Uddannelses- og Forskningsudvalget 2017-18
UFU Alm.del Bilag 158
Offentligt
1930108_0001.png
De engelsksprogede
studerende
Registeranalyse
August 2018
UFU, Alm.del - 2017-18 - Bilag 158: Orientering om Justering af engelsksprogede uddannelser, fra uddannelses- og forskningsudvalget
1930108_0002.png
De engelsksprogede studerende
Udgivet af
Styrelsen for Forskning og Uddannelse
Bredgade 40
1260 København K
Tel.: 3544 6200
[email protected]
www.ufm.dk
Publikationen kan hentes på ufm.dk/publikationer
ISBN (elektronisk publikation): 978-87-92572-91-2
Styrelsen for Forskning og Uddannelse
2
UFU, Alm.del - 2017-18 - Bilag 158: Orientering om Justering af engelsksprogede uddannelser, fra uddannelses- og forskningsudvalget
De engelsksprogede
studerende
Registeranalyse
De engelsksprogede studerende
August 2018
Styrelsen for Forskning og Uddannelse
3
UFU, Alm.del - 2017-18 - Bilag 158: Orientering om Justering af engelsksprogede uddannelser, fra uddannelses- og forskningsudvalget
De engelsksprogede studerende
Indholdsfortegnelse
1. Sammenfatning
1.1 Sammenfatning
1.2 Metode og begreber
6
7
10
2. Overblik over de engelsksprogede studerende
2.1 Antal udbud og optag
2.2 Udviklingen i engelsk- og dansksprogede studerende
2.3 SU
2.4 Frafald og studietid
2.5 Status efter fuldførelse
12
12
13
16
17
18
3. Engelsksprogede erhvervsakademiuddannelser
3.1 Engelsksprogede erhvervsakademiuddannelser
3.2 Antallet af studerende på engelsksprogede
erhvervsakademiuddannelser
3.3 Status efter fuldførelse
22
22
24
27
4. De engelsksprogede top-up uddannelser
4.1 Tilgangen til top-up-uddannelser
4.2 Antallet af studerende på engelsksprogede top-up-uddannelser
4.1 Status efter fuldførelse
31
31
33
35
5. De engelsksprogede ordinære
professionsbacheloruddannelser
5.1 Optag og tilgang til de ordinære professionsbacheloruddannelser
5.2 Antal studerende på ordinære professionsbacheloruddannelser
5.3 Status efter fuldførelse
39
39
43
46
Styrelsen for Forskning og Uddannelse
4
UFU, Alm.del - 2017-18 - Bilag 158: Orientering om Justering af engelsksprogede uddannelser, fra uddannelses- og forskningsudvalget
De engelsksprogede studerende
6. De engelsksprogede bacheloruddannelser
6.1 Optag og tilgangen til bacheloruddannelser
6.2 Antallet af studerende på engelsksprogede bacheloruddannelser
6.3 Status efter fuldførelse
52
52
54
56
7. De engelsksprogede kandidatuddannelser
7.1 Tilgangen til kandidatuddannelser
7.2 Antallet af studerende på engelsksprogede kandidatuddannelser
7.3 Status efter fuldførelse
59
59
62
65
Styrelsen for Forskning og Uddannelse
5
UFU, Alm.del - 2017-18 - Bilag 158: Orientering om Justering af engelsksprogede uddannelser, fra uddannelses- og forskningsudvalget
De engelsksprogede studerende
1. Sammenfatning
I 2017 besluttede den daværende minister, Søren Pind, i
forståelse med erhvervsakademierne og
professionshøjskolerne at reducere optaget på
engelsksprogede erhvervsakademiuddannelser og
professionsbacheloruddannelserne, herunder de såkaldte
top-op-overbygningsuddannelser på
professionsbachelorniveau med ca. 25 procent i 2017 i
forhold til optaget i 2015. Som grundlag for beslutningen
blev der udarbejdet en analyse af de engelsksprogede
erhvervsakademiuddannelser og
professionsbacheloruddannelser. Sidenhen blev det
besluttet også at kigge på diplomingeniøruddannelserne,
som ikke var med i den første analyse, samt de øvrige
bachelor- og kandidatuddannelser på universiteterne.
Denne analyse bidrager nu til et samlet overblik over de
engelsksprogede studerende på
erhvervsakademiuddannelserne,
professionsbacheloruddannelserne, akademiske
bacheloruddannelser og kandidatuddannelser inden for
Uddannelses- og Forskningsministeriets ressort.
Styrelsen for Forskning og Uddannelse
6
UFU, Alm.del - 2017-18 - Bilag 158: Orientering om Justering af engelsksprogede uddannelser, fra uddannelses- og forskningsudvalget
De engelsksprogede studerende
1.1 Sammenfatning
Generelt
Antallet af engelsksprogede studerende er steget fra ca. 5.100 i 2002 til ca. 22.100 i
2016. Andelen af engelsksprogede studerende er steget fra 2,8 pct. i 2002 til 8,5 pct. i
2016.
I 2016 studerede 2.213 engelsksprogede studerende på en top-op professionsbachelor-
uddannelse, svarende til 32 pct. af den samlede bestand af studerende på top-op pro-
fessionsbacheloruddannelserne. 9.919 engelsksprogede studerende studerede på en
kandidatuddannelse, svarende til 15 pct. af hele bestanden på kandidatuddannelserne.
Studerende fra EU/EØS-lande udgør ca. 82 pct. af alle engelsksprogede studerende på
uddannelserne. Den største gruppe af engelsksprogede studerende kommer fra Tysk-
land.
51 pct. af alle de engelsksprogede dimittender fra uddannelserne har modtaget SU i lø-
bet af deres studietid.
Frafaldsprocenten er lavere for de engelsksprogede studerende end for de danskspro-
gede generelt, og studietiden er ligeledes generelt kortere for de engelsksprogede end
for de dansksprogede studerende.
50 pct. af de engelsksprogede dimittender fra ordinære professionsbachelor-uddannel-
ser er udrejst fra Danmark 2 år efter dimission, mens det tilsvarende er 42 pct. for en-
gelsksprogede studerende på kandidatuddannelserne.
Ledigheden er større for de engelsksprogede end for de dansksprogede dimittender in-
den for alle uddannelsestyperne.
Bacheloruddannelser på universiteterne
Optaget på engelsksprogede bacheloruddannelser på universiteterne er størst inden for
samfundsvidenskab.
Andelen af engelsksprogede studerende er 4 pct. eller derunder inden for alle hovedom-
råder på bacheloruddannelserne.
Den største andel engelsksprogede studerende på bacheloruddannelserne findes i IT-
universitetet, hvor andelen er 6 pct.
Kandidatuddannelser på universiteterne
Andelen af engelsksprogede studerende er størst inden for tekniske uddannelser på
kandidatuddannelserne, mens det højeste antal engelsksprogede studerende er gået i
gang med en samfundsvidenskabelig uddannelse i 2016.
Styrelsen for Forskning og Uddannelse
7
UFU, Alm.del - 2017-18 - Bilag 158: Orientering om Justering af engelsksprogede uddannelser, fra uddannelses- og forskningsudvalget
De engelsksprogede studerende
Det er på Danmarks Tekniske Universitet, at den største andel af engelsksprogede stu-
derende er påbegyndt en uddannelse i 2016. Det højeste antal af påbegyndte engelsk-
sprogede studerende findes på Københavns Universitet efterfulgt af Aalborg Universi-
tet.
Andelen af tilgangen af engelsksprogede studerende på Syddansk Universitet i Sønder-
borg er 61 pct., mens andelen er 36 pct. på Syddansk Universitet i Esbjerg i 2016.
Den største andel af engelsksprogede studerende ses på DTU’s kandidatuddannelser
(36 pct.) (bestand).
34 pct. af de engelsksprogede dimittender fra kandidatuddannelser er i beskæftigelse i
Danmark 2 år efter dimission. Til sammenligning er 77 pct. af de dansksprogede stude-
rende i beskæftigelse 2 år efter fuldendt uddannelse.
Andelen af engelsksprogede dimittender i beskæftigelse eller fortsat uddannelse er hø-
jest inden for sundhed (59 pct.), hvor antallet af engelsksprogede dimittender dog er
lavt, og teknik (43 pct.). Andelen af engelsksprogede dimittender, der har forladt landet
er højest inden for samfund (51 pct.).
85 pct. af de dansksprogede dimittender fra kandidatuddannelserne i 2014, der fortsat
var i landet 2 år efter dimission, var i beskæftigelse, mens dette kun gælder 58 pct. af de
engelsksprogede. Forskellen i beskæftigelsesandelen mellem de engelsk- og de dansk-
sprogede er særlig stor på det samfundsvidenskabelige område, hvor 88 pct. af de
dansksprogede og 53 pct. af de engelsksprogede er i beskæftigelse.
Andelen af engelsksprogede kandidater, der er i beskæftigelse, er højest på Roskilde
Universitet (47 pct.), Danmarks Tekniske Universitet (48 pct.) og IT
–Universitet
(49
pct.).
Ordinære professionsbacheloruddannelser (med vægt på diplomuddannelserne):
Det største optag på engelsksprogede professionsbacheloruddannelser er inden for det
tekniske område.
VIA University College har det største optag til engelsksprogede diplomingeniøruddan-
nelser, og andelen af danske statsborgere er betydelig lavere end på de 2 universiteter.
VIA University Colleges optag er udenlandske statsborgere på de engelsksprogede di-
plomingeniøruddannelser udgjorde således 80 pct. af alle optagne på de engelskspro-
gede diplomingeniøruddannelser i 2017.
Over halvdelen af de engelsksprogede studerende på ordinære professionsbachelorud-
dannelser studerer på en teknisk uddannelse. Andelen af engelsksprogede studerende
er størst inden for det økonomisk/merkantile område.
På VIA University College går 46 pct. af alle de engelsksprogede studerende, som er
indskrevet på en ordinær professionsbacheloruddannelse (1.535 personer). Københavns
Erhvervsakademi er dog den institution, der procentuelt har den største andel af en-
gelsksprogede studerende (18 pct.).
Styrelsen for Forskning og Uddannelse
8
UFU, Alm.del - 2017-18 - Bilag 158: Orientering om Justering af engelsksprogede uddannelser, fra uddannelses- og forskningsudvalget
1930108_0009.png
De engelsksprogede studerende
De engelsksprogede studerende udgjorde over halvdelen (53 pct.) af de studerende på
diplomingeniøruddannelserne på VIA University College og Syddansk Universitet (60
pct.), men kun 6 pct. på Danmarks Tekniske Universitet.
Inden for det teknisk videnskabelige område er 55 pct. af de engelsksprogede dimitten-
der ikke i Danmark 2 år efter fuldførelse.
82 pct. af de engelsksprogede dimittender fra UC Syddanmark er ikke i Danmark 2 år
efter fuldførelse. Til sammenligning er 7 pct. af de dansksprogede dimittender fra
samme institution ikke i Danmark 2 år efter fuldførelse.
Erhvervsakademiuddannelserne
1
:
Andelen af engelsksprogede studerende i 2016 på erhvervsakademiuddannelserne er
størst inden for det IT-faglige område og det økonomisk-merkantile område. Over halv-
delen af tilgangen til erhvervsakademiuddannelserne af engelsksprogede studerende
var til det økonomisk-merkantile område.
I 2016 er andelen af engelsksprogede studerende på erhvervsakademiuddannelserne
størst på Erhvervsakademi Kolding, hvor andelen er 40 pct. Antalsmæssigt var det dog
på Professionshøjskolen Erhvervsakademi Sjælland, at der var størst tilgang af engelsk-
sprogede studerende.
Især inden for det designfaglige,- økonomisk-merkantile,- og det tekniske område var
der flest dimittender, som ikke er i Danmark 2 år efter afsluttet uddannelse
Erhvervsakademi Kolding er det erhvervsakademi, som har den største andel af en-
gelsksprogede studerende fra erhvervsakademiuddannelserne, som er udrejst efter
fuldførelse (opgjort to år efter fuldførelse).
Inden for alle faglige områder er en mindre andel af de engelsksprogede dimittender fra
erhvervsakademiuddannelserne, som er i Danmark 2 år efter dimission, i beskæftigelse
end af de dansksprogede dimittender. På det tekniske område er forskellen på beskæf-
tigelsesgraden blandt de engelsksprogede og de dansksprogede studerende størst.
På Erhvervsakademi Lillebælt er forskellen på beskæftigelsesgraden blandt de engelsk-
sprogede og de dansksprogede studerende størst. Endvidere er det på erhvervsakade-
miet Lillebælt, Erhvervsakademi Kolding og Professionshøjskolen VIA University College,
at den laveste andel er i beskæftigelse 2 år efter dimission.
Top-up-uddannelserne:
Andelen af engelsksprogede studerende i 2016 er størst inden for det økonomisk/mer-
kantile område og medie, kommunikation og it. Over halvdelen af tilgangen til top-up-
uddannelser af engelsksprogede studerende er til en økonomisk/merkantil uddannelse.
I 2016 er andelen af engelsksprogede studerende på top-uddannelserne størst på Er-
hvervsakademi Kolding, hvor andelen er 59 pct. (bestand). Den største antal af engelsk-
sprogede studerende var dog på Københavns Erhvervsakademi (KEA).
Især inden for design og det økonomisk/merkantile område er dimittenderne ikke i Dan-
mark 2 år efter afsluttet uddannelse.
1
For erhvervsakademi- og professionsbacheloruddannelser (herunder top-up uddannelser) skal det understreges at
den justering af studiepladser som blev gennemført i 2017 ikke er slået igennem i disse tal.
Styrelsen for Forskning og Uddannelse
9
UFU, Alm.del - 2017-18 - Bilag 158: Orientering om Justering af engelsksprogede uddannelser, fra uddannelses- og forskningsudvalget
1930108_0010.png
De engelsksprogede studerende
På VIA University College og Erhvervsakademi Kolding er over halvdelen af de engelsk-
sprogede dimittender fra top-up-uddannelserne ikke i Danmark to år efter fuldførelse.
Ser man på de dimittender, der fortsat er i DK to år efter dimission, er en mindre andel
af de engelsksprogede dimittender i beskæftigelse end af de dansksprogede på alle
fagområder. På det tekniske område er forskellen på beskæftigelsesgraden blandt de
engelsksprogede og de dansksprogede på 40 procentpoint, og blandt de engelskspro-
gede dimittender fra dette område er kun 39 pct. i beskæftigelse.
Mange engelsksprogede dimittender fra det økonomisk/merkantile område og fra me-
die, kommunikation og it videreuddanner sig.
På Professionshøjskolen UC Nordjylland er det kun 17 pct. af de engelsksprogede dimit-
tender, som stadig er i Danmark 2 år efter afsluttet uddannelse, som er i beskæftigelse.
34 pct. er i uddannelse og må altså være fortsat med en anden uddannelse efter deres
top-up-uddannelse.
1.2 Metode og begreber
Udgangspunktet for analysen er en individbaseret registeropgørelse udarbejdet på
baggrund af Danmarks Statistisk registre. Analysen tager dermed udgangspunkt i de
studerende og dimittenderne ved en videregående uddannelsesinstitution og ikke i
selve uddannelserne. Selve definitionen af de engelsksprogede studerende findes i den
følgende faktaboks:
Definition af engelsk- og dansksprogede studerende og dimittender
En engelsksprogede studerende eller dimittend er en person, der ikke er dansk eller
øvrig nordisk statsborger og som ikke har en tidligere uddannelse i Danmark
(grundskole eller ungdomsuddannelse).
En dansksprogede studerende eller dimittend er en person, der har dansk eller et
andet nordisk statsborgerskab samt øvrige statsborgere med en dansk grundskole
eller ungdomsuddannelse
De engelsksprogede analyseres som en samlet gruppe på en videregående uddannelse
over en kam samt på hovedområde-, og institutionsniveau mht. antal og andele af det
samlede antal studerende og i forhold til udrejse, arbejdsmarkedsstatus mv. Gruppen
sammenlignes hvor relevant med gruppen af dansksprogede studerende eller dimitten-
der.
Metoden og definitionen er de samme, som tidligere er blevet anvendt til en lignende re-
gisteranalyse af de engelsksprogede erhvervsakademi- og professionsbacheloruddan-
nelser. I analyserne af de engelsksprogede erhvervsakademi- og professionsbachelor-
uddannelser blev det antaget, at de engelsksprogede studerende læste på en udbudt
Styrelsen for Forskning og Uddannelse
10
UFU, Alm.del - 2017-18 - Bilag 158: Orientering om Justering af engelsksprogede uddannelser, fra uddannelses- og forskningsudvalget
De engelsksprogede studerende
engelsksproget uddannelse, og at de udgjorde hovedparten af de studerende på disse
uddannelser. Årsagen til denne antagelse er, at der som udgangspunkt altid skal opret-
tes et dansk uddannelsesudbud, hvis der oprettes et engelsksproget uddannelsesudbud,
hvorfor størstedelen af de studerende på det engelske udbud derfor må antages at
være engelsksprogede. Den samme regel gælder ikke for universiteternes kandidatud-
dannelser og her kan de engelsksprogede studerende i princippet læse på en udbudt
dansksproget uddannelse men følge engelsksprogede fag. Desuden udgør danske stu-
derende ofte hovedparten af de studerende på engelsksprogede universitetsuddannel-
ser, så der er langt fra et entydigt billede og sammenhæng mellem engelsksprogede ud-
dannelser og engelsksprogede studerende.
Det skal bemærkes, at gruppen af engelsksprogede dimittender på de enkelte hoved-
områder og uddannelsesinstitutioner/afdelinger kan være forholdsvis begrænset, hvor-
for opgørelser i denne analyse fordelt på hovedområder og uddannelsesinstitutioner/af-
delinger bør tages med forbehold. Dette skyldes, at institutioner og hovedområder med
under 10 personer ikke vises i tabeller og figurer i rapporten.
Analysen er baseret på tre opgørelser:
1.
2.
3.
Optag på engelsksprogede uddannelser via Den Koordinerede Tilmelding
Aktivitet på uddannelserne (tilgang, fuldførte, afbrudte, studietid mv.)
Fuldførtes efterfølgende arbejdsmarkedstilknytning, bopæl og uddannelsesakti-
vitet, opgjort årligt
Analysen af optag adskiller sig fra de øvrige opgørelser ved at se på de engelskspro-
gede uddannelser og ikke de engelsksprogede studerende. Der kan være dansksprogede
studerende på engelsksprogede uddannelser, ligesom der kan være engelsksprogede
studerende på dansksprogede uddannelser, som følger engelsksprogede fag (hvilke især
kan være tilfældet på kandidatuddannelser).
Styrelsen for Forskning og Uddannelse
11
UFU, Alm.del - 2017-18 - Bilag 158: Orientering om Justering af engelsksprogede uddannelser, fra uddannelses- og forskningsudvalget
1930108_0012.png
De engelsksprogede studerende
2. Overblik over de
engelsksprogede
studerende
2.1 Antal udbud og optag
I 2017 var der 424 engelsksprogede udbud på de danske videregående uddannelsesin-
stitutioner, hvilket udgjorde 29 pct. af de samlede 1.461 uddannelsesudbud. Tabel 2.1 vi-
ser udbuddet af engelsksprogede uddannelser i forhold til det samlede antal udbud.
Universiteternes kandidatuddannelser har den største andel af engelsksprogede udbud
(49 pct.), mens andelen på universiteternes bacheloruddannelser kun udgør 10 pct.
Tabel 2.1
Antal udbud af videregående uddannelser under Uddannelses- og Forskningsministeriets
ressort, 2017
Institutionstype
Erhvervsakademier
Uddannelsestype
Erhvervsakademiuddan-
nelser (EA)
Professionsbachelorer
Professionsbachelorer
(overbygning)
I alt
Kunstneriske og kulturelle
uddannelsesinstitutioner
Akademisk bachelor
Kandidatuddannelser
I alt
Maritime uddannelsesinsti-
tutioner
Professionsbachelorer
Øvrige korte videregående
uddannelser
I alt
Professionshøjskoler
Erhvervsakademiuddan-
nelser (EA)
Professionsbachelorer
Professionsbachelorer
(overbygning)
Øvrige mellemlange vide-
regående uddannelser
I alt
Universiteter
Akademisk bachelor
Erhvervsakademiuddan-
nelser (EA)
Kandidatuddannelser
Professionsbachelorer
9
19
9
Engelskspro-
gede udbud
41
4
35
80
Samlet an-
tal udbud
179
19
79
277
4
5
9
11
2
13
29
167
21
3
37
33
220
328
1
271
3
557
56
Andel engelsk-
sprogede udbud
23%
21%
44%
29%
0%
0%
0%
0%
0%
0%
31%
11%
43%
0%
17%
10%
0%
49%
5%
Styrelsen for Forskning og Uddannelse
12
UFU, Alm.del - 2017-18 - Bilag 158: Orientering om Justering af engelsksprogede uddannelser, fra uddannelses- og forskningsudvalget
1930108_0013.png
De engelsksprogede studerende
I alt
I alt
307
424
942
1.461
33%
29%
Anm.:
Kilde:
Tabellen viser antallet af udbud, der har været tilgang til i 2017
Uddannelses- og Forskningsministeriets beregninger på data fra Danmarks Statistik (ELEVre-
gisteret)
I 2017 blev der optaget i alt 6.950 studerende på engelsksprogede uddannelser, som
indgår i Den Koordinerede Tilmelding, jf. tabel 2.2. Derudover er der optag på kandidat-
uddannelser og top-up-uddannelser, som ikke indgår i Den Koordinerede Tilmelding.
