Erhvervs-, Vækst- og Eksportudvalget 2017-18
ERU Alm.del
Offentligt
1869189_0001.png
MARTS 2018
Vækstplan
for life science
Danmark som førende life science nation
Erhvervsministeriet
ERU, Alm.del - 2017-18 - Endeligt svar på spørgsmål 105: Spm. om kommentar til henvendelse af 20/2-18 fra Bristol-Myers Squibb Denmark vedrørende fremme af life science entreprenørskab, til erhvervsministeren
1869189_0002.png
ERU, Alm.del - 2017-18 - Endeligt svar på spørgsmål 105: Spm. om kommentar til henvendelse af 20/2-18 fra Bristol-Myers Squibb Denmark vedrørende fremme af life science entreprenørskab, til erhvervsministeren
1869189_0003.png
VÆKSTPLAN FOR LIFE SCIENCE
3
Indhold
Forord
. . . . . . . . . . . . . . . . . . . . . . . . . . . . . . . . . . . . . . . . . . . . . . . . . . . . . . . . . . . . . . . . . . . . . . . . . . . . . . . . . . . . . . . . . . . . . . . . . . . . . . . . . . . . . . . . . . . . . . . . . .
5
6
15
20
24
30
34
40
46
50
Sammenfatning
. . . . . . . . . . . . . . . . . . . . . . . . . . . . . . . . . . . . . . . . . . . . . . . . . . . . . . . . . . . . . . . . . . . . . . . . . . . . . . . . . . . . . . . . . . . . . . . . . . . . . . . . . . . . . .
. . . . . . . . . . . . . . . . . . . . . . . . . . . . . . . . . . . . . . . . . . . . . . . . . . . . . . . . . . . . . . . . . . . . . . . . . . . . . . . .
Attraktivt at forske og udvikle i Danmark
Mere klinisk forskning til Danmark
Lægemiddelstyrelsen i topklasse
. . . . . . . . . . . . . . . . . . . . . . . . . . . . . . . . . . . . . . . . . . . . . . . . . . . . . . . . . . . . . . . . . . . . . . . . . . . . . . . . . . . . . . . .
. . . . . . . . . . . . . . . . . . . . . . . . . . . . . . . . . . . . . . . . . . . . . . . . . . . . . . . . . . . . . . . . . . . . . . . . . . . . . . . . . . . . . . . . . .
. . . . . . . . . . . . . . . . . . . . . . . . . . . . . . . . . . . . . . . . . . . . . . . . . . . . . . . . . . . . . . . . . . . . . . . . . . . . . . . .
Bedre adgang til kvalificeret arbejdskraft
Flere startups og digital omstilling
Målrettet internationaliseringsindsats
. . . . . . . . . . . . . . . . . . . . . . . . . . . . . . . . . . . . . . . . . . . . . . . . . . . . . . . . . . . . . . . . . . . . . . . . . . . . . . . . . . . . . . . .
. . . . . . . . . . . . . . . . . . . . . . . . . . . . . . . . . . . . . . . . . . . . . . . . . . . . . . . . . . . . . . . . . . . . . . . . . . . . . . . . . . .
. . . . . . . . . . . . . . . . . . . . . . . . . . . . . . . . . . . . . . . . . . . . . . . . . . . . . . . . . . . . . . . . . . . . . . . . . . . .
Ny life science enhed i Erhvervsministeriet
Økonomioversigt
. . . . . . . . . . . . . . . . . . . . . . . . . . . . . . . . . . . . . . . . . . . . . . . . . . . . . . . . . . . . . . . . . . . . . . . . . . . . . . . . . . . . . . . . . . . . . . . . . . . . . . . . . . . .
ERU, Alm.del - 2017-18 - Endeligt svar på spørgsmål 105: Spm. om kommentar til henvendelse af 20/2-18 fra Bristol-Myers Squibb Denmark vedrørende fremme af life science entreprenørskab, til erhvervsministeren
1869189_0004.png
ERU, Alm.del - 2017-18 - Endeligt svar på spørgsmål 105: Spm. om kommentar til henvendelse af 20/2-18 fra Bristol-Myers Squibb Denmark vedrørende fremme af life science entreprenørskab, til erhvervsministeren
1869189_0005.png
VÆKSTPLAN FOR LIFE SCIENCE
5
Forord
Danske life science virksomheder er blandt de føre-
nde på det globale marked for lægemidler og medi-
cinsk udstyr. Med udgangspunkt i dygtige virksom-
heder, et stærkt sundhedsvæsen og internationalt
førende forskningsmiljøer er life science blevet en
central dansk styrkeposition.
Danmark har mulighed for at stå endnu stærkere
på life science området i fremtiden. Det kræver et
vedvarende fokus på at styrke innovation, forsk-
ning og produktudvikling. De seneste års udvikling
peger på et stort vækstpotentiale, hvis vi fortsætter
de gode takter inden for life science.
Regeringens vision er, at Danmark skal være en
førende life science nation i Europa og fremlægger
derfor denne vækstplan med i alt 36 initiativer. De
tager udgangspunkt i anbefalingerne fra det ned-
satte vækstteam for life science.
Det skal fortsat være attraktivt at forske og
udvikle i Danmark. Regeringen lægger vægt på, at
virksomhedernes vilkår for at forske og udvikle i
Danmark er internationalt konkurrencedygtige.
Samtidig skal indsatsen for at styrke kvalitet og
relevans af den offentlige forskning på både univer-
siteterne og hospitalerne fortsætte.
Der skal mere klinisk forskning til Danmark. Det
tiltrækker investeringer til Danmark. Regeringen
vil derfor gøre det nemmere og billigere for virk-
somheder at igangsætte kliniske forsøg i samar-
bejde med hospitalerne.
Danmark skal have en lægemiddelstyrelse i top-
klasse. Regeringen vil derfor styrke Lægemiddelsty-
relsen, herunder engagementet i Det Europæiske
Lægemiddelagentur (EMA), så danske life science
virksomheder sikres kompetent og effektiv rådgiv-
ning i godkendelsesprocessen af lægemidler og
medicinsk udstyr.
Der skal være bedre adgang til kvalificeret
arbejdskraft. Efterspørgslen på kvalificeret arbejds-
kraft inden for life science er nemlig stigende. Der
skal derfor uddannes flere med tekniske, digitale og
naturvidenskabelige kompetencer (STEM-kompe-
tencer), og det skal være nemmere at tiltrække
internationale talenter.
Flere startups og digital omstilling skal styrke
vækstlaget inden for life science. Regeringen vil
derfor styrke iværksætter- og aktiekulturen og
iværksætte konkrete tiltag, så Danmark og danske
virksomheder også i fremtiden kan være digitale og
teknologiske frontløbere.
Der skal iværksættes en målrettet internationali-
seringsindsats. Den internationale konkurrence
bliver mere og mere intens. Regeringen vil derfor
styrke det internationale myndighedssamarbejde,
investeringsfremmeindsatsen og den internatio-
nale markedsføring af Danmark som life science
nation.
Det overordnede ansvar for opfølgningen på
vækstplanen vil blive forankret i Erhvervsministe-
riets nye life science enhed, der står for den
erhvervspolitiske indsats i forhold til life science
industrien.
Erhvervsminister
Brian Mikkelsen
Sundhedsminister
Ellen Trane Nørby
Udenrigsminister
Anders Samuelsen
Uddannelses- og forskningsminister
Søren Pind
ERU, Alm.del - 2017-18 - Endeligt svar på spørgsmål 105: Spm. om kommentar til henvendelse af 20/2-18 fra Bristol-Myers Squibb Denmark vedrørende fremme af life science entreprenørskab, til erhvervsministeren
1869189_0006.png
6
VÆKSTPLAN FOR LIFE SCIENCE
Sammenfatning
Et erhverv i udvikling med globale muligheder
og udfordringer
Life science er blevet en vækstmotor i dansk
økonomi. Gennem de seneste 20 år har life science
etableret sig som et af vores største og mest konkur-
rencedygtige eksporterhverv. Eksporten er gået fra i
løbende priser at være under 20 mia. kr. i 1996 til
107 mia. kr. i 2016. Det svarer til en stigning fra 4
pct. til 17 pct. af den samlede danske vareeksport.
Til sammenligning udgør andre fremtrædende
eksporterhverv i Danmark såsom fødevarer og
energiteknologi henholdsvis 18 pct. og 12 pct. af
vareeksporten.
Også i international sammenhæng har dansk life
science opnået en stærk position og opgjort som
vareeksportens andel af BNP, placerer Danmark sig
foran andre kendte life science nationer som Belgien,
Storbritannien og Frankrig, men efter Schweiz,
jf. figur 1. Erhvervets ambition er at fordoble life
scienceeksporten frem mod 2025.
Men den internationale konkurrence intensive-
res i disse år, og det bliver sværere for især nye life
science virksomheder at komme ind på etablerede
og nye markeder. Adgangsbarriererne bliver højere
og højere på grund af nye og stærke spillere på det
globale marked og en stigende reguleringsmæssig
kompleksitet. For at Danmark kan være en førende
life science nation i Europa, vil regeringen reducere
nogle af de væsentlige barrierer, som industrien
oplever, og understøtte virksomhedernes vækst-
muligheder.
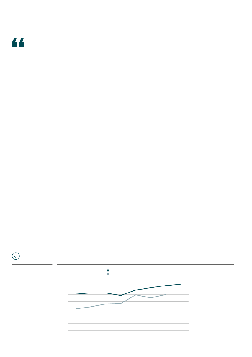
Fra 2001 til 2015 er fuldtidsbeskæftigelsen inden
for life science steget med 46 pct. Det har bidraget
til at fastholde Danmark som produktionsland i
en periode, hvor antallet af beskæftigede i
Boks 1
Hvad er life science?
Life science
Life science virksomheder defineres i denne vækst­
plan som alle virksomheder, der arbejder i hele eller
dele af værdikæden inden for lægemidler og bio­
teknologiske præparater samt medicoprodukter.
Det vil sige virksomheder, der laver forskning, udvik­
ling, rådgivning, produktion og/eller salg. I Danmark
har vi flere store virksomheder inden for disse
områder blandt andet inden for insulin, psyko­
farmaka, stomi og høreapparater.
Medicoprodukter omfatter udstyr mv., som bruges
i forbindelse med sundhedsbehandling. Det kan
for eksempel være hospitalssenge eller sprøjter.
Medico omfatter også i stigende grad digitale sund­
hedsløsninger.
Figur 1
Udvikling i life science
industriens andel af den
samlede vareeksport
i sammenlignelige lande,
2008-2016.
Pct.
30
25
20
15
10
5
0
Schweiz
Danmark
Belgien Storbritannien Frankrig
Tyskland
2008
2016
Anm.:
Der anvendes SITC vare-
koder, hvor life science industrien
udgøres af Medicinske og farma-
ceutiske produkter, Lægemidler
(herunder dyrlægemidler) samt
Instrumenter og apparater, i.a.n.,
til medicinsk, kirurgisk, dental
eller veterinær brug.
Sverige Nederlandene
Norge
Kilde:
OECD og Danmarks
Statistik samt egne beregninger.
ERU, Alm.del - 2017-18 - Endeligt svar på spørgsmål 105: Spm. om kommentar til henvendelse af 20/2-18 fra Bristol-Myers Squibb Denmark vedrørende fremme af life science entreprenørskab, til erhvervsministeren
1869189_0007.png
Danmark skal være
en førende life science
nation i Europa.
Regeringen fremlægger
derfor denne vækstplan,
der skal understøtte
vækst og udvikling
i erhvervet og dermed
bane vejen for dansk life
science i verdensklasse.
ERU, Alm.del - 2017-18 - Endeligt svar på spørgsmål 105: Spm. om kommentar til henvendelse af 20/2-18 fra Bristol-Myers Squibb Denmark vedrørende fremme af life science entreprenørskab, til erhvervsministeren
1869189_0008.png
8
VÆKSTPLAN FOR LIFE SCIENCE
fremstillingsvirksomheder ellers generelt er gået
tilbage, jf. figur 2. Det har skabt mange gode og vel-
lønnede jobs for faglærte, laboranter og ingeniører
mv., så erhvervet i dag beskæftiger 38.000 fuldtids-
ansatte i hele Danmark. Når den afledte beskæf-
tigelse hos underleverandører medregnes, beskæf-
tiger erhvervet et markant større antal.
De høje eksport- og beskæftigelsestal betyder, at
life science i dag udgør en langt vigtigere del af
dansk økonomi end tidligere. Det er dermed også
blevet tilsvarende vigtigt, at vi i Danmark har de
rette rammevilkår, så erhvervet fortsat kan udvikle
sig i den stadig stigende internationale konkur-
rence med hastig teknologisk udvikling.
Der er fortsat gode muligheder for vækst i dansk
life science, og at danske life science løsninger på en
række felter kan være med helt fremme. Det globale
marked for life science er i vækst som følge af en
globalt voksende middelklasse og en demografisk
udvikling, hvor der bliver flere ældre samt en stig-
ning i antallet af borgere med livsstils- og kroniske
sygdomme. Væksten i sundhedsudgifterne over-
stiger allerede væksten i BNP på globalt plan, og
prognoser viser, at det vil fortsætte. Den årlige
vækst i de globale sundhedsudgifter forventes at
ligge gennemsnitligt på 4,3 pct. frem til 2020, mens
den årlige globale BNP-vækst ventes at være 3,9 pct.
Det vil sige, at markedet forventes at vokse over
gennemsnittet og giver også danske virksomheder
gode muligheder for vækst.
Samtidig finder en hastig teknologisk udvikling
og digitalisering sted. Særligt udviklingen inden for
personlig sundhedsteknologi og kunstig intelligens
må forventes at få afgørende betydning for innova-
tion og introduktion af nye forretningsmodeller i
forbindelse med udvikling, test og markedsføring
af lægemidler og medicinsk udstyr fremadrettet.
Digitale teknologier forandrer den etablerede
værdikæde inden for life science og skaber helt nye
brugermønstre samt behandlingsformer og -mulig-
heder. De senere år har førende IT-virksomheder
som Google og Apple i stigende grad udviklet og
markedsført deres produkter og services mod
sundhedsmarkedet, hvilket har givet brugerne
mulighed for at registrere og følge med i egne sund-
hedsdata i langt højere grad end tidligere. Det
skaber en stadig større efterspørgsel efter mere
skræddersyede behandlingsforløb samt tilknyt-
ning af personlige digitale services til eksisterende
produkter. For at imødekomme den nye efter-
spørgsel anlægger life science virksomhederne en
mere helhedsorienteret tilgang til behandling og
patienter end tidligere og fokuserer ikke blot på at
være leverandører af lægemidler, medicinsk udstyr
mv. Life science virksomhederne indgår også i stig-
ende grad i nye partnerskaber på tværs af værdi-
kæden for at komme tættere på deres brugere. Sam-
tidig udvikles stadigt mere avanceret medicinsk
udstyr, der fordrer yderligere fokus på samspillet
mellem teknologiudvikling og patientsikkerheds-
hensyn.
Vækstudfordringer og indsatsområder for life
science i Danmark
Ændringerne i værdikæden i life science stiller nye
krav til life science virksomhederne, men i høj grad
også til myndighederne. Life science industrien
kræver et stærkere samarbejde mellem det offent-
lige og private end de fleste andre erhverv. Det
skyldes blandt andet, at udviklingen af produkt-
erne inden for life science i Danmark i høj grad fore-
går i et samarbejde med de offentlige hospitaler,
forskningsinstitutioner mv. Samtidig er lægemiddel-
og medicoindustrien et af de mest produktregu-
lerede erhverv, da befolkningen skal have tryg
adgang til sikre og virksomme lægemidler samt
sikkert medicinsk udstyr af høj kvalitet.
Figur 2
Udvikling i fuldtids-
beskæftigelsen i life
science industrien
sammenlignet med
den øvrige industri
i Danmark, 2001-2015.
Indeks: 2001 = 100
160
140
120
100
80
60
40
20
Life Science
Øvrig industri
Privat fuldtidsbeskæftigelse i alt
Kilde:
Danmarks Statistik
og egne beregninger.
0
2001
2003
2005
2007
2009
2011
2013
2015
ERU, Alm.del - 2017-18 - Endeligt svar på spørgsmål 105: Spm. om kommentar til henvendelse af 20/2-18 fra Bristol-Myers Squibb Denmark vedrørende fremme af life science entreprenørskab, til erhvervsministeren
1869189_0009.png
VÆKSTPLAN FOR LIFE SCIENCE
9
Den teknologiske udvikling har i flere tilfælde ført
til øget regulatorisk kompleksitet, hvilket blandt
andet skyldes hensynet til patientsikkerheden.
Kompleksiteten kan imidlertid føre til senere intro-
duktion af nye og mere effektive produkter og
behandlingsformer baseret på nye forretningsmo-
deller. Det er vigtigt, at der ikke opstår unødvendige
barrierer for, at danske virksomheder og iværksæt-
tere kan udnytte de muligheder, som ny teknologi
giver. Både af hensyn til væksten og patienterne.
Derfor sætter regeringen med denne vækstplan
ind på seks centrale områder, der forbedrer vækst-
vilkårene for life science. Vækstplanen skal under-
støtte en positiv udvikling i erhvervet med kon-
krete tiltag målrettet barrierer og muligheder for
dansk life science i hele erhvervets værdikæde – fra
forskning til kommercialisering, godkendelse og
afsætning på de internationale eksportmarkeder.
Med vækstplanen følger regeringen blandt andet
op på anbefalingerne fra det nedsatte vækstteam
for life science.
og gennemfører et servicetjek af investeringerne
i life science forskningen på de offentlige institu-
tioner.
Attraktivt at forske og udvikle i Danmark
Det er grundlæggende godt for samfundsøkono-
mien, når virksomhederne investerer i forskning og
udvikling. Forskning og udvikling er imidlertid en
aktivitet, der kan flyttes fra land til land, for eksem-
pel efter hvor de bedste forskere og forsknings-
miljøer er, og den internationale konkurrence om
at tiltrække investeringerne er hård. Det er derfor
vigtigt løbende at sikre, at det er attraktivt at forske
og udvikle inden for life science i Danmark. Her
spiller omkostningsniveau, adgang til forsknings-
personale og samarbejde med de førende forsk-
ningsmiljøer en væsentlig rolle.
Danmark er allerede en af de mest ambitiøse
forskningsnationer i verden og det land i OECD, der
udfører mest offentlig forskning i pct. af BNP. Dan-
mark har stærke forskningsmiljøer på universitet-
erne, ligesom de danske universitetshospitaler er
blevet langt mere forskningsintensive end tidligere
og i dag udgør en vigtig del af det danske økosystem
for life science.
Regeringen lægger vægt på, at virksomhedernes
vilkår for at forske og udvikle i Danmark er interna-
tionalt konkurrencedygtige. Derfor øges som del af
aftalen om erhvervs- og iværksætterinitiativer virk-
somhedernes skattefradrag for udgifter til forsk-
ning og udvikling fra 100 pct. til 110 pct. Samtidig
skal indsatsen for at styrke kvalitet og relevans af
den offentlige forskning på både universiteterne og
hospitalerne fortsætte. Med forsknings- og innova-
tionspolitisk strategi har regeringen iværksat initia-
tiver for at styrke den excellente forskning og mulig-
hederne for fremtidens topforskere. Regeringen har
øget de strategiske forskningsmidler til life science
Mere klinisk forskning til Danmark
Kliniske forsøg er helt afgørende for udviklingen af
nye lægemidler og medicinsk udstyr og er til gavn
for forskningsmiljøerne, patienter og læger, der får
hurtigere adgang til og erfaring med nye lægemid-
ler og medicinsk udstyr. Samtidig medvirker det til
at tiltrække investeringer til Danmark og skabe
arbejdspladser og vækst.
