Skatteudvalget 2017-18
SAU Alm.del Bilag 276
Offentligt
1937057_0001.png
Fremdriftsrapport på
handlingsplanen for
implementeringen af
verdensmålene
Juni 2018
SAU, Alm.del - 2017-18 - Bilag 276: Fremdriftsrapport på handlingsplanen for implementeringen af verdensmålene 2018, fra Finansministeriet
1937057_0002.png
 
Fremdriftsrapport på handlingsplanen for
implementeringen af verdensmålene
I tabeller kan afrunding medføre,
at tallene ikke summer til totalen.
Denne publikation er udarbejdet af
Finansministeriet
3. kontor
Christiansborg Slotsplads 1
1218 København K
Telefon 33 92 33 33
Elektronisk publikation:
ISBN: 978-87-93531-45-1
Publikationen kan hentes på
Finansministeriets hjemmeside
fm.dk
SAU, Alm.del - 2017-18 - Bilag 276: Fremdriftsrapport på handlingsplanen for implementeringen af verdensmålene 2018, fra Finansministeriet
1937057_0003.png
Side 3 af 58
Forord
Implementeringen af verdensmålene.
I september 2015 vedtog verdens ledere under dansk formandskab 2030-
dagsordenen for bæredygtig udvikling og de 17 verdensmål. Det er en transfor-
mativ dagsorden med en vision om en verden i balance – økonomisk, socialt, og
miljømæssigt - uden fattigdom og med bæredygtig udvikling, hvor kommende
generationer skal have mindst lige så gode muligheder for et godt liv, som vi har i
dag. Og det er et løfte om ’ikke at lade nogen tilbage’ (”Leave no one behind”).
Den ambitiøse dagsorden kan kun indfries, hvis alle bidrager. Regeringen er fast
besluttet på at tage sin del af ansvaret for implementeringen af verdensmålene.
Med finansloven for 2018 styrker regeringen derfor en række indsatser, som bi-
drager til implementeringen af verdensmålene i Danmark. Det gælder fx:
En styrkelse af sundhedsområdet med ca. 2 mia. kr. i perioden 2018-2021
(verdensmål 3 om sundhed og trivsel).
Grøn naturpulje med 21 mio. kr. årligt i perioden 2018-2021 (verdensmål 15
om livet på land).
Regeringen har derudover indgået en række aftaler med øvrige partier i Folketin-
get, som bidrager til implementeringen af verdensmålene. Det gælder fx den nye
forberedende grunduddannelse (verdensmål 4 om kvalitetsuddannelse), og afta-
len om satspulje 2018, hvor der i perioden 2018-2021 afsættes i alt ca. 3,2 mia. kr.
til at forbedre vilkårene for udsatte grupper mv. (bl.a. verdensmål 5 og 10 om
hhv. ligestilling og ulighed).
Regeringen har lanceret et energiudspil, som anviser vejen til opfyldelse af rege-
ringens mål om mindst 50 pct. vedvarende energi i 2030. Regeringen vil med
dette udspil vise, at det er muligt at tilrettelægge en omkostningseffektiv energi-
politik, hvor indsatsen i forhold til miljø og klima går hånd i hånd med hensynet
til vækst, konkurrenceevne og beskæftigelse (verdensmål 7 og 13 om hhv. bære-
dygtig energi og klimaindsats). Regeringen prioriterer konkrete indsatser for i alt
ca. 15 mia. kr.
Regeringen tager også ansvar internationalt. Der er på finansloven for 2018 afsat
15,9 mia. kr. i udviklingsbistand, herunder 700 millioner kroner i støtte til multi-
laterale indsatser for kvinders seksuelle og reproduktive sundhed og rettigheder.
Danmark er fortsat blandt de få lande, der i OECD’s opgørelse lever op til FN’s
målsætning om 0,7 pct. af BNI i udviklingsbistand (foreløbigt 0,72 pct. af BNI i
2017). Regeringen har også sat sig i spidsen for initiativet P4G (Partnering for
Green Growth and the Global Goals), som udbreder grønne løsninger globalt.
Fremdriftsrapporten er den første opfølgning på målsætningerne i regeringens
handlingsplan for implementeringen af verdensmålene.
