Erhvervs-, Vækst- og Eksportudvalget 2018-19 (1. samling)
ERU Alm.del Bilag 237
Offentligt
2058884_0001.png
29. maj 2019
Samlenotat vedrørende rådsmødet (ECOFIN) 14. juni 2019
1) Særordning på momsområdet for små virksomheder
KOM(2018)21
Materialet er udarbejdet af Finansministeriet og Skatteministeriet
2) Fremskridtsrapport om styrkelse af bankunionen
KOM-nummer foreligger ikke
Materialet er udarbejdet af Finansministeriet og Erhvervsministeriet
3) Opfølgning på G20-mødet for finansministre og centralbankchefer 8.-9. juni 2019
KOM-nummer foreligger ikke
Materialet er udarbejdet af Finansministeriet
4) Præsentation af Kommissionens udkast til landespecifikke anbefalinger for 2019
KOM-nummer foreligger ikke
Materialet er udarbejdet af Finansministeriet
5) Ren planet for alle: Strategiske og langsigtede vision for en klimaneutral økonomi
KOM(2018) 773
Materialet er udarbejdet af Finansministeriet
6) Implementering af Stabilitets- og Vækstpagten
KOM-nummer foreligger ikke
Materialet er udarbejdet af Finansministeriet
7) Status for handlingsplan mod hvidvask
KOM-nummer foreligger ikke
Materialet er udarbejdet af Finansministeriet og Erhvervsministeriet
8)
EU’s handlingsplan for misligholdte lån (NPL)
KOM-nummer foreligger ikke
Materialet er udarbejdet af Finansministeriet og Erhvervsministeriet
9) Instrument til fremme af konkurrenceevne og konvergens i eurolandene (BICC)
KOM-nummer foreligger ikke
Materialet er udarbejdet af Finansministeriet
7
2
15
ERU, Alm.del - 2018-19 (1. samling) - Bilag 237: Supplerende samlenotat vedr. ECOFIN, fra finansministeren
Dagsordenspunkt 2:
Fremskridtsrapport om styrkelse af bankunionen
KOM-dokument foreligger ikke
1. Resume
ECOFIN ventes 14. juni 2019 at godkende en fremskridtsrapport om styrkelse af bankunionen.
Aktuelt foregår der et arbejde med at styrke bankunionen i den udvidede eurogruppe (uformelle
møder for finansministrene fra alle EU-lande undtagen UK), herunder arbejde på en køreplan for
etablering af en fælles indskyderforsikringsordning (EDIS). Forskellige modeller for styrkelse af
bankunionen og EDIS har i 1. halvår af 2019 været drøftet i en højniveaugruppe, som forventes
at afrapportere i juni 2019. Det er endnu uklart, om gruppen vil lægge op til nye beslutninger til
styrkelse af bankunionen, herunder vedr. EDIS. Der ventes ikke lagt op til nye beslutninger om
bankunionen på ECOFIN. Fremskridtsrapporten er endnu ikke fremlagt. Fra dansk side for-
venter man at kunne tage fremskridtsrapporten til efterretning.
2. Baggrund
Bankunionen består af et fælles tilsyn (SSM
Single Supervisory Mechanism) i regi
af Den Europæiske Centralbank, ECB, samt en fælles afviklingsmyndighed (SRM
Single Resolution Mechanism), herunder en sektorfinansieret afviklingsfond (SRF
Single Resolution Fund). Kun eurolande deltager aktuelt i bankunionen, mens
ikke-eurolande kan vælge at deltage.
EU-landene arbejder aktuelt på at styrke bankunionen, herunder gennem yderligere
tiltag til at styrke bankers robusthed og mindske risikoen for finansielle kriser samt
etablering af en sektorfinansieret fælles indskyderforsikringsordning (EDIS
–Euro-
pean Deposit Insurance Scheme). ECOFIN vedtog 17. juni 2016, at politiske drøf-
telser om EDIS først indledes, når der er sket tilstrækkelige fremskridt med tiltag til
at reducere risici i banksektoren.
På det udvidede eurotopmøde 14. december 2018 besluttede man at nedsætte en
højniveauarbejdsgruppe, som i juni 2019 ventes at komme med forslag til, hvorledes
der kan opnås fremskridt henimod etableringen af EDIS sammen med andre tiltag
til at styrke bankunionen, herunder yderligere tiltag til at styrke bankers robusthed
og mindske risikoen for finansielle kriser (risikoreduktionstiltag). EDIS vil alene
omfatte bankunionens deltagerlande, mens risikoreduktionstiltag som udgangs-
punkt vil gælde for alle EU-lande og ikke kun for lande i bankunionen.
Rådets formandskab ventes forud for ECOFIN 14. juni 2019 at fremlægge en frem-
skridtsrapport om styrkelse af bankunionen.
3. Formål og indhold
Højniveauarbejdsgruppen vedr. EDIS
Højniveauarbejdsgruppen har drøftet EDIS og styrkelse af bankunionen generelt i
1. halvår 2019 og skal rapportere til udvidet eurogruppe i juni 2019. Det er endnu
uklart, om der vil blive lagt op til nye beslutninger til styrkelse af bankunionen,
2
ERU, Alm.del - 2018-19 (1. samling) - Bilag 237: Supplerende samlenotat vedr. ECOFIN, fra finansministeren
herunder EDIS, i juni 2019. Drøftelserne om styrkelse af bankunionens ventes at
fortsætte i 2. halvår 2019.
Højniveauarbejdsgruppen har bl.a. drøftet følgende emner, som muligvis vil indgå
i en styrkelse af bankunionen:
Fælles indskydergaranti, EDIS:
Det drøftes, om EDIS skal udgøre en
tredje søjle i bankunionen udover SSM og SRM. Der arbejdes på en køreplan
for at kunne starte politiske drøftelser om EDIS.
Rammer for afvikling og insolvens:
Det drøftes, om bankunionens ram-
mer for afvikling af nødlidende banker skal styrkes, herunder rammerne for
at yde likviditet ifm. restrukturering af nødlidende banker. Det skal ses i lyset
af, at nødlidende banker umiddelbart under og efter en restrukturering kan
have et behov for likviditet, som ikke kan dækkes alene af markedsfinansie-
ring. Styrkede rammer for afvikling kan muligvis også indebære en ændring
af Kommissionens retningslinjer (’bankmeddelelsen’ fra 2013) vedr.
stats-
støtte til banker, herunder for at sikre konsistens mellem dels de fælles EU-
regler (direktivet for alle EU-lande om genopretning og afvikling af nødli-
dende banker, BRRD (Bank Recovery and Resolution Directive), samt SRM-
forordningen) og de nationale insolvensregler, særligt mht. at sikre, at om-
kostningerne ved nødlidende banker bæres af bankerne selv og deres interes-
senter (bail-in).
1
Dette arbejde kan også indebære forslag om tilpasning af na-
tionale insolvensrammer for at sikre konsistent behandling af nødlidende
banker, hvad enten de håndteres under de fælles EU-regler eller under natio-
nale insolvensregler.
2
Disse tiltag vil i udgangspunktet gælde for alle EU-
lande, ikke kun inden for bankunionen.
Regulering af statseksponeringer og sikkert aktiv:
Det drøftes, om den
nuværende regulering af bankers beholdninger af statsobligationer (’statsek-
sponeringer’) skal ændres i retning af en mere risikobaseret tilgang. Bankers
statseksponeringer opnår i dag en særbehandling i reguleringen, hvor der som
hovedregel ikke er krav til bankerne om kapital til at modstå tab på statsek-
sponeringerne eller grænser for, hvor store statseksponeringerne må være. I
sammenhæng hermed drøftes, om der bør etableres et såkaldt sikkert aktiv
(”safe asset”), dvs. et finansielt aktiv
med lav risiko, som bankerne kan inve-
stere i som et alternativ til statseksponeringer mod deres hjemland. En reform
af reguleringen af statseksponeringer vil i udgangspunktet gælde for alle EU-
lande.
