Uddannelses- og Forskningsudvalget 2017-18
UFU Alm.del Bilag 109
Offentligt
1891667_0001.png
Uddannelses- og Forskningsudvalget
EU-konsulenten
Til:
Dato:
Udvalgenes medlemmer
8. maj 2018
Kontaktperson:
Martin Jørgensen
Lokalnr: 3622
Den flerårige finansielle ramme 2021-2027
Sammenfatning
Kommissionen har fremsat forslaget til EU-budgetrammen for 2021-
2027 med et samlet niveau på 1,11 pct. af de 27 EU-landes BNI.
Det svarer til 1.279 mia. euro i løbende priser, eller ca. 9.530 mia. kr.
Der er tale om en stigning fra rammen for 2014-2020, der udgør 1,0
pct. af BNI. Den nye ramme prioriterer udgifter til sikkerhed, migration,
grænseforvaltningen og forskning, mens de traditionelt tunge budget-
områder som landbrug og samhørighed beskæres. Kommissionen fo-
reslår samtidig en række nye indtægtskilder til EU-budgettet.
Som noget nyt foreslår Kommissionen, at støtten fra EU-budgettet gø-
res direkte betinget af overholdelse af retsstatsprincippet.
Indledning
Kampen om
EU’s
fremtidige budgetramme blev den 2. maj 2018 for alvor
skudt i gang med Kommissionens forslag til den flerårige finansielle ramme
for 2021-2027. Finansieringen af budgettet er også en del af forslagspakken
1
og herunder kriterierne for de enkelte medlemslandes bidrag til EU-budgettet.
Forhandlingerne
om den næste ramme for EU’s budget er denne gang ekstra
udfordret af Brexit, da Storbritannien som nettobidragsyder efterlader et årligt
1
Forslagene i forbindelse med den flerårige finansielle ramme for 2021-2027 omfatter en medde-
lelse og syv forslag til retsakter (se bilag 2).
1/18
UFU, Alm.del - 2017-18 - Bilag 109: EU-note om den flerårige finansielle ramme 2021-2027
1891667_0002.png
hul i budgettet på ca. 10 mia. euro. Hertil kommer ønsket om at øge indsatsen
på en række prioriterede områder som f.eks. sikkerhed, migration, grænsefor-
valtningen og forskning. Endelig vil ambitionen om at knytte betalinger fra
budgettet til overholdelse af retsstatsprincippet sikkert ikke falde i god jord hos
alle medlemslandene.
Den flerårige finansielle ramme 2021-2027
Kommissionens forslag til forpligtigelser
2
i den overordnede finansielle ramme
i perioden 2021-2027 udgør 1,11 pct. af de 27 medlemslandes samlede brut-
tonationalindkomst (BNI). Det svarer til 1.135 mia. euro i faste 2018-priser og
1.279 mia. euro i løbende priser eller henholdsvis 8.451 mia. kr. og 9.530 mia.
kr. Niveauet i den nuværende ramme for 2014-2020 er på 1,00 pct. af BNI for
de 28 medlemslande. Det svarer til 1,13 pct. af BNI for EU-27 uden Storbri-
tannien.
Rammen for betalingerne udgør i forslaget for 2021-2027 1,08 pct. af BNI,
hvilket svarer til 1.105 mia. euro i faste 2018-priser og 1.246 mia. euro i lø-
bende priser. I danske kr. beløber det sig til henholdsvis 8.229 mia. kr. og
9.283 mia. kr. Det er betalingerne, der har direkte betydning for medlemslan-
denes årlige bidrag til EU-budgettet.
Hvad er den flerårige finan-
sielle ramme?
EU har indført et system, hvor
der for mindst 5 år ad gangen
sættes nogle øvre grænser for,
hvor store de årlige EU-bud-
getter kan være. Der er samti-
dig også øvre grænser for,
hvor mange penge der kan gå
til de enkelte budgetkategorier.
Der er ikke tale om flerårige
budgetter, men flerårige ram-
mer for de årlige budgetter.
Den første flerårige ramme
blev vedtaget for perioden
1988-1992 (Delors I) og skulle
tage højde for optagelsen af
EU-budgetrammer i pct. af BNI
Uden udgifter til UK og i pct. af EU27 BNI
1,25
1,09
1,12
1,00
1,13
1,11
Spanien og Portugal samt am-
bitionerne i fællesakten om det
indre marked.
Med Lissabontraktaten i 2009
blev systemet med de flerårige
finansielle rammer skrevet ind i
traktaten (artikel
312 TEUF).
1993-1999
2000-2006
2007-2013
2014-2020
2014-2020
2021-2027
2
Forpligtigelser er løfter om betalinger, som ikke nødvendigvis bliver udbetalt i det pågældende
år, men som typisk strækker sig over flere år. Betalingerne er derimod de faktiske beløb, der kan
udbetales fra EU-budgettet i et givent år.
2/18
UFU, Alm.del - 2017-18 - Bilag 109: EU-note om den flerårige finansielle ramme 2021-2027
1891667_0003.png
Hertil kommer en række budgetinstrumenter
3
i form af fonde og faciliteter,
som ikke er en del af den flerårige finansielle ramme. De udgør samlet 29,4
mia. euro (løbende priser) og 26,0 mia. euro (faste 2018-priser) i 2021-2027.
