Finansudvalget 2018-19 (1. samling)
FIU Alm.del Bilag 117
Offentligt
2038688_0001.png
Bilag 1. Bestillingen fra Finansudvalget
Sammenfatning
Dette bilag indeholder en beskrivelse af bestillingen.
Den 17. januar bad Finansudvalget de økonomiske konsulenter lave et op-
læg om boligskatteaftalens
betydning for boligpriserne”, jf.
opfølgningsre-
sumé fra den 17. januar 2019.
Den 27. februar blev bestillingen præciseret i følgende mail fra Finansudval-
gets sekretær:
I har bedt de økonomiske konsulenter om at lave et oplæg om boligskatteaf-
talens betydning for boligpriserne.
Hvis I har bemærkninger eller kommentarer til nedenstående afgrænsning af
opgaven, så send dem til
[email protected]
hurtigst muligt, gerne i denne
uge.
Boligaftalen omfatter aftalen om et nyt ejendomsvurderingssystem fra den
18. november 2016 samt aftale om ”Tryghed om boligbeskatningen” fra 2.
maj 2017.
Finansudvalget bad også de økonomiske konsulenter forklare, hvorledes bo-
ligskatterne påvirker ligevægten på ejerboligmarkedet herunder tilskyndelsen
til at vedligeholde boliger.
Af forenklingshensyn vil de økonomiske konsulenter alene fokusere på bo-
ligskatteaftalens betydning for ejerboligmarkedet.
De økonomiske konsulenter har kun fundet ét studie, der kvantificerer effek-
ten af boligaftalens indvirkning på priserne på ejerboliger på landsplan: Kapi-
tel 4 i Skatteøkonomisk Redegørelse fra juni 2018. Gennemgangen vil tage
udgangspunkt i denne analyse, idet Finansudvalget har bedt de økonomiske
konsulenter lægge særlig vægt på at vurdere forudsætningerne bag Skatte-
ministeriets analyse.
De økonomiske konsulenter vil supplere oplægget med et notat, der mere de-
taljeret redegør for, hvorledes ejerboligpriserne påvirkes, og som mere pæ-
dagogisk forklarer indholdet af boligskatteaftalen”.
Side 1 | 23
FIU, Alm.del - 2018-19 (1. samling) - Bilag 117: Notat om boligforligets betydning for prisen på ejerboliger, fra Folketingets økonomiske konsulent
2038688_0002.png
Bilag 2. Gældende regler for beskatning af ejerboliger
Sammenfatning
Ejerboliger er pålagt to former for ejendomsskatter: ejendomsværdiskat og
grundskyld.
1
I dette bilag beskrives reglerne, indtil boligforligets satsæn-
dringer træder i kraft i 2021.
Ejendomsværdiskatten
Ejendomsværdiskatten
betales af hele ejendomsværdien. Ejendomsværdis-
katten har siden 2001 været underlagt et nominelt skattestop. Det betyder, at
beskatningsgrundlaget udgør det mindste af:
Gældende ejendomsvurdering
2001-ejendomsvurderingen tillagt 5 pct.
2002-ejendomsvurderingen
Ejendomsværdiskattesatsen udgør 1 pct. af beskatningsgrundlaget op til en
grænse på 3,04 mio. kr. og 3 pct. herover. Der gælder dog visse nedslag for
pensionister og ejere, der har købt deres bolig før 2. juli 1998.
Ejendomsværdiskattestoppet har reelt betydet, at ejendomsværdiskatten til-
knyttet en given ejendom ikke har kunnet stige i forhold til 2001-niveauet.
Dermed er ejendomsværdiskattens andel af ejendomsværdierne (den effek-
tive ejendomsværdiskat) faldet siden 2001.
Grundskyld
Udover ejendomsværdiskat betaler ejendomme
grundskyld
af grundværdien.
Grundskylden beregnes på baggrund af beskatningsgrundlaget samt en kom-
munalt fastlagt grundskyldspromille på mellem 16 og 34 promille. Grundskyl-
den har siden 2003 været underlagt en stigningsbegrænsningsregel, som be-
tyder, at beskatningsgrundlaget udgør det mindste af:
Gældende grundvurdering
Sidste års beskatningsgrundlag tillagt en procentvis stigning sva-
rende til stigningen i det kommunale skatteudskrivningsgrundlag + 3
pct. op til en øvre grænse på 7 pct.
I de dele af landet, hvor grundværdierne er steget mest siden 2003, har ef-
fekten af stigningsbegrænsningsreglen været, at grundskylden ikke umiddel-
bart har fulgt med de stigende grundvurderinger. Det vil sige, at der er skabt
et ”efterslæb” i grundskyldsbetalingerne.
Ved uændrede regler ville grund-
skyldsbetalingerne langsomt være blevet realiseret. Den effektive grund-
skyldsskattepromille (dvs. den faktiske betalings andel af grundværdien) på
1
Selv om tinglysningsafgiften vedr. bolighandel også kan ses i sammenhæng med ejendomsbe-
skatningen ses der normalt bort herfra, når der refereres til (den løbende) ejendomsbeskatning.
Side 2 | 23
FIU, Alm.del - 2018-19 (1. samling) - Bilag 117: Notat om boligforligets betydning for prisen på ejerboliger, fra Folketingets økonomiske konsulent
2038688_0003.png
forventet 12,6 promille i 2021, ville dermed være steget til den formelle sats
på 26 promille ifølge Skatteøkonomisk Redegørelse 2017.
Side 3 | 23
FIU, Alm.del - 2018-19 (1. samling) - Bilag 117: Notat om boligforligets betydning for prisen på ejerboliger, fra Folketingets økonomiske konsulent
2038688_0004.png
Bilag 3. Boligskatteforliget
Sammenfatning
Boligskatteforliget består af to aftaler: aftalen om et nyt ejendomsvurde-
ringssystem fra den.
18. november 2016 og aftalen om ”Tryghed
om bolig-
beskatningen” fra
den 2. maj 2017. Forliget er indgået mellem regeringen
(Venstre, Liberal Alliance og Det Konservative Folkeparti), Socialdemokra-
tiet, Dansk Folkeparti og Radikale Venstre.
Dette bilag sigter mod at give en helt kort og overordnet forklaring af ele-
menterne i de to aftaler.
Om de nye ejendomsvurderinger
Med
”Aftalen om et nyt vurderingssystem”
skal Skatteministeriet udvikle nye
ejendomsvurderinger. Ejendomsvurderingerne blev således suspenderet i
2013 på baggrund af en kritik fra Rigsrevisionen. For ejerboligerne har det
betydet, at det grundlæggende har været
SKAT’s 2011-vurdering
(fratrukket
en varierende rabat), som har dannet grundlag for opkrævningen af bolig-
skatterne siden 2013. Med de nuværende regler vil det være denne vurde-
ring, der skal danne udgangspunktet for ejerboligskatterne til og med 2020.
Hensigten med boligskatteforliget er at udvikle nye mere retvisende ejen-
domsvurderinger. Den nuværende tidsplan indebærer, at det vil være ejerbo-
ligens karakteristika (dvs. alle de forhold, der har betydning for boligprisen)
pr. den 1.1. 2020, der første gang vil danne udgangspunkt for de nye ejen-
domsvurderinger.