Home-host-balance:
Det drøftes, om balancen mellem kompetencer til til-
syns-
og afviklingsmyndigheder i hjemlande (”home” –
det land hvor en bank
er hjemmehørende) og værtslande (”host” –
det land hvor en bank har et
Under de fælles EU-regler stilles der krav om nedskrivning af aktionærer og kreditorer svarende til mindst 8 pct. af en
nødlidende banks passiver (bail-in), inden der kan gøres brug af afviklingsfond og evt. midlertidige statslige midler i form af
lån. Kommissionens bankmeddelelse, som fastlægger rammerne for byrdefordeling (bail-in) ifm. statsstøtte under nationale
insolvensregler (dvs. uden for de fælles EU-regler), indeholder ikke krav om bail-in i samme omfang.
2
Håndtering under de fælles EU-regler forudsætter, at en afviklingsmyndighed (i bankunionen SRB) vurderer, at afvikling af
banken er i offentlighedens interesse. Er det ikke tilfældet skal banken håndteres under nationale insolvensregler.
1
3
ERU, Alm.del - 2018-19 (1. samling) - Bilag 237: Supplerende samlenotat vedr. ECOFIN, fra finansministeren
datterselskab eller en filial) er den rette eller skal ændres i retning af færre
beføjelser til værtslandet og flere til hjemlandet. Det kan fx vedrøre kompe-
tencer ift. tilsyn og regulering af bankers kapital og likviditet. Reguleringen
indeholder generelt en balance: På den ene side er der et hensyn til at finan-
sielle koncerner, inkl. deres udenlandske datterselskaber og filialer, er under-
lagt ens regler i både hjem- og værtslande på tværs af EU, herunder inden for
bankunionen. På den anden side er der et hensyn til at værtslandet har indfly-
delse på tilsyn og regulering, som har betydning for finansiel stabilitet i det
pågældende land, og derfor i et vist omfang kan fastsætte specifikke regler for
datterselskaber og filialer. Det drøftes i sammenhæng hermed, om en styr-
kelse af bankunionen bør indebære mere ensartede (harmoniserede) fælles
EU-regler, herunder inden for bankunionen. Ændringer af home-host-balan-
cen vil i udgangspunktet omfatte alle EU-lande.
Gennemførelse af allerede vedtagne tiltag:
Styrkelse af bankunionen har
også fokus på gennemførelse af allerede vedtagne tiltag. Det gælder gennem-
førelse af risikoreduktionspakken (revision af kapitalkrav (CRR/CRD IV) og
afviklingsregler (BRRD/SRM-forordningen), hvor der blev opnået politisk
enighed mellem Rådet og Europa-Parlamentet i februar 2019, implemente-
ring af Rådets handlingsplan vedr. nedbringelse af misligholdte lån i banker
(NPL
Non-Performing Loans) samt implementering af Rådets handlings-
plan til bekæmpelse af hvidvask (AML
Anti-Money Laundering). Der hen-
vises for uddybning af disse handlingsplaner til seperate dagsordenspunkter.
Vedtagne tiltag indebærer derudover fokus på bankers opbygning af ned-
skrivsningsegnede passiver (NEP) i overensstemmelse med de NEP-krav til
bankerne, som aktuelt er under indfasning mhp. at sikre grundlaget for bail-
in, samt fokus på bankers nedbringelse af NPL. Med undtagelse af SRM-for-
ordningen vil disse tiltag gælde for alle EU-lande.
Status for tekniske drøftelser om EDIS
Det er endnu uklart, hvad der vil kunne opnås enighed om fsva. betingelser for
etablering, udformning og indfasning af EDIS.
EDIS drøftes aktuelt på teknisk niveau i Rådet, hvor der i 1. halvår 2019 har været
afholdt ét arbejdsgruppemøde, da man har afventet udfaldet af drøftelserne i høj-
niveaugruppen. Man drøfter forskellige modeller for en mulig indledende fase af
EDIS,
jf. tabel 1.
Fælles for alle de drøftede modeller er, at der i en mulig indledende
fase af EDIS alene ydes
likviditetsstøtte
og ikke
tabsdeling.
Både likviditets- og tabs-
dækning er en del af Kommissionens 2015-forslag.
4
ERU, Alm.del - 2018-19 (1. samling) - Bilag 237: Supplerende samlenotat vedr. ECOFIN, fra finansministeren
2058884_0005.png
Tabel 1
Fælles indskydergarantiordning i bankunionen (EDIS)
mulige modeller for indledende likviditetsfase
Model
Genforsikring (Reinsu-
rance)
Foreslået af Kommissio-
nen i meddelelse fra
2017
Beskrivelse
System af fælles fond
(DIF) og nationale
DGS’er (fonde)
Mulig likviditetsstøtte fra
fælles fond øges grad-
vist. Pågældende natio-
nal fond bruges først,
dernæst fælles fond. In-
gen deling af tab
Hybrid model
Foreslået af østrigske for-
mandskab i 2. halvår 2018
System af fælles fond og
nationale fonde. Kombine-
rer genforsikring og obliga-
torisk långivning
Likviditetsstøtte. Pågæl-
dende national fond bruges
først, dernæst fælles fond
og til sidst obligatorisk lån-
givning fra alle nationale
fonde. Ingen deling af tab
Obligatorisk långivning (Man-
datory lending)
Drøftet under bulgarske formand-
skab i 1. halvår 2018
Kan udformes som a) netværk af
nationale fonde, b) central styring
af obligatorisk långivning mellem
fonde, men ingen fælles fond, c)
central styring og central fond
med nationale afdelinger
Likviditetsstøtte via obligatoriske
lån mellem nationale fonde/afde-
linger i fælles fond, evt. loft på lån.
Pågældende national fond bruges
først, dernæst andre nationale
fonde/afdelinger. Ingen deling af
tab
Støtte
Kilde: Egen tilvirkning på baggrund af papir fra det østrigske formandskab (formandskab i 2. halvår 2018).
Et udestående spørgsmål er, om man efter en mulig første fase med likviditetsdæk-
ning skal gå over til fuld risikodeling mellem deltagerlandene banker, hvor der etab-
leres en egentlig fælles indskydergaranti, som både kan dække likviditet og tab.
Fælles offentlig bagstopper for afviklingsfonden, SRF
I december 2018 godkendte man på det udvidede eurotopmøde en rammeaftale for
udformning af den fælles offentlige bagstopper for den sektorfinansierede afvik-
lingsfond SRF. Bagstopperen skal som sidste udvej kunne låne til SRF til at hånd-
tere nødlidende banker, men først når aktionærer og kreditorer i bankerne har taget
tab (bail-in) og SRF er tom. Lån fra bagstopperen til SRF skal altid tilbagebetales
(såkaldt finanspolitisk neutralitet).
Eurolandenes fælles lånefacilitet, ESM, skal bruges som bagstopper. Ikke-eurolande
deltager ikke i ESM. Der er lavet en supplerende løsning, så ikke-eurolande, der
vælger at deltage i bankunionen, kan deltage i bagstopperen på ligeværdige vilkår
med eurolande ved at stille kreditter til rådighed for SRF parallelt med ESM.
Bagstopperen skal senest være etableret i 2024. Den kan etableres før 2024, såfremt
der er sket tilstrækkelig fremskridt med risikoreduktion. Der skal træffes politisk
beslutning om evt. tidlig introduktion i 2020.
I 1. halvår 2019 har man drøftet, hvordan rammeaftalen for bagstopperen nærmere
skal operationaliseres, herunder en ændring af eurolandenes ESM-traktat mhp. at
etablere bagstopperen.
4. Europa-Parlamentets holdning
Europa-Parlamentet skal ikke udtale sig om fremskridtsrapporten.
5. Nærhedsprincippet
Ikke relevant.
5
ERU, Alm.del - 2018-19 (1. samling) - Bilag 237: Supplerende samlenotat vedr. ECOFIN, fra finansministeren
6. Gældende dansk ret og forslagets konsekvenser herfor
Ikke relevant.