I perioden 2006 til 2010 faldt antallet af kliniske
forsøg i Danmark mærkbart, hvorefter antallet har
stabiliseret sig, men samtidig har der været en stig-
ning i antallet af kliniske forsøg på globalt plan.
Danmark er i dag nr. 13 ud af 28 i EU i forhold til
gennemførelse af kliniske forsøg i 2017. Korrigeret
for befolkningsstørrelse er Danmark nummer 2 i
EU. Regeringen ønsker på den baggrund at styrke
Danmarks position inden for klinisk forskning.
Regeringen vil styrke rammerne for klinisk forsk-
ning i Danmark ved at gøre det nemmere for virk-
somheder at igangsætte kliniske forsøg i samarbejde
med hospitalerne. Regeringen etablerer derfor en
national organisation til fremme af klinisk forsk-
ning og vil i forlængelse af gebyrfritagelsen i finans-
lovsaften for 2018 fritage virksomhederne for alle
gebyrer for fase I forsøg og gennemføre et service-
tjek af tilknytningsreglerne for offentlig-privat sam-
arbejde i sundhedsvæsenet.
Lægemiddelstyrelsen i topklasse
For at virksomheder vælger at investere i at udvikle
lægemidler og medicinsk udstyr i Danmark er det
vigtigt, at de oplever et professionelt og gnidnings-
frit samspil med myndighederne. En øget regulato-
risk kompleksitet stiller krav til myndighederne
herhjemme. Derfor er den service, de danske sund-
hedsmyndigheder leverer, og sundhedsvæsnets
indkøbspraksis af afgørende betydning for virk-
somhedernes afsætningsmuligheder.
Den danske lægemiddelstyrelse er i konkurrence
med andre landes sundhedsmyndigheder om at til-
byde virksomhederne rådgivning og sagsbehand-
ling i topklasse, så test, godkendelse og mærkning
af nye lægemidler og medicinsk udstyr foregår så
gnidningsfrit som muligt. Lægemiddelstyrelsen i
topklasse er en medvirkende faktor, når virksom-
heder placerer deres aktiviteter.
Regeringen vil derfor styrke Lægemiddelstyrelsen
herunder engagementet i Det Europæiske Læge-
middelagentur (European Medicines Agency, EMA),
ERU, Alm.del - 2017-18 - Endeligt svar på spørgsmål 105: Spm. om kommentar til henvendelse af 20/2-18 fra Bristol-Myers Squibb Denmark vedrørende fremme af life science entreprenørskab, til erhvervsministeren
1869189_0010.png
10
VÆKSTPLAN FOR LIFE SCIENCE
så danske life science virksomheder sikres kompe-
tent og effektiv rådgivning fra Lægemiddelstyrelsen
i godkendelsesprocessen af lægemidler. Samtidig
indføres en forsøgsordning for risikodeling i medi-
cintilskudssystemet, og grundlaget for at etablere
bemyndigede organer fremmes i Danmark.
Bedre adgang til kvalificeret arbejdskraft
Efterspørgslen på kvalificeret arbejdskraft inden for
life science er stigende. Virksomhederne oplever
imidlertid i stigende grad rekrutteringsudfordring-
er. Flere steder i landet kan det være svært for life
science virksomheder at tiltrække arbejdskraft fra
både ind- og udlandet. Og på trods af at der er et
stigende optag på life science uddannelser, oplever
industrien, at der uddannes for få med de speci-
fikke kompetencer, der efterspørges ude i virksom-
hederne.
Danmark har generelt et højt uddannelses-
niveau, men det er nødvendigt at have et ved-
varende fokus på, om uddannelsessystemet imøde-
kommer virksomhedernes efterspørgsel. Derfor vil
regeringen lancere en Teknologipagt, hvor regerin-
gen i samarbejde med erhvervslivet herunder life
science industrien og andre aktører vil understøtte,
at der uddannes flere med de kompetencer, som
industrien efterspørger. Regeringen er desuden ved
at efterse dimensioneringsmodellen for de videre-
gående uddannelser.
Regeringen vil samtidig styrke danske virksom-
heders mulighed for at rekruttere på det globale
arbejdsmarked. På den baggrund udvides forsker-
skatteordningen fra fem til syv år, så det bliver
endnu mere attraktivt at tiltrække medarbejdere
fra udlandet til at forske og udvikle i Danmark.
Flere startups og digital omstilling
Fundamentet for nye erhvervssucceser er ikke
mindst iværksættere, der har visionen, evnerne og
gåpåmodet til at skabe en virksomhed. Det er også
væsentligt, at der i vækstlaget under de store succes-
fulde virksomheder er tilstrækkelig kritisk masse
og vækstpotentiale til med gode rammevilkår at
sikre fremtidig fornyelse og udvikling inden for life
science.
Udviklingen af nye life science produkter er risi-
kofyldt og tidskrævende, hvorfor iværksættere
inden for life science er afhængige af, at der er et vel-
fungerende marked for risikovillig kapital i Danmark.
De to største life science venture fonde i Danmark
foretager imidlertid hovedparten af deres investe-
ringer i udlandet, hvilket kan tyde på, at der er rum
til forbedring af vilkår og kompetencer inden for
life science i Danmark.
Målt på omfanget af venturekapital-investeringer
i life science virksomheder, overgås Danmark af en
række af de relevante sammenligningslande i Europa,
jf. figur 3.
Med aftalen mellem regeringen, Dansk Folke-
parti og Radikale Venstre om erhvervs- og iværk-
sætterinitiativer fra efteråret 2017 har regeringen
taget en række initiativer for at forbedre ramme-
vilkårene for iværksættere i Danmark. Med aftalen
er iværksætter- og aktiekulturen styrket med ind-
førelse af et investorfradrag og en aktiesparekonto,
ligesom vilkårene for at tildele medarbejderaktier/
warrants forbedres.
Vækstfonden vil undersøge muligheden for i sam-
arbejde med private investorer og vidensaktører at
etablere en life science fond, der skal foretage inve-
steringer i videnstunge og kapitalintensive virk-
somheder. Der er samtidig behov for at styrke
Figur 3
Venturekapital-
investeringer inden for
life science, pct. af BNP,
udvalgte lande,
2014-2016.
Pct. af BNP
0,030
0,025
0,020
0,015
0,010
0,005
Kilde:
Invest in Europe og
Eurostat samt egne beregninger.
0
Schweiz
Irland
Sverige
Finland
Østrig
Nederlandene Danmark Storbritannien
Frankrig
Belgien
Tyskland
Norge
ERU, Alm.del - 2017-18 - Endeligt svar på spørgsmål 105: Spm. om kommentar til henvendelse af 20/2-18 fra Bristol-Myers Squibb Denmark vedrørende fremme af life science entreprenørskab, til erhvervsministeren
1869189_0011.png
VÆKSTPLAN FOR LIFE SCIENCE
11
overførslen af viden og teknologi fra universiteterne
til det private erhvervsliv. Det bidrager til at styrke
vilkårene for biotekvirksomheder og øvrige startups
inden for life science, hvor også de private erhvervs-
fonde kan yde bidrag til at styrke udviklingen.
Med Strategi for Danmarks digitale vækst har
regeringen iværksat en række initiativer, så Dan-
mark og danske virksomheder kan være digitale
frontløbere. Dette har også betydning for life
science industrien i Danmark.
Regeringen tager blandt andet initiativ til at eta-
blere et offentlig-privat partnerskab – Digital Hub
Denmark. Regeringen går sammen med private
parter i en fælles indsats om at fremme adgang til
de rette kompetencer og samarbejde mellem eta-
blerede virksomheder, iværksættere og andre aktø-
rer samt styrke virksomheders adgang til viden og
eksperter inden for kommerciel anvendelse af nye
digitale teknologier. Endvidere bliver det pr. 1. juli
2018 obligatorisk for myndighederne at vurdere,
om ny erhvervsrettet regulering tager højde for de
nye teknologier og forretningsmodeller. Virksom-
hederne skal samtidig kunne få en hurtig afklaring
af, om de kan anvende nye teknologier og forret-
ningsmodeller inden for rammerne af eksisterende
regulering.
hvorfor fortsat vækst i dansk life science i høj grad
afhænger af, at virksomhederne kan øge deres
globale afsætning yderligere.
Regeringen iværksætter derfor en målrettet inter-
nationaliseringsindsats for at understøtte danske
life science virksomheders eksportmuligheder.
Regeringen vil styrke det internationale myndig-
hedssamarbejde til fremme af dansk eksport og
etablering af tæt dialog med udenlandske myndig-
heder samt igangsætte initiativer, der skal styrke
den internationale markedsføring af Danmark
som life science nation og tiltrækningen af uden-
landske investeringer. Endelig tages der initiativ til
at styrke adgangen til et af verdens stærkeste life
science miljøer. Regeringen vil derfor etablere et nyt
innovationscenter i Boston i 2018.
Målrettet internationaliseringsindsats
Life science er et internationalt erhverv. Den inter-
nationale konkurrence om de mest innovative
produkter bliver mere og mere intens. Det er derfor
svært for især nye life science virksomheder at
komme ind på etablerede og nye markeder. De
danske life science virksomheder afsætter en meget
lille andel af deres produkter på det danske marked,
Ny life science enhed i Erhvervsministeriet
Det overordnede ansvar for opfølgningen på vækst-
planen vil blive forankret i Erhvervsministeriets
nye life science enhed, der står for den erhvervspo-
litiske indsats i forhold til life science industrien.
Enheden skal blandt andet sikre en effektiv
implementering af vækstplanen og bidrage til gen-
nemførelsen af initiativerne. Derved sikres en
løbende og systematisk opfølgning og monitore-
ring af fremdriften i forhold til vækstplanens initia-
tiver. Enheden skal mere generelt have fokus på life
science industriens vækstvilkår, herunder løbende
have dialog med industrien, så der kan reageres
hurtigt på nye teknologiske forretningsmodeller og
markedsvilkår herunder arbejde på at fjerne unø-
dige barrierer for erhvervets vækst- og udviklings-
muligheder.
ERU, Alm.del - 2017-18 - Endeligt svar på spørgsmål 105: Spm. om kommentar til henvendelse af 20/2-18 fra Bristol-Myers Squibb Denmark vedrørende fremme af life science entreprenørskab, til erhvervsministeren
1869189_0012.png
12
VÆKSTPLAN FOR LIFE SCIENCE
Initiativer i vækstplan for life science
Attraktivt at forske og udvikle i Danmark
1.
Øget skattefradrag for forskning og udvikling (FoU)
2.
Udmøntning af flere midler i forskningsreserven til relevante områder for life science
3.
Styrkelse af excellent forskning
4.
Bedre muligheder for fremtidens topforskere
5.
Servicetjek af life science forskning på de offentlige institutioner
Mere klinisk forskning til Danmark
6.
Etablering af national organisation til fremme af kliniske forsøg i Danmark
7.
Gebyrlettelser for kommercielle virksomheder i forbindelse med kliniske forsøg
8.
Servicetjek af tilknytningsreglerne for offentlig-privat samarbejde i sundhedsvæsnet
Lægemiddelstyrelsen i topklasse
9.
Øget dansk indflydelse i det europæiske HMA-lægemiddelnetværk og styrkelse
af lægemiddelsikkerhed
10.
Styrkelse af Lægemiddelstyrelsens engagement i European Medicines Agency (EMA)
11.
Øget dialog med life science industrien i Fagligt Forum
12.
Forsøgsordning for indførsel af risikodeling i medicintilskudssystemet
13.
Foretræde for Medicintilskudsnævnet
14.
Fremme grundlag for etablering af bemyndigede organer i Danmark og gode
regulatoriske rammer for medicoindustrien
15.
Videnskabelig rådgivning i Lægemiddelstyrelsen
16.
Analysere muligheder for, at Lægemiddelstyrelsen kan yde regulatorisk vejledning
for medicinsk udstyr
17.
Lægemiddelstyrelsens overtagelse af opgaven med udsendelse af orienteringsbreve
til sundhedspersoner (DHPC) fra virksomheder
Bedre adgang til kvalificeret arbejdskraft
18.
Teknologipagt med deltagelse af life science industrien
19.
Udvidelse af forskerskatteordningen
20.
Evaluering af dimensioneringsmodellen for videregående uddannelser
21.
Life science erhvervet repræsenteres i Sundhedsstyrelsens Prognose- og
Dimensioneringsudvalg
Flere startups og digital omstilling
22.
Undersøge muligheder for at øge investeringerne i life science eventuelt via ny fond
23.
Bedre vilkår for tildeling af medarbejderaktier
24.
Indførsel af investorfradrag
25.
Agil erhvervsrettet regulering
26.
Digital Hub Denmark – partnerskab for digital vækst
27.
Styrket aktiekultur i Danmark
28.
Styrket teknologioverførsel fra universiteterne
29.
Enkel og effektiv klynge- og innovationsindsats inden for life science
30.
Kortlægning af entreprenørskabsundervisning på de videregående life science uddannelser
Målrettet internationaliseringsindsats
31.
Styrket internationalt myndighedssamarbejde til fremme af dansk eksport
32.
Styrkelse af sundhedsfaglig ekspertise i Udenrigsministeriet på eftertragtede markeder
til at sikre øget markedsadgang og eksport
33.
Øget indsats for tiltrækning af videnstunge life science investeringer til Danmark
34.
Etablering af eksportforum for life science
35.
Styrkelse af Healthcare DENMARK med fokus på life science
36.
Etablering af nyt innovationscenter i Boston
Ny life science enhed i Erhvervsministeriet
ERU, Alm.del - 2017-18 - Endeligt svar på spørgsmål 105: Spm. om kommentar til henvendelse af 20/2-18 fra Bristol-Myers Squibb Denmark vedrørende fremme af life science entreprenørskab, til erhvervsministeren
1869189_0013.png
Vision
Danmark som en førende
life science nation i Europa
Vækstplan for life science
Attraktivt at
forske og udvikle
i Danmark
Mere klinisk
forskning
til Danmark
Lægemiddel-
styrelsen
i topklasse
Bedre adgang
til kvalificeret
arbejdskraft
Flere startups
og digital
omstilling
Målrettet
internationaliserings-
indsats
Ny life science enhed
i Erhvervsministeriet
ERU, Alm.del - 2017-18 - Endeligt svar på spørgsmål 105: Spm. om kommentar til henvendelse af 20/2-18 fra Bristol-Myers Squibb Denmark vedrørende fremme af life science entreprenørskab, til erhvervsministeren
1869189_0014.png
ERU, Alm.del - 2017-18 - Endeligt svar på spørgsmål 105: Spm. om kommentar til henvendelse af 20/2-18 fra Bristol-Myers Squibb Denmark vedrørende fremme af life science entreprenørskab, til erhvervsministeren
1869189_0015.png
VÆKSTPLAN FOR LIFE SCIENCE
15
Attraktivt at forske
og udvikle i Danmark
I 2015 investerede life science
virksomheder knap
12,5
mia. kr.
i forskning og udvikling i
Danmark.
Life science produkter har meget lange udviklings-
forløb, hvor der kan gå mere end et årti fra den
første grundforskning inden for et felt til udvik-
lingen af et nyt lægemiddel, der kan markedsføres.
Sådanne tidshorisonter kan de færreste virksom-
heder løfte udgifterne til, og selv ikke de største
lægemiddelvirksomheder i Danmark udfører i
væsentligt omfang helt tidlig grundforskning. Når
virksomhederne i Danmark udvikler nye lægemid-
ler og behandlingsformer, sker det derfor i vid
udstrækning på grundlag af den forskning, der
finder sted på universiteterne og hospitalerne.
Virksomhederne har selv mange forskningsaktivi-
teter, men disse har et langt mere kommercielt
fokus end den offentlige forskning. Life science
virksomheder investerede i 2015 knap 12,5 mia. kr.
i forskning og udvikling i Danmark og stod dermed
for 33 pct. af erhvervslivets samlede investeringer i
forskning og udvikling, jf. figur 4. Danmark er føre-
nde (kun overgået af Schweiz), når det kommer til,
hvor stor en del af de private forskningsinveste-
ringer, der udgøres af life science virksomheder.
Investeringerne er steget med 2,7 mia. kr. siden
2008, mens investeringerne i forskning og udvik-
ling i erhvervslivet generelt har været faldende i
samme periode (faste priser).
Figur 4
Life science branchers
andel af private forsknings-
og udviklingsinvesteringer
i udvalgte lande, 2014.
Anm.:
Der findes ikke inter-
nationalt sammenlignelige
tal for forskningsinvesteringer
i bioteknologi. Branchegruppe-
ringerne for lægemidler og
medicoudstyr er internationale.
Der eksisterer ikke data for medico-
udstyr for Schweiz, Sverige, Kina,
Singapore og Canada. Data for
Sverige, Singapore og Frankrig
er for 2013.
Kilde:
Uddannelses- og
Forskningsministeriets
beregninger på baggrund
af data fra OECD.
Pct. af privatudførte forskningsinvesteringer
Lægemidler
Medicoudstyr
40
35
30
25
20
15
10
5
0
Schweiz
Danmark
USA
Japan
Spanien
Sverige
Tyskland
Italien
Kina
Neder-
landene
Singapore
Canada
Frankrig
Stor-
britannien
ERU, Alm.del - 2017-18 - Endeligt svar på spørgsmål 105: Spm. om kommentar til henvendelse af 20/2-18 fra Bristol-Myers Squibb Denmark vedrørende fremme af life science entreprenørskab, til erhvervsministeren
1869189_0016.png
16
VÆKSTPLAN FOR LIFE SCIENCE
Danmark er en af de mest ambitiøse
forskningsnationer i verden og er
det land i OECD, der udfører mest
offentlig forskning i pct. af BNP.
De danske life science virksomheder foretager store
investeringer i forskning og udvikling i såvel
Danmark som i udlandet. I 2014 købte danske life
science virksomheder forskning og udvikling i
udlandet for 9,9 mia. kr., mens de investerede 12,4
mia. kr. i Danmark, jf. figur 5. Fra 2008 til 2014 er de
danske life science virksomheders køb af forskning
og udvikling i udlandet steget med 3,9 mia. kr.
svarende til en stigning på 66 pct. Det kan være et
udtryk for, at de danske life science virksomheder
klarer sig godt på det globale marked og etablerer
forskning, udvikling og produktion tæt på nye
markeder. Men det er samtidig vigtigt, at det fortsat
er attraktivt at forske og udvikle i Danmark i
sammenligning med andre lande. Der er flere
eksempler på, at danske life science virksomheder
placerer nye forsknings- og udviklingsaktiviteter i
udlandet frem for i Danmark. Et eksempel er Novo
Nordisks etablering af et forskningscenter i Oxford
til 1 mia. kr. Det er derfor vigtigt løbende at sikre, at
det er attraktivt at forske og udvikle inden for life
science i Danmark. Her spiller såvel omkostnings-
niveau, adgang til forskningspersonale og samar-
bejde med de førende forskningsmiljøer en væsent-
lig rolle.
