Finansudvalget 2018-19 (1. samling)
FIU Alm.del Bilag 117
Offentligt
2038687_0001.png
Notat
: Boligforligets betydning for prisen på ejerboliger
Sammenfatning
Finansudvalget har bedt de økonomiske konsulenter i Folketinget vurdere bo-
ligforligets betydning for priserne på ejerboliger. Boligforliget omfatter aftalen
om et nyt ejendomsvurderingssystem fra den 18. november 2016 samt aftale
om ”Tryghed om boligbeskatningen” fra
den 2. maj 2017.
1
De økonomiske konsulenter vurderer i lighed med andre økonomer, at bolig-
forliget vil mindske prisudsvingene på ejerboliger, når ejerboligmarkedet en-
gang i fremtiden har tilpasset sig de nye boligskatteregler. Det er straks mere
kompliceret at give et skøn over, hvordan forliget påvirker boligpriserne på
vejen derhen. De økonomiske konsulenter har her taget udgangspunkt i
Skatteministeriets analyse i
”Skatteøkonomisk
Redegørelse
2018”.
På landsplan forventer Skatteministeriet ikke, at boligforliget vil få nogen
nævneværdig indflydelse på den gennemsnitlige pris på ejerboliger. En afgø-
rende forudsætning er dog, at befolkningen allerede inden forliget forventede,
at de fremtidige stigninger i grundskyldsbetalingerne ville blive annulleret. At
befolkningen med andre ord forventede et boligforlig. Havde ministeriet i ste-
det forudsat, at befolkningen slet ikke forventede et boligforlig, vurderer de
økonomiske konsulenter
på baggrund af ministeriets modelsetup
at ejer-
boligpriserne på landsplan bliver ca. 6 pct. højere på kortere sigt. Det er i no-
tatet forklaret, hvordan begge forudsætninger udgør et yderpunkt.
Selv om den gennemsnitlige ejerboligpris ikke ændres, forventer Skattemini-
steriet, at prisen på ejerlejligheder i storbyerne i gennemsnit bliver godt 7 pct.
lavere, mens prisen på enfamiliehuse i landkommunerne bliver knap 3 pct.
højere, end de ellers ville have været. Det skyldes, at forliget vil forskyde bo-
ligskatterne i retning af ejerlejligheder i byerne og omvendt væk fra enfamilie-
huse i landkommunerne. Skatteministeriet har imidlertid valgt at foretage be-
regningerne af priseffekterne med udgangspunkt i et forholdsvis højt renteni-
veau på 4,5 pct. (inklusive bidragssatser). Det fører isoleret set til, at ministe-
riet kommer til at undervurdere såvel prisfald som prisstigninger.
Endelig viser de økonomiske konsulenter, hvordan selve introduktionen af
helt nye ejendomsvurderingsprincipper kan få stor betydning for prisen på
den enkelte bolig. Det skaber usikkerhed om, hvornår boligpristilpasningen vil
ske.
1. april 2019
Det Internationale
Sekretariat
Kontaktperson
Kathrine Lange
(3323)
Økonomisk
chefkonsulent
1
Begge forlig er indgået mellem regeringen (Venstre, Liberal Alliance og Det Konservative Fol-
keparti), Socialdemokratiet, Dansk Folkeparti og Radikale Venstre. Jf. også bilag 1 for en præ-
cisering af bestillingen.
Side 1 | 13
FIU, Alm.del - 2018-19 (1. samling) - Bilag 117: Notat om boligforligets betydning for prisen på ejerboliger, fra Folketingets økonomiske konsulent
2038687_0002.png
Baggrund, afgrænsning og gangen i notatet
I dette notat vil de økonomiske konsulenter vurdere boligskatteforligets betyd-
ning for udviklingen i priserne på ejerboliger. Boligskatteforliget blev indgået
mellem regeringspartierne og Socialdemokratiet, Dansk Folkeparti og Radi-
kale Venstre. Forliget består af to aftaler om henholdsvis et nyt ejendomsvur-
deringssystem fra den 18. november 2016 og
om ”Tryghed om boligbeskat-
ningen” fra
den 2. maj 2017.
Boligskatteforliget indebærer således både nye ejendomsvurderinger og nye
boligskattesatser. Samtidig indfører forliget skatterabatter og en række inde-
frysningsordninger, jf. bilag 3. Af forenklingshensyn vil de økonomiske konsu-
lenter nedenfor alene fokusere på, hvordan de nye vurderinger og de nye
skattesatser påvirker boligprisen. Dermed ses her bort fra skatterabatter og
indefrysningsordninger, der som udgangspunkt ikke påvirker den samlede
skattebetaling for nye boligkøbere fra 2021 og dermed heller ikke boligprisen
på længere sigt
i
.
Men hvad betyder alt dette for prisudviklingen på ejerboliger?
Der er ingen tvivl om, at boligskatterne påvirker prisen på ejerboliger: Sætter
man skatten på ejerboliger ned, bliver det
alt andet lige
billigere at sidde i
en ejerbolig. Derfor vil boligkøberne
alt andet lige
være villige til at give
lidt mere for boligen, hvormed boligprisen bliver højere, end den ellers ville
have været
ii
.
Det er imidlertid vanskeligt at sætte et præcist tal på priseffekten. Det skyldes
ikke mindst, at prisdannelsen på boligmarkedet er kompliceret, fordi prisen
ikke bare afhænger af renten på boliglån og boligskatterne, men også af for-
ventningerne til fremtiden.
De økonomiske konsulenter har kun fundet ét studie, der kvantificerer effek-
ten af boligskattereformens indvirkning på
den samlede pris på ejerboliger på
landsplan:
Kapitel 4 i
”Skatteøkonomisk
Redegørelse 2018”. Notatet tager
udgangspunkt i denne analyse, idet Finansudvalget har bedt de økonomiske
konsulenter lægge særlig vægt på at evaluere forudsætningerne bag Skatte-
ministeriets beregninger, jf. bilag 1.