7. Økonomiske konsekvenser
Statsfinansielle konsekvenser
ECOFIN’s drøftelse af status for bankunionen har ikke i sig selv statsfinansielle
konsekvenser. Tiltag til at styrke bankunionen kan have statsfinansielle konsekven-
ser. Det vil afhænge af udformningen af det enkelte tiltag.
Samfunds- og erhvervsøkonomiske konsekvenser
ECOFIN’s drøftelse af status for bankunionen har ikke i sig selv samfunds-
og
erhvervsøkonomiske konsekvenser. Tiltag til at styrke bankunionen kan have sam-
funds- og erhvervsøkonomiske konsekvenser. Det vil afhænge af udformningen af
det enkelte tiltag.
8. Høringer
Ikke relevant.
9. Generelle forventninger til andre landes holdninger
EU-landene ventes at tage fremskridtsrapporten til efterretning.
10. Regeringens generelle holdning
Regeringen forventer at kunne tage fremskridtsrapporten til efterretning. Regerin-
gen støtter generelt arbejdet med at styrke bankunionen, herunder at EDIS etable-
res i sammenhæng med tiltag til at reducere bankers risiko.
11. Tidligere forelæggelser for Folketingets Europaudvalg
Der henvises til tidligere forelæggelser vedr. styrkelse af bankunionen, senest ifm.
ECOFIN 4. december 2018.
6
ERU, Alm.del - 2018-19 (1. samling) - Bilag 237: Supplerende samlenotat vedr. ECOFIN, fra finansministeren
Dagsordenspunkt 7:
KOM-nummer foreligger ikke
1. Resume
Status for handlingsplan mod hvidvask
Rådet vedtog på ECOFIN 4. december 2018 rådskonklusioner om en handlingsplan for bekæm-
pelse af hvidvask. Handlingsplanen skal ses i forlængelse af Kommissionens meddelelse af 12.
september 2018 vedr. bekæmpelse af hvidvask i lyset af en række alvorlige hvidvask-sager i EU.
Rådet ventes på ECOFIN 14. juni 2019 at gøre status på implementeringen af handlingsplanen.
Handlingsplanen fokuserer på gennemførelsen af en række ikke-lovgivningsmæssige tiltag frem til
starten af 2020, som primært skal gennemføres af de nationale finanstilsyn hhv. hvidvasktilsyns-
myndigheder samt de europæiske tilsynsmyndigheder
(ESA’erne, herunder især EBA for bank-
området), men som også involverer Kommissionen, ECB og EU-landene.
Generelt er der siden vedtagelsen af handlingsplanen sket fremskridt med implementeringen heraf.
Regeringen støtter handlingsplanen.
2. Baggrund
EU-landene har i dag med hvidvaskdirektivet (Anti-Money Laundering Directive
AMLD) en fælles lovgivningsmæssig ramme for bekæmpelse af hvidvask
3
. Hvid-
vaskdirektivet er blevet opdateret to gange de seneste år, bl.a. for at styrke indsatsen
mod terrorfinansiering i opfølgning på løbende terrorangreb i Europa. Rådet og
Europa-Parlamentet vedtog i 2015
EU’s fjerde hvidvaskdirektiv,
som havde frist
for national implementering i midten af 2017. Der blev i 2017 opnået enighed om
femte hvidvaskdirektiv, som er blevet implementeret i dansk ret i maj 2019. Hvid-
vaskdirektivet er et minimumsharmoniseringsdirektiv, der gør det muligt for EU-
landene at have strammere regler nationalt. Tilsynet med hvidvask og terrorfinan-
siering sker i dag på nationalt niveau i alle EU-lande.
I lyset af en række alvorlige sager på hvidvaskområdet i flere EU-lande det seneste
stykke tid, præsenterede Kommissionen 12. september 2018 dels en meddelelse om
styrkelse af de fælles europæiske rammer for tilsyn med forebyggelse og bekæmpelse
af hvidvask i de finansielle institutter, og dels et lovforslag om at samle og tildele
styrkede beføjelser på hvidvaskområdet til Den Europæiske Banktilsynsmyndighed
4
(EBA) i form af et ændringsforslag til forslaget til revision af de Europæiske Finan-
sielle Tilsynsmyndigheder (ESA’erne).
Rådet og Europa-Parlamentet vedtog i marts 2019 et kompromisforslag om
ESA’erne, herunder forslaget om at styrke EBA’s
beføjelser på hvidvaskområdet.
EU’s hvidvaskregler bygger i høj grad på implementering af anbefalinger fra Financial Action Task
Force (FATF), som er
et internationalt organ, der udarbejder globale anbefalinger for bekæmpelse af hvidvask og terrorfinansiering. Danmark er,
som en række øvrige EU-lande, medlem af FATF. Samtidig udfører FATF løbende vurderinger af nationale regler for og
tilsyn med bekæmpelse af hvidvask og terrorfinansiering.
4
EBA er en af de tre europæiske tilsynsmyndigheder på det finansielle område, der understøtter lovgivningsarbejdet på de
relevante ressortområder og bidrager til en mere harmoniseret anvendelse af de finansielle EU-retsakter igennem bl.a. erfa-
ringsudvekslinger, ensartede fortolkninger mv. Alle EU-landes nationale tilsynsmyndigheder (i Danmark Finanstilsynet) er
repræsenteret i EBA. De øvrige to europæiske tilsynsmyndigheder er EIOPA på området for forsikring- og arbejdsmarkeds-
pensioner og ESMA som har ansvar for værdipapirer og markeder.
3
7
ERU, Alm.del - 2018-19 (1. samling) - Bilag 237: Supplerende samlenotat vedr. ECOFIN, fra finansministeren
Der henvises til samlenotatet forud for ECOFIN 12. februar 2019 for en gennem-
gang af Rådets position på revisionen og til grund- og
nærhedsnotatet, oversendt
til Folketinget 23. oktober 2018, for en uddybende gennemgang af Kommissionens
meddelelse. Meddelelsen varsler kommende initiativer til langsigtede løsninger, der
skal sikre bedre håndtering af hvidvaskrisici i EU. Kommissionen forventes at præ-
sentere sådanne initiativer, eller nærmere overvejelser herom, i løbet af 2019. Kom-
missionen forventes bl.a. at overveje at gøre dele af hvidvaskdirektivet til en for-
ordning, samt at tilføre specifikke beføjelser på hvidvaskområdet til en institution
på europæisk niveau. Det er uklart, hvorvidt nogle af initiativerne udelukkende vil
vedrøre lande inden for det styrkede banksamarbejde, eller om alle initiativerne vil
vedrøre alle EU-landene.
Derudover vedtog Rådet på ECOFIN 4. december 2018 parallelt med forhandlin-
gerne om styrkelsen af EBA på hvidvaskområdet, rådskonklusioner om en hand-
lingsplan for bekæmpelse af hvidvask. Handlingsplanen fokuserer på gennemførel-
sen af en række ikke-lovgivningsmæssige tiltag frem til starten af 2020, som primært
skal gennemføres af de nationale finanstilsyn hhv. hvidvasktilsyn samt de europæi-
ske tilsynsmyndigheder, men som også involverer Kommissionen og ECB. I råds-
konklusionerne opfordres Kommissionen til at gøre status for implementeringen af
handlingsplanen hver 6. måned, startende i juni 2019.
3. Formål og indhold
Handlingsplanen indeholder en række ikke-lovgivningsmæssige tiltag, der overord-
net har otte mål:
1.
Identificere hvilke faktorer der bidrog til de seneste hvidvask-sager i EU-ban-
ker, hvilket skal danne grundlag for evt. kommende initiativer.
2.
Kortlægge relevante risici ift. hvidvask og terrorfinansiering (hvidvask mv.)
og bedste praksis for, hvordan de prudentielle tilsynsmyndigheder, som fører
tilsyn med overholdelse af kapitalkrav og lign., også kan bidrage til at håndtere
disse risici.
3.
Styrke tilsynsmæssig konvergens vha. fælles vejledninger om hvordan be-
kæmpelse af hvidvask mv. kan inkorporeres i det prudentielle tilsyn.
4.
Sikre effektivt samarbejde mellem de prudentielle tilsynsmyndigheder og
hvidvask-tilsynsmyndighederne mv.
