Uddannelses- og Forskningsudvalget 2017-18
UFU Alm.del Bilag 158
Offentligt
1930106_0001.png
Offentlige
indtægter og
udgifter ved
internationale
studerende
2018
UFU, Alm.del - 2017-18 - Bilag 158: Orientering om Justering af engelsksprogede uddannelser, fra uddannelses- og forskningsudvalget
1930106_0002.png
Offentlige indtægter og udgifter ved internationale studerende
Udgivet af
Uddannelses- og Forskningsministeriet
Børsgade 4
Postboks 2135
1015 København K
Tel.: 3392 9700
[email protected]
www.ufm.dk
Publikationen kan hentes på ufm.dk/publikationer
ISBN (elektronisk publikation): 978-87-92572-90-5
Uddannelses- og Forskningsministeriet
2
UFU, Alm.del - 2017-18 - Bilag 158: Orientering om Justering af engelsksprogede uddannelser, fra uddannelses- og forskningsudvalget
Offentlige indtægter og
udgifter ved
internationale
studerende
[Undertitel]
2018
Offentlige indtægter og udgifter ved internationale studerende
Uddannelses- og Forskningsministeriet
3
UFU, Alm.del - 2017-18 - Bilag 158: Orientering om Justering af engelsksprogede uddannelser, fra uddannelses- og forskningsudvalget
Offentlige indtægter og udgifter ved internationale studerende
Indhold
Indhold
1. Sammenfatning
1.1 Hver tiende studerende i Danmark er en international studerende
1.2 Halvdelen af internationale dimittender er udvandret efter fire år
1.3 Knap hver tredje internationale studerende bidrager positivt til de
offentlige finanser
1.4 Skønnet nettobidrag på mellem 100.000 og 350.000 kr. pr.
studerende
1.5 Sammenligning med andre undersøgelser
4
6
8
12
16
18
21
2. Hvem er de internationale studerende?
22
2.1 Internationale studerende på danske videregående uddannelser
24
2.1.1 Internationale studerendes adgang til SU
30
2.1.2 Internationale studerendes valg af uddannelse
32
2.1.3 Internationale studerendes frafald på studiet
34
2.2 Hvad gør de internationale studerende efter endt studie?
36
2.2.1 Internationale dimittenders udvandring og videre uddannelse 36
2.2.2 Internationale studerendes beskæftigelse og løn efter studie 40
3. Internationale studerendes nettobidrag til de offentlige
finanser
3.1 Halvdelen af de internationale studerende er udrejst 5 år efter
studiestart
3.2 Knap én ud af tre internationale studerende giver flere offentlige
indtægter end udgifter
3.3 Lavere udrejsetilbøjelighed øger det skønnede nettobidrag
3.4 Andre effekter af internationale studerende i Danmark
47
50
51
57
59
4. Tidligere undersøgelser
4.1 Danske undersøgelser
4.1.1 Analyser af offentlige indtægter og udgifter som kan
personhenføres
4.1.2 Analyser som inkluderer samtlige offentlige indtægter og
udgifter
4.1.3 Oversigt over tidligere danske studier af internationale
studerende
61
61
61
63
64
Uddannelses- og Forskningsministeriet
4
UFU, Alm.del - 2017-18 - Bilag 158: Orientering om Justering af engelsksprogede uddannelser, fra uddannelses- og forskningsudvalget
Offentlige indtægter og udgifter ved internationale studerende
4.2 Internationale undersøgelser
4.2.1 Primært studier som undersøger bidraget til
uddannelsessektoren
4.2.2 Metodeoverblik for internationale studier
4.3 Metode til beregning af nettobidrag til de offentlige finanser
4.3.1 Datagrundlag for beregningerne
4.3.2 SU-udgifter
4.3.3 Uddannelsesudgifter
4.3.4 Beregningen af nettobidrag til de offentlige finanser
4.4 Referencer
4.4.1 Danske undersøgelser
4.4.2 Internationale undersøgelser
69
69
70
73
74
75
76
77
82
82
82
5. Bilag
5.1 Studerende med administrative cpr-numre
5.2 Gruppering af EU-lande
5.3 Internationale studerende
5.3.1 Fordeling på uddannelseshovedområder
5.3.2 Fordeling af studietid
5.4 Poster fra den offentlige saldo som udgår af beregningerne
83
83
84
85
85
87
88
Uddannelses- og Forskningsministeriet
5
UFU, Alm.del - 2017-18 - Bilag 158: Orientering om Justering af engelsksprogede uddannelser, fra uddannelses- og forskningsudvalget
1930106_0006.png
Offentlige indtægter og udgifter ved internationale studerende
1. Sammenfatning
- Antallet af internationale studerende har været støt stigende siden 2004. Væksten i antal-
let af internationale studerende fra EU/EØS-lande lader ikke til at være påvirket af de for-
bedrede muligheder for at modtage SU for vandrende arbejdstagere efter EU-dommen
fra 2013.
- Sammensætningen af internationale studerende har ændret sig. Ca. 22 pct. af de interna-
tionale studerende, som startede på en videregående uddannelse i 2015, kommer fra
Norden, 26 pct. kommer fra de øvrige
”gamle” EU/EØS-lande
og 41 pct. stammer fra
”nye” EU-lande
(fortrinsvist Østeuropa). De resterende 12 pct. udgøres af studerende fra
lande uden for EU/EØS. I 2004 udgjorde nordiske studerende omkring 49 pct., mens stu-
derende fra ”gamle” og ”nye” EU-lande
udgjorde henholdsvis omkring 12 pct. og 7 pct.
- Knap hver femte internationale studerende gik på en erhvervsakademiuddannelse i 2015,
mens det tilsvarende var knap hver tiende danske studerende. Næsten halvdelen af alle
internationale studerende gik på en kandidatuddannelse, mens det tilsvarende gælder lidt
over hver fjerde danske studerende.
- Knap én ud af tre internationale studerende skønnes samlet set at bidrage positivt til de
offentlige finanser
set over et livsforløb,
mens to ud af tre skønnes at bidrage negativt.
Skønnet inkluderer stort set samtlige offentlige indtægter og udgifter
både kollektive og
individuelle
og dermed også SU.
- Det tager typisk noget tid efter endt uddannelse, før internationale studerendes nettobi-
drag bliver vendt fra at være negativt til positivt. Internationale studerende, som er i Dan-
mark i mindre end 10 år efter studiestart, er således i gennemsnit en negativ forretning,
mens internationale studerende, der bliver i længere tid, derimod er forbundet med et
skønnet gennemsnitligt positivt nettobidrag.
- Samlet set skønnes internationale studerende at bidrage med mellem 100.000 og
350.000 kr. pr. studerende
set over et livsforløb.
Det svarer til mellem 2.000 kr. og 7.500
kr. i gennemsnit pr. studerende pr. år fra studiestart og 50 år frem. Skønnet er behæftet
med væsentlig usikkerhed. Det er navnlig skønnet for de potentielle gevinster, som er
usikkert, da eventuelle gevinster typisk først forekommer på længere sigt, hvor data-
grundlaget i sagens natur er tyndest. Det gælder ikke mindst de manglende data for, hvor
længe de internationale studerende bliver i Danmark.
- Ca. hver fjerde internationale studerende på henholdsvis erhvervsakademi- og professi-
onsbacheloruddannelserne skønnes at give et positivt nettobidrag til de offentlige finan-
ser. Nettobidraget er positivt for omtrent hver femte internationale studerende fra de aka-
demiske bacheloruddannelser. På kandidatuddannelserne er det lidt mere end hver
tredje, der skønnes at give et positivt nettobidrag.
- De skønnede nettobidrag afspejler, at omkring halvdelen af internationale studerende er
udvandret fra Danmark fem år efter studiestart. Derudover fortsætter en højere andel af
internationale studerende i uddannelsessystemet. Eksempelvis påbegynder ca. 60 pct. af
internationale studerende på erhvervsakademierne en top-op professionsbacheloruddan-
nelse, mens det er omkring hver tredje danske studerende.
- To år efter endt uddannelse er 38 pct. af internationale studerende, som fortsat er i Dan-
mark, i beskæftigelse. Til sammenligning er 62 pct. af de danske studerende i job to år
efter endt uddannelse.
Uddannelses- og Forskningsministeriet
6
UFU, Alm.del - 2017-18 - Bilag 158: Orientering om Justering af engelsksprogede uddannelser, fra uddannelses- og forskningsudvalget
1930106_0007.png
Offentlige indtægter og udgifter ved internationale studerende
- Blandt internationale studerende, der dimitterede fra en erhvervsakademiuddannelse i
2014, er det 23 pct. af de beskæftigede, der skønnes at varetage opgaver på mellem el-
ler højt vidensniveau. Blandt danske dimittender er det derimod 41 pct. For professions-
bacheloruddannede udgør andelen henholdsvis 44 pct. og 75 pct. og blandt kandidatud-
dannede henholdsvis 59 pct. og 72 pct.
- Internationale dimittender fra erhvervsakademiuddannelser tjener i gennemsnit 27.500 kr.
om måneden i andet år efter dimission. Det er knap 4.000 kr. mindre om måneden end
danske dimittender fra erhvervsakademiuddannelserne. Internationale dimittender på an-
dre uddannelsesniveauer tjener (knap) det samme som danske studerende om måne-
den.
- Der er et væsentligt potentiale for at forbedre det samlede regnestykke, hvis en større an-
del af internationale studerende blev i Danmark efter endt uddannelse. Hvis udrejsetilbø-
jeligheden eksempelvis faldt med en fjerdedel ville det skønnede nettobidrag vokse fra
100.000-350.000 kr. til 330.000-660.000 kr. pr. studerende over et livsforløb.
- Skønnet for nettobidraget til de offentlige finanser er behæftet med væsentlig usikkerhed.
Beregningerne er bl.a. baseret på, hvor stor en andel af de internationale studerende,
som historisk set er blevet i Danmark. Da de nye studieårgange er mere tilbøjelige til at
udrejse sammenlignet med de ældre studieårgange, så kan nettobidraget potentielt være
overvurderet.
- Andelen af internationale studerende, som bliver i Danmark efter endt uddannelse, er for-
mentligt påvirket af muligheden for at finde job i Danmark. De internationale studerende
er fulgt i perioden fra 2004 til 2015. De første årgange af internationale studerende er så-
ledes dimitteret i årene op til finanskrisen i 2008, hvor beskæftigelsen voksede. De se-
nere årgange er derimod kommet ud i perioden efter finanskrisen, som var kendetegnet
ved forringede beskæftigelsesmuligheder. Finanskrisen gav dog anledning til nedgang i
beskæftigelsen i de fleste lande, hvorfor tilskyndelsen til at blive og søge job i Danmark
ikke nødvendigvis blev ringere efter finanskrisens udbrud.
- Beregningerne ser alene på konsekvenser af internationale studerende for de offentlige
finanser. Internationale studerende kan have betydning for velstanden som ikke opfanges
i opgørelsen af de offentlige finanser. Internationale studerende kan således øge udbud-
det af kvalificeret arbejdskraft, mens de internationale studerende også kan bidrage di-
rekte og indirekte (f.eks. ved at hæve den generelle produktivitet for deres kollegaer) til at
øge den gennemsnitlige produktivitet i Danmark.
- Internationale studerende kan også have en positiv effekt på læringsmiljøet på den ud-
dannelse, de bliver en del af. Imidlertid kan de samtidig optage studiepladser fra danske
studerende på selvsamme uddannelser. I det omfang fortrængningen forekommer på ud-
dannelser, som giver særligt efterspurgte kompetencer, kan der være tale om et sam-
fundsmæssigt tab, idet internationale studerende udvandrer i langt større omfang end
danske studerende.
Uddannelses- og Forskningsministeriet
7
UFU, Alm.del - 2017-18 - Bilag 158: Orientering om Justering af engelsksprogede uddannelser, fra uddannelses- og forskningsudvalget
1930106_0008.png
Offentlige indtægter og udgifter ved internationale studerende
1.1 Hver tiende studerende i Danmark er en international
studerende
Omkring 36.000 af studerende på de videregående uddannelser i Danmark er udenland-
ske statsborgere. En væsentlig del har været i Danmark i en årrække, men 26.000 stu-
derende er kommet til Danmark tidligst et år før studiestart - såkaldte internationale
studerende. Det er på den baggrund formodningen, at denne gruppe af studerende for-
trinsvist er kommet til Danmark med det formål at studere. Blandt de internationale
studerende er der 72 pct. eller knap 23.000 studerende, der med høj sandsynlighed føl-
ger en engelsksproget uddannelse.
1
Det er internationale studerende, som ikke stammer
fra de nordiske lande, og derfor, som udgangspunkt, ikke kan forventes at kunne tale og
skrive på dansk.
Antallet af internationale studerende er næsten tredoblet fra 2004 til 2016, hvor antal-
let er steget fra 9.000 til 26.000. Det betyder, at internationale studerende er vokset til
at udgøre knap 10 pct. af alle studerende på de videregående uddannelser i 2016, mens
de udgjorde ca. 5 pct. i 2004, jf. figur 1.1.
Figur 1.1
Antal og andel af internationale studerende på alle videregående uddannelser, antal og pct.
af alle studerende på videregående uddannelser, 2004-2016
Antal (1.000)
30
Pct.
12
25
10
20
8
15
6
10
4
5
2
0
2004
0
2005
2006
2007
2008
2009
2010
2011
2012
2013
2014
2015
2016
Studieår
Antal internationale studerende
Andel internationale studerende af alle studerende (h. akse)
Anm.: Se anmærkninger til figuren i figur 2.3.
Kilde: Uddannelses- og Forskningsministeriet på baggrund af data fra Danmarks Statistik.
I 2017 blev antallet af studerende, der blev optaget på en engelsksproget uddannelse,
på erhvervsakademierne og professionshøjskolerne reduceret med 1.765 svarende til en
reduktion på ca. 28 pct. Størstedelen af de reducerede optagne formodes at være inter-
1
Uddannelses- og Forskningsministeriet - De engelsksprogede studerende
Registeranalyse, 2018.
Uddannelses- og Forskningsministeriet
8
UFU, Alm.del - 2017-18 - Bilag 158: Orientering om Justering af engelsksprogede uddannelser, fra uddannelses- og forskningsudvalget
1930106_0009.png
Offentlige indtægter og udgifter ved internationale studerende
nationale studerende. Reduktionen i antallet af optagne på engelsksprogede uddannel-
ser er et resultat af en forståelse mellem Uddannelses- og Forskningsministeren og er-
hvervsakademierne og professionshøjskolerne.
2
Væksten i antallet af internationale studerende skyldes især en kraftig vækst i antallet
af internationale studerende fra EU/EØS-lande (ekskl. nordiske lande). Siden 2004 er
antallet af internationale studerende fra nye EU-lande,
som læser på en videregående
uddannelse i Danmark, steget fra knap 600 studerende i 2004 til ca. 10.000 studerende
i 2015. Antallet af internationale
studerende fra gamle EU/EØS-lande,
som starter på
en uddannelse i Danmark, er i samme periode steget fra knap 1.000 til ca. 6.600, jf. figur
1.2.
I 2015 svarede det til, at ca. 26 pct. af de internationale studerende, som starter på en
videregående uddannelse i Danmark, kommer fra
gamle EU/EØS-lande
og 41 pct.
kommer fra nye EU-lande
i 2015. Den resterende del udgøres af studerende fra Norden
(22 pct.) og lande uden for EU/EØS (12 pct.), jf. figur 1.3.
Figur 1.2
Internationale studerende fordelt på stats-
borgerskabstype, antal, 2004-2015
Antal (1.000)
12
10
8
6
4
2
0
2004
Antal (1.000)
LN-dommen
12
10
8
60
6
4
2
0
2006
2008
2010
2012
2014
Studieår
Ikke EU/EØS
Nye EU
Norden
Ikke EU/EØS
Gamle EU/EØS
Nye EU
40
20
0
2004
40
20
0
2006
2008
2010
2012
2014
Studieår
Norden
Gamle EU/EØS
60
Figur 1.3
Internationale studerende fordelt på stats-
borgerskabstype, pct., 2004-2015
Pct.
100
80
Pct.
100
80
Anm.: Se anmærkninger til figuren ved figur 2.4.
Den stiplede linje angiver LN-dommens
ikrafttrædelse.
Kilde: Uddannelses- og Forskningsministeriet på
baggrund af data fra Danmarks Statistik
Anm.: Se anmærkninger til figuren ved figur 2.5..
Kilde: Uddannelses- og Forskningsministeriet på
baggrund af data fra Danmarks Statistik.
2
https://ufm.dk/aktuelt/pressemeddelelser/2017/markant-faerre-studerende-er-optaget-pa-de-engelsksprogede-
uddannelser
Uddannelses- og Forskningsministeriet
9
UFU, Alm.del - 2017-18 - Bilag 158: Orientering om Justering af engelsksprogede uddannelser, fra uddannelses- og forskningsudvalget
1930106_0010.png
Offentlige indtægter og udgifter ved internationale studerende
”Gamle” og ”nye” EU-lande
Nye EU-lande:
Cypern, Estland, Letland, Litauen, Malta, Polen, Slovakiet, Slove-
nien, Tjekkiet, Ungarn, Bulgarien, Rumænien og Kroatien.
Gamle EU/EØS-lande:
Øvrige EU/EØS-lande (ekskl. nordiske lande) inkl. Storbri-
tannien.
Med LN-dommen fra 2013 fik studerende fra EU/EØS-lande væsentligt bedre mulighe-
der for at modtage SU. Dommen fra EU-domstolen medfører, at EU/EØS-borgere kan få
ret til SU, hvis de arbejder 10-12 timer om ugen ved siden af studierne, og i øvrigt opfyl-
der betingelserne for at være vandrende arbejdstagere. Det har medført en stigning i
SU-udgifterne til internationale studerende, som i 2017 udgjorde knap �½ mia. kr.
Det lader ikke til, at væksten i antallet af internationale studerende fra EU/EØS-lande
er blevet påvirket yderligere af muligheden for at modtage SU efter EU-dommen i 2013.
Fra 2004 til 2015 er antallet af SU-modtagere blandt internationale studerende steget
fra 2 pct. til 40 pct. Især fra 2011 stiger andelen af internationale studerende, der mod-
tager SU på baggrund af en ligestillingsårsag
3
, markant fra 15 til 40 pct., jf. figur 1.4.
Blandt studerende fra EU/EØS-lande er det ca. 53 pct. af de studerende i 2015, der
modtager SU.
3
Udenlandske statsborgere har mulig for at få SU på baggrund af en række ligestillingsårsager, f.eks. som Sydslesvi-
gere, vandrende arbejdstager eller hvis de er omfattet af integrationsloven.
Uddannelses- og Forskningsministeriet
10
UFU, Alm.del - 2017-18 - Bilag 158: Orientering om Justering af engelsksprogede uddannelser, fra uddannelses- og forskningsudvalget
1930106_0011.png
Offentlige indtægter og udgifter ved internationale studerende
Figur 1.4
Antal internationale studerende og andel af SU-modtagere, antal og pct., 2004-2015
Antal (1.000)
30
LN-dommen
Pct.
50
25
40
20
30
15
20
10
10
5
0
2004
0
2005
2006
2007
2008
2009
2010
Studieår
Internationale studerende
Andel af internationale studerende der modtager SU (h. akse)
2011
2012
2013
2014
2015
Anm.: Se anmærkninger til figuren i figur 2.8.
Den stiplede linje angiver LN-dommens ikrafttrædelse.
Kilde: Uddannelses- og Forskningsministeriet på baggrund af data fra Danmarks Statistik
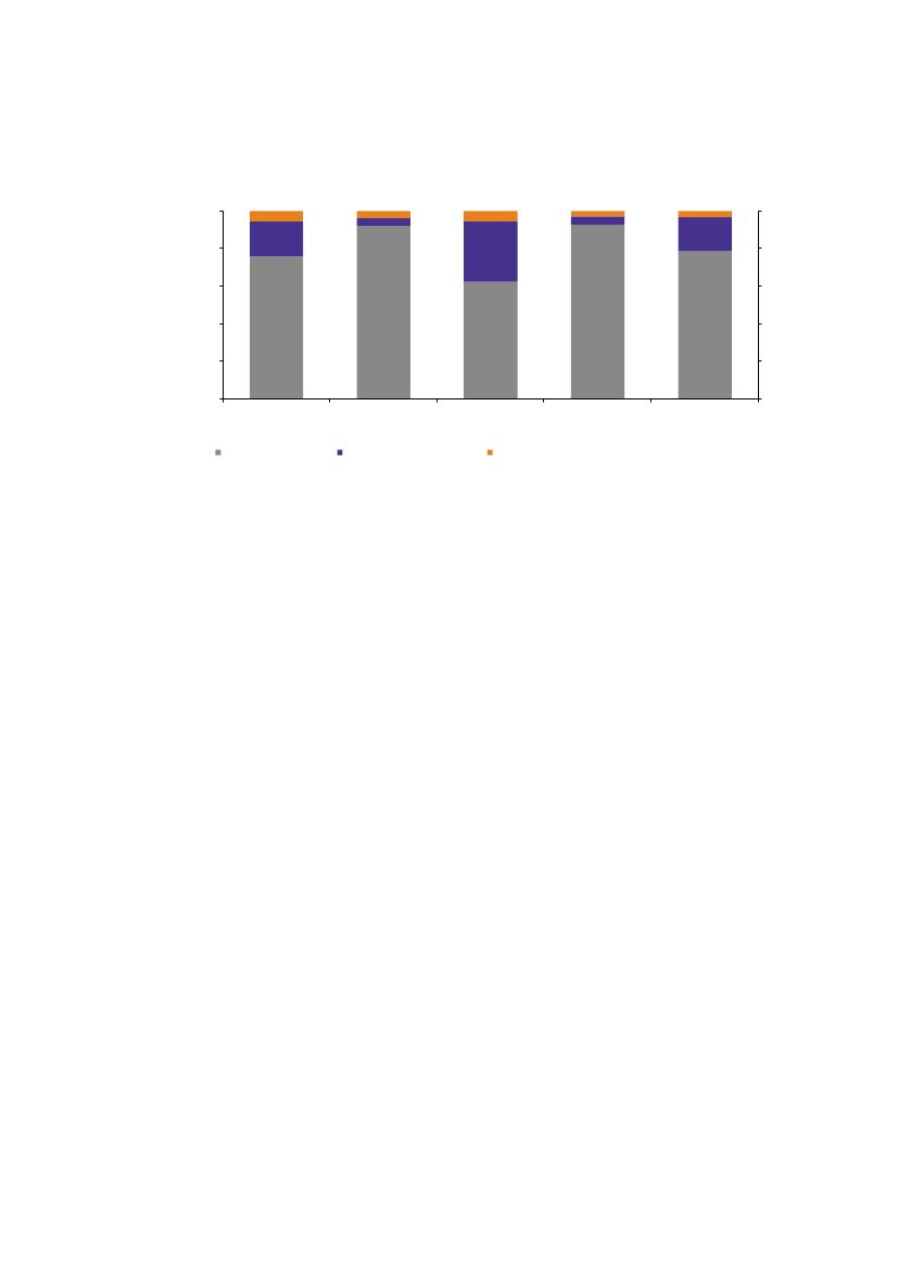
47 pct. af internationale studerende læser på kandidatuddannelser, 18 pct. på erhvervs-
akademiuddannelser og 8 pct. på top-op professionsbacheloruddannelser. Til sammen-
ligning læser hhv. 24 pct., 9 pct. og 2 pct. af de danske studerende på tilsvarende ud-
dannelser. Internationale studerende læser til gengæld i mindre grad på bacheloruddan-
nelser, hvor hhv. 13 pct. og 14 pct. af de internationale studerende var indskrevet på
professionsbachelor- og akademiske bacheloruddannelser. To ud af tre danske stude-
rende læser en bacheloruddannelse, hhv. en tredjedel på professionsbachelor- og en
tredjedel på akademiske bacheloruddannelser, jf. figur 1.5.
Uddannelses- og Forskningsministeriet
11
UFU, Alm.del - 2017-18 - Bilag 158: Orientering om Justering af engelsksprogede uddannelser, fra uddannelses- og forskningsudvalget
1930106_0012.png
Offentlige indtægter og udgifter ved internationale studerende
Figur 1.5
Studerende fordelt efter uddannelsestype, pct., 2015
Pct.
100
24
80
47
80
Pct.
100
60
33
14
60
40
2
40
8
13
20
18
33
20
0
9
Danske
studerende
Erhvervsakademiuddannelser mv
Akademisk bachelor mv.
Ordinære professionsbachelorer
Kandidatuddannelser mv.
Internationale
studerende
Top-op professionsbachelorer
0
Anm.: Se anmærkninger til figuren i figur 2.11.
Kilde: Uddannelses- og Forskningsministeriet på baggrund af data fra Danmarks Statistik.
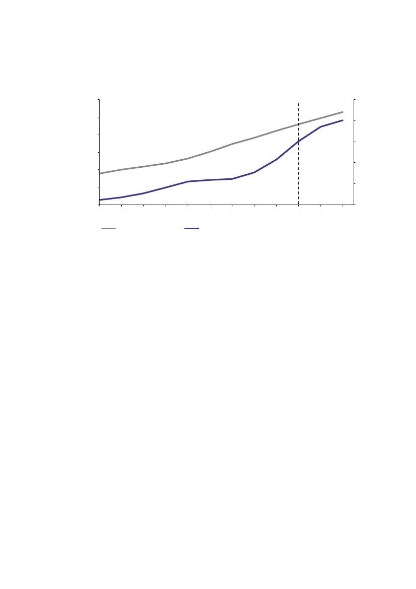
1.2 Halvdelen af internationale dimittender er udvandret efter
fire år
49 pct. af de internationale dimittender er fortsat i Danmark 4 år efter endt uddannelse.
Denne andel falder til henholdsvis 33 pct. 8 år efter endt uddannelse. Til sammenligning
er 96 pct. af danske dimittender i landet 8 år efter dimission, jf. figur 1.6.
Uddannelses- og Forskningsministeriet
12
UFU, Alm.del - 2017-18 - Bilag 158: Orientering om Justering af engelsksprogede uddannelser, fra uddannelses- og forskningsudvalget
1930106_0013.png
Offentlige indtægter og udgifter ved internationale studerende
Figur 1.6
Andel af danske og internationale dimittender som bliver i Danmark efter dimission, pct., di-
mittendår 2004-2015
Pct.
100
99
80
75
60
65
56
40
49
43
38
20
35
33
20
40
60
99
98
98
97
97
97
96
80
Pct.
100
0
1
2
3
4
5
6
7
8
År efter dimission
Danske studerende
Internationale studerende
0
Anm.: Se anmærkninger i figur 2.17.
Kilde: Uddannelses- og Forskningsministeriet på baggrund af Danmarks Statistik.
To år efter endt uddannelse er 38 pct. af de internationale studerende, som fortsat er i
Danmark, i beskæftigelse. Til sammenligning er 62 pct. af de danske studerende i job to
år efter endt uddannelse.
Andelen af internationale studerende i beskæftigelse to år efter endt uddannelse er hø-
jest blandt kandidatuddannede, hvor den udgør 57 pct. For internationale dimittender
fra erhvervsakademi- og professionsbacheloruddannelser er det tilsvarende 30 pct. og
42 pct., jf. figur 1.7.
Uddannelses- og Forskningsministeriet
13
UFU, Alm.del - 2017-18 - Bilag 158: Orientering om Justering af engelsksprogede uddannelser, fra uddannelses- og forskningsudvalget
1930106_0014.png
Offentlige indtægter og udgifter ved internationale studerende
Figur 1.7
Arbejdsmarkedsstatus for danske og internationale dimittender, der fortsat er i landet 2 år
efter afsluttet uddannelse, fordelt på uddannelsestype, pct., dimittendår 2013
Pct.
100
10
20
80
35
6
7
68
60
16
13
8
40
68
20
30
0
Danske
Internationale
Danske
Internationale
Danske
Internationale
Danske
Internationale
studerende studerende studerende studerende studerende studerende studerende studerende
Erhvervsakademi-
uddannelser mv.
Beskæftiget
Ledig
Professions-
bachelor
Uden for arbejdsstyrken
Akademisk
bachelor mv.
I uddannelse
Kandidat-
uddannelser mv.
42
22
19
81
3
7
83
57
6
5
14
0
20
40
74
5
4
37
8
5
4
Pct.