Den 20. marts 2019 er Nationalbanken dog udkommet med en analyse, der
kvantificerer priseffekten på hhv. enfamiliehuse og ejerlejligheder på lands-
plan
men altså ikke den samlede priseffekt på ejerboliger. Nationalbankens
resultater afviger ikke væsentligt fra Skatteministeriets, hvilket bl.a. hænger
sammen med, at Nationalbanken trækker på 2017-tal fra Skatteministeriet,
samt at der
helt
overordnet er tale om samme tilgang, jf. bilag 4. Af fremstil-
lingsmæssige hensyn vil dette notat tage udgangspunkt i Skatteministeriets
Side 2 | 13
FIU, Alm.del - 2018-19 (1. samling) - Bilag 117: Notat om boligforligets betydning for prisen på ejerboliger, fra Folketingets økonomiske konsulent
2038687_0003.png
analyse, idet Nationalbankens analyse kommenteres mere detaljeret i bilag
4. Endelig skal det nævnes, at Arbejdernes Landsbank og Nordea også har
vurderet priseffekten på kommunalt niveau. Disse analyser kommenteres i bi-
lag 5.
Gangen i notatet
Nedenfor forklares først, hvordan boligskatteforliget vil have en stabiliserende
virkning på boligprisen på længere sigt, når ejerboligmarkedet har tilpasset
sig til de nye skatteregler.
Derefter vil de økonomiske konsulenter vurdere den kvantitative effekt på bo-
ligpriserne på kortere sigt og redegøre for de centrale forudsætninger. Først
skitseres effekten på boligprisen på landsplan. Dernæst beskrives effekten
på den gennemsnitlige pris på tværs af de forskellige boligsegmenter, såsom
eksempelvis ejerlejligheder og enfamiliehuse. Til sidst forklares det, hvorfor
prispåvirkningen af den enkelte bolig kan blive meget anderledes end den
gennemsnitlige påvirkning.
På lang sigt har boligforliget en stabiliserende virkning på priserne
Det Økonomiske Råd og Nationalbanken
iii
er enige med regeringen i, at bo-
ligforliget vil stabilisere prisudviklingen
altså mindske prisudsvingene
boligmarkedet, når markedet engang har tilpasset sig ændringerne. Det hæn-
ger sammen med, at boligforliget både ophæver et såkaldt ejendomsværdi-
skattestop og en regel, der har begrænset stigningerne i grundskyldsbetalin-
gen, jf. bilag 2 og 3 samt figur 1.
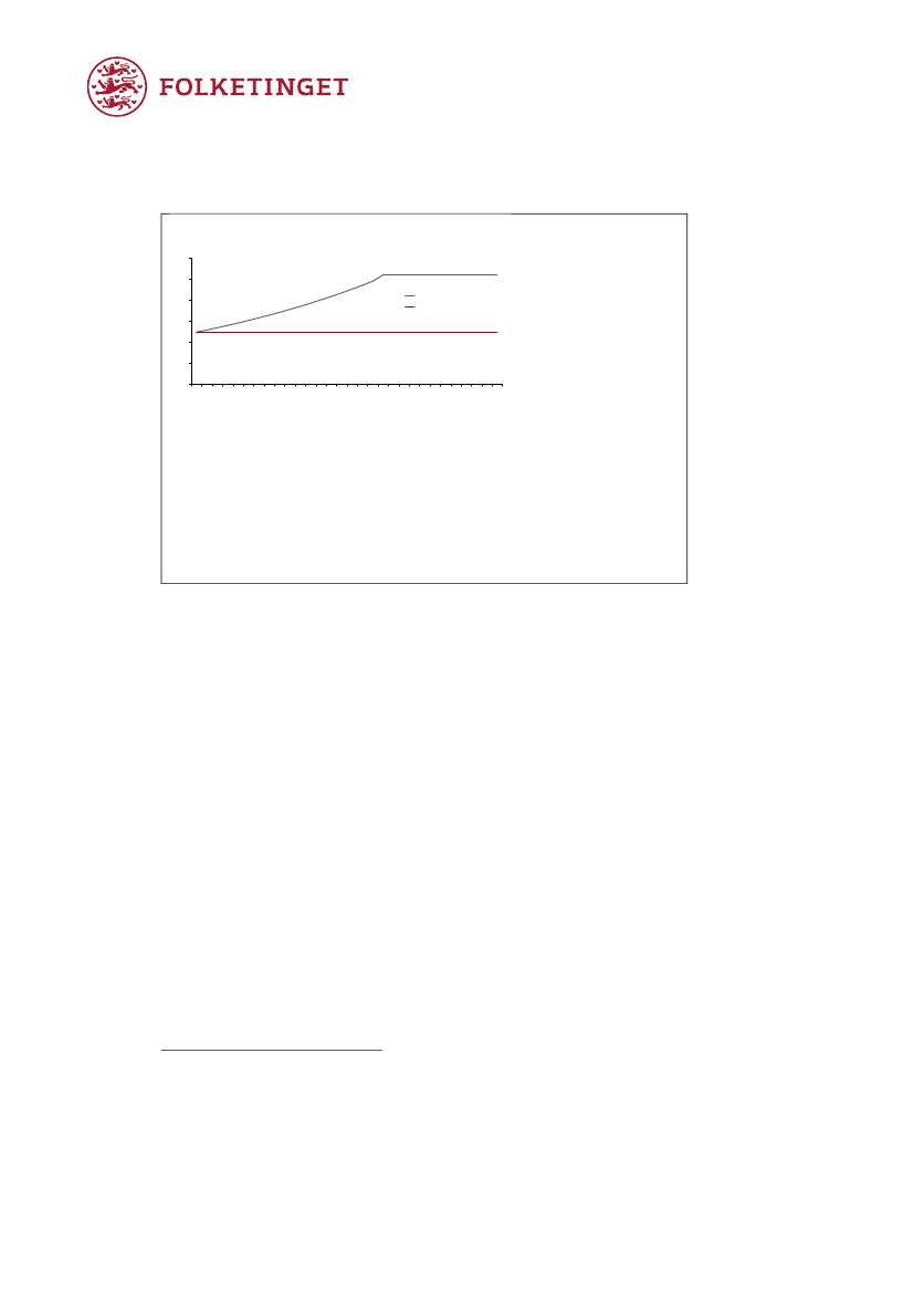
Figur 1. Boligforliget vil på sigt mindske prisudsvingene på boliger
Illustration af boligforligets påvirkning af udsvingene i boligpriserne på sigt
Boligprisindeks
Afkoblede boligskatter, der ikke ændres, når
boligprisen ændres.