Andelen af danske statsborgere er betydeligt større på de akademiske bacheloruddan-
nelser end på erhvervs- og professionsbacheloruddannelserne.
Tabel 2.2
Antal optagne på engelsksprogede uddannelsesudbud, 2010, 2013 og 2015-2017
Ændring 2016-2017
2010
Erhvervsakademiuddannelse
-
Heraf danske statsborgere (pct.)
2.060
14
889
25
2.528
73
5.477
Heraf danske statsborgere (pct.)
43
2013
2.447
15
1.088
38
3.466
77
7.001
50
2015
2.888
13
1.203
36
3.559
70
7.650
43
2016
2.607
16
1.363
36
3.581
68
7.551
45
2017
1.913
14
1.264
34
3.773
69
6.950
48
-601
-8
192
5
-99
-7
Antal
-694
Pct.
-27
Professionsbacheloruddannelse
-
Heraf danske statsborgere (pct.)
Akademisk bacheloruddannelse
-
I alt
-
Heraf danske statsborgere (pct.)
Anm.:
Kilde:
Tallene omfatter uddannelser med optag via Den Koordinerede Tilmelding. Uddannelser, som
ikke hører under én af de tre kategorier (erhvervsakademi-, professionsbachelor- eller bache-
loruddannelse), er placeret under uddannelser med samme længde.
Den Koordinerede Tilmelding
Det er via den Koordinerede Tilmelding muligt at opgøre antallet af engelsksprogede
uddannelsesudbud, mens registeranalysen (den øvrige del af denne analyse) er baseret
på engelsksprogede studerende opgjort på baggrund af Uddannelses- og Forsknings-
ministeriets beregninger af data fra Danmarks Statistik.
2.2 Udviklingen i engelsk- og dansksprogede studerende
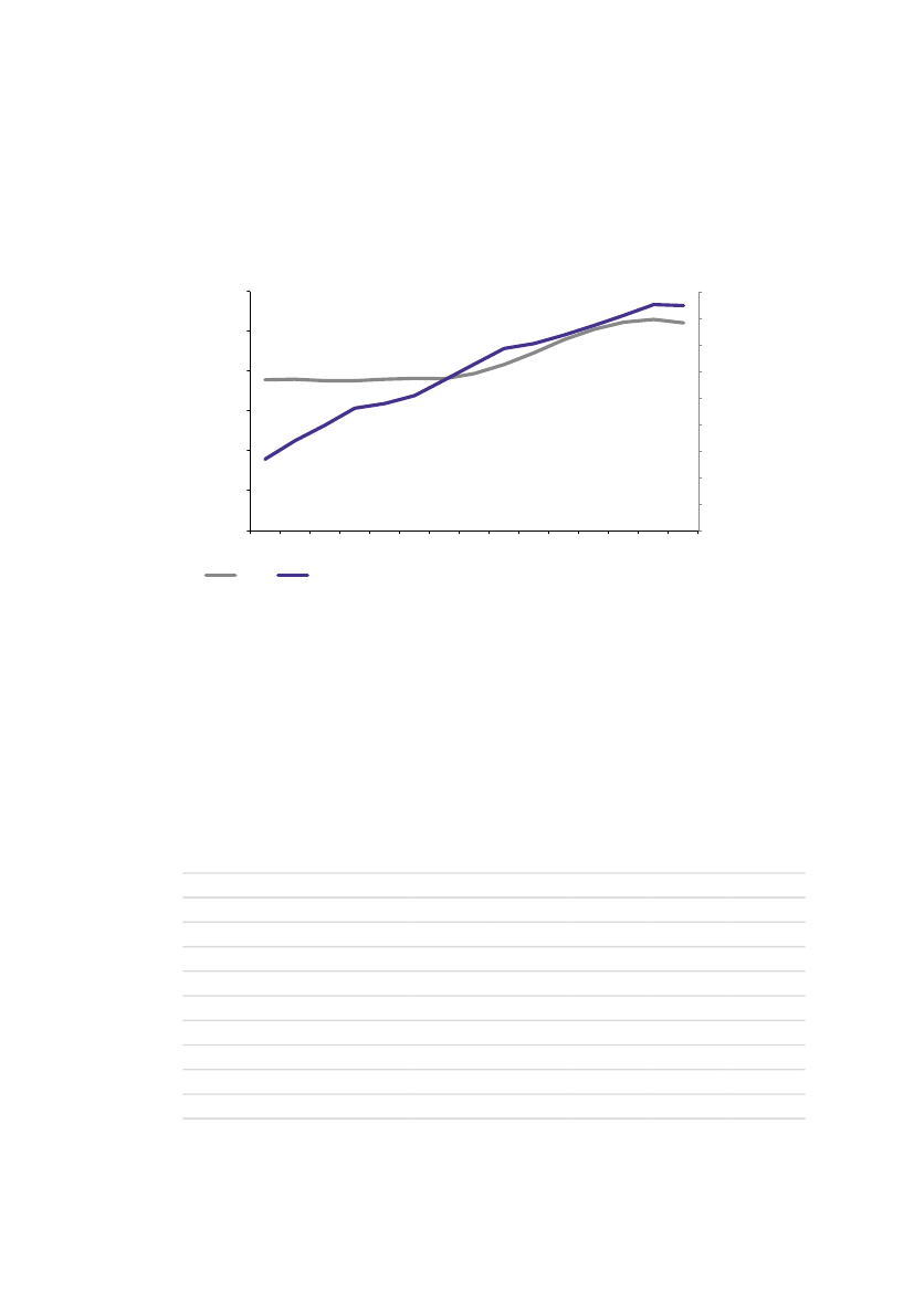
Antallet af engelsksprogede studerende er steget fra ca. 5.100 i 2002 til ca. 22.100 i
2016, dette er lidt lavere end i 2015, hvor det største antal engelsksprogede studerende
kan observeres (ca. 22.600 engelsksprogede studerende). Dertil er der også sket stig-
ninger i antallet af dansksprogede studerende fra 184.300 studerende i 2002 til 238.700
i 2016. Den procentvise stigning i dansksprogede studerende er således mindre end for
engelsksprogede studerende, og derfor udgør de engelsksprogede studerende en større
andel af alle studerende 2016 end i 2002. Engelsksprogede studerende udgjorde 2,7 pct.
af bestanden i 2002, mens de i 2016 udgjorde 8,5 pct.
Styrelsen for Forskning og Uddannelse
13
UFU, Alm.del - 2017-18 - Bilag 158: Orientering om Justering af engelsksprogede uddannelser, fra uddannelses- og forskningsudvalget
1930108_0014.png
De engelsksprogede studerende
Figur 2.1
Antal (bestand) og andel (pct.) af engelsksprogede studerende på erhvervsakademiuddan-
nelserne, professionsbacheloruddannelserne, akademiske bacheloruddannelser og kandidat-
uddannelser, 2002-2016
Bestand (alle)
300.000
Andel (eng.-spr.)
9
8
250.000
7
200.000
6
5
150.000
4
100.000
3
2
50.000
1
0
2002 2003 2004 2005 2006 2007 2008 2009 2010 2011 2012 2013 2014 2015 2016
Antal
Andel eng-spr
0
Anm. 1. Pga. et højt antal studerende med ukendt cpr. nr. i tilgangen for det seneste år (pt. 2017) er det
ikke muligt at opdele dette års tilgang i engelsk- og dansksprogede. Derfor er data for 2016 det
seneste år, der er tal for.
Kilde:
Uddannelses- og Forskningsministeriets beregninger pba. data fra Danmarks Statistik
Tabel 2.3 viser bestanden af henholdsvis dansk- og engelsksprogede studerende opdelt
på uddannelsestyper. Andelen af engelsksprogede studerende er størst på top-op pro-
fessionsbacheloruddannelserne efterfulgt af erhvervsakademiuddannelserne i 2016, jf.
tabel 2.3.
Tabel 2.3
Antal (bestand) af dansk- og engelsksprogede studerende fordelt på uddannelsestyperne,
2014-2016
2014
Akademiske bacheloruddannelser
Eng.-spr.
Dan.-spr.
I alt
Erhvervsakademiuddannelser
Eng.-spr.
Dan.-spr.
I alt
Kandidatuddannelser
Eng.-spr.
Dan.-spr.
I alt
Top-op professionsbacheloruddannelser
Eng.-spr.
2.189
78.688
80.877
4.491
20.116
24.607
9.391
58.490
67.881
1.830
2015
2.296
78.157
80.453
4.766
20.766
25.532
10.106
58.754
68.860
2.042
2016
2.232
75.717
77.949
4.398
20.612
25.010
9.919
55.320
65.239
2.213
Andel i 2016
3
97
100
18
82
100
15
85
100
32
Styrelsen for Forskning og Uddannelse
14
UFU, Alm.del - 2017-18 - Bilag 158: Orientering om Justering af engelsksprogede uddannelser, fra uddannelses- og forskningsudvalget
1930108_0015.png
De engelsksprogede studerende
Dan.-spr.
I alt
Ordinære professionsbacheloruddannel-
ser
Eng.-spr.
Dan.-spr.
I alt
Alle
Eng.-spr.
Dan.-spr.
I alt
4.006
5.836
3.318
78.597
81.915
21.219
239.897
261.116
4.146
6.188
3.370
80.223
83.593
22.580
242.046
264.626
4.680
6.893
3.357
81.876
85.233
22.119
238.205
260.324
68
100
4
96
100
8
92
100
Anm. 1. Pga. et højt antal studerende med ukendt cpr. nr. i tilgangen for de seneste år (pt. 2017) er det
ikke muligt at opdele i engelsk- og dansksprogede. Derfor er data for 2016 seneste dataår.
Anm. 2. Felter med under 10 personer vises ikke i opgørelsen.
Kilde:
Uddannelses- og Forskningsministeriets beregninger pba. data fra Danmarks Statistik
De engelsksprogede studerende kommer både fra EU/EØS-lande og lande uden for
EU/EØS. Studerende fra EU/EØS-lande udgør hovedparten, jf. tabel 2.4.
Tabel 2.4
Antal engelsksprogede studerende (bestand) fordelt på EU/EØS-lande og øvrige lande, 2016
Antal
EU/EØS-lande
Akademisk bachelor
Erhvervsakademiuddannel-
ser
Kandidatuddannelser
Professionsbachelorer
Alle
1.867
3.832
7.615
4.732
18.046
Andre
365
566
2.304
838
4.073
Andel
EU/EØS-lande
84
87
77
85
82
Andre
16
13
23
15
18
I alt
100
100
100
100
100
Anm.:
Kilde:
Se anmærkning til figur 2.3.
Uddannelses- og Forskningsministeriets beregninger pba. data fra Danmarks Statistik
Tabel 2.5 belyser hvilke lande, som de engelsksprogede studerende kommer fra.
Tabel 2.5
Bestand af engelsksprogede studerende fra de 20 største afsenderlande, 2014-2016 (Sorte-
ret efter 2016)
2014
1.
2.
3.
4.
5.
6.
7.
8.
Tyskland
Rumænien
Polen
Litauen
Slovakiet
Bulgarien
Ungarn
Italien
2.978
2.498
1.164
1.568
796
1.307
1.080
821
2015
3.074
2.564
1.299
1.424
1.135
1.352
1.224
970
2016
2.840
2.314
1.336
1.296
1.270
1.213
1.213
1.050
Styrelsen for Forskning og Uddannelse
15
UFU, Alm.del - 2017-18 - Bilag 158: Orientering om Justering af engelsksprogede uddannelser, fra uddannelses- og forskningsudvalget
1930108_0016.png
De engelsksprogede studerende
9.
10.
11.
12.
13.
Spanien
Letland
Kina
Tjekkiet
809
876
698
314
502
586
488
356
312
347
236
294
18.030
21.219
85
889
825
721
488
581
571
449
392
330
343
295
320
19.246
22.580
85
858
764
665
618
597
582
390
368
356
322
310
306
18.668
22.119
84
Storbritan-
nien
14. Grækenland
15.
16.
17.
18.
19.
20.
Estland
Frankrig
USA
Nepal
Portugal
Nederlan-
dene
I alt top 20
I alt
Andel top
20
Anm.:
Kilde:
Se anmærkning til figur 2.3.
Uddannelses- og Forskningsministeriets beregninger pba. data fra Danmarks Statistik
Den største gruppe af engelsksprogede studerende kommer fra Tyskland (2.840 stude-
rende) svarende til cirka 13 pct. af samtlige engelsksprogede studerende på uddannel-
serne. Dertil er den største stigning blandt de 20 største afsenderlande fra 2014 til 2016
fra Tjekkiet (ca. 49 pct.).
2.3 SU
Af tabel 2.6 ses, hvor mange af de engelsksprogede dimittender, der på et tidspunkt i
løbet af deres uddannelse har modtaget SU.
Tabel 2.6
Antal og andel af engelsksprogede dimittender på universitetsuddannelser, der har modta-
get SU, 2012-2016
2012
Akademiske bacheloruddannelser
Ingen SU
SU
I alt
Kandidatuddannelser
Ingen SU
SU
I alt
Erhvervsakademiuddannelser
Ingen SU
SU
I alt
333
102
435
1.476
214
1.690
981
85
1.066
2013
329
168
497
1.656
302
1.958
1.038
183
1.221
2014
244
225
469
1.654
569
2.223
851
495
1.346
2015
223
249
472
1.728
908
2.636
749
696
1.445
2016
230
351
581
2.133
1.674
3.807
684
947
1.631
Andel 2016 (pct.)
40
60
100
56
44
100
42
58
100
Styrelsen for Forskning og Uddannelse
16
UFU, Alm.del - 2017-18 - Bilag 158: Orientering om Justering af engelsksprogede uddannelser, fra uddannelses- og forskningsudvalget
1930108_0017.png
De engelsksprogede studerende
Ordinære professionsbacheloruddannelser
Ingen SU
SU
I alt
450
152
602
275
53
328
3.515
606
4.121
568
174
742
498
92
590
4.089
919
5.008
564
222
786
447
228
675
3.760
1.739
5.499
400
328
728
407
406
813
3.507
2.587
6.094
307
405
712
392
522
914
3.746
3.899
7.645
43
57
100
43
57
100
49
51
100
Top-op professionsbacheloruddannelser
Ingen SU
SU
I alt
Alle
Ingen SU
SU
I alt
Anm.: Se anmærkning til figur 2.3.
Kilde: Uddannelses- og Forskningsministeriets beregninger pba. data fra Danmarks Statistik
Godt halvdelen (51 pct.) af alle de engelsksprogede dimittender fra uddannelserne har
modtaget SU i løbet af deres studietid.
2.4 Frafald og studietid
Med henblik på at belyse om de engelsksprogede studerende har et andet gennemførel-
sesmønster end de dansksprogede studerende analyseres frafald og studietid for de
studerende i tabel 2.7 og 2.8.
Tabel 2.7
Frafaldsprocent inden for 1 år efter tilgang, pct., 2014-2016
2014
Akademiske bacheloruddannelser
Eng.-spr.
Dan.-spr.
I alt
Erhvervsakademiuddannelser
Eng.-spr.
Dan.-spr.
I alt
Kandidatuddannelser
Eng.-spr.
Dan.-spr.
I alt
Top-op professionsbacheloruddannelser
Eng.-spr.
Dan.-spr.
I alt
Ordinære professionsbacheloruddannel-
ser
Eng.-spr.
Dan.-spr.
I alt
12,4
18,1
17,8
17,2
20,4
19,7
4,8
7,0
6,7
12,7
13,4
13,1
14,8
14,5
14,5
2015
14,9
17,1
16,9
20,3
19,0
19,3
5,6
7,0
6,8
12,5
12,6
12,6
16,1
14,2
14,4
2016
12,8
16,9
16,6
16,5
19,8
19,1
4,5
5,8
5,6
10,7
13,7
12,6
18,1
15,1
15,3
Anm.:
Kilde:
Se anmærkning figur 2.3.
Uddannelses- og Forskningsministeriets beregninger pba. data fra Danmarks Statistik
Styrelsen for Forskning og Uddannelse
17
UFU, Alm.del - 2017-18 - Bilag 158: Orientering om Justering af engelsksprogede uddannelser, fra uddannelses- og forskningsudvalget
1930108_0018.png
De engelsksprogede studerende
Generelt er frafaldsprocenten i 2016 lavere for de engelsksprogede studerende end for
de dansksprogede på samtlige uddannelsestyper med undtagelse af studerende på or-
dinære professionsbacheloruddannelser samt i 2015 på erhvervsakademiuddannelserne.
I tabel 2.8 ses en opgørelse over studietiderne for de studerende. Studietiden er generelt
kortere for de engelsksprogede studerende end for de dansksprogede studerende på
nær i 2015 for top-op professionsbacheloruddannelserne.
Tabel 2.8
Studietider for dimittender fordelt på uddannelsestype, måneder, 2014-2016
2014
Akademiske bacheloruddannelser
Eng.-spr.
Dan.-spr.
I alt
Erhvervsakademiuddannelser
Eng.-spr.
Dan.-spr.
I alt
Kandidatuddannelser
Eng.-spr.
Dan.-spr.
I alt
Top-op professionsbacheloruddannelser
Eng.-spr.
Dan.-spr.
I alt
Ordinære professionsbacheloruddannelser
Eng.-spr.
Dan.-spr.
I alt
33,3
36,8
36,7
23,3
23,9
23,8
28,0
33,1
32,5
18,3
18,6
18,5
29,3
43,7
43,0
2015
34,6
36,8
36,8
23,8
24,1
24,1
27,7
32,4
31,7
19,0
18,9
18,9
35,3
43,8
43,5
2016
34,3
36,6
36,5
23,6
24,4
24,2
27,3
30,6
30,1
18,3
18,6
18,5
39,5
43,7
43,6
Anm.:
Kilde:
Se anmærkning til figur 2.3.
Uddannelses- og Forskningsministeriets beregninger pba. data fra Danmarks Statistik
2.5 Status efter fuldførelse
Af tabel 2.9 fremgår det i hvor høj grad, de engelsksprogede studerende bliver og finder
beskæftigelse i Danmark efter endt uddannelse. Opgørelsen tager udgangspunkt i alle
engelsksprogede dimittender, herunder dem som sidenhen er udrejst, som opgøres i en
selvstændig kategori.
Tabel 2.9
Status for engelsksprogede og dansksprogede dimittender (2014) 2 år efter afsluttet uddan-
nelse fordelt på uddannelsestype, pct.
Beskæftiget
Ledig
Udrejst
I uddan- Udenfor arbejdsstyr-
nelse
ken
I alt
Antal
Styrelsen for Forskning og Uddannelse
18
UFU, Alm.del - 2017-18 - Bilag 158: Orientering om Justering af engelsksprogede uddannelser, fra uddannelses- og forskningsudvalget
1930108_0019.png
De engelsksprogede studerende
Akademiske bacheloruddannelser
Eng.-spr.
Dan.-spr.
Kandidatuddannelser
Eng.-spr.
Dan.-spr.
Erhvervsakademiuddannelser (EA)
Eng.-spr.
Dan.-spr.
Ordinære professionsbacheloruddan-
nelser
Eng.-spr.
Dan.-spr.
Top-op professionsbacheloruddan-
nelser
Eng.-spr.
Dan.-spr.
7
4
7
72
34
77
42
12
49
73
18
76
49
28
58
2
6
1
9
11
8
9
11
9
6
9
5
13
14
13
5
32
4
13
42
9
8
24
4
6
50
4
14
29
7
85
54
86
1
1
0
36
46
34
9
15
9
17
18
16
2
5
2
6
12
5
5
8
4
6
8
6
7
10
6
100
100
100
100
100
100
100
100
100
100
100
100
100
100
100
17.561
486
17.075
17.534
2.247
15.287
7.484
1.349
6.135
16.761
830
15.931
2.280
679
1.601
Anm.:
Kilde:
Personer, der er i gang med en ph.d. uddannelse,
indgår under kategorien ”Beskæftiget”.