2
Denne 2020-ejendomsvurdering af ejerboligerne vil danne
udgangspunkt for ejerboligernes betaling af ejendomsværdiskat og grund-
skyld i 2021 og 2022. Derefter vil skattemyndighederne hvert andet år fore-
tage en ny ejendomsvurdering af ejerboligerne.
Viser den nye 2020-ejendomsvurdering, at 2011-vurderingen var for høj, vil
boligejeren få penge tilbage via en såkaldt tilbagebetalingsordning.
En af grundtankerne bag den nye ejendomsvurderingslov er, at der ikke er
knyttet én ’sand’ eller ’rigtig’ handelsværdi til en given ejendom: Forskellige
købere vil være villige til at betale forskellige priser for det samme hus, mens
sælgere vil have forskellige krav og forventninger til, hvad en god handelspris
er. Princippet har ledt til introduktionen af begrebet ”vurderingsnormen”,
jf.
faktaboks 3 i hovedteksten.
2
Skatteministeriet har dog senest i bemærkningerne til L115 samling 2018-19, angivet, at der er
tale om et højrisikoprojekt. Det betyder at det ikke kan udelukkes, at vurderingerne bliver (yder-
ligere) forsinkede.
Side 4 | 23
FIU, Alm.del - 2018-19 (1. samling) - Bilag 117: Notat om boligforligets betydning for prisen på ejerboliger, fra Folketingets økonomiske konsulent
2038688_0005.png
Med vurderingsnormen følger også et såkaldt forsigtighedsprincip, hvormed
boligerne alene skal betale boligskatter af 80 pct. af såvel ejendoms- som
grundvurderingen.
Om de nye skatteregler
Med boligforliget ophæves såvel ejendomsværdiskattestoppet som grund-
skyldsstigningsbegrænsningsreglen fra 2021. Derefter vil de to skatter igen
følge udviklingen i ejendomsvurderingerne og dermed udviklingen i bolig- og
grundpriserne.
De nye formelle satser fastsættes, så provenuet i 2021 fra hhv. ejendoms-
værdiskat (på landsplan) og grundskyld (i hver enkelt kommune) bliver det
samme, som det ville have været efter gældende regler og nye vurderinger
(eksklusiv forsigtighedsprincippet).
For ejendomsværdiskatten indebærer boligforliget derudover, at satsen redu-
ceres med 0,02 pct. point, svarende til, at indtægterne fra ejendomsværdis-
katten bliver ca. 0,5 mia. kr. mindre ved de nye regler end under de gamle
regler.
For ejendomsværdiskatten fastsættes grænsen for den progressive sats, så-
ledes at der betales progressiv ejendomsværdiskat for samme andel af ejer-
boliger i 2021 som i 2020. Den progressive ejendomsværdiskattesats fast-
sættes til 1,4 pct. af beskatningsgrundlaget over progressionsgrænsen.
Som ovenfor nævnt fastsættes de kommunale grundskyldspromiller ifølge af-
talen, så provenuet i de enkelte kommuner er uændret i forhold til gældende
regler i 2021
med de nye vurderinger. De lovfastsatte promiller udgør et loft
for den enkelte kommune i 2021-25. Kommunerne kan således ikke øge den
effektive grundskyldspromille, men alene sænke grundskyldspromillen fra
2021 til 2025 i forhold til deres individuelle loft. Endvidere fjernes den nuvæ-
rende nedre grænse for grundskyldspromillen på nuværende 16 promille, og
det generelle loft, der også gælder efter 2025, sænkes fra 34 til 30 promille.
Særlige indefrysningsregler
også fremadrettet
Med boligskatteforliget er der indført indefrysningsordninger, der medfører, at
boligejerne ikke skal betale stigninger i boligskatterne, mens de sidder i boli-
gen, men først, når de sælger boligen og typisk realiserer en gevinst.
For perioden frem til 2021 vil årlige stigninger i grundskylden af ejerboliger
automatisk blive indefrosset, og det vil ske uden forrentning. Fra 2021 vil stig-
ninger i boligskatterne (ejendomsværdiskat og grundskyld under ét) automa-
tisk blive indefrosset til en rente, der svarer til renten ved en eksisterende in-
defrysningsordning for pensionister (der udgjorde 1,24 pct. i 2017).
Side 5 | 23
FIU, Alm.del - 2018-19 (1. samling) - Bilag 117: Notat om boligforligets betydning for prisen på ejerboliger, fra Folketingets økonomiske konsulent
2038688_0006.png
Idet indefrysningsordningerne bortfalder ved salg, har de som udgangspunkt
ikke nogen betydning for boligprisen. Hvis renten på 1,24 pct. er mindre end
efter-skat-renten, vil indefrysningsordningen imidlertid reducere den effektive
ejendomsværdibeskatning.
Særlige skatterabatter ved overgangen til det nye system
Skatteministeriet vurderer, at de nye regler reducerer boligskatterne for ho-
vedparten af boligejerne fra 2021 i forhold til gældende regler.
3
Samtidig vil
boligejere, som alligevel umiddelbart med de nye regler og de nye vurderin-
ger står til at skulle betale en højere samlet boligskat i 2021 sammenlignet
med 2021 gamle regler og nye vurderinger (inkl. forsigtighedsprincippet) blive
kompenseret via en skatterabat fra og med 2021. Skatterabatten/nedslaget
videreføres nominelt og bortfalder ved salg. Skatterabatten gælder kun bolig-
ejere, der har købt deres bolig senest den 31. december 2020.
Endelig skal det bemærkes, at de nuværende nedslag i ejendomsværdiskat-
ten for pensionister og ejere, der har købt før den 2. juli 1998 videreføres i de
nye regler, idet det dog sikres, at ejendomsværdiskatten ikke bliver direkte
negativ.
Tilbageførselsklausul: tilbageførsel af provenu udover det forventede
Endelig lægges der op til, at såfremt boligskatterne med de nye regler stiger
mere end forventet i fremtiden, så skal boligskatterne nedsættes (yderligere).
3
Jf. Skatteøkonomisk Redegørelse 2017, kapitel 5.
Side 6 | 23
FIU, Alm.del - 2018-19 (1. samling) - Bilag 117: Notat om boligforligets betydning for prisen på ejerboliger, fra Folketingets økonomiske konsulent
2038688_0007.png
Bilag 4. Analysen fra Nationalbanken
Sammenfatning
Nationalbanken udgav den 20 marts 2019 en analyse af boligforligets ind-
virkning på hhv. prisen på enfamiliehuse og ejerlejligheder. I dette notat
beskrives forskellen på Skatteministeriets og Nationalbankens skøn for ef-
fekten på boligpriserne. Endvidere begrundes det, hvorfor hovedteksten
tager udgangspunkt i Skatteministeriets analyse. Notatet er først og frem-
mest henvendt til teknikere.
Meget ens resultater
Forskellen på Nationalbankens og Skatteministeriets vurdering af effekten på
prisen på hhv. ejerlejligheder og enfamiliehuse på landsplan er meget lille.
Således vurderer begge institutioner, at boligforliget medfører, at prisen på
ejerlejligheder på landsplan bliver 5,8 pct. lavere i 2022 som følge af boligfor-
liget, jf. tabel 4.