Boligforliget
Tid
Kilde: Skatteøkonomisk Redegørelse 2018, Figur 4.6.
Side 3 | 13
FIU, Alm.del - 2018-19 (1. samling) - Bilag 117: Notat om boligforligets betydning for prisen på ejerboliger, fra Folketingets økonomiske konsulent
2038687_0004.png
Med de nye skatteregler vil stigende boligpriser mere entydigt resultere i hø-
jere boligskatter i kroner og øre. Derfor vil boligkøberne ikke give helt så me-
get for boligen, hvilket lægger en dæmper på boligprisstigningerne. Omvendt
vil faldende boligpriser give anledning til lavere boligskatter, hvilket dæmper
et boligprisfald, jf. figur 1.
Hvordan beregner man den kvantitative effekt på boligpriserne?
Når man skal bedømme den kvantitative effekt, som boligforliget har på ejer-
boligpriserne, må man opstille en række forudsætninger. Derfor opstiller
Skatteministeriet i
”Skatteøkonomisk Redegørelse 2018”
en såkaldt boligom-
kostningsmodel.
Boligomkostningen er betegnelsen for de samlede omkostninger, der er ved
at eje og benytte en bolig i en given periode. Omkostningerne afhænger ikke
bare af de oplysninger, der fremgår af salgsopstillingen. Det vil eksempelvis
sige boligprisen, renteudgifterne efter skat og boligskatterne. Boligomkostnin-
gerne afhænger også af boligejerens forventninger til fremtiden: Hvis en kom-
mende boligejer forventer, at boligen stiger i værdi i fremtiden, vil hun være
villig til at betale lidt mere her og nu.
Figur 2: Illustration af boligomkostningsmodellen
Tankegangen bag Skatteministeriets boligomkostningsmodel er helt grund-
læggende, at det tager tid at bygge flere boliger, og at det ofte slet ikke er
muligt at skaffe flere byggegrunde. Endvidere forudsætter Skatteministeriet,
at de danske boligejere
på forhånd
har fastlagt, hvor mange penge de vil
bruge på deres boligforbrug. Alt dette betyder, at boligprisen må falde tilsva-
rende, når boligskatterne stiger, så de samlede boligomkostninger er uæn-
drede.
iv
Skatteministeriet: Boligforliget har ingen væsentlig indflydelse på pri-
sen på ejerboliger på landsplan
Skatteministeriet forventer ikke, at boligforliget vil have nogen væsentlig ind-
virkning på udviklingen i den gennemsnitlige pris på ejerboliger på lands-
plan
v
, jf. tabel 1.
Side 4 | 13
FIU, Alm.del - 2018-19 (1. samling) - Bilag 117: Notat om boligforligets betydning for prisen på ejerboliger, fra Folketingets økonomiske konsulent
2038687_0005.png
Tabel 1. Skatteministeriet om ændringen af boligprisen på landsplan
Procentvis ændring
Samlet effekt på ejerboligpris fra boligforlig
2017-2021
0
2017-2040
0
Kilde: Skatteøkonomisk Redegørelse 2018 side tabel 4.1. side 117. Inklusive sommerhuse.
Det hænger sammen med, at forliget
som udgangspunkt
vi
fastholder bo-
ligskatteindtægterne på niveauet i 2021: Selvom de nye ejendomsvurderinger
formentlig vil være højere end de nuværende, vil forliget ikke påvirke de sam-
lede boligskatteindtægter i 2021. Det skyldes, at aftaleparterne er enige om
at nedsætte de nye formelle skattesatser tilsvarende, jf. også bilag 3 samt
den røde linje i figur 3 nedenfor. Den røde linje illustrerer den fremtidige ud-
vikling i provenuet, når der ses bort fra udviklingen i udgifter til særlige inde-
frysningsordninger og skatterabatter, der ikke påvirker prisdannelsen.
Figur 3. Boligforliget lemper beskatningen af ejerboliger
Ejendomsskatter fra ejerboliger med og uden de nye skattesatser i "Aftale om tryghed om
boligbeskatningen)
Mia. kr.
(2019-niveau)
45
40
35
30
25
20
Nye vurderinger og gældende regler (Uden aftale om "Tryghed om
boligbeskatningen")
15
10
5
0
2015
Boligforliget eksklusive udviklingen i skatterabatter og indefrysningsordninger,
der som udgangspunkt ikke påvirker boligprisen
Hele boligforliget inklusive skatterabatter og indefrysningsordninger
2020
2025
2030
2035
2040
2045
2050
2055
2060
Kilde: Egne beregninger på baggrund af Økonomisk Redegørelse, december 2018 samt
Skatteøkonomisk Redegørelse 2018, Figur 4.2.
Skatteministeriets resultat kan umiddelbart forekomme kontraintuitivt, set i ly-
set af at ministeriet samtidig viser, at boligforliget godt nok sigter mod at fast-
holde boligskatteindtægterne i 2021 (når der ses bort fra skatterabatter og in-
defrysningsordninger), men samtidig nedsætter dem i perioden efter 2021, jf.
forskellen på den grå og den blå linje i figur 3 ovenfor
2
, jf. også boks 1 og bi-
lag 3.
2
På kort sigt skyldes forskellen på provenuet før og efter boligforliget (den grå og blå linje) ho-
vedsagelig skatterabatter og indefrysningsordninger. Ordninger, der ikke sætter sig i boligpri-
sen. På længere sigt dækker forskellen imidlertid snarere over, at boligforliget annullerer fremti-
dige stigninger i grundskylden, en skat der i høj grad sætter sig i boligprisen. Når provenuet fra
hele boligforliget, den blå linje, på langt sigt overstiger den røde, skyldes det udfasningen af
den særlige 98-skatterabat, der bliver tildelt ejerboliger, der er erhvervet før den 1. juli 1998.