5.
Klargøre aspekter ift. inddragelse af tilladelser, dvs. hvornår brud på hvid-
vaskregler kan føre til, at en banktilladelse inddrages.
6.
Forbedre tilsynet med hvidvask mv. og forbedre udvekslingen af information
mellem de relevante myndigheder.
7.
Dele bedste praksis ift. tilsyn med hvidvask mv. og finde grund for konver-
gens heri under forståelse for nationale specificiteter.
8.
Forbedre ESA’ernes kapacitet til at
gøre bedre brug af de eksisterende tilsyns-
mæssige kompetencer og værktøjer
Handlingsplanen indebærer konkret bl.a., at der i løbet af 2019 skal foretages en
såkaldt post-mortem analyse af de seneste hvidvask-sager i EU, at der skal udarbej-
des vejledninger for tilsynet med hvidvask mv. og at der skal indgås aftaler mellem
tilsynsmyndighederne om udveksling af information.
8
ERU, Alm.del - 2018-19 (1. samling) - Bilag 237: Supplerende samlenotat vedr. ECOFIN, fra finansministeren
Der er generelt sket fremskridt med implementeringen af handlingsplanen. Kom-
missionen har bl.a. iværksat post-mortem analysen som forventes at være færdig i
løbet af sommeren 2019. ECB og de kompetente nationale hvidvask-tilsynsmyn-
digheder i EU-landene har indgået en aftale om rammerne for udveksling af infor-
mation. Og ESA’erne har iværksat arbejde med at udforme en række vejledninger.
Der henvises til
bilag 1
for en uddybende gennemgang af de forskellige initiativer i
handlingsplanen og status herpå.
4. Europa-Parlamentets holdning
Ikke relevant.
5. Nærhedsprincippet
Spørgsmålet om nærhedsprincippet er ikke relevant.
6. Gældende dansk ret og lovgivningsmæssige konsekvenser
Handlingsplanen består af ikke-lovgivningsmæssige tiltag.
7. Økonomiske konsekvenser
Statsfinansielle konsekvenser
Handlingsplanen har ikke i sig selv statsfinansielle konsekvenser.
Samfundsøkonomiske konsekvenser
Handlingsplanen har ikke i sig selv samfundsøkonomiske konsekvenser. Bedre ram-
mer for bekæmpelse af hvidvask i EU kan have positive samfundsøkonomiske kon-
sekvenser.
Erhvervsøkonomiske konsekvenser
Handlingsplanen har ikke i sig selv erhvervsøkonomiske konsekvenser.
8. Høring
Handlingsplanen har ikke været i ekstern høring.
9. Generelle forventninger til andre landes holdninger
Der er generelt støtte til handlingsplanen og generelt bred opbakning fra EU-lan-
dene til at styrke rammerne for bekæmpelse af hvidvask i EU.
10. Regeringens generelle holdning
Regeringen lægger stor vægt på en styrket indsats for bekæmpelse af hvidvask mhp.
at styrke integriteten, stabiliteten og effektiviteten i det finansielle system. Regerin-
gen finder, at hvidvask er et grænseoverskridende problem, og er derfor positiv over
for forslag, der styrker EU's indsats på området. Regeringen støtter konkret imple-
menteringen af handlingsplanen, som indeholder en lang række relevante ikke-lov-
givningsmæssige tiltag på området, herunder at styrke samarbejdet mellem relevante
myndigheder på området, herunder samarbejde mellem myndigheder på tværs af
grænserne.
Regeringen lægger desuden generel vægt på, at der sikres implementering og hånd-
hævelse af allerede vedtagne tiltag på området, og at arbejdet prioriterer tiltag, som
9
ERU, Alm.del - 2018-19 (1. samling) - Bilag 237: Supplerende samlenotat vedr. ECOFIN, fra finansministeren
har størst mulig effekt i bekæmpelse af hvidvask, og spiller effektivt sammen med
andre tiltag, herunder særligt ift. det globale samarbejde i FATF.
11. Tidligere forelæggelser for Folketingets Europaudvalg
Rådskonklusionerne inkl. handlingsplanen er forelagt Folketingets Europaudvalg i
forbindelse med ECOFIN 4. december 2018. Der henvises til samlenotatet, over-
sendt 22. november 2018.
10
ERU, Alm.del - 2018-19 (1. samling) - Bilag 237: Supplerende samlenotat vedr. ECOFIN, fra finansministeren
2058884_0011.png
Bilag 1. Handlingsplan for bekæmpelse af hvidvask på kort sigt
Tabel 1
EU handlingsplan for bekæmpelse af hvidvask på kort sigt
Mål
1. At identifiere de
faktorer
der
bidrog
til
de
seneste hvidvask
sager
i
EU-
banker,
hvilket
skal
danne
grundlag for evt.
yderlige tiltag på
længere sigt.
2.
Kortlægge
relevante risici ift.
hvidvask
og
terrorfinansiering
(hvidvask mv.) og
’best
practices’
for, hvordan det
prudentielle tilsyn
kan
håndtere
disse risici.
3.
Styrke
tilsynsmæssig
konvergens vha.
fælles
vejledninger om
hvordan
bekæmpelse af
hvidvask mv. kan
inkorporeres i det
prudentielle tilsyn
Tiltag
Ansvarlige
Kommissionen,
ESA’erne, i
samar-bejde med
ECB, EU-
landende og de
nationale tilsyns-
myndigheder.
Tidshorisont
Fremskridt
Foretage en grundig analyse af
de seneste skandaler på
området (”post-mortem”)
der
involverer EU-banker.
Midt-2019
Kommissionen venter at
have en rapport klar i løbet
af sommeren 2019.
a) identifiere relevante aspekter
af bekæmpelse af hvidvask mv.
for prudentielle formål
b) Identifiere kerneområderne
ift. disse risici hvor der er behov
for styrket tilsyn fra de
prudentielle tilsynsmyndigheder
c) Identifiere ’best practices’ ift.
at inkorporere hvidvask mv. I
det prudentielle tilsyn
Specifiere hvordan de
prudentielle tilsynsmyndigheder
bør tage højde for risici ift.
hvidvask mv., bl.a. ifm. processr
for a) tilladelse, b) vurdering af
akvisitioner, c) ’fit-og-proper’
vurdering af ledelsen, d)
gennemgang af den interne
risikostyring.
EBA, i
samarbejde med
EIOPA og ESMA
hvor relevant,
samt relevante
tilsynsmyndighed
er for hvidvask
mv.
Kortlægnings-arbejde
undervejs i EBA/ESA-
arbejdsgrupper.
Udgangen af
2019
Resultaterne af EBA’s
’Breach of Union Law’
(BuL) sager, samt
hvidvask-reviews og post-
mortem arbejdet vil
informere dette arbejde.
Udviklingen af fælles
vejledning er i gang med at
blive sekvenseret med
kortlægningsarbejdet under
punkt 2, som vil blive brugt
til at identifiere hvor, og i
hvilken form, fælles
vejledning er mest
nødvending
EBA, i
samarbejde med
EIOPA og ESMA
hvor relevant,
samt relevante
tilsynsmyndighed
er for hvidvask
mv.
Udgangen af
2019
a) Samarbejde gennem de
forskellige faser i
tilsynsprocessen, mhp. at
etablere tilfredsstillende kanaler
for løbende informations-
udveksling, på linje med femte
hvidvaskdirektiv
Prudentielle
tilsyns-
myndigheder
samt
tilsynsmyndighed
er ift. hvidvask
mv. samt
ESA’erne.
4. Sikre effektivt
samarbejde
mellem
de
prudentielle
tilsynsmyndighed
er
og
tilsynsmyndighed
erne ift. hvidvask
mv.
b) Kortlægge hvilke
tilsynsmyndigheder ift. hvidvask
mv. er de relevante modparter
for de prudentielle
tilsynsmyndigheder, ift.
grænseoverskridende
koncerner.
