Sundheds- og Ældreudvalget 2017-18
SUU Alm.del Bilag 294
Offentligt
1882665_0001.png
Radiofrequency radiation is a human carcinogen – can we trust that we are protected?
The Danish Parliament’s Committee for Health and Senior Citizens April 12, 2018
Lennart Hardell, MD, PhD
Professor
Michael Carlberg, MSc
Onkologiska kliniken
Universitetssjukhuset
SE-701 85 Örebro Sverige
Medarbetare genom åren:
Kjell Hansson Mild, PhD
Fredrik Söderqvist, PhD
Arne Hallquist, MD, PhD
Åsa Näsman, MSc
Anneli Påhlson, MD
Anders Lilja, MD, PhD
Monica Sandström, PhD
Hans Gertzén, MD
Elsy-Britt Schildt, MD, PhD
Åke Dahlqvist, MD, PhD
Jonna Wilén, PhD
Henrik Zetterberg, MD, PhD
Mikael Eriksson, MD, PhD
Lena Hedendahl, MD
Christer Sundström, MD, PhD
Tarmo Koppel, PhD candidate
Mikko Ahonen, PhD
SUU, Alm.del - 2017-18 - Bilag 294: Præsentationer fra Sundheds- og Ældreudvalgets høring om stråling fra mobiltelefoni, trådløse netværk og anden ikke-ioniserende stråling den 12. april 2018
1882665_0002.png
The Environment and Cancer
Research Foundation
wants to
promote scientific research on the
association between the environment
and cancer and other chronic
diseases.
Lennart Hardell, Senior consultant, cancer physician
[email protected]
Lena Hedendahl, General practitioner
[email protected]
Mikael Eriksson, Senior consultant, cancer physician
[email protected]
Michael Carlberg, Statistician
[email protected]
All members of the board of
The Environment and Cancer Research
Foundation,
Örebro, Sweden
www.environmentandcancer.com
SUU, Alm.del - 2017-18 - Bilag 294: Præsentationer fra Sundheds- og Ældreudvalgets høring om stråling fra mobiltelefoni, trådløse netværk og anden ikke-ioniserende stråling den 12. april 2018
1882665_0003.png
Access to mobile phone
Source: International Telecommunication Union; ICT Fact and Figures 2016
SUU, Alm.del - 2017-18 - Bilag 294: Præsentationer fra Sundheds- og Ældreudvalgets høring om stråling fra mobiltelefoni, trådløse netværk og anden ikke-ioniserende stråling den 12. april 2018
1882665_0004.png
(1) Strength
Glioma
Ca/Co
Interphone 2010
Cumulative use ≥1,640 h
Coureau et al 2014
Cumulative use >896 h
Hardell, Carlberg 2015
Cumulative use ≥1,640 h
Turner et al 2016
(Interphone)
Cumulative use ≥1,640 h
Meta-analysis*
Cumulative use ≥1,640 h**
210/154
24/22
211/301
59/46
445/477
OR
1.40
2.89
2.13
2.82
1.90
95 % CI
1.03 – 1.89
1.41 – 5.93
1.61 – 2.82
1.09 – 7.32
1.31 – 2.76
*Based on Interphone, Coureau et al, Hardell, Carlberg.
**≥896 h used for Coureau et al.
Random-effects model used for all meta-analyses, based on test for heterogeneity in the
overall group (“All mobile”).
SUU, Alm.del - 2017-18 - Bilag 294: Præsentationer fra Sundheds- og Ældreudvalgets høring om stråling fra mobiltelefoni, trådløse netværk og anden ikke-ioniserende stråling den 12. april 2018
1882665_0005.png
(5) Biological gradient
Cumulative number of hours for use of wireless phone and
glioma risk.
The solid line indicates the OR estimate and the
broken lines represent the 95 % CI. Adjustment was made
for age at diagnosis, gender, socio-economic index (SEI)
and year for diagnosis. Population based controls were
used.
Hardell, Carlberg (2015)
SUU, Alm.del - 2017-18 - Bilag 294: Præsentationer fra Sundheds- og Ældreudvalgets høring om stråling fra mobiltelefoni, trådløse netværk og anden ikke-ioniserende stråling den 12. april 2018
1882665_0006.png
(3) Specificity
Regions of brain that absorb the highest wireless phone radiation (e.g., temporal lobe)
have the highest risk.
