Finansudvalget 2017-18
FIU Alm.del
Offentligt
1963961_0001.png
Folketingets Finansudvalg
Christiansborg
6. november 2018
Svar på Finansudvalgets spørgsmål nr. 471 (Alm. del) af 14.
august stillet efter ønske fra Benny Engelbrecht (S)
Spørgsmål
Vil ministeren oplyse den langsigtede virkning af hver enkelt af de økonomiske
aftaler, der er indgået siden regeringsskiftet 2015, og den samlede virkning af afta-
lerne? Ministeren bedes både oplyse effekten på den offentlige saldo i hvert enkelt
år frem til 2045, effekten på holdbarhedsindikatoren (HBI) og BNP-virkningen i
hvert enkelt år frem til 2045 af aftalerne.
Svar
Siden regeringsskiftet 2015 er der indgået en række politiske aftaler som har virk-
ning på de offentlige finanser. Finanspolitikken tilrettelægges inden for de gæl-
dende mål for den strukturelle saldo, hvor der aktuelt er fastlagt et mål om struk-
turel balance i 2025.
Det indebærer også, at alle aftaler tilrettelægges inden for den ramme. Overordnet
betyder det, at eventuelle finansieringsunderskud eller -finansieringsoverskud i
årene frem mod 2025 vil henholdsvis blive dækket af eller tilgå det finanspolitiske
råderum og dermed samlet set være neutrale for den strukturelle saldo. Det gælder
inden for den mellemfristede planlægningshorisont
som aktuelt går til 2025
men også i årene efter, medmindre der er tiltag, hvor virkningen på de offentlige
finanser ændrer sig efter 2025.
Det indebærer således, at langt hoveddelen af alle politiske aftaler og tiltag vil være
neutrale for den strukturelle saldo i såvel årene frem mod 2045 og på den finans-
politiske holdbarhed. Dog vil enkelte aftaler som nævnt kunne have en særskilt
virkning på den offentlige saldo efter 2025 i tilfælde, hvor der er en betydelig pro-
fil i enten lempelser eller finansiering efter 2025. Det skal ses i sammenhæng med,
at fremskrivningen efter planlægningshorisonten følger beregningstekniske prin-
cipper og dermed ikke tilpasses inden for en fastlagt saldomålsætning.
Hvis en politisk aftale indebærer en effekt eller indfasning som rækker ud over
planlægningshorisonten kan der således være en effekt på den offentlige saldo
efter planlægningshorisonten og på holdbarhedsindikatoren HBI, jf. nedenfor.
Finansministeriet · Christiansborg Slotsplads 1 · 1218 København K · T 33 92 33 33 · E [email protected] · www.fm.dk
FIU, Alm.del - 2017-18 - Endeligt svar på spørgsmål 471: Spm. om at oplyse den langsigtede virkning af hver enkelt af de økonomiske aftaler, der er indgået siden regeringsskiftet 2015, til finansministeren
1963961_0002.png
Side 2 af 7
Nogle af de beslutninger, der har betydning for opgørelsen af HBI og den såkald-
te hængekøjeudfordring frem mod 2040-2045, følger af regeringens 2025-plan:
I forbindelse med
Vækst og Velstand 2025
har regeringen sat et mål om balance
på den strukturelle offentlige saldo i 2025 (hvilket også var målet i den foregå-
ende V-regerings 2025-plan,
Helhedsplanen, august 2016).
I forhold til forløbet
før fastlæggelsen af denne målsætning, indebar målet om strukturel balance en
forbedring af den offentlige saldo i 2025 på ca. 0,1 pct. af BNP. HBI blev til-
svarende forbedret med 0,1 pct. af BNP, mens den strukturelle saldo i 2040-45
blev forbedret med i størrelsesordenen 0,2 pct. af BNP. Virkningen er vok-
sende frem mod 2040-45 på grund af rentevirkninger af den lavere gæld, der
følger af en bedre offentlig saldo i 2025 og frem.