Danmark er en af de mest ambitiøse forsknings-
nationer i verden og er det land i OECD, der udfører
mest offentlig forskning i pct. af BNP. Den høje kva-
litet og gennemslagskraft af dansk forskning kan
ses tydeligt på, hvor hyppigt danske publikationer
citeres af andre forskere. Danske publikationer cite-
res hyppigere end publikationer fra de fleste andre
lande kun overgået af Nederlandene og Schweiz.
19 pct. af de danske life science publikationer er
således blandt verdens 10 pct. mest citerede på
området i perioden 2012 til 2015, jf. figur 6.
Figur 5
Danske life science
virksomheders forskning
og udvikling i Danmark og
udlandet, 2008-2015.
Mio. kr.
14.000
12.000
10.000
8.000
6.000
4.000
2.000
0
Danske life science virksomheders FoU-investeringer i Danmark
Danske life science virksomheders køb af FoU-tjenester i udlandet
Anm:
På grund af ændring
i Danmarks Statistiks opgørelses-
metode for køb af FoU-tjenester
i udlandet, er det ikke muligt at
lave opgørelsen for 2015. Faste
2017-priser.
2008
2009
2010
2011
2012
2013
2014
2015*
Kilde:
Uddannelses- og Forsk-
ningsministeriets beregninger
på baggrund af tal fra Danmarks
Statistik.
ERU, Alm.del - 2017-18 - Endeligt svar på spørgsmål 105: Spm. om kommentar til henvendelse af 20/2-18 fra Bristol-Myers Squibb Denmark vedrørende fremme af life science entreprenørskab, til erhvervsministeren
1869189_0017.png
VÆKSTPLAN FOR LIFE SCIENCE
17
Når virksomhederne i Danmark
udvikler nye lægemidler og
behandlingsformer, sker det i vid
udstrækning på grundlag af den
forskning, der finder sted på
universiteterne og hospitalerne.
Regeringens målsætning er, at det offentlige forsk-
ningsbudget skal udgøre mindst 1 pct. af BNP. Der
er sket en forøgelse af det offentlige forskningsbud-
get fra ca. 15 mia. kr. i 2006 til 22,2 mia. kr. i 2018.
Danmark har stærke forskningsmiljøer på universi-
teterne, ligesom de danske universitetshospitaler
er blevet langt mere forskningsintensive end tid-
ligere og udgør i dag en vigtig del af det danske forsk-
ningsøkosystem for life science. På universitets-
hospitalerne er investeringerne i den sundheds-
videnskabelige forskning steget med 77 pct. svarende
til 1,8 mia. kr. i perioden 2008 til 2015, så de i 2015
investerede i alt 4,2 mia. kr.
Samtidig uddannes mange ph.d.’er i Danmark.
Det er vigtigt, at der er tydelige og attraktive karrie-
respor i retning af både en akademisk karriere og
karrierespor i retning af blandt andet forskning og
udvikling i virksomheder. Der kan derfor være
behov for at se på de rammer, der skal understøtte,
at fremtidens topforskere får de bedste karrieremu-
ligheder i Danmark.
Figur 6
Udvalgte landes kvalitet
af life science forskning
målt som andel af
publikationer blandt
verdens 10 pct. mest
citerede publikationer,
2012-2015.
Pct.
25
20
15
10
5
0
Schweiz
Neder- Danmark Singapore Sverige
Stor-
Tyskland
landene
britannien
Canada
USA
Frankrig
Italien
Spanien
Kina
Japan
Anm:
Publikationer er af-
grænset til artikler, anmeldelser
og konferencepapirer.
Kilde:
Uddannelses- og
Forskningsministeriets
beregninger pba. tal fra
databasen Scival, Elsevier,
udtrukket den 21. november
2017 samt befolkningstal
fra International Monetary
Fund (IMF).
ERU, Alm.del - 2017-18 - Endeligt svar på spørgsmål 105: Spm. om kommentar til henvendelse af 20/2-18 fra Bristol-Myers Squibb Denmark vedrørende fremme af life science entreprenørskab, til erhvervsministeren
1869189_0018.png
18
VÆKSTPLAN FOR LIFE SCIENCE
Regeringens initiativer
1-5
Initiativ 1:
Øget skattefradrag
for forskning og udvikling (FoU)
Med den stigende globalisering er det centralt, at
danske virksomheder har det bedste grundlag for at
være internationalt konkurrencedygtige.
Det er grundlæggende godt for dansk økonomi,
når virksomhederne investerer i forskning og
udvikling. Investeringer i forskning og udvikling
kan styrke produktiviteten i de virksomheder, der
foretager investeringerne, og har samtidig en posi-
tiv afsmittende effekt på andre virksomheders pro-
duktivitet. Forskning og udvikling er imidlertid en
aktivitet, der kan flyttes fra land til land, for eksem-
pel efter hvor de bedste forskere og forsknings-
miljøer er. Der er derfor de seneste årtier kommet en
stigende international konkurrence om at tiltrække
virksomhedernes forsknings- og udviklingsaktivi-
teter. 14 ud af 28 EU-lande har således indført for-
skellige former for ekstra FoU-fradrag.
For at sikre fortsat internationalt konkurrence-
dygtige vilkår for forskning og udvikling i Danmark
hæves fradraget for private virksomheders udgifter
til forskning og udvikling fra de nuværende 100 pct.
til 101,5 pct. i 2018 og i 2019, 103 pct. i 2020, 105 pct.
i 2021 til 2022, 108 pct. i perioden 2023 til 2025 og
110 pct. fra 2026. Provenutabet ved ekstrafradraget
udgør fuldt indfaset 0,45 mia. kr. om året.
hospitalerne. Regeringen har høje ambitioner for
dansk forskning og styrker forskning med relevans
for life science yderligere i 2018. Med aftalen om
fordeling af forskningsreserven for 2018, som rege-
ringen har indgået med Socialdemokratiet, Dansk
Folkeparti, Radikale Venstre og Socialistisk Folke-
parti, er der afsat:
• 108,4 mio. kr. til FORSK2025-temaet Bedre Sund-
hed, hvori forskning i life science og personlig
medicin blandt andet indgår. Midlerne udmøn-
tes af Danmarks Innovationsfond. Forskere og
virksomheder kan søge de afsatte midler til at
udvikle nye, mere præcist virkende lægemidler.
• 237 mio. kr. til FORSK2025-temaet Nye Teknolo-
giske Muligheder, hvori forskning inden for life
science indgår. Midlerne udmøntes af Danmarks
Innovationsfond. Forskere og virksomheder kan
søge de afsatte midler til at udvikle nye, innova-
tive produkter, processer og løsninger.
• 34,5 mio. kr. til et internationalt førende forsk-
ningsmiljø tilknyttet European Spallation
Source, der især inden for områderne materiale-
teknologi og life science forventes at tiltrække
virksomheder og forskere til Øresundsregionen.
Initiativ 3:
Styrkelse af excellent
forskning
Det er vigtigt for den videre udvikling i danske life
science virksomheder, at de har adgang til den frem-
meste forskning i Danmark. Danmark har et højt
internationalt niveau for forskning. Men den inter-
nationale konkurrence er hård, og hvis Danmark
skal være en forskningsnation i den absolutte
verdenselite i fremtiden, skal vi også fremadrettet
fokusere på at forbedre os og styrke kvaliteten i
dansk forskning.
Initiativ 2:
Udmøntning af flere
midler i forskningsreserven til
relevante områder for life science
Når virksomhederne i Danmark udvikler nye læge-
midler og behandlingsformer, sker det i vid
udstrækning på grundlag af den grund- og kliniske
forskning, der finder sted på universiteterne og
ERU, Alm.del - 2017-18 - Endeligt svar på spørgsmål 105: Spm. om kommentar til henvendelse af 20/2-18 fra Bristol-Myers Squibb Denmark vedrørende fremme af life science entreprenørskab, til erhvervsministeren
1869189_0019.png
VÆKSTPLAN FOR LIFE SCIENCE
19
Med afsæt i regeringens forsknings- og innovations-
politiske strategi vil regeringen styrke den excel-
lente forskning. Regeringen vil i 2018 invitere en
række private og offentlige forskningsfinansierende
fonde til at deltage i etableringen af en Nobelpagt,
der skal skabe rammerne om en fælles strategisk
indsats for at fremme og anerkende dansk forskning
på Nobelprisniveau. Som centralt initiativ i pagten
vil regeringen arbejde for at kunne etablere få
særlige nobelpriscentre. Nobelpriscentrene skal
have tilstrækkeligt ambitiøse økonomiske rammer
og en lang tidshorisont til at kunne skabe forsk-
ningsresultater, der kan konkurrere med den abso-
lut bedste internationale forskning.
For at løfte kvaliteten bredt i den offentlige forsk-
ningsindsats vil regeringen samtidig indføre en ny
model for fordelingen af basisforskningsmidler til
universiteterne, som i højere grad fremmer kvaliteten
i dansk forskning. Basismidlerne skal fremover for-
deles efter en ny model, hvor hovedparten fortsat
skal være fast, mens en mindre del skal fordeles med
større fokus på at fremme forskningskvalitet og
understøtte samfundsmæssigt særligt efterspurgte
uddannelses- og forskningsområder.
Uddannelses- og Forskningsministeriet vil ned-
sætte et uafhængigt ekspertudvalg, der skal komme
med forslag til forskellige modeller. Regeringen for-
venter at udarbejde et forslag til en ny model for
fordeling af basismidler i 2019, når ekspertudvalget
har afrapporteret til uddannelses- og forsknings-
ministeren.
i 2018. Herunder ses på finansieringsstrukturer
og opgavefordelingen inden for og på tværs af de
forskellige karrieretrin. Formålet er at etablere de
nødvendige rammer for, at universiteterne kan
understøtte en sund karriereudvikling, effektiv
talentudnyttelse og høj mobilitet.
Regeringen vil styrke indsatsen for fremtidens
topforskere. Regeringen udvider i 2018 forsker-
talentprogrammet Sapere Aude Forskningsleder
under Danmarks Frie Forskningsfond (DFF) for
at styrke finansieringsmulighederne for talent-
fulde yngre forskere på adjunkt- og lektorniveau,
der har potentiale til at blive fremtidens top-
forskere.
Regeringen vil etablere et nationalt ERC-støtte-
program i 2018. Programmet skal øge talent-
fulde yngre forskeres muligheder for at få bevil-
linger fra European Research Council (ERC) til
excellent og banebrydende forskning inden for
alle forskningsfelter.
Initiativ 5:
Servicetjek af life
science forskning på de offentlige
institutioner
En tredjedel af den udførte forskning på de offent-
lige institutioner i 2015 blev udført inden for områ-
der med relevans for life science. Investeringerne i
life science forskningen på de offentlige institution-
er er steget med 75 pct. fra 2008 til 2015. Stigningen
fordeler sig imidlertid ujævnt over de forskellige
fagområder inden for life science forskningen. For
life science industrien er det særligt fagområderne
klinisk medicin (120 pct. stigning), basal medicin
(87 pct. stigning), farmaci/farmakologi (49 pct. stig-
ning), odontologi (6 pct. fald), medicinsk biotek-
nologi (10 pct. stigning), biokemi (12 pct. stigning),
medicoteknik (108 pct. stigning) og industriel
bioteknologi (406 pct. stigning), der er relevante.
Regeringen vil derfor i 2018 påbegynde et ser-
vicetjek af investeringerne i life science forskningen
på de offentlige institutioner herunder investerin-
gernes fordeling på de forskellige fagområder samt
de forskningsmæssige resultater og effekter.
Initiativ 4:
Bedre muligheder for
fremtidens topforskere
Danmark skal tilbyde attraktive karrieremulig-
heder for talentfulde forskere på alle karrieretrin.
Det er vigtigt for at tiltrække og fastholde de
dygtigste forskere, også inden for life science. Med
regeringens forsknings- og innovationspolitiske
strategi iværksættes tre initiativer for, at talent-
fulde forskere får attraktive karrieremuligheder:
• Uddannelses- og Forskningsministeriet vil i sam-
arbejde med universiteterne iværksætte et efter-
syn af karrierevejene på de danske universiteter
Regeringen vil i 2018 invitere en række private og offentlige
forskningsfinansierende fonde til at deltage i etableringen
af en Nobelpagt, der skal skabe rammerne om en fælles
strategisk indsats for at fremme og anerkende dansk
forskning på Nobelprisniveau.
ERU, Alm.del - 2017-18 - Endeligt svar på spørgsmål 105: Spm. om kommentar til henvendelse af 20/2-18 fra Bristol-Myers Squibb Denmark vedrørende fremme af life science entreprenørskab, til erhvervsministeren
1869189_0020.png
20
VÆKSTPLAN FOR LIFE SCIENCE
Mere klinisk forskning
til Danmark
Regeringen ønsker at styrke Danmarks position
inden for klinisk forskning. Klinisk forskning i
Danmark bidrager til en fortsat udvikling af det
danske sundhedsvæsen. Det er til gavn for forsknings-
miljøet, patienter og læger, der får hurtigere adgang til
og erfaring med nye lægemidler og medicinsk udstyr.
Samtidig medvirker det til at tiltrække investeringer
til Danmark og skabe arbejdspladser og vækst.
I perioden 2006 til 2010 faldt antallet af kliniske
forsøg i Danmark mærkbart, og der blev igangsat
forskellige initiativer for at vende udviklingen.
Disse initiativer har været medvirkende til at stabi-
lisere udviklingen på området, og i perioden 2013
til 2016 blev der i gennemsnit ansøgt om ca. 300
kliniske lægemiddelforsøg i Danmark årligt. Godt
halvdelen af forsøgene udføres på initiativ af
private virksomheder (kommercielle), og knap
halvdelen udføres af offentlige forskere (non-kom-
mercielle), jf. figur 7. Af de 158 kommercielle klini-
ske forsøg var 10 fra danske virksomheder og 148
fra udenlandske virksomheder (fordelt på 65 fra
Canada/USA/Japan og 83 fra Europa).
total
Danmark har med den hidtidige indsats opnået
en stabilisering i antallet af kliniske forsøg, men
non-kommerciel
samtidig har der været en stigning i antallet af klini-
kommerciel
ske forsøg på globalt plan. I USA, Indien og Kina er
der fra 2013 til 2017 en mærkbar stigning i antal
kommercielle kliniske forsøg, hvorimod der i EU
ses et fald. Danmark er nr. 13 ud af 28 i EU i forhold
til gennemførelse af kliniske forsøg i 2017. I forhold
til befolkningsstørrelsen er Danmark i 2017 nr. 2 ud
af 28 lande i EU kun overgået af Estland. Regeringen
ønsker at fremme Danmarks position yderligere og
vil derfor styrke indsatsen for klinisk forskning i
Danmark, for at der fremover gennemføres flere
kliniske forsøg i landet.
Life science virksomhederne betaler samlet set
mere en 200 mio. kr. årligt for virksomhedsiniti-
erede kliniske forsøg til det danske sundhedsvæsen.
Der er lige under 1.000 beskæftigede med virk-
somhedsinitierede kliniske forsøg, der finder sted
i Danmark, viser en analyse foretaget af Copenhagen
Economics.
Det er vigtigt, at kliniske forsøg finansieret af
danske såvel som udenlandske virksomheder
finder sted i Danmark, da kliniske forsøg også giver
patienterne hurtigere adgang til ny medicin, tekno-
logi og behandling af høj kvalitet. Ligeledes bliver
sundhedspersonalet introduceret til nye behand-
lingsmuligheder og vil have lettere ved at ibrugtage
Figur 7
Årlig udvikling i antal
ansøgninger om kliniske
lægemiddelforsøg
i Danmark.
Kommerciel
Ikke-kommerciel
Total
Antal valide ansøgninger
400
350
300
250
200
150
100
Kilde:
Lægemiddelstyrelsens
årsrapport 2016 om kliniske
forsøg med lægemidler.
50
0
2006 2007 2008 2009 2010 2011 2012 2013 2014 2015 2016
Boks 3
Hvad er klinisk forskning?
Klinisk forskning
Klinisk forskning er centralt for udviklingen af læge­
midler og medicinsk udstyr, idet kliniske forsøg af
lægemidler og afprøvning af medicinsk udstyr er
en forudsætning for godkendelse og markeds­
føring af produkterne. Kliniske forsøg af lægemidler
er opdelt i fire faser fra tidlig udvikling af nye læge­
midler til afprøvning på mennesker. I de kliniske
forsøg sikres dokumentation for produktets sikker­
hed og effekt.
ERU, Alm.del - 2017-18 - Endeligt svar på spørgsmål 105: Spm. om kommentar til henvendelse af 20/2-18 fra Bristol-Myers Squibb Denmark vedrørende fremme af life science entreprenørskab, til erhvervsministeren
1869189_0021.png
VÆKSTPLAN FOR LIFE SCIENCE
21
nye lægemidler, hvilket er med til at udvikle det
danske sundhedsvæsen til gavn for patientbehand-
lingen. Endelig danner virksomhedsinitierede kli-
niske forsøg ofte grundlag for at iværksætte ny
forskning, som dermed giver yderligere investerin-
ger. Analyser viser, at 35 pct. af de kliniske forsøg
foretaget i Danmark giver anledning til efterføl-
gende forskning inden for samme terapiområde.
Danmark er et højomkostningsland, hvorfor vi
har vanskeligt ved at konkurrere om prisen på kli-
niske forsøg. Til gengæld kan Danmark tilbyde høj
klinisk forskningskvalitet og velfungerende infra-
struktur. Danmark er særlig stærk inden for tidlig
fase kliniske forsøg, og den danske ekspertise er
sammen med en god dialog mellem virksomheder
og myndigheder med til at give Danmark en styrke-
position på området.
For at imødekomme den stigende internationale
konkurrence om tiltrækning af kliniske forsøg er
der de seneste år taget en række initiativer for at
styrke rammerne for offentlig-privat samarbejde
om klinisk forskning og herved forbedre servicen
til virksomheder, der ønsker at igangsætte kliniske
forsøg i Danmark. Regionerne har etableret ”Én
indgang for industrien til kliniske forsøg” (Clinical
Trials Office Denmark), og Innovationsfonden har
bidraget til etableringen af National Experimental
Therapy Partnership (NEXT), jf. boks 4.
Med ”Én indgangs” regionale forankring og det
offentlige-private samarbejde i NEXT supplerer de
to organisationer hinanden med henblik på at
styrke tiltrækning af kliniske forsøg til Danmark.
Den samme udvikling ses i andre lande. I Stor-
britannien har man foretaget en stor oprustning
i forhold til kliniske forsøg ved at etablere en natio-
nal organisation for klinisk forskning the Clinical
Research Network (CRN), som har opbygget en god
infrastruktur mellem virksomheder, sundhedsper-
sonale og patienter, så der sikres klinisk forskning
af høj kvalitet. Organisationen har fremmet antal-
let af kliniske forsøg i Storbritannien og sikret hur-
tigere patientrekruttering. Regeringen ønsker at
styrke Danmarks position inden for klinisk forsk-
ning, og det kræver nye tiltag, der kan fremme den
danske udvikling på området.
Der ses samtidig en forandring i udviklings-
kæden inden for life science, da lægemidler og
medicinsk udstyr i højere grad kobles og udvikles
sammen og i sammenhæng med digitale løsninger.