ESA’erme
Samarbejdet vil blive
styrket gennem:
1)
Hvidvask-kollegier
2)
Kontaktpunkter som er
oprettet på linje med
den multilaterale aftale
Januar 2020
mellem ECB og de
hvidvask-kompetente
myndigheder
3)
Sikring af effektivt link
med de prudentielle
kollegier
Relevante lister over
myndigheder er i gang med
at blive opført, i to faser:
1)
Først en overordnet
liste, som EBA
Udgangen af
allerede har opført.
2019
2)
Dernæst vil der blive
udført en yderligere
kortlægningsfase i takt
med oprettelsen af
hvidvask-kollegierne.
c) Sende et klart signal til
sektoren om, at de prudentielle
tilsynsmyndigheder også vil
tage højde for risici ift. hvidvask
mv., under hensyn til de to typer
tilsynsmyndigheders respektive
kompetencer, samt at der er et
tæt samarbejde mellem de to
typer tilsynsmyndigheder.
d) Konkludere en bred
multilateral aftalememorandum
mellem alle relevante
tilsynsmyndigheder for hvidvask
mv. på linje med femte
hvidvaskdirektiv
Prudentielle
tilsyns-
myndigheder
samt
tilsynsmyndighed
er ift. hvidvask
mv.
ECB,
tilsynsmyndig-
heder ift. hvidvask
mv. med støtte fra
ESA’erne
Midt-2019
EBA vil foreslå fælles
ordbrug og koordinere
beskeder til
tilsynsmyndighederne i
midt-2019.
10. januar
2019
Gennemført.
11
ERU, Alm.del - 2018-19 (1. samling) - Bilag 237: Supplerende samlenotat vedr. ECOFIN, fra finansministeren
2058884_0012.png
Tabel 1
EU handlingsplan for bekæmpelse af hvidvask på kort sigt
Mål
Tiltag
e) Sikre velfungerende
muligheder for i praksis at sikre,
at tilsynsmyndigheder for
hvidvask mv. kan kommunikere
bekymringer til ECB, samt at
ECB kan tage højde for disse i
sit tilsyn
a) Klargøre de prudentiellle
tilsynsmyndigheder grad af
diskretion ifm., samt kriterierne
for, inddragelse af tilladelse ved
konstatering af seriøse brud på
reglerne for hvidvask mv. uht.
forskelle i praksis og juridiske
rammer i landene
b) sikre uniform fortolkning af
bestemmelserne om seriøse
brud på reglerne for hvidvask
mv. i kapitalkravsdirektivet
(CRD)
Ansvarlige
ECB, prudentielle
tilsynsmyndighed
er samt
tilsynsmyndig-
heder ift. hvidvask
mv. samt
ESA’erne
Tidshorisont
Fremskridt
Midt-2019
Status ikke kendt.
Der er opstartet et arbejde
med at forstå, hvorledes
hensyn ift. hvidvask har
spillet en rolle ift. hidtidige
inddragelser af
banktilladelser.
EBA anfører arbejdet:
1)
Gennem AMLC (en ny
permanent Anti-
Hvidvask Komité,
bestående af de
nationale anti-
hvidvask myndigheder
og EBA), mhp. at
udvikle en fælles
forståelse for, hvad
der udgør et seriøst
brud på hvidvask
reglerne i EU
2)
Sammen med de
prudentielle bank-
tiladdelses eksperter
og ECB, mhp. at
udvikle en fælles
fortolkning af det
fælles sprog fsva.
seriøst brud på
hvidvask reglerne ift.
overvejelser om
inddragelse af
banktilladelse.
Dette arbejde vil informere
tiltagene under punkt c) og
d).
Der er begyndt
overvågning gennem
drøftelser i AMLC samt
workshops organiseret af
EBA samt på baggrund af
EBA’s erfaringer ifm.
reviews af de nationale
hvidvask-tilsyn på tværs af
EU.
ESA’erne, i
samarbejde med
de prudentielle
5.
Klargøre
c) sikre konsistent fortolkning af tilsyns-
aspekter
ift.
konsekvenserne af inddragelse myndigheder
inddragelse
af
af licens, særligt ift. behovet for samt
tilladelse
at videreføre kritiske funktioner i tilsynsmyndighed
banken, involveringen af
er ift. hvidvask
afviklingsmyndighederne,
mv.
beskyttelse af indskud, samt
mulighed for indskydergaranti-
fonden til at suspendere
udbetaling af indskud
d) identifiere tiltag tilgængelige
for de prudentielle
tilsynsmyndigheder for at
adressere prudentielle hensyn
som følge af risici ift. hvidvask
mv. samt brud på reglerne
herfor
a) Overvåge implementeringen
af ESA’erne fælles vejledning
om risiko-baseret tilsyn, og
udvide disse fsva.
administrative sanktioner for
brud på reglerne for hvidvask
mv. Dette uht. forskellig praksis
og juridiske rammer i EU-
landene samt uden at ændre på
EU-landenes muligheder for at
pålægge strafferetlige
sanktioner
b) styrke ESA’erne fælles
ESA’erne
vejledning om risiko-baseret
tilsyn vedr. fælles procedurer og
metoder for
tilsynsmyndighederne for
hvidvask mv. med finansielle
institutters overholdelse af
reglerne om hvidvask mv.
c) Opfølgning på
Kommissionens anbefalinger til
ESA’erne i rapporten om den
Supranationale risikovurdering
fra 2017, samt update af
rapporten
Midt-2019
Udgangen af
2019
6.
Forbedre
tilsynet
med
hvidvask
of
terrorfinansiering
og
forbedre
udvekslingen af
information
mellem
de
relevante
myndigheder
Udgangen af
2019
Overvågning og analyse
under a) vil informere
forbedringen af
vejledningerne vedr. risiko-
baseret tilsyn. Arbejde
herpå vil opstarte ved
udgangen af 2019.
Færdiggjort. ESA’erne har
sendt et fælles svar til
Kommissionen 18. januar
2019.
Januar 2019
12
ERU, Alm.del - 2018-19 (1. samling) - Bilag 237: Supplerende samlenotat vedr. ECOFIN, fra finansministeren
2058884_0013.png
Tabel 1
EU handlingsplan for bekæmpelse af hvidvask på kort sigt
Mål
Tiltag
d) Færdiggøre vejledning om
samarbejde og
informationsudveksling mellem
prudentielle tilsynsmyndigheder
og tilsynsmyndigheder for
hvidvask mv., som vil etablere
hvidvasktilsyns-kollegier, uht.
bredest mulig
informationsdeling
e) Færdiggøre den fælles ESA-
udtalelse [om risiciene for
hvidvask mv. der påvirker EU’s
finansielle system, som skal
udgives hvert andet år], der
følger af artikel 6(5) i
hvidvaskdirektivet
Ansvarlige
Tidshorisont
Fremskridt
Høring herom er overstået.
Det overvejes nu yderligere
hvorvidt vejledningen
korrekt fanger linket mellem
prudentielt og hvidvask-
tilsyn.
Midt 2019
Januar 2019
Ventes offentliggjort i
sommeren 2019.
7. Dele
’best
practices’ ift. tilsyn
med hvidvask mv.
og finde grund for
konvergens heri
under forståelse
for
nationale
specificiteter
i
relation
til
hvidvask mv.
Udvikle programmer for
regelmæssig udveksling af
medarbejdere mellem
tilsynsmyndighederne og
potentielt
med ESA’erne
Tilsynsmyndighed
erne for hvidvask
mv., i samarbejde
med ESA’erne
Midt 2019
AMLC drøftede og blev
enige om at fremme
udvekslings-programmer.
EBA vil føre en intranet-
side med dette formål, som
vil være klar i 2. kvartal
2019.
a) Foretage strikse, ikke-
overlappende, evaluerin-ger af
tilsynsmyndighederne
(prudentielle og ift. hvidvask
mv.) for at identifiere svagheder
og best-practices
EBA har påbegyndt en
flerårig proces med
evalueringer. De første tre
evalueringer er i forskellige
faser.
EBA er begyndt at give
bilateral feedback til de
kompetente
tilsynsmyndigheder som
den har evalueret, mhp. at
styrke deres hvidvask-tilsyn
med banker.