Uddannelses- og Forskningsministeriets beregninger pba. data fra Danmarks Statistik
Den højeste andel af engelsksprogede dimittender, som ikke længere er i befolkningen 2
år efter endt uddannelse, findes på ordinære professionsbacheloruddannelser (50 pct.)
efterfulgt af studerende på kandidatuddannelser (42).
Figur 2.2. illustrer forskellene i status for de engelsksprogede dimittender på de forskel-
lige uddannelsestyper.
Styrelsen for Forskning og Uddannelse
19
UFU, Alm.del - 2017-18 - Bilag 158: Orientering om Justering af engelsksprogede uddannelser, fra uddannelses- og forskningsudvalget
1930108_0020.png
De engelsksprogede studerende
Figur 2.2
Status for engelsksprogede dimittender (2014) 2 år efter afsluttet uddannelse
Pct.andele
100
Pct.andele
100
80
80
60
60
40
40
20
20
0
Aka. bac.
Kand.
Erh.-akad.
Ord. Prof.-bach.
Top-op prof.-bach.
0
Beskæftiget
Ledig
Udrejst
I uddannelse
Udenfor arbejdsstyrken
Anm.:
Anm.:
Kilde:
Se anmærkning til tabel 2.9.
Personer der er i gang med en ph.d. uddannelse indgår under kategorien ”Beskæftiget”.
Uddannelses- og Forskningsministeriets beregninger pba. data fra Danmarks Statistik
I tabel 2.10 vises arbejdsmarkedsstatus for henholdsvis de engelsk- og de danskspro-
gede dimittender, der fortsat er i landet 2 år efter dimission. Fra kandidatuddannelser er
58 pct. af de engelsksprogede dimittender, der stadig er i Danmark 2 år efter, i beskæf-
tigelse. For dimittenderne fra erhvervsakademiuddannelserne er det 16 pct. Akademiske
bacheloruddannelser placerer sig med den laveste andel af dimittender, der er beskæf-
tiget 2 år efter endt uddannelse
i stedet fortsætter flertallet i uddannelse.
Tabel 2.10
Arbejdsmarkedsstatus for dimittender (2014) fra uddannelser, der fortsat er i landet 2 år ef-
ter afsluttet uddannelse
Beskæftiget Ledig
Akademiske bacheloruddannelser
Eng.-spr.
Dan.-spr.
Kandidatuddannelser
Eng.-spr.
Dan.-spr.
Erhvervsakademiuddannelser
Eng.-spr.
Dan.-spr.
Ordinære professionsbachelor-uddannel-
ser
Eng.-spr.
7
6
7
83
58
85
46
16
51
78
37
2
8
2
10
20
9
10
14
9
6
18
I uddan-
nelse
89
79
89
1
1
1
39
60
35
10
30
Udenfor arbejdsstyr-
ken
I
alt
Antal
2 100 17.561
7 100
486
2 100 17.075
7 100 17.534
21 100
2.247
6 100 15.287
6 100
10 100
5 100
7.484
1.349
6.135
6 100 16.761
16 100
830
Styrelsen for Forskning og Uddannelse
20
UFU, Alm.del - 2017-18 - Bilag 158: Orientering om Justering af engelsksprogede uddannelser, fra uddannelses- og forskningsudvalget
1930108_0021.png
De engelsksprogede studerende
Dan.-spr.
Top-op professionsbacheloruddannelser
Eng.-spr.
Dan.-spr.
79
57
39
63
6
15
20
14
10
19
25
17
6 100 15.931
8 100
15 100
6 100
2.280
679
1.601
Anm 1.: Anm.: Se anmærkning til tabel 2.9.
Anm.2: Anm.: I kategorien "Antal" er vist alle dimittender fra 2014, også dem som er udrejst og som ikke
indgår i de fire kolonner vedr. arbejdsmarkedsstatus. Ca. 5.077 af de 17.561 personer er udrejst
på opgørelsestidspunktet.
Kilde:
Uddannelses- og Forskningsministeriets beregninger pba. data fra Danmarks Statistik
Styrelsen for Forskning og Uddannelse
21
UFU, Alm.del - 2017-18 - Bilag 158: Orientering om Justering af engelsksprogede uddannelser, fra uddannelses- og forskningsudvalget
1930108_0022.png
De engelsksprogede studerende
3. Engelsksprogede
erhvervsakademiuddan
nelser
3.1 Engelsksprogede erhvervsakademiuddannelser
I tabel 3.1 ses, at det største optag på engelsksprogede erhvervsakademiuddannelser er
inden for det økonomisk-merkantile område. Optaget på engelsksprogede erhvervs-
akademiuddannelser er faldet efter 2015 men især mellem 2016 og 2017.
Tabel 3.1
Optag på engelsksprogede erhvervsakademiuddannelser fordelt på faglige områder
2010
Det bio- og laboratorietekniske om-
råde
Det designfaglige område
Det It- faglige område
Det tekniske område
Det økonomisk- merkantile område
Erhvervsakademiuddannelser i alt
53
186
736
22
1.063
2.060
2013
48
297
824
86
1.192
2.447
2015
34
248
700
132
1.774
2.888
2016
56
260
743
110
1.438
2.607
2017
47
146
429
111
1.180
1.913
Anm.1.: Tallene omfatter uddannelser med optag via Den Koordinerede Tilmelding. Uddannelser, som
ikke hører under én af de tre kategorier (erhvervsakademi-, professionsbachelor- eller bache-
loruddannelse), er placeret under uddannelser med samme længde.
Anm.2.: Optaget viser de studerende som har opnået optagelse via Den Koordinerede Tilmelding i juli.
Dette antal adskiller sig fra tilgangstallene, som vises i andre tabeller og som illustrerer antallet
af individer, som er startet på institutionen/uddannelsen i perioden 1. oktober året før til 30.
september i året
Kilde:
Den Koordinerede Tilmelding
Tabel 3.2 viser tilgangen af henholdsvis dansk- og engelsksprogede studerende til er-
hvervsakademiuddannelserne fordelt på faglige områder. Andelen af engelsksprogede
studerende er størst inden for det IT-faglige område efterfulgt af det designfaglige om-
råde i 2016. Endvidere er over halvdelen af tilgangen til erhvervsakademiuddannelser af
engelsksprogede studerende til det økonomisk-merkantile område.
Tabel 3.2
Tilgang (antal nye studerende) til erhvervsakademiuddannelserne fordelt på dansk- og en-
gelsksprogede studerende og faglige områder, 2014-2016
2014
2015
2016
Andel 2016
Styrelsen for Forskning og Uddannelse
22
UFU, Alm.del - 2017-18 - Bilag 158: Orientering om Justering af engelsksprogede uddannelser, fra uddannelses- og forskningsudvalget
1930108_0023.png
De engelsksprogede studerende
Bio- og laboratorietekniske område
Eng.-spr.
Dan.-spr.
I alt
65
924
989
203
752
955
834
2.562
3.396
72
1.038
1.110
1.274
5.377
6.651
2.456
11.019
13.475
45
809
854
177
705
882
695
2.236
2.931
79
1.064
1.143
1.502
5.657
7.159
2.504
10.888
13.392
62
790
852
172
673
845
637
2.202
2.839
125
1.016
1.141
1.132
5.327
6.459
2.134
10.452
12.586
7
93
100
20
80
100
22
78
100
11
89
100
18
82
100
17
83
100
Designfaglige område
Eng.-spr.
Dan.-spr.
I alt
It-faglige område
Eng.-spr.
Dan.-spr.
I alt
Tekniske område
Eng.-spr.
Dan.-spr.
I alt
Økonomisk-merkantile område
Eng.-spr.
Dan.-spr.
I alt
Alle
Eng.-spr.
Dan.-spr.
I alt
Anm. 1. Pga. et højt antal studerende med ukendt cpr. nr. i tilgangen for de seneste år (pt. 2017) er det
ikke muligt at opdele i engelsk- og dansksprogede. Derfor er data for 2016 seneste dataår.
Anm. 2. Felter med færre end 10 personer vises ikke i opgørelsen og heller ikke andele, hvor beregnings-
grundlaget har færre end 10 personer.
Kilde:
Uddannelses- og Forskningsministeriets beregninger pba. data fra Danmarks Statistik
Tabel 3.3 belyser udviklingen i tilgangen af engelsksprogede studerende til erhvervs-
akademiuddannelserne fordelt på institutioner. I 2016 er andelen af engelsksprogede
studerende på erhvervsakademiuddannelserne størst på Erhvervsakademi Kolding 40
pct. Antalsmæssigt er den største tilgang af engelsksprogede studerende på Erhvervs-
akademi Sjælland.
Tabel 3.3
Tilgang (nye studerende) til erhvervsakademierne fordelt på dansk- og engelsksprogede
studerende og institutioner, 2014-2016
2014
Erhvervsakademi Dania
Eng.-spr.
Øvrige
I alt
Erhvervsakademi Kolding
Eng.-spr.
Øvrige
I alt
Erhvervsakademi MidtVest
Eng.-spr.
Øvrige
I alt
116
991
1.107
284
482
766
2015
110
1.080
1.190
330
442
772
14
321
335
2016
111
899
1.010
238
363
601
Andel 2016
11
89
100
40
60
100
Styrelsen for Forskning og Uddannelse
23
UFU, Alm.del - 2017-18 - Bilag 158: Orientering om Justering af engelsksprogede uddannelser, fra uddannelses- og forskningsudvalget
1930108_0024.png
De engelsksprogede studerende
Erhvervsakademi Sjælland
Eng.-spr.
Øvrige
I alt
325
1.048
1.373
82
455
537
256
1.286
1.542
229
1.973
2.202
288
1.247
1.535
245
1.214
1.459
12
276
288
420
969
1.389
188
461
649
2.456
11.019
13.475
344
1.014
1.358
71
537
608
258
1.320
1.578
262
1.957
2.219
219
1.297
1.516
266
1.094
1.360
298
1.038
1.336
67
446
513
274
1.340
1.614
196
1.822
2.018
202
1.381
1.583
276
1.039
1.315
22
78
100
13
87
100
17
83
100
10
90
100
13
87
100
21
79
100
Erhvervsakademi SydVest
Eng.-spr.
Øvrige
I alt
Erhvervsakademi Aarhus
Eng.-spr.
Øvrige
I alt
Erhvervsakademiet Copenhagen Business Academy
Eng.-spr.
Øvrige
I alt
Erhvervsakademiet Lillebælt
Eng.-spr.
Øvrige
I alt
Københavns Erhvervsakademi (KEA)
Eng.-spr.
Øvrige
I alt
Professionshøjskolen Metropol / Metropolitan UC
Eng.-spr.
Øvrige
I alt
Professionshøjskolen University College Nordjylland
Eng.-spr.
Øvrige
I alt
367
875
1.242
252
426
678
2.504
10.888
13.392
228
875
1.103
229
393
622
2.134
10.452
12.586
21
79
100
37
63
100
17
83
100
Professionshøjskolen VIA University College
Eng.-spr.
Øvrige
I alt
Alle
Eng.-spr.
Øvrige
I alt
Anm.:
Kilde:
Se anmærkninger til tabel 3.2.
Uddannelses- og Forskningsministeriets beregninger pba. data fra Danmarks Statistik
3.2 Antallet af studerende på engelsksprogede
erhvervsakademiuddannelser
Tabel 3.4 viser antallet af engelsksprogede studerende på erhvervsakademiuddannel-
serne fordelt på faglige områder. Ligesom ved tilgangen er andelen af engelsksprogede
studerende størst på det IT-faglige område efterfulgt af det designfaglige område. Det
Styrelsen for Forskning og Uddannelse
24
UFU, Alm.del - 2017-18 - Bilag 158: Orientering om Justering af engelsksprogede uddannelser, fra uddannelses- og forskningsudvalget
1930108_0025.png
De engelsksprogede studerende
største antal af engelsksprogede studerende findes på det økonomisk-merkantile om-
råde, hvor de studerende udgør mere end halvdelen af hele bestanden af engelskspro-
gede studerende på erhvervsakademiuddannelserne.
Tabel 3.4
Antal studerende (bestand) på erhvervsakademiuddannelserne fordelt på dansk- og en-
gelsksprogede studerende og faglige områder
2014
Bio- og laboratorietekniske område
Eng.-spr.
Dan.-spr.
I alt
Designfaglige område
Eng.-spr.
Dan.-spr.
I alt
It-faglige område
Eng.-spr.
Dan.-spr.
I alt
Sundhedsfaglige område
Eng.-spr.
Dan.-spr.
I alt
Tekniske område
Eng.-spr.
Dan.-spr.
I alt
Økonomisk-merkantile område
Eng.-spr.
Dan.-spr.
I alt
Alle
Eng.-spr.
Dan.-spr.
I alt
174
1.835
2.009
419
1.470
1.889
1.469
4.717
6.186
11
603
614
145
1.893
2.038
2.266
9.302
11.568
4.491
20.116
24.607
2015
141
1.810
1.951
382
1.430
1.812
1.527
4.548
6.075
12
635
647
148
1.916
2.064
2.550
10.123
12.673
4.766
20.766
25.532
2016
149
1.743
1.892
344
1.351
1.695
1.334
4.467
5.801
10
670
680
191
1.917
2.108
2.366
10.128
12.494
4.398
20.612
25.010
Andel 2016
8
92
100
20
80
100
23
77
100
1
99
100
9
91
100
19
81
100
18
82
100
Anm.:
Kilde:
Se anmærkninger til tabel 3.2.
Uddannelses- og Forskningsministeriets beregninger pba. data fra Danmarks Statistik
Erhvervsakademi Kolding har den største andel af engelsksprogede studerende blandt
erhvervsakademierne med en andel på 38 procent. Hertil efterfølger Professionshøjsko-
len VIA University College med en andel på 37 procent. Det største antal af engelsk-
sprogede studerende er på Professionshøjskolen University College Nordjylland.
Styrelsen for Forskning og Uddannelse
25
UFU, Alm.del - 2017-18 - Bilag 158: Orientering om Justering af engelsksprogede uddannelser, fra uddannelses- og forskningsudvalget
1930108_0026.png
De engelsksprogede studerende
Tabel 3.5
Antal og andel af engelsksprogede studerende på erhvervsakademiuddannelserne (bestand),
2014-2016
2014
Erhvervsakademi Dania
Eng.-spr.
Dan.-spr.
I alt
Erhvervsakademi Kolding
Eng.-spr.
Dan.-spr.
I alt
Erhvervsakademi MidtVest
Eng.-spr.
Dan.-spr.
I alt
Erhvervsakademi Sjælland
Eng.-spr.
Dan.-spr.
I alt
Erhvervsakademi SydVest
Eng.-spr.
Dan.-spr.
I alt
Erhvervsakademi Aarhus
Eng.-spr.
Dan.-spr.
I alt
Erhvervsakademiet Copenhagen Business Academy
Eng.-spr.
Dan.-spr.
I alt
Erhvervsakademiet Lillebælt
Eng.-spr.
Dan.-spr.
I alt
Københavns Erhvervsakademi (KEA)
Eng.-spr.
Dan.-spr.
I alt
Pharmakon
Eng.-spr.
Dan.-spr.
I alt
Professionshøjskolen Metropol / Metropolitan UC
Eng.-spr.
Dan.-spr.
I alt
Professionshøjskolen University College Nordjylland
Eng.-spr.
Dan.-spr.
I alt
Professionshøjskolen VIA University College
Eng.-spr.
606
1.915
2.521
132
820
952
527
2.331
2.858
448
3.490
3.938
470
2.189
2.659
402
2.213
2.615
10
576
586
28
580
608
771
1.782
2.553
421
220
1.806
2.026
437
741
1.178
2015
234
1.988
2.222
462
749
1.211
18
642
660
687
1.945
2.632
136
964
1.100
541
2.482
3.023
503
3.734
4.237
465
2.371
2.836
468
2.114
2.582
11
611
622
22
567
589
762
1.691
2.453
449
2016
227
1.863
2.090
416
678
1.094
16
628
644
646
2.054
2.700
115
945
1.060
534
2.549
3.083
461
3.653
4.114
395
2.501
2.896
472
2.002
2.474
10
644
654
23
558
581
610
1.679
2.289
469
Andel 2016
11
89
100
38
62
100
2
98
100
24
76
100
11
89
100
17
83
100
11
89
100
14
86
100
19
81
100
2
98
100
4
96
100
27
73
100
37
Styrelsen for Forskning og Uddannelse
26
UFU, Alm.del - 2017-18 - Bilag 158: Orientering om Justering af engelsksprogede uddannelser, fra uddannelses- og forskningsudvalget
1930108_0027.png
De engelsksprogede studerende
Dan.-spr.
I alt
Alle
Eng.-spr.
Dan.-spr.
I alt
895
1.316
4.491
20.116
24.607
843
1.292
4.766
20.766
25.532
791
1.260
4.398
20.612
25.010
63
100
18
82
100
Anm.:
Kilde:
Se anmærkninger til tabel 3.2.
Uddannelses- og Forskningsministeriets beregninger pba. data fra Danmarks Statistik
3.3 Status efter fuldførelse
I tabel 3.6 fremgår det i hvor høj grad de engelsk- og dansksprogede studerende på er-
hvervsakademiuddannelserne bliver og finder beskæftigelse i Danmark efter endt ud-
dannelse. Især inden for det designfaglige,- økonomisk-merkantile,- og det tekniske
område har dimittenderne forladt Danmark 2 år efter afsluttet uddannelse.
Tabel 3.6
Status for dansk- og engelsksprogede dimittender (2014) fra erhvervsakademiuddannel-
serne 2 år efter afsluttet uddannelse fordelt på faglige områder, pct.
Beskæfti-
get
Bio- og laboratorietekniske område
Eng.-spr.
Dan.-spr.
Designfaglige område
Eng.-spr.
Dan.-spr.
It-faglige område
Eng.-spr.
Dan.-spr.
Tekniske område
Eng.-spr.
Dan.-spr.
Økonomisk-merkantile område
Eng.-spr.
Dan.-spr.
I alt
66
28
69
26
9
31
34
14
40
73
17
75
37
10
44
42
Le-
dig
10
13
9
13
14
12
12
14
11
6
15
6
7
7
7
9
Ud-
rejst
4
19
3
10
31
3
7
17
4
4
25
3
10
26
6
8
I uddan-
nelse
13
31
11
46
38
48
42
48
40
13
31
13
41
48
39
36
Udenfor arbejdsstyr-
ken
I
Antal
alt
533
41
492
713
162
551
7 100
9 100
7 100
6 100
7 100
6 100
5 100 1.639
7 100
398
5 100 1.241
4 100
12 100
3 100
669
25
644
5 100 3.653
9 100
719
4 100 2.934
5 100 7.484
Anm.: Felter med færre end 10 personer vises ikke og heller ikke andele, hvor beregningsgrundlaget er
færre end 10 personer.
Kilde: Uddannelses- og Forskningsministeriets beregninger pba. data fra Danmarks Statistik
Erhvervsakademi Kolding har den største andel af engelsksprogede studerende, som
ikke er i Danmark to år efter fuldførelse - sammenlignet med de resterende institutio-
ner, jf. tabel 3.7.
Styrelsen for Forskning og Uddannelse
27
UFU, Alm.del - 2017-18 - Bilag 158: Orientering om Justering af engelsksprogede uddannelser, fra uddannelses- og forskningsudvalget
1930108_0028.png
De engelsksprogede studerende
Tabel 3.7
Status for dansk- og engelsksprogede dimittender (2014) fra erhvervsakademiuddannelser 2
år efter afsluttet uddannelse fordelt på institutioner, pct.
Beskæf-
tiget
Erhvervsakademi Dania
Eng.-spr.
Dan.-spr.
Erhvervsakademi Kolding
Eng.-spr.
Dan.-spr.
Erhvervsakademi Sjælland
Eng.-spr.
Dan.-spr.
Erhvervsakademi SydVest
Eng.-spr.
Dan.-spr.
Erhvervsakademi Aarhus
Eng.-spr.
Dan.-spr.
Erhvervsakademiet Copenhagen Busi-
ness Academy
Eng.-spr.
Dan.-spr.
Erhvervsakademiet Lillebælt
Eng.-spr.
Dan.-spr.
EUC Nordvest
Dan.-spr.
Københavns Erhvervsakademi (KEA)
Eng.-spr.
Dan.-spr.
Professionshøjskolen University College
Nordjylland
Eng.-spr.
Dan.-spr.
Professionshøjskolen VIA University Col-
lege
Eng.-spr.
Dan.-spr.