Særligt Big Data og digitale sundhedsløsninger vil i
fremtiden blive en del af lægemiddeludviklingen.
Life science virksomheder har derfor i stigende
grad brug for, at kliniske forsøg og afprøvning af
medicinsk udstyr kan kobles sammen. Derudover
vil nye EU-regler og skærpede krav til godkendelse
af medicinsk udstyr øge behovet for klinisk afprøv-
ning af nyt medicinsk udstyr. Regeringen vil derfor
styrke vilkårene for både kliniske forsøg af læge-
midler og afprøvning af medicinsk udstyr, som kan
medvirke til, at danske virksomheder kan være
førende inden for udvikling af nye produkter.
Boks 4
Hvad er Én indgang
og NEXT?
Én indgang for industrien til
kliniske forsøg
(Clinical Trials Office Denmark)
Regionerne etablerede i 2012 Én indgang med hen­
blik på at øge antallet af kliniske forsøg.
Én indgang har til formål at hjælpe virksomheder
med at afklare patientgrundlag i forbindelse med
et givent klinisk forsøg. For at understøtte dette
leveres services og information til virksomheder,
der overvejer at placere kliniske forsøg i Danmark.
Gennem Én indgang kan virksomheder blandt
andet få overblik over relevante samarbejds­
partnere, information om procedurer for myndig­
hedsgodkendelse af kliniske forsøg i Danmark og få
adgang til national forhandling af kontrakter lige­
ledes i forbindelse med kliniske forsøg i Danmark.
Én indgang varetager koordination af både kliniske
forsøg med lægemidler og afprøvning af medicinsk
udstyr.
National Experimental Therapy
Partnership (NEXT)
NEXT blev etableret i 2014 for at tiltrække kliniske
forsøg til danske hospitalsafdelinger. NEXT er et
offentlig­privat partnerskab bestående af landets
regioner, universiteter, ni life science partnere,
seks associerede partnere og et GTS­institut.
NEXT har etableret fire kliniske forskningscentre,
som har til formål at formidle kontakt til landets
førende hospitalsafdelinger inden for eksperimentel
forskning i de tidlige faser inden for udvalgte syg­
domsområder (onkologi og hæmatologi, derma­
tologi, lungemedicin, infektionsmedicin og bio­
informatik).
ERU, Alm.del - 2017-18 - Endeligt svar på spørgsmål 105: Spm. om kommentar til henvendelse af 20/2-18 fra Bristol-Myers Squibb Denmark vedrørende fremme af life science entreprenørskab, til erhvervsministeren
1869189_0022.png
22
VÆKSTPLAN FOR LIFE SCIENCE
Regeringens initiativer
6-8
Initiativ 6:
Etablering af national
organisation til fremme af kliniske
forsøg i Danmark
Øget global konkurrence om tiltrækning af kliniske
forsøg udfordrer den danske position på området.
Derfor er der behov for en stærk koordination af
den kliniske forskning for at kunne tiltrække flere
investeringer i kliniske forsøg til Danmark. Flere
kliniske forsøg øger kvaliteten af patientbehand-
lingen, skaber et stærkt klinisk forskningsmiljø, nye
arbejdspladser og vækst.
Regeringen ønsker en stærkere national koordi-
nation af den kliniske forskning i Danmark. Derfor
vil regeringen i 2018 etablere en ny national orga-
nisation til fremme af kliniske forsøg i Danmark
i samarbejde med regionerne og life science virk-
somheder. Organisationen vil gøre det lettere for
virksomheder og forskere at rekruttere patienter
og identificere egnede hospitalsafdelinger i Dan-
mark til både kliniske forsøg af lægemidler og
afprøvning af medicinsk udstyr. Det skal gøre det
mere attraktivt for danske og udenlandske virk-
somheder at placere kliniske forsøg i Danmark.
Organisationen har til formål at øge antallet af kli-
niske forsøg i Danmark.
Organisationen vil bygge videre på de to nuvæ-
rende initiativer Én indgang og NEXT og fremadret-
tet udbygge de kliniske forskningscentre på hospital-
erne med henblik på at gennemføre fase I-IV forsøg.
Organisationen vil bidrage til at styrke hospitals-
afdelingernes fokus på at samarbejde med virksom-
hederne om at gennemføre kliniske forsøg. Dette
gøres ved at opbygge en stærkere klinisk infrastruk-
tur og smidiggøre igangsættelsen af samarbejdet.
Organisationen skal på længere sigt bidrage til at
styrke hele det kliniske forskningsforløb fra basal kli-
nisk forskning på universiteterne til kliniske forsøg.
Behovet for kliniske afprøvninger af medicinsk
udstyr forventes at stige markant de kommende år,
da nye EU-regler og skærpede krav til godkendelse
af medicinsk udstyr vil øge behovet for klinisk
afprøvning af nyt medicinsk udstyr. Tendensen, til
at medicovirksomheder i stigende grad placerer
deres kliniske forsøg uden for Danmark, skal vendes
ved i højere grad at inkludere medico som en del af
organisation. Det betyder, at virksomheder vil
kunne benytte organisationen til henvendelser både
relateret til lægemidler og medico for alle kliniske
forsøg (fase I-IV).
Organisationen vil koordinere med Invest in
Denmark og Healthcare DENMARK om den inter-
nationale markedsføring og desuden understøtte
Invest in Denmarks indsats for at tiltrække klinisk
forskning fra de internationale virksomheder.
Initiativ 7:
Gebyrlettelser for
kommercielle virksomheder i
forbindelse med kliniske forsøg
For yderligere at gøre Danmark til et attraktivt sted
at udføre klinisk forskning vil regeringen nedsætte
gebyrerne på kommercielle kliniske forsøg og
derved understøtte Danmarks konkurrenceevne i
forhold til at skabe et stærkt klinisk forskningsmiljø.
Som led i en indsats for at forbedre rammerne for
kliniske forsøg blev der i finansloven for 2018 ved-
taget hel gebyrfritagelse på 7 mio. kr. for ikke-
kommercielle sponsorer til gavn for blandt andet
den offentlige forskning samt en gebyrlettelse på
2,3 mio. kr. for tidlig fase forsøg til gavn for blandt
andet virksomhedssponsoreret klinisk forskning.
Regeringen vil i forlængelse af indsatsen i finans-
loven fritage kommercielle sponsorer for alle geby-
rer i forbindelse med fase I forsøg. Med initiativet
ERU, Alm.del - 2017-18 - Endeligt svar på spørgsmål 105: Spm. om kommentar til henvendelse af 20/2-18 fra Bristol-Myers Squibb Denmark vedrørende fremme af life science entreprenørskab, til erhvervsministeren
1869189_0023.png
VÆKSTPLAN FOR LIFE SCIENCE
23
Regeringen ønsker en stærkere national koordination af
den kliniske forskning i Danmark. Derfor vil regeringen
i 2018 etablere en ny national organisation til fremme af
kliniske forsøg i Danmark i samarbejde med regionerne
og life science virksomheder.
vil regeringen dels gøre det mere attraktivt at pla-
cere fase I forskningen i Danmark, ligesom en sådan
gebyrfritagelse forventeligt vil have en afsmittende
effekt på, at også de senere faser i den kliniske forsk-
ning placeres i Danmark (fase II-IV). Initiativet ind-
føres ved lov og træder i kraft i 2018.
Initiativ 8:
Servicetjek af tilknyt-
ningsreglerne for offentlig-privat
samarbejde i sundhedsvæsenet
Et transparent og tillidsfuldt offentlig-privat sam-
arbejde mellem sundhedsvæsen og virksomheder
er en vigtig forudsætning for, at der fortsat kan
udvikles nye, innovative behandlingsmuligheder.
Boks 5
Hvad er incitamentet
til at samarbejde mellem
life science erhvervet
og regionernes
sundhedspersonale?
Incitament til samarbejde mellem
life science erhvervet og regionernes
sundhedspersonale
Danske Regioner offentliggjorde i december 2017
nye fælles regionale retningslinjer for efterud­
dannelse og kompetenceudvikling af regionernes
sundhedspersonale. Samarbejdet mellem de faglige
miljøer på hospitalerne og life science erhvervet er
vigtig for udviklingen og kvalitetssikringen af læge­
midler og medicinsk udstyr. De fælles retningslinjer
sikrer, at virksomhederne kan få feedback fra de
faglige miljøer om for eksempel lægemidlets effekt,
bivirkning mv., og de faglige miljøer bliver fagligt
opdateret på forskningsområdet og behandlings­
fremskridt, som sikrer patienterne den bedst
mulige behandling.
Tilknytningsreglerne danner rammerne for det
offentlige-private samarbejde i sundhedsvæsenet
og skal sikre, at det er attraktivt både for ansatte i
sundhedsvæsenet og for virksomheder at indgå i et
offentlig-privat samarbejde. Det skal sikres, at
reglerne fortsat er smidige og balancerer udvikling
af nye behandlingsmuligheder og patienternes
tryghed ved, at sundhedspersoner, som er tilknyt-
tet industrien, vejleder den enkelte patient ud fra et
sundhedsfagligt grundlag.
Regeringen vil i samarbejde med relevante myn-
digheder og organisationer herunder regionerne og
life science industrien fortsætte den planlagte eva-
luering af tilknytningsreglerne i 2018 blandt andet
med henblik på at understøtte den løbende udveks-
ling af viden og erfaringer mellem sundhedsvæsen
og life science virksomhederne. Udgangspunktet
for den fremtidige regulering er, at den fortsat skal
understøtte, at sundhedspersoner og virksomheder
får et højt fagligt udbytte af samarbejdet. Life science
virksomheder er underlagt regler for samarbejdet
med sundhedspersonalet, som regulerer virksom-
hedernes adfærd. Det er for virksomhederne afgø-
rende, at der opretholdes troværdighed og uvildig-
hed. Derudover skal samarbejdet gennemføres i
åbenhed og i en form, der ikke rejser tvivl om sund-
hedspersonernes uvildighed som fagpersoner, og
således at produktvalg og valg af behandling alene
sker ud fra den enkelte patients eller patientgrup-
pes behov. Initiativet træder i kraft i 2018.
ERU, Alm.del - 2017-18 - Endeligt svar på spørgsmål 105: Spm. om kommentar til henvendelse af 20/2-18 fra Bristol-Myers Squibb Denmark vedrørende fremme af life science entreprenørskab, til erhvervsministeren
1869189_0024.png
24
VÆKSTPLAN FOR LIFE SCIENCE
Lægemiddelstyrelsen
i topklasse
For at nye lægemidler og medicinsk udstyr kan
blive tilgængelige for patienter på det danske og
globale marked, skal de godkendes eller CE-mær-
kes, før de kan markedsføres. Lægemiddelområdet
er et af de strengest regulerede erhverv, da befolk-
ningen skal have tryg adgang til sikre og virksomme
lægemidler samt sikkert medicinsk udstyr af høj
kvalitet.
Et af de centrale elementer i rammebetingelserne
for Danmark som førende life science nation er, at
virksomheder, der vil investere i at udvikle læge-
midler og medicinsk udstyr i Danmark, oplever et
professionelt og gnidningsfrit samspil med myn-
dighederne. En faglig styrkelse af myndighederne
er også med til at løfte de faglige regulatoriske kom-
petencer for hele industrien.
I forbindelse med den nylige beslutning om gen-
placering af Det Europæiske Lægemiddelagentur
(European Medicines Agency, EMA) udvalgte de
øvrige EU-lande Danmark til at være blandt de tre
bedst kvalificerede kandidater, og kandidaturet var
med til at markedsføre Danmark som en stærk life
science nation i Europa.
Der er en stigende regulatorisk kompleksitet i
markedet, da udviklingen i klinisk forskning peger
i retningen af mere og flere komplekse studie-
design, hvilket øger virksomhedernes behov for
videnskabelig rådgivning fra myndighedernes side.
Produkter udvikles og produceres endvidere i dag i
en globalt baseret life science industri, hvor et læge-
middel eksempelvis fremstilles i ét land og produ-
ceres i et andet land, mens kliniske forsøg og data-
analyser gennemføres i et tredje.
En stærk lægemiddelmyndighed giver grobund for
et stærkt life science erhverv. Derfor lancerede Læge-
middelstyrelsen en ny strategi 2017-2021, som sætter
fokus på at styrke Lægemiddelstyrelsen ved at redu-
cere sagsbehandlingstiderne, intensivere dialogen
med omgivelserne og positionere Lægemiddelstyrel-
sen stærkere internationalt. De nye tiltag i Lægemid-
delstyrelsen i forbindelse med den nye strategi viser
vejen til at skabe en styrelse i europæisk topklasse.
Samtidig medfører Brexit, at der skal ske en omfor-
deling af roller i det europæiske lægemiddelnetværk
og en stigende efterspørgsel fra life science virksom-
heder efter kompetent, regulatorisk videnskabelig
rådgivning. Derfor vil regeringen prioritere at styrke
Lægemiddelstyrelsens arbejde både internationalt,
europæisk og nationalt for at understøtte en fortsat
udvikling af life science området i Danmark og et
stærkt fokus på lægemiddelsikkerheden.
Lægemiddelstyrelsen har allerede fra 2017 sat
alle sejl til for eksempelvis at opnå flere rapportør-
skaber i EMA, men også for at markere sig på den
europæiske scene i HMA. I 2017 var målet for Læge-
middelstyrelsen 12-14 rapportørskaber i EMA, og
med et resultat på 17 rapportørskaber har indsatsen
allerede båret frugt. Det er Lægemiddelstyrelsens
ambition at fastholde og udbygge den gode udvik-
ling.
I Danmark har Lægemiddelstyrelsen myndig-
hedsansvaret for mærkning og godkendelse af nye
life science produkter, mens EMA koordinerer
Medicinsk udstyr er et område
i hastig vækst og med stigende
innovation, ligesom området
er præget af særdeles høj
kompleksitet, hvilket stiller
store krav til ekspertisen i de
bemyndigede organer.
ERU, Alm.del - 2017-18 - Endeligt svar på spørgsmål 105: Spm. om kommentar til henvendelse af 20/2-18 fra Bristol-Myers Squibb Denmark vedrørende fremme af life science entreprenørskab, til erhvervsministeren
1869189_0025.png
VÆKSTPLAN FOR LIFE SCIENCE
25
Regeringen vil igangsætte initiativer, som skal
styrke Lægemiddelstyrelsens europæiske og
internationale engagement til gavn for dansk
life science.
behandlingen af ansøgninger om lægemiddelgod-
kendelse til det europæiske marked, som udstedes af
EU-Kommissionen som fællesskabsmarkedsførings-
tilladelser. Reguleringen af life science produkter
indebærer blandt andet grundige godkendelses-
processer eller mærkning, inspektion af virksom-
heder og efterfølgende overvågning af produkterne,
som foretages af myndighederne.
Nye behandlingsmetoder og avancerede læge-
midler vinder fortsat frem, og presset på hurtigere
adgang til disse øges. Det betyder stigende krav og
kompleksitet for godkendelse og certificering, over-
vågning samt rådgivning om lægemidler og medi-
cinsk udstyr, for at der fortsat kan sikres konsistent
lægemiddeludvikling med høje standarder for
effekt og bivirkningsovervågning.
Medicinsk udstyr adskiller sig fra lægemidler, da
det skal certificeres hos et såkaldt bemyndiget
organ, før det må markedsføres. Et bemyndiget
organ er en privat virksomhed, der er certificeret af
en national sundhedsmyndighed til at gennemgå
og vurdere om det medicinske udstyr lever op til
kravene i lovgivningen og herved må markedsføres.
Medicinsk udstyr er et område i hastig vækst og
med stigende innovation, ligesom området er
præget af særdeles høj kompleksitet, hvilket stiller
store krav til ekspertisen i de bemyndigede orga-
ner. Derudover stiller nye EU-regler skærpede krav
til godkendelse af medicinsk udstyr af hensyn til
patientsikkerheden, hvilket forventeligt vil betyde
øget behov for dialog med Lægemiddelstyrelsen.
Ved en godkendelse CE-mærkes udstyret.
Det eneste danske bemyndigede organ Presafe
Denmark A/S har meldt ud, at de ikke ønsker at
fortsætte som bemyndiget organ i Danmark. En stor
andel af Presafes kunder er danske virksomheder,
og selvom danske virksomheder også kan benytte
bemyndigede organer i udlandet, kan konsekven-
sen blive, at der går længere tid, før nyt udstyr fra
danske life science virksomheder kan komme på
markedet og dermed komme patienterne til gode i
behandlingen. Afstanden mellem danske virksom-
heder og det bemyndigede organ øges desuden,
ligesom den tætte, konstruktive dialog mellem
virksomheder, bemyndiget organ og myndigheder
risikerer at forsvinde. På trods af en stor efterspørg-
sel efter bemyndigede organer på markedet er
antallet af bemyndigede organer i EU faldet mar-
kant over de senere år – fra ca. 80 da det toppede til
nu ca. 50. Efterspørgslen efter bemyndigede orga-
ner vil stige markant i de kommende år med ind-
førslen af nye europæiske forordninger og stor
vækst på området. Det skyldes, at der med de nye
regler på udstyrsområdet, der træder gradvist i kraft
i de kommende år, vil blive stillet skærpede krav
til de bemyndigede organer for at styrke patient-
sikkerheden og tilgængeligheden. Derudover er det
forventningen, at der vil være bemyndigede organer,
som vil få udfordringer i relation til den øgede kom-
pleksitet i opgavevaretagelsen.
Lægemidler og medicinsk udstyr produceret af
danske life science virksomheder afsættes overve-
jende på det europæiske og det globale marked,
ligesom udvikling af lægemidler og medicinsk
udstyr også i overvejende grad er en global funde-
ret og højtspecialiseret industri. Derfor er Læge-
middelstyrelsens tætte regulatoriske samarbejde
med europæiske samarbejdspartnere i form af
både EMA, samarbejdet for de nationale lægemid-
delmyndigheder i Europa, HMA (de europæiske
lægemiddelstyrelsers direktørkreds) og det inter-
nationale samarbejde af afgørende betydning for
dansk life science.
Regeringen vil igangsætte initiativer, som blandt
andet skal styrke Lægemiddelstyrelsens europæ-
iske og internationale engagement til gavn for dansk
life science og ligeledes på det nationale område, så
life science virksomheder får kompetent og effektiv
rådgivning af Lægemiddelstyrelsen i godkendelses-
processen for lægemidler.
ERU, Alm.del - 2017-18 - Endeligt svar på spørgsmål 105: Spm. om kommentar til henvendelse af 20/2-18 fra Bristol-Myers Squibb Denmark vedrørende fremme af life science entreprenørskab, til erhvervsministeren
1869189_0026.png
26
VÆKSTPLAN FOR LIFE SCIENCE
Regeringens initiativer
9-17
Initiativ 9:
Øget dansk indflydelse
i det europæiske HMA-lægemiddel-
netværk og styrkelse af læge-
middelsikkerhed
Brexit medfører, at Det Europæiske Lægemiddela-
gentur (European Medicines Agency, EMA) flytter
fra London til Amsterdam. Dette betyder blandt
andet, at de opgaver, som indtil videre har været
varetaget af engelske agenturer på human- og vete-
rinærområdet, fremadrettet skal omfordeles i EU.
Det skaber muligheder for en dansk positionering i
det europæiske myndighedsnetværk, HMA.