Interphone 2010
Coureau et al
2014
142/270 1.24
(0.86 – 1.77)
7/5*
3.94
(0.81 – 19.08)
Hardell, Carlberg
2015
945/2,148 1.31
(1.09 – 1.58)
59/301
2.05
(1.36 – 3.10)
All
-Temporal lobe,
≥1,640 h
1,666/1,894 0.81
(0.70 – 0.94)
78/47
1.87
(1.09 – 3.22)
*≥896 h
SUU, Alm.del - 2017-18 - Bilag 294: Præsentationer fra Sundheds- og Ældreudvalgets høring om stråling fra mobiltelefoni, trådløse netværk og anden ikke-ioniserende stråling den 12. april 2018
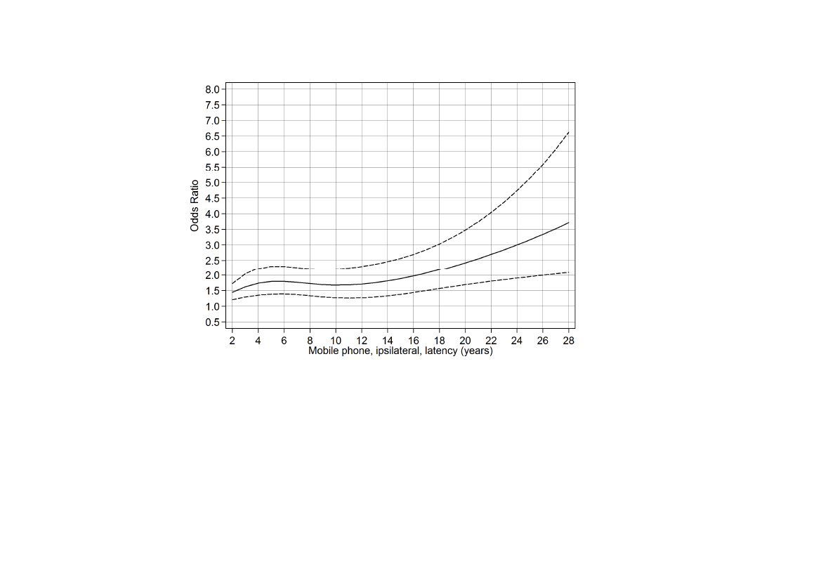
1882665_0007.png
Restricted cubic spline plot of the relationship between
latency of ipsilateral mobile phone use and glioma. The
solid line indicates the OR estimate and the broken
lines represent the 95 % CI. Adjustment was made for
age at diagnosis, gender, socio-economic index (SEI)
and year for diagnosis. Population based controls were
used.
Hardell, Carlberg (2015)
SUU, Alm.del - 2017-18 - Bilag 294: Præsentationer fra Sundheds- og Ældreudvalgets høring om stråling fra mobiltelefoni, trådløse netværk og anden ikke-ioniserende stråling den 12. april 2018
1882665_0008.png
Increased risk for shorter survival (Carlberg, Hardell 2014)
Mobile phone
n, exp HR
95 % CI
Glioblastoma
multiforme (n=926)
Age, first use
< 20 years old
20-49 years old
≥ 50 years old
Cordless phone
n, exp HR
95 % CI
Wireless phone
n, exp HR
95 % CI
10 2.24
296 1.24
226 1.11
1.04 – 4.85
0.98 – 1.58
0.91 – 1.36
6 1.78
177 1.31
232 1.09
0.68– 4.67
1.001 – 1.72
0.88 – 1.34
11 2.27
328 1.23
279 1.14
1.10 – 4.71
0.99 – 1.53
0.95 – 1.37
SUU, Alm.del - 2017-18 - Bilag 294: Præsentationer fra Sundheds- og Ældreudvalgets høring om stråling fra mobiltelefoni, trådløse netværk og anden ikke-ioniserende stråling den 12. april 2018
1882665_0009.png
SUU, Alm.del - 2017-18 - Bilag 294: Præsentationer fra Sundheds- og Ældreudvalgets høring om stråling fra mobiltelefoni, trådløse netværk og anden ikke-ioniserende stråling den 12. april 2018
1882665_0010.png
Ramazzini Institute Rat Study
Glial cells hyperplasia + glia malignant tumor V/m
SUU, Alm.del - 2017-18 - Bilag 294: Præsentationer fra Sundheds- og Ældreudvalgets høring om stråling fra mobiltelefoni, trådløse netværk og anden ikke-ioniserende stråling den 12. april 2018
1882665_0011.png
Joinpoint regression analysis of number of patients per 100,000 inhabitants according
to the Swedish National Inpatient Register for both genders combined, all ages during
1998-2013 diagnosed with D43 = tumour of unknown type in the brain or CNS
1998-2015*
-1998-2007**
-2007-2015**
Change/year
(%)
+2.06
+0.16
+4.24
95 % CI
+1.27, +2.86
-0.94, +1.28
+2.87, +5.63