SAU, Alm.del - 2017-18 - Bilag 276: Fremdriftsrapport på handlingsplanen for implementeringen af verdensmålene 2018, fra Finansministeriet
1937057_0004.png
Side 4 af 58
SAU, Alm.del - 2017-18 - Bilag 276: Fremdriftsrapport på handlingsplanen for implementeringen af verdensmålene 2018, fra Finansministeriet
1937057_0005.png
Side 5 af 58
Målsætning 1
Den økonomiske vækst i Danmark skal øges.
Indikator. BNP-bidrag af nye tiltag.
Regeringen har fremlagt en samlet målsætning om at øge den strukturelle be-
skæftigelse med 55-60.000 personer og løfte velstanden (målt ved BNP) med i alt
80 mia. kr. frem mod 2025.
Siden regeringsskiftet i juni 2015 er der gennemført en række initiativer, der øger
velstanden (BNP) gennem højere strukturel beskæftigelse og øget produktivitet. I
alt vurderes de gennemførte initiativer siden regeringsskiftet i juni 2015 at løfte
strukturelt BNP i 2025 med ca. 11 mia. kr.,
jf. figur 1.
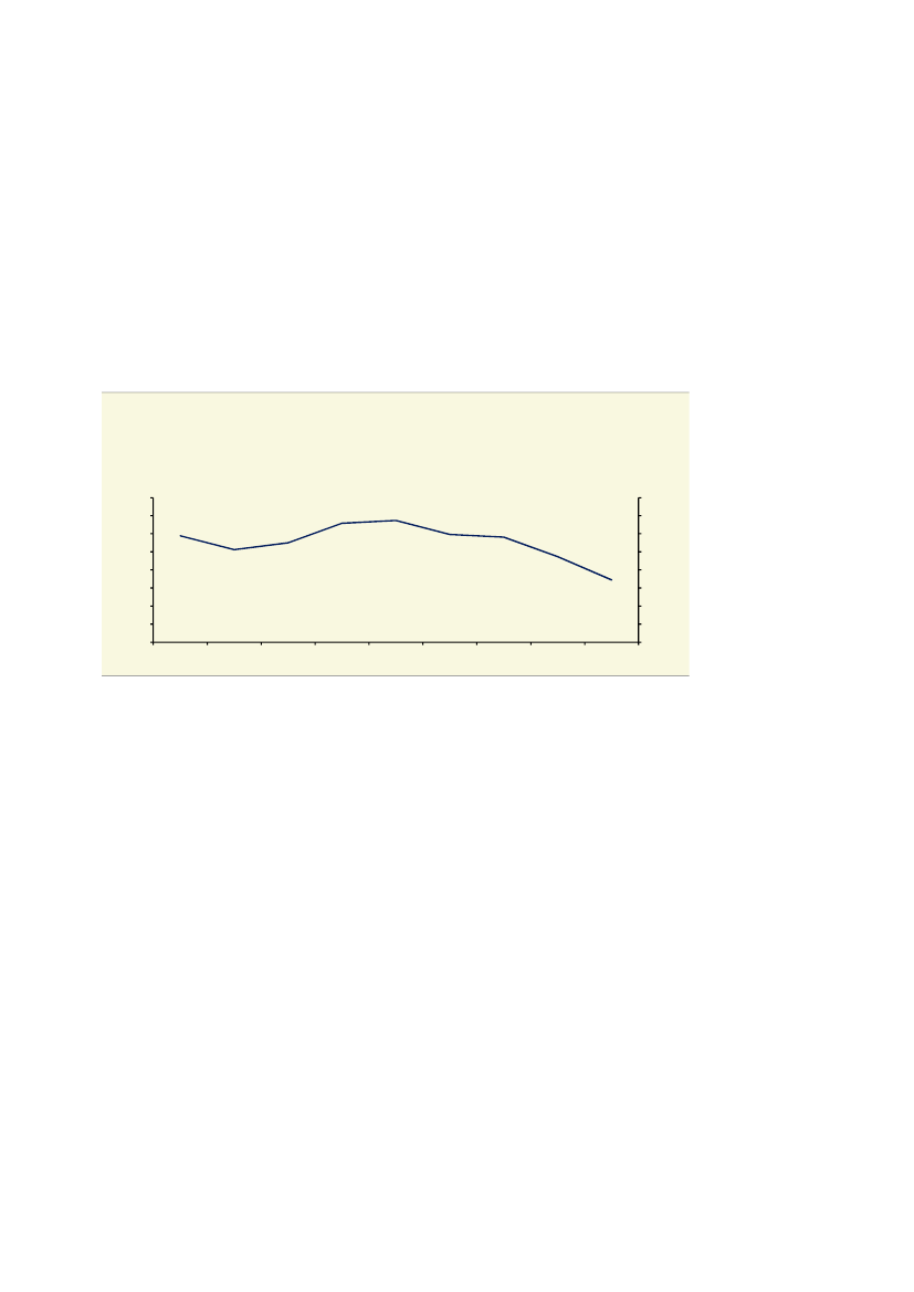
Figur 1
Øget BNP gennem højere beskæftigelse og produktivitet i 2025
Mia. kr.
