Undervisningsudvalget 2017-18
UNU Alm.del Bilag 172
Offentligt
1942426_0001.png
Uddannelsesparathedsvurderingen
2018
Udvikling i uddannelsesparathedsvurderingerne
i 8., 9. og 10. klasse
UNU, Alm.del - 2017-18 - Bilag 172: EVA’s rapport Uddannelsesparathedsvurderingen 2018: Udvikling i uddannelsesparathedsvurderingerne i 8., 9. og 10. klasse, fra undervsiningsministeren UNU, Alm.del - 2017-18 - Bilag 172: EVA’s rapport Uddannelsesparathedsvurderingen 2018: Udvikling i uddannelsesparathedsvurderingerne i 8., 9. og 10. klasse, fra undervsiningsministeren
1942426_0003.png
INDHOLD
Uddannelsesparathedsvurderingen
2018
1
2
2.1
2.2
Resumé
Indledning
Ændringer i uddannelsesparathedsordningen
Metode
4
7
7
9
3
3.1
3.2
Udviklingen i UPV
Udvikling over tid
UPV i 10. klasse
12
12
14
4
4.1
4.2
Kommunale forskelle
Spredning mellem kommunerne
Kommunale mønstre med hensyn til andelen af elever, der ændrer status
18
18
21
Appendiks A
Data og metode
Appendiks B
Lovgrundlaget
Appendiks C
UPV på kommuneniveau
24
28
31
Danmarks Evalueringsinstitut
3
UNU, Alm.del - 2017-18 - Bilag 172: EVA’s rapport Uddannelsesparathedsvurderingen 2018: Udvikling i uddannelsesparathedsvurderingerne i 8., 9. og 10. klasse, fra undervsiningsministeren
Uddannelsesparathedsvurderingen 2018
1 Resumé
Danmarks Evalueringsinstitut (EVA) præsenterer i denne rapport udviklingen i elevernes uddannel-
sesparathed fra det år, hvor 8.-klasseelevernes uddannelsesparathed blev vurderet for første gang,
i skoleåret 2014/15, frem til skoleåret 2017/18.
Uddannelsesparathedsvurderingerne UPV’erne er iværksat med det formål at give skoler og Ung-
dommens Uddannelsesvejledning (UU) mulighed for at hjælpe elever, der ikke umiddelbart vurde-
res at have de nødvendige forudsætninger for at kunne begynde på en ungdomsuddannelse efter
grundskolen. Når en elev vurderes ikke-uddannelsesparat i 8. klasse, er det dermed en foreløbig
vurdering og en anledning til at iværksætte en målrettet indsats, hvor elev, skole, forældre og UU i
samarbejde arbejder hen mod, at eleven bliver uddannelsesparat i 9. eller 10. klasse.
Målet med denne undersøgelse er at følge udviklingen i UPV over tid på landsplan og på kommu-
nalt plan. Undersøgelsen bygger på registerdata fra optagelse.dk.
Undersøgelsen er tilrettelagt i et samarbejde mellem EVA og Undervisningsministeriet og er finan-
sieret af begge parter i fællesskab. Rapporten retter sig mod beslutningstagere på nationalt og
kommunalt niveau og mod aktører, der arbejder med uddannelsesparathed på skoler og i UU-cen-
tre.
Hovedresultater
I det følgende præsenteres undersøgelsens hovedkonklusioner.
Stigning i andelen af elever, der vurderes ikke-parate i 8. klasse
I skoleåret 2017/18 er andelen af elever, der vurderes ikke-parate i 8. klasse, steget til 31 %. Der er
således sket en støt stigning i andelen af elever, der vurderes ikke-parate i 8. klasse, siden den før-
ste registrering af uddannelsesparathed i 8. klasse
fra 25 % i skoleåret 2014/15 til 31 % i dette sko-
leår (2017/18). Stigningen i det aktuelle skoleår skyldes bl.a., at de faglige kriterier for at blive vur-
deret uddannelsesparat i 8. klasse er ændret som følge af de kommende karakteradgangskrav på
de gymnasiale uddannelser.
Lille stigning i andelen af ikke-parate elever, der bliver uddannelses-
parate fra 8. til 9. klasse
Knap halvdelen (49 %) af de ikke-parate elever i 8. klasse i skoleåret 2016/17 blev vurderet parate i
9. klasse i skoleåret 2017/18. Dette er en lille stigning i andelen af elever, der ændrer status fra ikke-
parat i 8. klasse til parat i 9. klasse, set i forhold til de tidligere år. Således blev 48 % af de elever, der
var ikke-parate i 8. klasse, vurderet parate i 9. klasse i skoleåret 2015/16, mens den tilsvarende an-
del i 9. klasse i 2016/17 var 46 %.
Danmarks Evalueringsinstitut
4
UNU, Alm.del - 2017-18 - Bilag 172: EVA’s rapport Uddannelsesparathedsvurderingen 2018: Udvikling i uddannelsesparathedsvurderingerne i 8., 9. og 10. klasse, fra undervsiningsministeren
Uddannelsesparathedsvurderingen 2018
Resumé
Lille stigning i andelen af ikke-parate elever, der bliver uddannelses-
parate fra 9. til 10. klasse
Andelen af elever, der ændrer status fra ikke-parat i 9. klasse til parat i 10. klasse, er steget en smule
fra skoleåret 2016/17 til skoleåret 2017/18. Således blev 62 % af de ikke-parate elever i 9. klasse
vurderet parate i 10. klasse i skoleåret 2016/17, mens den tilsvarende andel i skoleåret 2017/18 var
65 %. Stigningen i andelen af elever, der ændrer status fra ikke-parat i 9. klasse til parat i 10. klasse i
skoleåret 2017/18, drives hovedsageligt af elever, der går i kommunale 10.-klassetilbud, herunder
ungdomsskoler og folkeskoler.
Store kommunale forskelle med hensyn til andelen af elever, der
ændrer status fra ikke-parat til parat mellem 8. og 9. klasse
Der er stor spredning mellem landets kommuner, både hvad angår andelen af ikke-parate elever i
8. klasse, og i forhold til andelen af elever, der ændrer status fra ikke-parat i 8. klasse til parat i 9.
klasse. I skoleåret 2017/18 er der en spredning på 35 procentpoint mellem kommunen med den
mindste andel af ikke-parate elever i 8. klasse (9 %) og kommunen med den største andel af ikke-
parate elever i 8. klasse (44 %).
Spredningen mellem kommunerne med hensyn til andelen af elever, der ændrer status fra ikke-
parat i 8. klasse til parat i 9. klasse, er på 50 procentpoint fra 26 % i den kommune med den mind-
ste andel af elever, der ændrer status fra ikke-parat i 8. klasse i 2016/17 til parat i 9. klasse i 2017/18
(26 %), til 76 % i den kommune med den største andel af elever, der ændrer status fra ikke-parat i 8.
klasse til parat i 9. klasse.
Ingen klare mønstre i, hvilke kommuner der har en stor andel af elever,
der ændrer status fra ikke-parat i 8. klasse til parat i 9. klasse
Der kan ikke konstateres nogen klare sammenhænge mellem andelen af ikke-parate elever i 8.
klasse og andelen af elever, der ændrer status til parat i 9. klasse, på tværs af kommunerne. Analy-
sen viser, at demografiske forskelle mellem kommunerne
kan
have, men ikke nødvendigvis har,
betydning for, hvor stor andelen af ikke-parate elever er i 8. klasse, og hvor store andele af elever
der ændrer status fra ikke-parat i 8. klasse til parat i 9. klasse.
Mange forhold spiller ind på, hvor mange elever der vurderes ikke-parate, og hvor mange elever
der ændrer status fra ikke-parat i 8. klasse til parat i 9. klasse. Både demografi, vurderingspraksis,
opfølgningspraksis, forskelle i karakteren af indsatser til ikke-parate samt forskelle i praksis på sko-
leniveau inden for samme kommune er faktorer, der kan have indflydelse på andelen af ikke-pa-
rate elever på kommuneniveau. De mange faktorer, der spiller ind på, hvor store andele af ikke-pa-
rate elever kommunerne har, og hvor store andele af elever der ændrer status fra ikke-parat til pa-
rat, slører dermed mønstrene med hensyn til sammenhænge mellem faktorerne.
Om datagrundlaget
Undersøgelsen er baseret på en registeranalyse af registrerede
UPV’er
fra skoleåret 2014/15 og
frem til skoleåret 2017/18. Registreringen af
UPV’erne
sker via
Optagelse.dk,
hvorfra registerud-
trækket kommer.
Danmarks Evalueringsinstitut
5
UNU, Alm.del - 2017-18 - Bilag 172: EVA’s rapport Uddannelsesparathedsvurderingen 2018: Udvikling i uddannelsesparathedsvurderingerne i 8., 9. og 10. klasse, fra undervsiningsministeren
Uddannelsesparathedsvurderingen 2018
Resumé
Fra optagelse.dk indgår data fra vurderingen af elever i 8. klasse i skoleåret 2014/15, 8. og 9. klasse i
2015/16 og 8., 9. og 10. klasse i 2016/17 og 2017/18. Data omfatter bl.a. oplysninger om, hvilken ud-
dannelse eleverne har tilkendegivet interesse for, samt en samlet vurdering af elevernes uddannel-
sesparathed.
Danmarks Evalueringsinstitut
6
UNU, Alm.del - 2017-18 - Bilag 172: EVA’s rapport Uddannelsesparathedsvurderingen 2018: Udvikling i uddannelsesparathedsvurderingerne i 8., 9. og 10. klasse, fra undervsiningsministeren
1942426_0007.png
Uddannelsesparathedsvurderingen 2018
2 Indledning
Uddannelsesparathedsvurderingen
UPV’en)
har til formål at give skoler og Ungdommens Uddan-
nelsesvejledning (UU) mulighed for at hjælpe elever, der ikke umiddelbart vurderes at have de nød-
vendige forudsætninger for at kunne begynde på en ungdomsuddannelse efter grundskolen.
UPV’en
i 8. klasse er dermed en foreløbig vurdering og en anledning til at iværksætte en målrettet
indsats, hvor elev, skole, forældre og UU i samarbejde arbejder hen mod, at eleven bliver parat til
at starte på en ungdomsuddannelse efter 9. eller 10. klasse.
I denne fjerde publikation om uddannelsesparathed følger vi op på tidligere undersøgelser og sæt-
ter fokus på udviklingen i UPV fra skoleåret 2014/15 til og med skoleåret 2017/18.
Undersøgelsen sætter fokus på to områder:
Udviklingen i UPV over tid
UPV på tværs af kommuner.
Undersøgelsen er baseret på registerdata fra optagelse.dk.
2.1 Ændringer i uddannelsesparathedsordningen
Alle elever i folkeskolen, i den kommunale ungdomsskole, på friskoler, på private grundskoler (frie
grundskoler) og på efterskoler, husholdningsskoler og håndarbejdsskoler skal have en vurdering
af, om de har de nødvendige faglige, sociale og personlige forudsætninger for at påbegynde og
gennemføre en ungdomsuddannelse, jf. vejledningsloven.
Elevernes uddannelsesparathed vurderes i forhold til den ungdomsuddannelse, som den enkelte
elev har tilkendegivet interesse for (gymnasial uddannelse, erhvervsuddannelse eller andet).
UPV’en
bliver foretaget af lærer og UU-vejleder.
Fra skoleåret 2014/15 og frem til skoleåret 2016/17 har UPV-ordningen fra 2014
1
været gældende.
Med denne ordning indførtes bl.a.
UPV’en
i 8. klasse, hvor vurderingerne tidligere udelukkende blev
gennemført i 9. og 10. klasse. Derudover blev det i ordningen fra 2014 præciseret, hvilke kriterier
UPV’en
skal baseres på. Disse kriterier er uddybet i appendiks B.
1 BEK nr. 839 af 30.6.2014 (historisk):
https://www.retsinformation.dk/Forms/R0710.aspx?id=164133.
Danmarks Evalueringsinstitut
7
UNU, Alm.del - 2017-18 - Bilag 172: EVA’s rapport Uddannelsesparathedsvurderingen 2018: Udvikling i uddannelsesparathedsvurderingerne i 8., 9. og 10. klasse, fra undervsiningsministeren
1942426_0008.png
Uddannelsesparathedsvurderingen 2018
Indledning
I 2017 blev der i forlængelse af gymnasiereformen vedtaget en ny ordning for
UPV’en,
som er gæl-
dende for 8. klasser fra skoleåret 2017/18 og for 9. og 10. klasser fra skoleåret 2018/19
2
. I ordningen
fra 2017 ændres kriterierne for de faglige forudsætninger for at blive vurderet uddannelsesparat for
elever, der søger en gymnasial uddannelse. Kriterierne for sociale og personlige forudsætninger er
uændrede i forhold til den gamle ordning og er altså fortsat gældende i den nye ordning.