*AAPC (Average Annual Percent Change); **APC (Annual Percent Change)
SUU, Alm.del - 2017-18 - Bilag 294: Præsentationer fra Sundheds- og Ældreudvalgets høring om stråling fra mobiltelefoni, trådløse netværk og anden ikke-ioniserende stråling den 12. april 2018
1882665_0012.png
SUU, Alm.del - 2017-18 - Bilag 294: Præsentationer fra Sundheds- og Ældreudvalgets høring om stråling fra mobiltelefoni, trådløse netværk og anden ikke-ioniserende stråling den 12. april 2018
1882665_0013.png
Use of mobile phones and acoustic neuroma risk, meta-analysis of Hardell et al (1997-2009)
and Interphone (2000-2004).
Hardell et al
1997-2009
Ca/Co
OR, CI
Cumulative use
1640 h
-all
-ipsilateral
-contralateral
27/301
19/133
8/105
2.40
(1.39-4.16)
3.18
(1.65-6.12)
1.54
(0.63-3.76)
Interphone
2000-2004
Ca/Co
OR, CI
77/107
47/46
16/26
1.32
(0.88-1.97)
2.33
(1.23-4.40)
0.72
(0.34-1.53)
Meta-analysis
Ca/Co
OR, CI
104/408 1.63
(1.18-2.25)
66/179 2.71
(1.72-4.28)
24/131 0.99
(0.56-1.75)
Random-effects model used for all meta-analyses of latency
10 years and fixed-effects model used for all
meta-analyses of cumulative use
1640 h, based on test for heterogeneity in the overall (≥10 years and
≥1640
hours) groups.
SUU, Alm.del - 2017-18 - Bilag 294: Præsentationer fra Sundheds- og Ældreudvalgets høring om stråling fra mobiltelefoni, trådløse netværk og anden ikke-ioniserende stråling den 12. april 2018
1882665_0014.png
SUU, Alm.del - 2017-18 - Bilag 294: Præsentationer fra Sundheds- og Ældreudvalgets høring om stråling fra mobiltelefoni, trådløse netværk og anden ikke-ioniserende stråling den 12. april 2018
1882665_0015.png
Ramazzini Institute Rat Study
Hyperplasia Schwan cells + total Schwannoma
V/m
SUU, Alm.del - 2017-18 - Bilag 294: Præsentationer fra Sundheds- og Ældreudvalgets høring om stråling fra mobiltelefoni, trådløse netværk og anden ikke-ioniserende stråling den 12. april 2018
1882665_0016.png
Jämförelse: Far field - Basstation exponering,
1.8 GHz
ICNIRP Reference
level ’guideline’
- in use in Nordic
countries
58 V/m
Russia, Switzerland,
Italy -
Ramazzini
Institute study,
Falcioni
et al.
(2018)
Schwann cell tumors
0/5/20/50 V/m
Stockholm
T-Centralen
(Hardell
et al.
2016)
> 6 V/m
(dosimeter limit)
Pacemakers
tested till
(EMI/EMC)
(IEC 61000-4-3)
3 V/m
6 V/m
Falcioni, L., Bua, L., Tibaldi, E., Lauriola, M., De Angelis, L., Gnudi, F., … Belpoggi, F. (2018).
Report of final results regarding brain and heart tumors in Sprague-Dawley rats exposed
from prenatal life until natural death to mobile phone radiofrequency field representative
of a 1.8 GHz GSM base station environmental emission.