100
16
80
21
6
60
Anm.: Se anmærkninger til figur 2.23.
Ph.d-uddannelse er kategoriseret som uddannelse. Blandt danske dimittender fra kandidatuddan-
nelser, som er under uddannelse 2 år efter dimission, læser 93 pct. en Ph.d-uddannelse. Blandt in-
ternationale dimittender er det tilsvarende 85 pct. af dimittenderne, som er under uddannelse 2 år
efter dimission.
Kilde: Uddannelses- og Forskningsministeriet på baggrund af Danmarks Statistik.
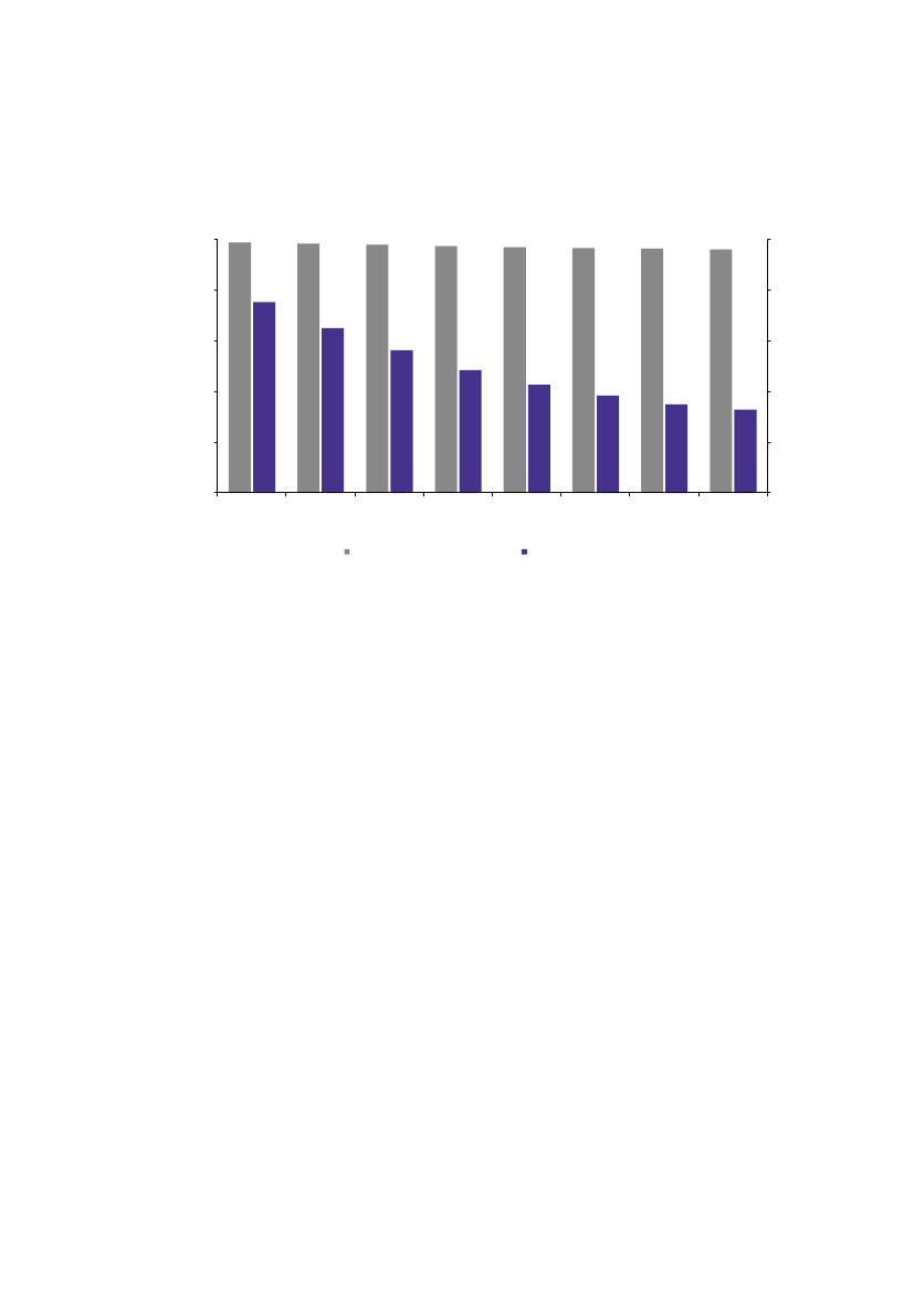
Et skøn for hvilke arbejdsopgaver danske og internationale studerende varetager efter
endt uddannelse peger på, at internationale dimittender i mindre grad er ansat i jobs,
som ifølge Danmarks Statistik kræver viden på mellem eller højt niveau.
Blandt internationale studerende, der dimitterede fra en erhvervsakademiuddannelse i
2014, er det 23 pct. af de beskæftigede, der ifølge Danmarks Statistik skønnes at vare-
tage opgaver på videregående niveau. Blandt danske dimittender er det derimod 41 pct.
Blandt professionsbacheloruddannede udgør andelen henholdsvis 44 pct. og 75 pct. og
blandt kandidatuddannede henholdsvis 59 pct. og 72 pct., jf. figur 1.8.
Uddannelses- og Forskningsministeriet
14
UFU, Alm.del - 2017-18 - Bilag 158: Orientering om Justering af engelsksprogede uddannelser, fra uddannelses- og forskningsudvalget
1930106_0015.png
Offentlige indtægter og udgifter ved internationale studerende
Figur 1.8
Skønnet type af beskæftigelse i andet år efter dimission for danske og internationale dimit-
tender, pct., dimittendår 2013
Pct.
100
14
80
32
43
11
30
27
46
17
28
40
34
75
56
20
41
23
0
Danske
Internationale
Danske
Internationale
Danske
Internationale
Danske
Internationale
studerende studerende studerende studerende studerende studerende studerende studerende
Erhvervs-
akademi-
uddannelser mv.
Professions-
bachelor
Akademisk
bachelor mv.
Kandidat-
uddannelser mv.
0
44
39
26
15
72
59
20
40
20
8
13
60
28
80
Pct.
100
60
Beskæftiget på mellem eller højt vidensniveau
Beskæftiget på lavere niveau
Beskæftiget på ukendt niveau
Anm.: Se anmærkninger i figur 2.25.
Kilde: Uddannelses- og Forskningsministeriet på baggrund af Danmarks Statistik.
Internationale dimittender fra erhvervsakademiuddannelser tjener i gennemsnit 27.500
kr. om måneden i andet år efter dimission. Det er knap 4.000 kr. mindre om måneden
end danske erhvervsakademidimittender. Internationale professionsbachelorer- og kan-
didatuddannede tjener i gennemsnit 32.500 og 40.500 kr. om måneden, hvilket er hhv.
1.700 og 500 kr. mindre end tilsvarende danske dimittender, jf. figur 1.9.
Uddannelses- og Forskningsministeriet
15
UFU, Alm.del - 2017-18 - Bilag 158: Orientering om Justering af engelsksprogede uddannelser, fra uddannelses- og forskningsudvalget
1930106_0016.png
Offentlige indtægter og udgifter ved internationale studerende
Figur 1.9
Gennemsnit og median (standardiseret) månedsløn, 1.000 2018-kr. og pct., dimittender
2010-2013
Løn
(1.000 2018-kr.)
45
41,0
40
34,2
31,5
30
31,4
27,5
33,6
39,1
40,5
39,7
Pct.
100
80
35
32,5
32,1
60
40
26,2
20
25
20
Danske
studerende
Internationale
studerende
Danske
studerende
Internationale
studerende
Danske
studerende
Internationale
studerende
0
Erhvervsakademi-
uddannede
Gennemsnit
Median
Professionsbachelor
Kandidat-
uddannede
Andel med løninformation (h. akse)
Anm.: Se anmærkninger i figur 2.26.
Kilde: Uddannelses- og Forskningsministeriet på baggrund af Danmarks Statistik.
1.3 Knap hver tredje internationale studerende bidrager positivt
til de offentlige finanser
For internationale studerende, der startede på deres studium i løbet af perioden 2004 til
2007, er det 29-31 pct., der skønnes at bidrage positivt til de offentlige finanser over et
livsforløb. Det vil sige, at de studerende skønnes at give flere offentlige indtægter end
udgifter. For de resterende 69-71 pct. af de internationale studerende er det skønnede
nettobidrag til de offentlige finanser negativt. Kandidatuddannelserne har den største
andel af internationale studerende, der giver et skønnet positivt nettobidrag, jf. tabel 1.1.
Uddannelses- og Forskningsministeriet
16
UFU, Alm.del - 2017-18 - Bilag 158: Orientering om Justering af engelsksprogede uddannelser, fra uddannelses- og forskningsudvalget
1930106_0017.png
Offentlige indtægter og udgifter ved internationale studerende
Tabel 1.1
Andel af internationale studerende med studiestart fra 2004 til 2007 som skønnes at give et
positiv nettobidrag til de offentlige finanser i Danmark over et livsforløb, pct.
Andel med positive nettobidrag
pct.
Erhvervsakademiuddannelser mv.
Professionsbachelor
Akademisk bachelor mv.
Kandidatuddannelser mv.
Alle internationale studerende
26-28
23-25
18-20
34-37
29-31
Anm.: Se anmærkninger til tabel 3.1.
Kilde: Uddannelses- og Forskningsministeriet,
Højbjerre Brauer Schultz’ beregninger
på baggrund af regi-
sterdata fra Danmarks Statistik og Lovmodellens 33 pct. stikprøve.
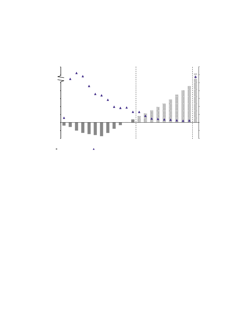
De studerende, som giver et negativt nettobidrag, udrejser ofte relativt hurtigt efter
studiestart, og de når derfor ikke at tjene de offentlige udgifter under uddannelsen ind.
F.eks. giver studerende, der udvandrer 6 år efter studiestart, et skønnet akkumuleret
nettobidrag på knap -350.000 kr. pr. studerende. Internationale studerende, som er i
Danmark mindre end 10 år efter studiestart er således i gennemsnit en negativ forret-
ning for de offentlige finanser. Internationale studerende, der bliver i længere tid i Dan-
mark, er derimod forbundet med et skønnet positivt nettobidrag i gennemsnit. Det kan i
nogle tilfælde udgøre flere mio. kr. set over et liv, jf. figur 1.10.
Uddannelses- og Forskningsministeriet
17
UFU, Alm.del - 2017-18 - Bilag 158: Orientering om Justering af engelsksprogede uddannelser, fra uddannelses- og forskningsudvalget
1930106_0018.png
Offentlige indtægter og udgifter ved internationale studerende
Figur 1.10
Skønnet akkumuleret nettobidrag til de offentlige finanser i Danmark over et helt livsforløb
for internationale studerende med studiestart 2004-2007 fordelt efter opholdstid, 1.000 kr.
og pct., 2016-priser
1.000 kr.
2.600
2.400
1.000
800
600
400
200
0
-200
-400
0
1
2
3
4
5
6
7
8
9
10
11
12
13
14
15
16
17
18
19
20 20+
Adfærd blandt internationale
studerende med studiestart
2004-2007
Adfærd blandt udenlandske
statsborgere med en videregående
uddannelse (målt omkring 11 år efter
endt uddannelse)
Pct.
14
12
10
8
6
4
2
0
-2
-4
Opholdstid (år efter studiestart)
Akkumuleret nettobidrag
Andel pr. opholdsår
Anm.: Se anmærkninger til figur 3.5
Kilde: Uddannelses- og Forskningsministeriet,
Højbjerre Brauer Schultz’ beregninger
på registerdata fra
Danmarks Statistik og Lovmodellens 33 pct. stikprøve.
1.4 Skønnet nettobidrag på mellem 100.000 og 350.000 kr. pr.
studerende
Beregningerne for bidraget til de offentlige finanser tager udgangspunkt i internationale
studerende i perioden 2004-2015. Det betyder, at der er data for de internationale stu-
derende i op til 11 år efter studiestart. Målt over denne 11-årige periode er det skønnede
gennemsnitlige nettobidrag på mellem -100.000 og -130.000 kr. kr. pr. studerende, jf.
tabel 1.2.
For de omtrent en femtedel af de internationale studerende, der fortsat er i Danmark 11
år efter studiestart, er det nødvendigt at foretage et skøn for deres potentielle nettobi-
drag efter det 11. år. Skønnet er meget usikkert, men peger på potentielle gevinster på
ca. 1,5 mio. kr. i gennemsnit pr. internationale studerende, der bliver i Danmark efter det
11. år, og ca. 2,4 mio. kr. i gennemsnit for studerende, som bliver i Danmark i 20 år eller
længere, jf. figur 1.10.
Samlet set indebærer det, at nettobidraget til de offentlige finanser skønnes til mellem
100.000 og 350.000 kr. pr. studerende. Det svarer til mellem 2.000 kr. og 7.500 kr. i
gennemsnit pr. studerende pr. år fra studiestart og 50 år frem. Der er væsentlig usikker-
hed om beløbets størrelse.
Uddannelses- og Forskningsministeriet
18
UFU, Alm.del - 2017-18 - Bilag 158: Orientering om Justering af engelsksprogede uddannelser, fra uddannelses- og forskningsudvalget
1930106_0019.png
Offentlige indtægter og udgifter ved internationale studerende
Tabel 1.2
Skønnet andel af internationale studerende i Danmark og skønnet akkumuleret nettobidrag,
pct. og 1.000 kr., 2016-priser
11 år efter studiestart
(faktisk adfærd)
Andel i Danmark
efter 11 år
pct.
Skøn 1 - ældre og yngre år-
gange af internationale stude-
rende vægtes ligeligt
Skøn 2
nyere årgange af in-
ternationale studerende væg-
tes højere
20
Skønnet akkumuleret
nettobidrag
1.000 kr.
-100
Livsforløb
(fremskrivning)
Skønnet andel
Skønnet akkumuleret
i Danmark
nettobidrag
efter 50 år
pct.
6
1.000 kr.
350
14
-130
2
100
Anm.: Se anmærkninger til tabel 3.2.
De skønnede akkumulerede nettobidrag er afrundede til nærmeste 10.000 kr.
Kilde: Uddannelses- og Forskningsministeriet på baggrund af
Højbjerre Brauer Schultz’ beregninger
registerdata fra Danmarks Statistik og Lovmodellens 33 pct. stikprøve samt Finansministeriet
(2017) nettobidrag opdelt på alderstrin for vestlige indvandrere med en videregående uddannelse.
Beregningen af nettobidraget baserer sig på stort set alle offentlige indtægter og ud-
gifter (se boks 3.1 samt afsnit 4.3). De offentlige indtægter er bl.a. indkomstskatter,
moms og øvrige afgifter betalt af internationale studerende. De offentlige udgifter
knytter sig især til uddannelsesudgifter og SU. Dertil kommer udgifter til øvrige offent-
lige overførsler og til offentlig service, herunder sundhedsudgifter, samt kollektive of-
fentlige udgifter såsom offentlig administration, politi, forsvar og infrastruktur.
Skøn for nettobidrag til de offentlige finanser
Det gennemsnitlige nettobidrag pr. international studerende er beregnet med udgangs-
punkt i studerende fra perioden 2004-2015 med fokus på årgangene, der startede i pe-
rioden 2004-2007. Herved følges de internationale studerendes adfærd i op til 11 år ef-
ter studiestart. For at kunne analysere de studerende over et livsforløb (og dermed efter
det 11. år) inkluderes det skønnede nettobidrag for vestlige indvandrere med en videre-
gående uddannelse i alderen 35 år til 80 år. Udrejsetilbøjeligheden fremskrives ved hjælp
af den historiske udvandringstilbøjelighed for udenlandske statsborgere, der har taget
en videregående uddannelse i Danmark, og som er kommet til Danmark, mens de var
mellem 20 og 35 år
– dvs. ældre generationer af internationale studerende
.
Nettobidraget er skønnet med to forskellige metoder til at opgøre den forventede ud-
vandring:
Skøn 1: Udvandringstilbøjeligheden blandt de seneste tre studieårgange af inter-
nationale studerende. Til brug for skønnet over et livsforløb er der ikke korrigeret
for, at udrejsetilbøjeligheden blandt ældre generationer
af internationale stude-
rende
er lavere end blandt de nuværende internationale studerende.
Skøn 2: Udvandringstilbøjeligheden blandt den seneste studieårgang. I det skøn-
nede nettobidrag over et livsforløb er der korrigeret for, at ældre generationer af
internationale studerende har en lavere udvandring end de nuværende internati-
onale studerende.
Uddannelses- og Forskningsministeriet
19
UFU, Alm.del - 2017-18 - Bilag 158: Orientering om Justering af engelsksprogede uddannelser, fra uddannelses- og forskningsudvalget
1930106_0020.png
Offentlige indtægter og udgifter ved internationale studerende
En forudsætning for at internationale studerende kan bidrage til de offentlige finanser
er, at de finder job i Danmark efter endt uddannelse. Derfor har deres udvandringstilbø-
jelighed stor betydning for det skønnede nettobidrag.
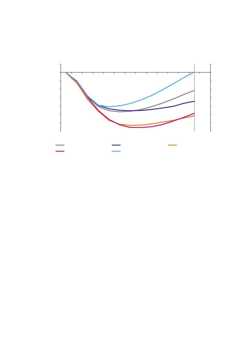
Hvis udvandringstilbøjeligheden eksempelvis faldt med 25 pct. svarer det til, at det
skønnede over et livsforløb ville stige fra 100.000-350.000 kr. til 340.000-660.000 kr.
pr. internationale studerende, jf. figur 1.11. En stigning i udvandringstilbøjeligheden i
samme størrelsesorden vil derimod gøre nettobidraget væsentligt mindre.
Figur 1.11
Skønnet akkumuleret nettobidrag til de offentlige finanser for internationale studerende
over et livsforløb, 1.000 kr., 2016-priser
1.000 kr.
700
600
500
400
300
200
100
100
0
-100
Benchmark
25 pct. lavere
udvandringstilbøjelighed
Skøn 1
25 pct. højere
udvandringstilbøjelighed
Skøn 2
-50
100
100
0
-100
350
330
660
1.000 kr.
700
600
500
400
300
200
Anm.: Se anmærkninger til figur 3.8.
De skønnede akkumulerede nettobidrag er afrundede til nærmeste 10.000 kr.
Kilde: Uddannelses- og Forskningsministeriet på baggrund af
Højbjerre Brauer Schultz’ beregninger
registerdata fra Danmarks Statistik og Lovmodellens 33 pct. stikprøve samt Finansministeriet
(2017) nettobidrag opdelt på alderstrin for vestlige indvandrere med en videregående uddannelse.
Andelen af internationale studerende, som bliver i Danmark efter endt uddannelse, er
formentligt påvirket af muligheden for at finde job i Danmark. De internationale stude-
rende er fulgt i perioden fra 2004 til 2015. De første årgange af internationale stude-
rende er således dimitteret i årene op til finanskrisen i 2008, hvor beskæftigelsen vok-
sede. De senere årgange er derimod kommet i perioden efter finanskrisen, som var ken-
detegnet ved forringede beskæftigelsesmuligheder. Finanskrisen gav dog anledning til
nedgang i beskæftigelsen i de fleste lande, hvorfor tilskyndelsen til at blive og søge job i
Danmark ikke nødvendigvis blev ringere efter finanskrisens udbrud.
Beregningerne ser alene på konsekvenser af internationale studerende for de offentlige
finanser. Internationale studerende kan påvirke velstanden på måder, som ikke opfan-
ges i opgørelsen af de offentlige finanser. Internationale studerende kan således øge
udbuddet af kvalificeret arbejdskraft, mens de internationale studerende også kan bi-
drage direkte og indirekte (f.eks. ved at hæve den generelle produktivitet for deres kol-
legaer) til at øge den gennemsnitlige produktivitet i Danmark.
Uddannelses- og Forskningsministeriet
20
UFU, Alm.del - 2017-18 - Bilag 158: Orientering om Justering af engelsksprogede uddannelser, fra uddannelses- og forskningsudvalget
1930106_0021.png
Offentlige indtægter og udgifter ved internationale studerende
Internationale studerende kan også have en positiv effekt på læringsmiljøet på den ud-
dannelse, de bliver en del af. Imidlertid kan de samtidig optage studiepladser fra danske
studerende på selvsamme uddannelser. I det omfang fortrængningen forekommer på
uddannelser, som giver særligt efterspurgte kompetencer, kan der være tale om et sam-
fundsmæssigt tab, idet internationale studerende udvandrer i langt større omfang end
danske studerende.
1.5 Sammenligning med andre undersøgelser
Tidligere undersøgelser af internationale studerende finder ligeledes et gennemsnitligt
positivt nettobidrag til de offentlige finanser. Der er dog stor forskel på undersøgel-
serne, hvilket ikke mindst afspejler, at undersøgelserne fokuserer på forskellige grupper
af studerende.
Tabel 1.3
Gennemsnitligt nettobidrag pr. internationale studerende til de offentlige finanser fra for-
skellige undersøgelser
CEBR (2013)
Damvad (2017a)
Damvad (2017b)
DEA (2015)
---- 1.000 kr.----
Nettobidrag til de offentlige finanser
pr. international studerende
47
Internationale
dimittender og
udvekslings-
studerende fra
DTU
8 år efter
dimission
482
Internationale
dimittender fra
DTU
8 år efter
dimission
298
Internationale
dimittender fra
danske
universiteter
8 år efter
dimission
27
Internationale
dimittender fra
danske videregå-
ende uddannelser
16 år efter
dimission
Målgruppe
Maksimal måleperiode
Anm.: CEBR (2013) er opgjort i 2010-priser, DEA (2015) er opgjort i 2014-priser. Begge Damvad-analyser
er opgjort i 2017-priser.
Kilde: Uddannelses og Forskningsministeriet, Højbjerre Brauer Schultz på baggrund af CEBR (2013),
Damvad (2017a), Damvad (2017b) og DEA (2015).
De tidligere danske undersøgelser af internationale studerende ser alene på studerende,
der gennemfører deres uddannelse i Danmark
og tager dermed ikke højde for omkost-
ninger forbundet med studerende, der falder fra. Ligesom de tidligere undersøgelser ikke
tager højde for, at en del internationale studerende gennemfører flere uddannelsesfor-
løb.
Med undtagelse af DREAM (2013) og DREAM (2014) har tidligere danske undersøgelser
heller ikke set på nettobidraget af internationale studerende målt over et livsforløb.
DREAM (2013) og DREAM (2014) finder samlet set en permanent årlig forbedring af den
primære offentlige saldo på mellem 0,34 mia. kr. og 0,79 mia. kr. (6 forskellige scenarier)
ved merindvandring af 1.000 vestlige eller ikke-vestlige bacheloruddannede, som tager
en kandidatuddannelse i Danmark.
Uddannelses- og Forskningsministeriet
21
UFU, Alm.del - 2017-18 - Bilag 158: Orientering om Justering af engelsksprogede uddannelser, fra uddannelses- og forskningsudvalget
1930106_0022.png
Offentlige indtægter og udgifter ved internationale studerende
2. Hvem er de
internationale
studerende?
Boks 2.1: Statistisk afgrænsning af de studerende
Analysen fokuserer på studerende, som tager en hel videregående uddannelse i Dan-
mark. Udvekslingsstuderende indgår derfor ikke i analysen.
Danske studerende
omfatter studerende med dansk statsborgerskab.
Udenlandske studerende
omfatter alle studerende med udenlandsk statsborger-
skab, uanset hvor lang tid de har opholdt sig i Danmark.
Internationale studerende
er studerende med et udenlandsk statsborgerskab, der
er kommet til Danmark mindre end et år, før de starter på en videregående ud-
dannelse. Internationale studerende, der overgår til en ny videregående uddan-
nelse i Danmark (f.eks. en top-op professionsbacheloruddannelse efter en er-
hvervsakademiuddannelse) indenfor et år, beholder deres status som internatio-
nale studerende.
Engelsksprogede studerende
er studerende, som ikke er danske eller nordiske
statsborgere, og som ikke tidligere har gennemført en uddannelse (grundskole el-
ler ungdomsuddannelse) i Danmark.
Udenlandske studerende er personer med et ikke-dansk statsborgerskab, som læser en
videregående uddannelse i Danmark. De omfatter derfor også studerende, der er kom-
met til Danmark som børn, og som har gået i dansk grundskole eller på en dansk ung-
domsuddannelse
Internationale studerende er defineret som udenlandske statsborgere, der er kommet til
Danmark med det primære formål at starte på en uddannelse. I den statistiske af-
grænsning af denne gruppe studerende er denne definition tilnærmet ved at se på
udenlandske studerende, der kommer til Danmark højest et år, før de påbegynder en vi-
deregående uddannelse, jf. boks 2.1. Selvom der ikke er sikkerhed for, at den udenland-
ske statsborger er kommet til Danmark for at påbegynde en uddannelse, er det sand-
synliggjort, hvis vedkommende går i gang med en uddannelse umiddelbart efter indrejse.
Der er ikke centrale opgørelser af hvilke studerende, der går på engelsksprogede uddan-
nelser. Studerende, der ikke har dansk eller nordisk statsborgerskab, og som ikke har en
tidligere uddannelse fra Danmark (grundskole eller ungdomsuddannelse) forventes dog i
væsentligt omfang at følge en engelsksproget uddannelse
såkaldt engelsksprogede
studerende, jf. boks 2.1.
Uddannelses- og Forskningsministeriet
22
UFU, Alm.del - 2017-18 - Bilag 158: Orientering om Justering af engelsksprogede uddannelser, fra uddannelses- og forskningsudvalget
1930106_0023.png
Offentlige indtægter og udgifter ved internationale studerende
Udenlandske studerende udgør 14 pct. af det samlede antal studerende i Danmark i
2015. Internationale studerende udgør 10 pct., mens engelsksprogede studerende udgør
8 pct. af det samlede antal studerende, jf. figur 2.1 og figur 2.2.
Figur 2.1
Sammenhæng mellem udenlandske og inter-
nationale studerende, 2015
Udenlandske studerende,
der er kommet til Danmark
mere end 1 år før
Figur 2.2
Sammenhæng mellem udenlandske og en-
gelsksprogede studerende, 2015
Udenlandske studerende ,som enten er
nordiske statsborgere eller som har taget
en dansk grundskole eller
ungdomsuddannelse
Udenlandske
studerende
Udenlandske
studerende
Studerende med dansk
statsborgerskab
Studerende med dansk
statsborgerskab
Internationale studerende;
Udenlandske studerende, der
er kommet til Danmark maks. 1
år før studiestart
Engelsksprogede studerende;
udenlandske statsborgere (ekskl. nordiske
statsborgere),som ikke har taget en dansk
grundskole eller ungdomsuddannelse
Anm.: Fordeling mellem danske, internationale og
øvrige udenlandske studerende er baseret
på fordelingen blandt studerende på videre-
gående uddannelser i 2015.
Kilde: Uddannelses- og Forskningsministeriet.
Anm.: Fordeling mellem danske, engelsksprogede
og øvrige udenlandske studerende er base-
ret på fordelingen blandt studerende på vi-
deregående uddannelser i 2015.
Kilde: Uddannelses- og Forskningsministeriet.
I 2015 er det 72 pct. af internationale studerende, som skønnes at følge en engelskspro-
get uddannelse, jf. tabel 2.1.
Tabel 2.1
Overlap mellem udenlandske, internationale og engelsksprogede studerende opgjort som an-
del af rækketotal, pct. og antal, studerende i 2015
Udenlandske
studerende
Internationale
studerende
--- pct. af rækketotal ---
Udenlandske
studerende
Internationale
studerende
Engelsksprogede stude-
rende
100
74
100
84
63
72
100
Engelsksprogede
studerende
Studerende i 2015
(rækketotal)
Antal (1.000)
36
26
22
Kilde: Uddannelses- og Forskningsministeriet på baggrund af data fra Danmarks Statistik.
En stor andel af internationale studerende forventes at følge engelsksprogede uddan-
nelser. Engelsksprogede uddannelser er defineret som uddannelser, hvor hele uddannel-
sesforløbet undervises på engelsk. I 2017 var der 424 engelsksprogede uddannelsesud-
bud på de danske videregående uddannelsesinstitutioner svarende til 29 pct. af det
samlede uddannelsesudbud.