I forlængelse af Vækst og Velstand prioriterede regeringen med
Opdateret 2025-
forløb, august 2017
et løft af de offentlige investeringer på samlet set 22 mia. kr.
inden for rammerne af det finanspolitiske råderum. Løftet af de offentlige in-
vesteringer frem mod 2025 bortfalder efterfølgende, bortset fra et beløb, der
medgår til vedligeholdelse af det større offentlige kapitalapparat. Prioriteringen
indebærer samlet set en reduktion af hængekøjeudfordringen med ca. 0,2 pct.
af BNP og en tilsvarende forbedring af HBI
1
.
Hertil kommer som nævnt politiske aftaler, hvis disse indebærer en indfasning
eller saldoeffekt, som rækker ud over planlægningshorisonten. De primære rele-
vante aftaler siden 2015 er:
Forlig om
Tryghed om boligbeskatningen (april 2017):
Frem til 2025 er aftalen fuldt
finansieret inden for det finanspolitiske råderum. Efter 2025 er finansieringen
varig, mens en del af mindreprovenuet afspejler rabatter til eksisterende bolig-
ejere. Virkningen på de offentlige finanser af disse rabatter vil over tid blive
udfaset i takt med, at eksisterende ejere fraflytter deres boliger. Det forhold, at
rabatterne er større i 2025 og mindre efterfølgende medfører på længere sigt
en nettoforbedring af den offentlige saldo på i størrelsesorden 0,2 pct. af BNP
i årene 2041-2045 og HBI forbedres med omtrent 0,15 pct. af BNP,
jf. Svar på
Finansudvalgets spørgsmål 347 af 18. maj 2017.
Aftalen
Flere år på arbejdsmarkedet (juli 2017)
forbedrer vilkårene for pensions-
opsparing og øger fremtidige udbetalinger af folkepension til personer, der
benytter sig af alderspension frem for fradragsberettigede ordninger. Det bi-
drager til en isoleret forværring af den offentlige saldo i hængekøjeårene og
den finanspolitiske holdbarhed. Aftalens ændrede regler for alderspension in-
debærer en fremrykning af skattebetalinger, som medgår til finansiering af en
pulje til håndtering af samspilsproblemet (udmøntet ifm.
Aftale om lavere skat på
arbejdsindkomst og større fradrag for pensionsindbetalinger).
Udbetalinger fra alders-
Det bemærkes, at
Aftale om lavere skat på arbejdsmarkedsindkomst og større fradrag for pensionsindbetalinger
fra februar 2018 blev
delvist finansieret ved at reducere det planlagte løft af de offentlige investeringer med �½ mia. kr. årligt i 2021 til 2025. I
energiaftalen fra juni 2018 er der omvendt foretaget en omfordeling af investeringsløftet, så løftet er ca. ¼ mia. kr. mindre
årligt i 2022 og 2023 og tilsvarende ca. ¼ mia. kr. højere i årene 2024 og 2025. Samlet set er holdbarhedsbidraget fra, at
investeringsløftet er midlertidigt, derfor nogenlunde upåvirket af ændringerne i disse 2 aftaler.
1
FIU, Alm.del - 2017-18 - Endeligt svar på spørgsmål 471: Spm. om at oplyse den langsigtede virkning af hver enkelt af de økonomiske aftaler, der er indgået siden regeringsskiftet 2015, til finansministeren
1963961_0003.png
Side 3 af 7
pension modregnes ikke i de offentlige ydelser til pensionister. Svækkelsen af
de offentlige finanser efter 2025 skal ses i sammenhæng med, at tiltagene i af-
talen bl.a. har til hensigt at sikre opbakningen til arbejdsmarkedspensionerne,
herunder ved at aftalen bidrager til at håndtere samspilsproblemet i pensions-
systemet, så det kan svare sig at spare op,
jf. også svar på Svar på Finansudvalgets
spørgsmål nr. 417 (alm. del) af 22. juni 2017.
Samtidig inddæmmes risikoen for en
generel omfattende omlægning af pensionsopsparing fra fradragsberettigede
ordninger mod den allerede eksisterende aldersopsparingsordning, som ville
have betydelige konsekvenser for de offentlige finanser.
Aftale om flere år på ar-
bejdsmarkedet
svækker i gennemsnit den strukturelle offentlige saldo med ca.