Hvis disse instrumenter regnes med, kommer den samlede ramme op på 1,14
pct. af BNI.
Budgetrammen er inddelt i syv overordnede budgetkategorier, der her er angi-
vet i mia. euro og løbende priser. Samlet ramme: 1.279,408 mia. euro.
1. Det indre marked, innovation og det digitale: 187,370
a. Forskning og innovation: 102,573
b. Europæiske strategiske investeringer: 49,973
c. Det indre marked: 6,391
d. Rummet: 16,235
2. Samhørighed og værdier: 442,412
a. Regional udvikling og samhørighed: 273,240
b. Den Økonomiske og Monetære Union: 25,113
c. Investering i mennesker, social samhørighed m.v.: 139,530
3. Naturressourcer og miljø: 378,920
a. Landbrugs- og havpolitik: 372,264
b. Miljø- og klimaindsats: 5,739
4. Migration og grænseforvaltning: 34,902
a. Migration: 11,280
b. Grænseforvaltning: 21,331
5. Sikkerhed og forsvar: 27.515
a. Sikkerhed: 4,806
b. Forsvar: 19,500
c. Kriserespons: 1,400
6. Naboområder og verden: 123,002
a. Foranstaltninger udadtil: 105,219
b. Førtiltrædelsesbistand: 14,500
7. Europæisk offentlig forvaltning: 85,287
a. Europaskoler og pensioner: 19,259
3
De særlige instrumenter omfatter nødhjælpsreserven, Globaliseringsfonden, Solidaritetsfonden,
fleksibilitetsinstrumentet, investeringsstabilitetsfunktionen og den europæiske fredsfacilitet.
3/18
UFU, Alm.del - 2017-18 - Bilag 109: EU-note om den flerårige finansielle ramme 2021-2027
1891667_0004.png
b. Institutionernes administrationsudgifter: 66,028
Flerårige finansielle ramme 2021-2027, mio. euro, løbende priser
1.279.408 mio euro = 1,11 pct. af EU27 BNI
85.287; 7%
1. Det indre marked, innovation og
det digitale
2. Samhørighed og værdier
3. Naturressourcer og miljø
4. Migration og grænseforvaltning
5. Sikkerhed og forsvar
123.002; 9%
27.515; 2%
34.902; 3%
187.370; 15%
442.412; 34%
6. Naboområder og verden
378.920; 30%
7. Europæisk offentlig forvaltning
Nye elementer i Kommissionens forslag:
Kommissionen foreslår en særlig mekanisme, der skal sikre en for-
svarlig økonomisk forvaltning af de tildelte midler via EU-budgettet,
hvilket forudsætter, at retsstatsprincippet er overholdt. Hvis det ikke er
tilfældet, kan EU-midlerne suspenderes eller begrænses.
Til efterlevelse af bl.a. Paris-aftalen er der klimatiltag for i alt 320 mia.
euro svarende til 25 pct. af den finansielle ramme. Klimatiltagene er
indarbejdet på tværs af programmerne, men især i forbindelse med
samhørighedspolitikken, regional udvikling, energi, transport, forsk-
ning og innovation, landbrugspolitikken samt udviklingspolitikken.
Kommissionen foreslår også, at den mellemstatslige Europæiske Ud-
viklingsfond
4
bliver en del af EU-budgettet. Af den samlede finansielle
4
I perioden 2014-2020 (11. EUF) har udviklingsfonden et budget på 30,5 mia. euro. Heraf bidra-
ger Danmark med 604,2 mio. euro.
4/18
UFU, Alm.del - 2017-18 - Bilag 109: EU-note om den flerårige finansielle ramme 2021-2027
ramme på 1,11 pct. af de 27 EU-landes BNI udgør udviklingsfonden
0,03 pct. af BNI.
Kommissionen foreslår to nye instrumenter inden for
ØMU’en.
Det
første skal støtte landenes reformindsats og kommende eurolandes
tilpasning, og det andet skal sikre investeringsniveauet i tilfælde af, at
et land rammes af et asymmetrisk chok.
Kommissionens forslag skærer det nuværende antal af programmer
under budgettet ned fra 58 til 37.
Det indre marked, innovation og det digitale: 187,4 mia. euro (14,7 pct.)
Budgetkategorien omfatter forskning og innovation (102,6 mia. euro), strategi-
ske investeringer (50,0 mia. euro), det indre marked (6,4 mia. euro) samt rum-
met (16,2 mia. euro).
Forskning og innovation er blandt de opprioriterede områder i forslaget til den
nye finansielle ramme, hvilket gør sig gældende for
Horizon Europe,
der er
EU’s store
forsknings- og innovationsprogram. Horizon Europe har en samlet
ramme i perioden på 97,6 mia. euro. På investeringsområdet oprettes en ny
Invest EU-fond,
der med en ramme på 15,2 mia. euro via EU-garantier skal
mobilisere finansiering til investeringer på op til 650 mia. euro. En anden ny-
skabelse er
Programmet for det digitale Europa,
der skal sikre fordelene ved
den digitale transformation. Her er rammen på 9,2 mia. euro, som bl.a. skal
gå til investeringer i højhastighedscomputere og data, kunstig intelligens, cy-
bersikkerhed og avancerede digitale færdigheder. Programmet vil også støtte
den digitale transformation af offentlige services. Der er også afsat 3 mia.
euro til det digitale område under den såkaldte
Connecting Europe Facilitet,
der også omfatter en ramme på 12,8 mia. euro til transport og 8,7 mia. euro til
energi.