I alt
54
18
58
35
6
44
42
13
52
46
18
50
39
10
46
42
22
45
40
7
49
48
48
39
17
43
35
8
47
23
7
31
42
Ledig
11
16
11
8
7
9
8
4
9
9
6
10
9
12
8
6
5
6
10
13
9
15
15
7
10
7
12
16
10
13
12
14
9
Udrejst I uddan- Udenfor
nelse arbejds-
styrken
4
25
5
19
3
14
44
4
7
17
3
6
27
2
6
20
3
10
17
9
10
34
4
0
0
6
13
5
9
21
3
12
31
3
8
32
24
38
37
39
36
55
29
35
45
33
41
49
39
38
45
37
35
40
34
35
35
42
52
40
40
47
36
46
45
47
36
15
4
5
6
4
7
11
6
5
5
4
5
8
4
4
10
4
4
5
4
2
2
5
8
5
5
9
4
5
6
5
5
I alt
Antal
100
100
100
100
100
100
100
100
100
100
100
100
100
100
100
100
100
100
100
100
100
100
100
100
100
100
100
100
100
100
100
100
100
593
50
543
308
77
231
686
171
515
314
44
270
922
170
752
1.247
143
1.104
808
175
633
22
22
858
127
731
657
207
450
513
175
338
7.484
Anm.: Se anmærkning til tabel 3.6.
Kilde: Uddannelses- og Forskningsministeriets beregninger pba. data fra Danmarks Statistik
Styrelsen for Forskning og Uddannelse
28
UFU, Alm.del - 2017-18 - Bilag 158: Orientering om Justering af engelsksprogede uddannelser, fra uddannelses- og forskningsudvalget
1930108_0029.png
De engelsksprogede studerende
Da relativt få dansksprogede studerende forlader landet efter endt uddannelse sam-
menlignes arbejdsmarkedsstatus for henholdsvis engelsk- og de dansksprogede dimit-
tender, der fortsat er i landet 2 år efter dimission i tabel 3.9.
Blandt denne gruppe er der inden for alle faglige områder en mindre andel af de en-
gelsksprogede dimittender, der er i beskæftigelse sammenlignet med de dansksprogede
dimittender. Forskellen på beskæftigelsesgraden mellem de dansk- og engelsksprogede
studerende er størst indenfor det tekniske fagområde. Det økonomisk-merkantile om-
råde er det fagområde, som har den største andel af engelsksprogede studerende som
fortsat er i uddannelse 2 år efter dimission.
Tabel 3.8
Status for dansk- og engelsksprogede dimittender (2014) fra erhvervsakademiuddannelser
der fortsat er i landet 2 år efter afsluttet uddannelse 2 år efter afsluttet uddannelse fordelt
på fagområder, pct.
Beskæftiget Ledig I uddannelse Udenfor arbejdsstyrken
Bio- og laboratorietekniske område i alt
Eng.-spr.
Dan.-spr.
Designfaglige område i alt
Eng.-spr.
Dan.-spr.
It-faglige område i alt
Eng.-spr.
Dan.-spr.
Tekniske område i alt
Eng.-spr.
Dan.-spr.
Økonomisk-merkantile område i alt
Eng.-spr.
Dan.-spr.
I alt
69
34
71
29
12
32
36
17
41
76
23
78
41
13
47
46
10
16
10
14
21
12
13
17
12
6
20
6
8
10
8
10
13
38
12
51
56
49
45
58
42
14
41
13
45
65
42
39
8
11
8
7
11
6
6
8
5
4
16
4
5
12
4
6
I alt Antal
100
100
100
100
100
100
533
41
492
713
162
551
100 1.639
100
398
100 1.241
100
100
100
669
25
644
100 3.653
100
719
100 2.934
100 7.484
Anm.1.: Se anmærkning til tabel 3.6.
Anm.2.: I kategorien "Antal" er vist alle dimittender fra 2014, også dem som er udrejst og som ikke indgår
i de fire kolonner vedr. arbejdsmarkedsstatus. Ca. 587 af de 7.484 personer var udrejst på opgørel-
sestidspunktet.
Kilde: Uddannelses- og Forskningsministeriets beregninger pba. data fra Danmarks Statistik
På Erhvervsakademi Lillebælt er forskellen på beskæftigelsesgraden blandt de engelsk-
sprogede og de dansksprogede dimittender størst. Endvidere er det på Professionshøj-
skolen VIA University College og Professionshøjskolen University College Nordjylland,
at den laveste andel af de engelsksprogede dimittender er i beskæftigelse 2 år efter di-
mission.
Styrelsen for Forskning og Uddannelse
29
UFU, Alm.del - 2017-18 - Bilag 158: Orientering om Justering af engelsksprogede uddannelser, fra uddannelses- og forskningsudvalget
1930108_0030.png
De engelsksprogede studerende
Tabel 3.10
Status for dansk- og engelsksprogede dimittender (2014) fra erhvervsakademiuddannelser
der fortsat er i landet 2 år efter afsluttet uddannelse fordelt på institutioner, pct.
Beskæftiget
Erhvervsakademi Dania i alt
Eng.-spr.
Dan.-spr.
Erhvervsakademi Kolding i alt
Eng.-spr.
Dan.-spr.
Erhvervsakademi Sjælland i alt
Eng.-spr.
Dan.-spr.
Erhvervsakademi SydVest i alt
Eng.-spr.
Dan.-spr.
Erhvervsakademi Aarhus i alt
Eng.-spr.
Dan.-spr.
Erhvervsakademiet Copenhagen Business
Academy i alt
Eng.-spr.
Dan.-spr.
Erhvervsakademiet Lillebælt i alt
Eng.-spr.
Dan.-spr.
EUC Nordvest i alt
Dan.-spr.
Københavns Erhvervsakademi (KEA) i alt
Eng.-spr.
Dan.-spr.
Professionshøjskolen University College
Nordjylland i alt
Eng.-spr.
Dan.-spr.
Professionshøjskolen VIA University College
i alt
Eng.-spr.
Dan.-spr.
I alt
57
22
60
40
11
46
46
16
54
49
24
52
42
13
47
47
26
49
45
11
51
48
48
42
20
45
38
10
48
26
10
32
46
Ledig
12
19
11
9
12
9
9
4
10
10
8
10
10
15
9
6
7
6
11
20
10
15
15
8
12
7
13
20
11
15
17
14
10
I uddannelse
26
40
25
45
65
40
38
67
30
37
61
34
43
61
40
42
55
41
39
61
35
35
35
45
60
42
43
59
37
53
65
49
39
Udenfor arbejdsstyrken
6
19
5
6
11
5
8
13
6
5
7
5
5
11
4
5
12
4
5
7
4
2
2
6
9
5
6
11
4
6
8
5
6
I alt
100
100
100
100
100
100
100
100
100
100
100
100
100
100
100
100
100
100
100
100
100
100
100
100
100
100
100
100
100
100
100
100
100
Antal
593
50
543
308
77
231
686
171
515
314
44
270
922
170
752
1.247
143
1.104
808
175
633
22
22
858
127
731
657
207
450
513
175
338
7.484
Anm.: Se anmærkninger til tabel 3.9.
Kilde: Uddannelses- og Forskningsministeriets beregninger pba. data fra Danmarks Statistik
Styrelsen for Forskning og Uddannelse
30
UFU, Alm.del - 2017-18 - Bilag 158: Orientering om Justering af engelsksprogede uddannelser, fra uddannelses- og forskningsudvalget
1930108_0031.png
De engelsksprogede studerende
4. De engelsksprogede
top-up uddannelser
4.1 Tilgangen til top-up-uddannelser
Tabel 4.1 viser tilgangen af henholdsvis dansk- og engelsksprogede studerende til top-
up-uddannelserne fordelt på faglige områder. Det fremgår af tabellen, at andelen af en-
gelsksprogede studerende er størst inden for det økonomisk/merkantile område og me-
die, kommunikation og it. Over halvdelen af tilgangen til top-up-uddannelser af en-
gelsksprogede studerende er til en økonomisk/merkantil uddannelse.
Tabel 4.1
Tilgang (antal nye studerende) til top-up-uddannelser fordelt på dansk- og engelsksprogede
studerende og faglige områder, 2014-2016
2014
Design
Eng.-spr.
Dan.-spr.
I alt
Medie, kommunikation, it mv.
Eng.-spr.
Dan.-spr.
I alt
Sundhed
Eng.-spr.
Dan.-spr.
I alt
Teknik
Eng.-spr.
Dan.-spr.
I alt
Økonomisk/merkantil
Eng.-spr.
Dan.-spr.
I alt
Alle
Eng.-spr.
Dan.-spr.
I alt
130
463
593
283
594
877
13
30
43
44
146
190
622
1.060
1.682
1.092
2.293
3.385
2015
129
456
585
347
632
979
11
52
63
63
180
243
677
1.113
1.790
1.227
2.433
3.660
2016
147
464
611
425
768
1.193
-
-
-
68
200
268
688
1.341
2.029
1.333
2.812
4.145
Andel 2016
24
76
100
36
64
100
-
-
-
25
75
100
34
66
100
32
68
100
Styrelsen for Forskning og Uddannelse
31
UFU, Alm.del - 2017-18 - Bilag 158: Orientering om Justering af engelsksprogede uddannelser, fra uddannelses- og forskningsudvalget
1930108_0032.png
De engelsksprogede studerende
Anm. 1: Pga. et højt antal studerende med ukendt cpr. nr. i tilgangen for de seneste år (pt. 2017) er det
ikke muligt at opdele i engelsk- og dansksprogede. Derfor er data for 2016 seneste år i denne
tabel.
Anm. 2: Tallene vedrører kun studerende på top-op professionsbachelorer inden for Uddannelses- og
Forskningsministeriets ressortområde.
Anm. 3: Felter med under 10 personer vises ikke.
Kilde:
Uddannelses- og Forskningsministeriets beregninger pba. data fra Danmarks Statistik
Tabel 4.2 belyser udviklingen i tilgangen af engelsksprogede studerende til top-up-ud-
dannelser fordelt på institutioner. I 2016 er andelen af engelsksprogede studerende på
top-op-uddannelserne størst på Erhvervsakademi Kolding, hvor andelen er 55 pct.
Tabel 4.2
Tilgang (nye studerende) til top-up-uddannelser fordelt på dansk- og engelsksprogede stu-
derende og institutioner, 2014-2016
2014
Erhvervsakademi Dania
Eng.-spr.
Dan.-spr.
I alt
Erhvervsakademi Kolding
Eng.-spr.
Dan.-spr.
I alt
Erhvervsakademi Sjælland
Eng.-spr.
Dan.-spr.
I alt
Erhvervsakademi SydVest
Eng.-spr.
Dan.-spr.
I alt
Erhvervsakademi Aarhus
Eng.-spr.
Dan.-spr.
I alt
Erhvervsakademiet Copenhagen Business Aca-
demy
Eng.-spr.
Dan.-spr.
I alt
Erhvervsakademiet Lillebælt
Eng.-spr.
Dan.-spr.
I alt
Københavns Erhvervsakademi (KEA)
Eng.-spr.
Dan.-spr.
I alt
Professionshøjskolen University College Nordjyl-
land
Eng.-spr.
Dan.-spr.
14
16
30
100
89
189
132
160
292
38
87
125
116
306
422
128
386
514
107
228
335
180
427
607
142
262
144
65
209
115
157
272
27
95
122
138
354
492
153
469
622
120
231
351
210
439
649
188
273
2015
2016
12
11
23
104
84
188
138
145
283
39
96
135
169
493
662
159
536
695
176
360
536
232
441
673
173
294
Andel
2016
52
48
100
55
45
100
49
51
100
29
71
100
26
74
100
23
77
100
33
67
100
34
66
100
37
63
Styrelsen for Forskning og Uddannelse
32
UFU, Alm.del - 2017-18 - Bilag 158: Orientering om Justering af engelsksprogede uddannelser, fra uddannelses- og forskningsudvalget
1930108_0033.png
De engelsksprogede studerende
I alt
Professionshøjskolen VIA University College
Eng.-spr.
Dan.-spr.
I alt
Alle
Eng.-spr.
Dan.-spr.
I alt
404
132
278
410
1.092
2.293
3.385
461
122
267
389
1.227
2.433
3.660
467
128
264
392
1.333
2.812
4.145
100
33
67
100
32
68
100
Anm.:
Kilde:
Se anmærkninger til tabel 4.1.
Uddannelses- og Forskningsministeriets beregninger pba. data fra Danmarks Statistik
4.2 Antallet af studerende på engelsksprogede top-up-
uddannelser
Tabel 4.3 viser antallet af engelsksprogede studerende på top-up-uddannelserne for-
delt på faglige områder. Ligesom ved tilgangen er andelen af engelsksprogede stude-
rende størst på økonomisk/merkantile samt medie, kommunikation og it-uddannelserne.
Tabel 4.3
Antal studerende (bestand) på top-up-uddannelser fordelt på dansk- og engelsksprogede
studerende og faglige områder
2014
Design
Eng.-spr.
Dan.-spr.
I alt
Medie, kommunikation, it mv.
Eng.-spr.
Dan.-spr.
I alt
Sundhed
Eng.-spr.
Dan.-spr.
I alt
Teknik
Eng.-spr.
Dan.-spr.
I alt
Økonomisk/merkantil
Eng.-spr.
Dan.-spr.
I alt
Alle
Eng.-spr.
Dan.-spr.
I alt
192
893
1.085
444
948
1.392
21
65
86
71
221
292
1.102
1.879
2.981
1.830
4.006
5.836
2015
232
902
1.134
517
952
1.469
17
76
93
95
280
375
1.181
1.936
3.117
2.042
4.146
6.188
2016
259
900
1.159
616
1.118
1.734
-
-
-
112
341
453
1.217
2.238
3.455
2.213
4.680
6.893
Andel 2016
22
78
100
36
64
100
-
-
-
25
75
100
35
65
100
32
68
100
Styrelsen for Forskning og Uddannelse
33
UFU, Alm.del - 2017-18 - Bilag 158: Orientering om Justering af engelsksprogede uddannelser, fra uddannelses- og forskningsudvalget
1930108_0034.png
De engelsksprogede studerende
Anm.:
Kilde:
Se anmærkninger til tabel 4.1.
Uddannelses- og Forskningsministeriets beregninger pba. data fra Danmarks Statistik
Erhvervsakademi Kolding har den største andel engelsksprogede studerende blandt de
studerende på top-up-uddannelserne i 2016. På alle institutioner på nær Erhvervsaka-
demi Sjælland, Erhvervsakademi SydVest og Erhvervsakademi Aarhus er andelen steget
mellem 2014 og 2016.
Tabel 4.4
Andelen af engelsksprogede studerende på top-up-uddannelser(bestand), pct., 2014-2016
2014
Erhvervsakademi Dania
Eng.-spr.
Dan.-spr.
I alt
Erhvervsakademi Kolding
Eng.-spr.
Dan.-spr.
I alt
Erhvervsakademi Sjælland
Eng.-spr.
Dan.-spr.
I alt
Erhvervsakademi SydVest
Eng.-spr.
Dan.-spr.
I alt
Erhvervsakademi Aarhus
Eng.-spr.
Dan.-spr.
I alt
Erhvervsakademiet Copenhagen Business Aca-
demy
Eng.-spr.
Dan.-spr.
I alt
Erhvervsakademiet Lillebælt
Eng.-spr.
Dan.-spr.
I alt
Københavns Erhvervsakademi (KEA)
Eng.-spr.
Dan.-spr.
I alt
Professionshøjskolen University College Nordjyl-
land
Eng.-spr.
Dan.-spr.
I alt
Professionshøjskolen VIA University College
Eng.-spr.
Dan.-spr.
I alt
Alle
Eng.-spr.
Dan.-spr.
26
31
57
161
128
289
243
234
477
60
148
208
203
544
747
223
738
961
190
388
578
241
773
1.014
245
413
658
234
498
732
1.830
4.006
2015
17
20
37
202
115
317
227
268
495
54
169
223
221
581
802
254
732
986
216
394
610
300
746
1.046
299
474
773
248
528
776
2.042
4.146
2016
21
23
44
174
123
297
222
256
478
55
160
215
278
763
1.041
272
875
1.147
271
525
796
344
757
1.101
320
533
853
253
521
774
2.213
4.680
Andel 2016
48
52
100
59
41
100
46
54
100
26
74
100
27
73
100
24
76
100
34
66
100
31
69
100
38
62
100
33
67
100
32
68
Styrelsen for Forskning og Uddannelse
34
UFU, Alm.del - 2017-18 - Bilag 158: Orientering om Justering af engelsksprogede uddannelser, fra uddannelses- og forskningsudvalget
1930108_0035.png
De engelsksprogede studerende
I alt
5.836
6.188
6.893
100
Anm.:
Kilde:
Se anmærkning til tabel 4.1..
Uddannelses- og Forskningsministeriets beregninger pba. data fra Danmarks Statistik
4.1 Status efter fuldførelse
I hvor høj grad, de engelsksprogede top-up-studerende bliver og finder beskæftigelse i
Danmark efter endt uddannelse, fremgår af tabel 4.5. Især inden for design, teknik og
det økonomisk/merkantile område er dimittenderne ikke i Danmark 2 år efter afsluttet
uddannelse.
Tabel 4.5
Status for engelsksprogede dimittender (2014) fra top-up-uddannelser 2 år efter afsluttet
uddannelse fordelt på faglige områder, pct.
Beskæftiget
Design, prof. bach.
Eng.-spr.
Dan.-spr.
Medie, kommunikation, it mv., prof.
bach.
Eng.-spr.
Dan.-spr.
Teknik, prof. bach.
Eng.-spr.
Dan.-spr.
Økonomisk/merkantil, prof. bach.
Eng.-spr.
Dan.-spr.
I alt
52
11
58
51
36
58
67
27
78
45
26
56
49
Ledig
14
14
14
13
13
13
13
21
11
13
15
12
13
Udrejst
15
63
7
11
20
6
8
31
2
16
29
9
14
I uddan-
nelse
12
4
14
19
20
18
8
13
7
18
19
18
17
Udenfor arbejdsstyr- I alt
ken
7 100
8
7
7
11
5
4
8
2
7
11
6
7
100
100
100
100
100
100
100
100
100
100
100
100
Antal
465
68
397
627
203
424
82
18
64
1.080
389
691
2.280
Anm.: Felter med under 10 personer vises ikke.
Kilde: Uddannelses- og Forskningsministeriets beregninger pba. data fra Danmarks Statistik
På VIA University College og Erhvervsakademi Kolding er over halvdelen af de engelsk-
sprogede dimittender fra top-up-uddannelserne ikke i Danmark to år efter fuldførelse,
jf. tabel 4.6..
Tabel 4.6
Status for engelsksprogede dimittender (2014) fra top-up-uddannelser 2 år efter afsluttet
uddannelse fordelt på institutioner, pct.
Beskæftiget
Erhvervsakademi Kolding
33
Ledig
15
Udrejst
33
I uddan-
nelse
12
Udenfor arbejds-
styrken
8
I alt
100
Antal
108
Styrelsen for Forskning og Uddannelse
35
UFU, Alm.del - 2017-18 - Bilag 158: Orientering om Justering af engelsksprogede uddannelser, fra uddannelses- og forskningsudvalget
1930108_0036.png
De engelsksprogede studerende
Eng.-spr.
Dan.-spr.
Erhvervsakademi MidtVest
Dan.-spr.
Erhvervsakademi Sjælland
Eng.-spr.
Dan.-spr.
Erhvervsakademi SydVest
Eng.-spr.
Dan.-spr.
Erhvervsakademi Aarhus
Eng.-spr.
Dan.-spr.
Erhvervsakademiet Copenhagen Busi-
ness Academy
Eng.-spr.
Dan.-spr.
Erhvervsakademiet Lillebælt
Eng.-spr.
Dan.-spr.
Københavns Erhvervsakademi (KEA)
Eng.-spr.
Dan.-spr.
Professionshøjskolen University Col-
lege Nordjylland
Eng.-spr.
Dan.-spr.
Professionshøjskolen VIA University
College
Eng.-spr.
Dan.-spr.
I alt
12
52
45
45
50
48
54
50
25
60
57
30
66
56
38
60
49
27
57
50
27
55
39
13
52
45
11
60
49
13
17
11
11
10
7
15
18
17
19
12
18
10
8
10
8
16
11
17
13
17
12
19
26
15
15
18
13
13
58
10
0
0
12
16
4
17
39
8
9
20
5
12
18
11
16
44
5
8
17
6
13
23
8
22
53
9
14
9
15
43
43
21
20
21
7
8
7
18
21
17
17
24
15
12
6
15
20
25
19
21
27
18
12
9
13
17
9
6
1
1
8
8
6
8
12
6
5
11
3
7
10
6
7
12
5
8
13
7
8
12
6
6
9
5
7
100
100
100
100
100
100
100
100
100
100
100
100
100
100
100
100
100
100
100
100
100
100
100
100
100
100
100
100
100
52
56
18
18
221
138
83
86
24
62
250
63
187
401
82
319
235
67
168
412
85
327
206
69
137
326
97
229
2.280
Anm.: Se anmærkning til tabel 4.5.