Tabel 4. Ændring af boligpris i 2022 som følge af boligforliget
Samlet ejerbolig-
pris
Alle
Enfamiliehuse
Højere
skat
Pct.
-
-1
Lavere
skat
-
3
-5,8
-5,8
Ejerlejlig-
heder
Skatteministeriet
Nationalbanken
0
-
0,8
1,4
Anm: Tabellen opgør afvigelsen mellem boligprisen med og uden boligforliget
opgjort i forhold
til boligprisen i forløbet uden boligforliget. Kilde: Nationalbanken marts 2019. Skatteøkonomisk
Redegørelse 2018, tabel 4.1.
Nationalbanken er ligeledes enig med Skatteministeriet i, at boligforliget vil
forøge den samlede pris på enfamiliehuse på landsplan. Hvor Skatteministe-
riet vurderer, at effekten vil udgøre 0,8 pct., vurderer Nationalbanken imidler-
tid, at effekten udgør 1,4 pct.
Nationalbanken skønner, at enfamiliehuse, der bliver belastet af en højere
skat, vil opleve et prisfald på 1 pct., mens prisen på huse, der opnår en la-
vere belastning, samlet set vil stige med 3 pct. Nationalbanken foretager
imidlertid ikke en beregning på andre segmenter end disse, ligesom effekten
på den samlede pris på ejerboliger heller ikke vurderes.
Helt overordnet er der tale om samme tilgang
Ligesom Skatteministeriet vurderer Nationalbanken effekten af:
At de nye vurderinger vil forskyde skattebetalingen mellem forskellige
segmenter
særligt forventer Nationalbanken med udgangspunkt i
Side 7 | 23
FIU, Alm.del - 2018-19 (1. samling) - Bilag 117: Notat om boligforligets betydning for prisen på ejerboliger, fra Folketingets økonomiske konsulent
2038688_0008.png
tal fra Skatteministeriet, at ejerlejligheder kommer til at bære en
større del af grundskyldsbetalingen
At boligskatteaftalen betyder, at (de geografiske) forskelle i den ef-
fektive ejendomsværdiskattesats ophæves, idet alle fremover skal
betale samme effektive sats.
I lighed med Skatteministeriet ser Nationalbanken også bort fra, at boligforli-
get annullerede de fremtidige grundskyldskattestigninger. Nationalbanken har
oplyst, at man her er enige med Skatteministeriet: At befolkningen forven-
tede, at de blev annulleret, jf. hovedteksten.
Næsten samme data
men alligevel ikke helt
Nationalbankens analyse er foretaget med udgangspunkt i et faktaark fra
Skatteministeriet fra maj 2017 og bygger således på lidt ældre tal end Skatte-
ministeriets analyse fra juni 2018.
Hertil kommer, at Nationalbankens analyse af priseffekterne ikke fuldt ud ind-
regner effekten af de nye vurderinger. Det hænger sammen med, at fakatar-
ket fra Skatteministeriet har den svaghed, at det ikke indeholder alle rele-
vante oplysninger. Således sammenligner Nationalbanken forskellen på 1 og
2 nedenfor:
1. Skattebetalingen baseret på nye skatteregler og nye vurderinger
2. Skattebetalingen baseret på gamle 2021-skatteregler og nye vurde-
ringer.
Såfremt Nationalbanken både ønsker at kortlægge effekten af de nye vurde-
ringer og de nye skatteregler, burde analysen
ideelt set
i stedet have ta-
get udgangspunkt i forskellen på 1 og 3:
3. Skattebetalingen under gamle 2021-regler og med gamle vurderin-
ger.
De økonomiske konsulenter ønsker i den forbindelse at påpege, at dette for-
mentlig leder til en lille undervurdering af den stigning i grundskyldsskattebe-
talingen, der følger med boligforliget. Dette følger af, at de gamle vurderinger
har været fastfrosset siden 2013. På grund af stigningsbegrænsningsreglen
for grundskylden er biasen dog ikke stor.
Nationalbanken konstruerer endvidere et samlet skøn for ændringerne på
landsplan på baggrund af faktaarket og værdien af handlede boliger. Skatte-
ministeriet opstiller derimod en model på baggrund af registrerdata.
Side 8 | 23
FIU, Alm.del - 2018-19 (1. samling) - Bilag 117: Notat om boligforligets betydning for prisen på ejerboliger, fra Folketingets økonomiske konsulent
2038688_0009.png
Heller ikke helt samme metode
Nationalbanken anvender en lidt mindre følsom model. Hvor Skatteministeriet
opstiller en såkaldt usercost-model, jf. bilag 5, anvender Nationalbanken mo-
dellen MONA. Det betyder, at den semielasticitet
4
, som Nationalbanken impli-
cit anvender, udgør -13
5
og dermed er væsentlig lavere end den semielastici-
tet på -19, som Skatteministeriet udleder fra deres model, jf. tabel 4A.3, side
143, i Skatteøkonomisk Redegørelse.
6
Forskellen hænger bl.a. sammen med, at MONA ikke skelner mellem grunde
og bygninger. Det står i kontrast til Skatteministeriet, der forudsætter, at be-
skatningen af grunde fuldt ud overvæltes i grundprisen, hvorimod prisen på
bygninger på sigt er bundet til byggeomkostningerne, jf. også bilag 6.
Samtidig hænger forskellen også sammen med, at Nationalbanken i modsæt-
ning til Skatteministeriet korrigerer sine beregninger for en såkaldt bølgeef-
fekt, der dækker over, at de regionale boligmarkeder ikke er adskilte, men at
boligefterspørgslen spreder sig ud fra områder med høje boligpriser.
Stort set samme effekt på trods af metodemæssige forskelle
På trods af de metode- og datamæssige forskelle ligger de to institutioners
vurdering af effekten på prisen på hhv. ejerlejligheder og enfamiliehuse på
landsplan bemærkelsesværdigt tæt på hinanden, jf. tabel 4.
Af fremstillingsmæssige hensyn samt ud fra en vurdering af, at Skatteministe-
riets analyse grundlæggende bygger på nyere tal, har de økonomiske konsu-
lenter derfor valgt at tage udgangspunkt i Skatteministeriets analyse i hoved-
teksten.
4
Dvs. den procentvise ændring i boligpriserne, som ét procentpoint stigning i skatterne giver an-
ledning til.
Jf. at det af Nationalbankens analyse fremgår, at enfamiliehusenes effektive skat falder med
0,14 pct., og at dette leder til en prisstigning på 1,8 pct.
Når Nationalbanken alligevel rammer samme estimat for prisfaldet på ejerlejligheder på lands-
plan som Skatteministeriet, må det skyldes, at Nationalbankens estimat for ændringen af den
effektive skattesats er større end Skatteministeriets estimat.
5
6
Side 9 | 23
FIU, Alm.del - 2018-19 (1. samling) - Bilag 117: Notat om boligforligets betydning for prisen på ejerboliger, fra Folketingets økonomiske konsulent
2038688_0010.png
Bilag 5. Analysen fra Arbejdernes Landsbank og Nordea
Sammenfatning
Dette bilag indeholder en beskrivelse af beregninger fra Arbejdernes
Landsbank og Nordea. Bilaget er primært henvendt til teknikere.