Side 5 | 13
FIU, Alm.del - 2018-19 (1. samling) - Bilag 117: Notat om boligforligets betydning for prisen på ejerboliger, fra Folketingets økonomiske konsulent
2038687_0006.png
Faktaboks 1. På trods af skattestoppet ville boligskatterne være steget
Ejerboliger er pålagt to former for ejendomsskatter: Ejendomsværdiskat, der er en
skat på hele ejendomsværdien, og grundskyld, der alene beskatter grundværdien,
jf. også bilag 2.
Med det såkaldte ejendomsværdiskattestop har ejendomsværdiskatten reelt været
fikseret til det niveau, skatten havde omkring år 2001. Dermed har prisstigninger på
ejerboliger udhulet ejendomsværdiskattens andel af boligens værdi, jf. den grå linje
i figur 4.
Figur 4. Den effektive ejendomsværdiskat er faldet som følge af skattestop
Den effektive almindelige ejendommsskat som andel af boligens værdi
Pct.
1,0
0,9
0,8
0,7
0,6
0,5
0,4
0,3
0,2
Gælgende regler
Boligforlig
0,1
0,0
2001
2006
2011
2016
2021
2026
2031
2036
2041
2046
Kilde: Aftale om
”Tryghed
om
boligbeskatningen”,
Skatteøkonomisk Redegørelse 2017, Figur 5.2a. samt
fra 2016 egne beregninger under antagelse om boligprisstigninger på 2,8 pct. årligt.
Anm: Den effektive sats svarer til forholdet mellem beskatningsgrundlaget og ejendomsværdien gange
den almindelige formelle ejendomsværdiskat under progressionsgrænsen.
Ved fravær af boligskatteforliget ville denne udvikling være fortsat. Boligforliget be-
tyder imidlertid, at satsen stort set fikseres på 2021-niveau, jf. den røde linje. På
denne måde indebærer boligforliget isoleret set en stigning i ejendomsværdiskat-
ten. I følge de økonomiske konsulenters beregninger skærpes ejendomsværdiskat-
ten med 0,23 pct. over 30 år.
Omvendt har stigningsbegrænsningsreglen i grundskyldsbeskatningen betydet, at
boligejerne har skubbet stigninger i grundskylden ud i fremtiden. Ved fravær af bo-
ligskatteforliget ville grundskyldsbetalingerne have indhentet efterslæbet. På denne
måde ville den gennemsnitlige effektive grundskyldspromille, altså de faktiske beta-
linger i forhold til grundværdien, være steget fra ca. 12,6 promille i 2021 til 26 pro-
mille i ca. 2040
vii
, jf. den grå linje i figur 5.
Fortsættelse af faktaboks 1 næste side
Side 6 | 13
FIU, Alm.del - 2018-19 (1. samling) - Bilag 117: Notat om boligforligets betydning for prisen på ejerboliger, fra Folketingets økonomiske konsulent
2038687_0007.png
Figur 5. Uden boligforliget vil grundskylden stige
Den effektive gennemsnitlige grundskyldspromille
Promille
30
25
20
15
10
5
0
2021
2026
2031
2036
2041
2046
Kilde: Aftale om
”Tryghed
om
boligbeskatningen”
samt egne beregninger under forudsætning af, at
grundskyldsbetalingen stiger med 7 pct. årligt, og at grundværdierne stiger med 2,8 pct. årligt.
Anm: Den effektive grundskyldspromille udgør den faktiske grundskyld opgjort i forhold til
grundværdierne.
Gældende regler
Boligforliget
Med boligforliget fastholdes satsen på 2021-niveau, jf. den røde linje i figur 5. Der-
for medfører boligforliget en nedsættelse af de fremtidige grundskyldsbetalinger.
Skatteministeriet vurderer, at stigningen i grundskylden vil overtrumfe faldet i ejen-
domsværdiskatten på landsplan, og at de samlede boligskatter dermed ville være
steget efter 2021 under de gamle regler, jf. den grå linje i figur 3.
Det er i den sammenhæng vigtigt at bemærke, at boligprisen ikke bare af-
hænger af skatten her og nu, men også af forventningerne til prisstigninger
på ejerboliger i fremtiden, jf. figur 2. Sættes de fremtidige boligskatter ned, vil
de fremtidige boligpriser stige. Hvis befolkningen gennemskuer det, vil det få
boligprisen til at stige her og nu.
viii
Skatteministeriet skriver imidlertid, at ministeriet i analysen af priseffekterne
forudsætter, at de danske boligejere ikke forventede, at de grundskyldsbeta-
linger, der ellers ville være kommet med gældende regler, faktisk ville være
blevet realiseret.
ix
En tilgang der også anvendes af Nationalbanken og Arbej-
dernes Landsbank, jf. bilag 4 og 5. Det kan oversættes til en antagelse om, at
boligejerne allerede inden boligforliget forventede et politisk indgreb og en re-
form af boligskatterne, som på makroplan ville fiksere de effektive boligskat-
ter (de faktiske betalinger i forhold til boligens værdi) på 2021-niveauet.
3
Mini-
steriet begrunder antagelsen med, at der allerede inden reformen havde væ-
ret politiske udmeldinger, der trak i denne retning, og at forløbet svarer til den
udvikling, der implicit lå i regeringens daværende mellemfristede fremskriv-
ning (den fremskrivning, der blandt andet ligger bag Finansministeriets hold-
barhedsberegning).
x
Denne forudsætning leder til, at ministeriet skønner, at
3
I realiteten forudsætter ministeriet, at provenuet uden boligforliget ville være sammenfaldende
med provenuet med boligforliget, når der ses bort fra indefrysningsordninger og skatterabatter,
dvs. den røde linje i figur 3. Den røde linje svarer til de boligskatteindtægter, der indgik i rege-
ringens daværende mellemfristede fremskrivning
den fremskrivning, der danner udgangs-
punkt for regeringens vurdering af bl.a. den finanspolitiske holdbarhed.