Med den nye ordning kan elever i 8. klasse fra skoleåret 2017/18 også vælge at blive vurderet i for-
hold til en HF-uddannelse. I den tidligere ordning fra 2014 skulle elever tage stilling til, om de ville
vurderes i forhold til en gymnasial uddannelse, en erhvervsuddannelse eller en anden uddannelse,
men med den nye ordning skal elever, der er interesserede i at tage en gymnasial uddannelse,
altså tage stilling til, om de vil vurderes i forhold til en treårig gymnasial uddannelse eller HF eller
begge. Dette skyldes, at der med gymnasiereformen fra 2016 blev indført differentierede adgangs-
krav for hhv. treårige gymnasiale uddannelser (STX, HTX, HHX) og HF. For at opfylde de faglige for-
udsætninger for at blive vurderet uddannelsesparat til en treårig gymnasial uddannelse skal elever
i 8. klasse have mindst 5,0 i gennemsnit af alle standpunktskarakterer. For elever, der ønsker HF, er
kravet for 8.-klasseelever 4,0 i gennemsnit.
De faglige forudsætninger for elever, der tilkendegiver interesse for erhvervsuddannelse, er i den
nye ordning uændrede. Har eleven tilkendegivet interesse for erhvervsuddannelse i 8. klasse, er kri-
teriet for at blive vurderet uddannelsesparat med hensyn til de faglige forudsætninger fortsat, at
eleven skal have et gennemsnit af standpunktskaraktererne i 8. klasse på minimum 4,0. I 9. klasse
opfylder elever, der har tilkendegivet interesse for erhvervsuddannelse, de faglige forudsætninger
for at være uddannelsesparat, hvis de har mindst 2,0 i gennemsnit af standpunktskaraktererne i
fagene dansk og matematik.
Den nye ordning for
UPV’en
betyder helt specifikt, at kravene for at blive vurderet uddannelsespa-
rat skærpes, hvis eleven tilkendegiver interesse for en gymnasial uddannelse. Derfor forventes det,
at den samlede andel af ikke-parate elever vil stige for 8.-klasser i skoleåret 2017/18 og ligeledes for
9.- og 10.-klasser i skoleåret 2018/19.
Implementeringen af gymnasiereformens adgangskrav sker først i skoleåret 2019/20. Det betyder
med hensyn til
UPV’en,
at elever i 9. og 10. klasse i skoleåret 2017/18 fortsat vurderes ud fra de fag-
lige kriterier gældende i ordningen fra 2014. Her gælder det, at elevens standpunkts- og prøveka-
rakterer indgår i grundlaget for vurderingen af de faglige forudsætninger. Kun elever i 8. klasse i
skoleåret 2017/18 vurderes således efter den nye ordning og de nye adgangskrav til de gymnasiale
uddannelser. Fra skoleåret 2018/19 vurderes alle elever i forhold til den nye ordning.
2 BEK nr. 775 af 14.6.2017 (gældende):
https://www.retsinformation.dk/Forms/R0710.aspx?id=191981.
Danmarks Evalueringsinstitut
8
UNU, Alm.del - 2017-18 - Bilag 172: EVA’s rapport Uddannelsesparathedsvurderingen 2018: Udvikling i uddannelsesparathedsvurderingerne i 8., 9. og 10. klasse, fra undervsiningsministeren
1942426_0009.png
Uddannelsesparathedsvurderingen 2018
Indledning
2.2 Metode
Undersøgelsen er baseret på en registeranalyse af alle registrerede
UPV’er
fra skoleåret 2014/15 og
frem til skoleåret 2017/18. Overordnet set bidrager registeranalysen til at belyse følgende undersø-
gelsesspørgsmål:
Udvikling i UPV over tid:
Hvordan har elevernes UPV udviklet sig i løbet af de fire skoleår, hvor
UPV’erne
er blevet regi-
streret (2014/15-2017/18)?
Hvordan udvikler elevernes UPV sig gennem udskolingen fra 8. til 10. klasse?
Kommunale forskelle med hensyn til UPV:
Hvordan varierer andelen af ikke-parate elever på tværs af landets kommuner?
Hvordan varierer andelen af elever, der ændrer status fra ikke-parat i 8. klasse til parat i 9.
klasse, på tværs af landets kommuner?
Er der nogen mønstre i, hvilke kommuner der har en stor andel af ikke-parate elever, og hvilke
kommuner der har en stor andel af elever, der ændrer status fra 8. til 9. klasse?
2.2.1
Datagrundlag
Fra optagelse.dk indgår data fra vurderingen af elever i 8. klasse i skoleåret 2014/15, 8. og 9. klasse i
2015/16 og 8., 9. og 10. klasse i 2016/17 og 2017/18. Data omfatter bl.a. oplysninger om, hvilken ud-
dannelse eleverne har tilkendegivet interesse for, og en samlet vurdering af elevernes uddannel-
sesparathed. Det betyder, at vi for de første 8.-klasser har gentagne målinger hen over tre år, såle-
des at vi kan følge elevernes udvikling gennem udskolingen fra 8. til 9. og evt. 10. klasse. Samtidig
har vi data fra UPV i 8. klasse i fire forskellige skoleår, hvilket gør det muligt også at sammenligne
UPV over tid.
FIGUR 2.1
Beskrivelse af de klasser og årgange, der indgår i undersøgelsen
Danmarks Evalueringsinstitut
9
UNU, Alm.del - 2017-18 - Bilag 172: EVA’s rapport Uddannelsesparathedsvurderingen 2018: Udvikling i uddannelsesparathedsvurderingerne i 8., 9. og 10. klasse, fra undervsiningsministeren
1942426_0010.png
Uddannelsesparathedsvurderingen 2018
Indledning
Operationalisering af UPV
I denne undersøgelse anvendes den tekniske definition og opgørelse af UPV, som er fastlagt af Sty-
relsen for It og Læring (STIL). Denne opgørelsesmetode afviger en smule fra den opgørelsesme-
tode, der dannede grundlag for Danmarks Evalueringsinstituts (EVA’s) første rapport om UPV.
3
Der-
udover anvendes i denne rapport udelukkende den overordnede parathedsvurdering som mål for
uddannelsesparathed. Dette skyldes, at der på grund af en teknisk uhensigtsmæssighed i registre-
ringen på optagelse.dk kan forekomme fejl i data vedrørende de specifikke vurderinger i forhold til
erhvervsuddannelse og gymnasial uddannelse i 9. og 10. klasse.
Afgrænsning af populationen
I denne rapport fokuseres der på de elever, der har fået en vurdering, og som går på det, der kan
betragtes som almene skoler, dvs. folkeskoler, efterskoler samt friskoler og private grundskoler.
Dette skyldes, at en stor andel af de elever, der er i forskellige former for specialtilbud, ikke får en
vurdering
og at der, blandt de elever, der gør, er en relativt stor andel, der vurderes ikke-parate.
Dette tyder på, at det er nogle helt særlige udfordringer og tilbud, der er relevante for denne elev-
gruppe.
Ud af den samlede population af elever i udskolingen er de elever, som går på specialskole, såle-
des udelukket fra analysen (2-8 % af den samlede population, afhængigt af skoleår og klassetrin).
Derudover indgår kun de elever, der har fået en UPV
og på baggrund af dette kriterium eksklude-
res yderligere 3-8 % af eleverne på de almene skoler. Andelen af ikke-vurderede elever var størst i 8.
klasse i skoleåret 2014/15, hvor den nuværende ordning blev indført. Her var der 8 % af eleverne på
de almene skoler, der ikke blev vurderet. Endelig optræder der i datamaterialet et antal elever på
de almene skoler (0-3 %), der er blevet vurderet, men som ikke har tilkendegivet interesse for er-
hvervsuddannelse eller en gymnasial uddannelse. Disse indgår heller ikke i den endelige popula-
tion.
FIGUR 2.2
Beskrivelse af trin til at nå til den endelige analysepopulation
De endelige analysepopulationer fremgår af tabel 2.1 nedenfor.
3
EVA,
5: ”UPV
i 8. klasse
Deskriptiv analyse af uddannelsesparathedsvurderinger i 8. klasse”.
Danmarks Evalueringsinstitut
10
UNU, Alm.del - 2017-18 - Bilag 172: EVA’s rapport Uddannelsesparathedsvurderingen 2018: Udvikling i uddannelsesparathedsvurderingerne i 8., 9. og 10. klasse, fra undervsiningsministeren
1942426_0011.png
Uddannelsesparathedsvurderingen 2018
Indledning
TABEL 2.1
Endelige analysepopulationer
2014/15
8. klasse
9. klasse
10. klasse
Kilde:
Optagelse.dk.
59.679
-
-
2015/16
60.645
62.717
-
2016/17
59.353
62.006
31.076
2017/18
60.846
60.886
31.465
Se appendiks A for en detaljeret gennemgang af data og metode.
Danmarks Evalueringsinstitut
11
UNU, Alm.del - 2017-18 - Bilag 172: EVA’s rapport Uddannelsesparathedsvurderingen 2018: Udvikling i uddannelsesparathedsvurderingerne i 8., 9. og 10. klasse, fra undervsiningsministeren
1942426_0012.png
Uddannelsesparathedsvurderingen 2018
3 Udviklingen i UPV
Kapitlet viser, at der samlet set er sket en lille stigning i andelen af ikke-parate elever i løbet af de
fire år, hvor UPV er blevet registreret. Særligt skiller skoleåret 2014/15 sig ud. I dette skoleår blev 25
% af 8.-klasseeleverne vurderet ikke-parate, mens det gjaldt hhv. 27, 28 og 31 % af eleverne i de føl-
gende to skoleår.
I forlængelse heraf er andelen af elever, der har ændret status fra ikke-parat i 8. klasse til parat i 9.
klasse, mindre i perioden fra 2015/16-2016/17 end i den foregående periode fra 2014/15-2015/16. I
perioden fra 2016/17 til 2017/18 ses dog en lille stigning i andelen af elever, der har ændret status
fra ikke-parat i 8. klasse til parat i 9. klasse, således at der i denne periode er den største andel af
elever, der ændrer status fra ikke-parat i 8. klasse til parat i 9. klasse.
Overordnet set bliver en stor andel af eleverne parate fra 8. klasse til 10. klasse. Mange elever, der i
8. klasse blev vurderet ikke-parate, bliver således vurderet parate i enten 9. eller 10. klasse. Følger
man således de samme årgange over tid, ses det, at andelen af ikke-parate elever fra årgangen, der
gik i 8. klasse i 2014/15, er faldende gennem skoletiden. Fra 25 % ikke-parate i 8. klasse og 18 % i 9.
klasse til endelig 14 % i 10. klasse. Det samme er gældende for årgangen, der gik i 8. klasse i skole-
året 2015/16. Her fra 27 % ikke-parate i 8. klasse og 18 % i 9. klasse til 16 % i 10. klasse i 2017/18.
3.1 Udvikling over tid
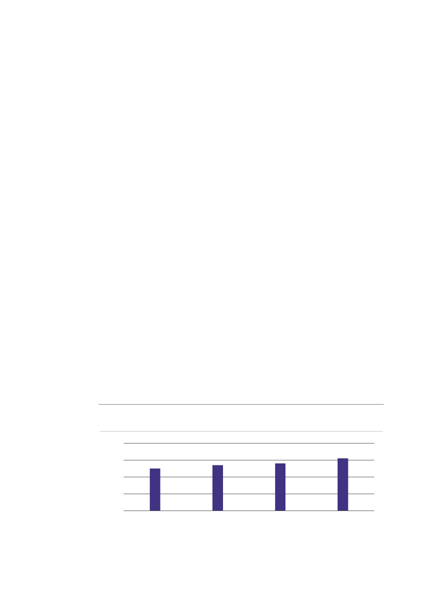
Figur 3.1 viser, at der siden skoleåret 2014/15 er sket en stigning i andelen af elever, der vurderes
ikke-parate i 8. klasse. Således blev 25 % af 8.-klasseeleverne i skoleåret 2014/15 vurderet ikke-pa-
rate, mens det gjaldt hhv. 27, 28 og 31 % af eleverne i de følgende to skoleår.
FIGUR 3.1
Andel af elever, der er ikke-parate i 8. klasse
40 %
30 %
31
27
28
20 %
10 %
0%
25
2014/15
(n = 59.679)
Kilde: Optagelse.dk.
2015/16
(n = 60.645)
2016/17
(n = 59.353)
2017/2018
(n = 60.846)
Danmarks Evalueringsinstitut
12
UNU, Alm.del - 2017-18 - Bilag 172: EVA’s rapport Uddannelsesparathedsvurderingen 2018: Udvikling i uddannelsesparathedsvurderingerne i 8., 9. og 10. klasse, fra undervsiningsministeren
1942426_0013.png
Uddannelsesparathedsvurderingen 2018
Udviklingen i UPV
Skoleåret 2014/15 var det første år, hvor eleverne i 8. klasse blev vurderet, og dette kan sandsynlig-
vis forklare, hvorfor tallene for dette skoleår adskiller sig fra de øvrige år. I skoleåret 2017/18 er de
faglige krav til at blive vurderet parat til en gymnasial uddannelse skærpet som følge af gymnasie-
reformen, hvilket kan forklare stigningen i andelen af ikke-parate elever i dette skoleår.
I figur 3.2 nedenfor vises andelen af elever, der er ikke-parate i 9. klasse.