Uddannelses- og Forskningsministeriet
23
UFU, Alm.del - 2017-18 - Bilag 158: Orientering om Justering af engelsksprogede uddannelser, fra uddannelses- og forskningsudvalget
1930106_0024.png
Offentlige indtægter og udgifter ved internationale studerende
De resterende 28 pct. internationale studerende skønnes ikke at følge en egentlig en-
gelsksproget uddannelse. Det dækker primært over nordiske studerende og studerende
med ukendt statsborgerskab. Studerende med ukendt statsborgerskab er udeladt af
opgørelser, hvor statsborgerskab anvendes (se boks 2.2).
Tilsvarende er 16 pct. af de engelsksprogede studerende ikke defineret som internatio-
nale studerende. Det skyldes, at de studerende er indvandret til Danmark mere end 1 år
før studiestart.
De engelsksprogede uddannelser er nærmere undersøgt i
”Uddannelses-
og Forsknings-
ministeriet - De engelsksprogede studerende
– Registeranalyse, 2018”.
2.1 Internationale studerende på danske videregående uddannel-
ser
Siden 2004 er antallet af internationale studerende, som læser på videregående uddan-
nelser i Danmark, næsten tredoblet fra 9.000 i 2004 til 26.000 i 2016, jf. figur 2.3. Antal-
let af danske studerende, som læser en videregående uddannelse, er i samme periode
steget fra ca. 179.000 til ca. 229.000 svarende til en stigning på ca. 28 pct.
Figur 2.3
Antal og andel af internationale studerende på alle videregående uddannelser, antal og pct.
af alle studerende på videregående uddannelser, 2004-2016
Antal (1.000)
30
Pct.
12
25
10
20
8
15
6
10
4
5
2
0
2004
0
2005
2006
2007
2008
2009
2010
2011
2012
2013
2014
2015
2016
Studieår
Antal internationale studerende
Andel internationale studerende af alle studerende (h. akse)
Anm.: Antallet af studerende er opgjort pr. 1/10 i et hvert år. Figuren dækker alle videregående uddannel-
ser (dvs. erhvervsakademi-, professionsbachelor (ordinær og top-op), akademiske bachelor- og
kandidatuddannelser).
Kilde: Uddannelses- og Forskningsministeriet på baggrund af data fra Danmarks Statistik.
Internationale studerende er vokset i både antal og som andel af alle studerende på de
videregående uddannelser. I 2005 udgjorde internationale studerende 5 pct. af alle stu-
derende på danske videregående uddannelser, mens de tilsvarende udgjorde 10 pct. i
2016, jf. figur 2.3.
Uddannelses- og Forskningsministeriet
24
UFU, Alm.del - 2017-18 - Bilag 158: Orientering om Justering af engelsksprogede uddannelser, fra uddannelses- og forskningsudvalget
1930106_0025.png
Offentlige indtægter og udgifter ved internationale studerende
I 2017 blev antallet af studerende, der blev optaget på en engelsksproget uddannelse,
på erhvervsakademierne og professionshøjskolerne reduceret med 1.765 svarende til en
reduktion på ca. 28 pct. Størstedelen af de reducerede optagne formodes at være inter-
nationale studerende. Reduktionen i antallet af optagne på engelsksprogede uddannel-
ser er et resultat af en forståelse mellem Uddannelses- og Forskningsministeren og er-
hvervsakademierne og professionshøjskolerne.
4
Det kan derfor også forventes, at opbremsningen vil påvirke udviklingen i antallet af in-
ternationale studerende på danske videregående uddannelser i 2017 og fremefter.
4
https://ufm.dk/aktuelt/pressemeddelelser/2017/markant-faerre-studerende-er-optaget-pa-de-engelsksprogede-
uddannelser
Uddannelses- og Forskningsministeriet
25
UFU, Alm.del - 2017-18 - Bilag 158: Orientering om Justering af engelsksprogede uddannelser, fra uddannelses- og forskningsudvalget
1930106_0026.png
Offentlige indtægter og udgifter ved internationale studerende
Boks 2.2 Data og periode
Analysen dækker alle videregående uddannelser i Danmark og er baseret på data
for alle studerende, som er påbegyndt en videregående uddannelse i perioden
2004-2015 (i visse tilfælde 2016) samt studerende, som har afsluttet deres uddan-
nelse i 2009 eller senere. Videregående uddannelse dækker erhvervsakademiud-
dannelser mv. (korte videregående uddannelser), professions- og akademiske ba-
cheloruddannelser mv. (mellemlange videregående uddannelser) samt kandidatud-
dannelser mv. (lange videregående uddannelser). Ph.d.-uddannelser indgår ikke i
analysen.
En andel af de internationale studerende er registrerede med et administrativt cpr-
nummer i opgørelserne hos Danmark Statistik. Det skyldes, at de studerende først
kan få tildelt et almindeligt cpr-nummer, når de ankommer til Danmark og registre-
rer bopæl i landet. Studerende med administrative cpr-numre kan ikke genfindes i
øvrige registerdata fra Danmark Statistik. En stor del af de internationale stude-
rende når i løbet af deres studietid at få et almindeligt cpr-nummer. Sammenlignet
med internationale studerende med almindelige cpr-nummer, så afbryder internati-
onale studerende med administrative cpr-numre oftere deres uddannelse.
I perioden 2005 til 2015 er 9-15 pct. internationale studerende registrerede med
administrative cpr-numre. I 2004 og 2016 er det hhv. 20 og 29 pct., som har et ad-
ministrativt cpr-nummer. I dele af analysen, hvor cpr-oplysningerne anvendes, er
der derfor valgt at se bort fra 2016-data grundet den relativt store andel af inter-
nationale studerende, som har et administrativt cpr-nummer.
Tabel 2.2
Andel af internationale studerende med almindelige og administrative cpr-numre, pct.,
2004-2016
2004
2005
2006
2007
2008
2009
2010
--- pct. ---
Almindelig
Administrative
Total
80
20
100
85
15
100
85
15
100
88
12
100
89
11
100
89
11
100
90
10
100
90
10
100
91
9
100
91
9
100
91
9
100
87
13
100
71
29
100
2011
2012
2013
2014
2015 2016
Kilde: Uddannelses- og Forskningsministeriet på baggrund af data fra Danmarks Statistik.
Antallet af internationale studerende fra EU/EØS-lande (ekskl. nordiske lande), som læ-
ser en videregående uddannelse i Danmark, er mere end tidoblet fra 1.500 i 2004 til
knap 17.000 studerende i 2015. I 2015 læste 10.000 fra de nye EU-lande og 6.600 fra
de gamle EU-lande en videregående uddannelse. Antallet af ikke-EU/EØS borgere og
nordiske statsborgere, som læser en uddannelse, har været mere stabilt i samme peri-
ode. I 2015 læste ca. 2.800 og 5.400 internationale studerende fra hhv. ikke-EU/EØS og
nordiske lande på danske videregående uddannelser, jf. figur 2.4.
Uddannelses- og Forskningsministeriet
26
UFU, Alm.del - 2017-18 - Bilag 158: Orientering om Justering af engelsksprogede uddannelser, fra uddannelses- og forskningsudvalget
1930106_0027.png
Offentlige indtægter og udgifter ved internationale studerende
Studerende fra de nye
EU-lande
udgjorde 7 pct. af alle internationale studerende i
2004. I 2015 udgjorde de
41 pct. Studerende fra gamle
EU/EØS-lande er i samme peri-
ode steget fra at udgøre 12 pct. til 26 pct. af alle internationale studerende, jf. figur 2.5.
Figur 2.4
Internationale studerende fordelt på stats-
borgerskabstype, antal, 2004-2015
Antal (1.000)
12
10
8
6
4
2
0
2004
Antal (1.000)
LN-dommen
12
10
8
60
6
40
4
2
0
2006
Norden
Gamle EU/EØS
2008
2010
2012
2014
Studieår
20
0
2004
20
0
2006
2008
2010
2012
2014
Studieår
Norden
Gamle EU/EØS
Ikke EU/EØS
Nye EU
40
60
Figur 2.5
Internationale studerende fordelt på stats-
borgerskabstype, pct., 2004-2015
Pct.
100
80
Pct.
100
80
Ikke EU/EØS
Nye EU
Anm.: Antal studerende er opgjort pr. 1/10 i et gi-
vent år. Figuren dækker alle videregående
uddannelser, dvs. erhvervsakademi-, profes-
sionsbachelor (ordinær og top-op), akade-
miske bachelor- og kandidatuddannelser.
Internationale studerende med ukendt
statsborgerskab indgår ikke i figuren.
Den stiplede linje angiver LN-dommens
ikrafttrædelse.
Kilde: Uddannelses- og Forskningsministeriet på
baggrund af data fra Danmarks Statistik.
Anm.: Antal studerende er opgjort pr. 1/10 i et gi-
vent år. Figuren dækker alle videregående
uddannelser, dvs. erhvervsakademi-, profes-
sionsbachelor (ordinær og top-op), akade-
miske bachelor- og kandidatuddannelser.
Internationale studerende med ukendt
statsborgerskab indgår ikke i figuren.
Kilde: Uddannelses- og Forskningsministeriet på
baggrund af data fra Danmarks Statistik.
Væksten i antallet af internationale studerende fra EU/EØS-lande lader ikke til at være
yderligere påvirket af de forbedrede muligheder for at modtage SU for vandrende ar-
bejdstagere efter EU-dommen fra 2013, (jf. boks 2.5). Derimod ser det ud til, at udviklin-
gen i antallet af internationale studerende fra EU/EØS-lande er nogenlunde konstant
voksende over tid.
Uddannelses- og Forskningsministeriet
27
UFU, Alm.del - 2017-18 - Bilag 158: Orientering om Justering af engelsksprogede uddannelser, fra uddannelses- og forskningsudvalget
1930106_0028.png
Offentlige indtægter og udgifter ved internationale studerende
Boks 2.3 EU/EØS-medlemslande over tid
Efter EU’s
oprettelse i 1958 (dengang EF) er antallet af medlemslande gradvist ble-
vet øget fra seks til 28 lande. I 2004 blev Cypern, Estland, Letland, Litauen, Malta,
Polen, Slovakiet, Slovenien, Tjekkiet og Ungarn optaget i EU. Efterfølgende er antal-
let af medlemslande blevet udvidet to gange: i 2007 med Bulgarien og Rumænien
og i 2013 med Kroatien. Alle statsborgere fra de nye medlemslande havde fuld og
lige adgang til uddannelse i Danmark fra den dag, deres hjemlande blev medlem af
EU.
I denne analyse opdeles EU/EØS-lande (ekskl. nordiske lande) i to grupper.
”Gamle” EU/EØS-lande:
lande som var medlemmer af EU/EØS før 2004 (pri-
mært vesteuropæiske lande).
”Nye” EU-lande:
lande, som er blevet medlemmer af EU efter 2004 (primært
central- og østeuropæiske lande).
Se bilag afsnit 5.2 for en fuld oversigt over de to landegrupperinger.
Kilde: EU-oplysningen
(2017): ”Nye medlemslande og udvidelse” og europa.eu.
Studerende fra Norge udgør over halvdelen af alle internationale studerende fra de nor-
diske lande i 2015, mens studerende fra Sverige udgør ca. 25 pct. Tyskland, Spanien og
Italien udgjorde ca. 67 pct. af alle internationale studerende fra gamle EU/EØS-lande,
mens studerende fra Rumænien, Litauen og Polen udgør næsten halvdelen af alle inter-
nationale studerende fra nye EU-lande
i 2015. Blandt internationale studerende fra
ikke-EU/EØS-lande udgør studerende fra Kina, Nepal og Indien ca. 40 pct., jf. figur 2.6.
Uddannelses- og Forskningsministeriet
28
UFU, Alm.del - 2017-18 - Bilag 158: Orientering om Justering af engelsksprogede uddannelser, fra uddannelses- og forskningsudvalget
1930106_0029.png
Offentlige indtægter og udgifter ved internationale studerende
Figur 2.6
De tre største landegrupper blandt internationale studerende, som læser på en videregående
uddannelse i Danmark, fordelt på statsborgerskabsgrupper, pct., 2015
Pct.
100
Finland (6)
Island (14)
80
Sverige
(25)
Øvige
(58)
Øvrige
(33)
Pct.
100
Øvrige
(52)
80
60
Spanien
(11)
Italien
(14)
Bulgarien
(12)
Litauen
(13)
Rumænien
(23)
60
40
Norge
(55)
20
Indien (8)
Nepal
(10)
Kina
(23)
Tyskland
(42)
40
20
0
Norden
Ikke EU/EØS
Gamle EU/EØS
Nye EU
0
Anm.: Tallene stemmer i visse tilfælde ikke til 100 pct. på grund af afrundinger
Antal studerende er opgjort pr. 1/10 i et givent år. Figuren dækker alle videregående uddannelser,
dvs. erhvervsakademi-, professionsbachelor (ordinær og top-op), akademiske bachelor- og kandi-
datuddannelser.
Internationale studerende med ukendt statsborgerskab indgår ikke i figuren.
Kilde: Uddannelses- og Forskningsministeriet på baggrund af data fra Danmarks Statistik.
En sammenligning på tværs af landegrupperne viser, at de tre største statsborger-
skabsgrupper blandt internationale studerende udgøres af norske, tyske og rumænske
studerende, jf. figur 2.7. 30 pct. af alle internationale studerende, som var i gang med en
uddannelse i 2015, kom fra Norge, Tyskland og Rumænien svarende til over 8.000 stu-
derende.
Uddannelses- og Forskningsministeriet
29
UFU, Alm.del - 2017-18 - Bilag 158: Orientering om Justering af engelsksprogede uddannelser, fra uddannelses- og forskningsudvalget
1930106_0030.png
Offentlige indtægter og udgifter ved internationale studerende
Figur 2.7
De 20 største statsborgerskabsgrupper blandt internationale studerende, som læser på
en videregående uddannelse i Danmark, antal, 2015
Antal
3.500
3.000
2.500
2.000
1.500
1.000
500
0
Antal
3.500
3.000
2.500
2.000
1.500
1.000
500
0
Slovakiet
Tjekkiet
Grækenland
Tyskland
Rumænien
Spanien
Storbritannien
Bulgarien
Kilde: Uddannelses- og Forskningsministeriet på baggrund af data fra Danmarks Statistik.
2.1.1 Internationale studerendes adgang til SU
Studerende fra EU/EØS-lande kan få SU på baggrund af forskellige forhold (ligestil-
lingsårsager), f.eks. ophold i Danmark i over 5 år, ægteskab med en EU-borger eller som
vandrende arbejdstagere, jf. boks 2.4.
Boks 2.4 Data og opgørelse af SU-modtagere
Opgørelserne af SU viser personer, som har fået SU på baggrund af en ligestillings-
årsag, herunder ligestilling som Sydslesvigere, vandrende arbejdstagere, og på bag-
grund af integrationsloven.
Opgørelserne af studerende, som får SU i et studieår, viser et øjebliksbillede af stu-
derende, som modtager SU på baggrund af en ligestillingsårsag. Da der er tale om
aktive studerende kan nogle af de studerende, som ikke får SU på måletidspunktet,
fremtidigt opfylde kriterierne for at få tildelt SU.
Fra 2004 til 2015 er antallet af SU-modtagere blandt internationale studerende steget
fra 2 pct. til 40 pct. Især fra 2010 stiger andelen, der modtager SU på baggrund af en li-
gestillingsårsag markant fra 12 pct. til 40 pct., jf. figur 2.8.
Uddannelses- og Forskningsministeriet
Frankrig
Litauen
Ungarn
Letland
Italien
Sverige
Estland
Norge
Island
Nepal
Polen
Kina
30
UFU, Alm.del - 2017-18 - Bilag 158: Orientering om Justering af engelsksprogede uddannelser, fra uddannelses- og forskningsudvalget
1930106_0031.png
Offentlige indtægter og udgifter ved internationale studerende
Figur 2.8
Antal internationale studerende og andel af SU-modtagere, antal og pct., 2004-2015
Antal (1.000)
30
LN-dommen
Pct.
50
25
40
20
30
15
20
10
10
5
0
2004
0
2005
2006
2007
2008
2009
2010
2011
2012
2013
2014
2015
Studieår
Internationale studerende
Andel af internationale studerende, der modtager SU (h. akse)
Anm.: Opgørelsen er baseret på studerende, som er i gang med deres uddannelse pr. 1/10 i et givent stu-
dieår. SU-modtagere er baseret på studerende, som får SU til en videregående uddannelse på
baggrund af en ligestillingsårsag.
Den stiplede linje angiver LN-dommens ikrafttrædelse.
Kilde: Uddannelses- og Forskningsministeriet på baggrund af Danmarks Statistik.
Boks 2.5 LN-dommen
I 2013 afsagde EU-domstolen dom i sag C-46/12, L.N. (LN-dommen) om vandrende
arbejdstagere. Dommen betyder, at EU/EØS-borgere der indvandrer til Danmark for
at studere, har ret til SU, hvis de opfylder kravene som vandrende arbejdstagere.
Studerende fra EU/EØS-lande, som arbejder mindst 10 til 12 timer om ugen, får
derfor som udgangspunkt adgang til studiestøtte på samme vilkår som danske
statsborgere.
Kilde: Uddannelses- og Forskningsministeriet.
Andelen af studerende, der modtager SU, er steget kraftigst blandt internationale stu-
derende fra nye EU-lande.
Fra 2004 til 2015 steg andelen af internationale studerende
fra nye EU-lande
fra 1 pct. til 61 pct. Blandt nordiske studerende modtog 4 pct. SU i
2004, mens 23 pct. modtog SU i 2015, jf. figur 2.9. Andelen af internationale studerende
som modtager SU på baggrund af en ligestillingsårsag har været stigende blandt alle
uddannelsesniveauer, jf. figur 2.10.
Uddannelses- og Forskningsministeriet
31
UFU, Alm.del - 2017-18 - Bilag 158: Orientering om Justering af engelsksprogede uddannelser, fra uddannelses- og forskningsudvalget
1930106_0032.png
Offentlige indtægter og udgifter ved internationale studerende
Figur 2.9
Andel af internationale studerende som
modtager SU fordelt på statsborgerskab,
pct., 2004-2015
Pct.
70
60
50
40
30
20
10
0
2004
LN-dommen
Pct.
70
60
50
40
Figur 2.10
Andel af internationale studerende som
modtager SU fordelt på uddannelsestype,
pct., 2004, 2010 og 2015
Pct.
60
50
40
30
30
20
10
0
20
10
0
2004
2010
2015
Erhvervsakademiuddannelser mv.
Ordinære professionsbachelorer
Top-op professionsbachelorer
Akademisk bachelor mv.
Kandidatuddannelser mv.
20
10
0
Pct.
60
50
40
30
2006
2008
2010
2012
2014
Studieår
Norden
Gamle EU/EØS
Ikke EU/EØS
Nye EU
Anm.: Opgørelsen er baseret på studerende, som er
i gang med deres uddannelse pr. 1/10 i et gi-
vent studieår.
SU-modtagere er baseret på studerende,
som får SU til en videregående uddannelse
på baggrund af en ligestillingsårsag.
Den stiplede linje angiver LN-dommens
ikrafttrædelse.
Kilde: Uddannelses- og Forskningsministeriet på
baggrund af Danmarks Statistik.
Anm.: Opgørelsen er baseret på studerende, som er
i gang med deres uddannelse pr. 1/10 i et gi-
vent studieår.
SU-modtagere er baseret på studerende,
som får SU til en videregående uddannelse
på baggrund af en ligestillingsårsag.
*Top-op uddannelser oprettes først i 2009.
Kilde: Uddannelses- og Forskningsministeriet på
baggrund af Danmarks Statistik.
2.1.2 Internationale studerendes valg af uddannelse
Knap hver femte internationale studerende gik på en erhvervsakademiuddannelse i
2015, mens det tilsvarende var knap hver tiende danske studerende. Næsten halvdelen
af alle internationale studerende gik på en kandidatuddannelse, mens det tilsvarende
gælder lidt over hver fjerde danske studerende, jf. figur 2.11.
Halvdelen af internationale studerende fra nye EU-lande
læser enten på en erhvervs-
akademiuddannelse eller på en professionsbacheloruddannelse. Øvrige internationale
studerende læser på akademiske bachelor- og kandidatuddannelser, jf. figur 2.12.
Uddannelses- og Forskningsministeriet
32
UFU, Alm.del - 2017-18 - Bilag 158: Orientering om Justering af engelsksprogede uddannelser, fra uddannelses- og forskningsudvalget
1930106_0033.png
Offentlige indtægter og udgifter ved internationale studerende
Figur 2.11
Studerende fordelt efter uddannelsestype,
pct., 2015
Pct.
100
24
80
60
40
20
0
33
2
33
9
Danske
studerende
14
8
13
18
0
Internationale
studerende
47
80
60
40
20
Pct.
100
Figur 2.12
Bestand af internationale studerende fordelt
efter statsborgerskabsgruppe, pct., 2015
Pct.
100
80
56
60
40
26
20
0
2
12
4
Norden
6
8
10
16
Ikke
EU/EØS
60
69
26
10
14
17
12
3
10
5
Gamle
EU/EØS
33
Nye EU
Pct.
100
80
60
40
20
0
Kandidatuddannelser mv.
Akademisk bachelor mv.
Top-op professionsbachelorer
Ordinære professionsbachelorer
Erhvervsakademiuddannelser mv
Kandidatuddannelser mv.
Akademisk bachelor mv.
Top-op professionsbachelorer
Ordinære professionsbachelorer
Erhvervsakademiuddannelser mv.
Anm.: Tallene stemmer i visse tilfælde ikke til 100 pct. på grund af afrundinger.
Erhvervsakademiuddannelser mv. dækker også over øvrige korte videregående uddannelser. Aka-
demisk bachelor mv. dækker også studerende indskrevet på øvrige mellemlange videregående ud-
dannelser. Kandidatuddannelser mv. dækker delte og udelte kandidatuddannelser. Statsborger-
skab er uoplyst for ca. 5 pct. af internationale studerende.
Se desuden figur 5.1-figur 5.4 for en oversigt over fordelingen af internationale studerende på ho-
vedområder indenfor hver uddannelsestype.
Kilde: Uddannelses- og Forskningsministeriet på baggrund af data fra Danmarks Statistik.
Internationale studerende er overrepræsenteret på erhvervsakademi-, top-op professi-
onsbachelor samt kandidatuddannelserne. På disse uddannelser udgør de henholdsvis
18 pct., 32 pct. og 18 pct. af de studerende, hvilket er højere end de 10 pct. som de udgør
af den samlede bestand af studerende i 2015, jf. figur 2.13.
Uddannelses- og Forskningsministeriet
33
UFU, Alm.del - 2017-18 - Bilag 158: Orientering om Justering af engelsksprogede uddannelser, fra uddannelses- og forskningsudvalget
1930106_0034.png
Offentlige indtægter og udgifter ved internationale studerende
Figur 2.13
Studerende fordelt på deres baggrund og uddannelsestype, pct., 2015
Pct.
100
6
18
32
4
4
6
3
4
3
18
80
100
80
60
92
40
76
62
20
93
79
60
40
20
0
Erhvervs-
akademi-
uddannelser mv.
Danske studerende
Ordinære,
professions-
bachelorer
Top-op
professions-
bachelorer
Akademisk
bachelor mv.
Kandidat-
uddannelser mv.
0
Internationale studerende
Øvrige udenlandske studerende
Anm.: Tallene stemmer i visse tilfælde ikke til 100 pct. på grund af afrundinger.
Erhvervsakademiuddannelser mv. dækker også over øvrige korte videregående uddannelser. Aka-
demisk bachelor mv. dækker også studerende indskrevet på øvrige mellemlange videregående ud-
dannelser. Kandidatuddannelser mv. dækker delte og udelte kandidatuddannelser.
Kilde: Uddannelses- og Forskningsministeriet på baggrund af data fra Danmarks Statistik.
2.1.3 Internationale studerendes frafald på studiet
Frafaldet for internationale studerende afviger generelt set ikke væsentligt fra frafaldet
blandt danske studerende. Internationale studerende har et lavere frafald på de akade-
miske bacheloruddannelser, hvor de dog også er underrepræsenteret, jf. figur 2.14.
Uddannelses- og Forskningsministeriet
34
UFU, Alm.del - 2017-18 - Bilag 158: Orientering om Justering af engelsksprogede uddannelser, fra uddannelses- og forskningsudvalget
1930106_0035.png
Offentlige indtægter og udgifter ved internationale studerende
Figur 2.14
Frafald for danske og internationale studerende inden for det første års studier, pct., 2015
Pct.
25
20
15
10
5
0
19
19
15
15
12
13
11
8
10
6
5
0
19
Pct.
25
20
15
Danske
studerende
Danske
studerende
Danske
studerende
Danske
studerende
Danske
studerende
Internationale
studerende
Internationale
studerende
Internationale
studerende
Erhvervs-
akademi-
uddannelser mv.
Ordinære
professions-
bachelorer
Top-op
professions-
bachelorer
Akademisk
bachelor mv.
Internationale
studerende
Kandidat-
uddannelser mv.
Anm.: Beregningerne er baseret på studerende, som har påbegyndt deres uddannelse i 2015.
Kilde: Uddannelses- og Forskningsministeriet på baggrund af data fra Danmarks Statistik.
Andelen, der falder fra inden for første studieår, er faldet blandt internationale stude-
rende, fra 2007 og frem, mens det har ligget mere konstant for danske studerende, jf. fi-
gur 2.15.
I 2015 var frafaldet i løbet af første studieår lavere blandt internationale studerende
sammenlignet med danske studerende. Blandt danske studerende, som påbegyndte en
uddannelse i 2015, var det 15 pct. der afbrød deres uddannelsesforløb inden for et år.
Blandt internationale studerende var andelen 11 pct., jf. figur 2.15.
Internationale studerende fra nye EU-lande har det højeste frafald inden for det første
års studier med 13 pct., mens frafaldet er lavest blandt internationale studerende fra
Norden med 7 pct., jf. figur 2.16.
Uddannelses- og Forskningsministeriet
Internationale
studerende
35
UFU, Alm.del - 2017-18 - Bilag 158: Orientering om Justering af engelsksprogede uddannelser, fra uddannelses- og forskningsudvalget
1930106_0036.png
Offentlige indtægter og udgifter ved internationale studerende
Figur 2.15
Udvikling i frafald inden for første studieår
for danske og internationale studerende,
pct., 2004-2015
Pct
.
20
Pct.
20
Figur 2.16
Frafald for internationale studerende inden
for det første år fordelt på statsborgerskab,
pct., 2015
Pct.
14
12
13
Pct.
14
12
9
7
8
10
8
6
4
2
0
Norden
Ikke
EU/EØS
Gamle
EU/EØS
Nye EU
15
15
10
8
10
10
6
4
5
5
2
0
0
2004
2006
2008
2010
2012
2014
Tilgangsår
Danske studerende
Internationale studerende
0
Anm.: Beregningerne er baseret på studerende,
som har påbegyndt deres uddannelse i 2015.
Kilde: Uddannelses- og Forskningsministeriet på
baggrund af data fra Danmarks Statistik.
Anm.: Beregningerne er baseret på studerende,
som har påbegyndt deres uddannelse i 2015.
Kilde: Uddannelses- og Forskningsministeriet på
baggrund af data fra Danmarks Statistik.
2.2 Hvad gør de internationale studerende efter endt studie?
2.2.1 Internationale dimittenders udvandring og videre uddannelse
Fire år efter endt studie er 49 pct. af de internationale dimittender fortsat i Danmark. Til
sammenligning er 98 pct. af de danske dimittender fortsat i landet. Omkring to ud af tre
internationale dimittender er udvandret efter 8 år, mens det tilsvarende gælder ca. 96 af
de danske dimittender, jf. figur 2.17.
Boks 2.6 Beregning af udvandringstilbøjelighed
De studerendes udvandringstilbøjelighed er opgjort på baggrund af, hvorvidt de
studerende har bopæl i Danmark i et givent antal år efter dimission. Udvandring
dækker således både over studerende, som er udrejst af Danmark, eller som er
døde.
Beregningerne tager kun udgangspunkt i dimittender, som har bopæl i Danmark i
dimittendåret. Hver dimittend kan kun indgå én gang pr. dimittendår. Genindvan-
dring medtages ikke i beregningerne.