Kommissionen fremlægger sektorprogrammer på området den 6., 7. og 8.
juni.
Samhørighed og værdier: 442,4 mia. euro (34,6 pct.)
Samhørighedsområdet bliver ifølge Kommissionen beskåret med 7 pct. i for-
hold til den nuværende finansielle ramme.
Under budgetkategorien er Den Regionale Udviklingsfond og Samhørigheds-
fonden, der tilsammen har en ramme på 273 mia. euro i perioden. Hertil kom-
mer Socialfondens ramme på 101 mia. euro. Fondene vil i højere grad blive
5/18
UFU, Alm.del - 2017-18 - Bilag 109: EU-note om den flerårige finansielle ramme 2021-2027
1891667_0006.png
koblet til det europæiske semester
5
og vækstfremmende reformer. I forhold til
den regionale udvikling vil der være en større grad af national medfinansie-
ring. På samhørighedsområdet vil det vigtigste tildelingskriterium fortsat være
det relative bruttonationalprodukt pr. indbygger, men der vil blive taget hensyn
til andre faktorer som arbejdsløshed (især ungdomsarbejdsløshed), klimafor-
andringer og modtagelse og integration af migranter.
Selv om området samlet set beskæres, er det dog afsat flere midler til pro-
grammer rettet mod unge, herunder 30 mia. euro til Erasmus+.
Kommissionen fremsætter den 29. maj sektorprogrammet for samhørigheds-
området.
To nye instrumenter under ØMU’en
De to instrumenter skal understøtte reformer
6
og opretholde investeringsni-
veauet i tilfælde af, at et land rammes af et asymmetrisk chok. Det drejer sig
om:
Reformstøtteprogram på 25 mia. euro i perioden til finansiel og tek-
nisk bistand til medlemslandenes reformindsats på EU’s
prioriterede
områder, især som led i det europæiske semester. Der vil også være
støtte til kommende eurolandes tilpasning
7
.
Investeringsstabiliseringsfunktion på op til 30 mia. euro i form af lån
med sikkerhed i EU-budgettet samt finansiel støtte til dækning af ren-
teomkostninger.
Begge mekanismer er åbne for ikke-eurolande, men investeringsstabilise-
ringsfunktionen er primært tiltænkt eurolande. Ikke-eurolande kan dog deltage
i investeringsfunktionen, hvis de bidrager til finansieringen af den finansielle
støtte til dækning af renteomkostningerne.
Det europæiske semester er et årligt forløb, hvor medlemslandenes økonomiske politikker sam-
ordnes, og hvor medlemslandene modtager anbefalinger om at gennemføre landespecifikke
tiltag, eksempelvis strukturreformer på forskellige områder.
6
Reformerne vil blive fremsat via landenes nationale reformprogrammer på baggrund af udfor-
dringer identificeret i forbindelse med det europæiske semester. Det omfatter reformer af pro-
dukt- og arbejdsmarkedet, uddannelsesområdet, skattereformer, udvikling af kapitalmarke-
derne, forbedring af virksomhedsrammerne, investeringer i human capital og reformer af den
offentlige administration.
7
Bulgarien er i øjeblikket det eneste ikke-euroland, som planlægger at deltage i fastkurssamar-
bejdet ERM II, som er en forudsætning for eurodeltagelse.
5
6/18
UFU, Alm.del - 2017-18 - Bilag 109: EU-note om den flerårige finansielle ramme 2021-2027
Naturressourcer og miljø: 378,9 mia. euro (29,6 pct.)
Under denne budgetkategori er den fælles landbrugspolitik samt miljø- og kli-
matiltag. Landbrugspolitikken beskæres ifølge Kommissionen med 5 pct. i for-
hold til den nuværende ramme.
De samlede landbrugsudgifter vil udgøre 365 mia. euro, hvoraf 286,2 mia.
euro går til markedsrelaterede udgifter og direkte betalinger (søjle I), mens
78,8 mia. euro går til udvikling af landdistrikterne (søjle II). Der vil være en
større national medfinansiering i forbindelse med udvikling af landdistrikterne.
Under forskningsprogrammet Horizon Europe vil 10 mia. euro være sat af til
forskning og innovation i forbindelse med fødevarer, landbrug, udvikling af
landdistrikter og bioøkonomi.
Kommissionen lægger op til et øvre loft for den enkelte bedrifts støtte, hvor-
med støtten i højere grad vil kanaliseres mod mellemstore og mindre bedrif-
ter. Den direkte støtte pr. hektar vil fortsat konvergere mod EU-gennemsnittet.