FIGUR 3.2
Andel af elever, der er ikke-parate i 9. klasse
50 %
40 %
30 %
20 %
17
18
17
10 %
0%
2015/16
(n = 62.717)
Kilde: Optagelse.dk.
2016/17
(n = 62.006)
2017/18
(n = 60.886)
Figuren viser, at for eleverne i 9. klasse ses en stigning fra 17 til 18 % i andelen af ikke-parate elever
fra 2015/16 til 2016/17. Stigningen svarer nogenlunde til stigningen for 8.-klasseeleverne i samme
periode. I skoleåret 2017/18 falder andelen af ikke-parate elever i 9. klasse dog igen til 17 %. Elever i
9. klasse i skoleåret 2017/18 er endnu ikke omfattet af de nye adgangskrav på de gymnasiale ud-
dannelser. Det må derfor forventes, at andelen af ikke-parate elever i 9. klasse til næste skoleår
(2018/19) vil stige igen.
Af figur 3.3 fremgår det, at andelen af elever, der ændrer status fra ikke-parat i 8. klasse til parat i 9.
klasse, svinger mellem 46 % og 49 % afhængigt af perioden. I perioden 2016/17 til 2017/18 har den
største andel af eleverne ændret status fra ikke-parat til parat fra 8. til 9. klasse (49 %), mens der i
perioden 2015/16 til 2016/17 var den mindste andel af elever, der ændrede status fra ikke-parat til
parat (46 %).
Danmarks Evalueringsinstitut
13
UNU, Alm.del - 2017-18 - Bilag 172: EVA’s rapport Uddannelsesparathedsvurderingen 2018: Udvikling i uddannelsesparathedsvurderingerne i 8., 9. og 10. klasse, fra undervsiningsministeren
1942426_0014.png
Uddannelsesparathedsvurderingen 2018
Udviklingen i UPV
FIGUR 3.3
Andel af elever, der har ændret status fra ikke-parat i 8. klasse til parat i
9. klasse
50 %
48
49
46
40 %
30 %
20 %
10 %
0%
2014/15 til 2015/16
(n = 13.471)
Kilde: Optagelse.dk.
2015/16 til 2016/17
(n = 14.634)
2016/17 til 2017/18
(n = 14.871)
Enkelte elever ændrer også status fra parat i 8. klasse til ikke-parat i 9. klasse. Som det fremgår af
figur 3.4, drejede det sig om 4 % af eleverne i perioden fra 2014/15 til 2015/16 og 2015/16 til
2016/17, mens andelen er faldet en smule i perioden 2016/17 til 2017/18 til 3 %.
FIGUR 3.4
Andel af elever, der har ændret status fra parat til ikke-parat fra 8. til 9.
klasse
20 %
15 %
10 %
5%
4
4
3
0%
Ændret status fra 2014/15 til
2015/16
(n = 44.224)
Kilde: Optagelse.dk.
Ændret status fra 2015/16 til
2016/17
(n = 43.956)
Ændret status fra 2016/17 til
2017/18
(n = 42.208)
3.2 UPV i 10. klasse
I skoleåret 2016/17 blev der for første gang også registreret oplysninger om UPV i 10. klasse. I år er
det således første gang, at det er muligt at sammenligne registeroplysninger om UPV i 10. klasse på
tværs af årgange.
Figur 3.5 nedenfor viser andelen af eleverne i 10. klasse, der er vurderet ikke-parate.
Danmarks Evalueringsinstitut
14
UNU, Alm.del - 2017-18 - Bilag 172: EVA’s rapport Uddannelsesparathedsvurderingen 2018: Udvikling i uddannelsesparathedsvurderingerne i 8., 9. og 10. klasse, fra undervsiningsministeren
1942426_0015.png
Uddannelsesparathedsvurderingen 2018
Udviklingen i UPV
FIGUR 3.5
Andel af elever, der er ikke-parate i 10. klasse
40 %
30 %
20 %
10 %
0%
2016/17
(n = 31.076)
2017/18
(n = 31.465)
16
16
Kilde: Optagelse.dk.
Af figuren fremgår det, at 16 % ud af de i alt 31.076 elever, der har fået en vurdering i 10. klasse i
skoleåret 2016/17, blev vurderet ikke-parate.
4
I skoleåret 2017/18 var det tilsvarende 16 % af de
31.465 10.-klasseelever, der blev vurderet ikke-parate.
Det betyder, at endnu flere elever er blevet uddannelsesparate i perioden fra 9. til 10. klasse.
Selvom 16 % ikke umiddelbart adskiller sig markant fra de 17-18 % ikke-parate elever, der var i 9.
klasse, er det her vigtigt at huske på, at det er en selekteret elevgruppe, der vælger at gå i 10.
klasse, mens mange parate elever allerede har påbegyndt en ungdomsuddannelse. Andelen af
ikke-parate ville således være markant mindre (8 %), hvis man så antallet af ikke-parate elever i 10.
klasse i forhold til den samlede population af elever, som gik i 9. klasse det foregående år.
Af figur 3.6 fremgår det, at 62 % af de ikke-parate elever i 9. klasse i 2015/16 blev vurderet parate i
10. klasse året efter. I perioden fra 2016/17 til 2017/18 ses en lille stigning på omkring 3 procentpo-
int, således at andelen af elever, der ændrer status fra ikke-parat i 9. klasse til parat i 10. klasse, nu
er på 65 %.
4 Tallene for 10. klasse i skoleåret 2016/17 adskiller sig i dette års rapport en smule fra tallene i sidste års rapport (EVA,
7: ”Fra
ikke-
parat til parat
Analyse af uddannelsesparathedsvurderinger i 8., 9. og 10. klasse”).
Dette skyldes,
at elever på kommunale ungdoms-
skoler i 10. klasse ikke indgik i analysen i sidste års rapport. Da elever, der går i 10. klasse på kommunale ungdomsskoler, i år er inklu-
deret i gruppen af elever, der går i folkeskole eller kommunale tilbud, har vi, for at have et sammenligneligt analysegrundlag, valgt at
medtage disse elever i populationen for 10. klasse i 2016/17 også. Det drejer sig om i alt 2.010 ekstra elever, der er inkluderet i dette
års analyse for 10. klasse i 2016/17.
Danmarks Evalueringsinstitut
15
UNU, Alm.del - 2017-18 - Bilag 172: EVA’s rapport Uddannelsesparathedsvurderingen 2018: Udvikling i uddannelsesparathedsvurderingerne i 8., 9. og 10. klasse, fra undervsiningsministeren
1942426_0016.png
Uddannelsesparathedsvurderingen 2018
Udviklingen i UPV
FIGUR 3.6
Andel af elever, der har ændret status fra ikke-parat til parat fra 9. til 10.
klasse
100 %
80 %
60 %
62
65
40 %
20 %
0%
Ændret status fra 2015/16 til 2016/17
(n = 7.651)
Kilde: Optagelse.dk.
Ændret status fra 2016/17 til 2017/18
(n = 7.722)
Figur 3.7 zoomer ind på de elever, der har ændret status fra ikke-parat til parat fra 9. til 10. klasse,
og ser på, hvilken skoletype disse elever går på i 10. klasse. Her fremgår det, at private skoler/frisko-
ler har den største andel af elever, der ændrer status fra ikke-parat i 9. klasse til parat i 10. klasse, i
begge perioder (76 %). På efterskoler er andelen af elever, der har ændret status, 72 % i begge peri-
oder. Det er således på folkeskoler og i kommunale tilbud som fx ungdomsskoler, at den mindste
andel af elever ændrer status fra ikke-parat til parat fra 9. til 10. klasse. Dog stiger denne andel fra
56 % i perioden 2015/16 til 2016/17 til 58 % i perioden 2016/17 til 2017/18. Det er således folkesko-
lerne og de kommunale tilbud, der ligger til grund for den observerede stigning i den samlede an-
del af elever, der ændrer status fra ikke-parat til parat fra 9. til 10. klasse, i perioden (jf. figur 3.6).
FIGUR 3.7
Andel af elever, der har ændret status fra ikke-parat til parat fra 9. til
10. klasse, fordelt på skoletype
100 %
80 %
60 %
40 %
20 %
0%
Ændret status
fra 2015/16 til 2016/17
(n = 7.651)
Folkeskole og kommunale tilbud
Efterskole
Ændret status
fra 2016/17 til 2017/18
(n = 7.722)
Privatskole/Friskole
56
72
76
58
72
76
Kilde:
Optagelse.dk.
Figur 3.8 viser udviklingen for de elever, der blev vurderet ikke-parate i 8. klasse i skoleåret 2015/16,
frem til 10. klasse i 2017/18. Andele og totaler for 10. klasse er en smule anderledes i denne figur i
forhold til de andre figurer i dette afsnit, da populationen her er afgrænset til elever, der har gået i
både 8., 9. og 10. klasse og er en del af undersøgelsespopulationen i hele den pågældende periode.
Elever, der har gået en klasse om eller tilbragt noget tid på en specialskole i perioden, er således
ikke med. Af figuren fremgår det, at ud af de 27 % ikke-parate elever i 8. klasse i 2015/16 vurderes
Danmarks Evalueringsinstitut
16
UNU, Alm.del - 2017-18 - Bilag 172: EVA’s rapport Uddannelsesparathedsvurderingen 2018: Udvikling i uddannelsesparathedsvurderingerne i 8., 9. og 10. klasse, fra undervsiningsministeren
1942426_0017.png
Uddannelsesparathedsvurderingen 2018
Udviklingen i UPV
54 % ikke-parate i 9. klasse i 2016/17. Ud af disse vurderes 38 % ikke-parate i 10. klasse i skoleåret
2017/18.
FIGUR 3.8
Fra ikke-parat til parat fra 8. til 10. klasse
Danmarks Evalueringsinstitut
17
UNU, Alm.del - 2017-18 - Bilag 172: EVA’s rapport Uddannelsesparathedsvurderingen 2018: Udvikling i uddannelsesparathedsvurderingerne i 8., 9. og 10. klasse, fra undervsiningsministeren
1942426_0018.png
Uddannelsesparathedsvurderingen 2018
4 Kommunale forskelle
Kapitlet viser fordelingen af ikke-parate elever på tværs af landets kommuner og udviklingen i ele-
vernes parathed fra 8. til 9. klasse i skoleårene 2015/16 og 2016/17.
Analysen viser, at der er stor spredning mellem kommunerne med hensyn til, hvor store andele af
elever der bliver vurderet ikke-parate, og hvor store andele der ændrer status fra ikke-parat i 8.
klasse til parat i 9. klasse. På trods af den store spredning viser analysen også, at der ikke kan kon-
stateres nogen klare sammenhænge mellem andelen af ikke-parate elever i 8. klasse og andelen af
elever, der ændrer status til parat i 9. klasse, inden for hver kommune. Endvidere viser analysen, at
demografiske forskelle mellem kommunerne ikke nødvendigvis har betydning for, hvor store an-
dele af ikke-parate elever i 8. klasse, og hvor store andele af elever der ændrer status til parat i 9.
klasse, kommunerne har.
Af hensyn til læsbarheden indeholder figurerne i kapitlet hverken kommunenavne eller antallet af
elever inden for hver kommune. Se appendiks C for et overblik over søgemønstre og UPV’er i alle
landets kommuner.
4.1 Spredning mellem kommunerne
Andelen af ikke-parate elever i 8. klasse varierer meget på tværs af kommunerne. Spredningen går
fra 9 % (i Ærø Kommune) til 44 % (i Norddjurs og Hvidovre Kommune), jf. figur 4.1. Den stiplede
linje i figuren viser den gennemsnitlige andel af ikke-parate elever på tværs af kommunerne (28 %).
FIGUR 4.1
Andel af elever, der er ikke-parate i 8. klasse i skoleåret 2016/17, fordelt på
kommuner (n = 59.308)
50 %
40 %
30 %
20 %
10 %
0%
Andel af ikke-parate
Gennemsnit
Kilde: Optagelse.dk og Undervisningsministeriets Institutionsregister, 2017.
Note: To kommuner er ikke medtaget i figuren, da for få elever har en UPV i 8. klasse i skoleåret 2016/17. Figuren inde-
holder således information fra 96 kommuner.
Danmarks Evalueringsinstitut
18
UNU, Alm.del - 2017-18 - Bilag 172: EVA’s rapport Uddannelsesparathedsvurderingen 2018: Udvikling i uddannelsesparathedsvurderingerne i 8., 9. og 10. klasse, fra undervsiningsministeren
1942426_0019.png
Uddannelsesparathedsvurderingen 2018
Kommunale forskelle
Figur 4.2 viser andelen af elever, der er ikke-parate i 9. klasse i skoleåret 2017/18, fordelt på kom-
muner. Her fremgår det, at spredningen i andelen af ikke-parate elever fortsat er stor på tværs af
kommunerne og går fra 6 % (Solrød Kommune) til 27 % (Lolland Kommune). Dog er den gennem-
snitlige andel af elever, der er ikke-parate, væsentligt mindre sammenlignet med i 8. klasse (17 %
mod 28 %).