12
10
8
8
6
4
2
0
Arbejdsudbud
Produktivitet
Samlet
1
/
4
Mia. kr.
11 mia. kr.
12
10
mia. kr.
8
6
4
2
0
2
3
/
4
mia. kr.
Anm.: Figuren viser effekter af gennemførte initiativer siden juni 2015.
Kilde: Finansministeriet.
Den strukturelle beskæftigelse er øget med knap 3.500 fuldtidspersoner, hvilket
bidrager til et løft i BNP svarende til 2¾ mia. kr. Ligeledes er der gennemført en
række initiativer, der øger produktiviteten svarende til 8¼ mia. kr. i 2025 gennem
styrkede rammevilkår for erhvervslivet.
Målsætningen bidrager til verdensmål 8 om anstændige jobs og bæredygtig øko-
nomisk vækst.
SAU, Alm.del - 2017-18 - Bilag 276: Fremdriftsrapport på handlingsplanen for implementeringen af verdensmålene 2018, fra Finansministeriet
1937057_0006.png
Side 6 af 58
Målsætning 2
Beskæftigelsen i hele Danmark skal styrkes.
Indikator. Beskæftigelsesbidrag af nye tiltag.
Den strukturelle beskæftigelse er øget med knap 3.500 fuldtidspersoner siden
juni 2015,
jf. figur 2.
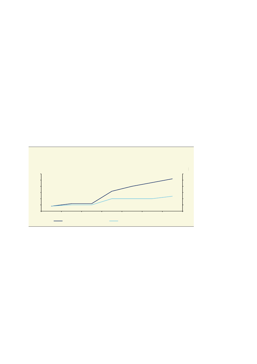
Figur 2
Beskæftigelsesbidrag af nye tiltag
Fuldtidspersoner
4.000
3.460
3.500
3.000
2.500
2.000
1.500
1.000
500
-
3.500
3.000
2.500
2.000
1.500
1.000
500
-
Fuldtidspersoner
4.000
Anm.: Figuren viser effekten af gennemførte initiativer siden juni 2015.
Kilde: Finansministeriet.
Den positive udvikling i den strukturelle beskæftigelse skal blandt andet ses i
sammenhæng med skatteaftalen fra 2018, aftalen om flere år på arbejdsmarkedet,
indførelse af kontanthjælpsloft og integrationsydelse samt de gennemførte ned-
sættelser af registreringsafgiften.
Endvidere er der gennemført initiativer, der skal øge flygtninges tilknytning til
arbejdsmarkedet, herunder at flygtninge nu i udgangspunktet mødes som jobpa-
rate i beskæftigelsessystemet og den nye integrationsgrunduddannelse (IGU).
Regeringen har indført en ny ferielov, som isoleret set trækker i retning af et
mindre arbejdsudbud, men som giver nye på arbejdsmarkedet ret til at holde
ferie allerede i det første år.
Målsætningen bidrager til verdensmål 8 om anstændige jobs og bæredygtig øko-
nomisk vækst.
SAU, Alm.del - 2017-18 - Bilag 276: Fremdriftsrapport på handlingsplanen for implementeringen af verdensmålene 2018, fra Finansministeriet
1937057_0007.png
Side 7 af 58
Målsætning 3
Rammevilkårene for erhvervslivet (herunder for iværksættere) skal styrkes,
så det bliver billigere og nemmere at drive virksomhed ved blandt andet at
sikre konkurrencedygtig erhvervsbeskatning, forenkle regler og forbedre
infrastruktur.
Indikator. Lettelse af erhvervsøkonomiske byrder for erhvervslivet.
Regeringen har siden juni 2015 lettet de erhvervsøkonomiske byrder med ca. 1,3
mia. kr.,
jf. figur 3.