Kilde: Uddannelses- og Forskningsministeriets beregninger pba. data fra Danmarks Statistik
Da relativt få af de dansksprogede studerende forlader landet efter endt uddannelse
sammenlignes arbejdsmarkedsstatus for henholdsvis de engelsk- og de dansksprogede
kandidater, der fortsat er i landet 2 år efter dimission i tabel 4.7.
Inden for alle faglige områder er en mindre andel af de engelsksprogede dimittender, der
er i Danmark, i beskæftigelse end af de dansksprogede. På det tekniske område er for-
skellen på beskæftigelsesgraden blandt de engelsksprogede og de øvrige på 40 pro-
centpoint, og blandt de engelsksprogede dimittender fra dette område, som stadig er i
Danmark efter 2 år, er kun 39 pct. i beskæftigelse. Mange engelsksprogede dimittender
Styrelsen for Forskning og Uddannelse
36
UFU, Alm.del - 2017-18 - Bilag 158: Orientering om Justering af engelsksprogede uddannelser, fra uddannelses- og forskningsudvalget
1930108_0037.png
De engelsksprogede studerende
fra det økonomisk/merkantile område og fra medie, kommunikation og it videreuddan-
ner sig.
Tabel 4.7
Arbejdsmarkedsstatus for dimittender (2014) fra top-up-uddannelser, der fortsat er i landet
2 år efter afsluttet uddannelse fordelt på hovedområder
Design
Eng.-spr.
Dan.-spr.
Medie, kommunikation, it
mv.
Eng.-spr.
Dan.-spr.
Teknik
Eng.-spr.
Dan.-spr.
Økonomisk/merkantil
Eng.-spr.
Dan.-spr.
I alt
Beskæfti-
get
61
31
63
57
45
61
73
39
79
54
37
61
57
Ledig
16
38
15
15
16
14
14
31
11
15
21
13
15
I uddan-
nelse
14
10
15
21
25
19
9
19
7
22
27
19
19
Udenfor ar-
bejdsstyrken
8
22
8
8
13
5
4
12
3
9
15
6
8
I alt
100
100
100
100
100
100
100
100
100
100
100
100
100
Antal
465
68
397
627
203
424
82
18
64
1.080
389
691
2.280
Anm.: Se anmærkning tabel 4.5.
Anm.: I kategorien "Antal" er vist alle dimittender fra 2014, også dem som er udrejst og som ikke indgår i
de fire kolonner vedr. arbejdsmarkedsstatus.
Kilde: Uddannelses- og Forskningsministeriets beregninger pba. data fra Danmarks Statistik
På Professionshøjskolen UC Nordjylland er det kun 17 pct. af de engelsksprogede dimit-
tender, som stadig er i Danmark, som er i beskæftigelse. Endvidere er 34 pct. af dimit-
tenderne efter at have fuldført en top-up-uddannelse i uddannelse.
Tabel 4.8
Status for engelsksprogede dimittender (2014) fra top-up-uddannelser der fortsat er i lan-
det 2 år efter afsluttet uddannelse fordelt på institutioner, pct.
Beskæftiget
Erhvervsakademi Kolding
Eng.-spr.
Dan.-spr.
Erhvervsakademi MidtVest
Dan.-spr
Erhvervsakademi Sjælland
Eng.-spr.
Dan.-spr.
49
27
58
45
45
57
57
56
Ledig
22
30
19
11
11
11
9
15
I uddannelse
18
21
17
43
43
23
24
22
Udenfor arbejdsstyrken
11
22
7
1
1
9
10
6
I alt
100
100
100
100
100
100
100
100
Antal
108
52
56
18
18
221
138
83
Styrelsen for Forskning og Uddannelse
37
UFU, Alm.del - 2017-18 - Bilag 158: Orientering om Justering af engelsksprogede uddannelser, fra uddannelses- og forskningsudvalget
1930108_0038.png
De engelsksprogede studerende
Erhvervsakademi SydVest
Eng.-spr.
Dan.-spr.
Erhvervsakademi Aarhus
Eng.-spr.
Dan.-spr.
Erhvervsakademiet Copenhagen Business
Academy
Eng.-spr.
Dan.-spr.
Erhvervsakademiet Lillebælt
Eng.-spr.
Dan.-spr.
Københavns Erhvervsakademi (KEA)
Eng.-spr.
Dan.-spr.
Professionshøjskolen University College
Nordjylland
Eng.-spr.
Dan.-spr.
Professionshøjskolen VIA University Col-
lege
Eng.-spr.
Dan.-spr.
I alt
60
40
66
62
38
69
63
46
68
58
49
60
54
33
59
45
17
57
58
23
66
57
22
27
20
13
22
10
10
13
9
19
20
18
15
21
13
21
33
16
19
39
14
15
9
13
7
20
26
18
19
29
16
15
10
16
22
31
20
24
34
20
15
19
14
19
9
20
7
5
14
3
8
13
7
9
21
6
9
15
8
10
16
7
8
20
5
8
100
100
100
100
100
100
100
100
100
100
100
100
100
100
100
100
100
100
100
100
100
100
86
24
62
250
63
187
401
82
319
235
67
168
412
85
327
206
69
137
326
97
229
2.280
Anm.: Se anmærkninger til tabel 4.7.
Kilde: Uddannelses- og Forskningsministeriets beregninger pba. data fra Danmarks Statistik
Styrelsen for Forskning og Uddannelse
38
UFU, Alm.del - 2017-18 - Bilag 158: Orientering om Justering af engelsksprogede uddannelser, fra uddannelses- og forskningsudvalget
1930108_0039.png
De engelsksprogede studerende
5. De engelsksprogede
ordinære
professionsbachelorudd
annelser
5.1 Optag og tilgang til de ordinære
professionsbacheloruddannelser
Det største optag på engelsksprogede professionsbacheloruddannelser er inden for det
tekniske område, jf. tabel 5.1.
Tabel 5.1
Optag på engelsksprogede professionsbacheloruddannelser (ordinære) fordelt på hovedom-
råder
2010
Det medie- og kommunikationsfaglige om-
råde
Det pædagogiske område
Det sundhedsfaglige område
Det tekniske område
Det økonomisk- merkantile område
Professionsbacheloruddannelser i alt
77
629
134
889
49
2013
80
38
86
640
244
1.088
2015
78
28
82
734
281
1.203
2016
80
25
90
817
351
1.363
2017
79
20
86
807
272
1.264
Anm. 1.: Uddannelser, som ikke hører under én af de tre kategorier (erhvervsakademi, professionsbache-
lor eller bachelor), er placeret under de uddannelser, som har samme længde.
Anm. 2: Optaget viser de studerende som har opnået optagelse via Den Koordinerede Tilmelding i juli.
Dette antal adskiller sig fra tilgangstallene, som vises i andre tabeller og som illustrerer antallet
af individer, som er startet på institutionen/uddannelsen i perioden 1. oktober året før til 30.
september i året
Kilde:
Den Koordinerede Tilmelding
I tabel 5.2 fokuseres der på de engelsksprogede diplomingeniøruddannelser. Engelsk-
sprogede diplomuddannelser udbydes både af universiteter og professionshøjskoler.
Tabel 5.2 viser udviklingen i optaget på de engelsksprogede ingeniøruddannelser fra
2009 til 2017.
Tabel 5.2
Antal optagne på de engelsksprogede diplomingeniøruddannelser, 2009-2017
Styrelsen for Forskning og Uddannelse
39
UFU, Alm.del - 2017-18 - Bilag 158: Orientering om Justering af engelsksprogede uddannelser, fra uddannelses- og forskningsudvalget
1930108_0040.png
De engelsksprogede studerende
2009
Danmarks Tekniske Universitet
Heraf udenlandske statsborgere (pct.)
PH Sjælland University College
Heraf udenlandske statsborgere (pct.)
PH VIA University College
Heraf udenlandske statsborgere (pct.)
Syddansk Universitet
Heraf udenlandske statsborgere (pct.)
Aarhus Universitet
Heraf udenlandske statsborgere (pct.)
I alt
Heraf udenlandske statsborgere (pct.)
VIA's andel af udenlandske statbor-
gere
100
68
47
40
32
34
214
59
54
35
83
2010
61
7
2011
5
60
2012
87
13
2013
61
36
2014
2015
2016
2017
22
14
237
85
61
41
26
54
385
77
68
217
79
48
23
33
15
303
63
91
174
64
78
24
11
45
350
60
53
232
67
87
38
20
25
400
58
67
273
73
101
33
21
29
395
61
84
317
76
108
26
28
29
453
61
87
413
78
121
31
30
13
564
65
88
356
72
119
30
26
31
523
61
80
Anm.:
Kilde:
Se anmærkning 2 til tabel 5.1.
Den Koordinerede Tilmelding
Danmarks Tekniske Universitet har ikke udbudt engelsksprogede diplomingeniøruddan-
nelser siden 2013 og PH Sjælland University College optag for første gang i 2017 på en
engelsksproget diplomingeniøruddannelse (bioteknologi i Kalundborg).
PH VIA University College, Syddansk Universitet og Aarhus Universitet har optaget stu-
derende på engelsksprogede diplomingeniøruddannelser i hele perioden. VIA University
College har det største optag til engelsksprogede diplomingeniøruddannelser, og ande-
len af danske statsborgere er betydelig lavere end på de 2 universiteter. VIA University
Colleges optag af udenlandske statsborgere på de engelsksprogede diplomingeniørud-
dannelser udgjorde således 80 pct. af alle optagne på den de engelsksprogede diplom-
ingeniøruddannelser i 2017.
Af tabel 5.3 ses i forhold til alle ordinære professionsbacheloruddannelser, at andelen af
tilgangen af studerende, der er engelsksprogede, er størst inden for det økonomisk/mer-
kantile område, hvor 14 pct. (i 2016) af de studerende er engelsksprogede, men også på
det tekniske område er 10 pct. af de nye studerende engelsksprogede.
Tabel 5.3
Tilgang (antal nye studerende) til ordinære professionsbacheloruddannelser fordelt på
dansk- og engelsksprogede studerende og faglige områder, 2014-2016
2014
Design
Eng.-spr.
Dan.-spr.
I alt
Medie, kommunikation, it mv.
Eng.-spr.
Dan.-spr.
10
31
41
35
894
29
869
29
853
3
97
2015
2016
Andel 2016
Styrelsen for Forskning og Uddannelse
40
UFU, Alm.del - 2017-18 - Bilag 158: Orientering om Justering af engelsksprogede uddannelser, fra uddannelses- og forskningsudvalget
1930108_0041.png
De engelsksprogede studerende
I alt
Pædagogik
Eng.-spr.
Dan.-spr.
I alt
Samfund
Eng.-spr.
Dan.-spr.
I alt
Sundhed
Eng.-spr.
Dan.-spr.
I alt
Teknik
Eng.-spr.
Dan.-spr.
I alt
Økonomisk/merkantil
Eng.-spr.
Dan.-spr.
I alt
Alle
Eng.-spr.
Dan.-spr.
I alt
929
168
8.311
8.479
898
159
8.597
8.756
23
2.505
2.528
882
164
8.985
9.149
26
2.663
2.689
109
7.141
7.250
653
5.927
6.580
170
1.070
1.240
1.156
26.673
27.829
100
2
98
100
1
99
100
2
98
100
10
90
100
14
86
100
4
96
100
90
6.838
6.928
784
5.361
6.145
181
840
1.021
1.277
24.679
25.956
88
6.949
7.037
683
5.667
6.350
181
980
1.161
1.165
25.607
26.772
Anm. 1: Pga. et højt antal studerende med ukendt cpr. nr. i tilgangen for de seneste år (pt. 2017) er det
ikke muligt at opdele i engelsk- og dansksprogede. Derfor er data for 2016 seneste opgørel-
sesår.
Anm.2: Tallene vedrører kun studerende på professionsbacheloruddannelser inden for Uddannelses- og
Forskningsministeriets ressortområde.
Anm. 3: Felter med under 10 personer vises ikke og heller ikke andele, hvor beregningsgrundlaget er un-
der 10 personer.
Kilde:
Uddannelses- og Forskningsministeriets beregninger pba. data fra Danmarks Statistik
Omkring halvdelen af tilgangen af engelsksprogede studerende til de ordinære professi-
onsbacheloruddannelser er på VIA University College. Andelen af tilgangen, der er en-
gelsksprogede, er størst på Københavns Erhvervsakademi, hvor 20 pct. af de nye stude-
rende på ordinære professionsbacheloruddannelser er engelsksprogede.
Tabel 5.4
Tilgang (antal nye studerende) til ordinære professionsbacheloruddannelser fordelt på
dansk- og engelsksprogede studerende og faglige områder, 2014-2016
2014
Danmarks Tekniske Universitet
Eng.-spr.
Dan.-spr.
I alt
Erhvervsakademi Aarhus
Eng.-spr.
Dan.-spr.
I alt
Erhvervsakademiet Lillebælt
Eng.-spr.
Dan.-spr.
15
1.170
1.185
32
178
210
32
221
2015
15
1.181
1.196
32
184
216
24
219
23
202
225
29
301
10
90
100
9
91
2016 Andel 2016
Styrelsen for Forskning og Uddannelse
41
UFU, Alm.del - 2017-18 - Bilag 158: Orientering om Justering af engelsksprogede uddannelser, fra uddannelses- og forskningsudvalget
1930108_0042.png
De engelsksprogede studerende
I alt
Københavns Erhvervsakademi (KEA)
Eng.-spr.
Dan.-spr.
I alt
Professionshøjskolen Absalon
Eng.-spr.
Dan.-spr.
I alt
Professionshøjskolen Lillebælt University College
Eng.-spr.
Dan.-spr.
I alt
Professionshøjskolen Metropol / Metropolitan UC
Eng.-spr.
Dan.-spr.
I alt
Professionshøjskolen UC Syddanmark
Eng.-spr.
Dan.-spr.
I alt
Professionshøjskolen UCC
Eng.-spr.
Dan.-spr.
I alt
Professionshøjskolen University College Nordjylland
Eng.-spr.
Dan.-spr.
I alt
Professionshøjskolen VIA University College
Eng.-spr.
Dan.-spr.
I alt
Syddansk Universitet
Eng.-spr.
Dan.-spr.
I alt
AARHUS TECH
Eng.-spr.
Dan.-spr.
I alt
Aarhus Universitet
Eng.-spr.
Dan.-spr.
I alt
Alle
Eng.-spr.
Dan.-spr.
I alt
253
165
491
656
56
2.328
2.384
11
1.987
1.998
40
2.888
2.928
95
1.708
1.803
19
2.892
2.911
81
1.811
1.892
663
4.839
5.502
29
520
549
15
43
58
13
1.050
1.063
1.277
24.679
25.956
243
120
542
662
51
2.496
2.547
330
131
524
655
58
2.632
2.690
100
20
80
100
2
98
100
64
2.889
2.953
94
1.756
1.850
15
3.050
3.065
83
1.858
1.941
612
4.937
5.549
29
522
551
65
3.003
3.068
89
1.794
1.883
27
3.084
3.111
80
2.025
2.105
581
5.049
5.630
27
542
569
2
98
100
5
95
100
1
99
100
4
96
100
10
90
100
5
95
100
1.165
25.607
26.772
1.156
26.673
27.829
4
96
100
Anm.:
Kilde:
Se anmærkninger til tabel 5.3.
Uddannelses- og Forskningsministeriets beregninger pba. data fra Danmarks Statistik
Styrelsen for Forskning og Uddannelse
42
UFU, Alm.del - 2017-18 - Bilag 158: Orientering om Justering af engelsksprogede uddannelser, fra uddannelses- og forskningsudvalget
1930108_0043.png
De engelsksprogede studerende
5.2 Antal studerende på ordinære
professionsbacheloruddannelser
Over halvdelen af de engelsksprogede studerende på ordinære professionsbachelorud-
dannelser studerer en teknisk uddannelse. Andelen af engelsksprogede studerende er
størst inden for det økonomisk/merkantile område.
Tabel 5.5
Antal studerende på ordinære professionsbacheloruddannelser fordelt på faglige områder
2014
Design
Eng.-spr.
Dan.-spr.
I alt
Medie, kommunikation, it mv.
Eng.-spr.
Dan.-spr.
I alt
Pædagogik
Eng.-spr.
Dan.-spr.
I alt
Samfund
Eng.-spr.
Dan.-spr.
I alt
Sundhed
Eng.-spr.
Dan.-spr.
I alt
Teknik
Eng.-spr.
Dan.-spr.
I alt
Økonomisk/merkantil
Eng.-spr.
Dan.-spr.
I alt
Alle
Eng.-spr.
Dan.-spr.
I alt
12
86
98
101
2.974
3.075
549
29.670
30.219
53
7.161
7.214
334
21.594
21.928
1.809
15.122
16.931
460
1.990
2.450
3.318
78.597
81.915
2015
11
117
128
109
3.061
3.170
547
29.456
30.003
58
7.581
7.639
347
21.724
22.071
1.819
15.893
17.712
479
2.391
2.870
3.370
80.223
83.593
2016
15
130
145
106
3.085
3.191
536
29.260
29.796
62
7.960
8.022
350
21.955
22.305
1.801
16.653
18.454
487
2.833
3.320
3.357
81.876
85.233
Andel 2016
10
90
100
3
97
100
2
98
100
1
99
100
2
98
100
10
90
100
15
85
100
4
96
100
Anm.:
Kilde:
Se anmærkninger til tabel 5.3.
Uddannelses- og Forskningsministeriets beregninger pba. data fra Danmarks Statistik
46 pct. af de engelsksprogede studerende på ordinære professionsbacheloruddannelser
studerer på VIA University College. Andelen af engelsksprogede studerende er størst på
Københavns Erhvervsakademi, hvor 18 pct. af de studerende på ordinære professions-
bacheloruddannelser er engelsksprogede.
Styrelsen for Forskning og Uddannelse
43
UFU, Alm.del - 2017-18 - Bilag 158: Orientering om Justering af engelsksprogede uddannelser, fra uddannelses- og forskningsudvalget
1930108_0044.png
De engelsksprogede studerende
Tabel 5.6
Antal studerende på ordinære professionsbacheloruddannelser fordelt på institutioner
2014
Danmarks Tekniske Universitet
Eng.-spr.
Dan.-spr.
I alt
Erhvervsakademi Aarhus
Eng.-spr.
Dan.-spr.
I alt
Erhvervsakademiet Lillebælt
Eng.-spr.
Dan.-spr.
I alt
Københavns Erhvervsakademi (KEA)
Eng.-spr.
Dan.-spr.
I alt
Professionshøjskolen Absalon
Eng.-spr.
Dan.-spr.
I alt
Professionshøjskolen Lillebælt University College
Eng.-spr.
Dan.-spr.
I alt
Professionshøjskolen Metropol / Metropolitan UC
Eng.-spr.
Dan.-spr.
I alt
Professionshøjskolen UC Syddanmark
Eng.-spr.
Dan.-spr.
I alt
Professionshøjskolen UCC
Eng.-spr.
Dan.-spr.
I alt
Professionshøjskolen University College Nordjylland
Eng.-spr.
Dan.-spr.
I alt
Professionshøjskolen VIA University College
Eng.-spr.
Dan.-spr.
I alt
Syddansk Universitet
Eng.-spr.
Dan.-spr.
I alt
AARHUS TECH
Eng.-spr.
143
3.773
3.916
105
410
515
82
627
709
269
1.343
1.612
178
7.770
7.948
48
6.767
6.815
183
9.413
9.596
358
5.672
6.030
55
9.837
9.892
277
5.770
6.047
1.413
15.601
17.014
94
1.352
1.446
15
2015
106
3.838
3.944
112
488
600
81
658
739
281
1.432
1.713
170
7.845
8.015
41
6.763
6.804
208
9.396
9.604
361
5.748
6.109
50
9.986
10.036
276
5.820
6.096
1.498
15.870
17.368
94
1.466
1.560
13
2016
79
3.933
4.012
95
583
678
84
757
841
312
1.450
1.762
177
7.988
8.165
39
6.839
6.878
217
9.427
9.644
332
5.802
6.134
65
10.031
10.096
246
5.977
6.223
1.535
15.899
17.434
96
1.514
1.610
Andel 2016
2
98
100
14
86
100
10
90
100
18
82
100
2
98
100
1
99
100
2
98
100
5
95
100
1
99
100
4
96
100
9
91
100
6
94
100
Styrelsen for Forskning og Uddannelse
44
UFU, Alm.del - 2017-18 - Bilag 158: Orientering om Justering af engelsksprogede uddannelser, fra uddannelses- og forskningsudvalget
1930108_0045.png
De engelsksprogede studerende
Dan.-spr.
I alt
Aarhus Universitet
Eng.-spr.
