bereg-
ning af levetiden på baggrund af årets dødelighed (på de enkelte alderstrin). Forskellen skyl-
des, at det i befolkningsfremskrivningen lægges til grund, at det observerede fald i dødelig-
hederne for de enkelte aldersgrupper fortsætter i de kommende år. I det følgende betegnes
restlevetiden opgjort på baggrund af årets (periodens) dødelighed for ”den statistiske restle-
vetid”. I overensstemmelse med praksis i Danmarks Statistik anvendes betegnelsen middel-
levetid for levetiden for 0-årige beregnet på baggrund af årets (periodens) dødelighed.
Boks 2
Bidrag til stigning i middellevetid
Siden midten af 1990’erne er dødeligheden faldet for alle aldersgrupper for både mænd og kvinder,
jf. figur
a.
Men det er primært lavere dødelighed for personer over 60 år, der har bidraget til, at middellevetiden for
nyfødte er steget i løbet af de seneste 20 år. Af den samlede stigning i middellevetiden på knap 6 år siden
1996 for nyfødte drenge kan omkring 4 år forklares af lavere dødelighed for mænd over 60 år. Også for
kvinder gælder, at det fortrinsvis er lavere dødeligheder for personer over 60 år, der har bidraget til
stigningen i middellevetiden,
jf. figur b.
Figur a
Dødelighed i 1996 og 2016 opdelt på køn og
alder
Figur b
Ændring i middellevetid fra 1996 til 2016
opdelt på bidrag fra lavere dødelighed for
forskellige aldersgrupper
År
7
6
5
År
7
6
5
4
3
2
1
0
Mænd
Over 80 år
60-79 år
40-59 år
Kvinder
20-39 år
0-19 år
Pct.
25
20
15
10
5
0
0
10
20
30
40
50
Alder
60
70
80
Pct.
25
20
15
10
5
0
90
4
3
2
1
0
Mænd, 1996
Kvinder, 1996
Mænd, 2016
Kvinder, 2016
Anm.: Til dekomponering i figur b er anvendt samme metode som i Arriage (1984), Measuring and explaining
the changes in life expectancies, Demography 21(1).
Kilde: Danmarks Statistik og egne beregninger.
Kilde: Egne beregninger.
Økonomisk analyse: Stigende levetider for alle befolkningsgrupper · April 2017
5
7
SUU, Alm.del - 2018-19 (1. samling) - Endeligt svar på spørgsmål 282: Spm. om redegørelse for restlevetiden for 60-årige i 2018 sammenlignet med for hhv. 10 og 20 år siden for ufaglærte, faglærte, personer med en kort videregående uddannelse og personer med en lang videregående uddannelse, til sundhedsministeren
1998399_0008.png
Stigningen i middellevetiden dækker over, at færre dør i en relativt tidlig alder, og at væsent-
ligt flere bliver forholdsvis gamle. I dag er andelen, der bliver 65 år, fx større end andelen, der
blev 60 år i 1996. Samtidig er andelen, der bliver over 80 år, steget forholdsvist kraftigt i de
seneste to årtier,
jf. figur 3 og figur 4.
Det bemærkes, at de beregnede andele, der overlever
et givet alderstrin – ligesom restlevetiderne – er baseret på årets (periodens) dødeligheder.
Overlevelsesandelene for 2016 er således ikke udtryk for den andel af nyfødte, der forventes
at blive mindst fx 70 eller 80 år med de forudsætninger om udviklingen i dødeligheden, der er
anvendt i Danmarks Statistiks befolkningsprognose.
Figur 3
Andel nyfødte drenge, der overlever
forskellige alderstrin
Pct.
100
90
80
70
60
50
40
30
20
10
0
60 år
65 år
1996
70 år
2016
80 år
Pct.
100
90
80
70
60
50
40
30
20
10
0
Figur 4
Andel nyfødte piger, der overlever
forskellige alderstrin
Pct.
100
90
80
70
60
50
40
30
20
10
0
60 år
65 år
1996
70 år
2016
80 år
Pct.
100
90
80
70
60
50
40
30
20
10
0
Anm.: Se anmærkning til figur 1 og figur 2.
Kilde: Danmarks Statistik, Statistikbanken.