FIGUR 4.2
Andel af elever, der er ikke-parate i 9. klasse i skoleåret 2017/18, fordelt på
kommuner (n = 60.808)
50 %
40 %
30 %
20 %
10 %
0%
Ikke-parat i 9. klasse 2017/18
Gennemsnit
Kilde: Optagelse.dk og Undervisningsministeriets Institutionsregister, 2018.
Note: To kommuner er ikke medtaget i figuren, da for få elever har en UPV i 9. klasse i skoleåret 2016/17. Figuren inde-
holder således information fra 96 kommuner.
En endnu større spredning mellem kommunerne ses, når man ser på andelen af elever, der ændrer
status fra ikke-parat i 8. klasse i 2016/17 til parat i 9. klasse i 2017/18 (figur 4.3). Her ses det, at
spredningen i andelen af elever med ændret status går fra 76 % (Solrød Kommune) til 26 % (He-
densted Kommune). Gennemsnitligt 49 % af de ikke-parate elever i 8. klasse ændrer status til parat
i 9. klasse. Det skal hertil bemærkes, at populationen i denne analyse er afgrænset således, at det
kun er de ikke-parate unge i 8. klasse, som er bosat i samme kommune i både 8. og 9. klasse, der
indgår i analysen.
5
5 12 % af de ikke-parate elever i 8. klasse er ekskluderet som følge af dette kriterium som alternativ til at placere eleverne i enten fra-
flytningskommune eller modtagerkommune. Blandt de til-/fraflyttede er der en lidt større andel af elever, der ændrer status fra ikke-
parat i 8. klasse til parat i 9. klasse (52 %), sammenlignet med de elever, der ikke har flyttet kommune (49 %). Da der er stor forskel på,
hvor mange til-/fraflyttede elever der er i de forskellige kommuner (fra 5 % i Gentofte Kommune til 28 % i Varde Kommune), kan dette
påvirke det overordnede billede i nogle kommuner. Særligt i udkantskommunerne er der stor elevmobilitet (se appendiks C).
Danmarks Evalueringsinstitut
19
UNU, Alm.del - 2017-18 - Bilag 172: EVA’s rapport Uddannelsesparathedsvurderingen 2018: Udvikling i uddannelsesparathedsvurderingerne i 8., 9. og 10. klasse, fra undervsiningsministeren
1942426_0020.png
Uddannelsesparathedsvurderingen 2018
Kommunale forskelle
FIGUR 4.3
Andel af elever, der ændrer status fra ikke-parat i 8. klasse i 2016/17 til
parat i 9. klasse i 2017/18, fordelt på kommuner (n = 13.015)
100 %
80 %
60 %
40 %
20 %
0%
Andel af elever, der har ændret status til parat
Gennemsnit
Kilde: Optagelse.dk og Undervisningsministeriets Institutionsregister, 2017/18.
Note: Fire kommuner er ikke medtaget i figuren (Fanø, Læsø, Samsø og Ærø Kommune), da for få elever har en UPV i
både 8. klasse i skoleåret 2016/17 og 9. klasse i skoleåret 2017/18. Figuren indeholder således information fra 94 kom-
muner.
Population: elever, der har en UPV i både 8. klasse i 2016/17 og 9. klasse i 2017/18, og som ikke har skiftet skole til en
skole i en anden kommune i denne periode.
Der er ligeledes stor forskel på søgemønstre på tværs af kommunerne i forhold til ungdomsuddan-
nelserne. Figur 4.4 viser spredningen mellem kommunerne med hensyn til andelen af elever, der
har tilkendegivet interesse for erhvervsuddannelse i 8. klasse. Her fremgår det, at spredningen mel-
lem kommunerne går fra 20 % (i Solrød Kommune) til 100 % (i Ærø og Fanø Kommune). I gennem-
snit 53 % af eleverne tilkendegiver interesse for erhvervsuddannelse på tværs af kommunerne. En
væsentligt større andel vurderes ikke-parate i 8. klasse blandt de elever, der har tilkendegivet inte-
resse for erhvervsuddannelse. Dog bliver ca. 18 % af disse elever automatisk parate til erhvervsud-
dannelse i 9. klasse, såfremt de fastholder deres karakterer fra 8. klasse, på grund af de lavere ka-
rakterkrav, der som følge af lovgivningen er i 9. klasse.
FIGUR 4.4
Andel af elever, der tilkendegiver interesse for erhvervsuddannelse i 8.
klasse i skoleåret 2016/17, fordelt på kommuner (n = 59.353)
100 %
80 %
60 %
40 %
20 %
0%
Andel af elever, der har tilkendegivet interesse for EUD i 8. klasse
Gennemsnit
Kilde: Optagelse.dk og Undervisningsministeriets Institutionsregister, 2017.
Note: Elever, der har tilkendegivet interesse for både erhvervsuddannelse og en gymnasial uddannelse, fremgår også af
denne figur.
Analysen af spredning på tværs af kommunerne er udelukkende deskriptiv og tager derfor ikke
højde for forskelle i kommunernes demografi. Som sidste års UPV-analyser viste, er UPV dog tæt
Danmarks Evalueringsinstitut
20
UNU, Alm.del - 2017-18 - Bilag 172: EVA’s rapport Uddannelsesparathedsvurderingen 2018: Udvikling i uddannelsesparathedsvurderingerne i 8., 9. og 10. klasse, fra undervsiningsministeren
1942426_0021.png
Uddannelsesparathedsvurderingen 2018
Kommunale forskelle
koblet til elevernes sociale baggrund.
6
Forskelle mellem kommunerne er således i vid udstrækning
et billede på de meget forskellige udfordringer, som kommunerne qua deres elevgrundlag står
over for.
4.2 Kommunale mønstre med hensyn til andelen af elever,
der ændrer status
I det følgende ser vi nærmere på, om det er muligt at identificere mønstre med hensyn til sammen-
hængen mellem andelen af elever, der ændrer status fra ikke-parat i 8. klasse til parat i 9. klasse, og
andelen af ikke-parate elever i 8. klasse, på tværs af kommunerne.
Sammenhængen kan i princippet være påvirket af mange forhold. Det er fx muligt, at man i de
kommuner, hvor der er en meget stor andel af ikke-parate elever i 8. klasse, står over for en stor op-
gave, som kan være svær at løfte. På den ene side er det altså muligt, at andelen af ikke-parate ele-
ver og andelen af elever, der ændrer status i 9. klasse, er negativt sammenhængende, således at jo
flere elever, der er vurderet ikke-parate i 8. klasse, jo færre elever ændrer status fra ikke-parat til pa-
rat i 9. klasse. På den anden side er det muligt, at man i de kommuner, hvor mange elever vurderes
ikke-parate, kan have prioriteret opgaven højt og evt. have gjort sig flere erfaringer med at gøre ele-
verne uddannelsesparate, så indsatsen er blevet professionaliseret og systematiseret. Det er altså
også muligt, at der eksisterer en positiv sammenhæng mellem andelen af ikke-parate i 8. klasse og
andelen med ændret status i 9. klasse, således at jo flere elever, der vurderes ikke-parate i 8. klasse,
jo flere elever vil ændre status til parat i 9. klasse.
Derudover er det muligt, at andre forhold kan spille ind på, hvor mange elever der vurderes ikke-
parate i 8. klasse, og hvor mange elever der ændrer status fra ikke-parat til parat i 9. klasse, inden
for kommunerne. Det kan fx være forskelle i skolepraksis med hensyn til
UPV’en
og demografiske
forskelle med hensyn til kommunestørrelse og befolkningens ressourcer i kommunen (indkomst,
uddannelse, ledighed).
4.2.1
Sammenhænge på tværs af kommunerne
Ser man på forholdet mellem andelen af elever, der ændrer status fra ikke-parat i 8. klasse til parat
i 9. klasse, og den samlede andel af elever, der var ikke-parate i 8. klasse i de forskellige kommuner,
tegner der sig ikke umiddelbart nogen klar sammenhæng.
Figur 4.5 viser andelen af ikke-parate i 8. klasse (grå streg) samt andelen, der har ændret status til
parat i 9. klasse (lilla streg), fordelt på kommuner. Figuren er sorteret på andelen af ikke-parate ele-
ver i 8. klasse, således at kommunen med den mindste andel af ikke-parate i 8. klasse ses længst til
venstre i figuren, og den kommune, der har den største andel af elever, der er ikke-parate i 8.
klasse, ses længst til højre.
Af figuren fremgår det, at de to mål (andelen med ændret status og andelen af ikke-parate i 8.
klasse) ikke umiddelbart ser ud til at være sammenhængende, idet den lilla streg (andelen af ele-
ver, der har ændret status fra ikke-parat i 8. klasse til parat i 9. klasse) er meget svingende, mens
den grå streg (andelen af ikke-parate i 8. klasse) er opadgående.
6
EVA,
7: ”Fra
ikke-parat til parat
Analyse af uddannelsesparathedsvurderinger i 8., 9. og 10. klasse”.
Danmarks Evalueringsinstitut
21
UNU, Alm.del - 2017-18 - Bilag 172: EVA’s rapport Uddannelsesparathedsvurderingen 2018: Udvikling i uddannelsesparathedsvurderingerne i 8., 9. og 10. klasse, fra undervsiningsministeren
1942426_0022.png
Uddannelsesparathedsvurderingen 2018
Kommunale forskelle
Kun i yderenderne af figuren ses en lille tendens til, at når andelen af ikke-parate i 8. klasse er stor,
er andelen af elever, der ændrer status, tilsvarende lille og omvendt. Ser man nærmere på de kom-
muner, der placerer sig i yderenderne af figuren, ses her en tendens til, at disse kommuner er i hver
deres ende af skalaen med hensyn til befolkningssammensætning. Længst til venstre i figuren
(kommunerne med en lille andel af ikke-parate og en stor andel af elever, der ændrer status til pa-
rat i 9. klasse) ses fx Gentofte, Lyngby-Taarbæk og Dragør Kommune, mens Lolland, Guldborgsund
og Ishøj Kommune er i den højre side af figuren (kommunerne med en stor andel af ikke-parate
elever og en lille andel af elever, der ændrer status).
FIGUR 4.5
Andel af elever, der er ikke-parate i 8. klasse, og andel af elever, der har
ændret status til parat i 9. klasse, fordelt på kommuner
100 %
80 %
60 %
40 %
20 %
0%
Andel af ikke-parate elever i 8. klasse
Andel af elever, der har ændret status til parat i 9. klasse
Lineær (Andel af elever, der har ændret status til parat i 9. klasse)
Kilde: Optagelse.dk og Undervisningsministeriets Institutionsregister, 2017/2018.
Note: Kommuner, der har under ti ikke-parate elever i 8. eller 9. klasse, er sorteret fra, da andele baseret på for få elever
kan være misvisende. Fire kommuner er på baggrund af dette kriterie sorteret fra (Fanø, Læsø, Samsø og Ærø Kom-
mune), og figuren er således baseret på andele fra 94 kommuner.
Population: elever, der har en UPV i både 8. klasse i 2016/17 og 9. klasse i 2017/18, og som ikke har skiftet skole til en
skole i en anden kommune i denne periode.
Den stiplede streg i figur 4.5 angiver den lineære tendens for andelen af elever, der ændrer status
fra ikke-parat i 8. klasse til parat i 9. klasse, på tværs af kommunerne. Her fremgår det, at der kun er
en meget svag nedadgående tendens, hvilken primært må forventes at være drevet af tendenserne
i yderenderne af figuren. De store udsving i andelen af elever, der ændrer status til parat i 9. klasse,
i kommuner med både store og små andele af ikke-parate elever i 8. klasse, samt den næsten
vandrette tendenslinje tyder således på, at der ikke er noget klart mønster med hensyn til sam-
menhængen mellem andelen af elever, der er ikke-parate i 8. klasse, og andelen af elever, der æn-
drer status fra ikke-parat til parat i 9. klasse, på tværs af kommunerne.
Foretager man en korrelationsanalyse af sammenhængen mellem kommunernes andele af hhv.
ikke-parate elever i 8. klasse og elever, der ændrer status til parat i 9. klasse, viser denne også, at
der kun er en svag sammenhæng imellem de to mål (korrelationskoefficient = 0,14).
4.2.2
Ingen klare mønstre
Ovenstående analyse vidner om, at der ikke er nogen klare mønstre i forhold til sammenhængene
mellem andelen af ikke-parate elever i 8. klasse og andelen af elever, der ændrer status til parat i 9.
klasse. Dette tyder på, at andre forhold er på spil og har afgørende betydning for, hvor mange ele-
ver der ændrer status fra ikke-parat til parat i de enkelte kommuner.
