Finansudvalget 2017-18
FIU Alm.del
Offentligt
1877817_0001.png
Folketingets Finansudvalg
Christiansborg
10. april 2018
Svar på Finansudvalgets spørgsmål nr. 262 (Alm. del) af 21.
marts 2018 stillet efter ønske fra Pelle Dragsted (EL)
Spørgsmål
Vil ministeren i forlængelse af svaret på FIU alm. del - spørgsmål 238 (2016-17)
fremsende a) en tabel, der viser den af Finansministeriet forventede arbejdsud-
budsvirkning af reformerne i hvert af årene 2017-2025 og b) en tabel, der viser
den af Finansministeriet forventede provenuvirkning for de offentlige kasser af
det øgede arbejdsudbud i hvert af årene 2017-2025?
Svar
I
Svar på Finansudvalget spørgsmål nr. 238 (Alm. del) af 7. februar 2017
er der vist virk-
ningen på den strukturelle beskæftigelse i årene 2020 og 2025 af større reformer
gennemført siden 2006. Flere af disse reformer
fx
Lavere skat på arbejde,
2007
er
fuldt implementerede inden 2017, og de vil derfor ikke bidrage til at øge den
strukturelle beskæftigelse i årene mellem 2016 og 2025.
Den strukturelle beskæftigelse skønnes
som følge af reformer
at stige med ca.
137.000 personer fra 2016 til 2025,
jf. tabel 1.
Det skyldes først og fremmest tilba-
getrækningsreformerne
Velfærdsaftale,
2006 og
Aftale om senere tilbagetrækning,
2011.
Reformerne styrker isoleret set den strukturelle saldo med skønsmæssigt ca. 1,9
pct. af strukturelt BNP i perioden. Reformerne har således stor betydning for det
finanspolitiske råderum inden for rammen af det mellemfristede mål om balance
på den strukturelle saldo i 2025.
Finansministeriet · Christiansborg Slotsplads 1 · 1218 København K · T 33 92 33 33 · E [email protected] · www.fm.dk
FIU, Alm.del - 2017-18 - Endeligt svar på spørgsmål 262: Spm. om ministeren vil fremsende en tabel om den forventede arbejdsudbudsvirkning og provenuvirkning, til finansministeren
1877817_0002.png
Side 2 af 3
Tabel 1
Reformers effekt på strukturel beskæftigelse og strukturel saldo 2016-2025
2017
1.000 fuldtidspersoner
Samlet
Tilbagetrækningsreformer
Skattereform, 2012
Førtidspensionsreform,
2012
SU-reform, 2013
Skatteaftale, 2018
Øvrige reformer
2)
1)
2018
2019
2020
2021
2022
2023
2024
2025
16
11
1
1
1
0
3
32
22
2
1
2
0
5
47
35
3
2
3
1
4
70
53
5
3
4
1
4
88
69
6
3
4
1
4
112
90
8
4
4
2
4
122
99
9
4
4
2
4
130
106
9
5
4
2
4
137
112
10
6
4
2
4
Pct. af strukturelt BNP
Strukturel saldo
0,2
0,4
0,6
1,0
1,2
1,5
1,7
1,8
1,9
Anm.: 1) Velfærdsaftalen, 2006, Aftale om senere tilbagetrækning, 2011 og Aftale om flere år på arbejdsmarkedet,
2017. 2) Øvrige reformer omfatter effekter af: Midlertidig arbejdsmarkedsydelse, 2013, Vækstplan DK, 2013,
Kontanthjælpsreform, 2013, Aftale om international rekruttering, 2013, Reform af beskæftigelsesindsats og
refusionsomlægning, 2014, Aftale om kontantydelse, 2014, Dagpengereform, 2015, Kontanthjælpsloft, 2015,
BoligJobordning, 2015, Afskaffelse af PSO-afgift, 2016 og Ferielov, 2017.
Kilde: Egne beregninger.
Selvom der er tilstræbt så retvisende skøn som muligt for reformeffekterne, er der
usikkerhed knyttet til skønnene. Det betyder, at reformernes virkning både kan
vise sig at være større eller mindre end forudsat. Eventuelle afvigelser vil løbende
blive opfanget i forbindelse med de økonomiske redegørelser og mellemfristede
fremskrivninger. Det sker helt på linje med den løbende indarbejdelse af øvrige
nye informationer.
Det bemærkes i den forbindelse, at over 80 pct. af de forudsatte reformeffekter på
arbejdsudbuddet i 2025 afspejler Velfærdsaftalen, 2006 og Tilbagetrækningsrefor-
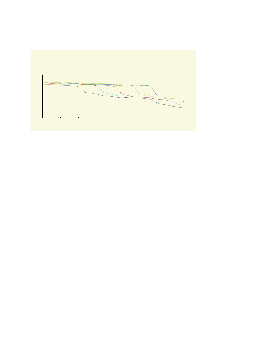
men, 2011. De hidtidige erfaringer med den forhøjede efterlønsalder
1
viser, at de
60-årige, der har fået udskudt deres efterlønsalder, arbejder i stort set uformind-
sket omfang frem til deres nye forhøjede efterlønsalder,
jf. figur 1.
Det bekræfter
reformens positive virkning på beskæftigelsen for de over 60-årige.
Med den seneste reform af efterlønsordningen
Aftale om senere tilbagetrækning,
2011
hæves efterlønsalderen årligt med �½
år i perioden 2014-2019 og igen i 2022-2023.
1
FIU, Alm.del - 2017-18 - Endeligt svar på spørgsmål 262: Spm. om ministeren vil fremsende en tabel om den forventede arbejdsudbudsvirkning og provenuvirkning, til finansministeren
1877817_0003.png
Side 3 af 3
Figur 1
Lønmodtagerfrekvens for årgange med forskellige efterlønsalder fra 2014 og frem
Pct.
80
Pct.
80
70
70
60
60
50
50
40
40
30
59 år
59�½ år
60 år
60�½ år
61 år
61�½ år
62 år
62�½ år
Jan 53 (efterløn 60 år)
Jan 55 (efterløn 61�½ år)
Jan 54 (efterløn 60�½ år)
Jul 55 (efterløn 62 år)
Jul 54 (efterløn 61 år)
Jan 56 (efterløn 62�½ år)
30
Kilde: Danmarks Statistik
register for lønmodtagerbeskæftigelse og egne beregninger.
Med venlig hilsen
Kristian Jensen
Finansminister