Selvom levetiden er steget forholdsvis meget i Danmark i de seneste 20 år, er Danmark
fortsat et af de lande i Vesteuropa, der har den laveste middellevetid. Fx er middellevetiden i
Sverige og Frankrig omkring 1�½ år højere end i Danmark,
jf. figur 5.
Der er dog tegn på, at
middellevetiden i de senere år er steget mere i Danmark end i de fleste andre lande, så for-
skellen (efterslæbet) er blevet mindre,
jf. figur 6.
6
Økonomisk analyse: Stigende levetider for alle befolkningsgrupper · April 2017
8
SUU, Alm.del - 2018-19 (1. samling) - Endeligt svar på spørgsmål 282: Spm. om redegørelse for restlevetiden for 60-årige i 2018 sammenlignet med for hhv. 10 og 20 år siden for ufaglærte, faglærte, personer med en kort videregående uddannelse og personer med en lang videregående uddannelse, til sundhedsministeren
1998399_0009.png
Figur 5
Middellevetid for 0-årige
Figur 6
Forskel i middellevetid mellem Danmark og
udvalgte lande
År
84
82
80
78
76
74
72
70
År
84
82
80
78
76
74
72
70
År
1
År
1
0
04
-1
05
06
07
08
09
10
11
12
13
14
15
0
-1
-2
-2
-3
-3
POL
AUT
EU 28
SWE
GER
IRE
GRC
NED
BEL
FIN
ITA
DK
UK
ESP
FRA
-4
Sverige
Tyskland
Holland
Frankrig
-4
2004
2015
Anm.: For EU28, Irland og Franking er der i figur 5 anvendt foreløbige tal for 2015. Der er databrud i
tallene for EU28 og Frankrig i perioden fra 2004 til 2015. Ifølge Eurostat er middellevetiden for
Storbritannien estimeret for 2015. Middellevetiden er opgjort som gennemsnit af middellevetiden for
mænd og kvinder.
Kilde: Eurostat.
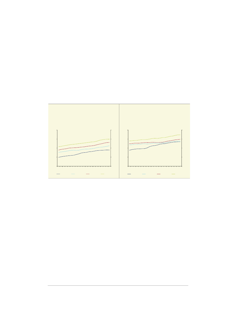
Uddannelse
Der er forskelle i levetiden mellem personer med korte og længerevarende uddannelser.
Restlevetiden for 60-årige mænd med en lang videregående uddannelse er således knap 3�½
år højere end blandt ufaglærte 60-årige mænd (uden en erhvervskompetencegivende ud-
dannelse). For kvinder er forskellene lidt mindre,
jf. figur 7 og figur 8.
Figur 7
Statistisk restlevetid for 60-årige mænd,
opdelt på uddannelse
År
28
26
24
22
20
18
16
02 03 04 05 06 07 08 09 10 11 12 13 14 15 16
Ufaglært
Faglært
KVU/MVU
LVU
År
28
26
24
22
20
18
16
Figur 8
Statistisk restlevetid for 60-årige kvinder,
opdelt på uddannelse
År
28
26
24
22
20
18
16
02 03 04 05 06 07 08 09 10 11 12 13 14 15 16
Ufaglært
Faglært
KVU/MVU
LVU
År
28
26
24
22
20
18
16
Anm.: Ufaglærte omfatter personer uden en erhvervskompetencegivende uddannelse (inkl. uoplyst
uddannelse). Der er anvendt uddannelsesopdelte dødeligheder op til 79-års alderen, jf. bilag 1.
Kilde: Egne beregninger på Lovmodellens datagrundlag.
Økonomisk analyse: Stigende levetider for alle befolkningsgrupper · April 2017
7
9
SUU, Alm.del - 2018-19 (1. samling) - Endeligt svar på spørgsmål 282: Spm. om redegørelse for restlevetiden for 60-årige i 2018 sammenlignet med for hhv. 10 og 20 år siden for ufaglærte, faglærte, personer med en kort videregående uddannelse og personer med en lang videregående uddannelse, til sundhedsministeren
1998399_0010.png
Flere undersøgelser har dokumenteret, at forskellen i dødelighed mellem uddannelsesgrup-
per i høj grad kan forklares ved forskelle i de såkaldte KRAM-faktorer, det vil sige kost, ryg-
ning, alkohol og motion. Rygning og alkohol kan således forklare hovedparten af forskellen i
dødeligheden mellem personer med kortest og længst uddannelse,
jf. fx Juel og Koch (2013),
Social ulighed i dødelighed i Danmark gennem 25 år.