Erfaringerne fra
evalueringerne vil blive
brugt til:
1)
At udvikle EBA’s
træningsprogrammer
2)
At informere
tilpasningen af
ESA’ernes hvidvask-
vejledninger vedr.
risikobaseret tilsyn
Igangværende.
Igangværende. AMLC
agerer allerede som et
forum for udveksling af
information, nuværende og
opstående hvidvask-risici
og gode
praksis. ESA’erne
har drøftet med AMLC
hvordan denne funktion
kan styrkes.
Igangværende. ESA’erne
har i november 2018
udgivet vejledninger der
skal forbedre samarbejdet
og informationsudveksling
mellem hvidvask-
myndigederne i EU. EBA’s
stående komité med ansvar
for prudentielle
tilsynskollegierovervejer
aktuelt, hvorledes der kan
gøres yderligere.
b) Baseret på ovenstående
evalueringer, forøge antallet af
kurser med fokus på hvidvask
mv. tilgængelige for
tilsynsmyndighederne, samt
give tematisk vejledning til
myndighederne
8.
Forbedre
ESA’ernes
kapacitet til at
gøre bedre brug
af
de
c) Løbende overvåge behovet
eksisterende
for at undersøge brud på EU-
tilsynsmæssige
retten fsva. hvidvask mv.
kompetencer og
værktøjer
d) Gøre større brug af anti-
hvidvask kommittéen (AMLC)
som forum for udveksling af
synspunkter vedr. tilsyn med og
risiko ift. hvidvask mv.
ESA’erne
Med det
samme
e) Fremme brugen af de
eksisterende tilsynskollegier til
at forbedre koordinationen og
informationsudveksling om
konkrete sager med hvidvask
mv. samt samspillet mellem
kollegier for prudentielt tilsyn og
tilsyn med hvidvask mv.
13
ERU, Alm.del - 2018-19 (1. samling) - Bilag 237: Supplerende samlenotat vedr. ECOFIN, fra finansministeren
2058884_0014.png
Tabel 1
EU handlingsplan for bekæmpelse af hvidvask på kort sigt
Mål
Tiltag
f) Bruge artikel 33 i ESA-
forordningerne i dets
nuværende form som juridisk
basis for at udvikle en strategi
for interaktionen med tilsyns-
myndighederne for hvidvask
mv. i tredjelande
Ansvarlige
Tidshorisont
Fremskridt
Igangværende. EBA
overvejer hvordan der kan
udvikles en strategi for
interaktionen med
tredjelandes hvidvask-
myndigheder.
Anm.:
’Hvidvask mv.’ refererer til hvidvask og terrorfinansiering. I handlingsplanen refererer tilsynsmyndigheder for
hvidvask mv. kun til tilsynsmyndgihederne for hvidvask mv. i den finansielle sektor.
Kilde:
Rådskonklusionerne, Kommissionen, ESA’erne og egen
tilvirkning
14
ERU, Alm.del - 2018-19 (1. samling) - Bilag 237: Supplerende samlenotat vedr. ECOFIN, fra finansministeren
2058884_0015.png
Dagsordenspunkt 8:
EU’s handlingsplan for misligholdte lån (NPL)
KOM-dokument foreligger ikke
1. Resume
Rådet vedtog på ECOFIN 11. juli 2017 en handlingsplan for nedbringelse af misligholdte lån
(NPL) i EU’s kreditinstitutter (banker mv.). Siden er der i EU iværksat en lang række initi-
ativer som opfølgning herpå. En høj mængde NPL i banker kan være et problem, bl.a. fordi det
kan presse bankernes kapitalgrundlag og begrænse mulighederne for nye udlån, samt medføre tvivl
om bankernes generelle sundhedstilstand og derved den finansielle stabilitet. Kommissionen ventes
på ECOFIN 14. juni 2019 at give en status på implementeringen af handlingsplanen på bag-
grund af en fremskridtsrapport, som Kommissionen ventes at vedtage 12. juni 2019. Regeringen
støtter handlingsplanen og arbejdet med at reducere NPL og risici generelt i europæiske banker.
2. Baggrund
Europæiske banker har de senere år i lyset af krisen generelt været udfordret af
betydelige mængder af misligholdte lån på deres balancer, NPL (Non-Performing
Lo-
ans).
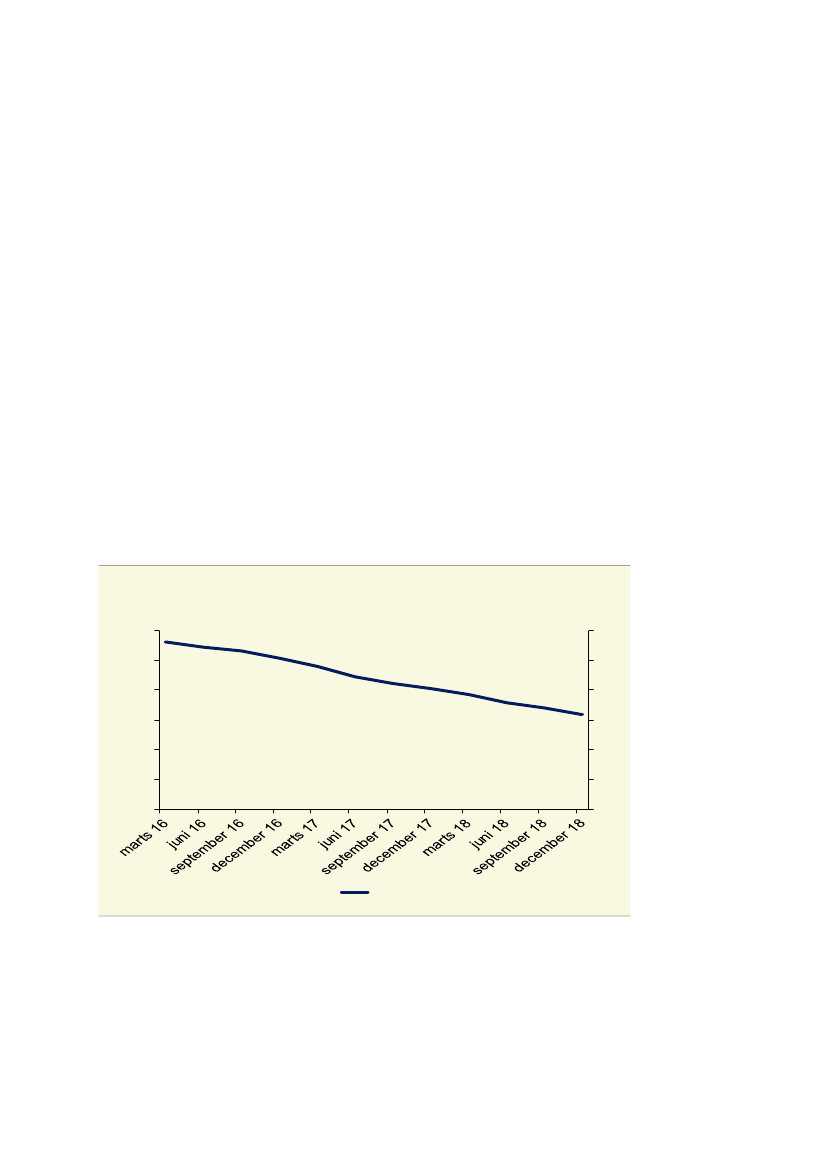
Udviklingen i EU er dog de seneste år gået markant i den rigtige retning, med
støt faldende niveauer af NPL,
jf. figur 1.
5
EU-gennemsnittet for bankers NPL (i pct.
af samlede udlån) er således næsten halveret i perioden 2016-18.
Figur 1
Misligholdte lån i EU-landes banker, gennemsnit (pct. af bankers samlede lån)
Pct.
6
5
4
3
2
1
0
Pct.
6
5
4
3
2
1
0
EU
Kilde: Europæiske banktilsynsmyndighed, EBA.
Europæiske tilsynsmyndigheder betragter normalt et lån som misligholdt, når låntageren er mere end 90 dage forsinket med
at betale et aftalt afdrag.