Dan.-spr.
I alt
Alle
Eng.-spr.
Dan.-spr.
I alt
44
59
71
2.835
2.906
3.318
78.597
81.915
42
55
49
2.804
2.853
3.370
80.223
83.593
42
3.011
3.053
3.357
81.876
85.233
1
99
100
4
96
100
Anm.:
Kilde:
Se anmærkninger til tabel 5.3.
Uddannelses- og Forskningsministeriets beregninger pba. data fra Danmarks Statistik
Tabel 5.7 viser antallet af engelsksprogede studerende hvert år i perioden 2014-2016.
De engelsksprogede studerende udgjorde over halvdelen (61 pct.) af de studerende på
diplomingeniøruddannelserne på VIA University College, men kun henholdsvis 5 pct. og 1
pct. på Syddansk og Aarhus Universitet.
Tabel 5.7
Antal engelsksprogede studerende (bestand) på diplomingeniøruddannelser fordelt på insti-
tutioner, 2013-2016
2014
Danmarks Tekniske Universitet
Eng.-spr.
Dan.-spr.
I alt
Professionshøjskolen VIA University Col-
lege
Eng.-spr.
Dan.-spr.
I alt
Syddansk Universitet
Eng.-spr.
Dan.-spr.
I alt
Aarhus Universitet
Eng.-spr.
Dan.-spr.
I alt
Alle
Eng.-spr.
Dan.-spr.
I alt
143
3.773
3.916
690
478
1.168
71
1.178
1.249
69
2.624
2.693
973
8.472
9.445
2015
106
3.838
3.944
793
525
1.318
68
1.292
1.360
46
2.586
2.632
1.016
8.759
9.775
2016
79
3.933
4.012
843
534
1.377
68
1.350
1.418
39
2.793
2.832
1.032
9.212
10.244
Andel 2016
2
98
100
61
39
100
5
95
100
1
99
100
10
90
100
Anm.:
Kilde:
Se anmærkninger til tabel 5.3.
Uddannelses- og Forskningsministeriets beregninger pba. data fra Danmarks Statistik
Styrelsen for Forskning og Uddannelse
45
UFU, Alm.del - 2017-18 - Bilag 158: Orientering om Justering af engelsksprogede uddannelser, fra uddannelses- og forskningsudvalget
1930108_0046.png
De engelsksprogede studerende
5.3 Status efter fuldførelse
Tabel 5.8 viser status 2 år efter fuldførelse. Inden for det tekniske fagområde er 55 pct.
af de engelsksprogede dimittender ikke i Danmark 2 år efter fuldførelse.
Tabel 5.8
Status for engelsksprogede dimittender (2014) fra ordinære professionsbacheloruddannelser
2 år efter afsluttet uddannelse fordelt på faglige områder
Beskæfti-
get
60
24
61
78
29
79
77
70
77
79
58
79
56
12
66
59
17
67
73
Le-
dig
11
6
11
6
8
6
6
5
6
4
10
4
5
9
4
7
12
6
6
Ud-
rejst
7
50
7
3
51
2
2
19
2
5
17
5
16
55
7
10
39
4
6
I uddan-
nelse
15
7
15
6
7
6
9
3
10
7
11
7
19
16
20
21
25
20
9
Udenfor arbejdsstyr-
I
ken alt
7 100
13 100
7 100
7 100
5 100
7 100
6 100
3 100
6 100
6 100
4 100
6 100
4 100
9 100
2 100
4 100
6 100
3 100
6 100
Antal
563
10
553
6.261
71
6.190
1.296
16
1.280
5.068
64
5.004
3.289
623
2.666
284
46
238
16.761
Medie, kommunikation, it
mv.,
Eng.-spr.
Dan.-spr.
Pædagogik
Eng.-spr.
Dan.-spr.
Samfund
Eng.-spr.
Dan.-spr.
Sundhed
Eng.-spr.
Dan.-spr.
Teknik
Eng.-spr.
Dan.-spr.
Økonomisk/merkantil
Eng.-spr.
Dan.-spr.
I alt
Anm.: Felter med under 10 personer vises ikke og heller ikke andele, hvor beregningsgrundlaget er under
10 personer.
Kilde: Uddannelses- og Forskningsministeriets beregninger pba. data fra Danmarks Statistik
Det ses af tabel 5.9, at 82 pct. af de engelsksprogede dimittender fra UC Syddanmark
ikke er i Danmark 2 år efter fuldførelse. Til sammenligning er 7 pct. af de øvrige dimit-
tender fra samme institution ikke i Danmark 2 år efter fuldførelse.
Tabel 5.9
Status for engelsksprogede dimittender (2014) fra ordinære professionsbacheloruddannelser
2 år efter afsluttet uddannelse fordelt på institutioner
Beskæfti-
get
70
70
Le-
dig
2
2
Ud-
rejst
7
7
I uddan-
nelse
7
7
Udenfor arbejds-
I
styrken alt
14 100
14 100
Antal
14
14
Bornholms Sundheds- og Sygepleje-
skole
Dan.-spr.
Styrelsen for Forskning og Uddannelse
46
UFU, Alm.del - 2017-18 - Bilag 158: Orientering om Justering af engelsksprogede uddannelser, fra uddannelses- og forskningsudvalget
1930108_0047.png
De engelsksprogede studerende
Danmarks Medie- og Journalisthøj-
skole
Dan.-spr.
Danmarks Tekniske Universitet
Eng.-spr.
Dan.-spr.
Erhvervsakademi Dania
Dan.-spr.
Erhvervsakademi Sjælland
Dan.-spr.
Erhvervsakademi SydVest
Dan.-spr.
Erhvervsakademi Aarhus
Dan.-spr.
Erhvervsakademiet Copenhagen Busi-
ness Academy
Dan.-spr.
Erhvervsakademiet Lillebælt
Eng.-spr.
Dan.-spr.
Fredericia Maskinmesterskole
Dan.-spr.
Københavns Erhvervsakademi (KEA)
Eng.-spr.
Dan.-spr.
Københavns Universitet
Dan.-spr.
MARTEC - Maritime and Polytechnic
University College
Dan.-spr
Maskinmesterskolen København
Dan.-spr.
Professionshøjskolen Absalon
Eng.-spr.
Dan.-spr.
Professionshøjskolen Lillebælt Univer-
sity College
Eng.-spr.
Dan.-spr.
Professionshøjskolen Metropol / Metro-
politan UC
Eng.-spr.
Dan.-spr.
Professionshøjskolen UC Syddanmark
Eng.-spr.
Dan.-spr.
Professionshøjskolen UCC
Eng.-spr.
Dan.-spr.
Professionshøjskolen University Col-
lege Nordjylland
Eng.-spr.
Dan.-spr.
Professionshøjskolen VIA University
College
Eng.-spr.
Dan.-spr.
Svendborg International Maritime Aca-
demy, SIMAC
Dan.-spr.
Syddansk Universitet
Eng.-spr.
Dan.-spr.
Aalborg Universitet
Dan.-spr.
Aarhus Maskinmesterskole
68
68
45
35
45
75
75
95
95
87
87
71
72
72
72
61
4
68
94
94
54
13
64
69
69
89
89
85
85
80
35
81
80
91
80
75
56
76
73
12
76
80
66
80
78
29
79
69
13
77
69
69
56
18
61
85
84
91
9
9
5
16
5
0
0
3
3
4
4
4
4
1
1
8
15
7
3
3
3
4
3
10
10
3
3
4
4
5
3
5
6
2
6
4
13
4
6
2
6
5
23
5
7
19
6
6
9
6
1
2
5
9
5
3
3
2
4
4
5
6
5
15
15
0
0
2
2
3
3
11
11
14
59
8
1
1
27
54
20
2
2
3
3
7
7
2
29
2
3
1
3
5
6
5
10
82
7
3
0
3
3
26
3
10
56
3
12
12
9
45
4
2
2
3
12
12
42
29
43
8
8
2
2
6
6
20
19
14
14
14
10
15
1
1
10
7
11
12
12
0
0
0
0
7
24
7
5
6
5
10
17
10
4
1
5
7
0
7
5
18
5
8
16
7
15
15
28
27
28
7
7
1
6 100
6
3
14
2
1
1
1
1
0
0
3
3
2
2
3
13
1
0
0
6
22
2
7
7
4
4
4
4
6
9
6
6
100
100
100
100
100
100
100
100
100
100
100
100
100
100
100
100
100
100
100
100
100
100
100
100
100
100
100
100
100
100
100
100
383
383
541
23
518
25
25
56
55
38
38
70
69
46
46
156
19
137
73
73
357
70
287
92
92
63
63
107
107
1.515
28
1.487
1.470
9
1.461
2.040
25
2.015
1.338
50
1.288
1.945
14
1.931
1.293
21
1.272
3.987
525
3.462
108
105
226
28
198
148
147
158
0 100
6 100
5 100
8
5
6
3
7
6
11
6
7
100
100
100
100
100
100
100
100
100
8 100
7 100
7 100
7 100
7 100
2 100
2
2
0
2
4
4
3
100
100
100
100
100
100
100
Styrelsen for Forskning og Uddannelse
47
UFU, Alm.del - 2017-18 - Bilag 158: Orientering om Justering af engelsksprogede uddannelser, fra uddannelses- og forskningsudvalget
1930108_0048.png
De engelsksprogede studerende
Dan.-spr.
Aarhus Universitet
Eng.-spr.
Dan.-spr.
I alt
91
59
29
60
73
2
5
17
4
6
3
3
17
3
6
1
31
29
31
9
3
3
9
3
6
100
158
100
512
100
12
100
500
100 16.761
Anm: Se anmærkning til tabel 5.8.
Kilde: Uddannelses- og Forskningsministeriets beregninger pba. data fra Danmarks Statistik
Status for de engelsksprogede dimittender fra diplomingeniøruddannelser fra de fire in-
stitutioner, som har haft over 10 engelsksprogede dimittender ses af tabel 5.10.
Tabel 5.10
Status for engelsksprogede dimittender (2014) fra diplomingeniøruddannelser 2 år efter af-
sluttet uddannelse fordelt på institutioner, pct
Beskæfti-
get
Danmarks Tekniske Univer-
sitet
Professionshøjskolen VIA
University College
Syddansk Universitet
Aarhus Universitet
I alt
35
11
17
27
14
Ledig
Udrejst
I uddan-
nelse
14
5
1
10
6
Udenfor
arbejds-
styrken
29
26
11
31
25
I alt
Antal
16
6
11
14
7
6
53
60
18
48
100
100
100
100
100
23
243
18
11
296
Anm: Se anmærkning til tabel 5.8.
Kilde: Uddannelses- og Forskningsministeriets beregninger pba. data fra Danmarks Statistik
Da antallet er dimittender fra Aarhus,- og Syddansk Universitet er så lavt bør opgørel-
sen tages med forbehold, men opgørelsen indikerer, at andelen af engelsksprogede di-
mittender, der forlader landet, er væsentlig højere på VIA University College og Syd-
dansk Universitet end på Danmarks Tekniske Universitet og Aarhus Universitet.
Da relativt få dansksprogede studerende forlader landet efter endt uddannelse sam-
menlignes arbejdsmarkedsstatus for henholdsvis engelsk- og de dansksprogede dimit-
tender, der fortsat er i landet 2 år efter dimission i tabel 5.11.
Blandt denne gruppe er der inden for alle faglige områder - bortset fra det samfunds-
faglige område - en mindre andel af de engelsksprogede dimittender, der er i beskæfti-
gelse sammenlignet med de dansksprogede dimittender. Forskellen på beskæftigelses-
graden mellem de dansk- og engelsksprogede studerende er størst inden for det økono-
misk-merkantile område, som samtidig er det område, som har den største andel af en-
gelsksprogede studerende, der fortsat er i uddannelse 2 år efter dimission.
Tabel 5.11
Status for engelsksprogede dimittender (2014) fra ordinære professionsbacheloruddannelser
der fortsat er i landet 2 år efter afsluttet uddannelse fordelt på fagområder, pct.
Beskæfti-
get
Medie, kommunikation, it mv.,
prof. bach.
Eng.-spr.
Dan.-spr.
Pædagogik, prof. bach.
65
48
65
81
Ledig
I uddan-
nelse
16
13
16
6
Udenfor ar-
bejdsstyr-
ken
7
26
7
7
I alt
Antal
11
12
11
6
100
100
100
100
563
10
553
6.261
Styrelsen for Forskning og Uddannelse
48
UFU, Alm.del - 2017-18 - Bilag 158: Orientering om Justering af engelsksprogede uddannelser, fra uddannelses- og forskningsudvalget
1930108_0049.png
De engelsksprogede studerende
Eng.-spr.
Dan.-spr.
Samfund, prof. bach.
Eng.-spr.
Dan.-spr.
Sundhed, prof. bach.
Eng.-spr.
Dan.-spr.
Teknik, prof. bach.
Eng.-spr.
Dan.-spr.
Økonomisk/merkantil, prof.
bach.
Eng.-spr.
Dan.-spr.
I alt
59
81
79
86
79
83
70
83
66
26
71
65
28
70
78
16
6
6
6
6
4
12
4
6
19
5
7
20
6
6
14
6
10
3
10
7
13
7
23
35
22
23
42
21
10
10
7
6
4
6
6
5
6
4
20
2
4
10
3
6
100
100
100
100
100
100
100
100
100
100
100
100
100
100
100
71
6.190
1.296
16
1.280
5.068
64
5.004
3.289
623
2.666
284
46
238
16.761
Anm: Se anmærkning til tabel 5.8.
Anm.: I kategorien "Antal" er vist alle dimittender fra 2014, også dem som er udrejst og som ikke indgår i
de fire kolonner vedr. arbejdsmarkedsstatus.
Ca. 1.048 af de 16.761 personer var udrejst på opgø-
relsestidspunktet.
Kilde: Uddannelses- og Forskningsministeriets beregninger pba. data fra Danmarks Statistik
Tabel 5.12
Status for engelsksprogede dimittender (2014) fra ordinære professionsbacheloruddannelser
der fortsat er i landet 2 år efter afsluttet uddannelse fordelt på institutioner
Beskæftiget
Ledig
I uddan-
nelse
8
8
13
13
44
31
45
10
10
2
0
2
6
6
21
100
20
Udenfor ar-
bejdsstyr-
ken
15
15
7
7
3
15
3
1
1
1
0
1
0
0
3
0
3
I alt
Antal
Bornholms Sundheds- og Sygeplejeskole
Dan.-spr.
Danmarks Medie- og Journalisthøjskole
Dan.-spr.
Danmarks Tekniske Universitet
Eng.-spr.
Dan.-spr.
Erhvervsakademi Dania
Dan.-spr.
Erhvervsakademi Sjælland
Eng.-spr.
Dan.-spr.
Erhvervsakademi SydVest
Dan.-spr.
Erhvervsakademi Aarhus
Eng.-spr.
Dan.-spr.
75
75
71
71
47
37
48
88
88
95
100
95
89
89
73
0
74
3
3
9
9
5
17
5
1
1
3
0
3
4
4
4
0
4
100
100
100
100
100
100
100
100
100
100
100
100
100
100
100
100
100
14
14
383
383
541
23
518
25
25
56
1
55
38
38
70
1
69
Styrelsen for Forskning og Uddannelse
49
UFU, Alm.del - 2017-18 - Bilag 158: Orientering om Justering af engelsksprogede uddannelser, fra uddannelses- og forskningsudvalget
1930108_0050.png
De engelsksprogede studerende
Erhvervsakademiet Copenhagen Business
Academy
Dan.-spr.
Erhvervsakademiet Lillebælt
Eng.-spr.
Dan.-spr.
Fredericia Maskinmesterskole
Dan.-spr.
Københavns Erhvervsakademi (KEA)
Eng.-spr.
Dan.-spr.
Københavns Universitet
Dan.-spr.
MARTEC - Maritime and Polytechnic Uni-
versity College
Dan.-spr.
Maskinmesterskolen København
Dan.-spr.
Professionshøjskolen Absalon
Eng.-spr.
Dan.-spr.
Professionshøjskolen Lillebælt University
College
Eng.-spr.
Dan.-spr.
Professionshøjskolen Metropol / Metropoli-
tan UC
Eng.-spr.
Dan.-spr.
Professionshøjskolen UC Syddanmark
Eng.-spr.
Dan.-spr.
Professionshøjskolen UCC
Eng.-spr.
Dan.-spr.
Professionshøjskolen University College
Nordjylland
Eng.-spr.
Dan.-spr.
Professionshøjskolen VIA University Col-
lege
Eng.-spr.
Dan.-spr.
Svendborg International Maritime Aca-
demy, SIMAC
Eng.-spr.
Dan.-spr.
Syddansk Universitet
81
81
71
9
74
96
96
74
29
80
71
71
92
92
91
91
82
49
82
82
92
82
79
59
79
81
67
81
82
66
82
81
40
81
76
29
80
79
100
78
61
1
1
10
37
8
3
3
5
8
4
11
11
3
3
4
4
5
5
5
6
2
6
5
14
5
7
11
7
5
23
5
7
25
7
7
20
6
2
0
2
6
16
16
16
23
16
1
1
14
15
14
12
12
0
0
0
0
7
34
7
5
6
5
11
18
11
5
5
5
7
0
7
5
25
5
9
35
7
17
0
17
31
2
2
3
30
2
0
0
8
48
2
7
7
4
4
5
5
6
12
6
7
0
7
6
9
5
7
17
7
6
11
6
7
10
7
7
15
7
2
0
2
2
100
100
100
100
100
100
100
100
100
100
100
100
100
100
100
100
100
100
100
100
100
100
100
100
100
100
100
100
100
100
100
100
100
100
100
100
100
100
100
100
100
46
46
156
19
137
73
73
357
70
287
92
92
63
63
107
107
1.515
28
1.487
1.470
9
1.461
2.040
25
2.015
1.338
50
1.288
1.945
14
1.931
1.293
21
1.272
3.987
525
3.462
108
3
105
226
Styrelsen for Forskning og Uddannelse
50
UFU, Alm.del - 2017-18 - Bilag 158: Orientering om Justering af engelsksprogede uddannelser, fra uddannelses- og forskningsudvalget
1930108_0051.png
De engelsksprogede studerende
Eng.-spr.
Dan.-spr.
Aalborg Universitet
Eng.-spr.
Dan.-spr.
Aarhus Maskinmesterskole
Dan.-spr.
Aarhus Universitet
Eng.-spr.
Dan.-spr.
I alt
33
64
86
100
86
94
94
61
35
61
78
17
5
3
0
3
2
2
5
20
4
6
49
29
7
0
7
1
1
32
34
31
10
1
2
4
0
4
3
3
3
11
3
6
100
100
100
100
100
100
100
100
100
100
100
28
198
148
1
147
158
158
512
12
500
16.761
Anm: Se anmærkninger til tabel 5.11.
Kilde: Uddannelses- og Forskningsministeriets beregninger pba. data fra Danmarks Statistik
Styrelsen for Forskning og Uddannelse
51
UFU, Alm.del - 2017-18 - Bilag 158: Orientering om Justering af engelsksprogede uddannelser, fra uddannelses- og forskningsudvalget
1930108_0052.png
De engelsksprogede studerende
6. De engelsksprogede
bacheloruddannelser
6.1 Optag og tilgangen til bacheloruddannelser
Af tabel 6.1 ses, at optaget på engelsksprogede bacheloruddannelser på universiteterne
er størst inden for samfundsvidenskab.
Tabel 6.1
Optag til engelsksprogede bacheloruddannelser fordelt på hovedområder
2010
Humaniora
Naturvidenskab
Samfundsvidenskab
Teknisk Videnskab
Universitetsuddannelse i
alt
1.010
187
1.240
91
2.528
2013
996
506
1.817
147
3.466
2015
865
323
2.074
297
3.559
2016
819
329
2.070
363
3.581
2017
817
399
2.121
418
3.755
Anm.:
Kilde:
Tallene omfatter uddannelser med optag via Den Koordinerede Tilmelding. Uddannelser, som
ikke hører under én af de tre kategorier (erhvervsakademi, professionsbachelor eller bachelor),
er placeret under de uddannelser, som har samme længde. Omfatter kun bacheloruddannelserne
på universiteterne.
Uddannelsesministeriets datavarehus
Tabel 6.2 viser tilgangen af henholdsvis dansk- og engelsksprogede studerende til ba-
cheloruddannelserne fordelt på faglige områder. Det fremgår af tabellen, at andelen af
engelsksprogede studerende er størst inden for det samfundsvidenskabelige område.
Hertil er det også lige knap halvdelen af tilgangen til bacheloruddannelserne af engelsk-
sprogede studerende, som er til det samfundsvidenskabelige område.