0,15 pct. af BNP i perioden 2041-2045 og HBI med mellem 0,1 pct. og 0,15
pct. af BNP. I disse skøn er der ikke indregnet afledte virkninger på arbejds-
udbuddet af andre tiltag i aftalen end muligheden for skattefri udbetaling af ef-
terlønsbidrag.
Aftale om afskaffelse af PSO-afgiften (november 2016): Aftalen er neutral for
den strukturelle saldo i 2025. Sammensætningen af finansieringselementer og
lempelser vurderes imidlertid at mindske den finanspolitiske holdbarhed med i
størrelsesordenen 0,05 pct. af BNP og saldoen i 2040-45 omtrent tilsvarende.
Det afspejler, at PSO-afgiften i de langsigtede fremskrivninger før aftalen var
forudsat at udgøre en konstant andel af økonomien, mens den grønne check
som delvist indgår som et af finansieringselementerne
aftog som en andel af
økonomien. Det afspejler, at den grønne check fastholdes nominelt og dermed
aftager som pct. af BNP over tid.
Hertil kommer en række forhold, som til dels er af mere teknisk karakter. I for-
bindelse med
Vækst og Velstand 2025, august 2017
indgik en fornyet stillingtagen til,
at den gældende prisregulering af børnefamilieydelse og boligsikring er permanent,
og dette indgik i fremskrivningen også efter 2025. Da disse ydelser førhen blev
fremskrevet med lønudviklingen efter planlægningsperioden, medførte skiftet til
en permanent fastholdelse af gældende regler til en forbedring af HBI og saldoen i
2040-45 på omkring 0,2 pct. af BNP.
2
Fremskrivninger af dansk økonomi
det samlede billede
Virkningen af politiske aftaler og nye oplysninger i øvrigt afspejles løbende i frem-
skrivningerne af dansk økonomi. Finansministeriet udarbejder, som udgangs-
punkt, mellemfristede fremskrivninger for dansk økonomi to gange om året. Det
sker i forbindelse med Danmarks Konvergensprogram (foråret) og i forbindelse
med finanslovforslaget og fastsættelsen af nyt fjerde udgiftsloftsår (ultimo august).
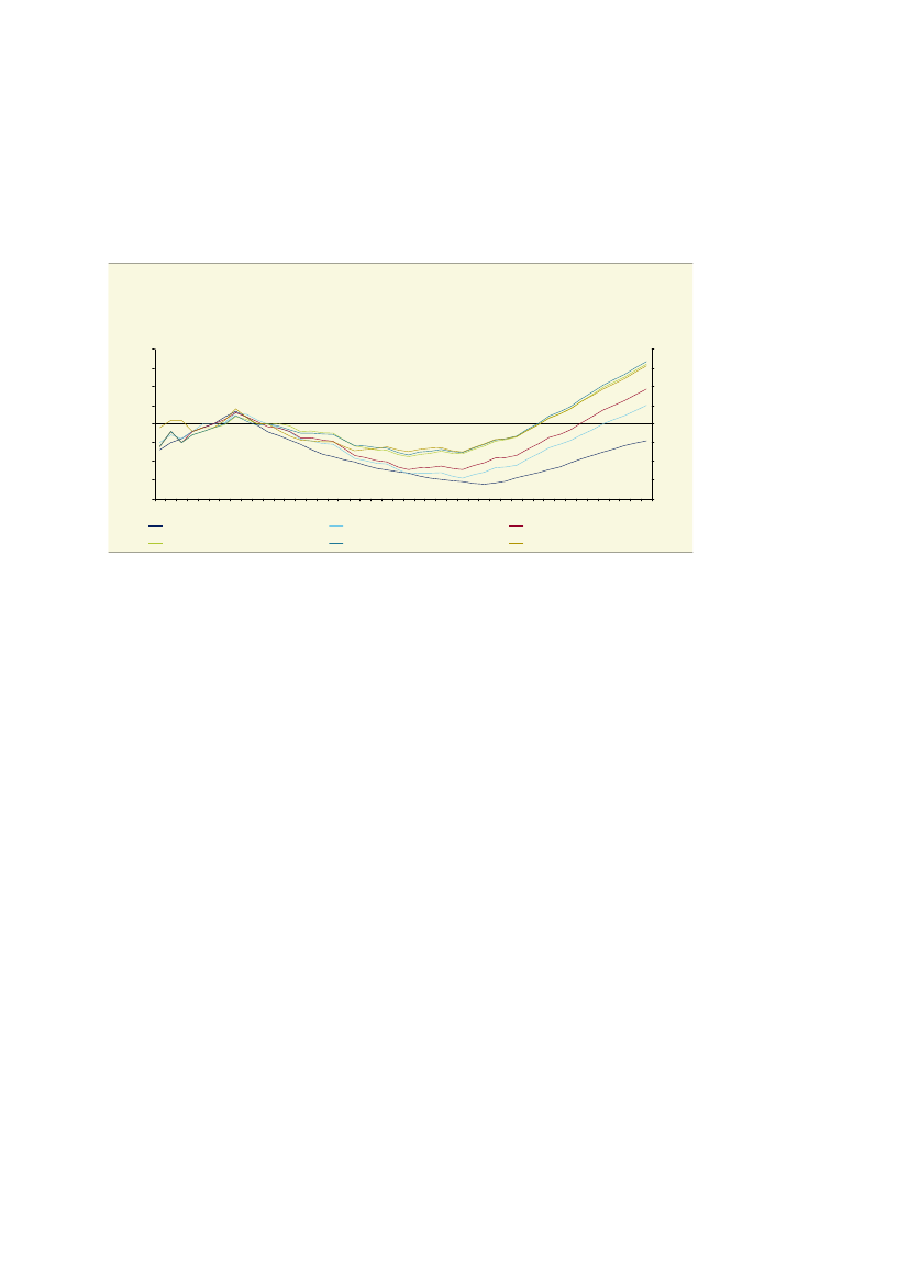
Siden Danmarks Konvergensprogram 2015, som er den sidste fremskrivning in-