For de direkte betalingers vedkommende vil der være et forstærket krav om
tilknyttede miljø- og klimatiltag. Kommissionen foreslår også en ny krisere-
serve til håndtering af uforudsete udviklinger på de internationale markeder el-
ler specifikke choks i landbrugssektoren som følge af tiltag fra lande uden for
EU.
Miljødelen udgøres primært af LIFE-programmet til miljø- og klimatiltag med
5,5 mia. euro.
De nærmere bestemmelser vil fremgå af Kommissionens forslag til sektorpro-
grammet for landbrugsområdet, som fremsættes den 1. juni.
Migration og grænseforvaltning: 34,9 mia. euro (2,7 pct.)
Forvaltningen af de ydre grænser har sammen med migrations- og asylområ-
det fået tilført ekstra ressourcer i den foreslåede finansielle ramme, så den
udgør 34,9 mia. euro mod 13 mia. euro i 2014-2020. Konkret foreslår Kom-
missionen en ny integreret grænseforvaltningsfond med en ramme på 9,3
mia. euro. Fonden skal
støtte medlemslandene i sikringen af EU’s fælles ydre
grænser og hjælpe medlemslandene med toldkontrollen. Asyl- og Migrations-
fonden vil med en ramme på 10,4 mia. euro hjælpe medlemslandene med
håndteringen af migrationsflowet og tiltag mod illegal migration. Der vil også
være støtte til tilbageføring af illegale migranter til deres hjemlande.
Kommissionen foreslår endvidere at øge antallet af grænsevagter i Frontex
fra de nuværende 1.500 til 10.000 i 2027.
7/18
UFU, Alm.del - 2017-18 - Bilag 109: EU-note om den flerårige finansielle ramme 2021-2027
De nærmere detaljer vil blive fremlagt af Kommissionen den 12. juni.
Sikkerhed og forsvar: 27,5 mia. euro (2,2 pct.)
Under budgetrammen er der afsat 4,8 mia. euro til sikkerhed og 19,5 mia.
euro til forsvarsområdet, herunder 13 mia. euro til en ny europæisk forsvars-
fond. Fonden har to formål: forskning (4,1 mia. euro) og medfinansiering af
projekter til udvikling af forsvarskapaciteter (8,9 mia. euro).
Naboområder og verden: 123,0 mia. euro (9,6 pct.)
Kommissionen foreslår at samle de fleste eksisterende instrumenter på det
eksterne område i et samlet nyt instrumentet for naboskab, udvikling og inter-
nationalt samarbejde med en ramme på 89,5 mia. euro. Instrumentet vil inde-
holde følgende elementer: en geografisk søjle (forbehold de geografiske regi-
oner, specielt naboskabslande og Afrika), en tematisk søjle (globale emner),
en hurtig responssøjle (krisehåndtering og konfliktforebyggelse), en stødpude
til nuværende eller kommende vigtige prioriteter (herunder migrationspres)
samt en ny investeringsarkitektur (til yderligere ressourcer fra donorer eller
den private sektor).
Kommissionen foreslår som nævnt også at inddrage Den Europæiske Udvik-
lingsfond i EU-budgettet.
Budgetkategorien omfatter også støtte til kommende EU-lande med en
ramme på 14,5 mia. euro, humanitær hjælp på 11 mia. euro samt midler til
den fælles udenrigs- og sikkerhedspolitik på 3 mia. euro. Der er også afsat
midler til de oversøiske lande og territorier (OLT), som bl.a. omfatter Grøn-
land, på 500 mio. euro.
Kommissionen fremlægger sektorprogrammerne på området den 14. juni.
Europæisk offentlig forvaltning: 85,3 mia. euro (6,7 pct.)
Budgetkategorien dækker administrationsudgifterne til EU-institutionerne med
en ramme på 66,0 mia. euro samt udgifter til europaskoler og pensioner på
19,3 mia. euro.
8/18
UFU, Alm.del - 2017-18 - Bilag 109: EU-note om den flerårige finansielle ramme 2021-2027
1891667_0009.png
Overholdelse af retsstatsprincippet
Kommissionen forslår en ny mekanisme
8
, som skal sikre en forsvarlig økono-
misk forvaltning af de tildelte midler via EU-budgettet. Det forudsætter ifølge
Kommissionen, at retsstatsprincippet er overholdt, så der er et velfungerende
retsvæsen, så svig og korruption bliver straffet. Hvis Kommissionen vurderer,
at det ikke er tilfældet, så kan midler fra de forskellige støtteprogrammer su-
spenderes eller begrænses svarende til omfanget af medlemslandets syste-
matiske mangler på retsområdet. Det vil dog ikke ramme de individuelle mod-
tagere af EU-midler, da det pågældende medlemsland vil være forpligtet til at
gennemføre de berørte programmer og udbetale penge til støttemodtagerne.
Mekanismen vil gælde for EU-støtte fra alle fonde med delt administration
mellem Kommissionen og nationale myndigheder samt fonde med direkte og
indirekte administration fra Kommissionen, når modtageren er en offentlig
myndighed.
Det kræver et kvalificeret flertal i Rådet at modsætte sig Kommissionens for-
slag om suspension eller begrænsning af midlerne til et medlemsland.