Dertil kommer, at førtidspensionister generelt har en relativt lav levetid. Der er samtidig en
tendens til, at førtidspensionister med medfødte eller erhvervede sygdomme naturligt udgør
en større andel af de ufaglærte sammenlignet med faglærte og personer med videregående
uddannelser. Det trækker ned i den gennemsnitlige levetid navnlig for ufaglærte.
Men levetiden er siden starten af 00’erne steget nogenlunde parallelt for de forskellige ho-
veduddannelsesgrupper – med omtrent samme forskel i restlevetiden mellem uddannelses-
grupperne i hele perioden. Der er dog en tendens til, at restlevetiden for ufaglærte er steget
lidt mindre end blandt faglærte og personer med videregående uddannelser,
jf. figur 9 og
figur 10.
Det afspejler blandt andet, at (tidligere) førtidspensionister udgør en stadig større
andel af gruppen af ufaglærte – og førtidspensionister har som nævnt typisk højere dødelig-
hed end andre. Hvis opgørelsen laves eksklusive personer, der modtog førtidspension som
59-årige, er den målte stigning i restlevetiden for 60-årige ufaglærte således større – navnlig
for mænd.
Figur 9
Ændring i restlevetiden fra 2002-2016 for
60-årige mænd
År
4
År
4
Figur 10
Ændring i restlevetiden fra 2002-2016 for
60-årige kvinder
År
4
År
4
3
3
3
3
2
2
2
2
1
1
1
1
0
Ufaglært
Alle
Faglært
KVU/MVU
LVU
0
0
Ufaglært
Alle
Faglært
KVU/MVU
LVU
0
Ekskl. førtidspensionister
Ekskl. førtidspensionister
Anm.: Se anmærkning til figur 7 og figur 8. I opgørelsen eksklusive førtidspensionister er dødeligheden på de
enkelte alderstrin op til 80 års alderen beregnet ekslusive personer, der modtog førtidspension som 59-
årig.
Kilde: Egne beregninger på Lovmodellens datagrundlag.
I Danmarks Statistiks uddannelsesregister er der ikke uddannelsesoplysninger for personer
født før 1922. Det indebærer, at der i 2002 ikke foreligger uddannelsesoplysninger for perso-
ner over 80 år. I beregningen af den statistiske restlevetid for 60-årige er det derfor bereg-
ningsteknisk antaget, at der ikke er uddannelsesforskelle i den aldersspecifikke dødelighed
over dette alderstrin. Af hensyn til sammenligneligheden over tid er denne antagelse anvendt
8
Økonomisk analyse: Stigende levetider for alle befolkningsgrupper · April 2017
10
SUU, Alm.del - 2018-19 (1. samling) - Endeligt svar på spørgsmål 282: Spm. om redegørelse for restlevetiden for 60-årige i 2018 sammenlignet med for hhv. 10 og 20 år siden for ufaglærte, faglærte, personer med en kort videregående uddannelse og personer med en lang videregående uddannelse, til sundhedsministeren
1998399_0011.png
i alle år. Det indebærer, at de beregnede uddannelsesforskelle i restlevetiden for 60-årige
undervurderes, men denne beregningstekniske antagelse er nødvendig for at kunne belyse
udviklingen i restlevetiden for de forskellige uddannelsesgrupper,
jf. bilag 1.