Side 7 | 13
FIU, Alm.del - 2018-19 (1. samling) - Bilag 117: Notat om boligforligets betydning for prisen på ejerboliger, fra Folketingets økonomiske konsulent
2038687_0008.png
boligforliget ikke vil have nogen væsentlig indvirkning på udviklingen i den
gennemsnitlige pris på ejerboliger på landsplan, jf. tabel 1.
Skatteministeriet skriver imidlertid i Skatteøkonomisk Redegørelse 2018, at
et alternativt udgangspunkt kunne have været en forudsætning om, at befolk-
ningen forventede, at de gamle regler blev realiseret, og at vurderingerne un-
der alle omstændigheder var fulgt med den generelle prisudvikling (lidt groft
sagt: at gældende regler var gældende regler). Det betyder, at provenuet ved
fravær af boligforliget ville have fulgt den grå linje i figur 3. De økonomiske
konsulenter anslår, at ministeriet da ville være kommet frem til, at boligskatte-
forliget
isoleret set
har forøget boligpriserne med godt 6 pct. frem mod 2021
og godt 10 pct. på sigt
xi
, jf. tabel 2.
Tabel 2. Priseffekt inklusive effekt af annullerede grundskyldsstigninger
Procentvis ændring
Samlet effekt på ejerboligpris fra boligforlig
2017-2021
6,6
På sigt
10,7
Kilde: Egne beregninger foretaget med udgangspunkt i Skatteministeriets modelsetup, jf. bilag 6,
tabel 7.
Det skal understreges, at skønnet for priseffekten fra 2017 til 2021 i tabel 2
også udgør et yderpunkt. Det skyldes, at beregningen bl.a. forudsætter, at
fremtidige boligkøbere fuldstændigt havde gennemskuet skattereglerne såvel
før som efter boligforliget, og at befolkningen slet ikke vægtede de ovenfor
skitserede politiske udmeldinger om et snarligt boligforlig
xii
.
Der er derimod større sikkerhed om den fremtidige effekt: Uagtet befolknin-
gens forventninger vil annulleringen af grundskyldsstigningerne lede til, at bo-
ligpriserne på sigt bliver højere, end de ville have været uden boligforliget.
Boligpriseffekten er større på tværs af boligsegmenter
Skatteministeriets vurdering af, at boligforliget ikke vil have nogen væsentlig
indvirkning på udviklingen i den gennemsnitlige pris på ejerboliger på lands-
plan, dækker over væsentlige forskydninger mellem de forskellige boligseg-
menter. Således vurderer Skatteministeriet, at forliget har en negativ indvirk-
ning på prisen på ejerlejligheder, der på landsplan forventes at falde med 5,8
pct., mens forliget påvirker prisen på enfamiliehuse i opadgående retning, jf.
figur 6.
Side 8 | 13
FIU, Alm.del - 2018-19 (1. samling) - Bilag 117: Notat om boligforligets betydning for prisen på ejerboliger, fra Folketingets økonomiske konsulent
2038687_0009.png
Figur 6. Nogle boliger stiger, mens andre falder i værdi
Skatteministeriets vurdering af den procentvise forskel på boligprisen med boligforliget
i forhold til prisen uden boligforliget
Pct.
4
2
0
-2
-4
-6
-8
Storbykommuner
Bykommuner
Landkommuner
Hele landet
Enfamiliehuse
Ejerlejligheder
Kilde: Egne beregninger foretaget på baggrund af Skatteøkonomisk Redegørelse 2018, Tabel 4.2.
Anm: Den procentvise forskel på den gennemsnitlige boligpris i det enkelte boligsegment med bolig-
forliget i forhold til den gennemsnitlige pris uden boligforliget.
Forklaringen på forskellen på indvirkningen på ejerlejligheder kontra enfami-
liehuse er den, at Skatteministeriet i
”Skatteøkonomisk Redegørelse 2018”,
vurderer, at de gamle ejendomsvurderinger systematisk undervurderede
grundværdien af etageejendomme. De nye vurderinger vil derfor
alt andet
lige
forskyde grundskyldsbetalingerne fra enfamiliehuse til ejerlejligheder.
Skatteministeriet pointerer, at den negative påvirkning af prisen på ejerlejlig-
heder ikke behøver at medføre et egentlig prisfald. Det skyldes, at priserne
ved fravær af boligforliget ville stige som følge af den almindelige prisudvik-
ling (inflation) og indkomstfremgang. Den negative påvirkning betyder såle-
des, at priserne på ejerlejligheder ikke vil stige lige så meget, som de ellers
ville have gjort.
Den positive indvirkning på priserne på enfamiliehuse i særlig landkommuner
skyldes ikke bare forskydningen af grundskyldsbetalingerne, men også op-
hævelsen af ejendomsværdiskattestoppet: Ejendomsværdiskattestoppets fik-
sering af boligskatterne på 2001-niveau har været særligt gunstig for boliger i
de dele af landet, der har oplevet de største prisstigninger: Dvs. typisk ejen-
domme i de større byer. Omvendt har ejendomme i landkommuner typisk
ikke kunne drage så stor fordel af 2001-fikseringen. Med boligforliget fordeles
ejendomsværdiskatten
igen
mere ligeligt i forhold til ejendomsvurderin-
gen, hvilket på et helt overordnet plan typisk vil forskyde ejendomsværdiskat-
ten fra land til by.
Side 9 | 13
FIU, Alm.del - 2018-19 (1. samling) - Bilag 117: Notat om boligforligets betydning for prisen på ejerboliger, fra Folketingets økonomiske konsulent
2038687_0010.png
Priseffekterne kan blive større
De økonomiske konsulenter vil gerne pointere, at det er overordentlig van-
skeligt at kvantificere effekten af boligskatteforliget. Det hænger ikke mindst
sammen med, at effekten af boligskatteforliget afhænger af en række forhold,
herunder ikke mindst forventningerne til det langsigtede renteniveau.
Skatteministeriet skønner, at den gennemsnitlige boligkøbers effektive nomi-
nelle forrentning af boliglån
inklusive bidragssatser
udgør 4,5 pct. Skatte-
ministeriet angiver, at det svarer til den langsigtede rente i den mellemfri-
stede fremskrivning
dvs. renten på 10-årige statsobligationer i 2040.