Lettelserne omfatter både administrative byrdelettelser og øv-
rige efterlevelseskonsekvenser. Der er tale om en nettoopgørelse.
Figur 3
Lettelse af erhvervsøkonomiske byrder siden 2015
Mio. kr.
1.400
1.200
1.000
800
600
400
200
0
1.314
Mio. kr.
1.400
1.200
1.000
800
600
400
200
0
Anm.: Definitionen af erhvervsøkonomiske byrder følger af Vejledningen for erhvervsøkonomiske
konsekvensvurderinger. Figuren viser effekten af gennemførte initiativer siden juni 2015.
Kilde: Erhvervsministeriet (Redegørelse
for erhvervslivet og reguleringen 2017).
Regeringen vil give virksomhederne tryghed for, at de ikke bliver pålagt nye øko-
nomiske byrder, som belaster konkurrenceevnen. Derfor er der indført et byrde-
stop. Byrdestoppet indebærer, at der ikke indføres ny lovgivning mv. med er-
hvervsøkonomiske byrder, medmindre tvingende grunde taler herfor. Regeringen
vil udover byrdestoppet lette erhvervslivets byrder fra regulering med 4 mia. kr.
fra 2015 til 2020 og i alt 6 mia. kr. frem mod 2025. Undtaget fra den yderligere
lettelse frem mod 2025 er byrder som følge af EU-regulering. For at sikre at mål-
sætningen realiseres er der nedsat et ministerudvalg for bedre erhvervsregulering.
Målsætningen bidrager til verdensmål 8 om anstændige jobs og bæredygtig øko-
nomisk vækst samt verdensmål 9 om industri, innovation og infrastruktur.
SAU, Alm.del - 2017-18 - Bilag 276: Fremdriftsrapport på handlingsplanen for implementeringen af verdensmålene 2018, fra Finansministeriet
1937057_0008.png
Side 8 af 58
Målsætning 4
Forskningsmiljøerne skal styrkes og levere løsninger, der bliver solgt på
markederne.
Indikator. Forskning på 1 pct. af BNP.
Danmark er en af de mest ambitiøse forskningsnationer i verden, ligesom Dan-
mark er det land i OECD, der udfører mest offentlig forskning i pct. af BNP.
Siden globaliseringsforliget i 2006 er der sket en forøgelse af det offentlige forsk-
ningsbudget fra ca. 15 mia. kr. til 22,2 mia. kr. på finansloven for 2018,
jf. figur 4.
Figur 4
Det samlede offentlige forskningsbudget, 2006-2018
Mia. kr.
30
25
20
15
10
5
0
2006
2007
2008
2009
2010
2011
2012
2013
2014
2015
2016
2017
2018
Pct.
1,2
1,0
0,8
0,6
0,4
0,2
0,0
Offentligt forskningsbudget i alt
Pct. af BNP (h. akse)
Kilde: Finansloven for 2018, ministeriernes indberetninger, EU’s financial programming, Danmarks
Grundforskningsfonds årsrapporter for 2016 og 2017, Økonomisk Redegørelse fra hhv.
december 2016 (BNP i 2017) og december 2017 (BNP i 2018), Danmarks Statistik og
Finansministeriets egne beregninger.
Med strategien “Danmark – klar til fremtiden” opstiller regeringen to overord-
nede mål: 1) Dansk forskning skal være af højeste international kvalitet og 2)
Forskningen skal gøre mest muligt gavn i samfundet. For hvert af målene er der
opstillet en række pejlemærker for fremtidens forskning og innovation.
Målsætningen bidrager til verdensmål 9 om industri, innovation og infrastruktur.
SAU, Alm.del - 2017-18 - Bilag 276: Fremdriftsrapport på handlingsplanen for implementeringen af verdensmålene 2018, fra Finansministeriet
1937057_0009.png
Side 9 af 58
Målsætning 5
At sikre et effektivt skattesystem og skattepolitik, der giver incitament til
at arbejde og forbedre familiernes økonomi, og som er mere enkelt og
konkurrencedygtigt for erhvervslivet.
Indikator. Samlede skatte- og afgiftslempelser.
Det står centralt for regeringen, at det skal være billigere at være dansker og billi-
gere at drive virksomhed. Derfor har den førte skattepolitik haft fokus på at sikre
danske husholdninger og virksomheder lavere skatter og afgifter.
