Beskæftigelsesudvalget 2017-18
BEU Alm.del
Offentligt
1905057_0001.png
Folketingets Beskæftigelsesudvalg
[email protected]
Beskæftigelsesministeriet
Ved Stranden 8
1061 København K
T +45 72 20 50 00
E [email protected]
www.bm.dk
CVR 10172748
Beskæftigelsesudvalget har i brev af 3. maj 2018 stillet følgende spørgsmål nr. 410
(alm. del), som hermed besvares.
Spørgsmål nr. 410:
”Vil
ministeren redegøre for udviklingen i antallet af ikke-vestlige indvandrere
på kontanthjælp i perioden 2010 og frem til i dag? Ministeren bedes opgøre tallene
måned for måned i den nævnte periode.”
Svar:
Regeringen har en ambition om, at langt flere skal forsørge sig selv. Det er også
baggrunden for indførelsen af bl.a. integrationsydelsen, kontanthjælpsloftet og 225-
timers-reglen, der har øget tilskyndelsen til at finde beskæftigelse.
Dertil kommer, at regeringen, sammen med arbejdsmarkedets parter, i marts 2016
lavede en aftale om arbejdsmarkedsintegration. Med aftalen blev bl.a. integrations-
grunduddannelsen (IGU) indført som en treårig forsøgsordning med opstart 1. juli
2016. Den skal sikre, at nyankommne flygtninge har de fornødne kompetencer til
at træde ind på det ordinære arbejdsmarked.
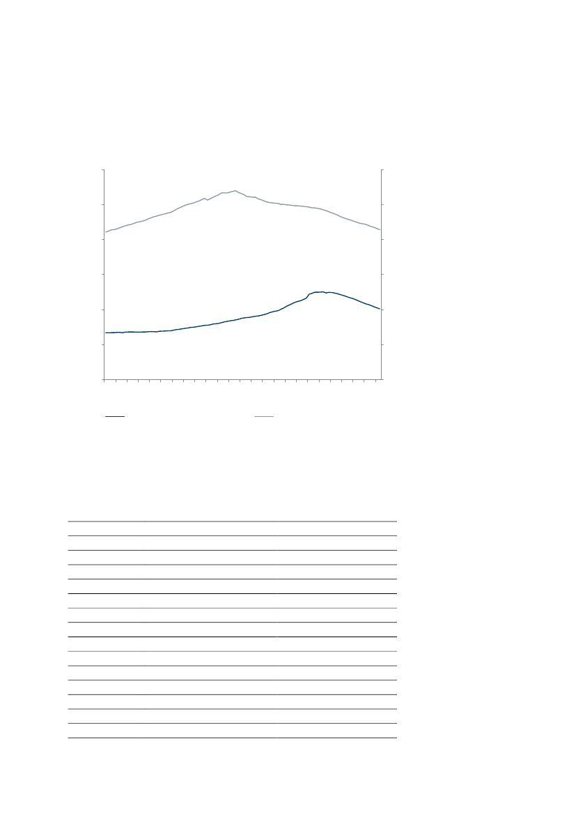
Af figur 1 fremgår det, at der i februar 2018 var knap 40.500 ikke-vestlige indvan-
drere på kontanthjælp, uddannelseshjælp og integrationsydelse, opgjort som fuld-
tidspersoner og sæsonkorrigeret.
Antallet af ikke-vestlige indvandrere på kontanthjælp mv. har været aftagende si-
den sommeren 2016. Til sammenligning har antallet af kontanthjælpsmodtagere
med dansk oprindelse været aftagende siden vinteren 2013. Denne forskel skal
blandt andet ses i sammenhæng med antallet af nyankommne flygtninge.
Med indførelsen af integrationsydelsen, kontanthjælpsloftet og 225-timersreglen
gør vi op med denne udvikling i antallet af kontanthjælpsmodtagere med ikke-
vestlig herkomst. Der er nu et klart incitament til at være en del af arbejdsmarkedet
og bidrage til det danske samfund. At blive en del af en arbejdsplads kan samtidig
hjælpe med at integrere mennesker fra andre lande i det danske samfund.
Siden kontanthjælpsloftet og 225-timers reglen trådte i kraft i april 2016, er antallet
af ikke-vestlige indvandrere på kontanthjælp mv. faldet med knap 9.500 fuldtids-
personer.
Dato:
31. maj 2018
J.nr.
2018 - 3211
BEU, Alm.del - 2017-18 - Endeligt svar på spørgsmål 410: Spm. om udviklingen i antallet af ikke-vestlige indvandrere på kontanthjælp i perioden 2010 og frem til i dag, til beskæftigelsesministeren
1905057_0002.png
Figur 1. Antal ikke-vestlige indvandrere på kontanthjælp mv., sæsonkorrigeret
Fuldtidspersoner
120.000
Fuldtidspersoner
120.000
100.000
100.000
80.000
80.000
60.000
60.000
40.000
40.000
20.000
20.000
0
0
Anm: Antal kontanthjælpsmodtagere er inkl. uddannelseshjælp og integrationsydelse.