De økonomiske konsulenter vurderer, at dette renteniveau er forholdsvis højt
sat. Ikke blot i forhold til det aktuelle renteniveau, men også i forhold til for-
ventningerne om det fremtidige langsigtede renteniveau
xiii
. Ifølge National-
banken er renterne på danskernes boliglån således faldet fra en gennemsnit-
lig rente inkl. bidrag på ca. 6 pct. i 2008 til under 2,2 pct. i august 2018. Den
effektive rente inkl. bidrag på danskernes lange boliglån udgør i dag 2,8
pct.
xiv
Skatteministeriet foretager da også en såkaldt følsomhedsanalyse, hvor ef-
fekten af et lavere renteniveau undersøges. Følsomhedsanalysen viser, at
priseffekterne på kort sigt bliver ca. 20 pct. større, såfremt renten alternativt
var 3,5 pct. De økonomiske konsulenter finder, at en renteforudsætning på 3
pct.
isoleret set
ville have ledt til priseffekter, der er godt 30 pct. større
end dem, Skatteministeriet finder. Det betyder, at prisen på enfamiliehuse på
landsplan vil stige med ca. 1 pct. fremfor de 0,8 pct., som Skatteministeriet
kommer frem til, mens prisen på ejerlejligheder på landsplan vil falde med 7,5
pct. frem for 5,8 pct. (beregningerne er alene illustrative), jf. faktaboks 2.
Faktaboks. 2. Renteniveauet har stor betydning for boligpriseffekten
Hvis boligejerne stort set ikke betaler renter på deres boliglån, vil det have en rela-
tivt stor effekt på boligprisen, såfremt boligskatten reduceres med 1 procentpoint:
Hvis renten er lav, vil den højere boligpris ikke lede til en nævneværdig ændring i
renteudgifterne: På denne måde vil boligkøberen alt andet lige være villig til at gå
endnu mere op i pris som følge en skattelettelse, hvis renten er lav.
De økonomiske konsulenter har ikke mulighed for at foretage en egentlig analyse
af renteniveauets betydning for effekten for de enkelte segmenter. Effekten af at
ændre renteniveauet kan imidlertid illustreres ved hjælp af ændringerne i de så-
kaldte semielasticiter, jf. tabel 3. Af tabel 3 fremgår det, at den kortsigtede prisef-
fekt bliver 29 pct. større på kort sigt og 36 pct. større på langt sigt, når beregningen
foretages på baggrund af en rente på 3 pct. frem for en rente på 4,5 pct.
Fakataboksen fortsættes næste side
Side 10 | 13
FIU, Alm.del - 2018-19 (1. samling) - Bilag 117: Notat om boligforligets betydning for prisen på ejerboliger, fra Folketingets økonomiske konsulent
2038687_0011.png
Tabel 3. Boligprisens følsomhed overfor ændring i skattesatsen
Semielasticitet
Kort sigt
A. Rente på 4,5 pct.
1)
B. Rente på 3,5 pct.
1)
C. Rente på 3 pct.
2)
-19
-23
-25
Lang sigt
-10
-13
-14
19
29
25
36
Procentvis ændring i semi-
elasticitet i forhold til A
Lang
Kort sigt
sigt
Kilde: 1) Skatteøkonomisk Redegørelse 2018, 2) Egne beregninger.
Der vil være store afvigelser fra den gennemsnitlige prispåvirkning
Når man vurderer effekten af boligforliget, skal man passe på ikke alene at
fokusere på den gennemsnitlige ændring: Omfanget og størrelsen af afvigel-
serne fra de gennemsnitlige ændringer er også vigtige. Det hænger netop
sammen med, at boligskattereformen jo også introducerer nye ejendomsvur-
deringer.
Usikkerheden omkring udfaldet af den enkelte ejendomsvurdering afspejler
sig i den vurderingsnorm, som den nye ejendomsvurderingslov introducerer.
Vurderingsnormen
betyder, at den offentlige vurdering alene vil være ”for-
kert”, såfremt den afviger med
mere end plus/minus 20 pct. fra handelspri-
sen, jf. faktaboks 3.
Faktaboks 3. Den nye vurderingsnorm
Tanken bag den nye vurderingsnorm er den, at de nye ejendomsvurderinger bør
udgøre en så præcis tilnærmelse til en forventelig handelsværdi som muligt. Samti-
dig konstateres det dog, at der selv med et nyt og moderne vurderingssystem fort-
sat vil være en naturlig usikkerhed knyttet til fastsættelsen af værdien af både ejen-
domme og grunde. En ejendom har således ikke én ’sand’ eller ’rigtig’ handels-
værdi. Forskellige købere vil være villige til at betale forskellige priser for den
samme ejendom, mens sælgere vil have forskellige krav og forventninger til, hvad
en ’god’ handelspris er.
Skatteministeriet anfører, at der givet denne naturlige usikkerhed og nødvendighe-
den af at skabe en klar lovmæssig ramme om vurderingerne er et behov for, at de
nye vurderinger kan udarbejdes inden for et vist spænd. Dette har ledt til introduk-
tion af begrebet ”vurderingsnormen”. Ifølge bemærkningerne til den nye ejendoms-
vurderingslov er det hensigten at administrere den foreslåede vurderingsnorm så-
dan, at et spænd på plus/minus 20 pct. fra handelsprisen accepteres.
Kilde:
”Nye og mere retvisende vurderinger” Skatteministeriet 2016 samt bemærkninger til den
nye ejendomsvurderingslov.