den Folketingsvalget i 2015, er skønnet for den strukturelle saldo i årene efter
2025 generelt forbedret,
jf. figur 1.
Det afspejler blandt andet, at regeringen har sat
et mål om strukturel balance på den strukturelle offentlige saldo i 2025 og øvrige
tiltag, som påvirker de offentlige finanser positivt,
jf. ovenfor.
Hertil kommer en
2
Se
Økonomisk Analyse: Holdbarhed og generationsmæssig neutralitet,
Finansministeriet april 2017 og
Danmarks Konvergensprogram
2017
for beregningstekniske detaljer.
FIU, Alm.del - 2017-18 - Endeligt svar på spørgsmål 471: Spm. om at oplyse den langsigtede virkning af hver enkelt af de økonomiske aftaler, der er indgået siden regeringsskiftet 2015, til finansministeren
1963961_0004.png
Side 4 af 7
række beregningstekniske faktorer og nye oplysninger i øvrigt, herunder den lø-
bende indarbejdelse af de årlige befolkningsprognoser fra Danmarks Statistik og
DREAM.
Figur 1
Stukrturel offentlig saldo i udvalgte mellemfristede fremskrivninger
Pct. af BNP
2,0
1,5
1,0
0,5
0,0
-0,5
-1,0
Pct. af BNP
2,0
1,5
1,0
0,5
0,0
-0,5
-1,0
-1,5
-2,0
15
KP15
Vækst og velstand, maj 2017
20
25
30
35
40
45
50
KP17
55
60
Helhedsplanen, august 2016
Opdateret 2025-forløb, august 2017
-1,5
-2,0
Opdateret 2025-forløb, august 2018
Anm.: For
DK2025
Et stærkere Danmark
og
Vækst og velstand 2025
er vist grundforløb.
Kilde: Danmarks Konvergensprogram 2015 (KP15), DK2025
Et stærkere Danmark, Konvergensprogram 2017
(KP17), Vækst og velstand 2025, Opdateret 2025-forløb, august 2017 og Opdateret 2025-forløb, august
2018.
Virkning på BNP og beskæftigelse
Dansk økonomi har taget hul på en højkonjunktur, og der er kraftig fremgang i
beskæftigelsen, som aktuelt kan vokse holdbart, fordi den reformpolitik, der er
ført gennem en årrække, har øget arbejdsudbuddet. Danmark er et af de mest
velstående lande i verden. Det skyldes først og fremmeste at produktivitetsniveauet
er højt. Det gode fundament ønsker regeringen at bygge videre på. Når den øko-
nomiske vækst øges, medfører det et bredt velstandsløft i samfundet.