Beregninger fra Arbejdernes Landsbank
Arbejdernes Landsbank har foretaget beregninger af, hvordan boligforliget
påvirker boligpriserne på kommunalt niveau, jf.
analysen ”Kig dig godt for: her
rammer de nye boligskatter”,
jf.
https://www.al-bank.dk/markedsnyt/boligmar-
kedet/faa-et-samlet-overblik/2019/kig-dig-godt-for-her-rammer-de-nye-bolig-
skatter/
Analysen blev offentliggjort januar 2019.
Arbejderne Landsbank foretager beregningen på baggrund af det samme
faktaark fra Skatteministeriet fra 2017, som Nationalbanken også har an-
vendt, jf. bilag 4 for en beskrivelse af dette.
Ligesom Nationalbanken og Skatteministeriet indregner Arbejdernes Lands-
bank heller ikke effekten af de annullerede grundskyldsskattestigninger.
Dette følger imidlertid mere direkte af den model, som Arbejdernes Lands-
bank anvender, idet modellen implicit forudsætter, at fremtidige forventninger
til boligprisen slet ikke har nogen effekt på boligprisen i dag.
Arbejdernes Landsbank foretager således beregningen af priseffekten på
baggrund af en såkaldt førsteårsydelsesmodel. Antagelsen bag beregningen
er, at en ny køber af et hus vil have lige så mange faste udgifter som den hid-
tidige ejer, og at de penge, der spares i boligskatter, i stedet bruges på renter
og afdrag på et fast lån med en rente på 2 pct. og et rentefradrag på 33,6 pct.
Det er ikke umiddelbart muligt at sammenligne resultaterne fra Arbejdernes
Landsbank med Skatteministeriets skøn. Det skyldes, at Arbejdernes Lands-
bank alene har foretaget priseffekten på kommunalt niveau. De økonomiske
konsulenter vurderer dog, at den implicitte semielasticitet (der opgør den im-
plicitte prisfølsomhed i beregningerne) er lidt højere i beregningerne fra Ar-
bejdernes Landsbank. Hvor en skattelettelse på 1 pct. af ejendomsværdien
giver anledning til, at boligprisen stiger med 19 pct. i Skatteministeriets be-
regninger, giver den anledning til en stigning i boligprisen på 26 pct. i bereg-
ningerne fra Arbejdernes Landsbank, jf. tabellen nedenfor.
Side 10 | 23
FIU, Alm.del - 2018-19 (1. samling) - Bilag 117: Notat om boligforligets betydning for prisen på ejerboliger, fra Folketingets økonomiske konsulent
2038688_0011.png
Tabel 5. Boligprisens følsomhed over for ændring i skattesatsen
Semielasticiteten
Skatteministeriet
1)
Arbejdernes Landsbank
2)
Bygninger
-15
Grunde
-25
Boliger
-19
-26
Kilde: 1) Skatteøkonomisk Redegørelse 2018, 2) Arbejdernes Landsbank regner mere præcist
med en finansiering, der består af 80 pct. i 30-årigt fastforrentet 2 pct. realkreditlån med afdrag
og 20 pct. i et banklån på 20 år med en rente på 5,2 pct. Endvidere forudsættes rentefradraget at
udgøre 33,6 pct. Det betyder at 1. årsydelsen pr. måned er 4.674 kr. per lånt million, heraf udgør
rentebetaling 2.733 kr. og ydelsen efter rentefradrag er 3.756 kr. Dvs. for hver krone, der spares
kan boligprisen stige med 1000000/3756 = 26 kr.
Beregninger fra Nordea
Nordea har også foretaget en række beregninger af priseffekten på kommu-
nalt niveau, som de offentlige gjorde november 2018, jf.
https://nordeakreditbolignyt.nordea.dk/artikler/201811-disse-boligkobere-bor-
vogte-sig-de-nye-boligskatter
Nordea har imidlertid oplyst, at banken ikke har udarbejdet et dokumentati-
onsnotat.
Side 11 | 23
FIU, Alm.del - 2018-19 (1. samling) - Bilag 117: Notat om boligforligets betydning for prisen på ejerboliger, fra Folketingets økonomiske konsulent
2038688_0012.png
Bilag 6. Dokumentation af beregningerne af priseffekterne
Sammenfatning
Dette bilag udgør et dokumentationsnotat og henvender sig derfor først og
fremmest til teknikere. Hensigten med notatet er, at det skal være muligt at
genskabe de økonomiske konsulenters beregning.
I appendiks 4.A. i Skatteøkonomisk Redegørelse fra juni 2018 opstiller
Skatteministeriet den model, som ministeriet anvender til at bedømme bo-
ligforligets effekt på boligpriserne. I beregningerne forudsætter ministeriet,
at boligforliget
på landsplan
ikke har ændret befolkningens forventnin-
ger til udviklingen i boligskatterne. Det betyder, at boligprisen på landsplan
stort set ikke ændres, jf. hovedteksten. Nedenfor dokumenteres de økono-
miske konsulenters beregning af effekten af i stedet at forudsætte, at be-
folkningen
inden reformen
forventede, at gældende regler blev realise-
ret. Det vises, hvorledes boligforliget under denne antagelse vil medføre,
at prisen på boliger på landsplan bliver ca. 6 pct. højere på kort sigt og
knap 11 pct. højere på lang sigt, end priserne ellers ville have været. Det
skal understreges, at begge tilfælde udgør et yderpunkt.
I bilaget vises det også, hvorledes forudsætningen om det langsigtede ren-
teniveau påvirker resultatet.
Overordnet om Skatteministeriets model
Med udgangspunkt i den model, der fremgår af Skatteøkonomisk Redegø-
relse fra juni 2018, appendiks 4A, opstiller de økonomiske konsulenter ne-
denfor en model, der kan anvendes til at bedømme effekten på boligprisen
på landsplan.
Det er vigtig at understrege, at modellen udgør et yderpunkt. Det skyldes, at
modellen implicit forudsætter, at befolkningen har fuldstændig viden om frem-
tidige skattesatser og effekten af disse, samt at nye boligkøbere ikke er så-
kaldt kreditrationerede. Dvs. at de kan låne lige så mange penge i banken,
som de ønsker til den gældende rente.
Skatteministeriet beskriver ligevægten på markedet for henholdsvis grunde,
���� =
, og bygninger,
���� = ����,
ved følgende ligning.
����
Hvor
����
betegner usercost ved hhv. grunden eller bygningerne (eksklusiv ka-
pitalgevinster),
����
����
symboliserer værdien af hhv. grundene eller bygningerne,
����
����
er nytten/det løbende afkast her kaldet (bolig)forbruget, og
����
����
er de forven-
tede prisstigninger. Skatteministeriet definerer
����
som:
����
����
= ����
����
+ ����
����
����
����
(1)
Side 12 | 23
FIU, Alm.del - 2018-19 (1. samling) - Bilag 117: Notat om boligforligets betydning for prisen på ejerboliger, fra Folketingets økonomiske konsulent
2038688_0013.png
Hvor
����
er den gennemsnitlige skatteværdi af rentefradraget på tidspunkt t
7
,
, er boligrenten (inkl. bidragssats),
����
����
er afskrivningsraten,
����
, er den effek-
tive boligskattesats, dvs. skatterne i forhold til værdien af boligen, og q er øv-
rige omkostninger (inkl. risikopræmie).