Uddannelses- og Forskningsministeriet
36
UFU, Alm.del - 2017-18 - Bilag 158: Orientering om Justering af engelsksprogede uddannelser, fra uddannelses- og forskningsudvalget
1930106_0037.png
Offentlige indtægter og udgifter ved internationale studerende
Figur 2.17
Andel af danske og internationale dimittender som bliver i Danmark efter dimission, pct., di-
mittendår 2004-2015
Pct.
100
99
80
75
60
65
56
40
49
43
38
20
35
33
20
40
60
99
98
98
97
97
97
96
80
Pct.
100
0
1
2
3
4
5
6
7
8
År efter dimission
Danske studerende
Internationale studerende
0
Anm.: Andelen af dimittender, der bliver i Danmark, er beregnet på tværs af dimittendårgangene 2004-
2015. Andelen i år 8 efter dimission er beregningen på baggrund af dimittendkohorterne 2004-
2007.
Kilde: Uddannelses- og Forskningsministeriet på baggrund af Danmarks Statistik.
Ca. 48 pct. af internationale dimittender fra de ordinære professionsbacheloruddannel-
ser er fortsat i Danmark 2 år efter dimission. Til sammenligning gælder det ca. 99 pct. af
danske professionsbachelordimittender. Blandt internationale dimittender fra erhvervs-
akademi- og akademiske bacheloruddannelser er det hhv. 74 og 81 pct., som er i Dan-
mark 2 år efter dimission, mens det er 99 pct. af de danske dimittender, jf. figur 2.18.
Uddannelses- og Forskningsministeriet
37
UFU, Alm.del - 2017-18 - Bilag 158: Orientering om Justering af engelsksprogede uddannelser, fra uddannelses- og forskningsudvalget
1930106_0038.png
Offentlige indtægter og udgifter ved internationale studerende
Figur 2.18
Andel af danske og internationale dimittender som fortsat er i Danmark 2 år efter dimission
fordelt på uddannelsestype, pct., dimittendår 2004-2014
Pct.
100
99
80
81
74
60
55
40
48
58
40
60
99
97
99
97
80
Pct.
100
20
20
0
Erhvervs-
akademi-
uddannelser mv.
Ordinær professions- Top-op professions-
bachelor
bachelor
Akademisk
bachelor mv.
Kandidat-
uddannelser mv.
0
Danske studerende
Internationale studerende
Anm.: Andelen af dimittender, der bliver i Danmark, er beregnet på tværs af dimittendårgangene 2004-
2014.
Kilde: Uddannelses- og Forskningsministeriet på baggrund af Danmarks Statistik.
Top-op uddannelserne blev oprettet i 2009 som en 1�½ års overbygning til erhvervsaka-
demiuddannelserne. Efter endt uddannelse svarer det til at have taget en professions-
bacheloruddannelse.
I 2009 og 2014 påbegyndte hhv. 21 pct. og 34 pct. af de danske dimittender fra er-
hvervsakademiuddannelserne efterfølgende en top-op professionsbacheloruddannelse.
Blandt internationale erhvervsakademidimittender fra 2009 var det 31 pct. af dimitten-
derne, som overgik til en top-op professionsbacheloruddannelse, mens andelen var ste-
get til knap 60 pct. blandt 2014-dimittenderne, jf. figur 2.19.
94 pct. og 92 pct. af danske studerende, som færdiggjorde en akademisk bachelorud-
dannelse i hhv. 2009 og 2014, påbegyndte efterfølgende en kandidatuddannelse i Dan-
mark. Blandt internationale studerende er det tilsvarende hhv. 73 pct. og 76 pct. blandt
dimittenderne fra 2009 og 2014, jf. figur 2.20.
Uddannelses- og Forskningsministeriet
38
UFU, Alm.del - 2017-18 - Bilag 158: Orientering om Justering af engelsksprogede uddannelser, fra uddannelses- og forskningsudvalget
1930106_0039.png
Offentlige indtægter og udgifter ved internationale studerende
Figur 2.19
Andel af erhvervsakademiuddannede, som
påbegynder en top-op professionsbachelor-
uddannelse, pct., dimittendår 2009 og 2014.
Pct.
100
80
60
60
40
20
21
0
2009
Dimittendår
Danske studerende
Internationale studerende
2014
0
31
34
40
20
Pct.
100
80
60
Figur 2.20
Andel af professionsbacheloruddannede,
som påbegynder en kandidatuddannelse,
pct., dimittendår 2009 og 2014.
Pct.
100
80
60
40
20
12
0
2009
Dimittendår
Danske studerende
Internationale studerende
2014
13
12
18
0
Pct.
100
80
60
40
20
Anm.: Alle påbegyndte top-op professionsbache-
loruddannelser er medtaget uafhængigt af,
om uddannelsen er afsluttet eller ej, og uaf-
hængigt af hvor mange år efter dimission
uddannelsen er påbegyndt.
Kilde: Uddannelses- og Forskningsministeriet på
baggrund af data fra Danmarks Statistik
Anm.: Alle påbegyndte kandidatuddannelser er
medtaget uafhængigt af, om uddannelsen er
afsluttet eller ej, og uafhængigt af hvor
mange år efter dimission uddannelsen er på-
begyndt.
Kilde: Uddannelses- og Forskningsministeriet på
baggrund af data fra Danmarks Statistik.
Figur 2.21
Andel af akademiske bachelordimittender, som påbegynder en kandidatuddannelse, pct., di-
mittendår 2009 og 2014.
Pct.
100
94
80
73
60
76
60
92
80
Pct.
100
40
40
20
20
0
2009
Dimittendår
Danske studerende
Internationale studerende
2014
0
Anm.: Alle påbegyndte kandidatuddannelser er medtaget uafhængigt af, om uddannelsen er afsluttet
eller ej, og uafhængigt af hvor mange år efter dimission uddannelsen er påbegyndt.
Kilde: Uddannelses- og Forskningsministeriet på baggrund af data fra Danmarks Statistik.
Uddannelses- og Forskningsministeriet
39
UFU, Alm.del - 2017-18 - Bilag 158: Orientering om Justering af engelsksprogede uddannelser, fra uddannelses- og forskningsudvalget
1930106_0040.png
Offentlige indtægter og udgifter ved internationale studerende
Boks 2.7 Andel af studerende, som læser videre på en overbygning
Opgørelserne viser andelen af dimittender fra hhv. erhvervsakademi-, professions-
bachelor og akademiske bacheloruddannelser, der påbegynder hhv. en top-op pro-
fessionsbachelor eller en kandidatuddannelse. Opgørelserne dækker alle dimitten-
der, som påbegynder en top-op professionsbachelor eller kandidatuddannelse i pe-
rioden fra dimittendåret til og med 2016.
Opgørelserne er ikke korrigerede for dimittender, der udvandrer.
2.2.2 Internationale studerendes beskæftigelse og løn efter studie
Knap 40 pct. af de internationale dimittender, som bor i Danmark 2 år efter dimission, er
i beskæftigelse, mens 62 pct. af de danske dimittender er beskæftigede. Henholdsvis 5
pct. og 9 pct. af de danske og internationale dimittender er ledige to år efter dimission.
Internationale dimittender står i højere grad uden for arbejdsmarkedet (15 pct.) sam-
menlignet med danske dimittender (4 pct.), jf. figur 2.22. Personer, som står uden for ar-
bejdsmarkedet, dækker både modtagere af offentlig forsørgelse (f.eks. kontanthjælp til
ikke-jobparate) samt personer, som ikke modtager offentlig forsørgelse (f.eks. personer
som er forsørgede af deres ægtefæller). Det skal bemærkes, at en del af de internatio-
nale dimittender, som står uden for arbejdsmarkedet, kan være udvandret af landet i lø-
bet af opgørelsesåret. Det kan være medvirkende til, at beskæftigelsen for internatio-
nale dimittender, som bliver i Danmark, undervurderes.
Uddannelses- og Forskningsministeriet
40
UFU, Alm.del - 2017-18 - Bilag 158: Orientering om Justering af engelsksprogede uddannelser, fra uddannelses- og forskningsudvalget
1930106_0041.png
Offentlige indtægter og udgifter ved internationale studerende
Figur 2.22
Status for danske og internationale dimittender (2013), der fortsat er i Danmark, målt 2 år
efter dimission, pct.
Pct.
100
29
80
4
5
15
40
62
20
38
20
9
40
37
80
Pct.
100
60
60
0
Danske studerende
Beskæftiget
Ledig
Internationale studerende
Uden for arbejdsstyrken
I uddannelse
0
Anm.: Tallene stemmer i visse tilfælde ikke til 100 pct. på grund af afrundinger.
Ph.d. indgår som uddannelse.
En del af internationale studerende, som står uden for arbejdsstyrken, kan være udvandret i løbet
af opgørelsesåret, hvorfor beskæftigelse blandt disse grupper kan være undervurderet.
Kilde: Uddannelses- og Forskningsministeriet på baggrund af Danmarks Statistik.
Boks 2.8 Opgørelse af arbejdsmarkedsstatus
Opgørelsen tager udgangspunkt i arbejdsmarkedsstatus for dimittender, som fort-
sat har bopæl i Danmark 2 år efter dimission. Dimittender, som afslutter to uddan-
nelser i løbet af et studieår, indgår kun én gang pr. dimittendår.
Uddannelses- og arbejdsmarkedsstatus er opgjort som punktnedslag to år efter di-
mission. Uddannelsesstatus er opgjort 1/10, mens arbejdsmarkedsstatus er opgjort
ultimo november vha. den registerbaserede arbejdsstyrkestatistik (RAS). Arbejds-
markedsstatus opgøres kun for dimittender, som ikke er under uddannelse.
En andel af de internationale dimittender, som står uden for arbejdsmarkedet, kan
være udvandret. Det skyldes, at internationale dimittender, som rejser ud af Dan-
mark, ikke altid melder flytning til det danske folkeregister. Der kan derfor være en
forsinkelse i, hvornår Danmarks Statistik modtager oplysninger, om at dimitten-
derne ikke længere har bopæl i Danmark. Det kan være medvirkende til, at beskæf-
tigelsen blandt internationaledimittender, som bliver i Danmark, undervurderes.
Uddannelses- og Forskningsministeriet
41
UFU, Alm.del - 2017-18 - Bilag 158: Orientering om Justering af engelsksprogede uddannelser, fra uddannelses- og forskningsudvalget
1930106_0042.png
Offentlige indtægter og udgifter ved internationale studerende
Omkring to ud af tre danske dimittender fra erhvervsakademiuddannelserne er i be-
skæftigelse to år efter endt uddannelse, hvor det til sammenligning er én ud af tre inter-
nationale dimittender. Det skyldes bl.a., at en større andel af internationale studerende
læser videre, men også at de i højere grad er ledige eller står uden for arbejdsmarkedet,
jf. figur 2.23.
Blandt danske og internationale dimittender fra en kandidatuddannelse, som er under
uddannelse 2 år efter afsluttet uddannelse, er størstedelen (hhv. 93 og 85 pct.) i gang
med en Ph.d-uddannelse.
Figur 2.23
Arbejdsmarkedsstatus for danske og internationale dimittender, der fortsat er i landet 2 år
efter afsluttet uddannelse, fordelt på uddannelsestype, pct., dimittendår 2013
Pct.
100
10
20
80
35
6
7
68
60
16
13
8
40
68
20
30
0
Danske
Internationale
Danske
Internationale
Danske
Internationale
Danske
Internationale
studerende studerende studerende studerende studerende studerende studerende studerende
Erhvervsakademi-
uddannelser mv.
Beskæftiget
Professions-
bachelor
Ledig
Akademisk
bachelor mv.
Uden for arbejdsstyrken
Kandidat-
uddannelser mv.
I uddannelse
42
22
19
81
3
7
83
57
6
5
14
0
20
40
74
5
4
37
8
5
4
Pct.
100
16
80
21
6
60
Anm.: Tallene stemmer i visse tilfælde ikke til 100 pct. på grund af afrundinger.
Ph.d-uddannelse er kategoriseret som uddannelse. Blandt danske dimittender fra kandidatuddan-
nelser, som er under uddannelse 2 år efter dimission, læser 93 pct. en Ph.d-uddannelse. Blandt in-
ternationale dimittender er det tilsvarende 85 pct. af dimittenderne, som er under uddannelse 2 år
efter dimission.
En del af de internationale studerende, som står uden for arbejdsstyrken, kan være udvandret i lø-
bet af opgørelsesåret, hvorfor beskæftigelse kan være undervurderet.
Kilde: Uddannelses- og Forskningsministeriet på baggrund af Danmarks Statistik.
Af de internationale studerende, som fortsat er i landet 2 år efter dimission, er det knap
halvdelen af de internationale dimittender fra ikke-EU/EØS-lande, som er i beskæfti-
gelse. Blandt de øvrige internationale dimittender er hhv. 40 pct., 36 pct. og 34 pct. fra
de nordiske, gamle EU/EØS og nye EU-lande i beskæftigelse. 49 pct. af de nordiske
studerende, som fortsat er i landet 2 år efter afsluttet uddannelse, er i gang med en ny
uddannelse. Det er højere end for øvrige internationale dimittender, jf. figur 2.24.
Uddannelses- og Forskningsministeriet
42
UFU, Alm.del - 2017-18 - Bilag 158: Orientering om Justering af engelsksprogede uddannelser, fra uddannelses- og forskningsudvalget
1930106_0043.png
Offentlige indtægter og udgifter ved internationale studerende
Figur 2.24
Arbejdsmarkedsstatus for internationale dimittender, der fortsat er i landet 2 år efter afslut-
tet uddannelse, fordelt på statsborgerskab, pct., dimittendår 2013
Pct.
100
29
80
49
60
4
5
19
9
3
62
20
49
40
36
34
20
5
24
7
14
16
60
27
Pct.
100
33
36
80
40
40
0
Danmark
Beskæftiget
Norden
Ledig
Ikke EU/EØS
Gamle EU/EØS
Nye EU
I uddannelse
Udenfor arbejdsstyrken
0
Anm.: Tallene stemmer i visse tilfælde ikke til 100 pct. på grund af afrundinger.
Ph.d. indgår som uddannelse.
En del af internationale studerende, som står uden for arbejdsstyrken, kan være udvandret i løbet
af opgørelsesåret, hvorfor beskæftigelse blandt disse grupper kan være undervurderet.
Kilde: Uddannelses- og Forskningsministeriet på baggrund af Danmarks Statistik.
Andelen af dimittender, der arbejder med en arbejdsfunktion, som er registreret til mel-
lem eller højt vidensniveau, er generelt stigende med uddannelsesniveauet. Det gælder
både danske og internationale studerende
men andelen er højere blandt danske di-
mittender.
Blandt danske dimittender fra 2013, der er i beskæftigelse to år efter endt uddannelse,
er det eksempelvis 41 pct. af de erhvervsakademiuddannede, som arbejder i et job, som
ifølge Danmarks Statistik kræver viden på mellem eller højt niveau. Det er derimod 23
pct. af internationale dimittender fra samme dimittendårgang. Blandt kandidatuddan-
nede udgør andelen henholdsvis 72 pct. og 59 pct., jf. figur 2.25.
For omkring hver tredje internationale studerende er der ikke registreret en arbejdsfunk-
tion. Det gælder for 20 pct. af de danske dimittender.
Uddannelses- og Forskningsministeriet
43
UFU, Alm.del - 2017-18 - Bilag 158: Orientering om Justering af engelsksprogede uddannelser, fra uddannelses- og forskningsudvalget
1930106_0044.png
Offentlige indtægter og udgifter ved internationale studerende
Figur 2.25
Skønnet type af beskæftigelse i andet år efter dimission, pct. danske og internationale di-
mittender 2013
Pct.
100
14
80
32
43
11
30
27
46
17
28
40
34
75
56
20
41
23
0
Danske
Internationale
Danske
Internationale
Danske
Internationale
Danske
Internationale
studerende studerende studerende studerende studerende studerende studerende studerende
Erhvervs-
akademi-
uddannelser mv.
Professions-
bachelor
Akademisk
bachelor mv.
Kandidat-
uddannelser mv.
0
44
39
26
15
72
59
20
40
20
8
13
60
28
80
Pct.
100
60
Beskæftiget på mellemniveau eller højeste niveau
Beskæftiget på lavere niveau
Beskæftiget på ukendt niveau
Anm.: Imputerede disco-koder
er klassificeret som arbejde på ukendt niveau .
Kilde: Uddannelses- og Forskningsministeriet på baggrund af Danmarks Statistik.
Boks 2.9 Klassificering af jobfunktioner
Med udgangspunkt i en registerbaseret fagklassifikation og beslægtede job-
funktioner kan nyuddannede i beskæftigelse opdeles i to grupper:
Jobfunktioner som kræver mellem eller højt vidensniveau inden for pågæl-
dende område
Jobfunktioner som kræver et lavere vidensniveau, eksempelvis almindeligt
kontor- og kundeservicearbejde, service- og salgsarbejde, håndværkspræget
arbejde, andet manuelt arbejde mv.
Vurderingen af de nyuddannedes arbejdsopgaver er behæftet med usikker-
hed, da den er baseret på en indberetning fra arbejdsgiveren. I 2014 er der en
del DISCO-oplysninger på det private område, der enten mangler eller er af
dårlig kvalitet. Det drejer sig om ca. 100.000 indregistreringer, hvoraf ca.
40.000 er imputerede (justeret) af Danmarks Statistik. Imputerede jobfunkti-
oner er placeret under ukendt niveau i opgørelsen.
I private virksomheder med færre end 10 ansatte har arbejdsgiveren ikke pligt
til at indberette oplysninger om de ansattes jobfunktioner, hvorfor DISCO-
oplysningen i disse tilfælde ofte mangler.
Kilde: Uddannelses- og Forskningsministeriet og Danmarks Statistik.
Uddannelses- og Forskningsministeriet
44
UFU, Alm.del - 2017-18 - Bilag 158: Orientering om Justering af engelsksprogede uddannelser, fra uddannelses- og forskningsudvalget
1930106_0045.png
Offentlige indtægter og udgifter ved internationale studerende
Internationale dimittender fra erhvervsakademiuddannelser tjener i gennemsnit 27.500
kr. om måneden i andet år efter dimission. Det er knap 4.000 kr. mindre om måneden
end danske dimittender fra erhvervsakademiuddannelserne. Når medianlønningerne
sammenlignes er forskellen større og udgør lidt over 5.000 kr. pr. måned.
Internationale professionsbachelorer- og kandidatuddannede tjener i gennemsnit
32.500 og 40.500 kr. om måneden, hvilket er henholdsvis 1.700 og 500 kr. mindre end
tilsvarende danske dimittender, jf. figur 2.26.
Figur 2.26
Gennemsnit og median (standardiseret) månedsløn for dimittender 2010-2013, 1.000 kr. og
pct., 2018-kr.
Løn
(1.000 2018-kr.)
45
41,0
40
34,2
31,5
30
31,4
27,5
33,6
39,1
40,5
39,7
Pct.
100
80
35
32,5
32,1
60
40
26,2
20
25
20
Danske
studerende
Internationale
studerende
Danske
studerende
Internationale
studerende
Danske
studerende
Internationale
studerende
0
Erhvervsakademi-
uddannede
Gennemsnit
Median
Professionsbachelor
Kandidat-
uddannede
Andel med løninformation (h. akse)
Anm.: Standardberegnet månedsfortjeneste er en beregnet fuldtidsløn baseret på den aftalte timeløn
inkl. div. tillæg og pension, men fratrukket betaling for overtid og fravær. Lønbegrebet kommer der-
med tæt på den løn som
er aftalt mellem arbejdsgiver og lønmodtager, uagtet evt. fravær eller
overarbejde.
Kilde: Uddannelses- og Forskningsministeriet på baggrund af Danmarks Statistik.
Uddannelses- og Forskningsministeriet
45
UFU, Alm.del - 2017-18 - Bilag 158: Orientering om Justering af engelsksprogede uddannelser, fra uddannelses- og forskningsudvalget
1930106_0046.png
Offentlige indtægter og udgifter ved internationale studerende
Boks 2.10 Standardiseret månedsløn
Den standardberegnede månedsløn er en beregnet fuldtidsløn baseret på den stan-
dardberegnede timefortjeneste. Standardberegningen tager højde for evt. fravær,
sygdom og overarbejde, men inkluderer feriebetalinger, pension, tillæg og persona-
legoder. Lønbegrebet kommer dermed tæt på den løn,
som er aftalt mellem ar-
bejdsgiver og lønmodtager.
I tilfælde af flere ansættelser i løbet af et år benyttes månedslønnen for ansættel-
sen med flest præsterede timer.
Blandt beskæftigede internationale studerende er der en større andel, hvor der
mangler lønoplysninger i Danmarks Statistiks lønregister. Eksempelvis er der lønop-
lysninger for 82 pct. af de nyuddannede danskere med en professionsbachelor,
mens det er 62 pct. blandt internationale studerende.
Uddannelses- og Forskningsministeriet
46
UFU, Alm.del - 2017-18 - Bilag 158: Orientering om Justering af engelsksprogede uddannelser, fra uddannelses- og forskningsudvalget
Offentlige indtægter og udgifter ved internationale studerende
3. Internationale
studerendes
nettobidrag til de
offentlige finanser
Opgørelsen af det skønnede nettobidrag til de offentlige finanser afhænger i høj grad
af, hvilke offentlige indtægter og udgifter man tillægger internationale studerende.
Beregningerne af nettobidraget for internationale studerende er baseret på alle offent-
lige udgifter og indtægter fra den offentlige budgetsaldo. Der er nogle offentlige udgif-
ter, som internationale studerende trækker mere på end andre. Eksempelvis trækker in-
ternationale studerende på udgifter til videregående uddannelse men ikke på udgifter til
f.eks. folkeskolen og dagsinstitutionerne. Det skal bemærkes, at nettobidragsberegnin-
gerne udelukkende fokuserer på internationale studerendes offentlige indtægter og ud-
gifter, mens offentlige udgifter og indtægter forbundet med medfølgende familiemed-
lemmer eller børn ikke indgår i beregningerne.
En række offentlige poster kan ikke direkte kobles til den enkelte internationale stude-
rende. Det drejer sig navnlig om kollektive udgifter (og i mindre grad indtægter) til ek-
sempelvis offentlig administration, politi, forsvar og infrastruktur.
Antallet af internationale studerende i Danmark har været stigende gennem en længere
periode. Selvom der ikke er tale om de samme personer i alle årene, udgør internationale
studerende ikke desto mindre en varig del af den danske befolkning. Set over en læn-
gere tidshorisont bidrager internationale studerende i udgangspunktet til finansieringen
og forbruget af de offentlige udgifter parallelt med den øvrige del af befolkningen i
Danmark. I dette tilfælde vil opgørelsen af internationale studerendes nettobidrag til de
offentlige finanser tage udgangspunkt i samtlige offentlige indtægter og udgifter
så-
vel individuelle som kollektive.
Hvis man derimod ikke betragter internationale studerende som en varig del af den
danske befolkning, vil en opgørelse af nettobidraget til de offentlige finanser alene in-
kludere offentlige indtægter og udgifter, der mere direkte kan knyttes til den internatio-
nale studerende.
Uddannelses- og Forskningsministeriet
47
UFU, Alm.del - 2017-18 - Bilag 158: Orientering om Justering af engelsksprogede uddannelser, fra uddannelses- og forskningsudvalget
1930106_0048.png
Offentlige indtægter og udgifter ved internationale studerende
De gennemsnitlige offentlige indtægter for internationale studerende stiger løbende ef-
ter studiestart, og efter 3 år ligger de stabilt på årligt 50.000 kr. i gennemsnit pr. inter-
nationale studerende (inklusiv stigende antal udrejste studerende)
5
. Indtægterne udgø-
res primært af indkomstskatter mv. (55 pct.) samt moms mv. (41 pct.), mens øvrige indi-
viduelle og kollektive indtægter udgør resten af de offentlige indtægterfigur 3.2, jf. figur
3.1. Da en stor del af internationale studerende udvandrer, betyder det, at de gennem-
snitlige offentlige indtægter ikke stiger over tid, selvom flere studerende afslutter deres
uddannelse og kommer i beskæftigelse.
Figur 3.1
Gennemsnitlige offentlige indtægter (inkl.
udvandringstilbøjelighed) for internationale
studerende fra året før studiestart og 11 år
efter
1.000 kr.
140
120
100
80
60
40
20
0
-1 0
1
2
3
4
5
6
7
8
9 10 11 12+
År efter studiestart
Kollektive indtægter
Øvrige individuelle indtægter
Moms og afgifter mv.
Indkomstskatter mv.
1.000 kr.
140
120
100
80
60
40
20
0
Figur 3.2
Gennemsnitlige offentlige udgifter (inkl. ud-
vandringstilbøjelighed) for internationale
studerende fra året før studiestart og 11 år
efter
1.000 kr.
140
120
100
80
60
40
20
0
-1 0
1
2
3
4
5
6
7
8
1.000 kr.
140
120
100
80
60
40
20
0
9 10 11 12+
År efter studiestart
Kollektive udgifter
Øvrige individuelle udgifter
Videregående uddannelse
Indkomstoverførsler ekskl. SU
SU
Anm.: År 0 angiver studiestartsåret, mens år -1 angiver året før studiestart.
Udgifterne til videregående uddannelse er korrigeret for, at en andel af ikke-EU/EØS-studerende
er selvbetalere. Desuden er den nordiske overenskomst modregnet i udgifterne til videregående
uddannelser for nordiske studerende.
De stiplede linjer angiver, at de offentlige indtægter og udgifter for internationale studerende i pe-
rioden 2004-2015 maksimalt kan måles 11 år efter studiestart. De gennemsnitlige indtægter og
udgifter er inkl. udrejste. Se boks 3.1 for uddybning af de offentlige indtægter og udgifter samt af-
snit 4.3.
Kilde: Uddannelses- og Forskningsministeriet,
Højbjerre Brauer Schultz’ beregninger
på registerdata fra
Danmarks Statistik og Lovmodellens 33 pct. stikprøve.
De gennemsnitlige offentlige udgifter (inkl. udrejste internationale studerende) er højest
1 år efter studiestart, og udgør ca. 128.000 pr. studerende
6
. Heraf udgør udgifter til ud-
dannelse (taxameterpenge, færdiggørelsesbonus samt SU) ca. 67.000 kr. pr. studerende,
svarende til 53 pct. af udgifterne. De gennemsnitlige offentlige udgifter falder til ca.
23.000 pr. studerende i år 11 efter studiestart
7
, jf. figur 3.2.
Indtægterne summer over alle offentlige indtægter fra år -1 før studiestart til år 11 efter studiestart. Ca. 17 pct. af de
internationale studerende er indvandret til Danmark et år før studiestart, hvorfor deres indtægter i dette år også ind-
går i nettobidragsberegningerne.
6
Årsagen til, at de offentlige udgifter er højest i år 1 og ikke i år 0 (studiestartsåret), skyldes, at en stor del af de stude-
rende påbegynder deres uddannelse i midten af et kalenderår, hvorfor de i år 0 kun tillægges et halvt års udgifter.
7
Udgifterne summer over alle offentlige udgifter fra år -1 før studiestart til år 11 efter studiestart. Ca. 17 pct. af de in-
ternationale studerende er indvandret til Danmark et år før studiestart, hvorfor deres udgifter i dette år også indgår i
nettobidragsberegningerne.
5
Uddannelses- og Forskningsministeriet
48
UFU, Alm.del - 2017-18 - Bilag 158: Orientering om Justering af engelsksprogede uddannelser, fra uddannelses- og forskningsudvalget
1930106_0049.png
Offentlige indtægter og udgifter ved internationale studerende
Faldet i de offentlige udgifter skyldes primært et fald i uddannelsesudgifterne, når de
studerende færdiggør deres uddannelse, samt at flere internationale studerende udrej-
ser, og dermed trækker de gennemsnitlige offentlige udgifter ned.
Boks 3.1 Offentlige indtægter og udgifter
Indtægter
-
Indkomstskatter mv.
dækker bl.a. kildeskat, vægtafgift, arbejdsmarkedsbi-
drag, selskabsskat mv., realrenteafgift, medielicens og andre personlige ind-
komstskatter.
-
Moms og afgifter mv.
dækker bl.a. over moms og punktafgifter, told, regi-
streringsafgift, ejendomsskat (grundskyld) for boligejere og ejendomsskat
(grundskyld) for lejere.
-
Øvrige individuelle indtægter
dækker over overførsler fra den private til den
offentlige sektor.