HMA-netværket sikrer, at de nationale dagsord-
ner bliver hørt på europæisk plan og udgør sammen
med EMA og EU-Kommissionen det europæiske
regulatoriske netværk. En aktiv dansk deltagelse af
Lægemiddelstyrelsen sikrer dansk indflydelse i dette
dagsordenssættende forum, der fungerer som tale-
rør for alle de nationale myndigheder på området.
HMA er blandt andet ansvarlig for at koordinere
godkendelse af de lægemidler, som ikke håndteres
via den centrale procedure i EMA til det europæiske
marked. Danske lægemiddelproducenter får gene-
relt godkendt produkter gennem både procedurer
koordineret af HMA og EMA.
Regeringen vil fra 2018 styrke Lægemiddel-
styrelsens deltagelse i HMA-netværket for at ind-
tage en toneangivende rolle i det europæiske læge-
middelnetværk og for at kunne varetage en stær-
kere rolle som koordinerende myndighed inden
for eksempelvis kliniske forsøg. Det vil desuden
medvirke til, at Lægemiddelstyrelsen er på forkant
op til ikrafttræden af den nye europæiske lovgiv-
ning, som indfører europæiske godkendelsesproce-
durer på området for kliniske forsøg som noget nyt.
Initiativ 10:
Styrkelse af Læge-
middelstyrelsens engagement i EMA
Flytningen af Det Europæiske Lægemiddelagentur
(European Medicines Agency, EMA) indebærer
risiko for, at agenturet ikke kan opretholde sin
funktion på nuværende niveau i en række år frem-
over. EMAs fortsatte operative funktionalitet vil
være dimensionerende for vækstmulighederne på
det europæiske marked, og det vil derfor være afgø-
rende, at EMAs funktionalitet opretholdes bedst
muligt. Danmark har en selvstændig interesse i at
varetage flere EMA-opgaver, da dette øger kompe-
tenceniveauet i Lægemiddelstyrelsen og i sidste
ende forbedrer den kompetente rådgivning, der
ydes til virksomhederne.
EMA er et koordineringsagentur, der i høj grad
trækker på de nationale lægemiddelmyndigheders
faglige medarbejdere og ekspertise i dets opgaveløs-
ning. Samtidig er de britiske myndigheders væsent-
lige bidrag til EMA allerede under udfasning. Rege-
ringens EMA-kandidatur har bidraget markant til at
synliggøre den danske life science klynge, og kandi-
daturet har ligeledes bidraget til en markant styr-
kelse af Lægemiddelstyrelsens position internt i det
europæiske samarbejde og i EMA.
Regeringen vil derfor fra 2018 forlænge dele af
den faglige oprustning af Lægemiddelstyrelsen, der
blev igangsat i forbindelse med det danske
EMA-kandidatur. Det vedrører en faglig oprustning
i forhold til ufinansierede EMA-opgaver, som Stor-
britannien tidligere har løftet en betragtelig del af.
Det skal afbøde risikoen for en svækkelse af EMAs
funktionalitet. Initiativet vil medvirke til at fast-
holde fordelen af det momentum, der nu er skabt
for Lægemiddelstyrelsen i EMA, og vil bidrage til, at
vi har en dansk Lægemiddelstyrelse i topklasse,
som er kendetegnet af høj kvalitet på alle arbejds-
områder for lægemidler og medicinsk udstyr.
ERU, Alm.del - 2017-18 - Endeligt svar på spørgsmål 105: Spm. om kommentar til henvendelse af 20/2-18 fra Bristol-Myers Squibb Denmark vedrørende fremme af life science entreprenørskab, til erhvervsministeren
1869189_0027.png
VÆKSTPLAN FOR LIFE SCIENCE
27
Initiativ 11:
Øget dialog med life
science industrien i Fagligt Forum
Et af de fem bærende elementer i Lægemiddel-
styrelsens strategi 2017-2021 er at være i aktiv
dialog med samarbejdspartnere, interessenter og
øvrige relevante organisationer herunder life
science industrien.
Ambitionen med Fagligt Forum er at sætte spot
på aktuelle temaer, kommunikere direkte og få
feedback fra relevante samarbejdspartnere ved at
drøfte emner på et niveau, som er relevant for fag-
folk. Temaer er aktuelle emner som for eksempel
personlig medicin, komplekse kliniske forsøgs-
design, medicinsk cannabis og nye forordninger for
medicinsk udstyr. Der holdes møder i Fagligt Forum
ca. tre gange årligt.
Regeringen vil fortsat understøtte, at Lægemiddel-
styrelsen afholder dialogmøderne Fagligt Forum
med invitation af repræsentanter fra blandt andet
life science industrien.
Initiativ 13:
Foretræde for
Medicintilskudsnævnet
Lægemiddelvirksomheder, der ansøger om tilskud
til medicin i primærsektoren, har i dag ikke mulig-
hed for at få foretræde hos Medicintilskudsnævnet
i forbindelse med vurderingen af deres ansøgning.
Regeringen vil fra 2018 indføre foretræde for
Medicintilskudsnævnet med henblik på at imøde-
komme industriens interesse for dialog med myn-
dighederne. Samtidig vil det give virksomhederne
mulighed for bedre indblik i beslutningsprocessen
ved tildeling af tilskud samt genforetræde i de til-
fælde, hvor ansøgningen indstilles til afslag.
Initiativ 14:
Fremme grundlag for
etablering af bemyndigede organer
i Danmark og gode regulatoriske
rammer for medicoindustrien
Bemyndigede organer står for rådgivning og
godkendelse af nyt medicoudstyr. En kompetent og
effektiv rådgivning kan bidrage til en mere gnid-
ningsfri godkendelse. Da Presafe Denmark A/S det
eneste bemyndigede organ i Danmark lukker øges
usikkerheden i medicoindustrien, da virksom-
hederne har stærkt brug for den rådgivning og
vejledning, bemyndigede organer yder. Hvis der
ikke findes bemyndigede organer i Danmark, må
virksomhederne tage til udlandet, hvilket kan
medføre højere administrative konsekvenser i
forbindelse med en godkendelse. Konsekvensen for
virksomhederne og patienter er, at der går længere
tid, før nyt udstyr kan komme på markedet og
dermed komme patienterne til gode i behandlingen.
Tilmed risikerer den konstruktive dialog mellem
virksomheder, bemyndiget organ og myndigheder
at forsvinde. Lægemiddelstyrelsen risikerer at miste
rådgivningskompetence inden for medicoområdet,
hvis der ikke er bemyndigede organer i Danmark,
da der i dag foregår en kontinuerlig erfarings-
udveksling mellem det bemyndigede organ og
Lægemiddelstyrelsen, som er tilsynsmyndighed.
Regeringen vil i 2018 udarbejde en analyse af
behovet og mulighederne for at etablere bemyn-
digede organer i Danmark. Analysen vil omfatte
organisatoriske muligheder, identificere kom-
petencebehov og gevinster for både samfund og
erhvervsliv. Analysen skal medvirke til at identi-
ficere de udfordringer, der er forbundet med at
etablere bemyndigede organer i Danmark og fore-
slå løsninger, der muliggør etableringen. Derud-
over skal der blandt andet arbejdes for en forenk-
ling af registreringen af små og mellemstore virk-
somheder, som ønsker at blive bemyndiget organ
i Danmark.
Initiativ 12:
Forsøgsordning for
indførsel af risikodeling i medicin-
tilskudssystemet
I dag har Lægemiddelstyrelsen efter rådgivning fra
Medicintilskudsnævnet mulighed for at afvise
generelt klausuleret tilskud til lægemidler, hvis
det vurderes, at der er risiko for, at lægemidlet
anvendes (som førstevalg) til patienter, der ikke er
omfattet af målgruppen for tilskudsansøgningen.
Det kan for eksempel være, hvis den tilsigtede
målgruppe er forholdsvis lille, mens der samtidigt
eksisterer en stor gruppe patienter, der potentielt
kan få lægemidlet ordineret, selvom det ikke
vurderes hensigtsmæssigt for eksempel på grund
af prisen. I stedet vil den tilsigtede målgruppe
have mulighed for at få enkelttilskud. I perioden
2013 til 2016 er der blevet afvist i alt ti lægemidler
af denne årsag.
Regeringen vil derfor søge Folketingets opbak-
ning til en lovændring, hvormed der fra 2019 kan
indføres risikodeling som forsøgsordning for to
udvalgte lægemidler, hvor virksomheden dækker
risikoen ved uhensigtsmæssigt førstevalg. Det vil
sige, at Lægemiddelstyrelsen for de to udvalgte
lægemidler vil fastsætte et skøn over det antal
patienter, der er berettiget til tilskud (målpopula-
tionen). Hvis salget af lægemidlet overstiger skøn-
net, skal virksomheden tilbagebetale det offentliges
merudgifter til tilskud. Forsøgsordningen evalueres
i 2021.
ERU, Alm.del - 2017-18 - Endeligt svar på spørgsmål 105: Spm. om kommentar til henvendelse af 20/2-18 fra Bristol-Myers Squibb Denmark vedrørende fremme af life science entreprenørskab, til erhvervsministeren
1869189_0028.png
28
VÆKSTPLAN FOR LIFE SCIENCE
Initiativ 15:
Videnskabelig råd-
givning i Lægemiddelstyrelsen
For at understøtte en dansk forskende life science
industri i den globale konkurrence og imøde-
komme den stigende regulatoriske kompleksitet er
der efterspørgsel på, at Lægemiddelstyrelsen kan
tilbyde virksomhederne videnskabelig rådgivning
(scientific advice). Det skyldes blandt andet at
udviklingen i klinisk forskning peger i retning af
mere og flere komplekse studiedesigns, hvilket
øger virksomhedernes efterspørgsel på viden-
skabelig myndighedsrådgivning.
Tilbud om videnskabelig rådgivning kan bidrage
til at gøre Danmark til en attraktiv samarbejdspart-
ner og være medvirkende til at gøre rammerne for
tiltrækning af forskningsenheder og virksomheds-
afdelinger bedre.
Regeringen vil derfor arbejde for, at Lægemiddel-
styrelsen fra 2018 kan tilbyde den videnskabelige
rådgivning, som andre lægemiddelagenturer i
Europa (blandt andet Sverige og Holland) yder virk-
somhederne vedrørende blandt andet studiedesign
af lægemiddelafprøvning og valg af analysemetode
for dataanalyse. På den måde vil Danmark imøde-
komme den stigende efterspørgsel efter dialogbase-
ret rådgivning til virksomheder, hospitaler og myn-
digheder. Videnskabelig rådgivning vil blive finan-
sieret af gebyrer betalt af virksomhederne.
Initiativ 17:
Lægemiddelstyrelsen
overtager opgaven med udsendelse
af orienteringsbreve til sundheds-
personer (DHPC) fra virksomheder
Af hensyn til patienternes sikkerhed opstår der
jævnligt situationer, hvor lægemiddelmyndig-
hederne skønner, at der er behov for, at nye, vigtige
oplysninger om sikkerheden ved et lægemiddel
kommunikeres direkte til de relevante sundheds-
personer især læger. I sådanne tilfælde bliver den
virksomhed, der er indehaver af markedsførings-
tilladelsen til lægemidlet, påbudt at udsende Direct
Professional Communication (DHPC) til en
nærmere bestemt kreds af sundhedspersoner for
eksempel onkologer, psykiatere, pædiatere, neuro-
loger eller apotekere. Udsendelse af DHPC under-
støtter sikker og effektiv brug af lægemidler og sker
dermed til gavn for patientsikkerheden.
Regeringen vil lade Lægemiddelstyrelsen over-
tage opgaven med at udsende orienteringsbreve til
læger om ny sikkerhedsinformation om lægemid-
ler fra virksomhederne mod en mindre gebyr-
stigning. Lægemiddelstyrelsen kan digitalisere de
tidligere postfremsendte DHPC’er og dermed ud-
sende dem enklere, billigere og mere målrettet
end virksomhederne til gavn for patientsikker-
heden. Virksomhederne vil opnå væsentlige
direkte og indirekte økonomiske besparelser og
administrative lettelser.
Initiativ 16:
Analysere muligheder
for, at Lægemiddelstyrelsen kan
yde regulatorisk vejledning for
medicinsk udstyr
Medicinsk udstyr er et område i hastig vækst, og
medicovirksomheder efterspørger i stigende grad
vejledning om regulering hos Lægemiddelstyrel-
sen. Nye områder vinder frem inden for medicinsk
udstyr, og en øget kompleksitet, ny teknologi og
snitflader til andre produktområder udfordrer de
regulatoriske rammer. For at understøtte danske
medicovirksomheder i den globale konkurrence
skal Lægemiddelstyrelsen følge udviklingen tæt og
samtidig levere tydelig og relevant rådgivning til
fabrikanter af medicinsk udstyr.
Regeringen vil derfor i løbet af 2018 afdække
rammer og behov for et eventuelt koncept for regu-
latorisk vejledning i Lægemiddelstyrelsen. Ved
udgangen af 2018 tages stilling til, om et eventuelt
koncept for regulatorisk vejledning for medicinsk
udstyr kan implementeres i Lægemiddelstyrelsen.
ERU, Alm.del - 2017-18 - Endeligt svar på spørgsmål 105: Spm. om kommentar til henvendelse af 20/2-18 fra Bristol-Myers Squibb Denmark vedrørende fremme af life science entreprenørskab, til erhvervsministeren
1869189_0029.png
ERU, Alm.del - 2017-18 - Endeligt svar på spørgsmål 105: Spm. om kommentar til henvendelse af 20/2-18 fra Bristol-Myers Squibb Denmark vedrørende fremme af life science entreprenørskab, til erhvervsministeren
1869189_0030.png
30
VÆKSTPLAN FOR LIFE SCIENCE
Bedre adgang til
kvalificeret arbejds-
kraft
46%
Fra 2001 til 2015 steg
beskæftigelsen inden for
life science med
Life science virksomheder efterspørger kvalificeret
arbejdskraft til en række højt specialiserede funktioner
– fra forskere og laboranter i forskningsafdelingen
til ingeniører og teknikere i produktionen. Des-
uden efterspørges profiler, som kan tænke på tværs
og derved både forstår lægemiddel- og medico-
erhvervet. Som følge af en høj vækst er beskæftigel-
sen inden for life science steget med 46 pct. fra 2001
til 2015. Det medfører, at life science oplever rekrut-
teringsudfordringer inden for udvalgte fagområder
især inden for sundhed og teknik.
Det er centralt, at life science har adgang til med-
arbejdere med tekniske, digitale og naturvidenska-
belige kompetencer også kaldet STEM-uddannelser
(som er en forkortelse for Science, Technology, Engi-
neering og Mathematics). EU-agenturet Cedefop
vurderer, at efterspørgslen efter STEM-kompeten-
cer i Danmark vil stige med 28 pct. fra 2013 til 2025
mod 12 pct. i EU som helhed. Data fra 2013 viser, at
Danmark havde relativt få i arbejdsstyrken med
en videregående digital eller teknisk uddannelse
sammenlignet med øvrige nordeuropæiske lande,
se figur 8.
Det gælder også blandt de yngre årgange, selvom
optaget generelt er stigende på de videregående
tekniske, digitale og naturvidenskabelige uddan-
nelser som for eksempel på en række ingeniør- og
IT-uddannelser. Resultaterne af det stigende optag,
der er set på de videregående STEM-uddannelser
generelt over de seneste ca. ti år, er dog begyndt at
vise sig. Danmark ligger således over gennemsnittet
i OECD, hvis man ser på antallet af fuldførte
STEM-uddannelser for aldersgruppen 18-40 år. Det
er en positiv udvikling, der skal understøttes.
Regeringen har derfor annonceret, at der bliver
indgået en Teknologipagt i samarbejde med
erhvervsliv, uddannelsesinstitutioner og andre
med indsatser, der skal styrke danskernes tekniske
og digitale kompetencer. Det skal imødekomme et
stigende behov i erhvervslivet og danne grundlag
for at løse vigtige samfundsudfordringer i frem-
tiden. Regeringen vil ligeledes lancere en naturvi-
denskabsstrategi i 2018, som også vil fokusere på at
styrke elevernes naturvidenskabelige faglighed og
interesse.
Det er nødvendigt vedvarende at være opmærk-
som på, om uddannelsessystemet imødekommer
virksomhedernes efterspørgsel efter arbejdskraft.
Dimensionering af optaget på videregående uddan-
nelser er et redskab, der kan understøtte en bedre
sammenhæng mellem udbud af nyuddannede og
efterspørgsel fra virksomhederne ved at begrænse
optaget på uddannelser med høj ledighed blandt
nyuddannede.
Når life science virksomhederne oplever vanske-
ligheder med at finde medarbejdere på det danske
arbejdsmarked, er det afgørende, at de har gode
muligheder for at tiltrække højtkvalificeret uden-
landsk arbejdskraft. Højtuddannede udlændinge
uden familie bliver i gennemsnit i Danmark i 5,5 år
og bidrager med et nettobeløb på godt 130.000 kr.
om året til de offentlige finanser svarende til et
samlet overskud på lidt over 720.000 kr. Regeringen
vil give erhvervslivet bedre muligheder for at få
den arbejdskraft, som de efterspørger, ved at styrke
danske virksomheders mulighed for at tiltrække
og fastholde forskere og nøglemedarbejdere fra
udlandet.
ERU, Alm.del - 2017-18 - Endeligt svar på spørgsmål 105: Spm. om kommentar til henvendelse af 20/2-18 fra Bristol-Myers Squibb Denmark vedrørende fremme af life science entreprenørskab, til erhvervsministeren
1869189_0031.png
VÆKSTPLAN FOR LIFE SCIENCE
31
Figur 8
Andel af arbejdsstyrken
med videregående STEM-
uddannelse, 25-64 årige,
2013.
Pct.
20
18
16
14
12
10
8
6
4
2
Kilde:
Eurostat og egne
beregninger.
0
Finland
Estland
Irland
Tyskland
Frankrig
Sverige
EU28
Danmark
Storbritannien
Norge
Nederlandene
ERU, Alm.del - 2017-18 - Endeligt svar på spørgsmål 105: Spm. om kommentar til henvendelse af 20/2-18 fra Bristol-Myers Squibb Denmark vedrørende fremme af life science entreprenørskab, til erhvervsministeren
1869189_0032.png
32
VÆKSTPLAN FOR LIFE SCIENCE
Regeringens initiativer
18-21
Initiativ 18:
Teknologipagt med
deltagelse af life science industrien
Regeringen har annonceret, at der bliver indgået en
Teknologipagt i samarbejde med erhvervsliv,
uddannelsesinstitutioner og andre med indsatser,
der skal styrke befolkningens kompetencer inden
for STEM (Science, Technology, Engineering and
Mathematics). Teknologipagten skal få flere til at
interessere sig for STEM, få flere til at uddanne sig
inden for STEM, og få flere til at arbejde i jobs, hvor
STEM-kompetencer er efterspurgte. Ligeledes skal
Teknologipagten fokusere på, hvordan STEM kan
anvendes til innovation, forretningsforståelse og
-udvikling for derigennem at understøtte øget
vækst og beskæftigelse.
Teknologipagten vil være åben for alle, der for-
pligter sig på en indsats, der kan fremme Teknologi-
pagtens formål, og som forpligter sig til at dele erfa-
ringerne herfra. Indsatserne skal drives af aktørerne
selv, men Teknologipagten skaber en platform til at
drøfte indsatserne, udbrede og videreudvikle dem
samt starte nye på tværs af aktører.