Regeringen ønsker at fortsætte de senere års reformkurs, der har været til stor
gavn for dansk økonomi. Nye reformer, der øger arbejdsudbuddet og løfter pro-
duktiviteten kan bidrage til, at det nuværende opsving bliver langt og holdbart og
til at skabe større velstand. Dansk økonomi kan have gavn af såvel store som
mindre tiltag, som bidrager til en positiv udvikling med mere vækst og velstand.
Siden juni 2015 er der gennemført en række initiativer som øger strukturelt BNP
med 13¼ mia. kr. Nye reformer kræver, at der er politisk vilje herfor i Folketinget
i kommende folketingsperioder frem mod 2025.
Regeringen har gennemført en række initiativer, som øger velstanden ved at styrke
erhvervslivets rammevilkår og øge produktiviteten. Siden juni 2015 er der gen-
nemført initiativer som samlet set vurderes at øge strukturelt BNP med ca. 10�½
mia. kr.,
jf. tabel 1.
FIU, Alm.del - 2017-18 - Endeligt svar på spørgsmål 471: Spm. om at oplyse den langsigtede virkning af hver enkelt af de økonomiske aftaler, der er indgået siden regeringsskiftet 2015, til finansministeren
1963961_0005.png
Side 5 af 7
Tabel 1
Gennemførte initiativer siden regeringsskiftet i juni 2015, der via øget produktivitet løfter strukturelt BNP
BNP-effekt, mia. kr. (2017-niveau), 2025-virkning
Gennemførte initiativer siden juni 2015
Modernisering af planlov
Vækst i hele Danmark
øvrige initiativer
Fødevare- og landbrugspakke
Udbudslov
FL16
PSO-aftalen
Øvrige initiativer 2016
1)
Hvidvaskdirektivet
2)
Erhvervs- og iværksætterinitiativer
Delelementer af forsyningsstrategien
3)
Viking Link
4)
Løft af rammen for offentlige investeringer
Energiaftale 2018
5)
I alt
0,7
0,2
1,2
0,3
0,3
1,5
0,6
-0,7
0,7
3,3
0,3
1,7
0,4
10�½
Kilde: Diverse aftaletekster og egne beregninger.
1) Øvrige initiativer dækker over tilpasning af planer for kabellægning samt ophævelse af 60-40 ordning for solceller,
som der ikke tidligere har været skønnet over.
2) Ikke tidligere skønnet over.
3) Ny regulering af elsidtributionssektoren og fjernvarmesektoren.
4) Der er truffet politisk beslutning om den nye elforbindelse mellem Danmark og Storbritannien. Tidspunktet for
implementering ligger på nuværende tidspunkt ikke fast.
5) Opgjort ekskl. virkningen af støtte til vedvarende energi.
Gennemførte initiativer siden regeringsskiftet i juni 2015, der øger velstanden
gennem højere strukturel beskæftigelse, skønnes samlet set at øge den strukturelle
beskæftigelse med ca. 3.400 fuldtidspersoner, hvilket skønsmæssigt svarer til et
løft i strukturelt BNP på 2¾ mia. kr.,
jf. tabel 2.
Den positive virkning skal blandt
andet ses i sammenhæng med Jobreform fase 1, lavere skat på arbejdsindkomst
samt initiativer, der øger incitamentet for seniorer til at blive længere på arbejds-
markedet.