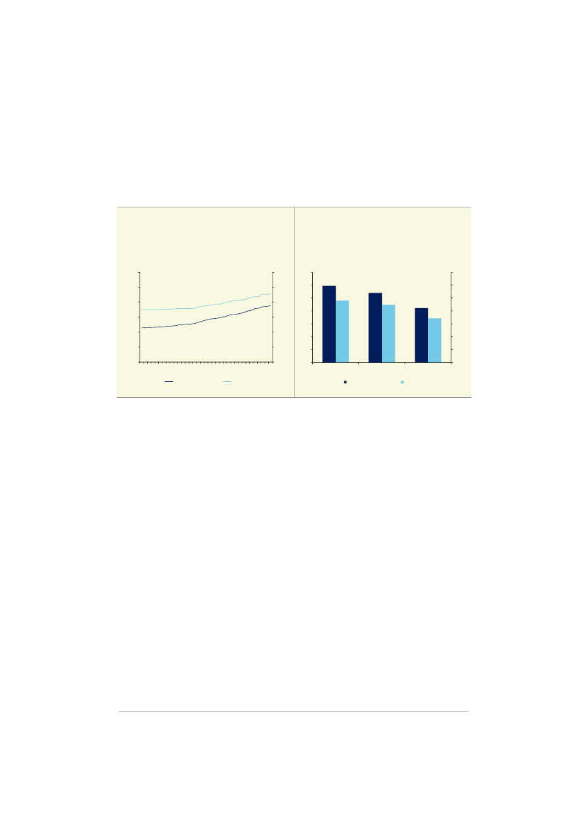
Indkomst
Også på tværs af indkomstgrupper er der forskelle i dødeligheder og levetider. Den fjerdedel
af mændene, der i 2016 har de højeste indkomster, har fx en restlevetid som 60-årig, der er
omkring 6 år højere end den fjerdedel, der har de laveste indkomster,
jf. figur 11.
For kvinder
er den tilsvarende forskel på knap 4 år,
jf. figur 12.
Figur 11
Statistisk restlevetid for 60-årige mænd,
opdelt på indkomstgrupper
År
30
År
30
Figur 12
Statistisk restlevetid for 60-årige kvinder,
opdelt på indkomstgrupper
År
30
År
30
25
25
25
25
20
20
20
20
15
15
15
15
10
1996
2000
2004
2. kvartil
2008
2012
2016
4. kvartil
10
10
1996
2000
2004
2. kvartil
2008
2012
2016
4. kvartil
10
1. kvartil
3. kvartil
1. kvartil
3. kvartil
Anm.: Indkomstgrupperne er dannet på baggrund af den husstandsækvivalerede disponible indkomst på de
enkelte alderstrin,
jf. bilag 1.
Kilde: Egne beregninger på Lovmodellens datagrundlag.
Disse forholdsvis store forskelle afspejler formentlig flere forhold. For det
første
må det for-
ventes, at (kronisk) syge og en del tidligere førtidspensionister er koncentreret i de laveste
indkomstgrupper, og disse grupper har typisk relativt høj dødelighed. For det
andet
kan for-
skelle i KRAM-faktorer formentlig forklare en del af de målte forskelle i dødelighed og levetid
mellem indkomstgrupperne.
I løbet af de seneste 20 år er restlevetiden for 60-årige både steget for personer med relativt
lav og relativt høj indkomst, og der er ikke tegn på, at forskellen i restlevetiden for 60-årige
med høj og lav indkomst er steget,
jf. figur 13 og figur 14.
Økonomisk analyse: Stigende levetider for alle befolkningsgrupper · April 2017
9
11
SUU, Alm.del - 2018-19 (1. samling) - Endeligt svar på spørgsmål 282: Spm. om redegørelse for restlevetiden for 60-årige i 2018 sammenlignet med for hhv. 10 og 20 år siden for ufaglærte, faglærte, personer med en kort videregående uddannelse og personer med en lang videregående uddannelse, til sundhedsministeren
1998399_0012.png
Figur 13
Ændring i restlevetid for 60-årige fra 1996 til
2016 opdelt på indkomstgrupper, mænd
År
5
År
5
Figur 14
Ændring i restlevetid for 60-årige fra 1996 til
2016 opdelt på indkomstgrupper, kvinder
År
5
År
5
4
4
4
4
3
3
3
3
2
2
2
2
1
1
1
1
0
1. kvartil
2. kvartil
3. kvartil
4. kvartil
0
0
1. kvartil
2. kvartil
3. kvartil
4. kvartil
0
Anm.: Indkomstgrupperne er dannet på baggrund af den husstandsækvivalerede disponible indkomst på de
enkelte alderstrin,
jf. bilag 1.
Kilde: Egne beregninger på Lovmodellens datagrundlag.