Siden regeringsskiftet i juni 2015 skønnes skattepolitikken at have medført, at
skatter og afgifter umiddelbart bliver lempet (netto) for ca. 23,4 mia. kr. frem
mod i 2025. Efter tilbageløb og adfærd skønnes skatter og afgifter lempet (netto)
med ca. 15,7 mia. kr. frem mod 2025,
jf. figur 5. Aftalen om lavere skat på arbejdsind-
komst og større fradrag for pensionsindbetalinger
fra februar 2018 indebærer den største
enkeltstående skattelempelse.
Figur 5
Samlede skatte- og afgiftslempelser stigende til 15,7 mia. kr. i 2025
2,9
4,1
2,0
1,4
0,3
Tryghed om boligbeskatningen
Lavere skat på arbejde og nyt pensionsfradrag
Afskaffelse af PSO-afgiften
5,0
Erhvervs- og iværksætterinitiativer
Omlægning og lempelser af bilbeskatningen
Øvrige initiativer, herunder FL16, FL17 og FL18 mv.
Anm: Skatte- og afgiftslempelserne er opgjort i umiddelbar virkning. Finansiering i form af skatteforhø-
jelser er fratrukket i opgørelsen. Opgørelsen er udtryk for en opregning til 2018-niveau af tidlige-
re skønnede provenuprofiler i forbindelse med indgåede aftaler eller fremsatte lovforslag. Lem-
pelsen opgjort i varig virkning og efter tilbageløb og adfærd skønnes at udgøre ca. 12,7 mia. kr.,
navnlig fordi
Forliget om tryghed om boligbeskatningen
fra maj 2017 skønnes at indebære en begrænset
skattelettelse i varig virkning.
Kilde: Skatteministeriet.
Målsætningen bidrager til verdensmål 8 om anstændige jobs og bæredygtig øko-
nomisk vækst.
SAU, Alm.del - 2017-18 - Bilag 276: Fremdriftsrapport på handlingsplanen for implementeringen af verdensmålene 2018, fra Finansministeriet
1937057_0010.png
Side 10 af 58
Målsætning 6
Flere flygtninge skal i arbejde.
Indikator. Beskæftigelsesfrekvens for flygtninge og familiesammenførte til flygtninge.
Andelen af 21-64-årige flygtninge og familiesammenførte til flygtninge med tre
års ophold, der er i lønmodtagerbeskæftigelse, er steget markant siden 2015: Fra
20 pct. i 4. kvartal 2015 til 38 pct. i 4. kvartal 2017,
jf. figur 6.
Figur 6
Andel af flygtninge og familiesamenførte i arbejde efter 3 år i Danmark, 4. kvartal 2010-2017
Pct.
45
40
35
30
25
20
15
10
5
0
2010K4 2011K2 2011K4 2012K2 2012K4 2013K2 2013K4 2014K2 2014K4 2015K2 2015K4 2016K2 2016K4 2017K2 2017K4
Pct.
45
40
35
30
25
20
15
10
5
0
Anm.: Andelen er opgjort på baggrund af 21-64-årige flygtninge og familiesammenførte til flygtninge i
lønmodtagerbeskæftigelse efter 3 år i Danmark.
Kilde: Udlændinge- og Integrationsministeriet på baggrund af data fra Danmarks Statistik.
Det er regeringens ambition, at hver anden nyankommen flygtning skal i beskæf-
tigelse efter tre år i Danmark. I marts 2016 indgik regeringen (V) derfor en tre-
partsaftale med arbejdsmarkedets parter om arbejdsmarkedsintegration og en
topartsaftale med KL om bedre rammer for at modtage og integrere flygtninge.
Aftalerne indebærer bl.a., at alle nyankomne flygtninge og familiesammenførte på
integrationsydelse skal mødes som jobparate og hurtigt ud på en virksomhed.
Arbejdsmarkedets parter og regeringen (V) skabte også den nye Integrations-
grunduddannelse (IGU), som er en 2-årig trædesten til arbejdsmarkedet for ny-
ankomne flygtninge med fokus på praktisk erhvervserfaring. Regeringen tror
fuldt og fast på, at der skal klare økonomiske incitamenter til at få flere i arbejde.
I september 2015 blev integrationsydelsen indført for nytilkomne, der ikke har
opholdt sig i Danmark, Færøerne og Grønland i 7 ud af de seneste 8 år.