9
Fleksibilitet
Da systemet med en flerårig finansiel ramme jo i sagens natur lægger en øvre
ramme over udgifterne og betalingerne samt niveauet for de enkelte udgifts-
kategorier, kan der være behov for en vis fleksibilitet i tilfælde af uforudsete
udgifter. Derfor indeholder forslaget også en udbygning af de fleksibilitetsbe-
stemmelser, som allerede er indeholdt i den nuværende finansielle ramme.
Kommissionen foreslår bl.a., at der oprettes en
EU-reserve,
som består af de
margener, der er tilbage under loftet for forpligtigelser for det foregående
regnskabsår, og af de midler, der er forpligtet på EU-budgettet, men i sidste
ende ikke udnyttet til gennemførelsen af programmer. Reserven er tiltænkt
uforudsete begivenheder og nødsituationer inden for bl.a. sikkerhed og migra-
tion.
KOM (2018) 0324:
Forslag til forordning om beskyttelse af Unionens budget i tilfælde af genera-
liserede mangler i medlemsstaterne for så vidt angår retsstatsprincippet. Forslaget skal vedta-
ges af Rådet og Europa-Parlamentet efter den almindelige beslutningsprocedure, hvor Rådet
kan vedtage forslaget med et kvalificeret flertal.
9
Kommissionens forslag vil automatisk være vedtaget efter en måned, hvis Rådet ikke kan møn-
stre et kvalificeret flertal imod forslaget.
8
9/18
UFU, Alm.del - 2017-18 - Bilag 109: EU-note om den flerårige finansielle ramme 2021-2027
1891667_0010.png
Kommissionen foreslår, at loftet for betalinger i perioden 2021-2027 fra 2022
skal kunne justeres opad med et beløb svarende til forskellen mellem de gen-
nemførte betalinger og loftet for betalinger året før. I den nuværende ramme
er der en begrænsning på, hvor meget der kan opskrives, men begrænsnin-
gen er undladt i det nye forslag.
Det er i dag muligt, at overføre 10 pct. af midlerne fra et program til et andet
under samme udgiftsområde. Kommissionen foreslår, at beløbet hæves til 15
pct.
Indtægter (egne indtægter)
Som en del af pakken om den flerårige finansielle ramme har Kommissionen
fremsat et forslag til en ny afgørelse om ordningen for EU’s egne indtægter
10
.
Ordningen indeholder en beskrivelse af de indtægtskilder, som EU-budgettet
finansieres af, og metoden til beregning af de enkelte medlemslandes bidrag
til budgettet.
Indtægterne til finansiering af EU’s budget består i dag af:
Afgifter i forbindelse med EU's markedsordning for sukker.
Toldindtægter fra EU's samhandel med lande udenfor EU.
Et momsbidrag fra medlemslandene udregnet som en ensartet sats
på 0,30 pct. af et harmoniseret momsberegningsgrundlag.
Et BNI-bidrag fra medlemslandene udregnet som en ensartet procent-
sats af medlemslandenes BNI (bruttonationalindkomst).
Omkring 15 pct. af budgetindtægterne kommer fra told og afgifter, 12 pct. fra
det momsbaserede bidrag og 73 pct. fra landenes BNI-bidrag.
Kommissionen foreslår, at der indføres tre nye typer af egne indtægter:
20 pct. af indtægterne fra handlen med CO2-kvoter under emissions-
handelssystemet (ca. 3 mia. euro om året).
3 pct. af det kommende fælles konsoliderede selskabsskattegrundlag
(CCCTB-forslaget
11
) (ca. 12 mia. euro om året).
KOM (2018) 0325:
Forslag til Rådets afgørelse om ordningen for Den Europæiske Unions egne
indtægter.
11
KOM (2016) 0683:
Forslag til Rådets direktiv om et fælles konsolideret selskabsskattegrundlag.
10
10/18
UFU, Alm.del - 2017-18 - Bilag 109: EU-note om den flerårige finansielle ramme 2021-2027
1891667_0011.png
Et bidrag fra de enkelte medlemslande svarende til 0,8 euro pr. kilo
plastemballageaffald, der ikke kan genanvendes (ca. 7 mia. euro om
året).
Samlet skulle de nye indtægtskilder kunne bidrage med ca. 22 mia. euro om
året, hvilket svarer til ca. 12 pct. af indtægterne. Det skulle efter Kommissio-
nens beregninger kunne reducere BNI-bidraget fra landene fra de nuværende
omkring 72 pct. til 58 pct. af de samlede indtægter.
Kommissionen foreslår også, at nedsætte den del af de opkrævede toldind-
tægter som medlemslandene kan beholde til administration fra 20 til 10 pct.
Kommissionen ønsker også at hæve den øvre grænse for EU’s egne indtæg-
ter fra 1,20 til 1,29 pct. af BNI.