Værdien af beholdningen,
����
,����
, er per definition lig prisen,
����
����
, gange behold-
ningen af hhv. grunde og bygninger,
����
.
����
����
= ����
����
����
����
=
����
����
=
− ����
+ ����
����
+
����
+
(2)
(3)
Yderligere kan de fremtidige prisstigninger per definition beskrives som:
���� =
����
����
����+
����
����+
− ����
����
����
����
(4)
Endelig benytter beregningen nedenfor, at ligning (1) betyder, at
����
����
også
kunne skrives som ligning (6)
���� =
����
����
Endvidere angiver Skatteministeriet, at forbruget af hhv. grunde og bygnin-
ger,
����
����
, antages at udgøre en fast andel af indkomsten, samt at indkomsten
forudsættes at vokse med en fast rate
����
����
. Det betyder, at:
����
����
=
+ ����
����
∙ ����
����−
����
����
(5)
Skatteministeriets forudsætning om, at befolkningen anvender en vis andel af
indkomsten på såvel grunde som bygninger, betyder, at ligevægten på de to
markeder kan findes hver for sig, jf. nedenfor.
Ligevægt på markedet for grunde
I lighed med Skatteministeriet forudsætter de økonomiske konsulenter, at de
danske forbrugere har besluttet at anvende en vis andel af deres indkomst på
byggegrunde. Samtidig forudsættes mængden af byggegrunde at være kon-
stant.
Ved at kalibrere modellen med
(1) fås ligning (7):
����
− ����
����
(6)
lig 1 og indsætte ligning (3) og (4) i ligning
7
Skatteministeriet forudsætter således fuld lånefinansiering af boligen.
Side 13 | 23
FIU, Alm.del - 2018-19 (1. samling) - Bilag 117: Notat om boligforligets betydning for prisen på ejerboliger, fra Folketingets økonomiske konsulent
2038688_0014.png
����
����
����
− ����
���� ����
+
���� = ���� +
���� = ����
����
+ ����
����
− ����
����
+
����
����
����
����
+
Ligning (7) kan også skrives som:
����
����
+ ����
����
+
���� =
����
+
����
����
����
����
����
= ����
����
+ ����
����
+
(7)
Af ligning 8 fremgår det, at prisen på grunde må vokse med samme kon-
stante rate som indkomsterne i steady state, hvor alle eksogene parameter
og vækstrater er konstante, dvs.:
����
����
����
����
= ����
����
����
����
���� =
����
− ����
����
(8)
(9)
Denne rate sættes til 2,8 pct. Dermed opnås samme prisstigningstakt som i
Skatteministeriets model, jf. tabel 4A1 i Skatteøkonomisk Redegørelse 2018.
Udfordringen ved opstillingen af modellen er, at forløbet inden reformen (kal-
det baseline nedenfor) langt fra er i såkaldt steady state. Det skyldes, 1) at
den effektive grundskyldspromille ved fravær af boligforliget langsomt ville
stige fra ca. 12,6 til 26 på sigt (ca. år 2040), og 2) at ejendomsværdiskatten
omvendt ville falde marginalt.
8
Af beregningstekniske grunde forudsættes
den almindelige effektive ejendomsværdiskat under progressionsgrænsen
nedenfor fastholdt på det niveau, den vil have i 2050, dvs. ca. 0,2 pct. Såle-
des ses der
i princippet
bort fra skattestoppet fra 2050 og frem.
Først findes baseline
Ved opstillingen af modellen finder de økonomiske konsulenter først ligevæg-
ten i baseline: En ligevægt, der først indtræder efter 2050, hvor alle skattesat-
ser er uændrede. I ligevægten er den effektive grundskyldspromille 2,6 pct.,
og ejendomsværdiskatten er 0,2 pct.. De øvrige centrale parameterværdier
fastsættes, så de svarer til dem, som Skatteministeriet anvender, jf. tabel 6.
8
De økonomiske konsulenter ser bort fra progressionen i ejendomsværdiskatten. Det trækker
isoleret set i retning af en
lille
undervurdering af skærpelsen af ejendomsværdiskatten, idet den
progressive sats alene rammer boliger med en forventet værdi på over 7,5 mio. kr., 2017 ni-
veau. Omvendt ses dog også bort fra, at renteniveauet i den såkaldte (fremtidige) indefrys-
ningsordning er forholdsvis lavt sat, hvilket trækker i retning af en overvurdering af skærpelsen
af ejendomsværdiskatten og en undervurdering af lempelsen af grundskyldsbeskatningen
altså i den modsatte retning.
Side 14 | 23
FIU, Alm.del - 2018-19 (1. samling) - Bilag 117: Notat om boligforligets betydning for prisen på ejerboliger, fra Folketingets økonomiske konsulent
2038688_0015.png
Tabel 6. Parameterværdier
Grunde
Rente inkl. bidragssats
Værdi af rentefradraget
Afskrivninger
Nominel stigning i indkomsterne
Øvrige omkostninger
����
4,5 pct.
32 pct.
0 pct.
2,8 pct.
2 pct.
Bygninger
4,5 pct.
32 pct.
2,2 pct.
2,8 pct.
2 pct.
����
����
����
����
����
Først findes ligevægten i steady state (i 2080) via ligning (6). Modellen kali-
����
breres ved at sætte
����
lig 1, og
����
����
= ∙ + ����
����
. Dernæst kan
����
����
findes ud fra ligning (8) som
Derefter anvendes ligning (5) og (7) til at finde forløbet tilbage i tid
frem
mod 2017
idet der tages hensyn til ændringerne i skattesatsen.
����
����
= ����
����
����
− ����
����
(10)
I figur 7 er den samlede effektive beskatning af grunde afbilledet frem i tid, jf.
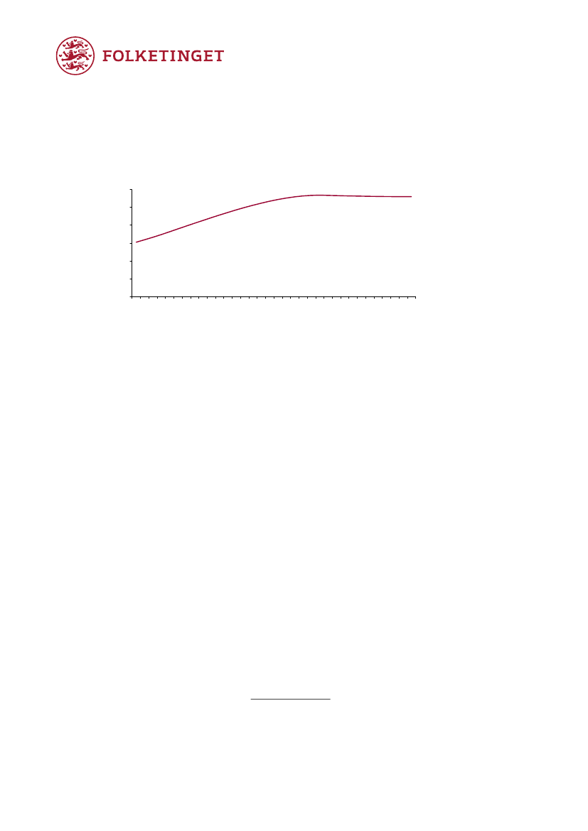
den røde linje. Det giver
alt andet lige
anledning til en faldende real
grundpris frem i tid, jf. grå linje. Den reale grundpris er her opgjort ved at de-
flatere den nominelle grundpris med 2,8 pct., som jo udgør (den nominelle)
prisstingstakt i steady state.