5
15
ERU, Alm.del - 2018-19 (1. samling) - Bilag 237: Supplerende samlenotat vedr. ECOFIN, fra finansministeren
2058884_0016.png
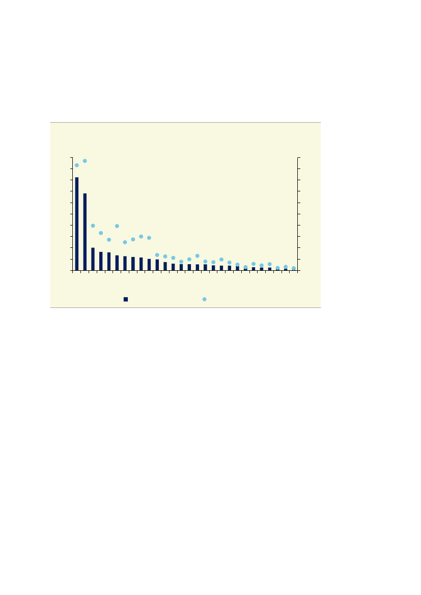
I flere EU-lande, særligt i Syd- og Østeuropa, er banker dog fortsat tynget af en høj
andel af NPL,
jf. figur 2.
For stort set alle EU-lande gælder imidlertid, at andelen af
bankers NPL er reduceret i perioden 2016-18.
Figur 2
Misligholdte lån (NPL) i EU-landes banker (pct. af bankers samlede lån)
Pct.
50
45
40
35
30
25
20
15
10
5
0
Pct.
50
45
40
35
30
25
20
15
10
5
0
Anm.: * For Cypern er tal for juni 2018 og ikke for december 2018.
Kilde: EBA.
En høj mængde NPL kan bl.a. presse bankers kapitalgrundlag og lægge en dæmper
på nye udlån til virksomheder og husholdninger (både nationalt og internationalt)
samt medføre tvivl om bankernes generelle sundhedstilstand og derved den finan-
sielle stabilitet. Høj andel af NPL kan derved øge sandsynligheden for behov for
offentlig intervention i banksektoren, fx til afvikling af nødlidende banker. Desuden
kan høje andele af NPL gøre det sværere for centralbanker at styre prisudviklingen
(inflationen) med deres pengepolitiske instrumenter, fordi svækkede banker i min-
dre grad reagerer på centralbankers renteændringer gennem ændringer i kreditgiv-
ningen. Derudover er den europæiske banksektor generelt integreret på tværs af
hele EU. En stor mængde NPL er derfor både en national udfordring og en udfor-
dring for hele EU, herunder for lande som deltager i bankunionen.
ECOFIN vedtog 11. juli 2017 en handlingsplan for håndtering af udfordringer med
NPL. Siden er der i EU iværksat en lang række initiativer som opfølgning på hand-
lingsplanen. ECOFIN har senest i december 2018 fulgt op på handlingsplanen.
3. Formål og indhold
Kommissionen vil på ECOFIN 14. juni 2019 give en status for implementeringen
af Rådets NPL-handlingsplan på baggrund af en fremskridtsrapport, som Kommis-
sionen ventes at vedtage 12. juni 2019. Handlingsplanen indebærer en indsats, som
GR
CY*
PT
IT
BG
SI
HR
HU
IE
RO
PL
ES
MT
LV
SK
AT
FR
BE
LT
DK
NL
FI
CZ
GB
DE
LU
EE
SE
december 2018
marts 2016
16
ERU, Alm.del - 2018-19 (1. samling) - Bilag 237: Supplerende samlenotat vedr. ECOFIN, fra finansministeren
2058884_0017.png
både skal nedbringe mængden af eksisterende NPL og forebygge opbygningen af
nye NPL, særligt med tiltag på flg. områder:
Styrket tilsyn gennem bedre tilsynsredskaber og øget fokus på NPL hos til-
synsmyndighederne samt yderligere vejledning til bankerne fsva. deres hånd-
tering af NPL, fx ift. interne procedurer, hensættelser mm.
Erfaringsdeling med og reformer af nationale insolvensregimer, herunder
mhp. sikring af effektive og hurtige processer i tilfælde af konkurser, som fx
kan understøtte adgangen til den underliggende sikkerhed til dækning af NPL,
Styrkede sekundære markeder for NPL, således at mulighederne forbedres
for, at banker kan videresælge NPL til andre banker/investorer, som bedre
kan håndtere risikoen ved og realisere værdien af lånene.
Fokus på at understøtte restrukturering af banksektoren ved bl.a. at håndtere
ikke-levedygtige banker, men uden konkrete tiltag i handlingsplanen.
Tabel 1
giver et overblik over de specifikke tiltag i handlingsplanen, samt den fore-
løbige opfølgning herpå.
Siden ECOFIN’s seneste status for NPL-handlingsplanen
på rådsmødet 4. decem-
ber 2018 har Rådet og Europa-Parlamentet blandt andet opnået enighed om lov-
givningsmæssige minimumskrav til hensættelser på nye nødlidende lån ifm. revisi-
onen af kapitalkravsdirektivet og -forordningen.
17
ERU, Alm.del - 2018-19 (1. samling) - Bilag 237: Supplerende samlenotat vedr. ECOFIN, fra finansministeren
2058884_0018.png
Tabel 1
Opfølgning på de specifikke elementer i Rådets NPL-handlingsplan fra juli 2017, status maj 2019
Rådets handlingsplan, juli 2017
Tilsyn
Kommissionen opfordres til i sommeren 2017 at give sin
fortolkning af den relevante EU-lovgivning, bl.a. kapital-
kravsdirektivet (CRD IV), fsva. tilsynsmyndighedernes
beføjelser til at stille krav til bankers hensættelser på
NPL (da der er uklarhed herom).
Kommissionen offentliggjorde 11. oktober 2017 en rapport
om den foreløbige implementering af SSM, hvori Kommis-
sionen giver sin fortolkning af den relevante EU-lovgivning
for tilsynsmyndighederne, herunder lovgivning vedr. NPL.
Status, maj 2019
Kommissionen stillede 14. marts 2018 forslag til en forord-
Kommissionen opfordres til, i regi af revisionen af CRD
ning, der indfører minimumskrav til den mængde kapital,
IV og kapitalkravsforordningen (CRR), at overveje at som banker skal afsætte til at dække mulige tab vedr. NPL.
stille forslag til lovgivningsmæssige minimumskrav til Der blev opnået politisk enighed mellem Rådet og Europa-
hensættelser på nye NPL.
Parlamentet (EP) i februar 2019. Forordningen trådte i kraft
medio april 2019.
SSM opfordres til, sammen med de nationale tilsyns-
SSM har samarbejdet med EBA om færdiggørelse af ret-
myndigheder, fra udgangen af 2018, at implementere
ningslinjer vedr. NPL offentliggjort 31. oktober 2018 (se pkt.
en tilpasset version af de offentliggjorte NPL-vejlednin-
herunder). Retningslinjerne vil proportionalt også finde an-
ger (for de største banker
(SI’er) under SSM’s direkte
vendelse for LSI’er.
tilsyn) også for mindre banker (LSI) i bankunionen.
EBA opfordres til, senest i sommeren 2018, at udsende
generelle vejledninger fsva. bankers håndtering af NPL
samt deres udlånsstandarder, vedr. fx vurderinger af
EBA har 31. oktober 2018 offenliggjort vejledning til alle
kreditværdighed, bankernes interne processer og trans-
banker i EU fsva. håndteringen af NPL.
parens ifm. långivning osv.
EBA’s vejledning vil svare til
SSM’s (jf. ovenfor), men skal gælde
for
alle
banker i
hele EU.
Det Europæiske Systemiske Risikoråd (ESRB) opfor- En rådgivende ekspertkomité til ESRB offentliggjorde 1. ok-
dres til, inden udgangen af 2018, at udvikle makropru-
tober 2018 en teknisk rapport om en makroprudentiel til-
dentielle tiltag til at forebygge systemisk opbygning af gang til NPL. ESRB offentliggjorde i januar 2019 en rapport
NPL i EU-landes banker.
om makroprudentiel tilgang til NPL.