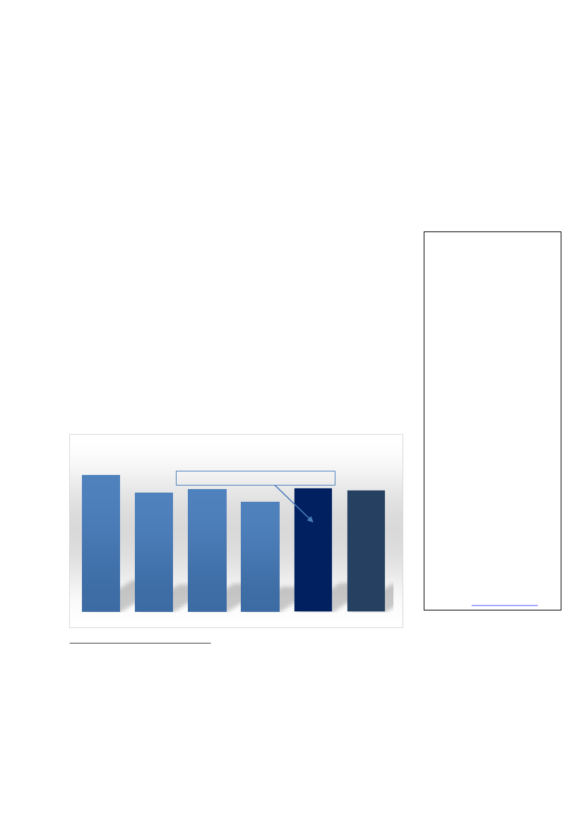
Rabatter
De rabatter der er knyttet til Storbritanniens rabat (rabat på rabatten)
12
bortfal-
der i sagens natur med Brexit, men under den nuværende ramme er der yder-
ligere to typer af rabatter. Tyskland, Holland og Sverige har en rabat på det
momsbaserede bidrag
13
og Østrig, Holland, Sverige og Danmark
14
har en ra-
bat på BNI-bidraget.
Kommissionen foreslår, at alle rabatordninger afskaffes. Det skal dog ske
gradvis over 5 år, så de først er helt udfasede efter 2025. Selvom grundlaget
for rabatten på betalingen til Storbritanniens rabat for Tyskland, Holland, Øst-
rig og Sveriges vedkommende forsvinder med Brexit, vil de blive kompenseret
for denne rabat i forbindelse med udfasningen. Her omregnes alle rabattyper,
med udgangspunkt i niveauet i 2020, til en bruttorabat på landenes BNI-bi-
drag.
For Danmarks vedkommende vil BNI-rabatten udgøre 118 mio. euro i 2021,
94 mio. euro i 2022, 71 mio. euro i 2023, 47 mio. euro i 2024 og 24 mio. euro i
2025. Alle beløb er i 2018-priser. Udgifterne til rabatterne bliver betalt af alle
medlemslandene (herunder Danmark) ud fra deres andel i EU’s samlede BNI.
12
Det beløb som Tyskland, Holland, Østrig og Sverige i kraft af deres BNI-andele skulle betale til
finansieringen af Storbritanniens rabat er reduceret til en fjerdedel.
13
De betaler en reduceret sats på 0,15 pct. af det harmoniserede momsgrundlag, hvor standard-
satsen er 0,30 pct.
14
Danmarks rabat udgør omkring en mia. kroner om året, men er formelt fastsat til en bruttorabat
på 130 mio. euro målt i 2011-priser.
11/18
UFU, Alm.del - 2017-18 - Bilag 109: EU-note om den flerårige finansielle ramme 2021-2027
1891667_0012.png
Det betyder, at Danmarks rabat på BNI-bidraget i 2021 netto vil udgøre ca. 7
mio. euro, hvilket dog skal sammenholdes med, at Danmark uden rabatten
ville skulle betale 115 mio. euro til finansieringen af de andre landes rabatter.
Udfasning af rabatter 2021-2025 (mio. euro, 2018-priser)
5.000
110
118
4.500
578
4.000
88
94
3.500
3.000
1.007
2.500
2.000
1.500
1.000
500
0
Østrig
Danmark
Sverige
Holland
Tyskland
2021
110
118
578
1.259
2.799
Tyskland
2022
88
94
462
1.007
2.239
Holland
2023
66
71
347
755
1.679
Sverige
Danmark
2024
44
47
231
503
1.119
Østrig
2025
22
24
116
252
560
66
71
347
755
44
47
231
2.799
2.239
1.679
1.119
560
22
24
116
252
503
1.259
462
Vanskelige forhandlinger i vente
Forordningen om den flerårige finansielle ramme skal vedtages efter en sær-
lig lovgivningsprocedure med enstemmighed i Rådet efter godkendelse i Eu-
ropa-Parlamentet
15
. Før Rådet kan tage stilling, skal der også opnås enighed
blandt EU’s stats-
og regeringschefer i Det Europæiske Råd.
15
Der er tale om et såkaldt absolut flertal, hvilket vil sige et flertal af alle Parlamentets medlem-
mer. Et absolut flertal svarer på nuværende tidspunkt til 376 medlemmer.
12/18
UFU, Alm.del - 2017-18 - Bilag 109: EU-note om den flerårige finansielle ramme 2021-2027
1891667_0013.png
Finansieringen af EU-budgettet
i form af afgørelsen om ordningen for EU’s
egne indtægter skal vedtages af Rådet med enstemmighed efter høring af Eu-
ropa-Parlamentet. Afgørelsen skal efterfølgende godkendes af EU-landenes
nationale parlamenter.