-
Kollektive indtægter
dækker over den offentlige sektors indtægter af renter
og udbytte, bidrag til sociale ordninger fra husholdningerne til den offentlige
sektor samt andre løbende overførsler til den offentlige sektor.
Udgifter
-
Udgifter til SU
dækker offentlige udgifter til internationale studerende ba-
seret på SU-udgifterne fra 2014.
-
Udgifter til videregående uddannelse
er baseret på uddannelsesudgifter fra
2016. Uddannelsesudgifterne består hovedsageligt studenterårsværkstak-
ster (STÅ) og færdiggørelsesbonus. Udgifterne til videregående uddannelse
er korrigeret for, at en andel af ikke-EU/EØS-studerende er selvbetalere.
Desuden er den nordiske overenskomst modregnet i udgifterne til videregå-
ende uddannelser for nordiske studerende.
-
Indkomstoverførsler ekskl. SU
dækker over bl.a. over kontanthjælp, ledig-
hedsydelse, sygedagpenge, arbejdsløshedsdagpenge m.fl.
-
Øvrige individuelle udgifter
dækker over udgifter til voksenuddannelse, aktiv
beskæftigelse, sundhed (medicin, sygesikring og hospital), øvrig individuel
andel af offentlige udgifter og dansk finansierede stipendier.
-
Kollektive udgifter
dækker over kollektivt offentligt forbrug, tjenestemands-
pensioner, overførsler fra den offentlige sektor, offentlige forvaltning og
services faste investeringer, købe af jord og rettigheder, netto, i den offent-
lige sektor.
Se mere om beregningsmetode og -grundlag i afsnit 4.3.
Uddannelses- og Forskningsministeriet
49
UFU, Alm.del - 2017-18 - Bilag 158: Orientering om Justering af engelsksprogede uddannelser, fra uddannelses- og forskningsudvalget
1930106_0050.png
Offentlige indtægter og udgifter ved internationale studerende
3.1 Halvdelen af de internationale studerende er udrejst 5 år efter
studiestart
Udvandringstilbøjeligheden
under og efter studierne - har stor betydning for bereg-
ningerne af det gennemsnitlige nettobidrag til de offentlige finanser fra internationale
studerende. I løbet af studietiden i Danmark bidrager internationale studerende nega-
tivt til de offentlige finanser. Det skyldes blandt andet offentlige udgifter til videregå-
ende uddannelse og SU. For at internationale studerende kan bidrage positivt til de of-
fentlige finanser, er det en forudsætning, at de bliver i Danmark og kommer i beskæfti-
gelse efter endt uddannelse.
Mellem 50 og 60 pct. af alle internationale studerende er udvandret 5 år efter studie-
start, mens ca. 14-20 pct. fortsat er i Danmark 11 år efter studiestart, jf. figur 3.3.
Figur 3.3
Andel af internationale studerende, der bliver i Danmark i 0-11 år efter studiestart, baseret
på adfærden blandt de seneste tre studieårgange og den seneste studieårgang, pct., 2004-
2015
Pct.
100
Pct.
100
80
80
60
60
40
40
20
20
0
0
1
2
3
4
5
6
7
8
9
Andel af internationale studerende med ophold i Danmark (seneste tre årgange)
Andel af internationale studerende med ophold i Danmark (seneste årgang)
0
10
11
År efter studiestart
Anm.: År 0 angiver studiestartsåret.
Andelen af internationale med ophold i Danmark er beregnet på tværs af de forskellige studieår-
gange. I hvert år efter studiestart benyttes oplysninger om de seneste tre studieårgange, som der
er data for. Andelen er beregnet på baggrund af den betingede sandsynlighed for at være i Dan-
mark. Udrejsetilbøjeligheden inkluderer både studerende, som har dimitteret og afbrudt deres ud-
dannelse. Genindvandring medtages ikke.
Se boks 3.2 og afsnit 4.3 for dokumentation og beregningsmetode.
Kilde: Uddannelses- og Forskningsministeriet,
Højbjerre Brauer Schultz’ beregninger
på registerdata fra
Danmarks Statistik.
Uddannelses- og Forskningsministeriet
50
UFU, Alm.del - 2017-18 - Bilag 158: Orientering om Justering af engelsksprogede uddannelser, fra uddannelses- og forskningsudvalget
1930106_0051.png
Offentlige indtægter og udgifter ved internationale studerende
3.2 Knap én ud af tre internationale studerende giver flere
offentlige indtægter end udgifter
For internationale studerende, der startede på deres studier i løbet af perioden 2004 til
2007, skønnes ca. 29-31 pct. at bidrage positivt til de offentlige finanser over et livsfor-
løb. Derimod har 69-71 pct. et skønnet negativt nettobidrag. Metoden til at skønne in-
ternationale studerendes nettobidrag til de offentlige finanser fremgår af boks 3.2.
Blandt internationale studerende, som bidrager negativt til de offentlige finanser, giver
knap halvdelen (46 pct.) et gennemsnitligt skønnet nettobidrag over et helt livsforløb på
mellem 0 og -250.000 kr. Ca. halvdelen (48 pct.) af internationale studerende, som
skønnes at give et positivt nettobidrag, giver et nettobidrag på 1 mio. kr. eller derover i
løbet af et livsforløb, jf. figur 3.4.
Figur 3.4
Fordeling af det skønnede akkumulerede nettobidrag til de offentlige finanser over et helt
livsforløb for internationale studerende med studiestart fra 2004 til 2007, pct.
Pct.
35
30
25
20
15
10
5
0
-750 og
derunder
-500 til
-750
-250 til
-500
0 til
-250
0 til
250
250 til
500
500 til
750
750 til
1000
1000 til
1500
1500 til
2000
2.000 og
derover
69 pct. med
negativt nettobidrag
31 pct. med
positivt nettobidrag
Pct.
35
30
25
20
15
10
5
0
Gnsn. nettobidrag, 1.000 kr.
Anm.: Nettobidraget er skønnet på baggrund af udvandringstilbøjeligheden fra skøn 1, jf. boks 3.2.
Se boks 3.2 og afsnit 4.3 for dokumentation og beregningsmetode. Det akkumulerede nettobidrag
er diskonteret på baggrund af Finansministeriets lønkorrigerede diskonteringsfaktor normaliseret
til 2016-niveau.
Kilde: Uddannelses- og Forskningsministeriet,
Højbjerre Brauer Schultz’ beregninger
på baggrund af regi-
sterdata fra Danmarks Statistik, Lovmodellens 33 pct. stikprøve, og Finansministeriets nettobidrag
for vestlige indvandrere.
Ca. én ud af fire internationale studerende på henholdsvis erhvervsakademi- og profes-
sionsbacheloruddannelserne skønnes at give et positivt nettobidrag til de offentlige fi-
nanser. Nettobidraget er positivt for omtrent hver femte internationale studerende fra
de akademiske bacheloruddannelser. På kandidatuddannelserne giver 34-37 pct. et
skønnet positivt nettobidrag, jf. tabel 3.1.
Uddannelses- og Forskningsministeriet
51
UFU, Alm.del - 2017-18 - Bilag 158: Orientering om Justering af engelsksprogede uddannelser, fra uddannelses- og forskningsudvalget
1930106_0052.png
Offentlige indtægter og udgifter ved internationale studerende
Tabel 3.1
Skønnet andel af internationale studerende med positive nettobidrag til de offentlige finan-
ser i Danmark set over et livsforløb, pct., internationale studerende med studiestart fra 2004
til 2007
Andel med positive nettobidrag
pct.
Erhvervsakademiuddannelser mv.
Professionsbachelor
Akademisk bachelor mv.
Kandidatuddannelser mv.
Alle internationale studerende
26-28
23-25
18-20
34-37
29-31
Anm.: Se boks 3.2 og afsnit 4.3 for dokumentation og beregningsmetode.
Kilde: Uddannelses- og Forskningsministeriet,
Højbjerre Brauer Schultz’ beregninger
på baggrund af regi-
sterdata fra Danmarks Statistik og Lovmodellens 33 pct. stikprøve.
Uddannelses- og Forskningsministeriet
52
UFU, Alm.del - 2017-18 - Bilag 158: Orientering om Justering af engelsksprogede uddannelser, fra uddannelses- og forskningsudvalget
1930106_0053.png
Offentlige indtægter og udgifter ved internationale studerende
Boks 3.2 Skøn for nettobidrag til de offentlige finanser
Det akkumulerede nettobidrag er beregnet på baggrund af det årlige nettobidrag til
de offentlige finanser i løbet af den tid, hvor den internationale studerende bor i
Danmark. Det gennemsnitlige nettobidrag pr. international studerende er beregnet
med udgangspunkt i studerende fra perioden 2004-2015, mens fordelingen af posi-
tive og negative nettobidrag tager udgangspunkt i studieårgangene 2004-2007,
idet de internationale studerendes adfærd kan følges i op til 11 år efter studiestart.
Det skønnede nettobidrag til de offentlige finanser for internationale studerende
som opholder sig i Danmark i op til 11 år efter studiestart er beregnet med ud-
gangspunkt i det offentliges udgifter og indtægter og den faktiske adfærd blandt
de studerende frem til år 2015, som er det seneste måleår. Adfærden dækker bl.a.
over, hvor mange år de studerende er under uddannelse, deres indkomst under og
efter uddannelse samt træk på offentlige ydelser såsom SU.
Det er af datamæssige årsager ikke muligt at følge internationale studerende efter
år 2015. Der er ca. 20 pct. af det internationale studerende med studiestart i 2004-
2015, som fortsat er i landet i 2015. Det akkumulerede nettobidrag for internatio-
nale studerende, som ikke er udrejst inden år 2015, er beregnet på baggrund af net-
tobidraget for vestlige indvandrere med en videregående uddannelse. Data er her
på baggrund af Finansministeriets beregninger i Økonomisk analyse: indvandreres
nettobidrag til de offentlige finanser. Nettobidraget er diskonteret med Finansmini-
steriets lønkorrigerede diskonteringsfaktor i 2016-niveau.
Internationale studerende er i gennemsnit 24 år (median alder 23 år), når de starter
på deres videregående uddannelse i Danmark. Da de studerende kun følges i fra
2004 til 2015 svarende til 11 år er det skønsmæssigt lagt til grund, at de stude-
rende, som fortsat er i Danmark i 2015, i gennemsnit er 35 år. For de studerende,
som ikke udrejst i det seneste måleår (2015), er opholdstiden i Danmark fordelt til-
fældigt med udgangspunkt i udvandringstilbøjeligheden for udenlandske statsbor-
gere med en videregående uddannelser fra Danmark, som fyldte 35 år i perioden
1995-2004. Indvandrere, som fyldte 35 år i 2004, kan således følges i op til 13 år
(2017-data), mens 35-årige indvandrere fra 1995 kan følges i op til 22 år (2017-
data). På denne måde er denne gruppe af indvandrere forsøgt gjort sammenligne-
lige med de internationale studerende, der fortsat er i Danmark 11 år efter studie-
start.
Nettobidraget er skønnet med to forskellige metoder til at opgøre den forventede
udvandringstilbøjelighed blandt internationale studerende:
Skøn 1:
Udvandringstilbøjeligheden blandt de seneste tre studieårgange in-
ternationale studerende. Til brug for skønnet over et livsforløb er der ikke kor-
rigeret for, at udrejsetilbøjeligheden af ældre generationer af internationale
studerende er lavere end blandt
de nuværende internationale studerende.
Skøn 2:
Udvandringstilbøjeligheden blandt den seneste studieårgang. I skønnet for
nettobidraget over et livsforløb er der korrigeret for, at ældre generationer af in-
ternationale studerende har en lavere udvandring
end de nuværende internatio-
nale studerende.
Se afsnit 4.3 for yderligere dokumentation om beregningsmetode og -grundlag.
Uddannelses- og Forskningsministeriet
53
UFU, Alm.del - 2017-18 - Bilag 158: Orientering om Justering af engelsksprogede uddannelser, fra uddannelses- og forskningsudvalget
1930106_0054.png
Offentlige indtægter og udgifter ved internationale studerende
Internationale studerende, som giver et negativt nettobidrag, udrejser ofte relativt hur-
tigt efter studiestart, og når derfor ikke
at tjene de offentlige udgifter under uddannel-
sen ind. F.eks. giver internationale studerende, der udvandrer 6 år efter studiestart, et
skønnet akkumuleret nettobidrag på ca. -342.000 kr. Internationale studerende, som
bliver i 10 år eller længere, bidrager i gennemsnit positivt til de offentlige finanser. Det
gennemsnitlige skønnede nettobidrag stiger med opholdstiden, jf. figur 3.5.
Figur 3.5
Skønnet akkumuleret nettobidrag til de offentlige finanser i Danmark over et helt livsforløb
for internationale studerende med studiestart 2004-2007 fordelt efter opholdstid, 1.000 kr.
og pct., 2016-priser
1.000 kr.
2.600
2.400
1.000
800
600
400
200
0
-200
-400
0
1
2
3
4
5
6
7
8
9
10
11
12
13
14
15
16
17
18
19
20 20+
Adfærd blandt internationale
studerende med studiestart
2004-2007
Adfærd blandt udenlandske
statsborgere med en videregående
uddannelse (målt omkring 11 år efter
endt uddannelse)
Pct.
14
12
10
8
6
4
2
0
-2
-4
Opholdstid (år efter studiestart)
Akkumuleret nettobidrag
Andel pr. opholdsår
Anm.: År 0 angiver studiestartsåret.
Nettobidraget er skønnet på baggrund af udvandringstilbøjeligheden fra skøn 1, jf. boks 3.2.
Det skønnede akkumulerede nettobidrag fra år 12 og fremefter er skønnet på baggrund af udvan-
dringsadfærden for udenlandske statsborgere, som har taget en videregående uddannelse i Dan-
mark. Se boks 3.2 og afsnit 4.3 for dokumentation og beregningsmetode.
Det akkumulerede nettobidrag er diskonteret på baggrund af Finansministeriets lønkorrigerede
diskonteringsfaktor normaliseret til 2016-niveau.
Kilde: Uddannelses- og Forskningsministeriet,
Højbjerre Brauer Schultz’ beregninger
på registerdata fra
Danmarks Statistik og Lovmodellens 33 pct. stikprøve.
Internationale studerende, som bliver i mere end 20 år efter studiestart, giver i gennem-
snit et skønnet nettobidrag på op mod 2,5 mio. kr. til de offentlige finanser, jf. figur 3.5.
Da disse potentielle gevinster først opnås på relativt lang sigt er skønnet behæftet med
betydelig usikkerhed.
Beregningerne for bidraget til de offentlige finanser tager udgangspunkt i internationale
studerende i perioden 2004-2015. Datagrundlaget er således baseret på internationale
studerende i op til 11 år efter studiestart, og målt over denne 11-årige periode er det
skønnede gennemsnitlige nettobidrag mellem ca. -100.000 og ca. -130.000 kr. kr. pr.
studerende, jf. figur 3.6.
Uddannelses- og Forskningsministeriet
54
UFU, Alm.del - 2017-18 - Bilag 158: Orientering om Justering af engelsksprogede uddannelser, fra uddannelses- og forskningsudvalget
1930106_0055.png
Offentlige indtægter og udgifter ved internationale studerende
Figur 3.6
Skønnet akkumuleret nettobidrag til de offentlige finanser for internationale studerende
over et helt livsforløb, 1.000 kr., 2016-priser
1.000 kr.
400
Adfærd blandt
internationale
studerende med
studiestart 2004-
2015
Adfærd blandt udenlandske
statsborgere med en
videregående uddannelse
(målt omkring 11 år efter
endt uddannelse)
1.000 kr.
400
300
300
200
200
100
100
0
0
-100
-100
-200
-200
-300
-1
1
3
5
7
9 11 13 15 17 19 21 23 25 27 29 31 33 35 37 39 41 43 45 47 49 51 53 55
År efter studiestart
Skøn 1
Skøn 2
-300
Anm.: År 0 angiver studiestartsåret.
Fremskrivningen er baseret på metoden beskrevet i - dog med udgangspunkt i internationale stu-
derende, som starter på deres uddannelse i løbet af hele perioden 2004-2015. Se boks 3.2 og af-
snit 4.3 for dokumentation og beregningsmetode.
Det akkumulerede nettobidrag er beregnet på baggrund af den samlede udvandringstilbøjelighed
for de seneste tre studieårgange af internationale studerende. Denne metode er anvendt for at
sikre en mere robust fremskrivning af nettobidraget. Det betyder, at det akkumulerede nettobi-
drag i år 11 i skøn 1 afviger ca. 6 pct. fra det faktiske akkumulerede nettobidrag for alle internatio-
nale studerende (figur 3.7).
Det akkumulerede nettobidrag er diskonteret på baggrund af Finansministeriets lønkorrigerede
diskonteringsfaktor normaliseret til 2016-niveau.
Kilde: Uddannelses- og Forskningsministeriet på baggrund af
Højbjerre Brauer Schultz’ beregninger
registerdata fra Danmarks Statistik og Lovmodellens 33 pct. stikprøve samt Finansministeriet
(2017) nettobidrag opdelt på alderstrin for vestlige indvandrere med en videregående uddannelse.
For de omtrent 14-20 pct. internationale studerende, der fortsat er i Danmark 11 år efter
studiestart, er det nødvendigt at foretage et skøn for deres potentielle nettobidrag ef-
ter det 11. år. For at få data, som rækker længere frem end det 11. år, er det derfor nød-
vendigt at se på adfærden blandt ældre årgange af studerende med udenlandsk stats-
borger, som tidligere har gennemført en uddannelse i Danmark. Disse personer kan dog
afvige en del fra de nuværende internationale studerende. Samtidig er det langt fra gi-
vet, at internationale studerende vil have samme tilbøjelighed til at blive i Danmark
fremadrettet.
De potentielle gevinster ligger således relativt langt ude i fremtiden, hvorfor der er
størst usikkerhed forbundet med opgørelsen af gevinsterne. Opgørelsen af omkostnin-
gerne er behæftet med mindre usikkerhed, da de forekommer tidligere i de internatio-
nale studerendes livsforløb i Danmark, og datagrundlaget derved er stærkere.
Uddannelses- og Forskningsministeriet
55
UFU, Alm.del - 2017-18 - Bilag 158: Orientering om Justering af engelsksprogede uddannelser, fra uddannelses- og forskningsudvalget
1930106_0056.png
Offentlige indtægter og udgifter ved internationale studerende
Samlet set skønnes det, at nettobidraget ligger mellem 100.000 og 350.000 kr. pr. stu-
derende målt over et helt livsforløb. Det svarer til mellem 2.000 kr. og 7.500 kr. i gen-
nemsnit pr. studerende pr. år fra studiestart og 50 år frem.
Tabel 3.2
Skønnet andel af internationale studerende i Danmark og skønnet akkumuleret nettobidrag,
pct. og 1.000 kr., 2016-priser
11 år efter studiestart
(faktisk adfærd)
Andel i Danmark
efter 11 år
pct.
Skøn 1 - ældre og yngre år-
gange af internationale stude-
rende vægtes ligeligt
Skøn 2
nyere årgange af in-
ternationale studerende væg-
tes højere
20
Skønnet akkumuleret
nettobidrag
1.000 kr.
-100
Livsforløb
(fremskrivning)
Skønnet andel
Skønnet akkumuleret
i Danmark
nettobidrag
efter 50 år
pct.
6
1.000 kr.
350
14
-130
2
100
Anm.: Se boks 3.2 og afsnit 4.3 for dokumentation og beregningsmetode.
De skønnede akkumulerede nettobidrag er afrundede til nærmeste 10.000 kr.
Livforløb svarer til 50 år efter studiestart.
Kilde: Uddannelses- og Forskningsministeriet på baggrund af
Højbjerre Brauer Schultz’ beregninger
registerdata fra Danmarks Statistik og Lovmodellens 33 pct. stikprøve samt Finansministeriet
(2017) nettobidrag opdelt på alderstrin for vestlige indvandrere med en videregående uddannelse.
Det skønnede nettobidrag afhænger af, hvilket uddannelsesniveau de internationale
studerende læser på. F.eks. giver internationale studerende fra kandidatuddannelser i
gennemsnit et negativt skønnet nettobidrag på ca. -3.000 kr. 11 år efter studiestart,
mens internationale studerende fra erhvervsakademi- og professionsbacheloruddan-
nelser har et skønnet nettobidrag på ca. -250.000 kr. 11 år efter studiestart, jf. figur 3.7.
Omkring en femtedel af de internationale studerende er fortsat i Danmark 11 år efter
studiestart, og for samfundet kan der potentielt være store gevinster forbundet med de
studerende, som opholder sig længe i Danmark. For internationale studerende under ét
er det skønnet til ca. 1,5 mio. kr. i gennemsnit pr. studerende. Beløbets størrelse er be-
hæftet med stor usikkerhed. Det viser dog, at der er et væsentligt potentiale blandt in-
ternationale studerende, som stadig er i Danmark efter det 11. år.
Uddannelses- og Forskningsministeriet
56
UFU, Alm.del - 2017-18 - Bilag 158: Orientering om Justering af engelsksprogede uddannelser, fra uddannelses- og forskningsudvalget
1930106_0057.png
Offentlige indtægter og udgifter ved internationale studerende
Figur 3.7
Skønnet nettobidrag til de offentlige finanser for internationale studerende 11 år efter studie-
start fordelt på uddannelsestype, 1.000 kr., 2016-priser
1.000 kr.
50
0
-50
-100
-150
-200
-250
-300
-350
-1
0
1
2
3
4
5
6
7
8
9
10
11
12+
1.000 kr.
50
0
-50
-100
-150
-200
-250
-300
-350
År efter studiestart
Alle internationale studerende
Akademisk bachelor mv.
Erhvervsakademiuddannelser mv.
Kandidatuddannelser mv.
Professionsbachelor
Anm.: År 0 angiver studiestartsåret.
Nettobidraget er skønnet på baggrund af udvandringstilbøjeligheden fra skøn 1, jf. boks 3.2.
Det akkumulerede nettobidrag for alle internationale studerende er beregnet, som et vægtet gen-
nemsnit af nettobidraget opdelt på uddannelsestype og statsborgerskab. Vægtningen er foretaget
på baggrund af fordelingen af studerende i 2015.
Det akkumulerede nettobidrag er diskonteret på baggrund af Finansministeriets lønkorrigerede
diskonteringsfaktor normaliseret til 2016-niveau.
Kilde: Uddannelses- og Forskningsministeriet på baggrund af
Højbjerre Brauer Schultz’ beregninger
registerdata fra Danmarks Statistik og Lovmodellens 33 pct. stikprøve
3.3 Lavere udrejsetilbøjelighed øger det skønnede nettobidrag
Andelen af internationale studerende, som bliver i Danmark, efter dimission har stor be-
tydning for det samlede nettobidrag til de offentlige finanser. Det skyldes, at internati-
onale studerende oftest først begynder at bidrage positivt til de offentlige finanser ef-
ter endt uddannelse. Målt 11 år efter studiestart er ca. 14-20 pct. af internationale stu-
derende fortsat i Danmark.
Hvis udrejsetilbøjeligheden for internationale studerende eksempelvis faldt med 25 pct.,
skønnes det gennemsnitlige nettobidrag over et helt livsforløb at vokse til mellem
330.000- 660.000 kr. pr. studerende over et livsforløb. En 25 pct. stigning i udvan-
dringstilbøjeligheden ville tilsvarende sænke det skønnede nettobidrag til mellem -
50.000 tog 100.000 kr. pr. international studerende, jf. figur 3.8.
Uddannelses- og Forskningsministeriet
57
UFU, Alm.del - 2017-18 - Bilag 158: Orientering om Justering af engelsksprogede uddannelser, fra uddannelses- og forskningsudvalget
1930106_0058.png
Offentlige indtægter og udgifter ved internationale studerende
Figur 3.8
Skønnet akkumuleret nettobidrag til de offentlige finanser for internationale studerende
over et livsforløb, 1.000 kr., 2016-priser
1.000 kr.
700
600
500
400
300
200
100
100
0
-100
Benchmark
25 pct. lavere
udvandringstilbøjelighed
Skøn 1
25 pct. højere
udvandringstilbøjelighed
Skøn 2
100
100
0
-100
350
660
1.000 kr.
700
600
500
400
300
200
330
-50
Anm : Se boks 3.2 og afsnit 4.3 for dokumentation og beregningsmetode.
De skønnede akkumulerede nettobidrag er afrundede til nærmeste 10.000 kr.
Livforløb svarer til 50 år efter studiestart.
Kilde: Uddannelses- og Forskningsministeriet på baggrund af
Højbjerre Brauer Schultz’ beregninger
registerdata fra Danmarks Statistik og Lovmodellens 33 pct. stikprøve samt Finansministeriet
(2017) nettobidrag opdelt på alderstrin for vestlige indvandrere med en videregående uddannelse.
Sammensætningen af internationale studerende kan have indflydelse på, hvor stor en
andel af de studerende, som rejser hjem efter endt uddannelse. F.eks. er der større sand-
synlighed for, at internationale studerende som har en type af uddannelse, der er særligt
efterspurgt på det danske arbejdsmarked, vil blive i Danmark i en længere periode efter
dimission. Et skift i uddannelsessammensætningen kan derfor påvirke udvandringstil-
bøjeligheden blandt internationale studerende.
8
Herudover kan opbremsningen i antallet
af optagne studerende på engelsksprogede erhvervs- og professionsbacheloruddannel-
ser i 2017 også have indflydelse på den fremtidige sammensætning af internationale
studerende.
9
Internationale studerendes tilbøjelighed til at blive i Danmark efter endt uddannelse kan
være påvirket af en række forhold, f.eks. konjunkturudviklingen i Danmark og udlandet.
F.eks. kan en lavkonjunktur i Danmark betyde, at internationale studerende har svært
ved at finde fodfæste på det danske arbejdsmarked og i højere grad søger mod andre
lande (alt andet lige).
Fra 2004 til 2008 var ledigheden på det danske arbejdsmarked lav og faldende i Dan-
mark. Fra 2008 til 2012 steg den gennemsnitlige ledighed (4.-7. kvartal) for nyuddan-
nede fra videregående uddannelse fra ca. 5 pct. til ca. 9 pct., hvorefter den faldt til ca. 8
pct. i 2014-2015. Denne analyse følger internationale studerende i perioden fra 2004 til
Se figur 5.1-figur 5.4 i bilaget for en oversigt, over hvordan de internationale studerende fordeler sig på hovedområder
inden for hver uddannelsestype.
9
https://ufm.dk/aktuelt/pressemeddelelser/2017/markant-faerre-studerende-er-optaget-pa-de-engelsksprogede-
uddannelser
8
Uddannelses- og Forskningsministeriet
58
UFU, Alm.del - 2017-18 - Bilag 158: Orientering om Justering af engelsksprogede uddannelser, fra uddannelses- og forskningsudvalget
Offentlige indtægter og udgifter ved internationale studerende
2015. Måleperioden dækker således både over en periode med en forværring og forbed-
ring i arbejdsmarkedsmulighederne for nyuddannede. De første årgange af internatio-
nale studerende er dimitteret i årene op til finanskrisen i 2008, hvor beskæftigelsen
voksede. De senere årgange er derimod kommet i perioden efter finanskrisen, som var
kendetegnet ved forringede beskæftigelsesmuligheder. Finanskrisen gav dog anledning
til nedgang i beskæftigelsen i de fleste lande, hvorfor tilskyndelsen til at blive og søge
job i Danmark ikke nødvendigvis blev ringere efter finanskrisens udbrud.
Ringere beskæftigelsesmuligheder kan have påvirket internationale studerendes mulig-
hed for at finde relevant beskæftigelse. Hvis internationale studerende, som blev i Dan-
mark i en længere tidsperiode, i højere grad har været ledige
eller har været nødsaget
til at tage mindre relevant beskæftigelse
i forhold til en normal konjunktursituation, så
kan det potentielt bidrage til at undervurdere internationale studerendes nettobidrag til
de offentlige finanser.
3.4 Andre effekter af internationale studerende i Danmark
Beregningerne måler alene på konsekvenser af internationale studerende for de offent-
lige finanser. Internationale studerende kan have betydning for Danmarks velstand, som
ikke opfanges i opgørelsen af de offentlige finanser.