For kvinder er restlevetiden for 60-årige tværtimod steget mest blandt den fjerdedel, der har
de laveste indkomster, fordi denne indkomstgruppe oplevede en forholdsvis stor stigning i
middellevetiden i årene 2002-2005. Den markante stigning i denne periode for kvinder med
relativt lav indkomst kan blandt andet afspejle, at en del (tidligere) førtidspensionister over 70
år i denne periode indkomstmæssigt rykker fra 1. til 2. indkomstkvartil og dermed ”flytter”
overdødelighed fra 1. til 2. indkomstkvartil. Det bidrager isoleret set til, at den beregnede
restlevetid øges i 1. indkomstkvartil og reduceres i 2. indkomstkvartil. Denne effekt er størst
for kvinder, men viser sig også for mænd.
Geografi
Opgøres restlevetiden for 60-årige på kommuneniveau, er restlevetiden lavest i mange kom-
muner på Vest- og Sydsjælland samt i og omkring København og på Vestegnen,
jf. figur 15
og figur 16
(de lyse kommuner). Kommunerne med den højeste restlevetid for 60-årige er
blandt andet beliggende i Vestjylland og i Nordsjælland (de mørkeblå kommuner).
10
Økonomisk analyse: Stigende levetider for alle befolkningsgrupper · April 2017
12
SUU, Alm.del - 2018-19 (1. samling) - Endeligt svar på spørgsmål 282: Spm. om redegørelse for restlevetiden for 60-årige i 2018 sammenlignet med for hhv. 10 og 20 år siden for ufaglærte, faglærte, personer med en kort videregående uddannelse og personer med en lang videregående uddannelse, til sundhedsministeren
1998399_0013.png
Figur 15
Statistisk restlevetid for 60-årige mænd,
2016
Figur 16
Statistisk restlevetid for 60-årige kvinder,
2016
Anm.: Den statistiske restlevetid er beregnet på baggrund af 5-årige dødelighedstavler for perioden 2012-
2016.
Kilde: Egne beregninger på Lovmodellens datagrundlag.
De beregnede forskelle i restlevetiden på tværs af landets kommuner afspejler blandt andet
underliggende forskelle i livsstil og befolkningssammensætning. For eksempel kan den for-
holdsvis lave restlevetid i en del kommuner i og omkring København blandt andet hænge
sammen med en (relativt) høj koncentration af sociale og helbredsmæssige problemer i disse
kommuner. Samtidig er en række af de kommuner, der her en forholdsvis lav restlevetid,
kendetegnet ved, at der bor mange førtidspensionister, der typisk har højere dødelighed end
andre. Forskelle i uddannelsessammensætningen kan også spille en rolle.
Økonomisk analyse: Stigende levetider for alle befolkningsgrupper · April 2017
11
13
SUU, Alm.del - 2018-19 (1. samling) - Endeligt svar på spørgsmål 282: Spm. om redegørelse for restlevetiden for 60-årige i 2018 sammenlignet med for hhv. 10 og 20 år siden for ufaglærte, faglærte, personer med en kort videregående uddannelse og personer med en lang videregående uddannelse, til sundhedsministeren
1998399_0014.png
Selvom der er forskelle i levetiden på tværs af landet, har der i alle landsdele været en stig-
ning i restlevetiden for 60-årige, og stigningen har været af nogenlunde samme størrelsesor-
den på tværs af landsdele for både mænd og kvinder,
jf. figur 17 og figur 18.
Det tyder på, at
den generelle stigning i levetiden siden midten af 1990’erne er bredt funderet i hele landet.
Figur 17
Restlevetid for 60-årige mænd opdelt på
landsdele
År
30
25
20
15
10
5
0
År
30
25
20
15
10
5
0
Figur 18
Restlevetid for 60-årige kvinder opdelt på
landsdele
År
30
25
20
15
10
5
0
År
30
25
20
15
10
5
0
Kbh. omegn
Bornholm
Sydjylland
Fyn
København
Østsjælland
Vest- og sydsjæl.
1996
2016
1996
Vest- og sydsjæl.
Nordsjælland
Nordsjælland
København
Kbh. omegn
Østsjælland
Nordjylland
2016
Kilde: Egne beregninger på Lovmodellens datagrundlag.