Kommissionen lægger op til enighed inden EU-topmødet i den rumænske by
Sibiu den 9. maj 2019, hvilket flere medlemslande dog vurderer som ureali-
stisk.
Da den finansielle ramme for 2014-2020 skulle forhandles på plads, gik der
næsten 2,5 år fra Kommissionens forslag til den endelige vedtagelse af ram-
men i Rådet
16
.
Europa-Parlamentet vedtog sin holdning til den flerårige finansielle ramme og
EU’s indtægter
den 14. marts i to beslutninger
17
. Europa-Parlamentet ønsker
bl.a. et udgiftsniveau på 1,3 pct. af medlemslandenes BNI til at betale for nye
prioriterede områder som innovation, sikkerhed og migration uden beskæring
af landbrugs- og samhørighedsudgifterne. Parlamentet støtter sanktionering
af medlemslande, som ikke overholder retsstatsprincippet, men ikke de ende-
lige støttemodtagere. Parlamentet ønsker nye egne indtægter og afskaffelse
af alle rabatordninger.
Europa-Parlamentet forventes at tage stilling til Kommissionens forslag i en ny
beslutning i slutningen af maj. Europa-Parlamentet har i øvrigt tilkendegivet,
at forslaget til den flerårige finansielle ramme samt forslaget til egne indtægter
og de kommende forslag til retsakter på de berørte politikområder vil blive be-
handlet som en samlet pakke under de kommende forhandlinger med Rådet.
EU-budgettet og Danmark
Under den nuværende finansielle ramme for 2014-2020 er medlemslandenes
faktiske betalinger til EU-budgettet og betalingerne fra EU-budgettet til med-
lemslandene opgjort for årene 2014-2016.
16
Kommissionens forslag blev fremsat den 29. juni 2011. Den 8. februar 2013 nåede stats- og
regeringscheferne til enighed om forslaget, og den 27. juni blev der indgået en aftale med Eu-
ropa-Parlamentet, der efterfølgende godkendte forslaget den 19. november. Den 2. december
2013 kunne Rådet formelt vedtage den finansielle ramme for 2014-2020.
17
Den næste FFR: forberedelse af Parlamentets holdning til den flerårige finansielle ramme efter
2020
og
Reform af ordningen for Den Europæiske Unions egne indtægter.
13/18
UFU, Alm.del - 2017-18 - Bilag 109: EU-note om den flerårige finansielle ramme 2021-2027
1891667_0014.png
I perioden har Danmark årligt bidraget med gennemsnitligt 2,473 mia. euro
svarende til 18,45 mia. kr. Danmark har modtaget 1,491 mia. euro svarende til
11,13 mia. kr. Midlerne til Danmark kommer primært fra EU-budgettets ud-
giftskategori for landbrugsområdet (ca. 70 pct.), forskning og innovation (ca.
11 pct.) samt samhørighedsområdet (ca. 7 pct.).
Danmark er som det fremgår nettobidragsyder, og hvis man anvender Kom-
missionen opgørelsesmetode
18
har det danske nettobidrag i perioden årligt
været på 755 mio. euro eller ca. 5,63 mia. kr.
I EU-budgettet for 2018 er Danmark budgetteret til at skulle betale 2,75 mia.
euro svarende til 20,5 mia. kr.
Hvilken betydning har Kommissionens forslag for det danske bidrag?
Det er forbundet med stor usikkerhed, at sige noget om Kommissionens for-
slags betydning for udviklingen i det danske bidrag til EU-budgettet, bl.a. fordi
man ikke kender den fremtidige udvikling i en række af indtægtskilderne og
det relative BNI-forhold m.v. Det må dog forventes, at bidraget vil stige med
Kommissionens forslag.
Gennemsnitligt årligt bidrag i perioden
Hvis man skal forsøge at lave en sådan beregning, kan det f.eks. gøres for
det gennemsnitlige årlige danske bidrag i perioden 2021-2027, hvor man an-
tager, at Kommissionens forslag til nye indtægtskilder er vedtaget, og at de
ikke betragtes som nationale bidrag. Det vil ud fra Danmarks andel
19
af told
og afgifter, det momsbaserede bidrag og BNI-bidraget
20
i perioden betyde et
gennemsnitligt dansk bidrag på omkring 3,4 mia. euro om året svarende til
25,2 mia. kr.
Beregningen bygger på, at niveauet for betalinger i løbende priser, i gennem-
snit ligger på 178 mia. euro om året i perioden 2021-2027. Kommissionen har
18
Kommissionens metode ser på det enkelte lands relative andel af de samlede betalinger til EU-
budgettet sammenholdt med landets relative andel af betalingerne fra EU-budgettet. Der er
altså ikke tale om en nettoopgørelse svarende til forskellen mellem faktiske ind- og udbetalin-
ger via EU-budgettet.
19
Danmarks andel af told og afgifter, det momsbaserede bidrag og BNI-bidraget er baseret på
andelen i EU-budgettet for 2018 uden Storbritannien.
20
Der er taget højde for den danske rabat på BNI-bidraget, men den er relativt begrænset pga.
udfasningen af rabatterne samt det danske bidrag til finansiering af rabatterne for Tyskland,
Østrig, Holland og Sverige.