Danmarks Evalueringsinstitut
22
UNU, Alm.del - 2017-18 - Bilag 172: EVA’s rapport Uddannelsesparathedsvurderingen 2018: Udvikling i uddannelsesparathedsvurderingerne i 8., 9. og 10. klasse, fra undervsiningsministeren
1942426_0023.png
Uddannelsesparathedsvurderingen 2018
Kommunale forskelle
EVA har tidligere undersøgt UPV’erne og forskellene mellem skolers UPV-praksis set i forhold til an-
delen af ikke-parate elever i 8. klasse og andelen af elever, der ændrer status til parat i 9. klasse
7
. Af
denne analyse fremgik det, at skoler med det, man kan kalde den mest ambitiøse UPV-praksis, har
en mindre andel af ikke-parate elever i både 8. og 9. klasse og en større andel af elever, der ændrer
status fra ikke-parat til parat, set i forhold til andre skoler. De skoler, der har en meget ambitiøs
UPV-praksis, har dog også en mindre andel af elever med anden etnisk baggrund, en mindre andel
af elever med forældre, der kun har gennemført grundskolen, og et højere karaktergennemsnit
blandt eleverne.
Sammenholdt med dette års analyse tyder det på, at demografi ikke nødvendigvis har en betyd-
ning, men når man i nogle kommuner og på nogle skoler har en væsentligt stærkere elevgruppe og
relativt få elever i gruppen af ikke-parate, kan der være større overskud til at tilrettelægge en ambi-
tiøs praksis og indsats rettet mod de ikke-parate elever. Det kan føre til, at en større andel af de
ikke-parate elever i 8. klasse bliver parate i 9. klasse.
Vi kan dog på baggrund af analyserne ikke sige noget om, om skolerne inden for samme kommune
har samme eller lignende praksis med hensyn til
UPV’en.
Der kan fx være stor variation med hen-
syn til, hvordan skoler anvender
UPV’en
til at motivere eleverne. På nogle skoler kan man fx vur-
dere mange elever ikke-parate for at motivere eleverne til at tage sig sammen, mens andre skoler
kan være mere tilbageholdende med at vurdere elever ikke-parate i 8. klasse for ikke at demotivere
eleverne. Store forskelle i skolers praksis inden for kommunerne kan dermed også være årsagen til,
at det ikke er muligt at konstatere et klart mønster på kommunalt niveau i forhold til demografi og
andelen af uddannelsesparate.
Den sammenlignende kommunale analyse med hensyn til uddannelsesparathed er således kom-
pleks, fordi flere forhold spiller ind på, hvor mange elever der vurderes ikke-parate, og hvor mange
elever der ændrer status fra ikke-parat i 8. klasse til parat i 9. klasse. Vi kan på baggrund af
EVA’s
rapporter om UPV pege på følgende afgørende faktorer:
Demografi: Hvor store udfordringer står de enkelte kommuner og skoler over for i forhold til elev-
grundlaget? Dette kan være antallet af elever, der vurderes ikke-parate, men også karakteren af
de udfordringer, de ikke-parate elever har.
Vurderingspraksis: Hvordan anvender kommuner og skoler UPV som værktøj over for eleverne?
Opfølgningspraksis: I hvilken udstrækning følges
der op på UPV’en?
Indsatser for ikke-parate: Hvilke typer af indsatser anvendes som støtte til de ikke-parate elever?
De forskellige rammebetingelser og praksisser på skoler inden for samme kommune kan dermed
sløre mønstre med hensyn til sammenhænge på kommuneniveau.
7
EVA,
7: ”Fra
ikke-parat til parat
Analyse af uddannelsesparathedsvurderinger i 8., 9. og 10. klasse”.
Analysen baserede sig på en
spørgeskemaundersøgelse blandt skoleledere på landets skoler og omhandlede skolers UPV-praksis. Ud fra svarene fra spørgeske-
maet blev der dannet et indeks over skolernes UPV-praksis, hvorudfra skolerne blev inddelt i tre kategorier: 1) meget ambitiøs UPV-
praksis, 2) ambitiøs UPV-praksis, 3) mindre ambitiøs UPV-praksis.
Danmarks Evalueringsinstitut
23
UNU, Alm.del - 2017-18 - Bilag 172: EVA’s rapport Uddannelsesparathedsvurderingen 2018: Udvikling i uddannelsesparathedsvurderingerne i 8., 9. og 10. klasse, fra undervsiningsministeren
1942426_0024.png
Appendiks A
Data og metode
Afgrænsning af populationen
Som det fremgår af indledningen (afsnit 2.2), er der i analysen foretaget en afgrænsning af popula-
tionen for at få et overensstemmende og sammenligneligt analysegrundlag. Afgrænsningen af po-
pulationen er foretaget i tre trin:
1.
Elever, der ikke går på specialskoler, sorteres fra.
2.
Elever, der ikke har registreret en UPV, sorteres fra.
3.
Elever, der hverken har tilkendegivet interesse for en gymnasial uddannelse eller en erhvervs-
uddannelse, sorteres fra.
8
Nedenfor ses startpopulationen før frasorteringen (tabel A.1) og andelen af elever, der frasorteres
ved hvert trin (tabel A.2, A.3 og A.4).
FIGUR A.1
Startpopulationer før frasortering
2014/15
8. klasse
9. klasse
10. klasse
Kilde:
Optagelse.dk.
66.332
-
-
2015/16
66.565
68.845
-
2016/17
65.068
69.850
36.843
2017/18
67.960
67.606
36.888
Som det fremgår af tabel A.1, er der på optagelse.dk registreret 66.332-67.960 8.-klasseelever i sko-
leårene 2014/15 til 2017/18. Heraf frasorteres 2-3 % af eleverne, fordi de går på specialskoler (tabel
A.2), derefter 4-8 % af eleverne, fordi de ikke har en UPV (tabel A.3), og til sidst 0-2 % af eleverne,
fordi de ikke har tilkendegivet interesse for en gymnasial uddannelse eller erhvervsuddannelse.
Den endelige analysepopulation ender således på 59.679-60.848 8.-klasseelever (tabel C.5), hvilket
udgør en andel på 90-91 % af den totale population af elever i 8. klasse, afhængigt af skoleår.
8 Elever, der i 8. klasse i 2017/18 har tilkendegivet interesse for HF, indgår i analysepopulationen.
Danmarks Evalueringsinstitut
24
UNU, Alm.del - 2017-18 - Bilag 172: EVA’s rapport Uddannelsesparathedsvurderingen 2018: Udvikling i uddannelsesparathedsvurderingerne i 8., 9. og 10. klasse, fra undervsiningsministeren
1942426_0025.png
Uddannelsesparathedsvurderingen 2018
Appendiks A
Data
og metode
FIGUR A.2
Trin 1: andel af elever på specialskole, fordelt på klassetrin og skoleår
2014/15
8. klasse
9. klasse
10. klasse
Kilde:
Optagelse.dk.
2 % (n = 66.332)
-
-
2015/16
3 % (n = 66.565)
6 % (n = 68.845)
-
2016/17
3 % (n = 65.068)
6 % (n = 69.850)
7 % (n = 36.843)
2017/18
3 % (n = 67.960)
6 % (n = 67.606)
8 % (n = 36.888)
I 9. klasse er der på optagelse.dk registreret 67.606-69.850 elever i skoleårene 2015/16 til 2017/18
(tabel A.1). Heraf frasorteres 6 % af eleverne, fordi de går på specialskoler (tabel A.2), derefter 3 % af
eleverne, fordi de ikke har en UPV (tabel A.3), og til sidst 2 % af eleverne, fordi de ikke har tilkende-
givet interesse for en gymnasial uddannelse eller erhvervsuddannelse.
Den endelige analysepopulation for 9.-klasser ender således på 60.886-62.717 elever
(tabel C.5), hvilket udgør en andel på 89-91 % af den totale population af elever i 9. klasse, af-
hængigt af skoleår.
FIGUR A.3
Trin 2: andel af elever på almene skoler, der ikke har en UPV, fordelt på
klassetrin og skoleår
2014/15
8. klasse
9. klasse
10. klasse
Kilde:
Optagelse.dk.
8 % (n = 64.699)
-
-
2015/16
4 % (n = 64.637)
3 % (n = 65.924)
-
2016/17
4 % (n = 63.145)
3 % (n = 64.845)
7 % (n = 34.176)
2017/18
6 % (n = 65.782)
3 % (n = 63.677)
5 % (n = 34.017)
Det fremgår yderligere af tabel A.1, at der på optagelse.dk er registreret 36.843-36.888 elever i 10.
klasse i skoleårene 2016/17 til 2017/18. Heraf frasorteres 7-8 % af eleverne, fordi de går på special-
skoler (tabel A.2), derefter 5-7 % af eleverne, fordi de ikke har en UPV (tabel A.3), og til sidst 3 % af
eleverne, fordi de ikke har tilkendegivet interesse for en gymnasial uddannelse eller erhvervsud-
dannelse.
Den endelige analysepopulation ender således på 31.076-31.465 10.-klasseelever
(tabel C.5), hvilket udgør en andel på 84-85 % af den totale population af elever i 10. klasse, af-
hængigt af skoleår.
Danmarks Evalueringsinstitut
25
UNU, Alm.del - 2017-18 - Bilag 172: EVA’s rapport Uddannelsesparathedsvurderingen 2018: Udvikling i uddannelsesparathedsvurderingerne i 8., 9. og 10. klasse, fra undervsiningsministeren
1942426_0026.png
Uddannelsesparathedsvurderingen 2018
Appendiks A
Data
og metode
FIGUR A.4
Trin 3: andel af elever på almene skoler og med overordnet UPV, der ikke
har tilkendegivet interesse for hverken erhvervsuddannelse eller
gymnasial uddannelse, fordelt på klassetrin og skoleår
2014/15
8. klasse
9. klasse
10. klasse
Kilde: Optagelse.dk.
0 % (n = 59.679)
-
-
2015/16
2 % (n = 61.856)
2 % (n = 63.928)
-
2016/17
2 % (n = 60.352)
2 % (n = 63.196)
3 % (n = 31.907)
2017/18
1 % (n = 61.767)
2 % (n = 61.922)
3 % (n = 32.413)
Det er forskellige populationer, der danner grundlag for resultaterne i de forskellige dele af rappor-
ten: I kapitel 2 om udviklingen i UPV indgår analyser af alle ni populationer, mens kapitel 3 om
kommunale forskelle i UPV bygger på data fra 8. klasse i 2016/17 og 9. klasse i 2017/18.
Operationalisering af UPV
Elevernes parathed vurderes i forhold til den uddannelse, de planlægger at søge ind på, dvs. at det
er vurderet, om de er parate til enten erhvervsuddannelse, en gymnasial uddannelse eller begge,
hvis de tilkendegiver interesse for begge typer af uddannelse. Da en elev kan tilkendegive interesse
for både erhvervsuddannelse og gymnasial uddannelse, har nogle elever en vurdering i forhold til
både erhvervsuddannelse og gymnasial uddannelse.
Alle elever bliver også overordnet parathedsvurderet på baggrund af de specifikke vurderinger til
hhv. erhvervsuddannelse og gymnasial uddannelse og i 8. klasse i 2017/18 hhv. erhvervsuddan-
nelse, treårig gymnasial uddannelse og HF. Elever, der har tilkendegivet interesse for mere end én
uddannelse, fx både erhvervsuddannelse og gymnasial uddannelse eller treårig gymnasial uddan-
nelse og HF, skal vurderes parate til alle ønskede uddannelser for at blive vurderet overordnet pa-
rate. Således vil elever optræde som ikke-parate i den overordnede UPV, hvis fx en elev, der har til-
kendegivet interesse for både erhvervsuddannelse og gymnasial uddannelse, er vurderet parat til
erhvervsuddannelse, men ikke-parat til gymnasial uddannelse.
I alle analyser bruger vi den overordnede vurdering som mål for uddannelsesparathed. Denne op-
gørelse samler opgørelserne fra de to specifikke vurderinger med hensyn til erhvervsuddannelse
og gymnasial uddannelse. En elev, der har tilkendegivet interesse for både erhvervsuddannelse og
gymnasial uddannelse, vil således have både en vurdering med hensyn til erhvervsuddannelse og
en vurdering med hensyn til gymnasial uddannelse, men vil også have en samlet vurdering. Elever,
der vurderes parate til erhvervsuddannelse, men ikke-parate til en gymnasial uddannelse, vil
fremgå af den overordnede vurdering som ikke-parate.
Desværre opstår der i registeret nogle problemer med overførslen af UPV’erne fra år til år.
Proble-
met er, at data for nogle elever ikke opdateres mellem 8. og 9. klasse. Årsagen til problemet er, at
ønsker og elementer af vurderingen foretaget i 8. klasse automatisk overføres til 9. klasse og kun
ændres, hvis skolen aktivt ændrer registreringen af elevens ønsker og vurdering. Den faglige vurde-
ring vil dog altid blive ændret i forhold til de indrapporterede standpunktskarakterer i 9. klasse.
Danmarks Evalueringsinstitut
26
UNU, Alm.del - 2017-18 - Bilag 172: EVA’s rapport Uddannelsesparathedsvurderingen 2018: Udvikling i uddannelsesparathedsvurderingerne i 8., 9. og 10. klasse, fra undervsiningsministeren
Uddannelsesparathedsvurderingen 2018
Appendiks A
Data
og metode
Eleven kan fx have ønsket kun gymnasial uddannelse i 8. klasse og kun erhvervsuddannelse i
9. klasse, men i data stadig optræde, som om han eller hun ønsker begge uddannelser i 9. klasse,
da ønsket i 9. klasse er arvet fra 8. klasse.