Tabel 6.2
Tilgang (antal nye studerende) til akademiske bacheloruddannelser fordelt på dansk- og en-
gelsksprogede studerende og faglige områder, 2014-2016
2014
Humaniora
Eng.-spr.
Dan.-spr.
I alt
Natur
Eng.-spr.
Dan.-spr.
I alt
Samfund
Eng.-spr.
Dan.-spr.
219
8.480
8.699
115
4.778
4.893
335
9.867
2015
196
8.233
8.429
117
4.756
4.873
395
9.859
2016
181
7.675
7.856
96
4.703
4.799
366
9.629
Andel 2016
2
98
100
2
98
100
4
96
Styrelsen for Forskning og Uddannelse
52
UFU, Alm.del - 2017-18 - Bilag 158: Orientering om Justering af engelsksprogede uddannelser, fra uddannelses- og forskningsudvalget
1930108_0053.png
De engelsksprogede studerende
I alt
Sundhed
Eng.-spr.
Dan.-spr.
I alt
Teknik
Eng.-spr.
Dan.-spr.
I alt
Alle
Eng.-spr.
Dan.-spr.
I alt
10.202
16
2.309
2.325
108
2.957
3.065
793
28.391
29.184
10.254
14
2.360
2.374
104
3.030
3.134
826
28.238
29.064
9.995
27
2.332
2.359
140
3.270
3.410
810
27.609
28.419
100
1
99
100
4
96
100
3
97
100
Anm. 1: Pga. et højt antal studerende med ukendt cpr. nr. i tilgangen for de seneste år (pt. 2017) er det
ikke muligt at opdele i engelsk- og dansksprogede. Derfor er data for 2016 seneste dataår.
Anm. 2: Tallene vedrører endvidere kun studerende på bacheloruddannelser ved de danske universiteter
inden for Uddannelses- og Forskningsministeriets ressortområde.
Anm.: 3. Felter med færre end 10 personer vises ikke og heller ikke andele, hvor beregningsgrundlaget er
færre end 10 personer
Kilde:
Uddannelses- og Forskningsministeriets beregninger pba. data fra Danmarks Statistik
Tabel 6.3 belyser udviklingen i tilgangen af engelsksprogede studerende til bachelorud-
dannelserne fordelt på institutioner. I 2016 er andelen af engelsksprogede studerende
på bacheloruddannelserne størst på Copenhagen Business School, Aalborg Universitet
og Roskilde Universitet, hvor andelen er cirka 5 pct.
Tabel 6.3
Tilgang (nye studerende) til akademiske bacheloruddannelser fordelt på dansk- og engelsk-
sprogede studerende og institutioner, 2014-2016
2014
2015
2016
Andel
2016
Copenhagen Business School - Handelshøjskolen
Eng.-spr.
Dan.-spr.
I alt
Danmarks Tekniske Universitet
Eng.-spr.
Dan.-spr.
I alt
Det Kongelige Danske Kunstakademis Skoler for Arkitektur, De-
sign og Konservering
Eng.-spr.
Dan.-spr.
I alt
IT-Universitetet i København
Eng.-spr.
Dan.-spr.
I alt
Københavns Universitet
Eng.-spr.
Dan.-spr.
I alt
Roskilde Universitet
Eng.-spr.
11
302
313
16
224
240
50
7.366
7.416
57
13
199
212
42
7.412
7.454
86
11
263
274
44
6.935
6.979
76
4
96
100
1
99
100
5
111
2.644
2.755
162
2.590
2.752
134
2.436
2.570
17
1.092
1.109
5
95
100
2
98
100
Styrelsen for Forskning og Uddannelse
53
UFU, Alm.del - 2017-18 - Bilag 158: Orientering om Justering af engelsksprogede uddannelser, fra uddannelses- og forskningsudvalget
1930108_0054.png
De engelsksprogede studerende
Dan.-spr.
I alt
Syddansk Universitet
Eng.-spr.
Dan.-spr.
I alt
Aalborg Universitet
Eng.-spr.
Dan.-spr.
I alt
Aarhus Universitet
Eng.-spr.
Dan.-spr.
I alt
Alle
Eng.-spr.
Dan.-spr.
I alt
1.652
1.709
188
4.811
4.999
220
4.118
4.338
131
6.070
6.201
793
28.391
29.184
1.698
1.784
164
4.813
4.977
209
3.969
4.178
141
6.054
6.195
826
28.238
29.064
1.555
1.631
154
4.726
4.880
215
4.064
4.279
154
5.983
6.137
810
27.609
28.419
95
100
3
97
100
5
95
100
3
97
100
3
97
100
Anm.:
Kilde:
Se anmærkninger tabel 6.2.
Uddannelses- og Forskningsministeriets beregninger pba. data fra Danmarks Statistik
6.2 Antallet af studerende på engelsksprogede
bacheloruddannelser
Tabel 6.4 viser antallet af engelsksprogede studerende på bacheloruddannelserne for-
delt på hovedområder. Ligesom ved tilgangen er antallet af engelsksprogede stude-
rende størst på det samfundsvidenskabelige område. Hertil udgør de engelsksprogede
studerende en andel på 4 pct. på både teknisk videnskab, hvilket er den største andel.
Dette er samtidigt med, at andelen af engelsksprogede studerende er mindre end 1 pct.
på det sundhedsvidenskabelige område.
Tabel 6.4
Antal studerende på akademiske bacheloruddannelser fordelt på dansk- og engelskspro-
gede studerende og faglige områder
2014
Humaniora
Eng.-spr.
Dan.-spr.
I alt
Natur
Eng.-spr.
Dan.-spr.
I alt
Samfund
Eng.-spr.
Dan.-spr.
I alt
Sundhed
Eng.-spr.
Dan.-spr.
766
24.009
24.775
343
13.295
13.638
797
26.544
27.341
82
7.040
2015
693
22.684
23.377
359
13.261
13.620
919
26.917
27.836
74
7.220
2016
579
21.156
21.735
316
12.706
13.022
943
26.446
27.389
73
7.092
Andel 2016
3
97
100
2
98
100
3
97
100
1
99
Styrelsen for Forskning og Uddannelse
54
UFU, Alm.del - 2017-18 - Bilag 158: Orientering om Justering af engelsksprogede uddannelser, fra uddannelses- og forskningsudvalget
1930108_0055.png
De engelsksprogede studerende
I alt
Teknik
Eng.-spr.
Dan.-spr.
I alt
Alle
Eng.-spr.
Dan.-spr.
I alt
7.122
201
7.800
8.001
2.189
78.688
80.877
7.294
251
8.075
8.326
2.296
78.157
80.453
7.165
321
8.317
8.638
2.232
75.717
77.949
100
4
96
100
3
97
100
Anm.:
Kilde:
Se anmærkninger tabel 6.2.
Uddannelses- og Forskningsministeriets beregninger pba. data fra Danmarks Statistik.
IT-Universitetet har den største andel af engelsksprogede studerende blandt de stude-
rende på bacheloruddannelserne ved universiteterne. Det største antal af engelskspro-
gede studerende er derimod på Aalborg Universitet.
Tabel 6.5
Antal og andel af engelsksprogede studerende på akademiske bacheloruddannelser (be-
stand), 2014-2016
2014
Copenhagen Business School - Handelshøjskolen
Eng.-spr.
Dan.-spr.
I alt
Danmarks Tekniske Universitet
Eng.-spr.
Dan.-spr.
I alt
Det Kongelige Danske Kunstakademis Skoler for Arkitektur,
Design og Konservering
Eng.-spr.
Dan.-spr.
I alt
IT-Universitetet i København
Eng.-spr.
Dan.-spr.
I alt
Københavns Universitet
Eng.-spr.
Dan.-spr.
I alt
Roskilde Universitet
Eng.-spr.
Dan.-spr.
I alt
Syddansk Universitet
Eng.-spr.
Dan.-spr.
I alt
Aalborg Universitet
Eng.-spr.
Dan.-spr.
I alt
324
6.968
7.292
23
2.788
2.811
24
961
985
36
620
656
176
22.010
22.186
164
4.422
4.586
639
12.820
13.459
428
10.537
10.965
2015
389
6.942
7.331
25
2.864
2.889
21
976
997
40
606
646
167
21.852
22.019
203
4.529
4.732
583
12.808
13.391
503
10.388
10.891
2016
394
6.771
7.165
34
2.966
3.000
12
952
964
38
640
678
147
20.627
20.774
221
4.414
4.635
492
12.598
13.090
534
10.215
10.749
Andel
2016
5
95
100
1
99
100
1
99
100
6
94
100
1
99
100
5
95
100
4
96
100
5
95
100
Styrelsen for Forskning og Uddannelse
55
UFU, Alm.del - 2017-18 - Bilag 158: Orientering om Justering af engelsksprogede uddannelser, fra uddannelses- og forskningsudvalget
1930108_0056.png
De engelsksprogede studerende
Aarhus Universitet
Eng.-spr.
Dan.-spr.
I alt
372
16.955
17.327
2.189
78.688
80.877
363
16.556
16.919
2.296
78.157
80.453
356
15.901
16.257
2.232
75.717
77.949
2
98
100
3
97
100
Alle
Eng.-spr.
Dan.-spr.
I alt
Anm.:
Kilde:
Se anmærkninger tabel 6.2.
Uddannelses- og Forskningsministeriets beregninger pba. data fra Danmarks Statistik
6.3 Status efter fuldførelse
Tabel 6.6.viser status 2 år efter fuldførelse af en akademisk bacheloruddannelse. Langt
størstedelen af de engelsksprogede dimittender er i uddannelse inden for alle fagområ-
der, dog er det kun knapt halvdelen inden for det samfundsvidenskabelige område, hvor
der til gengæld er en andel på 36 pct., som er udrejst. Inden for det teknisk videnskabe-
lige hovedområde er der også en relativt set høj andel af dimittenderne, der er udrejst 2
år efter fuldførelse (39 pct.).
Tabel 6.6
Status for engelsksprogede dimittender (2014) fra akademiske bacheloruddannelser 2 år ef-
ter afsluttet uddannelse fordelt på faglige områder
Beskæftiget
Humaniora,
bach.
Eng.-spr.
Dan.-spr.
Natur, bach.
Eng.-spr.
Dan.-spr.
Samfund,
bach.
Eng.-spr.
Dan.-spr.
Sundhed,
bach.
Eng.-spr.
Dan.-spr.
Teknik, bach.
Eng.-spr.
Dan.-spr.
I alt
10
6
10
7
5
7
6
3
6
1
2
1
6
1
6
7
Ledig
3
4
3
2
10
1
1
6
1
1
1
1
1
2
1
2
Udrejst
5
30
4
3
13
3
6
36
4
2
0
2
5
39
4
5
I uddannelse
80
55
80
87
67
87
86
49
87
96
96
96
85
52
86
85
Udenfor ar-
bejdsstyrken
3
6
3
1
4
1
2
5
2
0
1
0
2
6
2
2
I alt
100
100
100
100
100
100
100
100
100
100
100
100
100
100
100
100
Antal
4.925
97
4.828
2.561
58
2.503
6.782
273
6.509
1.678
11
1.667
1.615
47
1.568
17.561
Styrelsen for Forskning og Uddannelse
56
UFU, Alm.del - 2017-18 - Bilag 158: Orientering om Justering af engelsksprogede uddannelser, fra uddannelses- og forskningsudvalget
1930108_0057.png
De engelsksprogede studerende
Anm.: Felter med under 10 personer vises ikke og heller ikke andele, hvor beregningsgrundlaget er under
10 personer
Kilde: Uddannelses- og Forskningsministeriets beregninger pba. data fra Danmarks Statistik
Det ses af tabel 6.7, at 87 pct. af de engelsksprogede dimittender fra en akademiske
bacheloruddannelse fra Københavns Universitet er i uddannelse 2 år efter fuldførelse. Til
sammenligning er det kun 32 pct. af dimittenderne fra Syddansk Universitet, der er i ud-
dannelse 2 år efter fuldførelse, mens 58 pct. er udrejst af Danmark .
Tabel 6.7
Status for engelsksprogede dimittender (2014) fra akademiske bacheloruddannelser 2 år ef-
ter afsluttet uddannelse fordelt på institutioner
Beskæf-
tiget
Arkitektskolen Aarhus
Dan.-spr.
Copenhagen Business School - Handelshøjskolen
Eng.-spr.
Dan.-spr.
Danmarks Tekniske Universitet
Eng.-spr.
Dan.-spr.
Designskolen Kolding
Dan.-spr.
Det Kongelige Danske Kunstakademis Skoler for
Arkitektur, Design og Konservering
Eng.-spr.
Dan.-spr.
IT-Universitetet i København
Dan.-spr.
Københavns Universitet
Eng.-spr.
Dan.-spr.
Roskilde Universitet
Eng.-spr.
Dan.-spr.
Syddansk Universitet
Eng.-spr.
Dan.-spr.
Aalborg Universitet
Eng.-spr.
Dan.-spr.
Aarhus Universitet
6
6
6
4
6
3
3
3
11
11
13
0
13
18
18
6
4
6
8
4
9
8
2
9
7
5
8
5
Ledig
Udrejst
I uddan-
nelse
77
77
83
69
84
93
58
93
73
73
65
33
65
76
77
87
87
87
83
57
84
80
32
84
84
53
86
88
Udenfor
arbejds-
styrken
6
6
2
7
2
1
3
1
4
4
8
30
7
1
1
2
1
2
3
10
3
2
4
2
2
7
2
2
I alt
Antal
1
1
1
4
1
1
0
1
4
4
1
0
1
1
1
1
4
1
2
9
1
2
3
2
3
12
2
1
10
10
7
15
7
3
36
3
8
8
13
36
13
4
3
4
4
4
3
19
3
7
58
3
3
24
3
4
100
100
100
100
100
100
100
100
100
100
100
100
100
100
100
100
100
100
100
100
100
100
100
100
100
100
100
100
126
124
1.866
82
1.784
508
7
501
61
61
267
3
264
136
135
4.583
28
4.555
1.200
26
1.174
2.531
154
2.377
2.220
101
2.119
4.063
Styrelsen for Forskning og Uddannelse
57
UFU, Alm.del - 2017-18 - Bilag 158: Orientering om Justering af engelsksprogede uddannelser, fra uddannelses- og forskningsudvalget
1930108_0058.png
De engelsksprogede studerende
Eng.-spr.
Dan.-spr.
I alt
5
5
7
4
1
2
20
4
5
69
89
85
3
2
2
100
100
100
82
3.981
17.561
Anm.: Evt. anmærkning til tabel 6.6.
Kilde: Uddannelses- og Forskningsministeriets beregninger pba. data fra Danmarks Statistik
Styrelsen for Forskning og Uddannelse
58
UFU, Alm.del - 2017-18 - Bilag 158: Orientering om Justering af engelsksprogede uddannelser, fra uddannelses- og forskningsudvalget
1930108_0059.png
De engelsksprogede studerende
7. De engelsksprogede
kandidatuddannelser
7.1 Tilgangen til kandidatuddannelser
Tabel 7.1 viser tilgangen af henholdsvis dansk- og engelsksprogede studerende til kan-
didatuddannelserne. Det fremgår af tabellen, at andelen af engelsksprogede studerende
er størst inden for de tekniske uddannelser på kandidatuddannelserne, mens det højeste
antal engelsksprogede studerende har påbegyndt en samfundsvidenskabelig uddan-
nelse i 2016.
Tabel 7.1
Tilgang (antal nye studerende) til kandidatuniversitetsuddannelser fordelt på dansk- og en-
gelsksprogede studerende, 2014-2016
2014
Humaniora
Eng.-spr.
Dan.-spr.
I alt
Natur
Eng.-spr.
Dan.-spr.
I alt
Samfund
Eng.-spr.
Dan.-spr.
I alt
Sundhed
Eng.-spr.
Dan.-spr.
I alt
Teknik
Eng.-spr.
Dan.-spr.
I alt
Alle
Eng.-spr.
Dan.-spr.
I alt
692
5.678
6.370
525
2.656
3.181
1.413
8.378
9.791
91
2.300
2.391
1.101
2.422
3.523
3.822
21.434
25.256
2015
704
5.645
6.349
560
2.702
3.262
1.595
7.912
9.507
122
2.247
2.369
1.234
2.770
4.004
4.215
21.276
25.491
2016
661
5.712
6.373
654
3.019
3.673
1.616
9.019
10.635
147
2.542
2.689
1.350
2.880
4.230
4.428
23.172
27.600
Andel 2016
10
90
100
18
82
100
15
85
100
5
95
100
32
68
100
16
84
100
Anm. 1: Pga. et højt antal studerende med ukendt cpr. nr. i tilgangen for de seneste år (pt. 2017) er det
ikke muligt at opdele i engelsk- og dansksprogede. Derfor er data for 2016 seneste dataår.
Anm. 2: Tallene vedrører endvidere kun delte kandidatuddannelser inden for Ministeriet for Forskning og
Uddannelses ressortområde.
Anm. 3.: Felter med under 10 personer vises ikke og heller ikke andele, hvor beregningsgrundlaget er un-
der 10 personer
Kilde:
Uddannelses- og Forskningsministeriets beregninger pba. data fra Danmarks Statistik
Styrelsen for Forskning og Uddannelse
59
UFU, Alm.del - 2017-18 - Bilag 158: Orientering om Justering af engelsksprogede uddannelser, fra uddannelses- og forskningsudvalget
1930108_0060.png
De engelsksprogede studerende
I tabel 7.2 ses udviklingen og andelen af dansk- og engelsksprogede studerende fordelt
på institutionerne. Det er på Danmarks Tekniske Universitet, at den største andel af en-
gelsksprogede studerende har påbegyndt en uddannelse i 2016. Det højeste antal af
påbegyndte engelsksprogede studerende findes på Københavns Universitet med 791,
mens antallet var næsthøjest 787 på Aalborg Universitet.
Tabel 7.2
Tilgang (nye studerende) til kandidatuddannelser på universiteterne fordelt på dansk- og
engelsksprogede studerende (antal og andel), 2014-2016
2014
Arkitektskolen Aarhus
Eng.-spr.
Dan.-spr.
I alt
Copenhagen Business School - Handelshøjskolen
Eng.-spr.
Dan.-spr.
I alt
Danmarks Tekniske Universitet
Eng.-spr.
Dan.-spr.
I alt
Designskolen Kolding
Eng.-spr.
Dan.-spr.
I alt
Det Kongelige Danske Kunstakademis Skoler for
Arkitektur, Design og Konservering
Eng.-spr.
Dan.-spr.
I alt
IT-Universitetet i København
Eng.-spr.
Dan.-spr.
I alt
Københavns Universitet
Eng.-spr.
Dan.-spr.
I alt
Roskilde Universitet
Eng.-spr.
Dan.-spr.
I alt
Syddansk Universitet
Eng.-spr.
Dan.-spr.
I alt
Aalborg Universitet
Eng.-spr.
Dan.-spr.
I alt
Aarhus Universitet
Eng.-spr.
Dan.-spr.
40
127
167
597
2.650
3.247
458
922
1.380
16
53
69
41
240
281
70
375
445
609
5.100
5.709
102
1.157
1.259
602
2.756
3.358
818
3.011
3.829
469
5.043
2015
13
125
138
686
2.466
3.152
596
1.070
1.666
24
43
67
61
221
282
85
323
408
813
5.156
5.969
97
959
1.056
505
2.938
3.443
808
2.961
3.769
527
5.014
2016
22
110
132
744
2.531
3.275
726
1.159
1.885
16
45
61
54
252
306
98
381
479
791
5.808
6.599
180
1.244
1.424
476
3.014
3.490
787
3.276
4.063
534
5.352
Andel 2016
17
83
100
23
77
100
39
61
100
26
74
100
18
82
100
20
80
100
12
88
100
13
87
100
14
86
100
19
81
100
9
91
Styrelsen for Forskning og Uddannelse
60
UFU, Alm.del - 2017-18 - Bilag 158: Orientering om Justering af engelsksprogede uddannelser, fra uddannelses- og forskningsudvalget
1930108_0061.png
De engelsksprogede studerende
I alt
Alle
Eng.-spr.
Dan.-spr.
I alt
5.512
3.822
21.434
25.256
5.541
4.215
21.276
25.491
5.886
4.428
23.172
27.600
100
16
84
100
Anm.:
Kilde:
Se anmærkninger til tabel 7.1.
Uddannelses- og Forskningsministeriets beregninger pba. data fra Danmarks Statistik
Tabel 7.3 belyser udviklingen i tilgangen af engelsksprogede studerende til universitets-
afdelingerne (eksklusiv hovedafdelinger).
Tabel 7.3
Tilgang (nye studerende) til kandidatuddannelserne fordelt på l afdelinger på universiteterne
fordelt på dansk- og engelsksprogede studerende (antal og andel), 2014-2016
2014
Syddansk Universitet - Kolding
Eng.-spr.