12
Økonomisk analyse: Stigende levetider for alle befolkningsgrupper · April 2017
14
Nordjylland
Østjylland
Vestjylland
Vestjylland
Bornholm
Fyn
Sydjylland
Østjylland
SUU, Alm.del - 2018-19 (1. samling) - Endeligt svar på spørgsmål 282: Spm. om redegørelse for restlevetiden for 60-årige i 2018 sammenlignet med for hhv. 10 og 20 år siden for ufaglærte, faglærte, personer med en kort videregående uddannelse og personer med en lang videregående uddannelse, til sundhedsministeren
1998399_0015.png
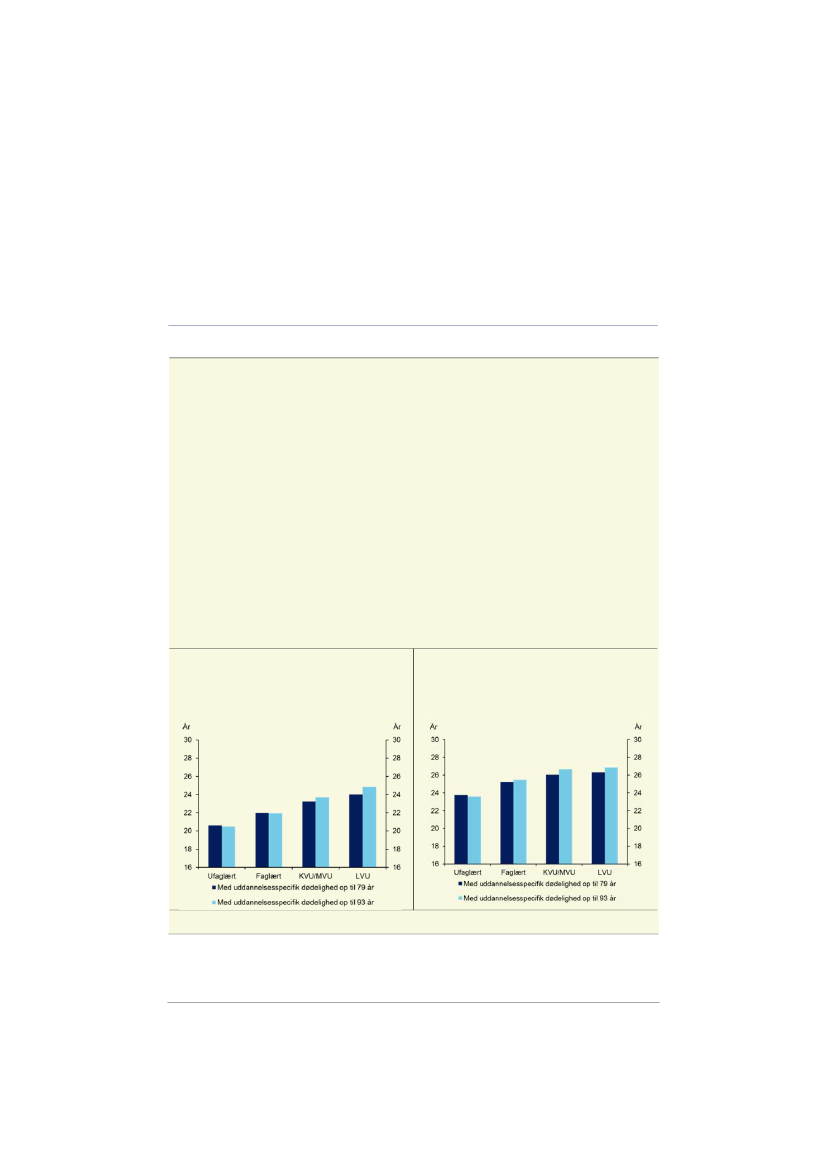
Bilag 1. Nærmere om
opgørelsen af restlevetiden
Nyt kapitel
Boks 1
Beregning af restlevetid for forskellige befolkningsgrupper
Uddannelse
I Danmarks Statistiks uddannelsesregister foreligger der ikke uddannelsesoplysninger for personer født før
1922. Det indebærer, at der i 2002 ikke foreligger uddannelsesoplysninger for personer over 79 år. I bereg-
ningen af restlevetiden for 60-årige er det derfor beregningsteknisk antaget, at der ikke er uddannelses-
forskelle i den aldersspecifikke dødelighed over dette alderstrin. Af hensyn til sammenligneligheden over tid
er denne antagelse anvendt i alle år. Det indebærer, at de beregnede uddannelsesforskelle i restlevetiden
for 60-årige undervurderes.