Side 11 | 13
FIU, Alm.del - 2018-19 (1. samling) - Bilag 117: Notat om boligforligets betydning for prisen på ejerboliger, fra Folketingets økonomiske konsulent
2038687_0012.png
Den nye vurderingsnorm afspejler, at beskatningsgrundlaget
og dermed
boligskatterne
for enkelte boligejere kan stige med op til 50 pct. alene som
følge af introduktionen af den nye ejendomsvurdering. Det skyldes, at vurde-
ringsnormen kan medføre, at en boligs værdi kan antage 80 eller 120 pct. af
”den egentlige handelspris”
uden dermed at være forkert.
xv
Bliver den nye offentlige ejendomsvurdering (tilfældigvis) 50 pct. højere
(alene som følge af, at vurderingsmyndigheden tilfældigt vurderer boligen an-
derledes i forhold til gennemsnittet), vil det øge den boligskat, en kommende
boligejer skal betale for den specifikke bolig. Det betyder, at prispåvirkningen
af den enkelte bolig kan blive meget anderledes end den gennemsnitlige
prispåvirkning inden for segmentet. Det bemærkes, at det såkaldte forsigtig-
hedsprincip ikke ændrer ved dette, jf. fodnote.
4
Usikkerheden om udfaldet af vurderingerne betyder, at man strengt taget ikke
ved, hvor stor en andel af de mulige prisændringer, der allerede er indtruffet
på nuværende tidspunkt. Dette gælder også, selv om alle danskere allerede
skulle have gennemskuet reformen og dens betydning.
Usikkerheden hænger sammen med, at den nuværende tidsplan betyder, at
Folketinget skal fastsætte de nye skatteregler uden at kende det faktiske
grundlag. De nye ejerboligskattesatser skal således træde i kraft 2021, mens
de nye ejendomsvurderinger først udsendes fra juli 2020. Ifølge aftaleteksten
skal Folketinget
som udgangspunkt
fastsætte satserne, så boligforliget
ikke leder til flere boligskatteindtægter. Hvis satserne fastsættes, inden man
kender det egentlige skattegrundlag, er der imidlertid en risiko for, at satserne
fastsættes for højt. Dermed vil de faktiske boligskatteindtægter blive højere
end forventet, hvormed en såkaldt tilbageførselsklausul i aftaleteksten aktive-
res
5
. Det betyder, at boligskatterne igen skal ændres.
Sammenfatning
I dette notat er det med udgangspunkt i Skatteministeriets analyse i
”Skatte-
økonomisk Redegørelse 2018” forklaret, hvordan boligforliget i hvert fald på
længere sigt vil forøge prisen på ejerboliger på landsplan. Der er imidlertid
4
Når det såkaldte forsigtighedsprincip, hvorefter det alene er 80 pct. af værdien af alle ejerboli-
ger, der beskattes, ikke ændrer ved dette, skyldes det, at forsigtighedsprincippet ikke påvirker
de effektive skattesatser, idet den formelle sats i 2021 blot reguleres tilsvarende opad. Det er i
den sammenhæng vigtigt at være opmærksom på, at de såkaldte skatterabatter, der følger
med boligforliget, i høj grad sikrer, at de nuværende boligejeres rådighedsbeløb (dvs. den di-
sponible indkomst fratrukket de løbende boligomkostninger) ikke påvirkes af boligforliget. Såle-
des vil skattestigningen ”alene” sætte sig i boligens pris.
jf. punkt 5 ”Tilbageførsel
af merprovenu ud over det forudsatte”
i aftaleteksten ”Tryghed om bo-
ligbeskatningen”.
5
Side 12 | 13
FIU, Alm.del - 2018-19 (1. samling) - Bilag 117: Notat om boligforligets betydning for prisen på ejerboliger, fra Folketingets økonomiske konsulent
2038687_0013.png
stor forskel på påvirkningen af de forskellige boligsegmenter; således vil pri-
sen på ejerlejligheder i storbykommuner blive reduceret, såfremt de nye vur-
deringer viser, at grundene under ejerlejlighederne historisk set har været un-
dervurderet. Endvidere er der argumenteret for, at påvirkningen af prisen på
den enkelte bolig inden for de enkelte segmenter kan variere meget fra den
gennemsnitlige påvirkning af segmentet.
Det er også forklaret, hvorledes det langsigtede renteniveau og boligkøber-
nes forventninger til de fremtidige skatter har afgørende betydning for effek-
ten af boligforliget på boligpriserne.
Kilder:
Arbejdernes Landsbank: ”Kig dig godt for: Her rammer de nye boligskatter”,
januar 2019.
Danmarks Nationalbank, ”Aftale om boligskat stabiliserer boligpriser”, 12.
september 2017
Danmarks Nationalbank, ”Ti års rentefald på boliglån”, august 2018
Danmarks Nationalbank, ”Boligskatteaftalens effekt på boligpriserne”, marts
2019
Danmarks Statistik, ”ADAM – en model af dansk økonomi”, 2012
Regeringen, Aftale om ”Tryghed om boligbeskatningen”, 2. maj 2017
Regeringen, L 115 Forslag til lov om ændring af ejendomsvurderingsloven og
forskellige
andre love”, 20. november 2018.
Regeringen, L 211 Forslag til ejendomsvurderingsloven”, 3. maj 2017
Skatteministeriet, ”Skatteøkonomisk Redegørelse 2017”, 2017
Skatteministeriet, ”Skatteøkonomisk Redegørelse 2018”, 2018
Skatteministeriet, Nye og mere retvisende
vurderinger”, 2016
Dette dokument er udarbejdet af Folketingets Administration til brug for med-
lemmer af Folketinget. Efter ønske fra Folketingets Præsidium understøtter
Folketingets Administration det parlamentariske arbejde i Folketinget, herun-
der lovgivningsarbejdet og den parlamentariske kontrol med regeringen ved at
yde upartisk faglig bistand til medlemmerne. Faglige noter udarbejdet af Fol-
ketingets Administration er i udgangspunktet offentligt tilgængelige.
i
Skatterabatten gælder alene boligejere, der har købt deres bolig senest 31. december 2020. Li-
geledes påvirker indefrysningsordningerne fra 2021 og frem i princippet heller ikke nutidsvær-
dien af kommende boligkøberes skattebetaling og dermed heller ikke boligprisen. I publikatio-
nen
”Aftale om boligskat stabiliserer boligpriser”, Danmarks Nationalbank,
er det dog forklaret,
hvorledes skatterabatten kan have indflydelse på, hvornår pristilpasningerne foretages herun-
der lede til, at prisen på nogle boliger falder fra 2020 til i 2021.