Figur 7. Uden boligforliget ville realprisen på grunde - alt andet lige - falde
Modelberegning af realprisen på grunde uden boligreformen - givet, at alt andet var lige
2017 = 100
102
100
98
96
94
92
90
88
86
Udvikling i real grundpris inden reformen (venstre akse)
Effektiv skattesats (grundskyld + ejendomsværdiskat) (højre akse)
Pct.
3,50
3,00
2,50
2,00
1,50
1,00
0,50
84
2017
2022
2027
2032
2037
2042
2047
0,00
Kilde: Egne beregninger foretaget på baggrund af den model, der opstilles i Skatteøkonomisk
Redegørelse 2018, appendiks 4A.
Side 15 | 23
FIU, Alm.del - 2018-19 (1. samling) - Bilag 117: Notat om boligforligets betydning for prisen på ejerboliger, fra Folketingets økonomiske konsulent
2038688_0016.png
Så findes forløbet med boligforliget
Med boligforliget rammes steady state allerede i 2021, idet skattesatsen ikke
ændres efter 2021. Idet vi kender udviklingen i
����
����
, kan steady state-værdi-
erne i 2021 og frem findes via ligning 8. Derefter anvendes ligning (7) til at
finde det nye forløb tilbage i tid til 2017.
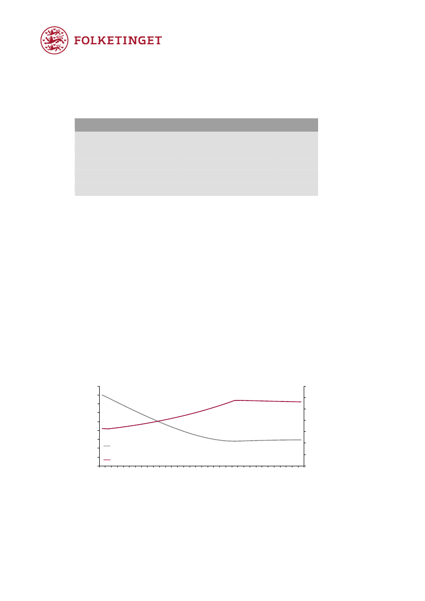
Med dette modelsetup vil grundprisen straks tilpasse sig det nye forløb, når
reformen annonceres
dvs. i 2017. Det skyldes, at der er antaget såkaldt
perfekt forudseenhed i denne model. Det betyder, at grundprisen i teorien vil
hoppe fra A til B og derefter fortsætte ad den grå linje i stedet for på den
røde, jf. figur 8.
Figur 8. Boligforliget får - alt andet lige - prisen på grunde til at stige
Modelberegning af realprisen på grunde med og uden boligforliget - givet at alt andet var lige
2017 før reform
=100
140
120
100
80
B
A
60
40
20
0
2017
Udvikling i real grundpris inden reformen
Udvikling i real grundpris efter reform, idet real grundpris før reform i 2017
sættes lig 100
2022
2027
2032
2037
2042
2047
Kilde: Egne beregninger foretaget på baggrund af den model, der opstilles i Skatteøkonomisk
Redegørelse 2018, appendiks 4A.
På denne måde betyder den fremtidige skattelettelse, at prisen på grundene
stiger med godt 15 pct. på helt kort sigt og med godt 29 pct. på lang sigt
i
forhold til forløbet uden et boligforlig, jf. figur 9.
Side 16 | 23
FIU, Alm.del - 2018-19 (1. samling) - Bilag 117: Notat om boligforligets betydning for prisen på ejerboliger, fra Folketingets økonomiske konsulent
2038688_0017.png
Figur 9. Boligforliget får - alt andet lige - grundprisen til at stige
Modelberegning af den procentvise forskel på grundprisen med og uden boligforliget - givet fuld
forudseenhed
Pct.
30
25
20
15
10
5
0
2017
2022
2027
2032
2037
2042
2047
Kilde: Egne beregninger foretaget på baggrund af den model, der opstilles i Skatteøkonomisk
Redegørelse 2018, appendiks 4A.
Ligevægt på markedet for bygninger
Udregningerne af ligevægten på markedet for bygninger kompliceres af, at
det er muligt at bygge flere og bedre bygninger, og at ligevægten i steady
state samtidig forudsættes kendetegnet ved, at den reale pris på bygninger,
����
����
, er bestemt af byggeomkostningerne. Dermed bliver det beholdningen af
bygninger,
����
, der clearer markedet på sigt.
De økonomiske konsulenter forudsætter endvidere i lighed med Skattemini-
steriet, at byggeomkostningerne stiger med samme takt, som indkomsterne
stiger i steady state. Dvs.
����
����
����
����
= ����
����
(11)
Først findes baseline
Bygningerne er kun pålagt ejendomsværdiskat. I lighed med for markedet for
grunde falder ejendomsskatten frem mod 2050, hvorefter den holdes kon-
stant.
Steady state indtræder inden 2080, men modellen opstilles med udgangs-
punkt i dette år. Modellen kalibreres ved at sætte
����
����
lig
∙ +
����
����
����
og
����
����
lig
����
����
. Dermed kan
����
, findes ud fra (12), der er
udledt ud fra (3) og (6).
����
=
����
����
����
����
����
����
− ����
����
(12)
Side 17 | 23
FIU, Alm.del - 2018-19 (1. samling) - Bilag 117: Notat om boligforligets betydning for prisen på ejerboliger, fra Folketingets økonomiske konsulent
2038688_0018.png
Problemet er nu, at vi
i princippet
ikke kender forholdet mellem
����
og
����
, idet
����
er historisk bestemt. Nedenfor vil det blive forudsat, at bolig-
beholdningen stadig er ved at blive tilpasset ejendomsværdiskattestoppet.
fastlægges, så bygningsprisen overstiger byggeomkostnin-
Dvs. at
����
gerne initialt. Konkret fastsættes
����
ud fra ligning (13), hvor
����
initialt sæt-
tes til 0,95.