Kilde: Jobindsats.dk og Beskæftigelsesministeriets egne beregninger
Det konkrete antal personer i kontanthjælpssystemet, fra figur 1, fremgår af tabel 1,
fordelt på hver enkelt måned.
Tabel 1. Antal ikke-vestlige indvandrere på kontanthjælp mv., fuldtidspersoner, sæ-
sonkorrigeret
Indvandrere fra ikke-vestlige lande
januar 2010
februar 2010
marts 2010
april 2010
maj 2010
juni 2010
juli 2010
august 2010
september 2010
oktober 2010
november 2010
december 2010
januar 2011
februar 2011
marts 2011
26.700
26.700
26.800
26.800
26.900
27.000
26.800
27.100
27.200
27.200
27.300
27.200
27.200
27.200
27.200
Personer med dansk oprindelse
84.300
84.900
85.600
85.700
86.200
86.700
87.400
87.900
88.300
88.700
89.200
89.800
90.200
90.500
91.000
jan-10
maj-10
sep-10
jan-11
maj-11
sep-11
jan-12
maj-12
sep-12
jan-13
maj-13
sep-13
jan-14
maj-14
sep-14
jan-15
maj-15
sep-15
jan-16
maj-16
sep-16
jan-17
maj-17
sep-17
jan-18
Indvandrere fra ikke-vestlige lande
Personer med dansk oprindelse
2
BEU, Alm.del - 2017-18 - Endeligt svar på spørgsmål 410: Spm. om udviklingen i antallet af ikke-vestlige indvandrere på kontanthjælp i perioden 2010 og frem til i dag, til beskæftigelsesministeren
1905057_0003.png
april 2011
maj 2011
juni 2011
juli 2011
august 2011
september 2011
oktober 2011
november 2011
december 2011
januar 2012
februar 2012
marts 2012
april 2012
maj 2012
juni 2012
juli 2012
august 2012
september 2012
oktober 2012
november 2012
december 2012
januar 2013
februar 2013
marts 2013
april 2013
maj 2013
juni 2013
juli 2013
august 2013
september 2013
oktober 2013
november 2013
december 2013
januar 2014
februar 2014
marts 2014
april 2014
maj 2014
juni 2014
juli 2014
august 2014
september 2014
27.400
27.400
27.400
27.300
27.600
27.700
27.800
27.900
27.900
28.300
28.600
28.700
29.000
29.300
29.500
29.800
29.900
30.200
30.500
30.700
31.000
31.100
31.400
31.800
31.900
32.200
32.500
33.000
33.300
33.600
33.800
34.100
34.500
35.000
35.300
35.400
35.600
35.900
36.200
36.400
36.700
37.100
91.800
92.400
93.000
93.400
93.900
94.300
94.700
95.100
95.500
96.300
97.300
98.000
98.800
99.500
100.100
100.500
100.800
101.500
102.000
102.800
103.500
102.600
103.300
104.100
104.900
105.600
106.700
106.600
106.600
107.100
107.500
107.900
106.900
106.300
105.600
104.600
104.500
104.100
104.200
103.200
102.800
102.100
3
BEU, Alm.del - 2017-18 - Endeligt svar på spørgsmål 410: Spm. om udviklingen i antallet af ikke-vestlige indvandrere på kontanthjælp i perioden 2010 og frem til i dag, til beskæftigelsesministeren
1905057_0004.png
oktober 2014
november 2014
december 2014
januar 2015
februar 2015
marts 2015
april 2015
maj 2015
juni 2015
juli 2015
august 2015
september 2015
oktober 2015
november 2015
december 2015
januar 2016
februar 2016
marts 2016
april 2016
maj 2016
juni 2016
juli 2016
august 2016
september 2016
oktober 2016
november 2016
december 2016
januar 2017
februar 2017
marts 2017
april 2017
maj 2017
juni 2017
juli 2017
august 2017
september 2017
oktober 2017
november 2017
december 2017
januar 2018
37.600
38.200
38.700
39.100
39.400
40.200
40.900
41.900
42.600
43.400
44.200
44.700
45.100
45.800
46.500
48.800
49.200
49.900
49.900
50.000
50.100
49.600
49.900
49.800
49.500
49.100
48.600
48.100
47.600
47.000
46.600
46.000
45.400
44.600
43.900
43.300
42.900
42.300
41.600
41.000
101.500
101.100
101.000
100.800
100.700
100.100
100.100
99.800
99.800
99.500
99.300
99.300
99.100
99.000
98.700
98.500
98.200
98.100
97.800
97.500
97.000
96.500
95.900
95.200
94.600
94.000
93.200
92.500
92.000
91.500
91.000
90.400
89.800
89.400
89.000
88.700
88.000
87.400
87.000
86.300
februar 2018
40.500
85.600
Anm: Antal kontanthjælpsmodtagere er inkl. uddannelseshjælp og integrationsydelse.
Kilde: Jobindsats.dk og Beskæftigelsesministeriets egne beregninger
4
BEU, Alm.del - 2017-18 - Endeligt svar på spørgsmål 410: Spm. om udviklingen i antallet af ikke-vestlige indvandrere på kontanthjælp i perioden 2010 og frem til i dag, til beskæftigelsesministeren
Venlig hilsen
Troels Lund Poulsen
5