Problemet forekommer kun for elever, der vurderes i 9. og 10. klasse, og kun for de elever, der til-
kendegiver interesse for både erhvervsuddannelse og en gymnasial uddannelse i 8. klasse og ikke
ændrer deres tilkendegivelse af uddannelsesinteresser i 9. eller 10. klasse. Det er desuden væsent-
ligt at bemærke, at problemet ikke har nogen betydning for søgetallene og for, hvilke uddannelser
eleverne faktisk søger. Det vedrører kun den statistiske opgørelse af de UPV’er, som bliver foretaget
i perioden november-januar i 9. klasse.
STIL har foretaget en vurdering af omfanget af problemet og peger på, at det gælder ca. 15-20 % af
populationen i 9. og 10. klasse, der potentielt kan være behæftet med fejl i deres samlede UPV. I
disse tilfælde er det muligt, at det kun er den ene af de to interessetilkendegivelser, der er rigtig. I
princippet er det dog også muligt, at de alle er helt rigtige.
Danmarks Evalueringsinstitut
27
UNU, Alm.del - 2017-18 - Bilag 172: EVA’s rapport Uddannelsesparathedsvurderingen 2018: Udvikling i uddannelsesparathedsvurderingerne i 8., 9. og 10. klasse, fra undervsiningsministeren
1942426_0028.png
Appendiks B
Lovgrundlaget
9
Alle elever i folkeskolen, i den kommunale ungdomsskole, på frie grundskoler (friskoler og privat-
skoler), på efterskoler, på husholdningsskoler og på håndarbejdsskoler skal vurderes med hensyn
til deres uddannelsesparathed.
Vurderingsprocessen indledes i 8. klasse, hvor skolen skal vurdere elevens faglige, personlige og
sociale forudsætninger for at påbegynde og gennemføre en ungdomsuddannelse. Alle tre kriterier
skal være opfyldt, for at eleven kan vurderes uddannelsesparat.
FIGUR B.1
De tre forudsætninger for at blive vurderet uddannelsesparat
Forudsætninger
Elevens skole skal sørge for, at elevens sociale og personlige forudsætninger vurderes. Der er tale
om en helhedsvurdering, hvori der indgår en afvejning af elevens forudsætninger inden for (mini-
mum) følgende områder:
Personlige forudsætninger:
4.
Motivation for uddannelse og lyst til læring
9 Kilde: Undervisningsministeriet, 2014, BEK nr. 839 af 30.6.2014 (historisk) og BEK nr. 775 af 14.6.2017 (gældende).
Danmarks Evalueringsinstitut
28
UNU, Alm.del - 2017-18 - Bilag 172: EVA’s rapport Uddannelsesparathedsvurderingen 2018: Udvikling i uddannelsesparathedsvurderingerne i 8., 9. og 10. klasse, fra undervsiningsministeren
Uddannelsesparathedsvurderingen 2018
Appendiks B
Lovgrundlaget
5.
Selvstændighed, herunder at eleven tager initiativ i forbindelse med opgaveløsning
6.
Ansvarlighed, herunder at eleven er forberedt til timerne
7.
Mødestabilitet, herunder rettidighed og lav fraværsgrad
8.
Valgparathed med hensyn til det forestående valg af ungdomsuddannelse eller andet.
Sociale forudsætninger:
1.
Samarbejdsevne, herunder at kunne løse opgaver sammen med andre, overholde fælles afta-
ler og bidrage positivt til fællesskabet
2.
Respekt, herunder at udvise forståelse for andre mennesker
3.
Tolerance, herunder at kunne samarbejde med mennesker, der er forskellige fra en selv.
Faglige forudsætninger:
De faglige forudsætninger vurderes forskelligt afhængigt af både klassetrin, årgang, og hvilken ud-
dannelse eleven har tilkendegivet interesse for.
I 8. klasse sker vurderingen af elevernes faglige forudsætninger på baggrund af elevernes opnåede
standpunktskarakterer. I skoleårene 2014/15 til 2016/17 opfylder elever, der har opnået mindst 4,0 i
gennemsnit af standpunktskaraktererne i 8. klasse, de faglige forudsætninger for at være uddan-
nelsesparate i 8. klasse. I skoleåret 2017/18 skal elever, der har tilkendegivet interesse for en treårig
gymnasial uddannelse, opnå et gennemsnit af standpunktskarakterer på mindst 5,0 for at opfylde
de faglige forudsætninger for at blive uddannelsesparate i 8. klasse. Elever, der har tilkendegivet
interesse for enten erhvervsuddannelse eller HF, skal fortsat opnå et gennemsnit af standpunkts-
karaktererne på 4,0 for at opfylde de faglige forudsætninger for at blive vurderet uddannelsespa-
rate i 8. klasse.
I 9. klasse og 10. klasse opfylder elever, der har tilkendegivet interesse for en erhvervsuddannelse,
de faglige forudsætninger for at være uddannelsesparate, hvis de har mindst 2,0 i gennemsnit af
standpunktskaraktererne i fagene dansk og matematik.
For elever, der har tilkendegivet interesse for en treårig gymnasial ungdomsuddannelse, indgår ele-
vens standpunkts- og prøvekarakterer i grundlaget for vurderingen af de faglige forudsætninger.
Fra skoleåret 2018/19, dvs. næste skoleår, skal elever, der i 9. og 10. klasse har tilkendegivet inte-
resse for en gymnasial uddannelse, også vurderes ud fra standpunktskarakterer. Elever, der har til-
kendegivet interesse for en treårig gymnasial uddannelse, skal opnå et gennemsnit på minimum
5,0 i de afsluttende standpunktskarakterer i 9. eller 10. klasse, mens elever, der har tilkendegivet
interesse for HF, skal opnå minimum 4,0 i gennemsnit i de afsluttende standpunktskarakterer for at
opfylde de faglige forudsætninger for at blive vurderet uddannelsesparat i 9. eller 10. klasse.
Procedure for vurderingen
Det er skolens ansvar at sikre, at oplysninger om elevens standpunktskarakterer, sociale og per-
sonlige forudsætninger og interesse for ungdomsuddannelse er tilkendegivet, så oplysningerne er
til rådighed på Optagelse.dk senest 1. december i det pågældende skoleår.
På dette datagrundlag indkredser UU de elever, der ikke opfylder forudsætningerne for at være ud-
dannelsesparate i 8. klasse. UU skal afgøre, om eleven forventes at være uddannelsesparat efter 9.
klasse, ved at foretage en helhedsvurdering af, om elevens faglige, sociale og personlige forudsæt-
ninger vil være tilstrækkelige til, at eleven kan gennemføre den ønskede ungdomsuddannelse,
Danmarks Evalueringsinstitut
29
UNU, Alm.del - 2017-18 - Bilag 172: EVA’s rapport Uddannelsesparathedsvurderingen 2018: Udvikling i uddannelsesparathedsvurderingerne i 8., 9. og 10. klasse, fra undervsiningsministeren
Uddannelsesparathedsvurderingen 2018
Appendiks B
Lovgrundlaget
uden at der iværksættes en særligt målrettet indsats. Der skal i forbindelse med vurderingen læg-
ges særlig vægt på det faglige niveau i dansk og matematik samt andre fag, som har betydning for
den ungdomsuddannelse, eleven har tilkendegivet interesse for.
Vurderingen skal dermed medvirke til, at eleven får den støtte og vejledning, vedkommende har
brug for, for at blive parat til en ungdomsuddannelse efter grundskolen.
Danmarks Evalueringsinstitut
30
UNU, Alm.del - 2017-18 - Bilag 172: EVA’s rapport Uddannelsesparathedsvurderingen 2018: Udvikling i uddannelsesparathedsvurderingerne i 8., 9. og 10. klasse, fra undervsiningsministeren
1942426_0031.png
Appendiks C
UPV på
kommuneniveau
TABEL C.1
UPV i 8. klasse i skoleåret 2016/17 og elevens tilkendegivelse af interesse,
fordelt på kommuner
Andel,
ikke-parate
Aabenraa Kommune
Aalborg Kommune
Aarhus Kommune
Albertslund Kommune
Allerød Kommune
Assens Kommune
Ballerup Kommune
Billund Kommune
Bornholms Regionskommune
Brøndby Kommune
Brønderslev Kommune
Dragør Kommune
Egedal Kommune
Esbjerg Kommune
Faaborg-Midtfyn Kommune
Fanø Kommune
Favrskov Kommune
Faxe Kommune
Fredensborg Kommune
Fredericia Kommune
Frederiksberg Kommune
Frederikshavn Kommune
Frederikssund Kommune
27 %
22 %
20 %
32 %
20 %
24 %
29 %
25 %
36 %
39 %
30 %
23 %
20 %
30 %
32 %
-
22 %
32 %
23 %
28 %
22 %
30 %
31 %
Andel, parate
Andel, der har tilkendegivet
interesse for EUD
61 %
49 %
60 %
53 %
30 %
45 %
55 %
48 %
59 %
50 %
69 %
30 %
33 %
32 %
74 %
100 %
54 %
53 %
61 %
28 %
60 %
61 %
51 %
n
73 %
78 %
80 %
68 %
80 %
76 %
71 %
75 %
64 %
61 %
70 %
77 %
80 %
70 %
68 %
-
78 %
68 %
77 %
72 %
78 %
70 %
69 %
680
1.888
3.034
263
339
484
574
246
410
303
435
181
562
1.226
547
30
580
367
531
557
816
611
465
Danmarks Evalueringsinstitut
31
UNU, Alm.del - 2017-18 - Bilag 172: EVA’s rapport Uddannelsesparathedsvurderingen 2018: Udvikling i uddannelsesparathedsvurderingerne i 8., 9. og 10. klasse, fra undervsiningsministeren
1942426_0032.png
Uddannelsesparathedsvurderingen 2018
Appendiks C
UPV på kommuneniveau
Andel,
ikke-parate
Furesø Kommune
Gentofte Kommune
Gladsaxe Kommune
Glostrup Kommune
Greve Kommune
Gribskov Kommune
Guldborgsund Kommune
Haderslev Kommune
Halsnæs Kommune
Hedensted Kommune
Helsingør Kommune
Herlev Kommune
Herning Kommune
Hillerød Kommune
Hjørring Kommune
Høje-Taastrup Kommune
Hørsholm Kommune
Holbæk Kommune
Holstebro Kommune
Horsens Kommune
Hvidovre Kommune
Ikast-Brande Kommune
Ishøj Kommune
Jammerbugt Kommune
Kalundborg Kommune
Kerteminde Kommune
Københavns Kommune
Køge Kommune
Kolding Kommune
Læsø Kommune
Langeland Kommune
Lejre Kommune
Lemvig Kommune
Lolland Kommune
23 %
18 %
25 %
40 %
35 %
30 %
40 %
32 %
36 %
31 %
28 %
34 %
26 %
36 %
26 %
28 %
22 %
27 %
23 %
23 %
44 %
26 %
38 %
30 %
36 %
25 %
32 %
26 %
27 %
-
33 %
21 %
14 %
43 %
Andel, parate
Andel, der har tilkendegivet
interesse for EUD
35 %
33 %
43 %
50 %
54 %
45 %
48 %
55 %
48 %
86 %
50 %
46 %
52 %
44 %
46 %
61 %
56 %
31 %
55 %
49 %
53 %
61 %
40 %
69 %
59 %
68 %
45 %
53 %
61 %
60 %
43 %
28 %
72 %
48 %
n
77 %
82 %
75 %
60 %
65 %
70 %
60 %
68 %
64 %
69 %
72 %
66 %
74 %
64 %
74 %
72 %
78 %
73 %
77 %
77 %
57 %
74 %
62 %
70 %
64 %
75 %
68 %
74 %
73 %
-
67 %
79 %
86 %
57 %
486
956
847
167
554
453
608
536
260
618
686
256
767
549
644
559
321
883
648
942
492
439
221
452
438
234
4.016
749
1.057
15
83
317
238
426
Danmarks Evalueringsinstitut
32
UNU, Alm.del - 2017-18 - Bilag 172: EVA’s rapport Uddannelsesparathedsvurderingen 2018: Udvikling i uddannelsesparathedsvurderingerne i 8., 9. og 10. klasse, fra undervsiningsministeren
1942426_0033.png
Uddannelsesparathedsvurderingen 2018
Appendiks C
UPV på kommuneniveau
Andel,
ikke-parate
Lyngby-Taarbæk Kommune
Mariagerfjord Kommune
Middelfart Kommune
Morsø Kommune
Næstved Kommune
Norddjurs Kommune
Nordfyns Kommune
Nyborg Kommune
Odder Kommune
Odense Kommune
Odsherred Kommune
Randers Kommune
Rebild Kommune
Ringkøbing-Skjern Kommune
Ringsted Kommune
Rødovre Kommune
Roskilde Kommune
Rudersdal Kommune
Samsø Kommune
Silkeborg Kommune
Skanderborg Kommune
Skive Kommune
Slagelse Kommune
Sønderborg Kommune
Solrød Kommune
Sorø Kommune
Stevns Kommune
Struer Kommune
Svendborg Kommune
Syddjurs Kommune
Tårnby Kommune
Thisted Kommune
Tønder Kommune
Vallensbæk Kommune
18 %
21 %
18 %
27 %
25 %
44 %
26 %
26 %
39 %
28 %
28 %
30 %
20 %
22 %
28 %
30 %
21 %
23 %
42 %
26 %
30 %
34 %
31 %
35 %
14 %
32 %
33 %
26 %
21 %
27 %
37 %
32 %
28 %
28 %
Andel, parate
Andel, der har tilkendegivet
interesse for EUD
43 %
53 %
40 %
41 %
65 %
56 %
55 %
58 %
78 %
39 %
41 %
52 %
55 %
45 %
60 %
54 %
32 %
51 %
72 %
42 %
64 %
62 %
54 %
40 %
20 %
45 %
35 %
79 %
51 %
48 %
40 %
62 %
71 %
65 %
n
82 %
79 %
82 %
73 %
75 %
56 %
74 %
74 %
61 %
72 %
72 %
70 %
80 %
78 %
72 %
70 %
79 %
77 %
58 %
74 %
70 %
66 %
69 %
65 %
86 %
68 %
67 %
74 %
79 %
74 %
63 %
68 %
72 %
72 %
566
544
482
255
940
346
336
315
312
1.817
342
1.048
352
760
402
366
1.054
605
43
1.092
803
492
775
827
276
355
209
258
572
468
445
526
550
207
Danmarks Evalueringsinstitut
33
UNU, Alm.del - 2017-18 - Bilag 172: EVA’s rapport Uddannelsesparathedsvurderingen 2018: Udvikling i uddannelsesparathedsvurderingerne i 8., 9. og 10. klasse, fra undervsiningsministeren
1942426_0034.png
Uddannelsesparathedsvurderingen 2018
Appendiks C
UPV på kommuneniveau
Andel,
ikke-parate
Varde Kommune
Vejen Kommune
Vejle Kommune
Vesthimmerlands Kommune
Viborg Kommune
Vordingborg Kommune
Ærø Kommune
Total
33 %
30 %
24 %
42 %
29 %
37 %
9%
28 %
Andel, parate
Andel, der har tilkendegivet
interesse for EUD
55 %
54 %
46 %
43 %
55 %
62 %
100 %
51 %
n
67 %
70 %
76 %
58 %
71 %
63 %
91 %
72 %
574
513
1.370
407
1.190
468
45
59.353
Kilde:
Optagelse.dk
og Undervisningsministeriets institutionsregister, 2017.