Internationale studerende kan
i det omfang de bliver i Danmark
bidrage til arbejds-
udbuddet af højtkvalificeret arbejdskraft. Det forudsætter dog ikke nødvendigvis, at de
har opnået deres uddannelse på en dansk uddannelsesinstitution. Hvis udenlandske
borgere var kommet til Danmark under alle omstændigheder med en tilsvarende uddan-
nelse, ville det således indebære en besparelse i uddannelsesudgifter mv.
Internationale studerende kan også have en positiv effekt på læringsmiljøet på den ud-
dannelse, de bliver en del af. Samtidig kan de fortrænge danske studerende fra studie-
pladser med høj søgning. Uddannelser, hvor internationale studerende optager pladser
fra danske studerende, kan eksempelvis føre til, at danske studerende søger ind på an-
dre uddannelser eller i nogle tilfælde helt fravælger at tage en uddannelse. Det er van-
skeligt at vurdere konsekvenserne af dette, da det i høj grad må afhænge af, hvilket al-
ternativt uddannelsesforløb, den danske studerende i dette tilfælde påbegynder. I det
omfang fortrængningen forekommer på uddannelser, som giver særligt efterspurgte
kompetencer, kan der potentielt være tale om et samfundsmæssigt tab, idet internatio-
nale studerende udvandrer i større omfang end danske studerende.
Internationale studerende kan være en forudsætning for, at danske studerende kan
rejse til udlandet og studere. Beregningerne tager ikke højde for eventuelle gevinster af
danske studerende, som tager en videregående uddannelse i udlandet, og som efterføl-
gende finder beskæftigelse på det danske arbejdsmarked.
Danske studerendes udrejsetilbøjelighed er betragteligt lavere end udenlandske stude-
rende, derfor ville en tilsvarende nettobidragsopgørelse for danske studerende give an-
ledning til et stort skønnet positivt nettobidrag til de offentlige finanser. Der er dog en
væsentlig omkostning forbundet med at gennemføre den videregående uddannelse for
den danske studerende, som en sådan beregning ikke tager højde for. Alternativet til at
starte på den videregående uddannelse vil for en stor del af de danske studerende være
at arbejde i Danmark. Derfor er der en såkaldt alternativomkostning i form af den
tabte beskæftigelse i Danmark under studietiden. For en international studerende –
Uddannelses- og Forskningsministeriet
59
UFU, Alm.del - 2017-18 - Bilag 158: Orientering om Justering af engelsksprogede uddannelser, fra uddannelses- og forskningsudvalget
Offentlige indtægter og udgifter ved internationale studerende
der alene er kommet til Danmark med det formål at starte på en uddannelse
er alter-
nativet med stor sandsynlighed ikke et job i Danmark, men f.eks. en uddannelse i hjem-
landet eller et andet land.
Uddannelses- og Forskningsministeriet
60
UFU, Alm.del - 2017-18 - Bilag 158: Orientering om Justering af engelsksprogede uddannelser, fra uddannelses- og forskningsudvalget
Offentlige indtægter og udgifter ved internationale studerende
4. Tidligere
undersøgelser
4.1 Danske undersøgelser
I de senere år er der gennemført flere undersøgelser af internationale studerendes bi-
drag til de offentlige finanser i Danmark. Helt overordnet anvender tidligere danske un-
dersøgelser to forskellige tilgange til at opgøre bidraget fra internationale studerende.
Forskellen mellem de to metoder er, hvilke indtægter og udgifter der indgår i beregnin-
gerne.
Den første tilgang opgør de offentlige udgifter og indtægter, som direkte kan henføres
til den enkelte person. På indtægtssiden drejer det sig primært om kildeskatter, mens
det på udgiftssiden vedrører overførselsindkomster og de dele af det individuelle of-
fentlige forbrug, som er personhenførbart (typisk dele af udgifterne til uddannelse,
sundhedsvæsen og i nogle tilfælde individuelle udgifter til retsvæsenet). Denne tilgang
udelader en række offentlige udgifter og indtægter, som ikke direkte kan henføres til en
bestemt person. Eksempelvis indgår det kollektive offentlige forbrug (herunder udgifter
til forsvar, politi, centraladministration mv.) ikke i den type opgørelser.
Den anden tilgang er baseret på en detaljeret opgørelse over den enkelte persons bi-
drag til de offentlige indtægter og træk på de offentlige udgifter. Med denne metode
fordeles samtlige offentlige indtægter og udgifter fra nationalregnskabet på enkeltper-
soner. Det betyder, at personhenførbare udgifter, som f.eks. udgifter til uddannelse, til-
deles den enkelte person. Derudover indgår udgifter, der ikke kan henføres direkte til
den enkelte, som f.eks. kollektivt forbrug og offentlige indtægter fra selskabsskat, i
regnskabet for den enkeltes bidrag. I tilfælde hvor udgifterne ikke kan henføres direkte
til den enkelte, anvendes relevante fordelingsnøgler.
4.1.1 Analyser af offentlige indtægter og udgifter som kan personhenføres
CEBR (2013) har lavet en analyse af det samfundsøkonomiske regnskab for internatio-
nale dimittender. Undersøgelsen anvender førstnævnte tilgang til at undersøge interna-
tionale studerendes nettobidrag til de offentlige finanser.
Undersøgelsens målgruppe er internationale studerende, der tager en hel kandidatud-
dannelse på Danmarks Tekniske Universitet (DTU), og udvekslingsstuderende som fær-
diggør deres uddannelsesophold på Danmarks Tekniske Universitet (DTU). Undersøgel-
sen fokuserer på studerende, som færdiggør deres uddannelse eller uddannelsesophold i
perioden 2002-2006. Det dækker henholdsvis 609 og 2.431 personer i perioden. Netto-
bidraget er opgjort for perioden 2003-2010, og alle studerende følges mindst fire år ef-
ter endt uddannelse.
Nettobidraget omfatter offentlige indtægter fra kildeskatter og offentlige udgifter til
dagpenge, kontanthjælp, uddannelsesudgifter samt sundhedsudgifter til lægebesøg og
Uddannelses- og Forskningsministeriet
61
UFU, Alm.del - 2017-18 - Bilag 158: Orientering om Justering af engelsksprogede uddannelser, fra uddannelses- og forskningsudvalget
Offentlige indtægter og udgifter ved internationale studerende
hospitalsindlæggelser. Undersøgelsen finder, at internationale studerende, som færdig-
gjorde deres kandidatuddannelse i Danmark, i gennemsnit bidrog med 47.000 kr. (2010-
niveau) til de offentlige finanser over perioden 2003-2010. I samme periode bidrog ud-
vekslingsstuderende i gennemsnit med et negativt nettobidrag på 43.000 kr. (2010-ni-
veau).
Det kan bemærkes, at internationale studerende i analysen fra CEBR (2013) havde en
relativt høj udrejsetilbøjelighed i forhold til internationale studerende i nyere undersø-
gelser. Efter otte år var udrejsetilbøjeligheden for internationale studerende i CEBRs
analyse ca. 95 pct. I en nyere analyse af Damvad Analytics (2017a) gentages analysen
fra CEBR (2013). Her er udvandringstilbøjeligheden for internationale kandidater fra
DTU, der dimitterede i perioden 2007-2011 ca. 60 pct. efter otte år.
Analysen fra Damvad Analytics (2017a) omhandler internationale studerende på kandi-
datuddannelser på DTU, hvilket er i tråd med afgrænsningen i CEBR (2013). Analysen
undersøger internationale studerende, der afslutter en kandidatuddannelse på DTU i
perioden 2007-2011. I analysen indgår 801 personer. Ligesom i analysen fra CEBR kan
internationale studerende følges i mindst fire og højst otte år efter, de har afsluttet de-
res uddannelse.
I modsætning til analysen fra CEBR (2013) inkluderer Damvad Analytics (2017a) ind-
tægter fra indirekte skatter såsom moms og punktafgifter i beregningen af de interna-
tionale studerendes nettobidrag. Undersøgelsen finder, at en international dimittend fra
DTU i gennemsnit bidrog med 484.000 kr. (2015-niveau) til de offentlige finanser under
studiet og i en periode på op til otte år efter endt studie. Dette er væsentligt mere end i
analysen fra CEBR, hvilket til dels kan forklares af forskellene i udrejsetilbøjeligheden
samt inklusionen af de offentlige indtægter fra indirekte skatter.
I Damvad Analytics (2017b) udvides målgruppen til at omfatte alle internationale stu-
derende, der færdiggør en kandidatuddannelse ved et dansk universitet i perioden
2007-2011. I analysen indgår 5.046 personer. Nettobidraget er beregnet på samme
måde som i Damvad Analytics (2017a).
Undersøgelsen finder, at internationale dimittenders nettobidrag i gennemsnit var knap
300.000 kr. i en periode på otte år efter endt uddannelse. Undersøgelsen finder desu-
den, at internationale studerendes nettobidrag afhænger af deres fagområde. Eksem-
pelvis bidrog internationale studerende, der gennemførte en teknisk eller naturviden-
skabelige uddannelse, med godt 370.000 kr. (2017-niveau) over otte år, mens internati-
onale studerende med en samfundsvidenskabelig uddannelse bidrog med 220.000 kr.
(2017-niveau) over otte år.
En analyse fra DEA (2015) opgør nettobidraget for internationale dimittender med hen-
holdsvis en kort, mellemlang og lang videregående uddannelse. Målgruppen i analysen er
internationale studerende, som tager en hel videregående uddannelse i Danmark i peri-
oden 1996 og 2008 (5.997 personer). Analysen fokuserer på offentlige indtægter og ud-
gifter forbundet med internationale studerende, som kan henføres til den enkelte per-
son, og ligesom CEBR (2013) medtager DEA (2015) ikke indirekte skatter. De offentlige
indtægter dækker kildeskatter under og efter uddannelse, mens de offentlige udgifter
dækker offentlige overførsler til SU, dagpenge, kontanthjælp og folkepension, samt of-
fentlige udgifter til sengedage på hospitalerne, retsvæsen og uddannelsesudgifter
(STÅ-takster). Sammenlignet med CEBR (2013) inkluderer DEA (2015) ikke udgifter til
Uddannelses- og Forskningsministeriet
62
UFU, Alm.del - 2017-18 - Bilag 158: Orientering om Justering af engelsksprogede uddannelser, fra uddannelses- og forskningsudvalget
Offentlige indtægter og udgifter ved internationale studerende
lægebesøg, men DEA (2015) medtager udgifter til retsvæsen og uddannelse, som ikke
indgår i CEBR (2013).
DEA (2015) finder, at internationale studerende over hele perioden 1996-2012 i gen-
nemsnit bidrog med godt 27.000 kr. (2014-niveau). Undersøgelsen finder endvidere, at
det kun var internationale studerende på de korte og lange videregående uddannelser,
der havde et positivt nettobidrag. Internationale studerende, der tog en bachelor- eller
en mellemlang videregående uddannelse, bidrog negativt til de offentlige finanser.
Denne forskel hænger bl.a. sammen med, at udrejsetilbøjeligheden varierer for internati-
onale studerende afhængig af uddannelsestype. I gennemsnit var ca. 40 pct. af interna-
tionale studerende i Danmark et år efter dimission. Til sammenligning viser analysen fra
CEBR, at 60 pct. af internationale studerende fra DTUs kandidatuddannelser, der dimit-
terede mellem 2002 og 2006, var i Danmark året efter. Det er på linje med resultaterne
fra analysen fra Damvad Analytics (2017b), som også fokuserer på kandidatuddannel-
ser.
De fire analyser fra CEBR, Damvad Analytics og DEA beregner alle de internationale
studerendes nettobidrag til de offentlige finanser på baggrund af udgifter og indtægter,
der kan henføres til den enkelte person via registerdata. Som eneste undtagelse med-
regner Damvad Analytics momsbetalinger, der beregnes med udgangspunkt i forbrugs-
kvoten af den disponible indkomst for en gennemsnitlig person i Danmark. I modsætning
til disse undersøgelser fordeler undersøgelser fra DREAM (2013) og DREAM (2014) alle
offentlige udgifter og indtægter på persongrupper.
4.1.2 Analyser som inkluderer samtlige offentlige indtægter og udgifter
Analyser fra DREAM (2013) og DREAM (2014) benytter DREAM-modellen til at beregne,
hvordan de offentlige finanser påvirkes af en merindvandring af 1.000 bachelorstude-
rende, som tager deres kandidatuddannelse i Danmark. Undersøgelserne fordeler alle
offentlige udgifter og indtægter på persongrupper (opdelt efter bl.a. alder, køn, herkomst
og uddannelsesniveau). I undersøgelserne gennemføres seks eksperimenter under for-
skellige antagelser omkring træk på taxameterudgifter, antallet af indvandrere, der
modtager SU, og hvorvidt der er tale om vestlige- eller ikke-vestlige indvandrere. For
alle seks eksperimenter finder undersøgelserne et positivt nettobidrag fra merindvan-
dring af bachelorstuderende, som tager en kandidatuddannelse i Danmark, jf. tabel 4.1.
Analyserne fra DREAM (2013) og DREAM (2014) medtager alle offentlige indtægter og
udgifter. Udgifter til frafaldne studerende er også inkluderet. Udgifter og indtægter op-
deles på persongrupper, men undersøgelserne arbejder ud fra gennemsnitsbetragtninger
baseret på indvandreres adfærd inden for bestemte alders- og uddannelsesgrupper mv.
Der tages ikke højde for, at internationale studerendes adfærd kan adskille sig fra andre
indvandreres.
Uddannelses- og Forskningsministeriet
63
UFU, Alm.del - 2017-18 - Bilag 158: Orientering om Justering af engelsksprogede uddannelser, fra uddannelses- og forskningsudvalget
1930106_0064.png
Offentlige indtægter og udgifter ved internationale studerende
Tabel 4.1
Seks marginaleksperimenter, DREAM (2013) og DREAM (2014)
Eksperiment
Eksperiment A
(2013)
Eksperiment B
(2013)
Eksperiment C
(2013)
Eksperiment D
(2014)
Eksperiment E
(2014)
Målgruppe
Indvandrere fra
vestlige lande
Indvandrere fra
ikke-vestlige lande
Indvandrere fra
vestlige lande
Indvandrere fra
vestlige lande
Indvandrere fra
vestlige lande
Indvandrere fra
vestlige lande med
20 pct. opjusteret
uddannelse ift.
eksperiment D.
Taxameter-
udgifter
100 pct. træk
Andel, der
modtager SU*
35 pct.
Resultater
Permanent årlig forbedring af
den offentlige saldo på 0,75
mia. kr. (2011-niveau).
Permanent årlig forbedring af
den offentlige saldo på 0,36
mia. kr. (2011-niveau).
Permanent årlig forbedring af
den offentlige saldo på 0,79
mia. kr. (2011-niveau).
Permanent årlig forbedring af
den offentlige saldo på 0,42
mia. kr. (2012-niveau).
Permanent årlig forbedring af
den offentlige saldo på 0,415
mia. kr. (2012-niveau).
Permanent årlig forbedring af
den offentlige saldo på 0,34
mia. kr. (2012-niveau).
Intet træk
10 pct.
Intet træk
10 pct.
100 pct. træk
40 pct.
100 pct. træk
60 pct.
Eksperiment F
(2014)
100 pct. træk
40 pct.
Anm.: Eksperimenterne tager udgangspunkt i, at alle indvandrerne indskrives på en kandidatuddannelse.
*Andel af indvandrere, som modtager SU.
Kilde: Uddannelses- og Forskningsministeriet, Højbjerre Brauer Schultz.
4.1.3 Oversigt over tidligere danske studier af internationale studerende
Damvad Analytics (2017a,2017b) og CEBR (2013) inddrager udelukkende individuelt of-
fentligt forbrug til uddannelse og sundhed. Derudover inkluderer analyserne offentlige
udgifter til visse overførselsindkomster. Analysen fra DEA (2015) inddrager udgifter til
retsvæsenet men ikke udgifter til lægebesøg. Dermed ser analyserne bort fra det kollek-
tive offentlige forbrug (f.eks. offentlig administration, politi, forsvar og infrastruktur) og
det individuel offentlige forbrug (f.eks. institutionspladser til børn mv.). Samtidig er en
række offentlige indtægter, som f.eks. selskabsskat og told, heller ikke medtaget i ana-
lyserne.
Analyserne ser desuden bort fra frafald, da målgruppen for undersøgelserne er interna-
tionale dimittender. Det betyder, at eventuelle udgifter til uddannelse for studerende,
der ikke fuldfører deres uddannelse, ikke er inkluderet i beregningerne. Hvorvidt frafald
blandt internationale studerende påvirker nettobidraget positivt eller negativt afhæn-
ger blandt andet af, om internationale studerende rejser tilbage til deres hjemland eller,
om de bliver i Danmark og finder beskæftigelse.
Tabel 4.2 viser en skematisk oversigt over tidligere undersøgelser.
Uddannelses- og Forskningsministeriet
64
UFU, Alm.del - 2017-18 - Bilag 158: Orientering om Justering af engelsksprogede uddannelser, fra uddannelses- og forskningsudvalget
1930106_0065.png
Offentlige indtægter og udgifter ved internationale studerende
Tabel 4.2
Oversigt over tidligere studier
CEBR
1
(2013)
Dimittendperiode
Analyseperiode
Antal (målgruppe)
Målgruppe
Udrejsetilbøjelighed året efter dimission
Udrejsetilbøjelighed 4 år efter
dimission
2
Udrejsetilbøjelighed 8 år efter
dimission
3
2002-2006
2003-2010
609
Internationale
dimittender
40 pct.
Ca. 60 pct.
Ca. 95 pct.
Damvad
(2017a)
2007-2011
2007-2014
801
Internationale
dimittender
40 pct.
Ca. 55 pct.
Ca. 60 pct.
Damvad
(2017b)
2007-2011
2007-2014
5.046
Internationale
dimittender
Ca. 40 pct.
Ca. 55 pct.
Ca. 70 pct.
DEA
(2015)
1996-2008
1996-2012
5.997
Internationale
dimittender
Ca. 60 pct.
-
-
Bidrag til offentlige finanser samt samfundsøkonomisk regnskab pr. studerende
Prisniveau
Privatsektor
Bruttoindkomst
Skattebetaling (direkte)
Skattebetaling (indirekte, f.eks. moms.)
I alt
Offentlig sektor
Samlede offentlige indtægter
4
Overførselsudgifter
5
Offentlige serviceydelser
6
Uddannelsesomkostninger
7
Samlede offentlige udgifter
Nettobidrag til offentlige finanser
Nettobidrag til samfundsøkonomien
289
-17
-29
-196
-242
47
569
806
-65
-33
-226
-324
482
1.218
604
-93
-31
-182
-306
298
779
210
-
-
-
-183
27
-
812
-289
0
523
1.540
-552
-254
734
1.084
-390
-214
481
-
-
-
-
2010-priser
2015-priser
2015-priser
2014-priser
Anm.: 1. Tabellen viser kun CEBRs (2013) resultater for internationale dimittender fra DTUs kandidatud-
dannelser.
2. og 3. Aflæst af graf.
4. For CEBR (2013) og Damvad (2017a,2017b) er de samlede offentlige indtægter lig med skatte-
indtægter.
5. Kontanthjælp og dagpenge. DEA inddrager udgifter til folkepension.
6. Sundhedsudgifter. DEA inkluderer udgifter til retsvæsen.
7. CEBR har ikke SU-udgifter med. For SU anvender DAMVAD SU-satsen for 2017.
Kilde: Uddannelses- og Forskningsministeriet, Højbjerre Brauer Schultz.
Der er, som beskrevet, forskel på, hvilke typer af offentlige indtægter og udgifter, de en-
kelte undersøgelser medtager i opgørelsen af nettobidraget fra internationale stude-
rende. Ligeledes varierer opgørelsen af de enkelte typer af indtægter og udgifter på
tværs af undersøgelserne. Tabel 4.3 viser, hvilke offentlige indtægter og udgifter der
medtages i de enkelte undersøgelser.
Uddannelses- og Forskningsministeriet
65
UFU, Alm.del - 2017-18 - Bilag 158: Orientering om Justering af engelsksprogede uddannelser, fra uddannelses- og forskningsudvalget
1930106_0066.png
Offentlige indtægter og udgifter ved internationale studerende
Tabel 4.3
Oversigt over indtægter og udgifter som er medtaget i tidligere undersøgelser af internatio-
nale studerendes nettobidrag til de offentlige finanser
CEBR
(2013)
1
Offentlig saldo, indtægter
Kildeskatter
Afgifter på hævede
kapitalpensioner
Øvrige direkte skatter
-AM-bidrag
-Vægtafgift
-Selskabsskat (ekskl. Nordsø)
-Selskabsskat (Nordsø)
-Realrenteafgift
-Medielicens
Moms fra husholdningerne
Øvrige indirekte skatter
-Produktions-, import- og
forbrugsskatter
- Registreringsafgift fra hus-
holdningerne
-Ejendomsskatter
Øvrige sociale bidrag
Øvrige indtægter
Offentlig saldo, udgifter
Indkomstoverførsler
Subsidier (ekskl. løntilskud)
Løntilskud
Individuelt offentligt forbrug
Kollektivt offentligt forbrug
Øvrige udgifter
X
X
X
X
X
X
X
X
X
X
X
X
X
X
?
X
?
X
X
X
X
?
X
X
X
X
X
X
X
X
X
X
X
X
X
X
X
X
X
X
X
X
X
DEA
(2015)
2
Damvad
Analytics
(2017a)
3
Damvad
Analytics
(2017b)
4
DREAM
(2013,2014)
5
Anm.: ? angiver, at det er uklart, hvorvidt Damvad (2017a) har inkluderet posterne eller ej.
1. Det fremgår ikke præcist hvilke kildeskatter, der indgår i opgørelsen fra CEBR (2013). Kun of-
fentlige udgifter til dagpenge og kontanthjælp indgår i indkomstoverførsler i undersøgelsen. Kun
sundhedsudgifter til lægebesøg og sengedage på hospital indgår under de individuelle offentlige
udgifter.
2. Kun indkomstskatter indgår som en offentlig indtægt i DEA (2015). Undersøgelsen indeholder
udelukkende indkomstoverførslerne SU, dagpenge, kontanthjælp og folkepension. Kun udgifter til
sengedage på hospitalerne, udgifter til retsvæsenet, og STÅ-takster indgår under de individuelle
offentlige udgifter.
3. Det fremgår ikke præcist hvilke direkte skatter og offentlige overførsler, der indgår i opgørelsen
fra Damvad Analytics (2017a). F.eks. indgår kontanthjælp, dagpenge og SU. Under de indirekte
skatter indgår moms og punktafgift. Sundhedsudgifter til lægebesøg og hospitalsophold og ud-
dannelsesudgifter indgår under de individuelle offentlige udgifter.
4. Det fremgår ikke præcist hvilke direkte skatter og overførsler, der indgår i opgørelsen fra Dam-
vad Analytics (2017b). F.eks. indgår skatter som statsskat, kommuneskat, ejendomsværdiskat, A-
skat af aktieudbytte, arbejdsmarkedsbidrag og særlig pension, og overførsler som kontanthjælp,
dagpenge, efterløn, børnecheck, boligstøtte og SU. Under de indirekte skatter indgår moms og
Uddannelses- og Forskningsministeriet
66
UFU, Alm.del - 2017-18 - Bilag 158: Orientering om Justering af engelsksprogede uddannelser, fra uddannelses- og forskningsudvalget
Offentlige indtægter og udgifter ved internationale studerende
punktafgift. Sundhedsudgifter til lægebesøg og hospitalsophold og uddannelsesudgifter indgår
under de individuelle offentlige udgifter.
5. Datagrundlaget i DREAM (2013) og (2014) er bl.a. nationalregnskabs- og lovmodeldata. Dermed
er input-data det samme som i nærværende analyse. Metoden til at fordele udgifterne vil dog ikke
nødvendigvis være den samme i alle tilfælde.
Kilde: Uddannelses- og Forskningsministeriet, Højbjerre Brauer Schultz.
I tabellen nedenfor er der en oversigt over de målgrupper, der er anvendt i de tidligere
danske undersøgelser af internationale studerende.
Uddannelses- og Forskningsministeriet
67
UFU, Alm.del - 2017-18 - Bilag 158: Orientering om Justering af engelsksprogede uddannelser, fra uddannelses- og forskningsudvalget
1930106_0068.png
Offentlige indtægter og udgifter ved internationale studerende
Tabel 4.4
Oversigt over målgrupper anvendt i tidligere danske undersøgelser af internationale stude-
rende
Undersøgelse
Definition af målgruppen
Internationale studerende fra DTU, der færdiggjorde deres DTU-ophold mellem
2002-2006. Internationale studerende opdeles i to grupper:
-
CEBR (2013)
-
Udvekslingsstuderende (typisk bachelorstuderende, som læser på DTU 1-2
semestre)
Studerende, der tager en fuld kandidatuddannelse på DTU
Kun studerende, der har fået karakteren to eller derover inkluderes i analysen (mål
for studieaktive).
Internationale bachelorstuderende, der påbegynder en kandidatuddannelse i Dan-
mark.
-
Indvandrere fra vestlige lande, der indskrives på en kandidatuddannelse.
Det antages, at alle trækker på taxameterudgifterne til uddannelse, og at
35 pct. af internationale studerende modtager SU.
-
Indvandrere fra ikke-vestlige lande, der indskrives på en kandidatuddan-
nelse. Det antages, at der intet træk er på taxameterudgifterne til uddan-
nelse, og at 10 pct. af de studerende modtager SU.
DREAM (2013)
Og (2014)
Indvandrere fra vestlige lande, der indskrives på en kandidatuddannelse.
Det antages, at der intet træk er på taxameterudgifterne til uddannelse,
og at 10 pct. af de studerende modtager SU.
-
Indvandrere fra vestlige lande, der alle indskrives på en kandidatuddan-
nelse. Der antages 100 pct. træk på taxameterudgifterne til uddannelse.
Det antages, at 40 pct. af indvandrerne modtager SU.
-
Indvandrere fra vestlige lande, der alle indskrives på en kandidatuddan-
nelse. Der antages 100 pct. træk på taxameterudgifterne til uddannelse.
Det antages, at 60 pct. af indvandrerne modtager SU.
-
Indvandrere fra vestlige lande, der alle indskrives på en kandidatuddan-
nelse, men med 20 pct. opjusteret uddannelse. Der antages 100 pct. træk
på taxameterudgifterne til uddannelse. Det antages, at 40 pct. af indvan-
drerne modtager SU.
Internationale studerende ved de danske videregående uddannelser, der færdig-
gjorde deres uddannelse i perioden 1996-2008.
-
Internationale studerende er en person med et andet statsborgerskab end
dansk, som gennemfører en hel videregående uddannelse i Danmark.
-
DEA (2015)
Kun studerende, der flytter til Danmark 90 dage før eller efter studiestart inkluderes
i analysen.
Internationale dimittender fra DTU, der færdiggjorde deres uddannelse i perioden
2007-2011.
-
Internationale dimittender fra DTU er defineret som personer med et an-
det statsborgerskab end dansk, som færdiggør en kandidatuddannelse
ved DTU.
Kun personer, der flytter til Danmark tidligst et år inden studiestart, inkluderes i ana-
lysen. Personerne må derudover ikke have en tidligere uddannelse i Danmark.
Internationale dimittender fra danske universiteter, der færdiggjorde deres uddan-
nelse i perioden 2007-2011.
Damvad
Analytics (2017b)
-
Internationale dimittender fra danske universiteter er defineret som per-
soner med et andet statsborgerskab end dansk, der færdiggør en kandi-
datuddannelse ved et af de otte danske universiteter i Danmark.
Damvad
Analytics (2017a)
Kun personer, der flytter til Danmark tidligst et år inden studiestart, inkluderes i ana-
lysen.
Kilde: Uddannelses- og Forskningsministeriet, Højbjerre Brauer Schultz.
Uddannelses- og Forskningsministeriet
68
UFU, Alm.del - 2017-18 - Bilag 158: Orientering om Justering af engelsksprogede uddannelser, fra uddannelses- og forskningsudvalget
Offentlige indtægter og udgifter ved internationale studerende
4.2 Internationale undersøgelser
Der er også lavet undersøgelser af internationale studerendes samfundsøkonomiske bi-
drag i en lang række andre lande. I de internationale undersøgelser er de to vigtigste of-
fentlige indtægter studieafgifter (tuition fees) og afgifter på de internationale stude-
rendes forbrug. I studierne estimeres internationale studerendes forbrug ud fra for-
brugsstatistikker og ikke ud fra den disponible indkomst. Det skyldes, at man forventer,
at en stor del af de internationale studerendes forbrug finansieres af deres forældre el-
ler anden formue/indkomst fra hjemlandet.