Side 13 | 13
FIU, Alm.del - 2018-19 (1. samling) - Bilag 117: Notat om boligforligets betydning for prisen på ejerboliger, fra Folketingets økonomiske konsulent
2038687_0014.png
ii
Idet notatet alene omhandler ejerboliger, refererer
”bolig” i det følgende til ejerboliger.
Jf. Dansk Økonomi Forår 2017, Det Økonomiske Råd samt ”Aftale om boligskat stabiliserer bo-
ligpriser”, Danmarks Nationalbank.
Modelspecifikationen i Skatteøkonomisk Redegørelse 2018, der fremgår af bilag 6, betyder, at
det i første omgang er boligernes pris, som reagerer på en ændring af skattereglerne, mens
skatteændringer på sigt også får indflydelse på beholdningen af bygninger. Dette udgør et helt
standard analysesetup, jf. eksempelvis
Danmarks Nationalbank, ”Aftale om boligskat stabilise-
rer boligpriser”, 12. september 2017.
Modelsetuppet gør det muligt
som her
at analysere
skatteændringer i en såkaldt partiel ligevægtsmodel.
De økonomiske konsulenter har kun fundet et enkelt parlamentarisk dokument, der omhandler
effekten på boligpriserne. I svar på SAU nr. 21 af 11. oktober 2016 fremgår det således, at
Skatteministeriet også i 2016 vurderede, at det daværende boligudspil ville have en omtrent
neutral effekt på boligpriserne for ejerboliger under ét opgjort på landsplan.
Boligforliget indebærer dog en marginal lempelse af ejendomsværdiskatten i forhold til ni-
veauet i 2021. Således nedsættes den almindelige ejendomsværdiskattesats under progressi-
onsgrænsen med 0,02 procentpoint, hvilket kun delvis opvejes af en skærpelse af beskatnin-
gen over progressionsgrænsen. Lempelsen på 0,02 procentpoint er indarbejdet i figurer og be-
regninger. Der er derimod set bort fra den marginale skærpelse af den progressive ejendoms-
værdiskattesats, jf. boks 6.1. i Skatteøkonomisk Redegørelse 2017.
Af ”Skatteøkonomisk Redegørelse 2017” side 151 fremgår det, at den effektive grundskylds-
promille i 2021 med de nye
vurderinger udgør 12,6 promille. Dette bekræftes igen i ”Skatteøko-
nomisk Redegørelse 2018” side 139. Af ”Skatteøkonomisk Redegørelse 2017” side 149 frem-
går det, at den formelle promille udgør 26 promille.
Såfremt boligkøberne alene fokuserer på den årlige ydelsesudgift ved at sidde i boligen, f.eks.
fordi der er grænser for, hvor mange penge de kan låne i banken, vil forventningerne til fremti-
den ikke have nogen betydning for boligprisen. Det ændrer imidlertid ikke ved, at boligforliget vil
betyde højere boligpriser
de højere boligpriser ville dog først indtræde efter 2021, hvor skatte-
reglerne ændres.
Jf. side 148 i ” Skatteøkonomisk Redegørelse 2018”.
Jf. fodnote side 113 i ” Skatteøkonomisk Redegørelse 2018”.
Danmarks Nationalbank anven-
der en tilsvarende forudsætning. De økonomiske konsulenter mener imidlertid, at regeringens
fremskrivning af boligskatterne i den mellemfristede fremskrivning snarere skal ses som en be-
regningsteknisk antagelse end et egentligt
realistisk
bud på boligkøbernes forventninger til
fremtiden. De økonomiske konsulenter ønsker i den forbindelse at fremhæve, at Skatteministe-
riet selv angiver, at fremskrivningen ikke var konsistent med gældende regler.
Det er vigtigt at fastslå, at dette er en isoleret betragtning. Således har regeringen eksempelvis
også indført nye strammere låneregler for husholdninger med høj gæld, der omvendt alt andet
lige vil reducere prisen på ejerboliger.
Samtidig forudsætter beregningen, at boligkøberne
ikke
er kreditrationerede, dvs. at de kan
låne så mange penge, de ønsker, til den forudsatte rente. Denne forudsætning udgør også et
yderpunkt. Forudsætningen har imidlertid primært betydning for den kortsigtede effekt. Effekten
af boligforliget på boligprisen på lang sigt er derimod med sikkerhed positiv, såfremt der sam-
menlignes med de gamle boligskatteregler.
iii
iv
v
vi
vii
viii
ix
x
xi
xii
xiii
Det er det langsigtede renteniveau, der er det mest afgørende i en model som den, Skattemi-
nisteriet anvender.
Side 14 | 13
FIU, Alm.del - 2018-19 (1. samling) - Bilag 117: Notat om boligforligets betydning for prisen på ejerboliger, fra Folketingets økonomiske konsulent
2038687_0015.png
xiv
Jf. variablen (DNRNUM)
http://nationalbanken.statistikbank.dk.
Det skal dog pointeres, at Dan-
marks Nationalbank i analysen
”Aftale om boligskat stabiliserer boligpriser” samt ”Boligskatteaf-
talens effekt på boligpriserne” anvender en diskonteringsrente på ca. 5 pct., hvilket
stort set
svarer til Skatteministeriets diskonteringsrente, såfremt det effektive rentefradag er 30 pct. og
risikopræmien er 2 pct.
xv
Betragt et teoretisk eksempel, hvor den konstaterede kontante handelspris udgør 100. Med
den ovenfor angivne usikkerhed kan den nuværende gamle ejendomsvurdering udgøre 80
uden dermed at være forkert. Tilsvarende kan den nye ejendomsvurdering udgøre 120
igen
uden dermed at være forkert. Det betyder, at skattegrundlaget vil stige med 50 pct. ved over-
gangen til det nye system: (120-80)/80. Omvendt skal skattemyndigheden så også kunne be-
vise, at vurderingen udgør mindre end 80 pct. af handelsprisen, hvorfor det omvendte også kan
ske. Det vil medføre, at beskatningsgrundlaget falder med en tredjedel (80-120)/120.
Side 15 | 13