FIU, Alm.del - 2017-18 - Endeligt svar på spørgsmål 471: Spm. om at oplyse den langsigtede virkning af hver enkelt af de økonomiske aftaler, der er indgået siden regeringsskiftet 2015, til finansministeren
1963961_0006.png
Side 6 af 7
Tabel 2
Gennemførte initiativer siden regeringsskiftet i juni 2015, der øger den strukturelle beskæftigelse
Fuldtidspersoner
Gennemførte initiativer siden juni 2015
Jobreform fase I
(kontanthjælpsloft)
Integrationsydelse
Aftale om et tryggere dagpengesystem
FL16 (lavere registreringsafgift)
FL17 (lavere registreringsafgift)
PSO-aftalen
Aftale om flere år på arbejdsmarkedet
Aftale om omlægning af bilafgifter
Aftale om ny ferielov
Erhvervs- og iværksætterinitiativer
FL 18 (sorgorlov)
Aftale om lavere skat på arbejdsindkomst og større fradrag for
pensionsindbetalinger
Mediepolitisk aftale for 2019-2023
Energiaftale 2018
Regelforenkling af beskæftigelsesindsatsen
I alt
BNP effekt, mia. kr. (2017-niveau)
700
500
-850
500
350
750
700
600
-1.400
350
-100
1.350
-100
200
-200
3.400
Anm. Enkelttiltag er afrundet til nærmeste hele antal 50 personer. Totalen er afrundet til hele antal 100 personer.
Der er ikke medtaget aftaler med en virkning på mindre end 100 personer. Der er usikkerhed om de anførte
skøn.
Kilde: Diverse aftaletekster og egne beregninger.
For en detaljeret gennemgang af virkningen af de enkelte initiativer henvises til
Svar på Finansudvalgets spørgsmål 509 (Alm. del) af 23. august 2018.
Ud over de angivne virkninger indeholder en række aftaler elementer, som poten-
tielt kan øge velstanden og beskæftigelsen ud over hvad det har været muligt at
kvantificere på forhånd. Blandt disse kan nævnes:
I
Flere år på arbejdsmarkedet
er der alene indregnet effekt på den strukturelle
beskæftigelse af forslaget om mulighed for skattefri udbetaling af efterlønsbi-
drag. Der indgår en række yderligere forslag i aftalen, som kan have positive
virkninger på arbejdsudbuddet i form af senere tilbagetrækning. Det har imid-
lertid ikke været muligt på forhånd at fastlægge konkrete skøn for arbejdsud-
budsvirkningerne af disse forslag. Det skyldes, at der ikke har været tilstrække-
ligt empirisk grundlag herfor, jf. også besvarelsen af Finansudvalgets spørgs-
mål nr. 527 (alm. del) af 31. august 2017 og Finansudvalgets spørgsmål 11
(alm. del) af 5. oktober 2017.
FIU, Alm.del - 2017-18 - Endeligt svar på spørgsmål 471: Spm. om at oplyse den langsigtede virkning af hver enkelt af de økonomiske aftaler, der er indgået siden regeringsskiftet 2015, til finansministeren
Side 7 af 7
I to- og trepartsaftalerne fra 2016 indgår en række initiativer, som blandt andet
indebærer, at flygtninge som udgangspunkt mødes som jobparate i beskæfti-
gelsessystemet og den nye integrationsgrunduddannelse (IGU). Disse initiati-
ver vil ligeledes kunne bidrage til øget beskæftigelse, men der foreligger ikke
tilstrækkeligt empirisk grundlag til at indregne en effekt. Det seneste halvandet
år har andelen af integrationsydelsesmodtagerne, der er erklæret jobparate eller
åbenlyst uddannelsesparate samt er omfattet af integrationsprogrammet, i
gennemsnit ligget over 70 pct. Integrationsydelsesmodtagerne har i stigende
grad fået en tættere tilknytning til arbejdsmarkedet gennem beskæftigelse,
jf. og-
så Økonomisk Redegørelse,
august 2018. Muligheden for praktik i forbindelse med
integrationsgrunduddannelsen kan også have bidraget til den positive udvik-
ling.
I 2018 nåede beskæftigelsen det højeste niveau nogensinde, og ledigheden er på
det laveste niveau i ni år. Der er således blevet færre ledige ressourcer i dansk
økonomi, og andelen af virksomheder som melder om mangel på arbejdskraft er
allerede høj. Nye reformer som øger arbejdsudbuddet og styrker vækstpotentialet
vil kunne styrke og forlænge opsvinget i dansk økonomi og mindske risikoen for,
at der på ny opstår pres på arbejdsmarkedet, som bremser fremgangen i økonomi-
en.
Med venlig hilsen
Kristian Jensen
Finansminister