4.2.1 Primært studier som undersøger bidraget til uddannelsessektoren
I de internationale undersøgelser er der desuden typisk et større fokus på internationale
studerendes bidrag til uddannelsessektoren. Det skyldes bl.a., at uddannelsessektoren
herunder universiteter
i højere grad er private, og i højere grad anses for profitmaksi-
merende private virksomheder. Således findes der en omfattende litteratur, der analy-
serer internationale studerende som en del af en sektoranalyse. Undersøgelserne har
fokus på den aktivitet, som internationale studerende skaber, f.eks. målt ved værditil-
vækst, beskæftigelse og BNP. Studierne inkluderer den aktivitet eller omsætning, som
internationale studerende skaber gennem deres betaling af studieafgifter (tuition fees),
deres privatforbrug og eventuelt deres venner og families privatforbrug, når de besøger
de studerende. Derimod medtager undersøgelserne typisk ikke de omkostninger, som
internationale studerende giver anledning til. Denne tilgang anvendes i London Partners
(2017), Universities UK (2017), Canada-India Centre for Excellence (2017), Infometrics &
National Research Bureau Ltd. (2016) og Northern Ireland Assembly (2015).
Association of International Educators (2012) medtager i begrænset omfang omkost-
ninger forbundet med internationale studerende, idet de nedjusterer den aktivitet, som
de studerende giver anledning til, i forhold til hvor stor en andel af de studerendes stu-
dieafgift/forbrug, der er finansieret gennem offentlig støtte (tilskud og stipendier). Ger-
man Academic Exchange Service (2013) og Higher Education Policy Institute (2007)
medtager også andre studierelaterede omkostninger forbundet med internationale stu-
derendes ophold.
Endeligt analyserer man i The Migration Observatory (2017) og Oxford Economics
(2013) omkostningerne mere bredt i form af omkostninger til de udenlandske studeren-
des forbrug af offentlige services og deres bidrag til trængsel i trafikken og på bolig-
markedet. Trængsel behandles i begge studier kvalitativt, da der ikke findes metoder og
data til at kvantificere denne effekt.
Grundet sektoranalysetilgangen er der flere undersøgelser, som anvender input-output
analyse til at opgøre de indirekte og afledte effekter af de studerendes forbrug (studie-
afgift og privatforbrug). Metode medtager dermed effekter på underleverandører til uni-
versiteter og virksomheder, som leverer privatforbrug (indirekte effekter) samt de af-
ledte effekter, som opstår gennem det privatforbrug, der skabes af beskæftigelsen.
Denne tilgang anvendes i Infometrics & National Research Bureau Ltd. (2016), Northern
Uddannelses- og Forskningsministeriet
69
UFU, Alm.del - 2017-18 - Bilag 158: Orientering om Justering af engelsksprogede uddannelser, fra uddannelses- og forskningsudvalget
Offentlige indtægter og udgifter ved internationale studerende
Ireland Assembly (2015), German Academic Exchange Service (2013) og Oxford Eco-
nomics (2013).
Flere af de ovenstående undersøgelser skelner mellem studerende fra EØS-lande og
studerende fra andre lande. Det skyldes, at der i mange EU-lande er forskel på, hvor
meget den enkelte skal betale i studieafgifter og kan få i offentlig støtte afhængigt af,
om den studerende kommer fra et EU/EØS-land eller et ikke-EU/EØS-land. Infometrics
& National Research Bureau Ltd. (2016) kigger desuden separat på Ph.d.-studerende,
studerende som betaler fuld studieafgift, og andre studerende.
Den akademiske litteratur har kun i begrænset omfang beskæftiget sig med internatio-
nale studerende. De identificerede studier beregnes ikke de internationale studerendes
nettobidrag, men de diskuterer internationale studerendes bidrag i et bredere perspek-
tiv (f.eks. Levent (2016) og Altbach (1991)).
4.2.2 Metodeoverblik for internationale studier
German Academic Exchange Service (2013) undersøger de samfundsøkonomiske effek-
ter af internationale studerende i Tyskland, Nederlandene, Østrig, Polen, Schweiz og
Spanien. Undersøgelsen fokuserer på udgifter under studietiden, som dækker studiere-
laterede omkostninger for statslige institutioner og højere uddannelsesinstitutioner, og
indtægter under studietiden, der dækker studerendes forbrug beregnes ud fra en input-
output-model. Under udgifter og indtægter efter endt studie indgår direkte effekter af
beskæftigelse og effekter af forbrug. Effekten af beskæftigelse er beregnet med ud-
gangspunkt i et estimat baseret på den typiske arbejdsproduktivitet. Undersøgelsen
konkluderer, at gevinsterne for værtslandet primært afhænger af, hvor længe de bliver
boende i landet efter endt studietid, og hvorvidt internationale studerende er beskæfti-
gede.
Levent (2016) finder, at internationale studerende bidrager positivt til samfundsøkono-
mien i værtslandet. De finder, at internationale studerende bærer studieafgifter og an-
dre omkostninger, samtidig med at de bidrager til produktion af viden og teknologi. Stu-
diet er baseret på en litteraturgennemgang af bøger, undersøgelser, andre studier, mv.
Omkostningsanalysernes fokus er på lande, hvor uddannelse hovedsageligt er finansie-
ret gennem studieafgifter. Studiet analyserer omkostninger og gevinster separat, og
vurderer dermed ikke nettoeffekten af internationale studerende.
Altbach (1991) er hovedsageligt en analyse af hvilke faktorer, der påvirker mobiliteten
af internationale studerende, samt en opsummering af litteraturen på området. Studiet
fremhæver, at litteraturen er begrænset og hovedsageligt fokuserer på effekterne for
internationale studerende - og ikke på effekterne for samfundet eller universiteterne.
Studiets betragtningerne om effekter er udelukkende kvalitative.
British Council & German Academic Exchange Service (2014) er baseret på en survey
blandt interessenter blandt transnationale uddannelsesprogrammer i 10 udvalgte lande.
Undersøgelsen finder, at deltagere i uddannelsesprogrammerne ofte er ældre end andre
studerende og oftere arbejder fuldtid ved siden af studiet. Survey-deltagerne vurderer,
at den største samfundsøkonomiske effekt er bedre adgang til højere uddannelse og
uddannelse af højere kvalitet. Deltagere i programmerne opfattes som dygtigere end
andre studerende, men kursusindholdet afviger ikke markant fra det lokale udvalg af
kurser, og det er dermed tvivlsomt om programmerne fylder nogen huller.
Uddannelses- og Forskningsministeriet
70
UFU, Alm.del - 2017-18 - Bilag 158: Orientering om Justering af engelsksprogede uddannelser, fra uddannelses- og forskningsudvalget
1930106_0071.png
Offentlige indtægter og udgifter ved internationale studerende
Oxford Economics (2013) undersøger effekterne af internationale studerende fra ikke-
EU-lande ved universiteter i Sheffield på lokaløkonomien
10
. Studiet finder en positiv ef-
fekt på lokaløkonomien gennem internationale studerendes betaling af studieafgifter
og forbrug af private goder, som overstiger omkostningerne i form af deres forbrug af
offentlige services og bidrag til trængsel. Analysen medtager endvidere indirekte effek-
ter (effekter på underleverandører) og afledte effekter (effekter af ansattes privatfor-
brug) gennem input-output analyse, men disse udgør en mindre andel af de samlede
gevinster ved udenlandske studerende. De offentlige udgifter antages at være de
samme for internationale studerende, som andre beboere i området, undtagen for hel-
bred (hvor der justeres for alder), overførselsindkomster (de antages at være 0) og ud-
dannelsesudgifter (de er alle studerende). Studiet argumenterer endvidere teoretisk for,
at de langsigtede effekter (effekter efter endt studie) vil være positive, da de fleste in-
ternationale studerende er unge, uden børn eller ægtefæller som skal forsørges.
Higher Education Policy Institute (2007) undersøger de vigtigste gevinster ved interna-
tionale studerende ved videregående uddannelser i Storbritannien. Studieafgifterne be-
regnes på baggrund af de samlede studieafgifter i Storbritannien og andelen af interna-
tionale studerende (for ikke-EU-studerende er studieafgiften opgjort separat). Derud-
over justeres der for, at 17 pct. af internationale studerende får legater fra Storbritan-
nien. Privatforbruget estimeres ud fra de studerendes udgifter og tager ikke hensyn til
de studerendes baggrund (herunder nationalitet, som forventes at påvirke privatforbru-
get). Undersøgelsen medtager ikke internationale studerendes forbrug af offentlige ser-
vices på kort sigt. Undersøgelsen belyser de potentielle gevinster ved, at de internatio-
nale studerende bliver og arbejder i en række år efter endt studie. Studiet er baseret på
en række antagelser om andelen af internationale studerende, der udrejser, deres start-
løn og lønstigning samt gennemsnitlig opholdstid i Storbritannien.
Northern Ireland Assembly (2015) analyserer de samfundsøkonomiske gevinster ved in-
ternationale studerende i Nordirland på baggrund af information om studieafgifter og
privatforbrug. Analysen inkluderer indirekte effekter (effekter på underleverandører til
universiteter og de virksomheder som står for privatforbrug) samt afledte effekter (ef-
fekter af privatforbrug for ansatte i universiteter og virksomheder som står for privat-
forbrug).
Universities UK (2017) estimerer de samfundsøkonomiske gevinster ved internationale
studerende ud fra deres studieafgifter, deres privatforbrug og deres besøgendes privat-
forbrug. Studiet er baseret på nationale statistikker for internationale studerende og
forbrugsstatistikker.
Infometrics & National Research Bureau Ltd. (2016) estimerer de økonomiske gevinster
af international uddannelse onshore (internationale studerende i New Zealand) på bag-
grund af data om internationale studerendes studieafgifter, forbrug samt økonomiske
multiplikatorer, som anvendes til at estimere indirekte og afledte effekter. Beregnin-
gerne opdeles på forskellige typer af studerende herunder studerende med fuld studie-
afgift, Ph.d.-studerende og andre internationale studerende.
Canada-India Centre for Excellence (2017) opsummerer en række studier, som kigger på
de samfundsøkonomiske gevinster forbundet med internationale studerendes forbrug i
Canada, Storbritannien, USA og Australien.
10
Studiet er baseret på data fra universitetet, forbrugsstatistik for studerende, turismestatistik, statistik for befolknin-
gens forbrug af offentlige services (HMT).
Uddannelses- og Forskningsministeriet
71
UFU, Alm.del - 2017-18 - Bilag 158: Orientering om Justering af engelsksprogede uddannelser, fra uddannelses- og forskningsudvalget
1930106_0072.png
Offentlige indtægter og udgifter ved internationale studerende
London Partners (2017) estimerer gevinsterne ved internationale studerende i London
på baggrund af statistik om studieafgifter (HESA), forbrug og turismestatistik. Analy-
sen belyser hvilke lande, der bidrager mest igennem deres internationale studerende i
London.
The Migration Observatory (2017) analyserer indtægterne forbundet med internationale
studerendes studieafgifter. Studiet finder, at internationale studerende fra ikke-EØS-
lande gør mindre brug af offentlige services end den gennemsnitlige person i Storbri-
tannien. Analysen konkluderer desuden, at der ikke findes stærke empiriske beviser for,
at internationale studerende skaber omkostninger i form af trængsel på veje og på bo-
ligmarkedet.
Tabel 4.5
Oversigt over internationale undersøgelser
Studie
Målgruppe
Periode
Outcomes
Geografi
Andet
Inkl. offentilige udgif-
ter til uddannelse,
indtægter fra forbrug
og beskæftigels. +
indirekte og afledte
effekter.
Inkl. studieafgifter,
beskæftigelse, for-
brug og families for-
brug.
Analyserer push-pull
faktorer.
German Acade-
mic Exchange
Service (2013)
Internationale
studerende.
2010-11
Tyskland,
Samfundsøkonomiske
Nederlandene,
effekter på værditil-
Østrig, Polen,
vækst, beskæftigelse
Schweiz og
og statslige indtægter.
Spanien.
Studieafgifter, be-
skæftigelse forbrug,
families forbrug.
Effekter for institutio-
ner, samfundsøko-
nomi og studerende.
Levent (2016)
Internationale
studerende på vi-
2012-15
deregående ud-
dannelser.
Internationale
studerende.
Internationale
studerende i
udvekslingspro-
grammer og
transnationale
uddannelsespro-
grammer .
Internationale
studerende fra
uden for EU på
universiteter i
Sheffield.
(ingen em-
piri)
OECD, G20, m.fl.
Altbach (1991)
OECD.
British Council &
German
Academic
Exchange Ser-
vice (2014)
2013-14
Akademiske,
kulturelle, sociale,
økonomiske og
kompetenceeffekter.
Botswana, Mauri-
tius, Egypten, Me-
xico, Hong Kong,
Baseret på
Tyrkiet, Jordan, de
spørgeskema.
Forenede Arabiske
Emirater, Malaysia,
Vietnam.
Inkl. indtægter fra
studieafgift, forbrug
og besøg fra ven-
ner/familie (+indi-
rekte og afledte),ud-
gifter fra forbrug af
offentlige services og
øget trængsel.
Inkl. indtægter fra
studieafgift, forbrug
og beskæftigelse fra-
trukket offentlig
støtte til EU-stude-
rende og omkostnin-
ger til uddannelse.
Inkl. indtægter fra
studieafgift og for-
brug, samt indirekte
og afledte effekter af
disse.
Inkl. indtægter fra
studieafgift, forbrug
og besøg fra venner
/familie.
Inkl. indtægter fra
studieafgift, eget og
Oxford
Economics
(2013)
2012-13
Kortsigtede sam-
fundsøkonomiske ef-
fekter på forbrug og
BNP.
Storbritannien
(Sheffield).
Higher Educa-
tion Policy
Institute (2007)
Internationale
studerende på
videregående
uddannelser.
2004-05
(1992-93)
Samfundsøkonomiske
Storbritannien.
effekter.
Northern Ireland
Assembly
(2015)
Internationale
studerende.
2013-14
Samfundsøkonomiske
gevinster herunder
Nordirland.
værditilvækst og
beskæftigelse.
Samfundsøkonomiske
gevinster på BNP,
Storbritannien.
beskæftigelse og
eksport.
Samfundsøkonomiske
New Zealand.
gevinster på forbrug,
Universities UK
(2017)
Infometrics &
National
Internationale
studerende.
2014-15
2015-16
(2012-13)
Uddannelses- og Forskningsministeriet
72
UFU, Alm.del - 2017-18 - Bilag 158: Orientering om Justering af engelsksprogede uddannelser, fra uddannelses- og forskningsudvalget
1930106_0073.png
Offentlige indtægter og udgifter ved internationale studerende
Research
Bureau Ltd.
(2016)
Canada-India
Centre for Ex-
cellence (2017)
Internationale
studerende helt
ned til
folkeskolen.
Internationale
studerende (efter
ungdomsuddan-
nelse).
beskæftigelse og
BNP.
families forbrug,
samt indirekte og
afledte effekter af
disse.
Inkl. indtægter fra
studieafgift og
forbrug.
Inkl. indtægter fra
studieafgift, forbrug
og besøg fra venner
/familie.
Inkl. indtægter fra
studieafgift. Behand-
ler kvalitativt omkost-
ninger til offentlige
services og træng-
sel.
Inkl. indtægter fra
studieafgift og for-
brug fratrukket USA-
finansieret del.
2013-14
Samfundsøkonomiske
Canada, Storbri-
gevinster for forbrug,
tannien, USA, Au-
beskæftigelse og
stralien
BNP.
Samfundsøkonomiske
gevinster for forbrug,
London.
beskæftigelse og vær-
ditilvækst.
Internationale
London Partners studerende ved
(2017)
videregående
uddannelser.
Internationale
studerende fra
uden for EU ved
videregående
uddannelser.
2013-14
The Migration
Observatory
(2017)
2015-16
(1994-95 og
2011-12)
Samfundsøkonomiske
Storbritannien.
effekter på ”eksport”.
Association of
International
Educators
(2012)
Internationale
studerende.
2011-12
Samfundsøkonomiske
effekter i form af for-
USA.
brug.
Kilde: Uddannelses- og Forskningsministeriet, Højbjerre Brauer Schultz.
4.3 Metode til beregning af nettobidrag til de offentlige finanser
Nettobidraget for internationale studerende til de offentlige finanser er beregnet for in-
ternationale studerende, som læser en videregående uddannelse i Danmark i perioden
2004-2015, som har et gyldigt cpr-nummer (se boks 2.2 om datagrundlaget) samt har
bopæl i Danmark i studiestartsåret. Det betyder, at beregningerne f.eks. ikke inkluderer
udenlandske studerende, som har bopæl i Sydslesvig eller Malmø.
Internationale studerende er grupperet efter uddannelsestype (erhvervsakademiuddan-
nede, professionsbachelor-, akademisk bachelor- og kandidatuddannede). Da internati-
onale studerende har mulighed for at tage flere uddannelser, så er kategoriseringen af
de studerende baseret på deres sidst fuldførte uddannelse. Beregningerne opgør of-
fentlige indtægter og udgifter forbundet med hele den studerendes uddannelsesforløb
dvs. også uddannelser, der leder op til den senest fuldførte uddannelse. F.eks. vil en stu-
derende, som læser både en erhvervsakademi- og en top-op professionsbachelorud-
dannelse i Danmark, blive kategoriseret som en professionsbachelor. I dette tilfælde vil
året for studiestart (år 0) henvise til det år, hvor den studerende påbegyndte sin er-
hvervsakademiuddannelse. År 0 kan dog tidligst være år 2004, da datagrundlaget ikke
går længere tilbage i tid. Eventuelle uddannelsesforløb før år 2004 indgår derfor ikke i
beregningerne.
Såfremt en studerende ikke har færdiggjort en uddannelse, kategoriseres den stude-
rende efter seneste igangværende uddannelse. Hvis den studerende hverken har afslut-
tet eller er i gang med en uddannelse, vælges den seneste afbrudte uddannelse.
I alt indgår fire statsborgerskabsgrupper: Norden, gamle EU/EØS (EU-lande som blev
medlem inden 2004 og EØS), nye EU (EU-lande som blev medlem i 2004 eller senere)
og ikke-EU/EØS.
I kapitel 2 er studiestartsåret defineret på baggrund af et tværår, som er defineret fra 1.
oktober til 30. september året efter (studieår). Da de offentlige indtægter og udgifter er
Uddannelses- og Forskningsministeriet
73
UFU, Alm.del - 2017-18 - Bilag 158: Orientering om Justering af engelsksprogede uddannelser, fra uddannelses- og forskningsudvalget
1930106_0074.png
Offentlige indtægter og udgifter ved internationale studerende
opgjort på kalenderår er studiestart og dimission opgjort på baggrund af kalenderår til
beregningerne af nettobidraget til de offentlige finanser i kapitel 3.
4.3.1 Datagrundlag for beregningerne
Beregningerne er baseret på næsten alle offentlige udgifter og indtægter med ud-
gangspunkt i den offentlige budgetsaldo i 2016. Eftersom kun meget få internationale
studerende gør brug af ydelser som f.eks. revalideringsydelse, daginstitution, hjemme-
hjælp, plejehjem, m.fl., indgår disse udgifter ikke i beregningerne (se tabel 5.4 i bilag B for
en fuld oversigt over udeladte poster).
Data til beregning af nettobidraget er baseret på registeroplysninger fra Danmarks
Statistik. Derudover indgår oplysninger fra Økonomi- og Indenrigsministeriets Lovmo-
del, som er baseret på en stikprøve på 33 pct. af befolkningen.
Analysen af nettobidraget er baseret på en detaljeret opgørelse over den enkelte per-
sons bidrag til de offentlige indtægter og træk på de offentlige udgifter. Med den an-
vendte metode fordeles samtlige offentlige indtægter og udgifter på enkeltpersoner
bl.a. ved at anvende forskellige registerbaserede indikatorer. Offentlige udgifter og ind-
tægter, som er oplyst på individniveau i registrene er, som udgangspunkt, direkte hen-
ført til de enkelte personer. Ikke direkte personhenførbare oplysninger er fordelt ud fra
den offentlige budgetsaldos underposter på baggrund af data bag Finansministeriets
Økonomisk analyse: indvandreres nettobidrag til de offentlige finanser i 2014.
De enkelte offentlige indtægts- og udgiftsposter er herefter fordelt på de internationale
studerende i de øvrige år på baggrund af registeroplysninger, som deres personlige ind-
komst, skattebetalinger, indkomstoverførsler, brug af sundhedsydelser mv. i perioden
2004-2015.
Direkte personhenførbare offentlige indtægter og udgifter:
Indtægter og udgifter, som direkte kan personhenføres, dækker bl.a. over de studeren-
des personlige skatteoplysninger og oplysninger om offentlige indkomstoverførsler som
f.eks. dagpenge og kontanthjælp.
Ikke direkte personhenførbare offentlige indtægter og udgifter:
Udgifter og indtægter, som ikke direkte kan henføres til den enkelte person, er fordelt
med fordelingsnøgler udregnet på baggrund af data fra Danmarks Statistik. Fordelings-
nøglerne omfatter f.eks. disponibel indkomst, opgjort studietid, m.fl. Så vidt muligt er der
taget udgangspunkt i Finansministeriets metode til fordeling af enhedsomkostninger, jf.
Økonomisk analyse: indvandreres nettobidrag til de offentlige finanser i 2014.
Offent-
lige udgifter/indtægter, der ikke henføres direkte til den enkelte eller fordeles med for-
delingsnøgle, fordeles fladt ud på baggrund af opholdstid i landet. Metoden til fordeling
af de forskellige udgifts- og indtægtsposter fremgår af tabel 4.6.
Uddannelses- og Forskningsministeriet
74
UFU, Alm.del - 2017-18 - Bilag 158: Orientering om Justering af engelsksprogede uddannelser, fra uddannelses- og forskningsudvalget
1930106_0075.png
Offentlige indtægter og udgifter ved internationale studerende
Tabel 4.6
Oversigtstabel over fordeling af indtægter og udgifter fra den offentlige saldo
Individualiserede poster
Faktisk
Regler
og sat-
ser
Offentlige indtægter
Individuelle offentlige
indtægter
Indkomstskatter mv.
Moms og afgifter mv.
Øvrige individuelle indtægter
Kollektive offentlige
indtægter
Offentlige udgifter
Individuelle offentlige
udgifter
Indkomstoverførsler til hus-
holdningerne i alt
- SU**
Individuelt offentligt forbrug
-Videregående uddan-
nelse
- Øvrigt individuelt of-
fentligt forbrug
Kollektivt offentligt forbrug
x
x
x
x
x
x
x
x
x
x
x
x
x
x
x
Studie-
tid
Skønnet
Diverse akti-
vitetsmål*
Disponibel
indkomst
Fordelt lige-
ligt pba. op-
holdstid
Øvrige
x
x
x
x
x
Anm.:
x
angiver, at størstedelen af udgifterne/indtægter fordeles efter denne angivne metode.
*Poster der er fordelt på baggrund af enhedspriser og aktivitetsmål fra personregistre.
**SU er beregnet som en gennemsnitlig enhedsomkostning pr. måned pr. studerende på baggrund
af SU-stipendier fordelt i 2014. Enhedsomkostningen fordeles herefter på baggrund af studietid.
***Øvrige er bl.a. fordelt på baggrund af lønindkomst og pensionsformue.
Kilde: Uddannelses- og Forskningsministeriet, Højbjerre Brauer Schultz på baggrund af Finansministeri-
ets metode til fordeling af enhedsomkostninger.
I beregningerne antages det, at studerende, der ind- eller udrejser i løbet af et kalen-
derår, rejser midt på året. Det betyder, at personer, som ud- eller indvandrer i løbet af et
kalenderår, kun får tildelt den halve offentlige indtægt/udgift for de indtægter/udgifter,
der deles fladt ud på befolkningen på baggrund af statsborgerskabs- og uddannelses-
gruppe (f.eks. sundhedsudgifter).
Alle priser er opregnet til 2016-priser ved hjælp af de generelle pris- og lønindeks, og ef-
terfølgende er de enkelte variable tilpasset den offentlige budgetsaldo i 2016.
4.3.2 SU-udgifter
Det er muligt at henføre udgifter til SU til hver enkelt studerende i de enkelte år histo-
risk. De historiske SU-udgifter til internationale studerende afspejler imidlertid, at ad-
gangen til SU for EU/EØS-borgere var mere begrænset før 2013. Her slog EU-Domsto-
Uddannelses- og Forskningsministeriet
75
UFU, Alm.del - 2017-18 - Bilag 158: Orientering om Justering af engelsksprogede uddannelser, fra uddannelses- og forskningsudvalget
1930106_0076.png
Offentlige indtægter og udgifter ved internationale studerende
len fast, at der ikke kan lægges vægt på formål med indrejsen til Danmark, når en stu-
derende søger SU på baggrund af status som vandrende arbejdstager (se mere i boks
2.5).
I beregningerne af nettobidraget er de offentlige udgifter til SU til internationale stude-
rende baseret på SU-udgifterne fra 2014. På baggrund af data for SU-udbetalinger i
2014 beregnes en gennemsnitlig SU-udbetaling pr. måned pr. studerende. Den gennem-
snitlige, månedlige SU-udbetaling pr. studerende er beregnet på statsborgerskabsgrup-
per og seneste uddannelse. Den gennemsnitlige SU-udbetaling pr. måned er herefter
beregnet på baggrund af det antal måneder, den studerende har været studieaktiv og
den studerendes karakteristika. Dermed tages der højde for, at internationale stude-
rende har bedre muligheder for at modtage SU i dag sammenlignet med tidligere.
Beregningerne for offentlige indtægter og udgifter inkluderer alene oplysninger om SU-
støtte og dermed ikke SU-gæld. Som udgangspunkt er der relativt begrænsede offent-
lige indtægter og udgifter (afhænger bl.a. af det aktuelle renteniveau) forbundet med
SU-gæld, hvis SU-gælden tilbagebetales. Pr. 31. december 2016 er der 1.700 EU/EØS-
borgere, som misligholder deres gæld på i alt 123 mio. kr. Omfanget af den misligholdte
gæld skal ses i forhold til, at de 1.700 EU/EØS borgere er akkumuleret over en periode
på 25 år (siden 1991). Opgjort pr. internationale studerende er der derfor tale om et rela-
tivt begrænset beløb.
4.3.3 Uddannelsesudgifter
De gennemsnitlige uddannelsesudgifter for internationale studerende er baseret på ud-
dannelsesudgifter fra 2016. Uddannelsesudgifterne består hovedsageligt af studenter-
årsværkstakster (STÅ) og færdiggørelsesbonus, jf. tabel 4.7. Udgifterne er fordelt på
fagområdeniveau inden for hver uddannelsestype (f.eks. samfundsvidenskabelig kandi-
datuddannelse).
Tabel 4.7
Gennemsnitlig årlig studietakst inklusiv færdiggørelsesbonus (2016) fordelt på uddannelses-
type, kr. og år
Uddannelsestype
Gennemsnitlig årlig takst
inkl. færdiggørelsesbonus
kr.
Erhvervsakademiuddannelser mv.
Professionsbachelor
Akademisk bachelor mv.
Kandidatuddannelser mv.
87.798
72.237
71.932
77.722
Normeret
studietid
år
2
3,5
3
2*
Gennemsnitlig takst for
færdiggjort uddannelse
kr.
175.596
252.828
215.796
155.443*
Anm.: Taksterne er baseret på udbetalte STÅ og færdiggørelsestilskud fra 2016.
*Sundhedsvidenskabelige kandidatuddannelser er normeret til 3 år, eftersom kandidatuddannelsen
i medicin (som er normeret til 3 år) udgør en meget stor del af denne gruppe.
Kilde: Uddannelses- og Forskningsministeriet
Hvis en studerende overskrider den normerede studietid, tillægges den studerende fort-
sat kun den maksimale uddannelsesudgift svarende til normeret tid ganget med den
gennemsnitlige årlige studietid. F.eks. vil en akademisk bachelorstuderende, som har
læst i fire år, og som ikke har afsluttet sin uddannelse, maksimalt kunne tillægges en
Uddannelses- og Forskningsministeriet
76
UFU, Alm.del - 2017-18 - Bilag 158: Orientering om Justering af engelsksprogede uddannelser, fra uddannelses- og forskningsudvalget
Offentlige indtægter og udgifter ved internationale studerende
uddannelsesomkostning på 3 år (svarende til normeret studietid) ganget med uddannel-
sesomkostningen.