For at belyse, hvor meget de uddannelsesmæssige forskelle i levetiden skønsmæssigt undervurderes, er i
2016 også beregnet restlevetider med uddannelsesopdeling af dødeligheder til og med 93-års alderen. Med
denne opgørelse er den forvende restlevetid for 60-årige mænd med en lang videregående uddannelse
omkring 4,4 år højere end blandt 60-årige ufaglærte. Anvendes kun uddannelsesspecifikke dødeligheder op
til og med 79-års alderen, er den tilsvarende uddannelsesforskel på 3,4 år,
jf. figur a og figur b.
Denne
forskel afspejler, at dødelighederne også i 80-90 års alderen er højere for ufaglærte end blandt personer
med videregående uddannelser.
Figur a
Statistisk restlevetid for 60-årige i 2016,
mænd
Figur b
Statistisk restlevetid for 60-årige i 2016,
kvinder
Økonomisk analyse: Stigende levetider for alle befolkningsgrupper · April 2017
13
15
SUU, Alm.del - 2018-19 (1. samling) - Endeligt svar på spørgsmål 282: Spm. om redegørelse for restlevetiden for 60-årige i 2018 sammenlignet med for hhv. 10 og 20 år siden for ufaglærte, faglærte, personer med en kort videregående uddannelse og personer med en lang videregående uddannelse, til sundhedsministeren
1998399_0016.png
Boks 1 (fortsat)
Beregning af restlevetid for forskellige befolkningsgrupper
Indkomstgrupper
Beregningen af den restlevetiden for 60-årige for de forskellige indkomstgrupper er lavet ved for hvert
alderstrin at opdele befolkningen i fire lige store indkomstgrupper sorteret efter den husstandsækvivalerede
disponible indkomst. Analysen er foretaget separat for mænd og kvinder. For hver af de fire
indkomstgrupper beregnes den aldersspecifikke dødelighed, som ligger til grund for beregningen af
restlevetiden.
Det bemærkes, at det i praksis kun er meget få, som befinder sig i den samme indkomstgruppe gennem
hele livet på grund af indkomstmobilitet. Der er således tale om en ”hypotetisk” beregning, som ikke
afspejler levetiden for en konkret befolkningsgruppe, men udelukkende er en måde at belyse forskelle i
dødelighed mellem indkomstgrupperne.
Indkomstgrupperingen tager udgangspunkt i Danmarks Statistiks husstandsækvivalerede disponible
indkomst.
Geografi
I de opgørelser, hvor der er opdelt på bopælsområde (landsdel eller kommune), er det ikke umiddelbart
muligt at basere opgørelserne på data før 2007 på grund af strukturreformen (kommuneomlægningerne).
For at løse dette dataproblem er alle ejendomme før 2007 så vidt muligt blevet henført til de nye kommuner.
Ved fastlæggelse af den aldersspecifikke dødelighed i de enkelte kommuner og landsdele er det bopæls-
adressen primo året, der danner grundlag for beregningen. For at mindske den statistiske usikkerhed ved
beregningen af de kommunale opgørelser, anvendes datamateriale for 5 sammenhængende år. Det
indebærer fx, at restlevetiden for 60-årige i 2016 er baseret på dødsfald i 5-årsperioden 2012-2016.
14
Økonomisk analyse: Stigende levetider for alle befolkningsgrupper · April 2017
16
SUU, Alm.del - 2018-19 (1. samling) - Endeligt svar på spørgsmål 282: Spm. om redegørelse for restlevetiden for 60-årige i 2018 sammenlignet med for hhv. 10 og 20 år siden for ufaglærte, faglærte, personer med en kort videregående uddannelse og personer med en lang videregående uddannelse, til sundhedsministeren
17
SUU, Alm.del - 2018-19 (1. samling) - Endeligt svar på spørgsmål 282: Spm. om redegørelse for restlevetiden for 60-årige i 2018 sammenlignet med for hhv. 10 og 20 år siden for ufaglærte, faglærte, personer med en kort videregående uddannelse og personer med en lang videregående uddannelse, til sundhedsministeren
1998399_0018.png
fm.dk
18