Note: Celler, der indeholder under fem individer, er blændet af diskretionshensyn.
TABEL C.2
UPV i 9. klasse i skoleåret 2017/18 og elevens tilkendegivelse af interesse,
fordelt på kommuner
Andel,
ikke-parate
Aabenraa Kommune
Aalborg Kommune
Aarhus Kommune
Ærø Kommune
Albertslund Kommune
Allerød Kommune
Assens Kommune
Ballerup Kommune
Billund Kommune
Bornholms Regionskommune
Brøndby Kommune
Brønderslev Kommune
Dragør Kommune
Egedal Kommune
Esbjerg Kommune
Faaborg-Midtfyn Kommune
Fanø Kommune
16 %
12 %
14 %
18 %
25 %
9%
19 %
19 %
20 %
20 %
19 %
19 %
13 %
12 %
17 %
17 %
9%
Andel, parate
Andel, der har tilkendegivet
interesse for EUD
63 %
45 %
49 %
-
61 %
28 %
63 %
59 %
51 %
50 %
55 %
60 %
25 %
32 %
41 %
71 %
-
n
84 %
88 %
86 %
82 %
75 %
91 %
81 %
81 %
80 %
80 %
81 %
81 %
87 %
88 %
83 %
83 %
91 %
612
1.707
2.867
50
272
349
537
537
265
355
313
397
166
525
1.114
747
34
Danmarks Evalueringsinstitut
34
UNU, Alm.del - 2017-18 - Bilag 172: EVA’s rapport Uddannelsesparathedsvurderingen 2018: Udvikling i uddannelsesparathedsvurderingerne i 8., 9. og 10. klasse, fra undervsiningsministeren
1942426_0035.png
Uddannelsesparathedsvurderingen 2018
Appendiks C
UPV på kommuneniveau
Andel,
ikke-parate
Favrskov Kommune
Faxe Kommune
Fredensborg Kommune
Fredericia Kommune
Frederiksberg Kommune
Frederikshavn Kommune
Frederikssund Kommune
Furesø Kommune
Gentofte Kommune
Gladsaxe Kommune
Glostrup Kommune
Greve Kommune
Gribskov Kommune
Guldborgsund Kommune
Haderslev Kommune
Halsnæs Kommune
Hedensted Kommune
Helsingør Kommune
Herlev Kommune
Herning Kommune
Hillerød Kommune
Hjørring Kommune
Høje-Taastrup Kommune
Hørsholm Kommune
Holbæk Kommune
Holstebro Kommune
Horsens Kommune
Hvidovre Kommune
Ikast-Brande Kommune
Ishøj Kommune
Jammerbugt Kommune
Kalundborg Kommune
Kerteminde Kommune
Københavns Kommune
13 %
19 %
11 %
18 %
16 %
21 %
21 %
17 %
8%
11 %
21 %
20 %
20 %
23 %
21 %
19 %
22 %
20 %
17 %
13 %
15 %
17 %
20 %
10 %
20 %
14 %
14 %
24 %
16 %
23 %
15 %
22 %
20 %
19 %
Andel, parate
Andel, der har tilkendegivet
interesse for EUD
61 %
55 %
66 %
34 %
52 %
63 %
68 %
37 %
25 %
36 %
45 %
57 %
50 %
53 %
53 %
45 %
83 %
50 %
37 %
53 %
46 %
49 %
63 %
46 %
35 %
58 %
51 %
54 %
63 %
49 %
70 %
59 %
68 %
44 %
n
87 %
81 %
89 %
82 %
84 %
79 %
79 %
83 %
92 %
89 %
79 %
80 %
80 %
77 %
79 %
81 %
78 %
80 %
83 %
87 %
85 %
83 %
80 %
90 %
80 %
86 %
86 %
76 %
84 %
77 %
85 %
78 %
80 %
81 %
563
376
526
499
796
600
524
451
978
811
153
517
523
665
566
253
849
650
231
846
621
767
532
328
924
696
864
492
423
235
502
605
236
4.169
Danmarks Evalueringsinstitut
35
UNU, Alm.del - 2017-18 - Bilag 172: EVA’s rapport Uddannelsesparathedsvurderingen 2018: Udvikling i uddannelsesparathedsvurderingerne i 8., 9. og 10. klasse, fra undervsiningsministeren
1942426_0036.png
Uddannelsesparathedsvurderingen 2018
Appendiks C
UPV på kommuneniveau
Andel,
ikke-parate
Køge Kommune
Kolding Kommune
Læsø Kommune
Langeland Kommune
Lejre Kommune
Lemvig Kommune
Lolland Kommune
Lyngby-Taarbæk Kommune
Mariagerfjord Kommune
Middelfart Kommune
Morsø Kommune
Næstved Kommune
Norddjurs Kommune
Nordfyns Kommune
Nyborg Kommune
Odder Kommune
Odense Kommune
Odsherred Kommune
Randers Kommune
Rebild Kommune
Ringkøbing-Skjern Kommune
Ringsted Kommune
Rødovre Kommune
Roskilde Kommune
Rudersdal Kommune
Samsø Kommune
Silkeborg Kommune
Skanderborg Kommune
Skive Kommune
Slagelse Kommune
Sønderborg Kommune
Solrød Kommune
Sorø Kommune
Stevns Kommune
11 %
16 %
-
26 %
19 %
14 %
27 %
11 %
18 %
9%
19 %
15 %
25 %
19 %
19 %
22 %
19 %
21 %
17 %
18 %
14 %
16 %
21 %
13 %
12 %
-
15 %
16 %
20 %
19 %
21 %
6%
17 %
16 %
Andel, parate
Andel, der har tilkendegivet
interesse for EUD
47 %
62 %
54 %
57 %
40 %
78 %
53 %
41 %
59 %
44 %
55 %
65 %
63 %
53 %
59 %
78 %
39 %
44 %
44 %
59 %
50 %
60 %
45 %
28 %
41 %
66 %
42 %
64 %
59 %
55 %
47 %
22 %
50 %
39 %
n
89 %
84 %
-
74 %
81 %
86 %
73 %
89 %
82 %
91 %
81 %
85 %
75 %
81 %
81 %
78 %
81 %
79 %
83 %
82 %
86 %
84 %
79 %
87 %
88 %
-
85 %
84 %
80 %
81 %
79 %
94 %
83 %
84 %
710
1.073
13
128
375
326
429
599
706
560
271
948
350
331
280
355
1.744
386
976
389
870
361
364
1.058
579
65
1.005
863
424
782
819
288
343
209
Danmarks Evalueringsinstitut
36
UNU, Alm.del - 2017-18 - Bilag 172: EVA’s rapport Uddannelsesparathedsvurderingen 2018: Udvikling i uddannelsesparathedsvurderingerne i 8., 9. og 10. klasse, fra undervsiningsministeren
1942426_0037.png
Uddannelsesparathedsvurderingen 2018
Appendiks C
UPV på kommuneniveau
Andel,
ikke-parate
Struer Kommune
Svendborg Kommune
Syddjurs Kommune
Tårnby Kommune
Thisted Kommune
Tønder Kommune
Vallensbæk Kommune
Varde Kommune
Vejen Kommune
Vejle Kommune
Vesthimmerlands Kommune
Viborg Kommune
Vordingborg Kommune
Total
26 %
12 %
18 %
17 %
17 %
15 %
15 %
19 %
14 %
17 %
22 %
13 %
22 %
17 %
Andel, parate
Andel, der har tilkendegivet
interesse for EUD
68 %
46 %
55 %
41 %
57 %
65 %
62 %
56 %
57 %
47 %
49 %
51 %
68 %
51 %
n
74 %
88 %
82 %
83 %
83 %
85 %
85 %
81 %
86 %
83 %
78 %
87 %
78 %
83 %
284
835
545
424
458
651
194
581
566
1.422
534
1.265
530
60.886
Kilde:
Optagelse.dk
og Undervisningsministeriets institutionsregister, 2018.
Note: Celler, der indeholder under fem individer, er blændet af diskretionshensyn.