Når uddannelsesudgifterne fordeles på baggrund af studietid indebærer det, at stude-
rende, som fortsat er i gang med deres uddannelse eller som frafalder deres uddannelse,
tillægges en uddannelsesudgift svarende til deres aktive studietid. Det betyder, at en
akademisk bachelorstuderende, som har studeret i �½ år, f.eks. vil blive tillagt en uddan-
nelsesudgift på halvdelen af den årlige uddannelsesudgift. Samtidig sikrer metoden, at
studerende, som gennemfører en uddannelse på relativt kort tid f.eks. på grund af merit,
ikke tillægges den fuld uddannelsesomkostning forbundet med uddannelsen.
Uddannelsesudgifterne for nordiske studerende fra Norge, Sverige og Finland er korri-
geret for den nordiske overenskomst svarende til en kompensation for 75 pct. af de stu-
derende på 30.000 kr. (2014). Desuden er uddannelsesudgifterne for internationale stu-
derende uden for EU/EØS korrigeret for, at en andel af ikke-EU/EØS studerende selv
betaler for deres uddannelse.
4.3.4 Beregningen af nettobidrag til de offentlige finanser
De offentlige udgifter og indtægter beregnes for statsborgerskabs- og uddannelses-
grupper for de enkelte år efter
samt året før
første påbegyndte uddannelse. Året før
påbegyndt uddannelse medtages, eftersom internationale studerende pr. definition er
indvandret maksimalt et år før studiestart. Dermed sikres det, at alle potentielle ind-
tægter og udgifter medtages i beregningerne af nettobidraget.
17 pct. af internationale studerende befinder sig i Danmark 1 år før studiestart, hvor ind-
tægterne og udgifterne i året før studiestart vægtes med andelen, som befinder sig i
Danmark i nettobidragsberegningerne.
Det bemærkes, at de gennemsnitlige offentlige indtægter og udgifter fordelt efter stu-
dietid ofte vil være lavere i år 0 (studiestartsår) sammenlignet med i år 1 (1 år efter stu-
diestart). Det skyldes, at mange studerende først indrejser og påbegynder deres studie i
midten af et kalenderår, f.eks. ved studiestart i september.
For studieårgangene 2004 til 2015 er de offentlige indtægter og udgifter opgjort for de
år, hvor de internationale studerende er i Danmark. Studieårgangen fra 2004 er dermed
fulgt i 11 år efter studiestart, mens studieårgangen fra 2014 kun er fulgt i første år efter
studiestart.
4.3.4.1 Nettobidrag med og uden kollektive indtægter og udgifter
En række offentlige poster kan ikke kobles direkte til den enkelte internationale stude-
rende. Det drejer sig navnlig om kollektive udgifter (og i mindre grad indtægter) til ek-
sempelvis offentlig administration, politi, forsvar og infrastruktur.
Antallet af internationale studerende i Danmark har været stigende gennem en længere
periode. Selvom der ikke er tale om de samme personer i alle årene, udgør internationale
studerende ikke desto mindre en varig del af den danske befolkning. Set over en læn-
gere tidshorisont er det derfor et naturligt udgangspunkt, at internationale studerende
bidrager til finansieringen og forbruget af de offentlige udgifter parallelt med den øvrige
Uddannelses- og Forskningsministeriet
77
UFU, Alm.del - 2017-18 - Bilag 158: Orientering om Justering af engelsksprogede uddannelser, fra uddannelses- og forskningsudvalget
1930106_0078.png
Offentlige indtægter og udgifter ved internationale studerende
del af befolkningen i Danmark. I dette tilfælde vil opgørelsen af internationale studeren-
des nettobidrag til de offentlige finanser tage udgangspunkt i samtlige offentlige ind-
tægter og udgifter
såvel individuelle som kollektive.
Det gennemsnitlige nettobidrag ekskl. offentlige udgifter og indtægter ligger væsentligt
over det gennemsnitlige nettobidrag inkl. offentlige udgifter og indtægter. Det betyder
blandt andet, at det akkumulerede nettobidrag ekskl. offentlige indtægter og udgifter
skønnes at blive positivt ca. 8 år efter studiestart, mens nettobidrag inkl. offentlige po-
ster fortsat er negativt 11 år efter studiestart, jf. figur 4.1.
Figur 4.1
Skønnet akkumuleret nettobidrag inkl. og ekskl. kollektive udgifter og indtægter for interna-
tionale studerende med studiestart i 2015, 1.000 kr., 2016-priser
1.000 kr.
150
100
50
0
-50
-100
-150
-200
-250
-300
-1
0
1
2
3
4
5
6
7
8
9
10
11
1.000 kr.
150
100
50
0
-50
-100
-150
-200
-250
-300
12+
År efter studiestart
Nettobidrag inkl. kollektive
Nettobidrag ekskl. kollektive
Anm.: Det forventede nettobidrag er beregnet på baggrund af den faktiske fordeling af internationale
studerende, som påbegynder en uddannelse i 2015.
Det akkumulerede nettobidrag er diskonteret på baggrund af Finansministeriets lønkorrigerede
diskonteringsfaktor normaliseret til 2016-niveau.
Kilde: Uddannelses- og Forskningsministeriet,
Højbjerre Brauer Schultz’ beregninger
på baggrund af regi-
sterdata fra Danmarks Statistik og Lovmodellens 33 pct. stikprøve.
4.3.4.2 Udvandringstilbøjelighed
Andelen af internationale studerende, som er i Danmark 0-11 år efter studiestart, be-
regnes på baggrund af udrejsetilbøjeligheden for hhv. de seneste tre studieårgange, som
der er data for, i skøn 1 og for den seneste studieårgang med data i skøn 2.
Ved at anvende informationen fra de seneste tre studieårgange i skøn 1 afspejles en re-
lativt aktuel adfærd blandt internationale studerende. Det betyder også, at udrejsetil-
Uddannelses- og Forskningsministeriet
78
UFU, Alm.del - 2017-18 - Bilag 158: Orientering om Justering af engelsksprogede uddannelser, fra uddannelses- og forskningsudvalget
1930106_0079.png
Offentlige indtægter og udgifter ved internationale studerende
bøjeligheden i de sidste år i høj grad repræsenterer adfærden blandt ældre studieår-
gange. F.eks. er andelen af studerende, der bliver i Danmark 10 år efter studiestart, be-
regnet på baggrund af udvandringsadfærden for studieårgangene 2004 og 2005.
Udvandringen beregnet for den seneste studieårgang i skøn 2 afspejler i højere grad den
mest aktuelle adfærd blandt internationale studerende, men beregningen er også mere
følsom over for udsving i adfærden for en enkelt studieårgang.
Andelen af studerende som bliver i Danmark i år 0 til 11 efter studiestart beregnes ved
hjælp af den betingede sandsynlighed for at blive et år længere i Danmark. En stude-
rende er defineret som værende udvandret, når personen ikke længere indgår i Dan-
marks Statistiks befolkningsregister. Udvandringstilbøjeligheden afspejler derfor både
andelen af studerende, som er udrejst af Danmark, eller som er døde. Det skal desuden
bemærkes, at genindvandring ikke medtages i beregningerne af udrejsetilbøjeligheden.
Figur 4.2
Illustration af metode til at beregne hvor stor en andel af internationale studerende, der bli-
ver i Danmark i år 0-11 efter studiestart til skøn 1, pct.
Pct.
100
2012
2013
2014
2011
2012
2013
Pct.
100
80
80
2010
2011
2012
60
60
2009
2010
2011
2008
2009
2010
40
2007
2008
2009
40
2006
2007
2008
2005
2006
2007
2004
2005
2006
20
2004
2005
2004
20
0
0
1
2
3
4
5
6
År efter studiestart
2004
2010
2005
2011
2006
2012
2007
2013
2008
2014
2009
7
8
9
10
11
12
0
Anm.: År 0 angiver studiestartsåret.
Andelen af studerende, som bliver i Danmark i år 0–11 efter studiestart, er beregnet på baggrund
af den betingede sandsynlighed for at blive et år mere i Danmark med på baggrund af adfærden
fra de tre seneste studieårgange, som illustreret i figuren.
Kilde: Uddannelses- og Forskningsministeriet,
Højbjerre Brauer Schultz’ beregninger
på data fra Dan-
marks Statistik
En sammenligning af hvor stor en andel af internationale studerende fra de seneste tre
studieårgange (skøn 1) og den seneste studieårgang (skøn 2), der er udrejst af Danmark,
viser, at de nye studieårgange har en større tendens til udrejse sammenlignet med æl-
dre studieårgange, jf. figur 4.3.
Uddannelses- og Forskningsministeriet
79
UFU, Alm.del - 2017-18 - Bilag 158: Orientering om Justering af engelsksprogede uddannelser, fra uddannelses- og forskningsudvalget
1930106_0080.png
Offentlige indtægter og udgifter ved internationale studerende
Figur 4.3
Andel af internationale studerende, der bliver i Danmark i 0-11 år efter studiestart, baseret
på adfærden blandt de seneste tre studieårgange og den seneste studieårgang, pct., 2004-
2015
Pct.
100
Pct.
100
80
80
60
60
40
40
20
20
0
0
1
2
3
4
5
6
7
8
9
0
10
11
År efter studiestart
Andel af internationale studerende med ophold i Danmark (seneste tre årgange)
Andel af internationale studerende med ophold i Danmark (seneste årgang)
Anm.: År 0 angiver studiestartsåret.
Genindvandring medtages ikke i beregningen af udrejsetilbøjeligheden.
Kilde: Uddannelses- og Forskningsministeriet,
Højbjerre Brauer Schultz’ beregninger
på data fra Dan-
marks Statistik.
4.3.4.3 Fremskrivning af nettobidrag over et livsforløb
For at kunne beregne nettobidraget for internationale studerende over et helt livsforløb
er det nødvendigt at kende både det årlige nettobidrag og udrejsetilbøjeligheden.
Det skønnede nettobidrag til de offentlige finanser for internationale studerende, som
opholder sig i Danmark i op til 11 år efter studiestart, er beregnet med udgangspunkt i
det offentliges udgifter og indtægter og den faktiske adfærd blandt de studerende frem
til år 2015, som er det seneste måleår. Adfærden dækker bl.a. over, hvor mange år de
studerende er under uddannelse, deres indkomst under og efter uddannelse samt træk
på offentlige ydelser såsom SU. Nettobidraget beregnes som det akkumulerede, dis-
konterede nettobidrag for alle år, den studerende bor i Danmark frem til år 2015. Der er
taget udgangspunkt i Finansministeriets lønkorrigerede diskonteringsfaktor normalise-
ret til 2016-niveau.
Det er af datamæssige årsager ikke muligt at følge de internationale studerende efter
år 2015. Der er ca. 20 pct. af internationale studerende med studiestart i 2004-2015,
som fortsat er i landet i 2015.
Det akkumulerede nettobidrag for internationale studerende, som ikke er udrejst inden
år 2015, er beregnet på baggrund af nettobidraget for vestlige indvandrere med en vi-
deregående uddannelse. Data er her på baggrund af Finansministeriets beregninger i
Uddannelses- og Forskningsministeriet
80
UFU, Alm.del - 2017-18 - Bilag 158: Orientering om Justering af engelsksprogede uddannelser, fra uddannelses- og forskningsudvalget
Offentlige indtægter og udgifter ved internationale studerende
Økonomisk analyse: Indvandreres nettobidrag til de offentlige finanser i 2015.
Nettobi-
draget er diskonteret med Finansministeriets lønkorrigerede diskonteringsfaktor i 2016-
niveau.
Internationale studerende er i gennemsnit 24 år (median alder 23 år), når de starter på
deres videregående uddannelse i Danmark. Da de studerende kun følges fra 2004 til
2015, svarende til 11 år, er det skønsmæssigt lagt til grund, at de studerende, som fort-
sat er i Danmark i 2015, i gennemsnit er 35 år. Nettobidraget for internationale stude-
rende fremskrives derfor med udgangspunkt i Finansministeriets nettobidrag for vest-
lige indvandrere med en videregående uddannelse i alderen 35 år til 80 år normaliseret
til nettobidraget for de internationale studerende for det seneste kendte år.
Udrejsetilbøjeligheden i skøn 1 fremskrives ved hjælp af den historiske udvandringstil-
bøjelighed for udenlandske statsborgere, som har taget en videregående uddannelse i
Danmark og er kommet til Danmark, mens de var mellem 20 og 35 år. Udvandringstilbø-
jeligheden er udregnet som den betingede sandsynlighed for at udrejse. Skøn 1 er der-
med ikke er ikke korrigeret for, at udrejsetilbøjeligheden blandt ældre generationer af
internationale studerende er lavere end blandt de nuværende internationale stude-
rende.
I skøn 2 er fremskrivningen af udvandringstilbøjeligheden baseret på information om
både udvandringstilbøjeligheden for udenlandske statsborgere, som har taget en vide-
regående uddannelse i Danmark og som fyldte hhv. 30 og 35 år i 1995-2004. I år 6 efter
studiestart svarer det gennemsnitligt til, at de internationale studerende i gennemsnit
er 30 år. Fra år 6 efter studiestart beregnes udrejsesandsynligheden for skøn 2 på bag-
grund af informationen om den seneste årgang af studerende samt adfærden blandt
sammenlignelige udlændige med en uddannelse fra Danmark fra år 30 og fremefter. Det
betyder, at udvandringstilbøjeligheden fra år 6 og frem til år 11 er lidt højere end den
faktiske udrejsetilbøjelighed for den seneste studieårgang.
Fra år 11 og fremefter er udvandringen i skøn 2 baseret på udvandringen for de 35-årige
udenlandske statsborgere plus differencen til udvandringen for 30-årige. Det betyder,
at den betingede sandsynlighed for at blive et år mere i Danmark er højere i skøn 2 fra
år 11 og fremefter sammenlignet med i skøn 1. Skøn 2 korrigerer dermed for, at ældre
generationer af internationale studerende har en lavere udvandring end de nuværende
internationale studerende.
For de studerende, som ikke er udrejst i det seneste måleår (2015), er opholdstiden i
Danmark fordelt tilfældigt med udgangspunkt i udvandringstilbøjeligheden for hhv. skøn
1 og skøn 2.
Uddannelses- og Forskningsministeriet
81
UFU, Alm.del - 2017-18 - Bilag 158: Orientering om Justering af engelsksprogede uddannelser, fra uddannelses- og forskningsudvalget
Offentlige indtægter og udgifter ved internationale studerende
4.4 Referencer
4.4.1 Danske undersøgelser
Center for Economic and Business Research (CEBR). 2013. Samfundsøkonomisk regn-
skab for internationale studerende på DTU.
Damvad Analytics. 2017a. Samfundsøkonomisk regnskab
DTUs internationale dimit-
tender.
Damvad Analytics. 2017b. Samfundsøkonomisk regnskab for internationale dimittender
i Danmark.
DREAM. 2013. Merindvandring af bacheloruddannede fra vestlige lande og ikke-vest-
lige lande.
DREAM. 2014.
Merindvandring af bacheloruddannede fra vestlige lande med uddannel-
sesspecifik udvandringssandsynlighed.
Tænketanken DEA. 2015. Samfundsøkonomisk analyse af internationale studerende -
De samfundsøkonomiske konsekvenser ved internationale studerende på danske
videregående
uddannelser fra 1996 til 2012.
4.4.2 Internationale undersøgelser
Altbach, P. G. 1991. Impact and adjustment: foreign students in comparative perspec-
tive . Higher Education, 21: 305-323.
Association of International Educators. 2012. The Economic Benefits of International
Students to the U.S. Economy .
British Council & German Academic Exchange Service. 2014. Impacts of transnational
education on host countries: academic, cultural, economic and skills impacts and
implications of programme and provider mobility . Going Global 2014.
Canada-India Centre for Excellence. 2017. The Economic Impact of International Stu-
dents: Evidence from Canada and Selected OECD Economies .
German Academic Exchange Service. 2013. The Financial Impact of Cross-border Stu-
dent Mobility on the Economy of the Host Country .
Higher Education Policy Institute. 2007. The Economic Costs and Benefits of Interna-
tional Students.
Infometrics & National Research Bureau Ltd. 2016. The Economic Impact of Interna-
tional Education in New Zealand 2015/16 . For Education New Zealand.
Levent, F. 2016. The economic impacts of international student mobility in the globali-
zation process . Journal of Human Sciences, 13(3).
London Partners. 2017.
The Economic Impact of London’s International Students
.
Northern Ireland Assembly. 2015. The Economic Impact of International Students on
Northern Ireland . Research and Information Service Briefing Paper.
Oxford Economics. 2013. The Economic Costs and Benefits of International Students.
The Migration Observatory. 2017. Non-EU Higher Education Students: Impact on the
UK Economy .
Universities UK. 2017. The Economic Impact of International Students . Briefing March
2017.
Uddannelses- og Forskningsministeriet
82
UFU, Alm.del - 2017-18 - Bilag 158: Orientering om Justering af engelsksprogede uddannelser, fra uddannelses- og forskningsudvalget
1930106_0083.png
Offentlige indtægter og udgifter ved internationale studerende
5. Bilag
5.1 Studerende med administrative cpr-numre
En andel af de internationale studerende er registrerede med et administrativt cpr-
nummer i opgørelserne hos Danmark Statistik. Det skyldes, at de studerende først kan
få tildelt et almindeligt cpr-nummer, når de ankommer til Danmark og registrerer bopæl
i landet. Studerende med administrative cpr-numre kan ikke genfindes i øvrige register-
data fra Danmark Statistik. En stor del af de internationale studerende når i løbet af de-
res studietid at få et almindeligt cpr-nummer.
En sammenligning af studieaktiviteten mellem studerende, som er registrerede med hhv.
et almindelige og administrative cpr-numre, viser, at studerende med administrative
cpr-numre i højere grad falder fra deres studier. Blandt internationale studerende er an-
delen, der falder fra, knap 20 pct.point højere blandt studerende med administrative
cpr-numre, mens det er ca. 35 pct.point blandt danske studerende.
Tabel 5.1
Studerende med almindelige og administrative cpr-numre fordelt på studiestatus, pct.
Frafald
Alm. cpr
Adm. cpr
--- pct. ---
Danske studerende
Internationale studerende
Alle studerende
23
20
23
58
39
40
21
21
40
12
37
36
I gang
Alm. cpr
Adm. cpr
Anm.: Tabellen dækker kun studerende, som har påbegyndt deres uddannelser i perioden 2004-2015.
Statsborgerskab er kun kendt blandt en mindre andel af de studerende med ukendt cpr-nummer.
Kilde: Uddannelses- og Forskningsministeriet på baggrund af data fra Danmarks Statistik.
For ca. 71 pct. af de 20.934 internationale studerende med ugyldige cpr-numre er stats-
borgerskabet ukendt. Andelen af studerende med ukendt statsborgerskab varierer af-
hængigt af studieåret.
Tabel 5.2
Andel af internationale studerende med ugyldigt cpr-nummer fordelt med hhv. kendt og
ukendt statsborgerskab, pct., 2004-2015
Andel med kendt
statsborgerskab
Studieår
2004
2005
2006
2007
64
32
26
17
Andel med ukendt
statsborgerskab
--- pct. ---
36
68
74
83
Internationale studerende uden
gyldigt cpr-nummer
Antal
688
1.012
1.350
1.346
Uddannelses- og Forskningsministeriet
83
UFU, Alm.del - 2017-18 - Bilag 158: Orientering om Justering af engelsksprogede uddannelser, fra uddannelses- og forskningsudvalget
1930106_0084.png
Offentlige indtægter og udgifter ved internationale studerende
2008
2009
2010
2011
2012
2013
2014
2015
2004-2015
20
20
19
22
30
28
38
41
29
80
80
81
78
70
72
62
59
71
1.409
1.675
1.759
1.981
1.945
2.165
2.251
3.353
20.934
Anm.: Visse rækker summer ikke til 100 pct. pga. afrundinger.
Kilde: Uddannelses- og Forskningsministeriet på baggrund af data fra Danmarks Statistik.
5.2 Gruppering af EU-lande
I analysen er studerende fra EU/EØS-lande (ekskl. nordiske lande) opdelt i hhv. gamle
EU/EØS-lande og nye EU-lande, som følger opdelingen i nedenstående tabel.
Tabel 5.3
Opdeling af EU/EØS-lande (ekskl. nordiske lande)
”Gamle”
EU/EØS-lande
EU/EØS medlemmer før 2004
Belgien
Frankrig
Grækenland
Irland
Italien
Liechtenstein
Luxembourg
Nederlandene
Portugal
Spanien
Storbritannien
Tyskland
Østrig
”Nye”
EU-lande
EU/EØS medlemmer efter 2004
Bulgarien
Cypern
Estland
Kroatien
Letland
Litauen
Malta
Polen
Rumænien
Slovakiet
Slovenien
Tjekkiet
Tjekkoslovakiet
Ungarn
Kilde:
EU-oplysningen
(2017): Nye medlemslande og udvidelse og europa.eu.
Uddannelses- og Forskningsministeriet
84
UFU, Alm.del - 2017-18 - Bilag 158: Orientering om Justering af engelsksprogede uddannelser, fra uddannelses- og forskningsudvalget
1930106_0085.png
Offentlige indtægter og udgifter ved internationale studerende
5.3 Internationale studerendes fordeling på hovedområder samt
studietid
5.3.1 Fordeling på uddannelseshovedområder
Internationale studerende fra erhvervsakademiuddannelser læser lidt oftere på it-ud-
dannelser og økonomisk-merkantile uddannelser sammenlignet med danske stude-
rende, jf. figur 5.1. På professionsbacheloruddannelserne læser internationale studerende
oftere på tekniske og økonomisk-merkantile uddannelser, jf. figur 5.2.
Figur 5.1
Danske og internationale studerende på er-
hvervsakademiuddannelser fordelt på ho-
vedområde, pct., 2015
Pct.
100
80
60
40
20
0
Danske
studerende
Bio- og laboratorieteknik
It
Sundhed
Økonomisk-merkantile
21
7
33
8
Internationale
studerende
Design
Samfund
Teknik
Pct.
100
80
54
60
40
20
0
Figur 5.2
Danske og internationale studerende på pro-
fessionsbacheloruddannelser fordelt hoved-
område, pct., 2015
Pct.
100
80
60
40
20
0
Danske
studerende
Design
Pædagogik
Sundhed
Økonomisk/merkantil
Internationale
studerende
Medie mv.*
Samfund
Teknik
35
10
7
5
19
26
38
40
20
0
29
Pct.
100
80
60
49
Anm.: Andel af danske og internationale stude-
rende: Bio og laboratorieteknik (9 og 2 pct.),
Samfund (1 og 0 pct.), Sundhed (3 og 0 pct.)
og Teknik (9 og 3 pct.).
Kilde: Uddannelses- og Forskningsministeriet på
baggrund af data fra Danmarks Statistik.
Anm.: *Medie mv. dækker over medie, kommunika-
tion og IT mv. Sikkerhed mv. indgår ikke i fi-
guren på grund af diskretionshensyn.
Andel af danske og internationale stude-
rende: Design (2 og 9 pct.), Samfund (9 og 0
pct.), Medie mv. (4 og 7 pct.).
Kilde: Uddannelses- og Forskningsministeriet på
baggrund af data fra Danmarks Statistik.
Sammenlignet med danske studerende læser internationale studerende fra akademiske
bachelor- og kandidatuddannelser oftere på samfundsvidenskabelige og tekniske ud-
dannelser, jf. figur 5.3 og figur 5.4.
Uddannelses- og Forskningsministeriet
85
UFU, Alm.del - 2017-18 - Bilag 158: Orientering om Justering af engelsksprogede uddannelser, fra uddannelses- og forskningsudvalget
1930106_0086.png
Offentlige indtægter og udgifter ved internationale studerende
Figur 5.3
Danske og internationale studerende på
akademiske bacheloruddannelser fordelt på
hovedområde, pct., 2015
Pct.
100
80
60
40
20
0
Danske
studerende
Humaniora
Natur
Internationale
studerende
Samfund
Sundhed
Teknik
Pct.
100
14
8
38
80
60
40
20
0
Figur 5.4
Danske og internationale studerende på
kandidatuddannelser fordelt på hovedom-
råde, pct., 2015
Pct.
100
80
60
40
20
0
Danske
studerende
Humaniora
Natur
Internationale
studerende
Samfund
Sundhed
Teknik
9
11
22
7
39
43
80
60
40
11
28
16
0
20
Pct.
100
10
9
34
17
12
28
12
30
Anm.: Andelene summer ikke i alle tilfælde til 100
pct. på grund af afrundinger.
Kilde: Uddannelses- og Forskningsministeriet på
baggrund af data fra Danmarks Statistik.
Anm.: Andelene summer ikke i alle tilfælde til 100
pct. på grund af afrundinger.
Kilde: Uddannelses- og Forskningsministeriet på
baggrund af data fra Danmarks Statistik
Uddannelses- og Forskningsministeriet
86
UFU, Alm.del - 2017-18 - Bilag 158: Orientering om Justering af engelsksprogede uddannelser, fra uddannelses- og forskningsudvalget
1930106_0087.png
Offentlige indtægter og udgifter ved internationale studerende
5.3.2 Fordeling af studietid
Ca. 21 pct. af internationale studerende, som læser en professionsbacheloruddannelse,
færdiggør deres uddannelse på 1 år eller derunder. Det skyldes især såkaldte double-
degree studerende. Det er studerende, som kommer til Danmark undervejs i deres
ud-
dannelse for at læse et enkelt semester, hvorefter de skifter uddannelse fra deres hjem-
land til en dansk uddannelsesinstitution. Disse studerende får derfor merit fra deres
medbragte uddannelse, hvilket betyder, at de med kun få måneders uddannelse kan di-
mittere fra en dansk uddannelsesinstitution.
Figur 5.5
Fordeling af studietid for internationale studerende med studiestart i perioden 2004-2015,
pct.
Pct.
70
60
50
40
30
20
10
0
1 år og derunder
1-2 år
2-3 år
3-4 år
4-5 år
5 år +
Pct.
70
60
50
40
30
20
10
0
Erhvervsakademiuddannelser mv.
Akademisk bachelor mv.
Ordinære professionsbachelorer
Kandidatuddannelser mv.
Top-op professionsbachelorer
I alt
Anm.: Studietiden er beregnet dækker det fulde antal år fra først påbegyndte videregående uddannelse
til sidst afsluttede uddannelse. Kategoriseringen af studerende på uddannelsestype er baseret på
den sidste fuldførte uddannelse. Det vil sige, at en studerende, som tager flere uddannelsesforløb,
vil blive kategoriseret under den sidst fuldførte uddannelse.
Kilde: Uddannelses- og Forskningsministeriet,
Højbjerre Brauer Schultz’ beregninger
på registerdata fra
Danmarks Statistik.
Uddannelses- og Forskningsministeriet
87
UFU, Alm.del - 2017-18 - Bilag 158: Orientering om Justering af engelsksprogede uddannelser, fra uddannelses- og forskningsudvalget
1930106_0088.png
Offentlige indtægter og udgifter ved internationale studerende
5.4 Poster fra den offentlige saldo som udgår af beregningerne
Tabel 5.4
Poster som udgår af nettobidragsberegningerne
Poster som udgår af nettobidragsberegningerne
Indekstillæg
Overførsler til aktiverede i arbejdsmarkedsydelsesordningen udenfor arbejdsstyrken
Overførsler til aktiverede kontantshjælpmodtagere, midlertidig uddannelsesordning (aktiv periode)
Overførsler til efterløn og fleksydelse
Overførsler til folkepension
Overførsler til førtidspension
Overførsler til øvrige pensioner (består primært af apotekerforenings pensionsordning og delpension)
Personlige tillæg
Revalideringsydelse
Samlet ydelse til personer i resourceforløbsordning
Øvrig kommunal aktivering udenfor arbejdsstyrken
Poster under det individuelle offentlige forbrug
-Asyl
-Daginstitution
-Handicappede
-Hjemmehjælp
-Plejehjem
-Udsatte børn og unge
-Udsatte voksne
[Tekst]
Uddannelses- og Forskningsministeriet
88