Environmental Research.
https://doi.org/10.1016/j.envres.2018.01.037
Note: In the Ramazzini-study there was only one antenna, while normally close to base station humans
are exposed to several antennas. Effects can not be directly extrapolated from animals to humans.
SUU, Alm.del - 2017-18 - Bilag 294: Præsentationer fra Sundheds- og Ældreudvalgets høring om stråling fra mobiltelefoni, trådløse netværk og anden ikke-ioniserende stråling den 12. april 2018
1882665_0017.png
Base station
installationer --
Strengths
skolor och dagis
Field
> Höga RF-nivåer nära
Riskfulla
12 V/m
44 V/m
21 V/m
3,2 V/m
( 3 V/m <> 23872 µW/m
2
, bilder från Åbo, Hagström & Ekman)
Meter: Narda
NBM 550
SUU, Alm.del - 2017-18 - Bilag 294: Præsentationer fra Sundheds- og Ældreudvalgets høring om stråling fra mobiltelefoni, trådløse netværk og anden ikke-ioniserende stråling den 12. april 2018
1882665_0018.png
Near Field –exposure - Mobile phone related SAR
Higher exposures allowed in Europe than in U.S -> 1 g versus 10 g
Region / Country
Europe
-- Reference to --
SAR measuremant protocol
European Specification
ES 59005 (1998)
Federal Communications
Commission (FCC)
Guidelines (FCC 1997)
Reference to SAR limit
ICNIRP Guidelines 1998
(ICNIRP 1998)
American Standard ANSI
C95.1 (ANSI 1992)
Limit
2.0 W/Kg in 10g of tissue
US
1.6 W/Kg in 1g of tissue
Compare this to National Toxicology Program (NTP) Exposure levels & outcome:
Exposure classes:
0
2 W/kg
4 W/kg
6 W/kg
Heart: Schwannoma --> Clear evidence
Brain: Glioma some --> Some evidence
Adrenal Medulla --> Some evidence
Outcomes:
Notes: A) Non-linear effects were considered in the NTP review.
B) AC & DC magnetic field exposure of a mobile phone missing from NTP-study,
can not be directly compared to human mobile phone use.
SUU, Alm.del - 2017-18 - Bilag 294: Præsentationer fra Sundheds- og Ældreudvalgets høring om stråling fra mobiltelefoni, trådløse netværk og anden ikke-ioniserende stråling den 12. april 2018
1882665_0019.png
Läkare Marc Arazi, #Phonegate,
http://arazi.fr/wp2/
Även 3-gånger över
gränsvärdet, när
testat mot kroppen!
Så, är NTP SAR-
nivåer faktiskt
realistiska?
SUU, Alm.del - 2017-18 - Bilag 294: Præsentationer fra Sundheds- og Ældreudvalgets høring om stråling fra mobiltelefoni, trådløse netværk og anden ikke-ioniserende stråling den 12. april 2018
1882665_0020.png
Rat brain cells exposed to radiofrequency
radiation (0.6 W/kg, 45 min)
DNA
fragment
SUU, Alm.del - 2017-18 - Bilag 294: Præsentationer fra Sundheds- og Ældreudvalgets høring om stråling fra mobiltelefoni, trådløse netværk og anden ikke-ioniserende stråling den 12. april 2018
1882665_0021.png
SUU, Alm.del - 2017-18 - Bilag 294: Præsentationer fra Sundheds- og Ældreudvalgets høring om stråling fra mobiltelefoni, trådløse netværk og anden ikke-ioniserende stråling den 12. april 2018
1882665_0022.png
Experiment
Prevention
SUU, Alm.del - 2017-18 - Bilag 294: Præsentationer fra Sundheds- og Ældreudvalgets høring om stråling fra mobiltelefoni, trådløse netværk og anden ikke-ioniserende stråling den 12. april 2018
1882665_0023.png
SUU, Alm.del - 2017-18 - Bilag 294: Præsentationer fra Sundheds- og Ældreudvalgets høring om stråling fra mobiltelefoni, trådløse netværk og anden ikke-ioniserende stråling den 12. april 2018
Conclusion
Increased risk for glioma (”brain cancer”) and acoustic
neuroma
Higher risk for tumour on the same side of the brain as
the wireless phone has been used (ipsilateral) and in the
temporal lobe
Highest risk (odds ratio) in persons with first use of the
wireless phone before the age of 20 years
Shorter survival in persons with glioblastoma multiforme
and use of wireless phones
SUU, Alm.del - 2017-18 - Bilag 294: Præsentationer fra Sundheds- og Ældreudvalgets høring om stråling fra mobiltelefoni, trådløse netværk og anden ikke-ioniserende stråling den 12. april 2018
Glioma and acoustic neuroma are caused by RF-EMF emissions from wireless phones
IARC Preamble:
Group 1: The agent is
carcinogenic to humans.