����
I baseline forudsættes steady state at indtræde i 2050, hvor ejendomsværdis-
katten fastholdes. Dvs. det forudsættes, at
���� 5
er tilpasset ligevægtsni-
veauet. Det fremgår ikke klart af Skatteøkonomisk Redegørelse 2018, hvorle-
des funktionen for (netto)bygningsinvesteringerne er specificeret. De økono-
miske konsulenter forudsætter her af forenklingshensyn, at der er tale en li-
neær tilpasning
9
. Dvs., at beholdningen af bygninger altid ændres med
samme numeriske værdi hvert år uden for steady state:
���� = |
����
+
= ����
����
����
����
����
����
����
− ����
����
(13)
����
����
|
����
=
Dermed har vi at for
For
>
gælder:
=
< <
+
����
����
����
����
gælder:
∙ ����
(15)
��������ø����
����
(14)
Nu kan modellen løses: Vi har ligevægten i
=
����
som
����
����
. Fra ligning (6) har vi
����
=
����
samt udviklingen i såvel
Og fra (3) har vi:
����
����
= ����
����
+ ����
����
����
����
����
����
= ����
����
����
(16)
(17)
(17) indsættes i (16) og derefter indsættes (4). Dermed fås:
9
Modellen burde specificeres, så det var afvigelsen mellem prisen på bygninger og byggeom-
kostningerne, der var afgørende. Det vil imidlertid betyde, at modellen skal løses iterativt, hvor-
for de økonomiske konsulenter har undladt dette.
Side 18 | 23
FIU, Alm.del - 2018-19 (1. samling) - Bilag 117: Notat om boligforligets betydning for prisen på ejerboliger, fra Folketingets økonomiske konsulent
2038688_0019.png
����
����
=
����
����
����
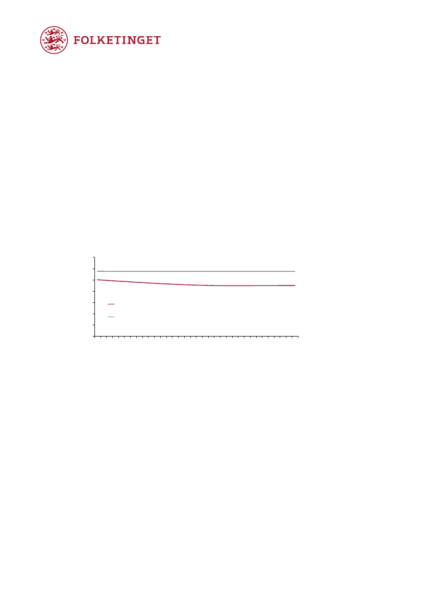
Nu kan vi finde forløbet frem mod 2017 via (18).
Med disse forudsætninger vil prisen på bygninger overstige byggeomkostnin-
gerne i baseline frem til 2050, hvor steady state indtræder, jf. Figur 10.
Figur 10. Bygningsprisen falder i baseline i takt med stigning i udbud
Modelberegning af forholdet mellem prisen på bygninger og byggeomkostningerne
114
112
110
108
106
104
102
100
98
96
94
92
2017
2022
Pct.
0,60
0,50
0,40
0,30
+
+ ����
����
+
����
(18)
Pris på bygninger ifht byggeomkostninger (venstre akse)
Beholdning af bygninger 2017=100 (venstre akse)
Effektiv skattesats (ejendomsværdiskat) (højre akse)
0,20
0,10
0,00
2027
2032
2037
2042
2047
2052
Kilde: Egne beregninger foretaget på baggrund af den model, der opstilles i Skatteøkonomisk
Redegørelse 2018, appendiks 4A.
Så findes forløbet med boligforliget
Boligforliget betyder, at ejendomsværdiskattesatsen fastholdes på niveauet i
2021 fratrukket 0,02 procentpoint. Idet vi kender udviklingen i
����
����
, kan den
nye steady state findes ved at opdatere ligning (12). Udviklingen i beholdnin-
gen af bygninger findes ved at forudsætte, at beholdningen ændres med
����
uden for ligevægt. Dermed kan ligning (18) anvendes til at finde prisen på
bygninger tilbage i tid.
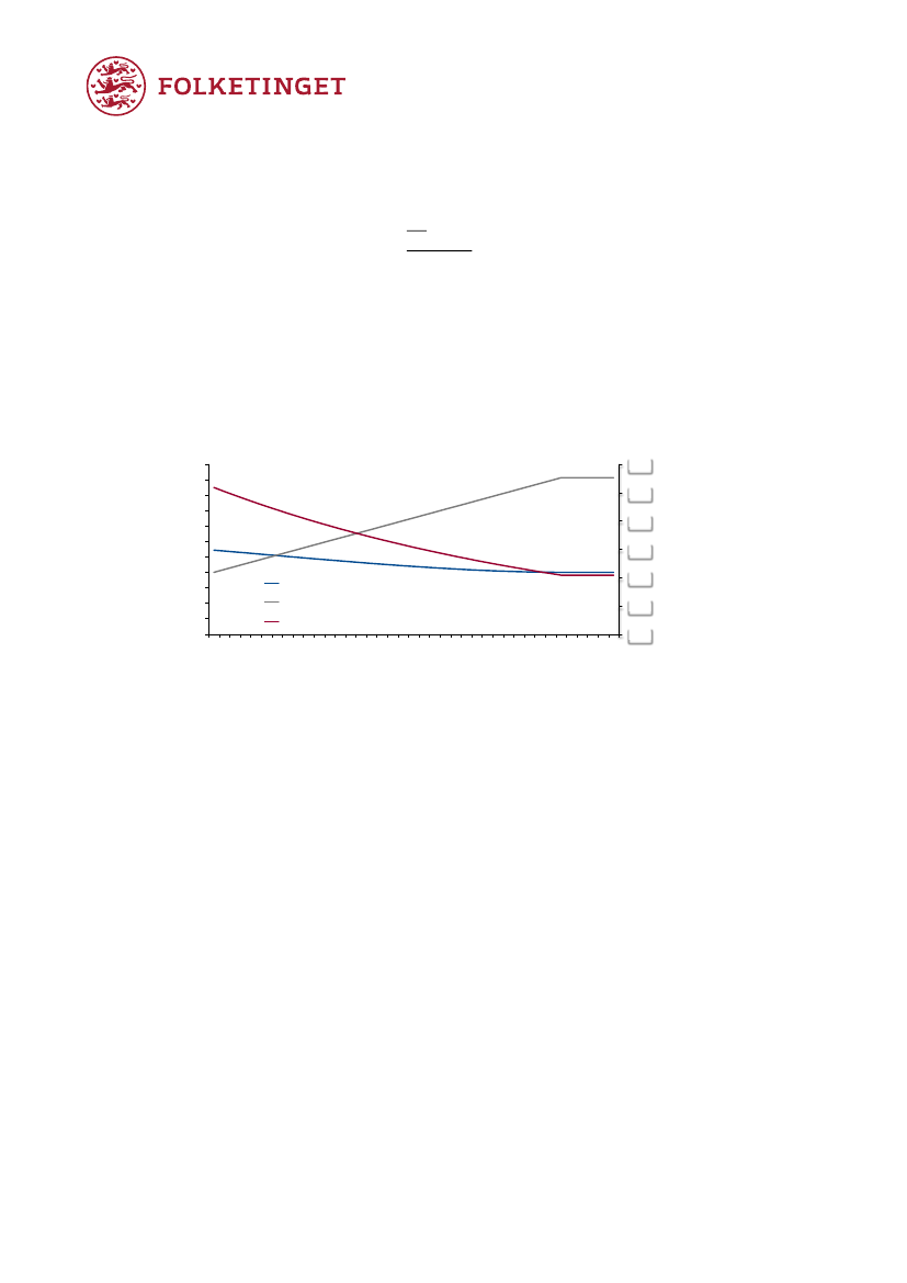
Figur 11 viser, hvordan annonceringen af boligforliget og dermed den fremti-
dige skærpelse af beskatningen af bygninger betyder, at prisen på bygninger
falder fra A til B. På sigt vil der ikke være forskel på prisen, idet prisen be-
stemmes af byggeomkostningerne.