Dan.-spr.
I alt
Syddansk Universitet - Esbjerg
Eng.-spr.
Dan.-spr.
I alt
Syddansk Universitet - Slagelse
Eng.-spr.
Dan.-spr.
I alt
Syddansk Universitet - Sønderborg
Eng.-spr.
Dan.-spr.
I alt
Aalborg Universitet - Esbjerg
Eng.-spr.
Dan.-spr.
I alt
Aalborg Universitet - København
Eng.-spr.
Dan.-spr.
I alt
Aarhus Universitet - Herning
Eng.-spr.
Dan.-spr.
I alt
Aarhus Universitet - Emdrup
Eng.-spr.
Dan.-spr.
I alt
71
72
143
34
38
72
253
787
1.040
25
56
81
31
541
572
57
320
377
75
111
186
2015
43
324
367
76
95
171
13
51
64
54
52
106
38
24
62
251
681
932
23
75
98
19
554
573
68
44
112
23
55
78
200
698
898
25
73
98
22
521
543
61
39
100
29
71
100
22
78
100
26
74
100
4
96
100
2016
37
330
367
67
120
187
Andel 2016
10
90
100
36
64
100
Anm.:
Kilde:
Se anmærkninger til tabel 7.1. Tallene vedrører kun kandidatuddannelser inden for Ministeriet for
Forskning og Uddannelses ressortområde på universitetsafdelinger med flere afdelinger, ekskl.
”hovedafdelingen.
Uddannelses- og Forskningsministeriets beregninger pba. data fra Danmarks Statistik
Styrelsen for Forskning og Uddannelse
61
UFU, Alm.del - 2017-18 - Bilag 158: Orientering om Justering af engelsksprogede uddannelser, fra uddannelses- og forskningsudvalget
1930108_0062.png
De engelsksprogede studerende
Andelen af tilgangen af engelsksprogede studerende på Syddansk Universitet i Sønder-
borg er 61 pct., mens andelen er 36 pct. på Syddansk Universitet i Esbjerg i 2016.
7.2 Antallet af studerende på engelsksprogede
kandidatuddannelser
Tabel 7.4 viser andelen af engelsksprogede studerende på hovedområderne på kandi-
datuddannelserne. Den største andel af engelsksprogede studerende er på teknisk vi-
denskab, hvor andelen er 31 pct. Det største optag af engelsksprogede studerende er
dog på samfundsvidenskab, hvor cirka 39 pct. af alle engelsksprogede studerende er
indskrevet.
Tabel 7.4
Antal studerende på akademiske bachelorfordelt på dansk- og engelsksprogede studerende
og faglige områder, 2014-2016
2014
Humaniora
Eng.-spr.
Øvrige
I alt
Natur
Eng.-spr.
Øvrige
I alt
Samfund
Eng.-spr.
Øvrige
I alt
Sundhed
Eng.-spr.
Øvrige
I alt
Teknik
Eng.-spr.
Øvrige
I alt
Alle
Eng.-spr.
Øvrige
I alt
1.890
16.413
18.303
1.354
6.738
8.092
3.683
23.327
27.010
255
6.635
6.890
2.209
5.377
7.586
9.391
58.490
67.881
2015
1.909
15.796
17.705
1.339
6.892
8.231
4.045
23.386
27.431
288
6.979
7.267
2.525
5.701
8.226
10.106
58.754
68.860
2016
1.705
14.274
15.979
1.418
6.766
8.184
3.835
21.404
25.239
311
7.036
7.347
2.650
5.840
8.490
9.919
55.320
65.239
Andel 2016
11
89
100
17
83
100
15
85
100
4
96
100
31
69
100
15
85
100
Anm.:
Kilde:
Se anmærkninger til tabel 7.1.
Uddannelses- og Forskningsministeriets beregninger pba. data fra Danmarks Statistik
Tabel 7.5 viser andelen af engelsksprogede studerende på de enkelte universiteters
kandidatuddannelser.
Styrelsen for Forskning og Uddannelse
62
UFU, Alm.del - 2017-18 - Bilag 158: Orientering om Justering af engelsksprogede uddannelser, fra uddannelses- og forskningsudvalget
1930108_0063.png
De engelsksprogede studerende
Tabel 7.5
Antal og andel af engelsksprogede studerende på kandidatuddannelser (bestand), 2014-
2016
2014
Arkitektskolen Aarhus
Eng.-spr.
Øvrige
I alt
Copenhagen Business School - Handelshøjskolen
Eng.-spr.
Øvrige
I alt
Danmarks Tekniske Universitet
Eng.-spr.
Øvrige
I alt
Designskolen Kolding
Eng.-spr.
Øvrige
I alt
Det Kongelige Danske Kunstakademis Skoler
for Arkitektur, Design og Konservering
Eng.-spr.
Øvrige
I alt
IT-Universitetet i København
Eng.-spr.
Øvrige
I alt
Københavns Universitet
Eng.-spr.
Øvrige
I alt
Roskilde Universitet
Eng.-spr.
Øvrige
I alt
Syddansk Universitet
Eng.-spr.
Øvrige
I alt
Aalborg Universitet
Eng.-spr.
Øvrige
I alt
Aarhus Universitet
Eng.-spr.
Øvrige
I alt
Alle
Eng.-spr.
Øvrige
I alt
47
298
345
1.572
8.204
9.776
988
2.154
3.142
22
121
143
116
732
848
193
1.057
1.250
1.632
15.030
16.662
232
3.040
3.272
1.665
6.764
8.429
1.596
6.108
7.704
1.328
14.982
16.310
9.391
58.490
67.881
2015
43
300
343
1.853
8.119
9.972
1.177
2.291
3.468
41
98
139
120
655
775
195
926
1.121
1.804
15.116
16.920
238
2.942
3.180
1.582
7.420
9.002
1.722
6.409
8.131
1.331
14.478
15.809
10.106
58.754
68.860
2016
46
277
323
1.822
6.525
8.347
1.378
2.423
3.801
40
90
130
123
545
668
206
894
1.100
1.890
14.659
16.549
324
2.982
3.306
1.206
7.066
8.272
1.658
6.660
8.318
1.226
13.199
14.425
9.919
55.320
65.239
Andel 2016
14
86
100
22
78
100
36
64
100
31
69
100
18
82
100
19
81
100
11
89
100
10
90
100
15
85
100
20
80
100
8
92
100
15
85
100
Anm.:
Kilde:
Se anmærkninger til tabel 7.1.
Uddannelses- og Forskningsministeriets beregninger pba. data fra Danmarks Statistik
Styrelsen for Forskning og Uddannelse
63
UFU, Alm.del - 2017-18 - Bilag 158: Orientering om Justering af engelsksprogede uddannelser, fra uddannelses- og forskningsudvalget
1930108_0064.png
De engelsksprogede studerende
Den største andel af engelsksprogede studerende på kandidatuddannelserne ses på
DTU’s kandidatuddannelser (36 pct.) efterfulgt af Designskolen Kolding (31 pct.).
I forhold til alene universiteterne kan andelen af engelsksprogede studerende ses i figur
7.1.
Figur 7.1
Andelen af engelsksprogede studerende på kandidatuddanneler fordelt på universiteterne
(bestand), pct., 2016
Pct.
40
35
30
25
20
15
10
5
0
CBS
DTU
ITU
KU
RUC
SDU
AAU
AU
22
19
15
11
10
8
20
20
15
10
5
0
36
Pct.
40
35
30
25
Anm.:
Kilde:
Se anmærkninger tabel 7.1.
Uddannelses- og Forskningsministeriets beregninger pba. data fra Danmarks Statistik
Andelen af engelsksprogede studerende varierer meget fra afdeling til afdeling på de
enkelte universiteter, jf. Figur 7.2.
Den største andel af engelsksprogede på universiteternes underafdelinger ses på Syd-
dansk Universitets afdeling i Sønderborg, hvor 60 pct. af de studerende er engelskspro-
gede.
Styrelsen for Forskning og Uddannelse
64
UFU, Alm.del - 2017-18 - Bilag 158: Orientering om Justering af engelsksprogede uddannelser, fra uddannelses- og forskningsudvalget
1930108_0065.png
De engelsksprogede studerende
Figur 7.2
Andelen af engelsksprogede studerende fordelt på kandidatuddannelserne på universite-
terne og deres underafdelinger (bestand), pct., 2016
Pct.
70
60
60
50
40
30
20
10
0
SDU -
Kolding
SDU -
Esbjerg
SDU -
Slagelse
SDU -
Sønderborg
AAU -
Esbjerg
AAU -
København
AU -
Herning
AU -
Emdrup
16
29
24
14
60
50
40
30
20
10
0
Pct.
70
44
44
4
Anm.:
Kilde:
Se anmærkninger til tabel 7.1.
Uddannelses- og Forskningsministeriets beregninger pba. data fra Danmarks Statistik
7.3 Status efter fuldførelse
I hvor høj grad, de engelsksprogede universitetsstuderende bliver og finder beskæfti-
gelse i Danmark efter endt uddannelse, fremgår af tabel 7.6.
Tabel 7.6
Status for engelsksprogede dimittender (2014) fra kandidatuddannelser på universiteterne 2
år efter afsluttet uddannelse fordelt på hovedområder, pct.
Beskæftiget
Humaniora
Eng.-spr.
Dan.-spr.
Natur
Eng.-spr.
Dan.-spr.
Samfund
Eng.-spr.
Dan.-spr.
Sundhed
Eng.-spr.
67
25
71
73
37
79
72
28
78
84
59
Ledig
14
15
14
8
9
8
7
12
6
2
5
Udrejst
9
45
6
13
42
8
15
48
11
10
22
I uddannelse
1
2
1
0
0
1
0
1
0
0
1
Udenfor arbejdsstyrken
9
13
8
6
12
5
5
12
4
3
12
I alt
100
100
100
100
100
100
100
100
100
100
100
Antal
4.077
371
3.706
2.673
384
2.289
6.660
812
5.848
1.585
57
Styrelsen for Forskning og Uddannelse
65
UFU, Alm.del - 2017-18 - Bilag 158: Orientering om Justering af engelsksprogede uddannelser, fra uddannelses- og forskningsudvalget
1930108_0066.png
De engelsksprogede studerende
Dan.-spr.
Teknik
Eng.-spr.
Dan.-spr.
I alt
85
71
43
79
72
2
7
11
6
9
10
16
33
10
13
0
0
1
0
1
3
6
12
4
6
100
100
100
100
100
1.528
2.539
623
1.916
17.534
Anm.1..: Felter med under 10 personer vises ikke og heller ikke andele, hvor beregningsgrundlaget er un-
der 10 personer.
Anm.2.:
Personer, der er i gang med en ph.d. uddannelse, indgår under kategorien ”Beskæftiget”.
Kilde: Uddannelses- og Forskningsministeriets beregninger pba. data fra Danmarks Statistik
34 pct. af de engelsksprogede dimittender fra kandidatuddannelser er i beskæftigelse i
Danmark 2 år efter dimission. Dertil er 77 pct. af de dansksprogede studerende i be-
skæftigelse 2 år efter fuldendt uddannelse.
Figur 7.3 illustrer grafisk forskellene i status mellem hovedområderne for de engelsk-
sprogede dimittender fra kandidatuddannelserne.
Figur 7.3
Status for engelsksprogede dimittender (2014) fra kandidatuddannelser 2 år efter afsluttet
uddannelse fordelt på hovedområder
Pct.
100
Pct.
100
80
80
60
60
40
40
20
20
0
Humaniora
Beskæftiget
Ledig
Natur
Udrejst
Samfund
I uddannelse
Sundhed
Teknik
Alle
0
Udenfor arbejdsstyrken
Anm.: Se anmærkning tabel 7.6.
Kilde: Uddannelses- og Forskningsministeriets beregninger pba. data fra Danmarks Statistik
Andelen af engelsksprogede dimittender i beskæftigelse eller fortsat uddannelse er hø-
jest inden for sundhed (59 pct.), hvor antallet af engelsksprogede dimittender dog er
lavt, og teknik (43 pct.). Andelen af engelsksprogede dimittender, der har forladt landet
er højest inden for samfund (48 pct.).
Styrelsen for Forskning og Uddannelse
66
UFU, Alm.del - 2017-18 - Bilag 158: Orientering om Justering af engelsksprogede uddannelser, fra uddannelses- og forskningsudvalget
1930108_0067.png
De engelsksprogede studerende
Da relativt få af de dansksprogede studerende forlader landet efter endt uddannelse
sammenlignes arbejdsmarkedsstatus for henholdsvis de engelsk- og de dansksprogede
kandidater, der fortsat er i landet 2 år efter dimission i tabel 7.7.
Tabel 7.7
Arbejdsmarkedsstatus for dimittender (2014) fra kandidatuddannelser på universiteterne,
der fortsat er landet 2 år efter afsluttet uddannelse fordelt på hovedområder
Humaniora
Eng.-spr.
Dan.-spr.
Natur
Eng.-spr.
Dan.-spr.
Samfund
Eng.-spr.
Dan.-spr.
Sundhed
Eng.-spr.
Dan.-spr.
Teknik
Eng.-spr.
Dan.-spr.
I alt
Beskæfti-
get
73
45
75
83
64
85
85
53
88
93
76
94
84
65
88
83
Ledig
16
27
15
10
15
9
8
22
7
3
7
3
9
17
7
10
I uddan-
nelse
1
3
1
0
0
1
0
1
0
0
2
0
0
1
0
1
Udenfor ar-
bejdsstyrken
10
25
9
7
21
5
6
23
5
4
15
3
7
17
5
7
I alt
100
100
100
100
100
100
100
100
100
100
100
100
100
100
100
100
Antal
4.077
371
3.706
2.673
384
2.289
6.660
812
5.848
1.585
57
1.528
2.539
623
1.916
17.534
Anm.:
Anm.:
Kilde:
Se anmærkninger tabel 7.6.
I kategorien "Antal" er vist alle dimittender fra 2014, også dem som er udrejst og som ikke ind-
går i de fire kolonner vedr. arbejdsmarkedsstatus. Ca. 2.298 af de 17.534 personer var udrejst på
opgørelsestidspunktet.
Uddannelses- og Forskningsministeriets beregninger pba. data fra Danmarks Statistik
85 pct. af de dansksprogede dimittender fra kandidatuddannelserne i 2014, der fortsat
var i landet 2 år efter dimission, var i beskæftigelse, mens dette kun gælder 58 pct. af de
engelsksprogede studerende. Forskellen i beskæftigelsesandelen mellem de engelsk- og
de dansksprogede studerende er særlig stor på det samfundsvidenskabelige område,
hvor 88 pct. af de dansksprogede og 53 pct. af de engelsksprogede er i beskæftigelse.
Tabel 7.8 viser status for de engelsksprogede dimittender opdelt i forhold til de enkelte
universiteter. Andelen af engelsksprogede kandidater, der er i beskæftigelse (inkluderet
ph.d.er), er højest på Roskilde Universitet (47 pct.), Danmarks Tekniske Universitet (48
pct.) og IT-Universitetet (49 pct.).
Styrelsen for Forskning og Uddannelse
67
UFU, Alm.del - 2017-18 - Bilag 158: Orientering om Justering af engelsksprogede uddannelser, fra uddannelses- og forskningsudvalget
1930108_0068.png
De engelsksprogede studerende
Tabel 7.8
Status for engelsksprogede dimittender (2014) fra kandidatuddannelser 2 år efter afsluttet
uddannelse fordelt på uddannelsesinstitution, pct.
Be-
skæfti-
get
Ledig
Ud-
rejst
I ud-
dan-
nelse
Uden-
for ar-
bejds-
styr-
ken
11
11
11
6
19
4
6
13
3
11
I alt
Antal
Arkitektskolen Aarhus
Eng.-spr.
Dan.-spr.
Copenhagen Business School - Handelshøjskolen
Eng.-spr.
Dan.-spr.
Danmarks Tekniske Universitet
Eng.-spr.
Dan.-spr.
Designskolen Kolding
Eng.-spr.
Dan.-spr.
Det Kongelige Danske Kunstakademis Skoler for Ar-
kitektur, Design og Konservering
Eng.-spr.
Dan.-spr.
IT-Universitetet i København
Eng.-spr.
Dan.-spr.
Københavns Universitet
Eng.-spr.
Dan.-spr.
Roskilde Universitet
Eng.-spr.
Dan.-spr.
Syddansk Universitet
Eng.-spr.
Dan.-spr.
Aalborg Universitet
Eng.-spr.
Dan.-spr.
Aarhus Universitet
Eng.-spr.
Dan.-spr.
I alt
48
17
54
65
26
71
74
48
84
52
13
20
12
5
6
5
5
8
4
24
28
52
22
23
49
19
15
30
9
11
0
0
0
0
0
0
0
1
0
1
100
100
100
100
100
100
100
100
100
100
153
28
125
2.109
253
1.856
1.155
319
836
85
54
50
45
50
81
49
86
73
39
77
74
47
76
71
28
80
69
29
79
77
28
81
72
26
17
21
17
6
4
6
8
11
7
14
18
14
8
11
8
11
18
10
8
11
8
9
8
20
20
20
8
40
2
12
36
10
4
15
3
15
52
6
12
42
5
10
51
6
13
1
1
0
1
0
0
0
0
0
0
0
0
0
1
2
1
1
1
1
0
1
0
1
11
12
14
11
6
7
5
7
14
6
7
19
6
5
7
5
6
11
5
5
9
4
6
100
100
100
100
100
100
100
100
100
100
100
100
100
100
100
100
100
100
100
100
100
100
100
81
289
34
255
358
49
309
4.518
446
4.072
984
69
915
1.695
315
1.380
2.126
401
1.725
4.062
329
3.733
17.534
Anm.: Se anmærkninger til tabel 7.6.
Kilde: Uddannelses- og Forskningsministeriets beregninger pba. data fra Danmarks Statistik
Tabel 7.9 viser status for de engelsksprogede dimittender fra de universiteter, der har
flere afdelinger. Det ses, at kandidaterne fra Syddansk Universitet i Esbjerg og Sønder-
borg i høj grad forlader landet efter endt uddannelse. Henholdsvis 73 pct. og 52 pct. af
dimittenderne fra 2014 har således forladt landet 2 år efter dimission i 2016.
Styrelsen for Forskning og Uddannelse
68
UFU, Alm.del - 2017-18 - Bilag 158: Orientering om Justering af engelsksprogede uddannelser, fra uddannelses- og forskningsudvalget
1930108_0069.png
De engelsksprogede studerende
Tabel 7.9
Status for dimittender (2014) fra universitetskandidatuddannelser 2 år efter afsluttet ud-
dannelse fordelt på afdelinger, pct.
Beskæf-
tiget
DPU, Aarhus Universitet, Emdrup
Eng.-spr.
Dan.-spr.
Syddansk Universitet, Campus Kol-
ding
Eng.-spr.
Dan.-spr.
Syddansk Universitet, Esbjerg
Eng.-spr.
Dan.-spr.
Syddansk Universitet, Odense
Eng.-spr.
Dan.-spr.
Syddansk Universitet, Slagelse
Dan.-spr.
Syddansk Universitet, Sønderborg
Eng.-spr.
Dan.-spr.
Aalborg Universitet
Eng.-spr.
Dan.-spr.
Aalborg Universitet København
Eng.-spr.
Dan.-spr.
Aarhus Universitet
Eng.-spr.
Dan.-spr.
Aarhus Universitet i Herning
Eng.-spr.
Dan.-spr.
62
0
86
81
33
85
45
11
75
74
30
80
85
85
38
33
69
68
25
79
74
50
78
77
28
81
75
36
89
Ledig
Udrejst
I uddan-
nelse
0
0
0
1
11
1
2
1
3
1
2
1
0
0
0
0
0
1
1
1
1
0
1
0
1
0
0
0
0
Udenfor
arbejds-
styrken
10
30
2
4
2
4
9
9
10
5
8
5
1
1
5
6
1
5
10
4
9
13
8
5
9
4
5
4
5
I alt
Antal
3
0
4
6
4
6
9
7
10
9
15
8
10
10
8
9
4
12
18
10
11
15
10
9
11
8
5
13
2
25
70
8
7
50
4
35
73
2
11
44
7
4
4
49
52
27
14
46
6
6
23
3
10
51
6
15
48
4
100
100
100
100
100
100
100
100
100
100
100
100
100
100
100
100
100
100
100
100
100
100
100
100
100
100
100
100
100
36
10
26
207
14
193
122
57
65
1.237
152
1.085
22
22
107
92
15
1.676
325
1.351
427
69
358
3.946
298
3.648
80
21
59
Anm.: Se anmærkninger til tabel 7.6.
Kilde: Uddannelses- og Forskningsministeriets beregninger pba. data fra Danmarks Statistik
Styrelsen for Forskning og Uddannelse
69