Insolvens
Kommissionen opfordres til inden udgangen af 2017 at
offentliggøre detaljerede resultater af den igangvæ-
rende benchmarking øvelse af EU-landenes insolvens-
regimer, samt at styrke fokus på insolvens-reformer i
det europæiske semester.
Der pågår en benchmarking-øvelse af EU-landenes insol-
vens-regimer. Resultaterne er ikke blevet offentliggjort
endnu. Kommissionen vurderer, at der er kommet større
fokus på insolvens-reformer i semesteret.
Kommissionen stillede 14. marts 2018 forslag til et direktiv
om kreditservicevirksomheder, kreditkøbere og realisering
Kommissionen opfordres til at analysere muligheden for af sikkerhedsstillelse, der handler om at skabe bedre vilkår
at forbedre beskyttelsen af sikrede kreditorer, dvs. kre- for, at pengeinstitutter kan sælge misligholdte lån til tredje-
ditorer der har udstedt lån med sikkerhed.
parter mhp. servicering samt etablere et værktøj til hurti-
gere realisering af sikkerhedsstillelser. Forslaget forhand-
les fortsat i Rådet.
EU-landene opfordres til inden udgangen af 2018, at fo-
Der pågår gensidige evalueringer af EU-landenes insol-
retage gensidige evalueringer (’peer-review’) af hinan-
vens-regimer.
dens insolvens-regimer.
Sekundære markeder for NPL
EBA opfordres til, inden udgangen af 2017, at vedtage
EBA offentliggjorde 14. december 2017 vejledninger og
vejledninger om, hvilke informationer, banker bør have
skabeloner vedr. bankernes interne datakvalitet. EBA of-
til rådighed om deres lån, dvs. vejledninger om data-
fentliggjorde en revideret version af vejledningerne i sep-
kvalitet internt i bankerne.
tember 2018.
EBA og andre kompetente myndigheder opfordres til,
inden udgangen af 2018, at implementere styrkede of- EBA offentliggjorde i december 2018 vejledning om styrkede
fentliggørelseskrav til banker ift. information om kvalite- krav til offentliggørelse af information vedr. NPL.
ten af deres aktiver, herunder deres misligholdte lån.
EBA offentliggjorde 14. december 2017 skabeloner til ban-
kerne, som de kan anvende til at redegøre for deres NPL til
investorer mv. Det er et frivilligt redskab, som det er menin-
gen skal blive en markedsstandard for ensartet rapportering
EBA, Den Europæiske Centralbank (ECB) og Kommis- om NPL. EBA opdaterede skabelonerne 12. september
sionen opfordres til, inden udgangen af 2017, at foreslå 2018. EBA, ECB og Kommissionen har iværksat et arbejde
tiltag, der kan styrke data-infrastrukturen for sekundære med at se på mulighederne for at udvikle NPL-handelsplat-
markeder for NPL, herunder at overveje oprettelsen af forme.
såkaldte platforme, hvor der kan købes og sælges NPL.
ECB har siden 2011 arbejdet på et stort projekt ”Anacredit”,
om et datasæt, der skal indeholde detaljeret information
om individuelle banklån i euroområdet. Dataindsamlingen
er begyndt i september 2018.
Kommissionen opfordres til, sammen med andre rele-
Kommissionen offentliggjorde 14. marts 2018 en skabelon
vante EU-institutioner, inden udgangen af 2017, at ud-
for, hvordan EU-landene
kan indrette nationale AMC’er i
arbejde en
skabelon med principper for ”asset manage-
overensstemmelse med BRRD og statsstøttereglerne.
ment companies” (AMC’er),
i overensstemmelse med
18
ERU, Alm.del - 2018-19 (1. samling) - Bilag 237: Supplerende samlenotat vedr. ECOFIN, fra finansministeren
2058884_0019.png
statsstøttereglerne og med den EU-lovgivningsmæs-
sige ramme på området, herunder BRRD
6
som, for at
beskytte skatteborgerne, bl.a. begrænser myndighe-
dernes muligheder for at indskyde offentlige midler i
banker, som ikke er under afvikling, herunder gennem
køb af dårlige lån.
Kommissionen opfordres til senest i sommeren 2018, at
udvikle en EU-tilgang til, hvordan man kan fjerne barri-
erer for at banker kan skille sig af med deres NPL, samt
fjerne barrierer for at andre banker og ikke-banker (fx
specialiserede investeringsfonde) derefter kan købe og
eje disse NPL.
Kommissionen stillede 14. marts 2018 forslag til et direktiv
om kreditservicevirksomheder, kreditkøbere og realisering
af sikkerhedsstillelse, der handler om at skabe bedre vilkår
for, at pengeinstitutter kan sælge misligholdte lån til tredje-
parter mhp. servicering samt etablere et værktøj til hurti-
gere realisering af sikkerhedsstillelser. Der er opnået en af-
tale i Rådet fsva. kreditservicevirksomheder mv. Forslaget
om realisering af sikkerhedsstillelse forhandles fortsat i Rå-
det.
Anm.: Grøn: Opnået, orange: pågår, rød: ikke påbegyndt. SSM: Den fælles tilsynsmekanisme, EBA: Den Europæiske
Banktilsynsmyndighed, ECB: Den Europæiske Centralbank.
Kilde: Kommissionen og egen tilvirkning.
4. Europa-Parlamentets holdning
Ikke relevant
5. Nærhedsprincippet
Ikke relevant
6. Gældende dansk ret og lovgivningsmæssige konsekvenser
Statusorienteringen har i sig selv ikke lovgivningsmæssige konsekvenser.
7. Økonomiske konsekvenser
Statsfinansielle konsekvenser (herunder konsekvenser for regioner og kommuner)
Statusorienteringen har i sig selv ikke statsfinansielle konsekvenser.
Samfundsøkonomiske konsekvenser
Statusorienteringen har i sig selv ikke samfundsøkonomiske konsekvenser. En re-
duktion af de udestående mængder NPL og en forebyggelse af opbygning af nye
høje NPL-niveauer kan medvirke til at mindske usikkerheden ift. den finansielle
stabilitet, øge kreditgivningen til sunde formål og dermed bidrage til at understøtte
en stærkere og mere stabil økonomisk aktivitet, primært i de lande, som er hårdest
ramt af NPL-problemer, men også i mindre grad i andre EU-lande.
Erhvervsøkonomiske konsekvenser
Statusorienteringen har ikke i sig selv erhvervsøkonomiske konsekvenser. En re-
duktion af de udestående mængder NPL kan medvirke til at skabe større tiltro til
banksektoren og bedre adgang til kredit, primært i de lande som er hårdest ramt af
NPL-problemer, men også i mindre grad i andre EU-lande.
8. Høring
Ikke relevant.
6
BRRD (bankkrisedirektivet) foreskriver, at private kreditorer/aktionærer tager eventuelle tab, før der kan gives offentlig
støtte (”bail-in”).
19
ERU, Alm.del - 2018-19 (1. samling) - Bilag 237: Supplerende samlenotat vedr. ECOFIN, fra finansministeren
9. Generelle forventninger til andre landes holdninger
EU-landene ventes at tage statusorienteringen til efterretning. EU-landene støtter
generelt arbejdet med handlingsplanen og nedbringelse af NPL.
10. Regeringens generelle holdning
Regeringen vil tage statusorienteringen til efterretning. Regeringen støtter generelt
Rådets handlingsplan, og støtter således relevante initiativer på EU-plan, der kan
bidrage til at sikre, at der i hele EU er gode rammer for at håndtere de nuværende
NPL-problemer, samt forebygge en eventuel fremtidig ophobning af NPL.
11. Tidligere forelæggelser for Folketingets Europaudvalg
Sagen om Rådets NPL-handlingsplan blev forelagt Folketingets Europaudvalg til
orientering forud for vedtagelsen ifm. ECOFIN 11. juli 2017 samt forud for ECO-
FIN 4. december 2018, hvor der senest blev gjort samlet status for handlingsplanen.
20