This category is used when there is
sufficient evidence of carcinogenicity
in humans.
Exceptionally, an agent may be placed in this category when evidence of
carcinogenicity in humans is less than
sufficient
but there is
sufficient evidence of
carcinogenicity
in experimental animals and strong evidence in exposed humans that
the agent acts through a relevant mechanism of carcinogenicity.
SUU, Alm.del - 2017-18 - Bilag 294: Præsentationer fra Sundheds- og Ældreudvalgets høring om stråling fra mobiltelefoni, trådløse netværk og anden ikke-ioniserende stråling den 12. april 2018
1882665_0026.png
Table 1. Clinical symptom occurrence in EHS patients.
EHS
88 %
82 %
48 %
30 %
70 %
60 %
40 %
70 %
42 %
76 %
70 %
4%
Headache
Dysesthesia
Myalgia
Arthralgia
Ear heat/otalgia
Tinnitus
Hyperacousis
Dizziness
Balance disorder
Concentration/Attention deficiency
Loss of immediate memory
Confusion
SUU, Alm.del - 2017-18 - Bilag 294: Præsentationer fra Sundheds- og Ældreudvalgets høring om stråling fra mobiltelefoni, trådløse netværk og anden ikke-ioniserende stråling den 12. april 2018
1882665_0027.png
Table 1. Clinical symptom occurrence in EHS patients.
Fatigue
Insomnia
Depression tendency
Suicidal ideation
Transitory cardiovascular
abnormalities
Occular deficiency
Anxiety/Panic
Emotivity
Irritability
Skin lesions
Global body dysthermia
EHS
88 %
74 %
60 %
20 %
50 %
48 %
38 %
20 %
24 %
16 %
14 %
SUU, Alm.del - 2017-18 - Bilag 294: Præsentationer fra Sundheds- og Ældreudvalgets høring om stråling fra mobiltelefoni, trådløse netværk og anden ikke-ioniserende stråling den 12. april 2018
1882665_0028.png
Environmental exposure
SUU, Alm.del - 2017-18 - Bilag 294: Præsentationer fra Sundheds- og Ældreudvalgets høring om stråling fra mobiltelefoni, trådløse netværk og anden ikke-ioniserende stråling den 12. april 2018
1882665_0029.png
Exposure to radiofrequency radiation
(Hardell et al 2017)
SUU, Alm.del - 2017-18 - Bilag 294: Præsentationer fra Sundheds- og Ældreudvalgets høring om stråling fra mobiltelefoni, trådløse netværk og anden ikke-ioniserende stråling den 12. april 2018
1882665_0030.png
Exposure to radiofrequency radiation excluding base stations
(Hardell et al 2017)
Stockholm Old Town, Järntorget. Total radiofrequency field exposure
excluding downloads from base stations over time of one typical
exposure round (22 April, 2016; time, 12:11:24-12:17:56).
SUU, Alm.del - 2017-18 - Bilag 294: Præsentationer fra Sundheds- og Ældreudvalgets høring om stråling fra mobiltelefoni, trådløse netværk og anden ikke-ioniserende stråling den 12. april 2018
1882665_0031.png
Figure 4. Group of base stations located 6 m from balcony outside tower. Photo taken from
the balcony.
SUU, Alm.del - 2017-18 - Bilag 294: Præsentationer fra Sundheds- og Ældreudvalgets høring om stråling fra mobiltelefoni, trådløse netværk og anden ikke-ioniserende stråling den 12. april 2018
1882665_0032.png
Exposure to radiofrequency radiation
(Hardell et al 2018)
Figure 3. Time variation of measurements in boy’s bedroom (apartment at Östermalm,
Stockholm) from the afternoon until early next morning, µW/m
2
, logarithmic scale. The
spikes represent different measurements performed each 4
th
second.