TABEL C.3
Andel af elever, der har ændret status fra ikke-parat til parat fra 8. klasse i
skoleåret 2016/17 til 9. klasse i skoleåret 2017/18, fordelt på kommuner
Andel af elever, der har ændret status fra ikke-parat til parat
Aabenraa Kommune
Aalborg Kommune
Aarhus Kommune
Albertslund Kommune
Allerød Kommune
Assens Kommune
Ballerup Kommune
Billund Kommune
Bornholms Regionskommune
Brøndby Kommune
Brønderslev Kommune
Dragør Kommune
50 %
48 %
45 %
32 %
69 %
47 %
50 %
31 %
48 %
57 %
55 %
59 %
n
127
302
513
77
58
89
137
42
94
98
106
29
Danmarks Evalueringsinstitut
37
UNU, Alm.del - 2017-18 - Bilag 172: EVA’s rapport Uddannelsesparathedsvurderingen 2018: Udvikling i uddannelsesparathedsvurderingerne i 8., 9. og 10. klasse, fra undervsiningsministeren
1942426_0038.png
Uddannelsesparathedsvurderingen 2018
Appendiks C
UPV på kommuneniveau
Andel af elever, der har ændret status fra ikke-parat til parat
Egedal Kommune
Esbjerg Kommune
Faaborg-Midtfyn Kommune
Fanø Kommune
Favrskov Kommune
Faxe Kommune
Fredensborg Kommune
Fredericia Kommune
Frederiksberg Kommune
Frederikshavn Kommune
Frederikssund Kommune
Furesø Kommune
Gentofte Kommune
Gladsaxe Kommune
Glostrup Kommune
Greve Kommune
Gribskov Kommune
Guldborgsund Kommune
Haderslev Kommune
Halsnæs Kommune
Hedensted Kommune
Helsingør Kommune
Herlev Kommune
Herning Kommune
Hillerød Kommune
Hjørring Kommune
Høje-Taastrup Kommune
Hørsholm Kommune
Holbæk Kommune
Holstebro Kommune
Horsens Kommune
Hvidovre Kommune
Ikast-Brande Kommune
Ishøj Kommune
54 %
53 %
58 %
-
50 %
48 %
57 %
45 %
45 %
37 %
54 %
38 %
68 %
61 %
49 %
53 %
57 %
51 %
43 %
53 %
26 %
42 %
60 %
62 %
64 %
44 %
46 %
58 %
36 %
54 %
42 %
54 %
37 %
49 %
n
96
268
145
-
98
97
100
128
154
142
128
89
158
170
53
165
109
208
127
73
140
155
73
147
158
137
136
60
204
106
159
191
75
78
Danmarks Evalueringsinstitut
38
UNU, Alm.del - 2017-18 - Bilag 172: EVA’s rapport Uddannelsesparathedsvurderingen 2018: Udvikling i uddannelsesparathedsvurderingerne i 8., 9. og 10. klasse, fra undervsiningsministeren
1942426_0039.png
Uddannelsesparathedsvurderingen 2018
Appendiks C
UPV på kommuneniveau
Andel af elever, der har ændret status fra ikke-parat til parat
Jammerbugt Kommune
Kalundborg Kommune
Kerteminde Kommune
Københavns Kommune
Køge Kommune
Kolding Kommune
Læsø Kommune
Langeland Kommune
Lejre Kommune
Lemvig Kommune
Lolland Kommune
Lyngby-Taarbæk Kommune
Mariagerfjord Kommune
Middelfart Kommune
Morsø Kommune
Næstved Kommune
Norddjurs Kommune
Nordfyns Kommune
Nyborg Kommune
Odder Kommune
Odense Kommune
Odsherred Kommune
Randers Kommune
Rebild Kommune
Ringkøbing-Skjern Kommune
Ringsted Kommune
Rødovre Kommune
Roskilde Kommune
Rudersdal Kommune
Samsø Kommune
Silkeborg Kommune
Skanderborg Kommune
Skive Kommune
Slagelse Kommune
57 %
42 %
54 %
45 %
58 %
49 %
-
48 %
56 %
48 %
46 %
57 %
57 %
65 %
45 %
44 %
40 %
46 %
34 %
31 %
43 %
35 %
54 %
46 %
52 %
45 %
47 %
57 %
58 %
-
50 %
45 %
52 %
46 %
n
116
130
48
1.070
151
223
-
21
48
21
140
88
79
62
53
197
107
61
56
102
422
75
259
54
121
80
97
188
119
-
223
191
122
199
Danmarks Evalueringsinstitut
39
UNU, Alm.del - 2017-18 - Bilag 172: EVA’s rapport Uddannelsesparathedsvurderingen 2018: Udvikling i uddannelsesparathedsvurderingerne i 8., 9. og 10. klasse, fra undervsiningsministeren
1942426_0040.png
Uddannelsesparathedsvurderingen 2018
Appendiks C
UPV på kommuneniveau
Andel af elever, der har ændret status fra ikke-parat til parat
Sønderborg Kommune
Solrød Kommune
Sorø Kommune
Stevns Kommune
Struer Kommune
Svendborg Kommune
Syddjurs Kommune
Tårnby Kommune
Thisted Kommune
Tønder Kommune
Vallensbæk Kommune
Varde Kommune
Vejen Kommune
Vejle Kommune
Vesthimmerlands Kommune
Viborg Kommune
Vordingborg Kommune
Ærø Kommune
Total
52 %
76 %
56 %
55 %
42 %
47 %
43 %
64 %
53 %
48 %
58 %
46 %
59 %
36 %
45 %
56 %
41 %
0%
49 %
n
224
33
84
51
38
94
102
142
129
102
50
124
110
261
133
268
148
4
13.019
Kilde:
Optagelse.dk
og Undervisningsministeriets institutionsregister, 2017 og 2018.
Population: elever, der har en UPV fra både 8. og 9. klasse, og som ikke har skiftet kommune fra 8. til 9. klasse.
Note: Celler, der indeholder under fem individer, er blændet af diskretionshensyn.
TABEL C.4
Andel af elever, der har skiftet kommune fra 8. klasse i 2016/17 til 9. klasse
i 2017/18, fordelt på kommune i 8. klasse
Kommuneskift
Aabenraa Kommune
Aalborg Kommune
Aarhus Kommune
Albertslund Kommune
Allerød Kommune
Assens Kommune
Ballerup Kommune
19 %
12 %
8%
5%
5%
12 %
10 %
Intet kommuneskift
81 %
88 %
92 %
95 %
95 %
88 %
90 %
n
640
1.806
2.933
255
330
472
565
Danmarks Evalueringsinstitut
40
UNU, Alm.del - 2017-18 - Bilag 172: EVA’s rapport Uddannelsesparathedsvurderingen 2018: Udvikling i uddannelsesparathedsvurderingerne i 8., 9. og 10. klasse, fra undervsiningsministeren
1942426_0041.png
Uddannelsesparathedsvurderingen 2018
Appendiks C
UPV på kommuneniveau
Kommuneskift
Billund Kommune
Bornholms Regionskommune
Brøndby Kommune
Brønderslev Kommune
Dragør Kommune
Egedal Kommune
Esbjerg Kommune
Faaborg-Midtfyn Kommune
Fanø Kommune
Favrskov Kommune
Faxe Kommune
Fredensborg Kommune
Fredericia Kommune
Frederiksberg Kommune
Frederikshavn Kommune
Frederikssund Kommune
Furesø Kommune
Gentofte Kommune
Gladsaxe Kommune
Glostrup Kommune
Greve Kommune
Gribskov Kommune
Guldborgsund Kommune
Haderslev Kommune
Halsnæs Kommune
Hedensted Kommune
Helsingør Kommune
Herlev Kommune
Herning Kommune
Hillerød Kommune
Hjørring Kommune
Høje-Taastrup Kommune
Hørsholm Kommune
Holbæk Kommune
23 %
7%
6%
13 %
9%
7%
17 %
7%
10 %
13 %
7%
7%
10 %
6%
11 %
6%
7%
5%
5%
6%
8%
9%
7%
16 %
11 %
13 %
8%
7%
20 %
12 %
8%
6%
6%
5%
Intet kommuneskift
77 %
93 %
94 %
87 %
91 %
93 %
83 %
93 %
90 %
87 %
93 %
93 %
90 %
94 %
89 %
94 %
93 %
95 %
95 %
94 %
92 %
91 %
93 %
84 %
89 %
87 %
92 %
93 %
80 %
88 %
92 %
94 %
94 %
95 %
n
237
364
291
417
176
547
1.163
525
30
558
354
520
531
792
585
453
470
946
819
160
538
437
584
519
251
594
665
244
735
536
614
542
315
867
Danmarks Evalueringsinstitut
41
UNU, Alm.del - 2017-18 - Bilag 172: EVA’s rapport Uddannelsesparathedsvurderingen 2018: Udvikling i uddannelsesparathedsvurderingerne i 8., 9. og 10. klasse, fra undervsiningsministeren
1942426_0042.png
Uddannelsesparathedsvurderingen 2018
Appendiks C
UPV på kommuneniveau
Kommuneskift
Holstebro Kommune
Horsens Kommune
Hvidovre Kommune
Ikast-Brande Kommune
Ishøj Kommune
Jammerbugt Kommune
Kalundborg Kommune
Kerteminde Kommune
Københavns Kommune
Køge Kommune
Kolding Kommune
Langeland Kommune
Lejre Kommune
Lemvig Kommune
Lolland Kommune
Lyngby-Taarbæk Kommune
Læsø Kommune
Mariagerfjord Kommune
Middelfart Kommune
Morsø Kommune
Næstved Kommune
Norddjurs Kommune
Nordfyns Kommune
Nyborg Kommune
Odder Kommune
Odense Kommune
Odsherred Kommune
Randers Kommune
Rebild Kommune
Ringkøbing-Skjern Kommune
Ringsted Kommune
Rødovre Kommune
Roskilde Kommune
Rudersdal Kommune
16 %
12 %
9%
27 %
6%
9%
8%
9%
7%
7%
11 %
6%
11 %
27 %
13 %
7%
-
14 %
8%
8%
6%
16 %
9%
10 %
10 %
7%
10 %
9%
14 %
25 %
7%
5%
6%
10 %
Intet kommuneskift
84 %
88 %
91 %
73 %
94 %
91 %
92 %
91 %
93 %
93 %
89 %
94 %
89 %
73 %
87 %
93 %
-
86 %
92 %
92 %
94 %
84 %
91 %
90 %
90 %
93 %
90 %
91 %
86 %
75 %
93 %
95 %
94 %
90 %
n
629
887
479
416
214
439
421
226
3.867
717
1.019
80
303
226
395
550
15
518
461
241
906
318
316
267
307
1.756
322
1.008
341
733
375
361
1.029
594
Danmarks Evalueringsinstitut
42
UNU, Alm.del - 2017-18 - Bilag 172: EVA’s rapport Uddannelsesparathedsvurderingen 2018: Udvikling i uddannelsesparathedsvurderingerne i 8., 9. og 10. klasse, fra undervsiningsministeren
1942426_0043.png
Uddannelsesparathedsvurderingen 2018
Appendiks C
UPV på kommuneniveau
Kommuneskift
Samsø Kommune
Silkeborg Kommune
Skanderborg Kommune
Skive Kommune
Slagelse Kommune
Sønderborg Kommune
Solrød Kommune
Sorø Kommune
Stevns Kommune
Struer Kommune
Svendborg Kommune
Syddjurs Kommune
Tårnby Kommune
Thisted Kommune
Tønder Kommune
Vallensbæk Kommune
Varde Kommune
Vejen Kommune
Vejle Kommune
Vesthimmerlands Kommune
Viborg Kommune
Vordingborg Kommune
Ærø Kommune
Total
21 %
11 %
8%
16 %
8%
16 %
6%
13 %
7%
26 %
6%
9%
6%
13 %
20 %
7%
28 %
19 %
12 %
14 %
10 %
7%
9%
10 %
Intet kommuneskift
79 %
89 %
92 %
84 %
92 %
84 %
94 %
87 %
93 %
74 %
94 %
91 %
94 %
87 %
80 %
93 %
72 %
81 %
88 %
86 %
90 %
93 %
91 %
90 %
n
39
1.046
773
466
736
800
269
345
197
251
549
455
434
503
523
205
535
492
1.328
388
1.142
442
45
57.079
Kilde:
Optagelse.dk
og Undervisningsministeriets Institutionsregister, 2017/18.
Population: elever, der har en UPV i både 8. klasse i 2016/17 og 9. klasse i 2017/18.
Note: Celler, der indeholder under fem individer, er blændet af diskretionshensyn.
Danmarks Evalueringsinstitut
43
UNU, Alm.del - 2017-18 - Bilag 172: EVA’s rapport Uddannelsesparathedsvurderingen 2018: Udvikling i uddannelsesparathedsvurderingerne i 8., 9. og 10. klasse, fra undervsiningsministeren
1942426_0044.png
Uddannelsesparathedsvurderingen 2018
Appendiks C
UPV på kommuneniveau
TABEL C.5
Andel af elever, der har skiftet kommune, fordelt på UPV i 8. klasse
Kommuneskift
Kommuneskift
UPV i 8. klasse
Ikke-parat
Parat
Total
Frekvens
1.838
4.039
5.877
Procent
12 %
10 %
10 %
Intet kommuneskift
Frekvens
13.033
38.169
51.202
Procent
88 %
90 %
90 %
Frekvens
14.871
42.208
57.079
Total
Procent
100 %
100 %
100 %
Kilde:
Optagelse.dk
og Undervisningsministeriets Institutionsregister, 2017/18.
Population: elever, der har en UPV i både 8. klasse i 2016/17 og 9. klasse i 2017/18.
TABEL C.6
Andel af elever, der har skiftet kommune, fordelt på, om eleven ændrer
status fra ikke-parat i 8. klasse til parat i 9. klasse
Kommuneskift
Ændret status fra ikke-parat i 8.
klasse til parat i 9. klasse
Intet kommuneskift
Kommuneskift
Total
Frekvens
Status uændret
Ændret status
Total
6.661
6.372
13.033
Procent
51 %
49 %
100 %
Frekvens
876
962
1.838
Procent
48 %
52 %
100 %
Frekvens
7.537
7.334
14.871
Procent
51 %
49 %
100 %
Kilde:
Optagelse.dk
og Undervisningsministeriets Institutionsregister, 2017/18.
Population: elever, der har en UPV i både 8. klasse i 2016/17 og 9. klasse i 2017/18.
Danmarks Evalueringsinstitut
44
UNU, Alm.del - 2017-18 - Bilag 172: EVA’s rapport Uddannelsesparathedsvurderingen 2018: Udvikling i uddannelsesparathedsvurderingerne i 8., 9. og 10. klasse, fra undervsiningsministeren
Uddannelsesparathedsvurderingen 2018
© 2018 Danmarks Evalueringsinstitut
Citat med kildeangivelse er tilladt
Publikationen er kun udgivet i elektronisk form på: www.eva.dk
ISBN (www) 978-87-7182-180-2
45
UNU, Alm.del - 2017-18 - Bilag 172: EVA’s rapport Uddannelsesparathedsvurderingen 2018: Udvikling i uddannelsesparathedsvurderingerne i 8., 9. og 10. klasse, fra undervsiningsministeren
1942426_0046.png
Danmarks Evalueringsinstitut (EVA) gør uddannelse og
dagtilbud bedre. Vi leverer viden, der bruges på alle niveauer
fra institutioner og skoler til kommuner og ministerier.
DANMARKS
EVALUERINGSINSTITUT
T 3555 0101
E [email protected]
H www.eva.dk