Finansudvalget 2017-18
FIU Alm.del
Offentligt
1916270_0001.png
Folketingets Finansudvalg
Christiansborg
26. juni 2018
Svar på Finansudvalgets spørgsmål nr. 389 (Alm. del) af 6. juni
2018
Spørgsmål
Vil ministeren oplyse forløbene for den offentlige saldo, den strukturelle saldo og
den offentlige nettogæld for årene 2020-2100 for såvel grundforløbet samt et risi-
koforløb (lig det, der er ligger til grund for figur 5.9
”Det
danske pensionssystem
nu og i fremtiden”, juni 2017), hvor der forudsættes fuld omlægning af fradrags-
berettigede pensionsindbetalinger mod aldersopsparing inden for de gældende
regler?
Svar
Med
aftale om flere år på arbejdsmarkedet, juni 2017
er reglerne for aldersopsparing
ændret. Fra 2018 kan personer, som har mere end 5 år til folkepensionsalderen
indbetale op til 5.000 kr. årligt efter skat. Personer, der har 5 år eller mindre til
folkepensionsalderen kan indbetale op til 45.000 kr. efter skat i 2018. Grænsen
stiger med 1.000 kr. årligt frem til 2023, hvorefter der kan indbetales 50.000 kr.
efter skat pr. år
1
.
Selvom indbetalingsloftet til aldersopsparing sænkes i forhold til de hidtidige reg-
ler i årene frem til 5 år før folkepensionsalderen, er det samlet set vurderingen, at
aftalen isoleret set vil bidrage til at øge de samlede indbetalinger til aldersopspa-
ring i forhold til det (tidligere) forudsatte i de mellemfristede fremskrivninger
2
.
Konkret er det forudsat, at nuværende pensionsindbetalinger til fradragsberettige-
de ordninger i stort omfang omlægges til aldersopsparing indenfor mulighederne
af de nye indbetalingslofter
især for personer, der ikke betaler topskat på indbe-
talingstidspunktet.
Det skal blandt andet ses i lyset af, at der med aftalen lægges op til, at aldersopspa-
ring kan anvendes af fx arbejdsmarkedspensionsselskaberne og træde i stedet for
eller supplere de eksisterende fradragsberettigede ordninger. Dette understøttes af:
1
2
Alle beløb anført i 2017-niveau.
I forbindelse med ændringerne af reglerne for aldersopsparing blev det vurderet, at den forudsatte omlægning til aldersop-
sparing medfører, at holdbarheden af de offentlige finanser svækkes med omkring ¾ mia. kr. (2018-niveau) målt i forhold
til det (tidligere) forudsatte i de mellemfristede fremskrivninger.
Finansministeriet · Christiansborg Slotsplads 1 · 1218 København K · T 33 92 33 33 · E [email protected] · www.fm.dk
FIU, Alm.del - 2017-18 - Endeligt svar på spørgsmål 389: Spm. om forløbene for den offentlig saldo, den strukturelle saldo og den offentlige nettogæld, til finansministeren
1916270_0002.png
Side 2 af 3
at pensionsselskabernes har fået mulighed for at indeholde skat af ar-
bejdsmarkedspensionsindbetalinger.
at der er indført frit valg af udbetalingsform for indbetalinger på aldersop-
sparingsordningerne
dvs. både med mulighed for sumudbetaling, udbe-
taling som ratepension eller som livrente.
at der med de nye regler har været fokus på, at skabe større sikkerhed om-
kring aldersopsparingsordningens plads i pensionssystemet. Det skal ses i
lyset af, at fuld udnyttelse af mulighederne for omlægning mod aldersop-
sparing ikke på samme måde som tidligere vil resultere i en meget betyde-
lig svækkelse af de offentlige finanser, som vil kræve modgående tiltag.
Dermed har ordningen fået et mere holdbart maksimalt omfang, hvilket
forventes at understøtte en større udbredelse.
Som følge af det tredje punkt indebærer den forudsatte udnyttelse af aldersopspa-
ring, at der indenfor de nye indbetalingslofter er et forholdsvist begrænset poten-
tiale for yderligere omlægning til aldersopsparing fra eksisterende fradragsberetti-
gede ordninger.