14/18
UFU, Alm.del - 2017-18 - Bilag 109: EU-note om den flerårige finansielle ramme 2021-2027
beregnet, at told og afgifter forventes at udgøre gennemsnitligt 26 mia. euro
om året, det momsbaserede bidrag 25 mia. euro og BNI-bidraget 103 mia.
euro. Hertil kommer de 22 mia. euro fra de nye indtægter samt 2 mia. euro fra
såkaldte andre indtægter (bøder m.v.).
Bidrag i 2021 med de nuværende indtægtskilder
Hvis man i stedet prøver at beregne, hvad det danske budgetbidrag vil blive i
det første år af budgetperioden - altså i 2021
men modsat det første eksem-
pel antager, at de nye indtægtskilder ikke bliver vedtaget, og at man fortsat
anvender de nuværende indtægtskilder, vil man nå frem til et dansk budgetbi-
drag på omkring 3,3 mia. euro eller ca. 24,6 mia. kr. Beregningen bygger på
en rammen for betalinger på 159,359 mia. euro i løbende priser samt ligesom
i det første eksempel på en reduceret sats på 10 pct. for administration af
toldopkrævningen samt det nye regime for rabatordningerne.
Det er desuden forudsat, at der ikke kommer ekstra indtægter til budgetter i
form af eksempelvis betalinger fra Storbritannien for deltagelse i visse pro-
grammer efter Brexit. Der er heller ikke taget højde for, at Brexit kan medføre,
at en del af de toldindtægter, der i dag opkræves i Storbritannien, kan blive
kanaliseret til andre medlemslande efter Brexit. Der også et finansielt mellem-
værende mellem EU og Storbritannien i forbindelse med udtrædelsen, som
kan tilfalde EU-budgettet. Beregningerne er også baserede på de 27 med-
lemslandenes nuværende andele af EU’s samlede BNI
samt niveauet for told
og den momsbaserede indtægt. Niveauet for de såkaldte andre indtægter har
i perioden 2014-2016 været relativt højt - omkring 10 mia. euro -, hvilket også
indgår i beregningerne. Endelig er det forudsat, at rammen for betalinger i
2021 udnyttes fuldt ud i det faktiske budget for 2021.
Fremtidige indtægter fra EU-budgettet
De fremtidige danske indtægter fra EU-budgettet vil afhænge af de nærmere
kriterier for at modtage støtte, som vil fremgå af de sektorprogrammer, som
snart vil blive fremlagt. Som nævnt er der f.eks. planer om, at sætte et loft for
den maksimale direkte støtte pr. landbrugsbedrift.
15/18
UFU, Alm.del - 2017-18 - Bilag 109: EU-note om den flerårige finansielle ramme 2021-2027
1891667_0016.png
Bilag:
Den flerårige finansielle ramme 2021-2027
Mio. euro, løbende priser
16/18
UFU, Alm.del - 2017-18 - Bilag 109: EU-note om den flerårige finansielle ramme 2021-2027
1891667_0017.png
Den flerårige finansielle ramme 2021-2027
Mio. euro, faste 2018-priser
17/18
UFU, Alm.del - 2017-18 - Bilag 109: EU-note om den flerårige finansielle ramme 2021-2027
1891667_0018.png
Bilag 2: Kommissionens pakke af forslag i relation til den flerårige finan-
sielle ramme 2021-2027
Kommissionens forslagspakken indeholder en meddelelse og syv forslag til
retsakter:
KOM (2018) 0321:
Kommissionens meddelelse om den flerårige finansielle
ramme for 2021-2027.
KOM (2018) 0322:
Forslag til Rådets forordning om fastlæggelse af den fler-
årige finansielle ramme for årene 2021-2027.
KOM (2018) 0323:
Forslag til Interinstitutionel aftale mellem Europa-Parla-
mentet, Rådet og Kommissionen om budgetdisciplin, om samarbejde på
budgetområdet og om forsvarlig økonomisk forvaltning.
KOM (2018) 0324:
Forslag til Europa-Parlamentets og Rådets forordning om
beskyttelse af Unionens budget i tilfælde af generaliserede mangler i med-
lemsstaterne for så vidt angår retsstatsprincippet.
KOM (2018) 0325:
Forslag til Rådets afgørelse om ordningen for Den Euro-
pæiske Unions egne indtægter.
KOM (2018) 0326:
Forslag til Rådets forordning om metoderne og proceduren
for overdragelse af de egne indtægter baseret på det fælles konsoliderede
selskabsskattegrundlag, på Den Europæiske Unions emissionshandelssy-
stem og på plastemballageaffald, der ikke er genanvendt, og om foranstalt-
ningerne for at opfylde likviditetskrav.
KOM (2018) 0327:
Forslag til Rådets forordning om fastsættelse af gennem-
førelsesforanstaltninger til ordningen for Den Europæiske Unions egne ind-
tægter.
KOM (2018) 0328:
Forslag til Rådets forordning om ændring af Rådets forord-
ning (EØF, Euratom) nr. 1553/89 om den endelige ordning for ensartet op-
krævning af egne indtægter hidrørende fra merværdiafgiften.
18/18