Finansudvalget 2018-19 (1. samling)
FIU Alm.del
Offentligt
2029258_0001.png
Folketingets Finansudvalg
Christiansborg
13. marts 2019
Svar på Finansudvalgets spørgsmål nr. 423 (Alm. del) af 19.
februar 2019 stillet efter ønske fra Pelle Dragsted (EL)
Spørgsmål
Vil ministeren oplyse, hvordan det påvirker provenuskønnet for tilbagetræknings-
reformer og den langsigtede finanspolitiske holdbarhed, såfremt erhvervsfrekven-
sen antages at være f.eks. 1, 2 og 3 pct. point lavere end forudsat i det centrale
provenuskøn over effekten af tilbagetrækningsreformer? I svaret bedes ministeren
oplyse antagelser om fordelingen af de ikke-arbejdsmarkedsdeltagende på forskel-
lige ydelser og selvforsørgende status.
Svar
I de seneste år er flere ældre (60+ årige) kommet i beskæftigelse. Det har under-
støttet det nuværende opsving og mindsket presset på arbejdsmarkedet. At ældre
er blevet længere på arbejdsmarkedet de seneste år, skal blandt andet ses i lyset af
et stigende antal ældre og de vedtagne arbejdsmarkedsreformer, navnlig de tilbage-
trækningsaftaler, som sikrer, at aldersgrænserne for efterløn og folkepension hæ-
ves i lyset af den stigning, der har været i levetiden, og som ventes at fortsætte
fremover.
Der er spurgt til virkningen, hvis erhvervsfrekvensen for ældre er lavere end for-
udsat i 2025-fremskrivningen. Hertil bemærkes, at hvis ældres beskæftigelse fx
stiger mere end forudsat vil det isoleret forbedre de offentlige finanser
ligesom
det omvendte vil gøre sig gældende, hvis de ældre arbejder mindre, fx som følge af
en højere grad af selvpensionering, deltidsarbejde mv.
Beregningerne nedenfor skal ses som illustrative beregninger af ændringer i er-
hvervsfrekvensen for seniorer sammenholdt med de forudsætninger, der er lagt til
grund i Finansministeriets seneste mellemfristede fremskrivning fra august 2018.
Det bemærkes, at de illustrative beregninger er lavet for 1 pct.-point (+/-), men
virkningen er omtrent skalerbar med antal pct.-point.
De illustrative beregninger tager udgangspunkt i Finansministeriets mellemfristede
fremskrivning fra august 2018 og viser således de isolerede virkninger i forhold til
dette forløb. Herudover vises det beregnede forløb i
Svar på Finansudvalgets spørgs-
mål nr. 326 (alm. del) af 28. januar 2019,
hvor det er forudsat, at pensionsaldrene
ikke levetidsindekseres fra 2030. Det indebærer således, at pensionsaldrene ikke
Finansministeriet · Christiansborg Slotsplads 1 · 1218 København K · T 33 92 33 33 · E [email protected] · www.fm.dk
FIU, Alm.del - 2018-19 (1. samling) - Endeligt svar på spørgsmål 423: Spm. om påvirkningen af provenuskønnet for tilbagetrækningsreformer og den langsigtede finanspolitiske holdbarhed, til finansministeren
2029258_0002.png
Side 2 af 3
øges med levetidsudviklingen i forhold til de besluttede forhøjelser (65 år i 2027
for så vidt angår efterløn og 68 år i 2030 for så vidt angår folkepension).
For at beregne virkningen af hhv. højere/lavere erhvervsfrekvens på provenu-
virkningen af at fastastholde pensionsalderen, hhv. øges/reduceres erhvervsfre-
kvensen for ældre (65+) fra 2032 i forhold til det mellemfristede grundforløb. Det
skal ses i sammenhæng med, at det netop er disse personer i årene efter 2032, som
bliver påvirket af en ophævelse af levetidsindekseringen.
En forhøjelse/reduktion af de ældres erhvervsfrekvens på 1 pct.-point (for alle 65-
90 årige i årene fra 2032 og frem) svarer til, at den samlede arbejdsstyrke
øges/reduceres med knap 14.500 personer i gennemsnit fra 2032 og frem,
jf. figur
1.
Det bemærkes, at personer over 65 år har generelt lav arbejdstid, hvorfor fuld-
tidsbeskæftigelsen øges/reduceres med godt 8.000 personer.
Hvis forliget bag levetidsindekseringen ophæves og tilbagetrækningsalderen derfor
ikke hæves yderligere selv om levetiden stiger fremadrettet
dvs. hvis folkepensi-
onsalderen ikke hæves som forudsat fra 2035 (og tilsvarende efterlønsalderen fra
2032)
så vil de offentlige finanser isoleret set blive svækket med, hvad der svarer
til ca. 59 mia. kr. om året (målt ved virkningen på den finanspolitiske holdbarheds-
indikator i forhold til det mellemfristede grundforløb)
Hvis det illustrativt lægges til grund, at erhvervsfrekvensen for ældre (65+)
øges/reduceres med 1 pct.-point fra 2032 og frem, forbedres/forværres den fi-
nanspolitiske holdbarhed med ca. 0,1 pct. af BNP, svarende til ca. 2 mia. kr.
(2018-niveau) om året i forhold til det centrale skøn. Effekten på hængekøjeud-
fordringen i de to illustrative scenarier er af samme størrelsesorden,
jf. figur 2.