I forhold til forudsætningerne i den seneste mellemfristede fremskrivning (Konver-
gensprogram 2018)
vil en fuld omlægning indebære, at holdbarheden af de offentlige
finanser svækkes med omkring ¼ mia. kr. årligt (2018-niveau). Det afspejler først
og fremmest, at udgifterne til folkepension, boligydelse mv. på sigt øges ved yder-
ligere omlægning til aldersopsparing, fordi udbetalingerne fra aldersopsparing
i
modsætning til udbetalinger fra fradragsberettigede ordninger
ikke medfører
indkomstmodregning af offentlige pensionsydelser. På kort sig forbedres de of-
fentlige finanser ved fuld omlægning til aldersopsparing, fordi beskatningen sker
på indbetalingstidspunktet og ikke på udbetalingstidspunktet som for fradragsbe-
rettigede ordninger,
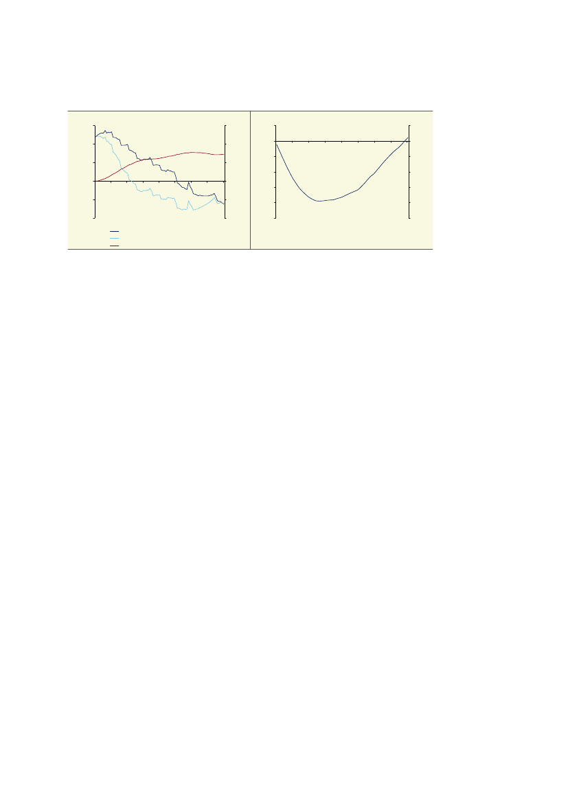
jf. figur 1.
Virkningen på den offentlige nettogæld er vist i figur
2.
Konsekvenserne for de offentlige finanser ved fuld omlægning til aldersopsparing
er med de nye indbetalingslofter begrænset væsentligt i sammenlignet med situati-
onen under de tidligere regler,
jf. Det danske pensionssystem
nu og i fremtiden, juni
2017.
Figur 1
Virkning på offentlige finanser ved fuld
omlægning til aldersopsparing indenfor gældende
regler
Figur 2
Virkning på offentlig nettogæld ved fuld
omlægning til aldersopsparing inden for
gældende regler
FIU, Alm.del - 2017-18 - Endeligt svar på spørgsmål 389: Spm. om forløbene for den offentlig saldo, den strukturelle saldo og den offentlige nettogæld, til finansministeren
1916270_0003.png
Side 3 af 3
Mia. kr. (2018-niveau)
1,5
Mia. kr. (2018-niveau)
1,5
Mia. kr. (2018-niveau)
5
0
-5
Mia. kr. (2018-niveau)
5
0
-5
-10
-15
1,0
1,0
0,5
0,5
-10
0,0
0,0
-15
-0,5
-0,5
-20
-20
-1,0
-1,0
2020 2030 2040 2050 2060 2070 2080 2090 2100
Offentlig saldo
Primær saldo
Udgifter til folkepension og boligydelse
-25
-25
2020 2030 2040 2050 2060 2070 2080 2090 2100
Anm.: Figurerne viser vikningen på de offentlige finanser ved fuld omlægning til aldersopsparing fra eksisterende
fradragsberettigede pensionsindbetalinger
målt i forhold til forudsætningerne i den seneste mellemfristede
fremskrivning (Konvergensprogram 2018). Beregningerne tager udgangspunkt i det beregningsgrundlag, der
blev anvendt i forbindelse med
aftale om flere år på arbejdsmarkedet, juni 2017.
Kilde: Egne beregninger.
Med venlig hilsen
Kristian Jensen
Finansminister