Regeringen er i dialog med flere life science virk-
somheder om at blive en del af Teknologipagten.
Eksempelvis afholder Lundbeck hvert år Drughunter
Dysten, jf. boks 6.
Med lanceringen af teknologipagten søger rege-
ringen at fremme virksomhedernes engagement i
uddannelsesindsatsen. Regeringen ser derfor meget
positivt på allerede eksisterende initiativer som
eksempelvis Knowledge Hub Zealand i Kalund-
borg. Initiativet er et partnerskab af virksomheder,
uddannelsesinstitutioner og offentlige myndig-
heder med det fælles mål at gøre Kalundborg til en
national videnshub i verdensklasse for bioteknolo-
gisk innovation.
Initiativ 19:
Udvidelse af
forskerskatteordningen
Forskerskatteordningen giver godkendte forskere
og nøglemedarbejdere fra udlandet mulighed for
en lavere bruttobeskatning i en begrænset periode.
Det styrker dansk erhvervsliv og danske forsknings-
institutioners muligheder for at tiltrække og fast-
holde højtkvalificerede forsknings- og udviklings-
medarbejdere fra udlandet.
Siden forskerskatteordningen blev indført i 2001,
er anvendelsen blandt både virksomheder og per-
soner øget. Antallet af virksomheder, der har benyt-
tet sig af forskerskatteordningen, var ca. 970 i 2015,
mens antallet af personer er steget til ca. 5.950 i
2015. Den største relative stigning er sket blandt
forskerne, hvor antallet af personer er næsten fire-
doblet, mens antallet af nøglemedarbejdere er lidt
mere end fordoblet siden 2001.
Regeringen har sammen med Dansk Folkeparti
og Radikale Venstre udvidet ordningen, således at
den nu kan benyttes i op til syv år af forskere og
nøglemedarbejdere, som den 1. januar 2018 ikke
Boks 6
Hvad er Drughunter
Dysten?
Lundbecks Drughunter Dyst
Drughunter Dysten er en formidlingskonkurrence,
hvor gymnasieelever arbejder med et emne inden
for enten kemi, biologi eller bioteknologi for at
besvare en række opgaver formuleret af Lundbecks
egne topforskere. Opgaverne er udformet, så de
giver indsigt i den igangværende forskning, blandt
andet i centralnervesystemet. Der afholdes lokale
konkurrencer på en række gymnasier, og vinderne
går videre til den nationale finale, som afholdes
hos Lundbeck.
ERU, Alm.del - 2017-18 - Endeligt svar på spørgsmål 105: Spm. om kommentar til henvendelse af 20/2-18 fra Bristol-Myers Squibb Denmark vedrørende fremme af life science entreprenørskab, til erhvervsministeren
1869189_0033.png
VÆKSTPLAN FOR LIFE SCIENCE
33
Teknologipagten skal få flere til at interesse sig for STEM,
få flere til at uddanne sig inden for STEM, og få flere til
at arbejde i jobs, hvor STEM-kompetencer er efterspurgt.
Regeringen er i dialog med flere life science virksomheder
om at blive en del af Teknologipagten.
har anvendt ordningen i de nuværende fem år.
Tidligere kunne ordningen kun benyttes i fem år.
Udvidelsen finansieres ved at forhøje bruttoskatte-
procenten fra 26 pct. til 27 pct.
Initiativ 21:
Life science erhvervet
repræsenteres i Sundhedstyrelsens
Prognose- og Dimensionerings-
udvalg
Læger spiller en central rolle i store dele af værdi-
kæden inden for life science. I udviklingsfasen
bedriver de blandt andet forskning og kliniske
forsøg, ligesom de efter markedsføringen af
produktet er med til at overvåge produkternes
bivirkningsprofil.
Prognose- og Dimensioneringsudvalget udarbej-
der prognoser for det fremtidige lægelige arbejds-
marked, som skaber grundlaget for dimensione-
ring af den lægelige videreuddannelse.
Regeringen vil invitere en repræsentant for life
science erhvervet til at indgå i Prognose- og Dimen-
sioneringsudvalget fra 2018. Hermed ønsker rege-
ringen at skabe et bedre samarbejde mellem de
centrale sundhedsmyndigheder, de regionale drifts-
herrer og life science industrien i forhold til den
lægelige videreuddannelse. Et tættere samarbejde
understøtter, at der også tages højde for life science
erhvervets efterspørgsel efter læger.
Initiativ 20:
Evaluering af
dimensioneringsmodellen for
videregående uddannelser
Den ledighedsbaserede dimensioneringsmodel er
indført for at skabe en bedre sammenhæng mellem
udbud af og efterspørgsel efter nyuddannede fra de
videregående uddannelser ved at begrænse optaget
på uddannelser med høj ledighed blandt nyud-
dannede.
Der gennemføres en evaluering af modellen for
blandt andet at undersøge, om der er behov for at
imødekomme regionale forskelle i virksomheder-
nes efterspørgsel. På baggrund af evalueringen vil
regeringen i løbet af 2018 tage stilling til, om der
skal ske ændringer i modellen.
ERU, Alm.del - 2017-18 - Endeligt svar på spørgsmål 105: Spm. om kommentar til henvendelse af 20/2-18 fra Bristol-Myers Squibb Denmark vedrørende fremme af life science entreprenørskab, til erhvervsministeren
1869189_0034.png
34
VÆKSTPLAN FOR LIFE SCIENCE
Flere startups
og digital omstilling
Det skønnes, at det koster
minimum
at udvikle et nyt lægemiddel
frem til markedsføringsstadiet.
7,5
mia. kr.
Et dynamisk erhvervsliv med succesfulde life
science iværksættere, som løbende udfordrer
etablerede virksomheder med nye løsninger,
sikrer en sund konkurrence, hvor virksomhederne
fornyer sig og skaber vækst. Denne dynamik er
vigtig for, at der fortsat udvikles nye life science
successer i Danmark og derved skabes attraktive
arbejdspladser.
Startups inden for life science herunder særlig
inden for biotekområdet adskiller sig fra andre
startups. Det skyldes, at udviklingen af nye produk-
ter inden for life science er særlig omkostningstung
og risikofyldt, hvorfor iværksættere er afhængige af
et velfungerende og tålmodigt kapitalmarked.
Det skønnes, at det koster minimum 7,5 mia. kr.
at udvikle et nyt lægemiddel frem til markeds-
føringsstadiet, mens det tager 12-14 år fra et biotek-
selskab patenterer sit produkt, til det kan sælges til
patienterne. Det er dog få life science produkter, der
overhovedet når frem til markedet. Under 1 pct. af
de biotekprodukter, der patenteres, ender med at
blive kommercielle produkter. Og kun omkring 9
pct. af de biotekprodukter, der tiltrækker kapital
fra venturefonde, får endelig godkendelse hos
myndighederne.
Den lange udviklingstid samt den store teknolo-
giske og markedsmæssige usikkerhed, der er for-
bundet med life science, kan gøre det svært for
iværksættere og nyopstartede virksomheder at
tiltrække private investorer med den fornødne risi-
kovillighed og tålmodighed. Private venture fonde
har oftest en investeringshorisont på 7-10 år. Fond-
ene sigter derfor efter at investere i forretnings-
modeller, hvor det er muligt at realisere en gevinst
inden for fondens løbetid. Den lange udviklingstid
for life science virksomheder betyder, at mange
private venture fonde vil vælge investeringer i life
science fra.
Novo Seeds og Lundbeck Emerge er de to danske
aktører, der investerer i biotekvirksomheder i seed-
stadiet. Desuden har danske fonde iværksat en
række initiativer for at skabe mere entreprenør-
skab inden for life science. Senest har Novo Nordisk
Fonden påbegyndt etableringen af Bio Innovation
Startups inden for life science herunder særlig inden
for biotekområdet adskiller sig fra andre startups.
Det skyldes, at udviklingen af nye produkter inden for
life science er særlig omkostningstung og risikofyldt,
hvorfor iværksættere er afhængige af et velfungerende
og tålmodigt kapitalmarked.
ERU, Alm.del - 2017-18 - Endeligt svar på spørgsmål 105: Spm. om kommentar til henvendelse af 20/2-18 fra Bristol-Myers Squibb Denmark vedrørende fremme af life science entreprenørskab, til erhvervsministeren
1869189_0035.png
VÆKSTPLAN FOR LIFE SCIENCE
35
Institute (BII), hvor talentfulde forskere og iværk-
sættere fra universiteter, hospitaler eller andre
forsknings- og iværksættermiljøer kan arbejde på
nye projekter. Regeringen hilser private initiativer
som disse velkommen og ønsker at støtte op om
yderligere innovation på området ved at videre-
udvikle de generelle rammer for det danske
innovationssystem og styrke teknologioverførslen
og samarbejdet mellem universiteterne og erhvervs-
livet i Danmark.
Foruden kapitaltiltrækning er der tre andre
områder, som i særlig grad er vigtige i det danske
life science iværksættermiljø. Det første er den tek-
nologiske udvikling, som i flere tilfælde har ført til
øget regulatorisk kompleksitet, hvilket kan for-
sinke introduktionen af nye og mere effektive pro-
dukter og behandlingsformer baseret på nye forret-
ningsmodeller. Det er vigtigt, at der ikke opstår
unødvendige barrierer for, at danske virksomheder
og iværksættere kan udnytte de muligheder, som
ny teknologi giver. Det kan være til skade for både
væksten og patienterne.
Det andet er iværksætterkompetencer. Det er
vigtigt, at studerende på life science relaterede
uddannelser tilegner sig iværksætterkompetencer.
En stor del af de studerende kommer i dag aldrig
i kontakt med entreprenørskabsundervisning i
løbet af deres studie. Det kan være en hindring for,
at de studerende bliver bevidste om muligheden
for at starte egen virksomhed.
Det tredje er et ukompliceret erhvervsfremme-
system. Det er positivt, når virksomhederne i sam-
arbejde med myndighederne og forsknings-
institutioner organiserer sig i specialiserede klynge-
organisationer, og det styrker virksomhedernes
adgang til viden, kompetencer og netværk. I dag
eksisterer der ni klynge- og innovationsnetværk i
Danmark inden for sundhedsområdet. Seks af dem
agerer inden for life science, mens de resterende tre
agerer inden for velfærdsteknologi. Det store antal
klynger kan medføre, at relevante kompetencer i
for høj grad spredes, og at særlig iværksættere med
begrænsede medarbejderressourcer får svært ved
at orientere sig i klyngernes tilbud. Regeringen
ønsker derfor en enkel og overskuelig klynge- og
innovationsindsats inden for life science.
ERU, Alm.del - 2017-18 - Endeligt svar på spørgsmål 105: Spm. om kommentar til henvendelse af 20/2-18 fra Bristol-Myers Squibb Denmark vedrørende fremme af life science entreprenørskab, til erhvervsministeren
1869189_0036.png
36
VÆKSTPLAN FOR LIFE SCIENCE
Regeringens initiativer
22-30
Initiativ 22:
Undersøge muligheder
for at øge investeringerne i life
science eventuelt via ny fond
Det kan være en udfordring for iværksættere og
små life science virksomheder at rejse tilstrækkelig
kapital i Danmark til udvikling af nye produkter,
idet udviklingen er både kapitalintensiv og tids-
krævende.
Vækstfonden vil undersøge muligheden for i sam-
arbejde med private investorer og vidensaktører at
etablere en life science fond, der skal foretage inve-
steringer i videnstunge og kapitalintensive virksom-
heder. En eventuel etablering af en sådan fond vil
skulle ske inden for Vækstfondens eksisterende lov-
givningsmæssige og finansielle rammer og forud-
sætter, at Vækstfonden kan finde den nødvendige
opbakning fra øvrige investorer.
Vækstfonden har tidligere sat ind med finansielle
løsninger for at imødekomme life science bran-
chens særlige finansieringsbehov. Formålet var dels
at understøtte investeringer i de tidlige faser og dels
senere i virksomhedernes livscyklus ved at gå foran
og vise det private marked, at det er muligt at lave et
afkast ved at investere risikovillig og tålmodig kapi-
tal i life science virksomheder. Vækstfonden har
tidligere stiftet life science fonden Sunstone Capi-
tal, som efter succesfulde investeringer kunne pri-
vatiseres. Dermed har Vækstfonden været med til at
opbygge kompetencer i et management team med
fokus på risikovillig kapital til life science, som
senere kunne stå på egne ben.
Initiativ 23:
Bedre vilkår for
tildeling af medarbejderaktier
Virksomhederne skal have bedre mulighed for at
tilbyde deres medarbejdere en alternativ aflønning
i form af medarbejderaktier. Det er særligt vigtigt
for nye, mindre vækstvirksomheder, da de ofte er
mere udfordrede på likviditeten end etablerede
virksomheder.
Regeringen har derfor i samarbejde med Dansk
Folkeparti og Radikale Venstre forhøjet grænsen
for, hvor stor en andel af medarbejderes løn, der
kan udbetales som medarbejderaktier til aktieind-
komstbeskatning fra 10 pct. til 20 pct. af lønnen for
alle virksomheder.
Forhøjelsen er mulig under forudsætning af, at 80
pct. af virksomhedens ansatte tilbydes aktieløn
under ordningen. Desuden udarbejdes en særlig
ordning målrettet nye, mindre virksomheder, der får
mulighed for at tilbyde op til 50 pct. af lønnen som
medarbejderaktier til aktieindkomstbeskatning.
Virksomheder under denne ordning vil ikke skulle
opfylde betingelsen om, at 80 pct. af virksomhedens
ansatte skal tilbydes aktieløn under ordningen.
Initiativet er gældende fra den 1. januar 2018.
Initiativ 24:
Indførsel af
Investorfradrag
Regeringen har sammen med Dansk Folkeparti og
Radikale Venstre indført et investorfradrag for at
fremme risikovillig kapital til unoterede små og
mellemstore virksomheder og derved styrke iværk-
sætterkulturen. Da investorfradraget lemper beskat-
ningen af de midler, der investeres, bliver det mere
attraktivt at investere i de pågældende iværksætter-
virksomheder, der samtidig får lettere ved at
tiltrække kapital.
ERU, Alm.del - 2017-18 - Endeligt svar på spørgsmål 105: Spm. om kommentar til henvendelse af 20/2-18 fra Bristol-Myers Squibb Denmark vedrørende fremme af life science entreprenørskab, til erhvervsministeren
1869189_0037.png
VÆKSTPLAN FOR LIFE SCIENCE
37
Vækstfonden vil undersøge mulig-
heden for i samarbejde med private
investorer og vidensaktører at
etablere en life science fond.
Det er aftalt, at investorfradraget skal give personer
(uafhængige investorer), der direkte investerer i de
omfattede virksomheder, mulighed for årligt at
fradrage halvdelen af investeringer for op til 400.000
kr. i 2019 til 2022. Fra 2023 og frem kan halvdelen af
investeringer for op til 800.000 kr. fradrages. Fra-
draget udformes, så det får en skatteværdi på 30 pct.
Endvidere er det aftalt, at der gives et fradrag for
personer, der igennem en særlig type iværksætter-
fonde investerer i unoterede små og mellemstore
virksomheder. Fradraget bliver på halvdelen af
investeringer op til 125.000 kr. fra 2019 til 2022, og
fra 2023 og frem bliver fradraget på halvdelen af
investeringer op til 250.000 kr. Ordningen forven-
tes at kunne træde i kraft fra 1. januar 2019.
Initiativ 25:
Agil erhvervsrettet
regulering
Danmark skal have gode rammevilkår, så vi kan
tiltrække og fastholde virksomheder, der vil anvende
nye digitale teknologier og forretningsmodeller.
Det kræver, at reguleringen og myndighedernes
håndhævelse af reglerne gør det enkelt at bruge nye
teknologier og digitale forretningsmodeller, og at
der er bedre muligheder for forsøg. Derudover skal
vi være opmærksomme på regulering i udlandet og
søge inspiration, så Danmark er på forkant med
reguleringen på det digitale område.
Regeringen har derfor sammen med Dansk Folke-
parti og Radikale Venstre indgået en politisk aftale
om initiativer for at styrke virksomhedernes mulig-
heder for at teste, udvikle og anvende nye digitale
teknologier og forretningsmodeller, der skaber
værdi for både virksomhederne og for samfundet.
Fra 1. juli 2018 skal det være obligatorisk for
myndigheder at vurdere, om erhvervsrettet regule-
ring understøtter virksomhedernes muligheder for
at anvende nye digitale teknologier og forretnings-
modeller samtidig med, at lovens overordnede
formål og beskyttelseshensyn fastholdes.
Det tværgående samarbejde mellem myndig-
heder styrkes ved oprettelse af én indgang for nye
forretningsmodeller, så det er let og ligetil for virk-
somheder at henvende sig og få svar, hvis de er
i tvivl om gældende regler. Der gennemføres på
relevante områder løbende digitale tjek af, om eksi-
sterende erhvervsregulering er tidssvarende i for-
hold til nabolandes regulering.
Der gives bedre muligheder for forsøg på om-
råder, hvor der allerede nu tegner sig et potentiale
for, at virksomheder finder nye digitale løsninger,
som kan være til gavn for for eksempel forbrugere,
miljøet eller samfundet.
Initiativ 26:
Digital Hub Denmark
– partnerskab for digital vækst
Udviklingen inden for Big Data, kunstig intelligens
og Internet of Things går rigtig stærkt i disse år, og
mange lande i både Europa og Asien investerer kraf-
tigt i udviklingen af vækstmiljøer, som kan styrke
digital innovation i virksomheder og tiltrække talen-
ter og investeringer.
Regeringen har sammen med Dansk Folkeparti og
Radikale Venstre indgået en politisk aftale om initia-
tiver for Danmarks digitale vækst. Aftalen udmønter
digitaliseringsmidlerne fra erhvervs- og iværksætter-
aftalen fra november 2017. Aftaleparterne er enige
om at etablere et offentlig-privat partnerskab ”Digital
Hub Denmark”. Partnerskabet etableres med delta-
gelse af Erhvervsministeriet, Udenrigsministeriet og
Uddannelses- og Forskningsministeriet, Dansk Indu-
stri, Dansk Erhverv og Finans Danmark med fokus
på at styrke den digitale vækst i Danmark. Partner-
skabet skal igangsætte tiltag, der styrker Dan-
mark som et internationalt konkurrencedygtigt
vækstmiljø inden for kunstig intelligens, Big Data
og Internet of Things. Partnerskabet ledes af en
bestyrelse bestående af de stiftende parter. Der er
lavet en principaftale mellem de stiftende parter
Boks 7
Hvad er Digital Hub
Denmark?
Digital Hub Denmark
Digital Hub Denmark skal blandt andet fokusere på
følgende:
• En national digital platform og læringssite, der
skaber bedre adgang til ideer, kompetencer og
samarbejde på tværs af virksomheder, iværksæt­
tere, studerende mm.
• Et nationalt center for forskning i nye digitale
teknologier med fokus på udvikling og kommer­
ciel udnyttelse af kunstig intelligens, Big Data,
Internet of Things mv.
• Markedsføring af Danmark internationalt som digi­
talt foregangsland, hvilket skal øge tiltrækningen
af virksomheder, talenter og investeringer.
• Igangsættelse af aktiviteter, der blandt andet
omfatter forsøgsprojekter med øget kommerciel
udnyttelse af offentlige data og tiltrækning af
internationale konferencer.