SUU, Alm.del - 2017-18 - Bilag 294: Præsentationer fra Sundheds- og Ældreudvalgets høring om stråling fra mobiltelefoni, trådløse netværk og anden ikke-ioniserende stråling den 12. april 2018
1882665_0033.png
Exposure to radiofrequency radiation excluding base stations
(Hardell et al 2018)
Time variation of measurements in boy's bedroom (apartment at
Östermalm, Stockholm) from the afternoon until early next morning
excluding downloads from base stations.
SUU, Alm.del - 2017-18 - Bilag 294: Præsentationer fra Sundheds- og Ældreudvalgets høring om stråling fra mobiltelefoni, trådløse netværk og anden ikke-ioniserende stråling den 12. april 2018
1882665_0034.png
WHO Radio Frequency fields: Environmental Health Criteria
Monograph
Expected to be published 2012
Draft 2014
Final document still not published (2018)
Members of WHO Monograph core group and their
involvement in different other groups.
Name
Simon Mann
Maria Feychting
Gunnhild Oftedal
Eric van Rongen
Maria Rosaria Scarfi
Denis Zmirou
WHO
X
X
X
X
X
X
ICNIRP
X
X
X
X
X*
UK/AGNIR
X
X
SSM
X*
X
X
SCENIHR
X
*former
WHO: World Health Organization
ICNIRP: International Commission on Non-Ionizing Radiation Protection
AGNIR: Advisory Group on Non-Ionising Radiation
SSM: Strålsäkerhetsmyndigheten (Swedish Radiation Safety Authority)
SCENIHR: Scientific Committee on Emerging and Newly Identified Health Risks
SUU, Alm.del - 2017-18 - Bilag 294: Præsentationer fra Sundheds- og Ældreudvalgets høring om stråling fra mobiltelefoni, trådløse netværk og anden ikke-ioniserende stråling den 12. april 2018
1882665_0035.png
SUU, Alm.del - 2017-18 - Bilag 294: Præsentationer fra Sundheds- og Ældreudvalgets høring om stråling fra mobiltelefoni, trådløse netværk og anden ikke-ioniserende stråling den 12. april 2018
1882665_0036.png
Exposure to RF radiation within the WHO building in Geneva
World Health Organization, 20 Avenue Appia, CH-1211 Geneva 27, Switzerland. Total RF field
exposure (µW/m
2
, mean exposure = 21.5 µW/m
2
, logarithmic scale) over time of one exposure
round, March 3, 2017 time 13:57:53 – 15:58:31. The horizontal red line represents the LOEL
exposure limit of 30 μW/m
2
suggested by the Bioinitiative Report.
SUU, Alm.del - 2017-18 - Bilag 294: Præsentationer fra Sundheds- og Ældreudvalgets høring om stråling fra mobiltelefoni, trådløse netværk og anden ikke-ioniserende stråling den 12. april 2018
1882665_0037.png
5G Appeal
Scientist Appeal for 5G Moratorium
Scientists and doctors warn of potential serious health effects
of 5G
September 13, 2017
We the undersigned, more than 180 scientists and doctors from 36
countries, recommend a moratorium on the roll-out of the fifth generation,
5G, for telecommunication until potential hazards for human health and the
environment have been fully investigated by scientists independent from
industry. 5G will substantially increase exposure to radiofrequency
electromagnetic fields (RF-EMF) on top of the 2G, 3G, 4G, Wi-Fi, etc. for
telecommunications already in place. RF-EMF has been proven to be
harmful for hu-mans and the environment.
http://www.environmentandcancer.com
SUU, Alm.del - 2017-18 - Bilag 294: Præsentationer fra Sundheds- og Ældreudvalgets høring om stråling fra mobiltelefoni, trådløse netværk og anden ikke-ioniserende stråling den 12. april 2018
1882665_0038.png
SUU, Alm.del - 2017-18 - Bilag 294: Præsentationer fra Sundheds- og Ældreudvalgets høring om stråling fra mobiltelefoni, trådløse netværk og anden ikke-ioniserende stråling den 12. april 2018
Conclusion
-We are not protected
-The environment is not protected
-No longer a scientific issue
-Time for politicians and decision makers to act