Side 19 | 23
FIU, Alm.del - 2018-19 (1. samling) - Bilag 117: Notat om boligforligets betydning for prisen på ejerboliger, fra Folketingets økonomiske konsulent
2038688_0020.png
Figur 11. Bygningsprisen falder som følge af forlig
Modelberegning af pris på bygninger ift. byggeomkostninger med og uden forlig
Bygge-
omkostninger
= 100
104
103
A
103
B
102
102
101
101
100
100
99
99
2017
2022
Udvikling i pris på bygninger inden reform
Udvikling i pris på bygninger efter reform
2027
2032
2037
2042
2047
2052
2057
Kilde: Egne beregninger foretaget på baggrund af den model, der opstilles i Skatteøkonomisk
Redegørelse 2018, appendiks 4A.
Det relative prisfald på bygninger er imidlertid meget mindre end prisstignin-
gen på grunde, jf. figur 12.
Figur 12. Boligforliget får prisen på bygninger til at falde
Modelberegning af den procentvise forskel på prisen på bygninger med og uden boligforliget
Pct.
0,20
0,00
-0,20
-0,40
-0,60
-0,80
-1,00
-1,20
2017
2022
2027
2032
2037
2042
2047
2052
Kilde: Egne beregninger foretaget på baggrund af den model, der opstilles i Skatteøkonomisk
Redegørelse 2018, appendiks 4A.
Det skyldes ikke kun, at den implicitte skatteændring er meget mindre, og at
den først indtræder senere, men også at det ikke alene er prisen på bygnin-
ger, der tager tilpasningen. På denne måde betyder boligforliget, at en del af
det byggeri, der ellers ville være blevet foretaget i fremtiden,
”aflyses”.
Dette
er også med til at begrænse faldet i prisen på bygninger.
Ændringen i prisen på boliger
Side 20 | 23
FIU, Alm.del - 2018-19 (1. samling) - Bilag 117: Notat om boligforligets betydning for prisen på ejerboliger, fra Folketingets økonomiske konsulent
2038688_0021.png
Af Skatteøkonomisk Redegørelse 2018 fremgår det, at prisændringen på
grunde vægter med 40 pct., samt at prisændringen på bygninger vægter med
60 pct., jf. tabel 4A.3. Af denne grund forudsættes beholdningen af grunde
nedenfor initialt i baseline i 2017 at udgøre 40 pct. af værdien af boligbehold-
ningen på landsplan, mens bygningerne forudsættes at udgøre 60 pct. af
værdien. Med denne forudsætning betyder boligforliget, at den gennemsnit-
lige boligpris på landsplan udgør 6,6 pct. mere i 2021, end den ville have ud-
gjort i grundforløbet, mens den i 2050 vil udgøre knap 11 pct. mere, jf. tabel
7.
Tabel 7. Effekten af boligforliget i en model med fuld forudseenhed
2017
2021
Procentpoint
2050
Ændring i skattesats
A. Grunde
B. Bygninger
Procentvis ændring i prisen på
C. Grunde
D. Bygninger
E. Boliger
15,2
-0,7
5,7
0,00
0,00
-0,02
-0,02
Pct.
-1,11
0,23
18,1
-0,8
6,6
28,0
0,0
10,7
Kilde: Egne beregninger parameterværdier som i tabel 6.
Følsomhedsanalyser
I hovedteksten er der redegjort for, hvorledes et renteniveau på 4,5 pct. er
forholdsvis højt. Nedenfor fremgår resultaterne af et forløb, hvor renten udgør
hhv. 3,5 og 3 pct.
Hvis renten er 3,5 pct. fremfor 4,5 vil prisstigningerne på kort sigt være godt
30 pct. større, mens de på sigt er ca. 20 pct. højere, jf. række F i tabel 8.
Tabel 8. Effekten af boligforliget i en model med rente på 3,5 pct.
2017
2021
Procentpoint
2050
Ændring i skattesats
A. Grunde
B. Bygninger
Procentvis ændring i prisen på
C. Grunde
D. Bygninger
E. Boliger
19,9
-0,7
7,5
0,00
0,00
-0,02
-0,02
Pct.
-1,11
0,23
23,1
-0,9
8,6
33,8
0,0
12,8
Side 21 | 23
FIU, Alm.del - 2018-19 (1. samling) - Bilag 117: Notat om boligforligets betydning for prisen på ejerboliger, fra Folketingets økonomiske konsulent
2038688_0022.png
F. Forhold mellem række E i ta-
bel 7 og denne tabel
32
29
20
Kilde: Egne beregninger, nominel rente 3,5 pct. andre parameterværdier som i tabel 6.
Er renten i stedet 3 pct. bliver prisstigningerne på kort sigt er knap 60 pct.
større, mens de på sigt er godt 30 pct. større, jf. række F i tabel 8.
Tabel 9. Effekten af boligforliget i en model med rente på 3 pct.
2017
2021
Procentpoint
2050
Ændring i skattesats
A. Grunde
B. Bygninger
Procentvis ændring i prisen på
C. Grunde
D. Bygninger
E. Boliger
23,0
-0,8
8,8
0,00
0,00
-0,02
-0,02
Pct.
-1,11
0,23
26,5
-0,9
9,9
37,7
0,0
14,3
F. Forhold mellem række E i ta-
bel 7 og denne tabel
55
49
34
Kilde: Egne beregninger, nominel rente 3 pct. andre parameterværdier som i tabel 6.
I en model med såkaldt perfekt forudseenhed er det særlig forventningerne til
det langsigtede renteniveau, der er afgørende for resultatet. Således opnås
ikke væsentligt anderledes resultater, såfremt renten følger forløbet for den
langsigtede rente i regeringens mellemfristede fremskrivning, dvs. et forløb
hvor renten stiger fra 0,5 pct. i 2017 til 4,5 pct. i 2040, jf. tabel 10.
Tabel 10. Effekten af boligforliget i en model med rente som i den mel-
lemfristede fremskrivning
2017
2021
Procentpoint
2050
Ændring i skattesats
A. Grunde
B. Bygninger
Procentvis ændring i prisen på
C. Grunde
D. Bygninger
E. Boliger
15,9
-0,7
5,9
0,00
0,00
-0,02
-0,02
Pct.
-1,11
0,23
18,6
-0,9
6,8
28,0
0,0
10,6
Side 22 | 23
FIU, Alm.del - 2018-19 (1. samling) - Bilag 117: Notat om boligforligets betydning for prisen på ejerboliger, fra Folketingets økonomiske konsulent
2038688_0023.png
F. Forhold mellem række E i ta-
bel 7 og denne tabel
samt andre parameterværdier som i tabel 6.
5
2
0
Kilde: Egne beregninger, nominel rente svarende til IWBZ i den mellemfristede fremskrivning
Side 23 | 23