ERU, Alm.del - 2017-18 - Endeligt svar på spørgsmål 105: Spm. om kommentar til henvendelse af 20/2-18 fra Bristol-Myers Squibb Denmark vedrørende fremme af life science entreprenørskab, til erhvervsministeren
1869189_0038.png
38
VÆKSTPLAN FOR LIFE SCIENCE
Af de statslige midler til Digital Hub Denmark reserveres
2,5 mio. kr. i 2018 og 5 mio. kr. i 2019 til at undersøge
mulighederne for øget kommerciel udnyttelse af
sundhedsdata. Midlerne kan for eksempel prioriteres
til events eller ”sandkasse”-forsøg.
om blandt andet medfinansiering. Til hubben til-
knyttes der et advisory board bestående af blandt
andet repræsentanter fra erhvervslivet, og der etab-
leres et sekretariat.
Af de statslige midler til Digital Hub Denmark
reserveres 2,5 mio. kr. i 2018 og 5 mio. kr. i 2019 til at
undersøge mulighederne for øget kommerciel
udnyttelse af sundhedsdata. Midlerne kan for
eksempel prioriteres til events eller ”sandkasse”-
forsøg, hvor virksomhederne kan teste og eksperi-
mentere med sundhedsdata i samarbejde med
hospitaler og andre relevante aktører som for
eksempel Sundhedsdatastyrelsen.
Regeringen har sammen med Folketingets partier
vedtaget syv principper for moderne og sikker brug
af sundhedsdata, der er pejlemærker udviklingen af
sundhedsdataområdet. Principperne har blandt
andet fokus på datasikkerhed, patientsikkerhed og
sammenhæng, kvalitet og udvikling samt åbenhed
og gennemsigtighed. Som opfølgningen på prin-
cipperne arbejder regeringen blandt andet på at
etablere og udbygge data- og forskningsinfra-
strukturer, der muliggør en aktiv anvendelse af
sundhedsdata på sikker vis, uden at den enkelte
borgeres identitet bliver kompromitteret. Det skal
bidrage til, at potentialerne i sundhedsdata til at
forbedre og innovere sundhedsvæsnet realiseres.
Regeringen har desuden i samarbejde med Dansk
Folkeparti og Radikale Venstre aftalt at indføre
en aktiesparekonto, hvor personer kan placere
opsparing i noterede aktier og aktiebaserede inve-
steringsbeviser. Aktiesparekontoen vil have en
lavere beskatning af afkastet på indeståender end
den gældende aktieindkomstbeskatning. Det vil
gøre det attraktivt for danskerne at placere en del
af deres opsparing i aktier gennem aktiespare-
kontoen.
Der betales skat på 17 pct. af afkastet efter lager-
princippet, det vil sige af udbytter samt realiserede
og urealiserede avancer. Værdiforøgelsen af inde-
stående på aktiesparekontoen beskattes, mens
værdifald (tab) fremføres og modregnes i frem-
tidige afkast. Der kan oprettes én aktiesparekonto
pr. person. Der kan handles, så ofte som det ønskes,
inden for aktiesparekontoen.
Ordningen kan indfases gradvist med et loft på
50.000 kr. pr. person i 2019 voksende til 100.000 kr.
i 2020, 150.000 kr. i 2021 og 200.000 kr. i 2022
og frem. Der kan sættes penge ind på kontoen, så
længe den aktuelle saldo på kontoen er under
loftet. Aftaleparterne beslutter hvert år første gang i
2019, om der er grundlag for at gå videre med at for-
høje loftet for aktiesparekontoen. Aktiespare-
kontoen indføres fra 1. januar 2019.
Initiativ 27:
Styrket aktiekultur
i Danmark
Danmark har behov for et effektivt børsmarked,
hvis vi skal holde på de vækstvirksomheder, som i
dag ofte bliver solgt til udlandet eller noteret på
udenlandske børser.
Det understøttes blandt andet af, at Vækstfonden
vil arbejde på at skabe et mere velfungerende,
dansk børsmarked for små og mellemstore virk-
somheder. I tæt samarbejde med private investorer
vil Vækstfonden tilbyde at være cornerstone-
investor og garant i forbindelse med børsnotering-
erne i København.
Initiativ 28:
Styrket teknologi-
overførsel fra universiteterne
Der er et behov for at styrke overførslen af viden og
teknologi fra universiteterne til det private
erhvervsliv. Processerne for overførsel af viden og
teknologi til særligt iværksættere og mindre virk-
somheder skal smidiggøres, og aftalevilkårene for
teknologioverførsel skal forenkles og om muligt
standardiseres.
Regeringen vil derfor som led i regeringens forsk-
nings- og innovationspolitiske strategi sammen
med universiteterne iværksætte et eftersyn af ind-
satsen herunder den samlede lovgivning på
ERU, Alm.del - 2017-18 - Endeligt svar på spørgsmål 105: Spm. om kommentar til henvendelse af 20/2-18 fra Bristol-Myers Squibb Denmark vedrørende fremme af life science entreprenørskab, til erhvervsministeren
1869189_0039.png
VÆKSTPLAN FOR LIFE SCIENCE
39
området med henblik på at fjerne eventuelle barri-
erer og modvirke en eventuel overimplementering
af EU-reguleringen. Indsatsen iværksættes i 2018,
hvorefter der løbende vil blive fulgt op på, i hvor høj
grad universiteterne afsætter deres viden til iværk-
sættere og små og mellemstore virksomheder.
Forskere meriteres i dag i for lav grad, hvis de
etablerer kommercielle virksomheder som følge af
deres forskning. Først og fremmest meriteres for-
skere i dag ud fra deres produktion af videnskabe-
lige publikationer, og hvor meget de citeres af andre
forskere.
Regeringen vil nedsætte et udvalg, der på tværs
af fagområder skal undersøge mulighederne for at
etablere mere dækkende meriteringsstrukturer
for de danske forskere, som kan fremme både
forskning, undervisning, videndeling (som for
eksempel etablering af spin-out-virksomheder)
og specialisering blandt forskerne. Samspillet
mellem meritering og forskermobilitet på tværs af
sektorer skal indgå i dette arbejde. Udvalget skal
inden udgangen af 2018 komme med konkrete
anbefalinger til universiteterne om eventuelle
ændringer i den gældende meriteringspraksis i det
danske forskningssystem.
Endelig vil regeringen foretage en evaluering af
Danmarks Innovationsfond i 2018, der blev etable-
ret i 2014, for at øge andelen af innovative virksom-
heder samt de private virksomheders investeringer
i forskning og udvikling.
Regeringen har endvidere nedsat et eksternt for-
enklingsudvalg for erhvervsfremme med repræsen-
tanter fra erhvervslivet og eksperter. Forenklings-
udvalget skal udarbejde en konkret og realiserbar
model for erhvervsfremmeindsatsen, hvor det bliver
nemmere og mere overskueligt at anvende systemet
for virksomhederne samtidig med, at der er fokus
på kvalitet og effektivitet. Det indebærer, at udvalget
skal udarbejde en grundmodel, hvor indsatsen
samlet set gøres billigere og bedre til gavn for
erhvervslivet. På baggrund af udvalgets afrapporte-
ring primo 2018 vil regeringen komme med et
udspil til en ambitiøs og sammenhængende reform
af hele erhvervsfremmeindsatsen.
Initiativ 30:
Kortlægning af
entreprenørskabsundervisning
på de videregående life science
uddannelser
Nyuddannede fra de sundhedsvidenskabelige ud-
dannelser er underrepræsenterede, når det gælder
iværksætteri. En analyse af iværksætteraktiviteten
blandt universitetsuddannede, der blev udarbejdet
af Uddannelses- og Forskningsministeriet i 2017,
viser, at blot 3 pct. af de nyuddannede iværksættere
i perioden 2001 til 2013 har en sundhedsfaglig ud-
dannelse. Det er til trods for, at nyuddannede med
en sundhedsvidenskabelig uddannelse udgjorde
7 pct. af alle nyuddannede i samme periode.
Regeringen vil tage initiativ til, at Fonden for
Entreprenørskab foretager en kortlægning af ud-
bredelsen af undervisning i innovation og entre-
prenørskab på de danske life science uddannelser.
Med undervisning i innovation og entreprenør-
skab kan de studerende opnå kompetencer inden
for handel og patentansøgninger, opnå evnen til at
opdage eller skabe muligheder og dernæst omsætte
dem fra muligheder til konkrete forretningsidéer.
Der foreligger i dag ikke data for udbredelsen af
entreprenørskabsundersvisning specifikt på ud-
dannelser, som er relevante for life science. Kort-
lægningen vil blive påbegyndt i 2018. Med udgangs-
punkt i kortlægningen vil regeringen vurdere, om
yderligere indsatser skal iværksættes i tæt samar-
bejde med life science virksomhederne. I den for-
bindelse vil regeringen opfordre life science indu-
strien til at bidrage til gennemførslen af eventuelt
nye tiltag.
Initiativ 29:
Enkel og effektiv
klynge- og innovationsindsats
inden for life science
Formålet med den offentlige erhvervsfremme-
indsats er overordnet at styrke produktiviteten i
dansk erhvervsliv blandt andet ved at understøtte
udviklingen i små og mellemstore virksomheder.
Systemet er imidlertid blevet for komplekst, så
virksomhederne har svært ved at finde rundt i det.
Desuden vurderes det, at flere af indsatserne også
inden for life science er overlappende og unødigt
dyre at administrere.
Regeringen vil forenkle erhvervsfremmesyste-
met, så det bliver nemmere og mere overskueligt at
anvende for iværksættere og virksomheder sam-
tidig med, at der er fokus på kvalitet og effektivitet.
Regeringen har allerede i vækstpartnerskabs aftalen
med Vækstforum Hovedstaden og Syddansk Vækst-
forum for 2017/2018 aftalt, at overlap og konsolide-
ringsmuligheder skal identificeres i forhold til
klynge- og innovationsnetværkene inden for life
science. De regionale klynger inden for sundheds-
og velfærdsteknologi har på den baggrund indledt
drøftelser om muligheden for at samles i én natio-
nal organisering med stærke regionale hubs.
ERU, Alm.del - 2017-18 - Endeligt svar på spørgsmål 105: Spm. om kommentar til henvendelse af 20/2-18 fra Bristol-Myers Squibb Denmark vedrørende fremme af life science entreprenørskab, til erhvervsministeren
1869189_0040.png
40
VÆKSTPLAN FOR LIFE SCIENCE
Målrettet
internationaliserings-
indsats
4,3%
Fra 2016 til 2020 forventes
væksten i sundhedsudgifterne
årligt at have en gennemsnitlig
stigning på
Life science er et meget internationalt orienteret
erhverv. Store danske life science virksomheder
afsætter en meget lille andel af deres produkter på
det danske marked, hvorfor fortsat vækst i dansk
life science i høj grad afhænger af, at virksom-
hederne kan øge deres globale afsætning yderli-
gere. Ligeledes yder udenlandske virksomheder et
stort bidrag til dansk økonomi, når de lægger deres
investeringer i Danmark.
Den høje vækst, som dansk life science har op-
levet de seneste år, har i høj grad været et resultat af
vækst på de store markeder uden for Europa. Højest
har væksten i eksporten været til Nordamerika pri-
mært drevet af USA, som er mere end fordoblet fra
14,5 mia. kr. i 2010 til godt 30 mia. kr. i 2016 (løbende
priser). Der har ligeledes været en betragtelig vækst
i eksporten til Japan og Kina på henholdsvis 12 og
13 pct. om året. I samme periode er eksporten til
EU15-landene steget med 4 pct. om året.
Væksten er understøttet af stigende velstand, en
demografisk udvikling med flere ældre, en stigning
i antallet af patienter med kroniske sygdomme
samt flere behandlingsmuligheder. Således over-
stiger væksten i sundhedsudgifterne på globalt
plan allerede væksten i BNP. Fra 2010 til 2014 var
den gennemsnitlige vækst i de globale sundheds-
udgifter årligt 3,9 pct., og væksten forventes at fort-
sætte med en gennemsnitlig stigning på 4,3 pct.
årligt frem mod 2020.
Den markante stigning i sundhedsudgifterne
skaber en voksende politisk bevågenhed og et pris-
pres på eksisterende behandlingsformer. Stigende
global konkurrence om markedsandele samt øgede
og skiftende regulatoriske krav på udenlandske
markeder udfordrer erhvervet yderligere. Det skyl-
des, at forudsætningen for at afsætte life science
produkter på det internationale marked uden for
Europa er, at produkterne godkendes i hvert enkelt
land. Der er derfor behov for at opbygge tillidsfulde
myndighedsrelationer med henblik på at være på
forkant med den regulatoriske udvikling.
En styrkelse af dialogen med udenlandske myn-
digheder vil medføre øget indsigt og forståelse for
lovgivningen på de pågældende markeder samtidig
med at vidensdeling vil tage sigte på at udligne for-
skellene. Målsætningen er øget gennemsigtighed
og større sammenlignelighed i regler og processer
eksempelvis inden for det regulatoriske område.
Resultaterne af et sådant myndighedssamarbejde
er af potentiel stor økonomisk betydning for de
danske life science virksomheder i form af lettere
og hurtigere markedsadgang. Endvidere vil de
danske repræsentationer i udlandet i kraft af deres
netværk til lokale myndigheder have direkte
adgang til relevante myndigheder, der kan sikre en
hurtig opfølgning på de løbende udfordringer, som
erhvervet møder. Denne direkte adgang kan på den
lange bane have stor markedsmæssig værdi for de
danske life science virksomheder.
Myndighedsarbejdet er nemmere, hvis de uden-
landske myndigheder og beslutningstagere allerede
har et positivt kendskab til den danske sundheds-
model. Kendskabet til den danske sundhedsmodel
er oftest døråbneren for myndighedsdialogen. Ele-
menter af modellen vil i nogle tilfælde indgå i de
lokale myndigheders egne reform-processer eller
tiltag. Et positivt kendskab vil desuden gøre det
attraktivt for udenlandske myndigheder at gå
ERU, Alm.del - 2017-18 - Endeligt svar på spørgsmål 105: Spm. om kommentar til henvendelse af 20/2-18 fra Bristol-Myers Squibb Denmark vedrørende fremme af life science entreprenørskab, til erhvervsministeren
1869189_0041.png
VÆKSTPLAN FOR LIFE SCIENCE
41
i dialog og sparre med de danske sundhedsmyndig-
heder eksempelvis i forbindelse med planlægning
af reformtiltag. Regeringen vil derfor gennem et
fokuseret myndighedsarbejde og i samarbejde med
danske life science virksomheder og interesse-
organisationer styrke den internationale markeds-
føring af Danmark som en life science nation.
Det er vigtigt, at dansk life science ekspanderer
yderligere internationalt, men Danmark skal også
være bedre til at tiltrække udenlandske life science
investeringer. Udenlandske investeringer er et stort
aktiv for væksten i Danmark. Udenlandske investe-
ringer blandt andet i form af kliniske forsøg eller
forskningssamarbejder bidrager ikke alene med
arbejdspladser og vækst, men ofte også med ny
teknologi og ny viden. I forhold til kliniske forsøg
forventes moderniseringen af sygehusstrukturen at
skabe yderligere potentiale for fastholdelse og for-
øgelse af udenlandske investeringer i kliniske forsøg
i Danmark. Det skyldes, at rammevilkårene for den
kliniske forskning må forventes at blive styrket som
følge af centralisering af højt specialiserede funk-
tioner og investeringer i de fysiske rammer. Poten-
tialet inden for life science i Danmark skal i højere
grad udnyttes. Regeringen vil derfor øge indsatsen
for tiltrækning af videnstunge life science investe-
ringer.
Der vil i 2018 blive udarbejdet en strategi for
internationalisering af life science, der skal sikre en
fokuseret eksport- og investeringsfremmeindsats.
ERU, Alm.del - 2017-18 - Endeligt svar på spørgsmål 105: Spm. om kommentar til henvendelse af 20/2-18 fra Bristol-Myers Squibb Denmark vedrørende fremme af life science entreprenørskab, til erhvervsministeren
1869189_0042.png
42
VÆKSTPLAN FOR LIFE SCIENCE
Regeringens initiativer
31-36
Initiativ 31:
Styrket internationalt
myndighedssamarbejde til fremme
af dansk eksport
Øget global konkurrence og omfattende regulatori-
ske krav på udenlandske markeder har gjort, at life
science virksomhederne i stigende grad efterspør-
ger Sundheds- og Ældreministeriets deltagelse i
dialogen med udenlandske myndigheder både
gennem ambassaderne og direkte myndig-
hed-til-myndighed. Danske styrkepositioner inden
for blandt andet lægemiddelregulering, kroniker-
området, den primære sundhedssektor samt digi-
talisering og sundheds-IT er oplagte platforme for
myndighedsdialog, der kan bidrage til at åbne døre
for danske life science virksomheder.
Regeringen vil styrke det internationale myndig-
hedssamarbejde ved at etablere seks stillinger i
Sundheds- og Ældreministeriet fra 2018 for at sikre
den nødvendige kapacitet til at opbygge og fast-
holde fagligt funderede samarbejdsrelationer med
udenlandske sundhedsmyndigheder og dermed
imødekomme virksomhedernes efterspørgsel efter
ministeriets aktive deltagelse for eksempel i forbin-
delse med ind- og udgående besøg samt styrkede
muligheder for at tilbyde faglig sparring og dialog
om konkrete indsatser og reformtiltag i samar-
bejdslandene. Der er høstet gode erfaringer med
etableringen af lignende myndighedssamarbejde i
blandt andet Mexico, Brasilien og Kina. Her bidrager
danske sundhedsmyndigheder og dansk erhvervsliv
endvidere med viden og erfaringer inden for om-
råder, der efterspørges af de lokale myndigheder.
Øget global konkurrence og omfattende regulatoriske
krav på udenlandske markeder har gjort, at life science
virksomhederne i stigende grad efterspørger Sundheds-
og Ældreministeriets deltagelse i dialogen med udenlandske
myndigheder både gennem ambassaderne og direkte
myndighed- til-myndighed.”
ERU, Alm.del - 2017-18 - Endeligt svar på spørgsmål 105: Spm. om kommentar til henvendelse af 20/2-18 fra Bristol-Myers Squibb Denmark vedrørende fremme af life science entreprenørskab, til erhvervsministeren
1869189_0043.png
VÆKSTPLAN FOR LIFE SCIENCE
43
De danske repræsentationer i udlandet spiller
en vigtig rolle i forhold til at etablere og under-
støtte samarbejde med de lokale myndigheder
herunder på sundhedsområdet.
Initiativ 32:
Styrkelse af sundheds-
Initiativ 33:
Øget indsats for
faglig ekspertise i Udenrigsministeriet tiltrækning af videnstunge life
på eftertragtede markeder til at sikre science investeringer til Danmark
øget markedsadgang og eksport
De danske repræsentationer i udlandet spiller en
vigtig rolle i forhold til at etablere og understøtte
samarbejde med de lokale myndigheder herunder
på sundhedsområdet.