Virkningen af at ophæve indekseringen reduceres/øges derved ved disse illustrati-
ve beregninger fra ca. 59 mia. kr. til hhv. 57 mia. kr. (ved -1 pct. point) og hhv. 61
mia. kr. (ved +1 pct. point).
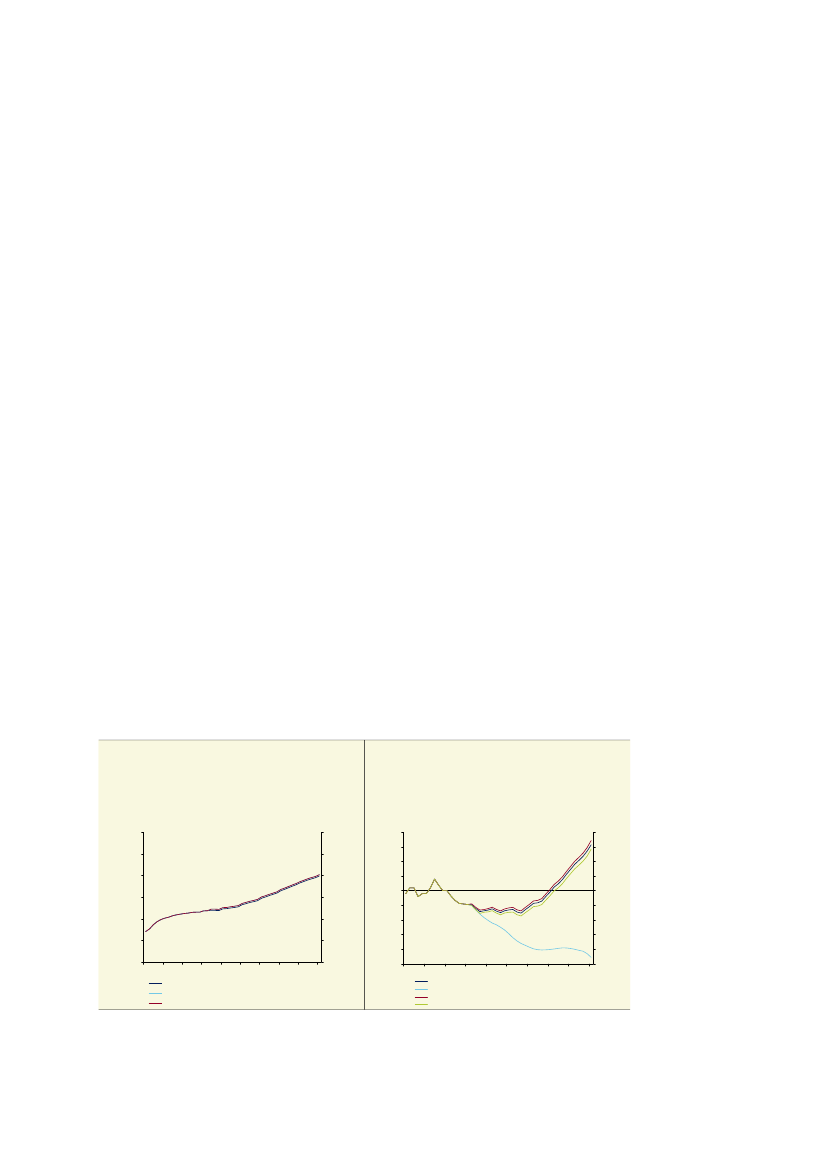
Figur 1
Faktisk arbejdsstyrke fordelt på scenarier, 2015-
2060.
1.000 personer
4.000
3.750
3.500
3.250
3.000
2.750
2.500
15
20
25
30
35
40
45
50
55
60
1.000 personer
4.000
3.750
3.500
3.250
3.000
2.750
2.500
Figur 2
Strukturel saldo fordelt på scenarier, 2015-2060.
Pct. af strukturelt BNP
Pct. af strukturelt BNP
2,0
1,5
1,0
0,5
0,0
-0,5
-1,0
2,0
1,5
1,0
0,5
0,0
-0,5
-1,0
-1,5
-2,0
-2,5
15
20
25
30
35
40
45
50
55
60
Fremskrivning august 2018
Konstant pensionsalder efter 2030
Øget erhvervsfrekvens med 1 pct.-point
Reduceret erhvervsfrekvens med 1 pct.-point
-1,5
-2,0
-2,5
Fremskrivning august 2018
Øget erhvervsfrekvens med 1 pct.-point
Reduceret erhvervsfrekvens med 1 pct.-point
Anm: I beregningen er erhvervsfrekvensen øget/reduceret med +/- 1 pct.-point for de 65+ årige. Personer, der
træder ind i/ud af arbejdsstyrken, antages at komme fra restgruppen kaldet øvrige.
Kilde: Egne beregninger.
FIU, Alm.del - 2018-19 (1. samling) - Endeligt svar på spørgsmål 423: Spm. om påvirkningen af provenuskønnet for tilbagetrækningsreformer og den langsigtede finanspolitiske holdbarhed, til finansministeren
Side 3 af 3
Skaleres virkningen til et fald på 2 og 3 pct.-point i erhvervsfrekvensen, er virk-
ningen af levetidsindekseringen af aldersgrænserne efter 2030 henholdsvis 56 mia.
kr. og 54 mia. kr. Øges erhvervsfrekvensen i stedet med 2 eller 3 pct.-point er den
varige virkning henholdsvis 62 mia.kr. og 64 mia.kr. baseret på de illustrative be-
regninger. Tallene er afrundet til nærmeste hele mia. kr.
Med venlig hilsen
Kristian Jensen
Finansminister