Regeringen vil opprioritere og målrette myndig-
hedssamarbejdet og eksportfremmeindsatsen ved
at styrke de sektorfaglige kompetencer på udvalgte
vækstmarkeder gennem etablering af to stillinger
som sundhedssektoreksperter fra 2018. Endvidere
vil regeringen styrke myndighedssamarbejdet og
eksportfremmeindsatsen ved i 2018 og 2019 at etab-
lere en delestilling mellem Sundheds- og Ældre-
ministeriet og Udenrigsministeriet, der sikrer sam-
menhæng med eksportfremmeindsatsen, der vare-
tages af de danske repræsentationer.
Der er tale om en langsigtet indsats, der ved at
koble de danske sundhedsmyndigheders sektor-
faglige indsigt med det lokale markedskendskab
har til formål at påvirke rammevilkår og standarder
i en retning, der modsvarer og imødekommer
danske kompetencer og løsninger inden for life
science.
Samarbejdet udmøntes i konkrete projekter med
udgangspunkt i de udenlandske sundhedsmyndig-
heders efterspørgsel efter danske erfaringer og
kompetencer inden for specifikke områder. Samar-
bejdet udvikles blandt andet gennem besøg, works-
hops og rundbordssamtaler, der på sigt skal bane
vej for introduktion af danske løsninger og kompe-
tencer på de pågældende markeder.
Danmark skal også være bedre til at tiltrække uden-
landske life science investeringer. Det gælder blandt
andet udenlandske investeringer i form af kliniske
forsøg eller forskningssamarbejder, som ikke alene
bidrager med arbejdspladser og vækst, men ofte
også med ny teknologi og ny viden.
Regeringen vil styrke tiltrækningen af udenland-
ske life science investeringer ved at styrke life
science indsatsen i Invest in Denmark med ansæt-
telse af en projektleder fra 2018. Invest in Denmark
har dedikerede life science medarbejdere både i
Danmark og på udvalgte danske repræsentationer
i udlandet. Disse medarbejdere formidler forret-
ningsmuligheder samt udarbejder analyser og
markedsføringsmateriale til brug for potentielle
udenlandske investorer. De arrangerer besøgspro-
grammer og yder praktisk assistance i forbindelse
med, at udenlandske virksomheder etablerer sig i
Danmark, ligesom de formidler kontakten til
potentielle danske partnere, relevante offentlige
myndigheder samt uddannelses- og forsknings-
institutioner. Endelig indgår Invest in Denmark
i tæt dialog med udenlandske virksomheder, der
allerede er etableret i Danmark med henblik på
udvidelse og fastholdelse af deres aktiviteter i
Danmark. De seneste år har Invest in Denmark haft
succes med at afholde skræddersyede rundbords-
møder for repræsentanter for globale life science
virksomheder og introduceret dem til mulig-
hederne og kompetencerne i Danmark. Invest in
Denmarks arbejde med at tiltrække udenlandske
investeringer har skabt grundlag for gennemførel-
sen af 12 projekter i Danmark i 2016.
ERU, Alm.del - 2017-18 - Endeligt svar på spørgsmål 105: Spm. om kommentar til henvendelse af 20/2-18 fra Bristol-Myers Squibb Denmark vedrørende fremme af life science entreprenørskab, til erhvervsministeren
1869189_0044.png
44
VÆKSTPLAN FOR LIFE SCIENCE
Forstærkningen i Invest in Denmark vil styrke
arbejdet med de konkrete årlige handlingsplaner
for salgs- og markedsføringsindsatsen for life
science området. Med udgangspunkt i planerne fra
2018 vil Invest in Denmark se på, hvordan hand-
lingsplanerne bør udbygges inden for life science
området fra 2019. Handlingsplanerne udarbejdes i
samarbejde mellem Invest in Denmarks dedike-
rede life science medarbejdere lokaliseret på
udvalgte danske repræsentationer samt i Danmark.
Planerne har fokus på Invest in Denmarks mål,
prioriteter samt aktiviteter for det kommende år.
Forstærkningen med en projektleder i Invest in
Denmark vil betyde, at handlingsplanerne i højere
grad vil matche markedsefterspørgslen sammen-
holdt med de danske styrkepositioner på grund af
den styrkede dialog med det danske netværk samt
de danske datterselskaber.
Arbejdet med at markedsføre Danmark som life
science nation gennemføres i samarbejde med
Healthcare DENMARK for at sikre størst mulig
værdi af indsatsen.
Initiativ 34:
Etablering af
eksportforum for life science
Regeringen ønsker, at der etableres en regelmæssig
dialog mellem de danske myndigheder og life
science erhvervet om potentielle eksportmulig-
heder og myndighedssamarbejde.
Der etableres derfor et eksportforum for life science
i regi af Udenrigsministeriet med deltagelse af Sund-
heds- og Ældreministeriet, Erhvervsministeriet samt
repræsentanter for life science og sundhedserhver-
vet. Forummet skal sikre en øget dialog med erhver-
vet om deres behov og prioriteter i forhold til eks-
portfremstød, konkrete strategiske eksportindsatser
og myndighedssamarbejde, ligesom det skal skabe
gode rammer for at udvikle eksportfremmende ideer
til konkrete eksportprojekter. Forummet vil mødes
ca. tre gange årligt med start i 2018.
Regeringen ønsker at gå i dialog med Healthcare
DENMARK og life science virksomheder med
henblik på at udvide indsatsen til også at markeds-
føre Danmark som førende life science nation.
Danmark har et stærkt økosystem af myndigheder,
universiteter/forskningsmiljøer og virksomheder,
som vil kunne løftes yderligere ved en fælles
markedsføringsindsats. Ved at samle den danske
sundheds- og life science sektor under én offent-
lig-privat markedsføringsorganisation skabes en
betydelig synergi.
Healthcare DENMARK samarbejder også tæt med
MeetDenmark, som har til formål at tiltrække viden-
stunge udenlandske kongresser til Danmark. Kon-
gresser er et globalt udstillingsvindue for danske
forskningsresultater samt for danske virksomheders
innovative produkter og services. MeetDenmark har
været med til at vinde 55 life science kongresser til
fremtidig afholdelse i Danmark, som vil tiltrække ca.
128.000 forskere, virksomhedsledere mv. inden for
life science til Danmark. Endelig har kongresser
betydning for tiltrækningen af internationale eks-
perter og talentfulde studerende til Danmark.
Regeringen vil derfor fortsat støtte op om indsat-
sen med at tiltrække internationale kongresser
inden for life science igennem MeetDenmark.
Initiativ 36:
Etablering af et nyt
innovationscenter i Boston
De eksisterende syv danske innovationscentre
bygger bro mellem dansk forskning, videregående
uddannelser, virksomheder og nogle af verdens
førende innovations- og vækstmiljøer. Innovati-
onscentrene hjælper uddannelses- og forskningsin-
stitutioner samt virksomheder med adgang til den
nyeste lokale viden, relevante netværk, samar-
bejdspartnere og med at udvikle forretningsmulig-
heder. Samtidig arbejder innovationscentrene for
at tiltrække ny viden, forskningsfinansiering, talent
og investeringer til Danmark. Overordnet arbejder
innovationscentrene inden for tre hovedområder:
1) Forskning, uddannelse og innovation, 2) Kom-
mercialisering af innovation og 3) Investerings-
fremme.
Den amerikanske by Boston og regionen omkring
er hjemsted for et af verdens stærkeste life science
miljøer. Området huser en række af verdens førende
uddannelses- og forskningsinstitutioner samt et
attraktivt miljø for iværksætteri og venturekapital.
Regeringen vil gøre det nemmere for danske virk-
somheder samt forsknings- og uddannelses-
institutioner at få adgang til relevante private og
offentlige institutioner i og omkring Boston. Rege-
ringen etablerer derfor et nyt innovationscenter
i Boston i 2018.
Initiativ 35:
Styrkelse af Healthcare
DENMARK med fokus på life science
Healthcare DENMARK er et offentlig-privat markeds-
føringskonsortium, der arbejder for at løfte det inter-
nationale kendskab til danske sundheds- og
velfærdsløsninger. Healthcare DENMARK har siden
sin oprettelse i 2012 etableret et stærkt brand, som er
kendt blandt de mere end 6.000 internationale
beslutningstagere i Healthcare DENMARKs netværk.
Healthcare DENMARKs internationale markeds-
føringsinitiativer gennemføres i tæt samarbejde med
den offentligt forankrede investerings- og eksport-
fremmeindsats i Trade Council herunder Invest in
Denmark for at sikre størst mulig værdi af indsatsen.
ERU, Alm.del - 2017-18 - Endeligt svar på spørgsmål 105: Spm. om kommentar til henvendelse af 20/2-18 fra Bristol-Myers Squibb Denmark vedrørende fremme af life science entreprenørskab, til erhvervsministeren
1869189_0045.png
ERU, Alm.del - 2017-18 - Endeligt svar på spørgsmål 105: Spm. om kommentar til henvendelse af 20/2-18 fra Bristol-Myers Squibb Denmark vedrørende fremme af life science entreprenørskab, til erhvervsministeren
1869189_0046.png
46
VÆKSTPLAN FOR LIFE SCIENCE
Ny life science
enhed i Erhvervs-
ministeriet
Life science har gennem de sidste 20 år etableret sig
som et af de toneangivende erhverv i dansk økonomi,
hvorfor sektorens udvikling har væsentlig betydning
for den samlede samfundsøkonomi. Life science har
brug for stabile, langsigtede og konkurrencedygtige
rammer, da processen fra forskningsgennembrud
til godkendelse af markedsføring af produkter er
langvarig. Samtidig finder en hastig teknologisk ud-
vikling og digitalisering sted. Særlig udviklingen
inden for sundhedsteknologi og digitale løsninger
må forventes at få afgørende betydning for innova-
tion og introduktion af nye forretningsmodeller
i forbindelse med udvikling, test og markedsføring af
lægemidler og medicinsk udstyr fremadrettet.
Digitale teknologier forandrer den etablerede
værdikæde inden for life science og skaber helt nye
brugermønstre, behandlingsformer og -muligheder.
De senere år har førende IT-virksomheder som
Google og Apple i stigende grad udviklet og mar-
kedsført deres produkter og services mod sund-
hedsmarkedet, hvilket har givet brugerne mulig-
hed for at generere og følge med i egne sundheds-
data i langt højere grad end tidligere. Det skaber en
stadig større efterspørgsel efter mere skrædder-
syede behandlingsforløb samt tilknytning af per-
sonlige digitale services til eksisterende produkter.
For at imødekomme den nye efterspørgsel anlæg-
ger life science virksomhederne en mere helheds-
orienteret tilgang til behandling og patienter end
tidligere frem for blot at fokusere på at være leve-
randører af lægemidler, medicinsk udstyr mv. Sam-
tidig indgår life science virksomhederne i stigende
grad i nye partnerskaber på tværs af værdikæden
for at komme tættere på deres brugere.
Den teknologiske udvikling har i flere tilfælde
ført til øget regulatorisk kompleksitet, hvilket
blandt andet skyldes hensynet til patientsikker-
heden. Kompleksiteten kan imidlertid føre til
senere introduktion af nye produkter og behand-
lingsformer baseret på nye forretningsmodeller.
Det ligger regeringen meget på sinde, at der ikke
opstår unødvendige barrierer for, at danske virk-
somheder og iværksættere kan udnytte de mulig-
heder, ny teknologi giver. Det er til gavn for både
væksten og patienterne, som vil få adgang til ny og
bedre behandling. Der er derfor behov for et
Særlig udviklingen inden for sund-
hedsteknologi og digitale løsninger
må forventes at få afgørende
betydning for innovation og intro-
duktion af nye forretningsmodeller
i forbindelse med udvikling, test
og markedsføring af lægemidler
og medicinsk udstyr fremadrettet.
ERU, Alm.del - 2017-18 - Endeligt svar på spørgsmål 105: Spm. om kommentar til henvendelse af 20/2-18 fra Bristol-Myers Squibb Denmark vedrørende fremme af life science entreprenørskab, til erhvervsministeren
1869189_0047.png
VÆKSTPLAN FOR LIFE SCIENCE
47
Det ligger regeringen meget på
sinde, at der ikke opstår unød-
vendige barrierer for, at danske
virksomheder og iværksættere
kan udnytte de muligheder, ny
teknologi giver. Det er til gavn
for både væksten og patienterne,
som vil få adgang til ny og bedre
behandling.
vedvarende fokus på, at rammevilkårene for life
science – fra den tidlige grundforskning til kom-
mercialisering, produktion og afsætning af nye pro-
dukter på verdensmarkedet – løbende tilpasses og
sammentænkes på tværs af regeringen, for at
erhvervspotentialet for life science kan udnyttes
fuldt ud.
Regeringen vil derfor etablere en life science
enhed i Erhvervsministeriet for at styrke den
erhvervspolitiske indsats i forhold til life science
industrien. Erhvervsministeriet har i dag ansvaret
for en række rammevilkår af væsentlig betydning
for life science, eksempelvis vedrørende patenter,
risikovillig kapital, selskabsregulering, erhvervs-
drivende fonde, børsmarkedsregulering, erhvervs-
fremme og markedsføring.
ERU, Alm.del - 2017-18 - Endeligt svar på spørgsmål 105: Spm. om kommentar til henvendelse af 20/2-18 fra Bristol-Myers Squibb Denmark vedrørende fremme af life science entreprenørskab, til erhvervsministeren
1869189_0048.png
48
VÆKSTPLAN FOR LIFE SCIENCE
Regeringen vil etablere en life science
enhed i Erhvervsministeriet for at
styrke den erhvervspolitiske indsats
i forhold til life science industrien.
Enheden skal understøtte og bidrage til gennem-
førslen af initiativerne i denne vækstplan. Derved
sikres en løbende og systematisk opfølgning og
monitorering af fremdriften i forhold til vækst-
planens initiativer på tværs af regeringen.
For at sikre at dansk konkurrenceevne opret-
holdes på et internationalt niveau, skal life science
enheden desuden udarbejde analyser og årlige
benchmarkingrapporter af Danmarks konkurrence-
evne inden for life science. Ligeledes skal enheden
løbende overvåge national og international lovgiv-
ning inden for life science eksempelvis gennem ser-
vice-/nabotjek. Enheden skal dermed arbejde for, at
lovgivningen ikke medfører unødige byrder for life
science i Danmark sammenlignet med andre lande.
Enheden skal i samarbejde med relevante aktører
understøtte, at potentialet for iværksætteri og
vækst i nye life science virksomheder indfries ved at
indgå i en systematisk dialog med virksomheder og
andre centrale aktører om muligheder og barrierer.
Enheden vil samarbejde med førende miljøer om,
hvordan regulering kan tilpasses, så nye forretnings-
modeller kan testes i Danmark. Eksempelvis har
regeringen indgået en MoU med World Economic
Forum (WEF), hvor netop dette aspekt fremgår i
forhold til life science. Enheden vil derved have
fokus på at øge agiliteten i den danske regulering,
så innovation og nye forretningsmodeller under-
støttes til fordel for patienter og væksten i dansk life
science.
Derudover skal enheden etablere et offentlig-pri-
vat partnerskab, som har til formål at understøtte
en indkøbspraksis, der fremmer innovative og
mere effektive sundhedsteknologier (medicinsk
udstyr) i det offentlige sundhedsvæsen. Udbuds-
loven rummer i dag muligheder for, at innovations-
fremmende udbud kan gennemføres. De udnyttes
imidlertid i meget begrænset omfang, da de nye
udbudsformer i indkøbsfasen kan være mere
omkostningstunge at gennemføre end et traditio-
nelt indkøb. Der kan være tale om en indledende
omkostning, som ingen er villige til at tage alene
uafhængig af hvilket udbud, der måtte være mest
hensigtsmæssigt. Der er således behov for en koor-
dineret indsats.
Regeringen vil derfor invitere relevante offentlige
såvel som private aktører på sundhedsområdet til
at indgå i et partnerskab. Formålet hermed er at
etablere en indkøbspraksis, der fremmer indkøb af
innovative og mere effektive sundhedsteknologier i
det offentlige sundhedsvæsen.
ERU, Alm.del - 2017-18 - Endeligt svar på spørgsmål 105: Spm. om kommentar til henvendelse af 20/2-18 fra Bristol-Myers Squibb Denmark vedrørende fremme af life science entreprenørskab, til erhvervsministeren
1869189_0049.png
ERU, Alm.del - 2017-18 - Endeligt svar på spørgsmål 105: Spm. om kommentar til henvendelse af 20/2-18 fra Bristol-Myers Squibb Denmark vedrørende fremme af life science entreprenørskab, til erhvervsministeren
1869189_0050.png
50
VÆKSTPLAN FOR LIFE SCIENCE
Bilag
Økonomi­
oversigt
Regeringen har sammen med Dansk Folkeparti og
Radikale Venstre i Aftale om erhvervs- og iværksæt-
terinitiativer fra november 2017 afsat en varig pulje
på 30 mio. kr. årligt til udmøntning af en række af
vækstplanens initiativer.
Med vækstplanen fremlægger regeringen sit bud
på udmøntning af midlerne. Regeringen lægger op
til, at puljen udmøntes fuldt ud frem til og med
2021. Der gennemføres en tværgående evaluering
af initiativerne i 2021 med henblik på at se, om de
skal videreføres, eller nye initiativer skal prioriteres
i 2022 til 2025.
Udover den konkrete udmøntning af puljen på de
30 mio. kr. årligt er der i aftalen om erhvervs- og
iværksætterinitiativer finansieret en række andre
mere generelle initiativer, der også indgår i denne
vækstplan. Det drejer sig bland andet om øget
FoU-fradrag (provenutab ved fuld indfasning: 450
mio. kr.), bedre vilkår for aktieaflønning i mindre
virksomheder (varigt provenutab: 57 mio. kr.),
investorfradrag (varigt provenutab: 197 mio. kr.) og
aktiesparekonto (varigt provenutab: 271 mio. kr.).
Ligeledes indgår en række initiativer i vækstplanen,
der finansieres inden for ministeriernes eksiste-
rende rammer og af forskningsmidlerne.
Tabel 1
Udmøtning af puljen til
vækstplan for life science
for 2018 til 2021 (i mio. kr.).
Initiativer
Mere klinisk forskning til Danmark
En Lægemiddelstyrelse i topklasse
Målrettet internationaliseringsindsats
Styrket erhvervspolitisk fokus
I alt
2018
6,9
4,3
13,8
5
30
2019
6,9
4,5
13,6
5
30
2020
6,9
5,2
12,9
5
30
2021
6,9
5,2
12,9
5
30
ERU, Alm.del - 2017-18 - Endeligt svar på spørgsmål 105: Spm. om kommentar til henvendelse af 20/2-18 fra Bristol-Myers Squibb Denmark vedrørende fremme af life science entreprenørskab, til erhvervsministeren
1869189_0051.png
2017/18:22
Marts 2018
Erhvervsministeriet
Slotsholmsgade 10-12
1216 København K
Tlf.: +45 3392 3350
E-mail: [email protected]
ISBN 978-87-93635-31-9 (pdf version)
Design, omslag: e-Types
Fotos: Johnér Bildbyrå AB / Unsplash / Alamy
Publikationen kan hentes på:
www.em.dk
ERU, Alm.del - 2017-18 - Endeligt svar på spørgsmål 105: Spm. om kommentar til henvendelse af 20/2-18 fra Bristol-Myers Squibb Denmark vedrørende fremme af life science entreprenørskab, til erhvervsministeren
1869189_0052.png
Erhvervsministeriet
Slotsholmsgade 10-12
1216 København K
Tlf.: +45 3392 3350