Målsætningen bidrager til verdensmål 4 om kvalitetsuddannelse, verdensmål 5
om ligestilling mellem kønnene samt verdensmål 8 om anstændige jobs og bære-
dygtig økonomisk vækst.
SAU, Alm.del - 2017-18 - Bilag 276: Fremdriftsrapport på handlingsplanen for implementeringen af verdensmålene 2018, fra Finansministeriet
1937057_0011.png
Side 11 af 58
Målsætning 7
Fremme partnerskaber og investeringer i udviklingslande, der kan bidrage
til at skabe bæredygtig vækst og udvikle den private sektor både i
udviklingslande og i Danmark.
Indikator. Mobilisering af total og privat kapital gennem Danidas erhvervsplatform.
Under IFU blev der i 2017 igangsat 22 projekter med en samlet investering på
10,68 mia. kr., hvoraf IFU’s andel af investeringerne udgør 1,12 mia. kr.,
jf. figur 7
(leverage-faktor på godt 8,5). I Danida Business Finance blev der i 2017 igangsat
et projekt med en investering på ca. 164 mio. kr. (leverage-faktor på knap 2,0).
Figur 7
Kapital mobiliseret via Investeringsfonden for udviklingslande (IFU) og Danida Business Finance i
2017
Mia. kr.
12
10
8
6
4
2
0
IFUs andel af samlede investeringer
Samlede investeringer
Mia. kr.
12
10
8
6
4
2
0
Anm. Det bemærkes, at der er tale om en samlet registrering af mobiliseret kapital, og at visse
metodiske aspekter vanskelliggør en entydig opgørelse. Opgørelsen er baseret på igangsatte pro-
jekter, som er mere sikre end opgørelser pba. bevillinger.
Kilde: IFU.
FN har estimeret, at hvis verdensmålene skal nås frem mod 2030, kræver det
øgede globale investeringer for mellem 1,9 og 3,1 billioner USD – hvert år.
OECD og World Economic Forum (WEF) fremhæver derfor offentlige-private
partnerskaber som et instrument. Af konkrete danske eksempler kan nævnes
Verdensmålsfonden og P4G, herunder P4G-topmøde i København (oktober
2018). Disse indsatser forventes også at gavne dansk erhvervsliv. Målsætningen
bidrager til Verdensmål 1 om afskaffelse af fattigdom, Verdensmål 6 om rent
vand og sanitet, Verdensmål 7 om bæredygtig energi, Verdensmål 8 om anstæn-
dige jobs og økonomisk vækst, Verdensmål 9 om industri, innovation og infra-
struktur, Verdensmål 11 om bæredygtige byer og lokalsamfund, Verdensmål 12
om ansvarligt forbrug og produktion, Verdensmål 13 om klimaindsats, Ver-
densmål 15 om livet på land, Verdensmål 17 om partnerskab for handling.
SAU, Alm.del - 2017-18 - Bilag 276: Fremdriftsrapport på handlingsplanen for implementeringen af verdensmålene 2018, fra Finansministeriet
1937057_0012.png
Side 12 af 58
Målsætning 8
EU skal bruge handelspolitikken til at sikre åbne markeder og et
handelssystem, der understøtter global vækst, herunder i de mindst
udviklede lande.
Indikator a. Antal nye EU-frihandelsaftaler.
EU har siden implementeringen af ”Global Europe” strategien begyndte i 2006
suppleret de multilaterale handelsforhandlinger i WTO med ambitiøse frihan-
delsaftaler og bidrager dermed til liberalisering af verdenshandelen. Siden 2006 er
19 handels/investeringsaftaler indgået eller opdateret. Derudover er 22 under
forhandling og yderligere 6 under forberedelse,
jf. figur 8.
Figur 8
Nye EU-frihandelsaftaler
Antal
5
4
3
2
1
0
2006
2007
2008
2009
2010
2011
2012
2013
2014
2015
2016
2017
Antal
5
4
3
2
1
0
Kilde: Udenrigsministeriet.
Fra dansk side arbejdes aktivt for, at EU fremmer liberalisering af verdenshande-
len gennem multilaterale forhandlinger i verdenshandelsorganisationen WTO.
Ligesom man fra dansk side aktivt støtter, at EU supplerer den multilaterale di-
mension med ambitiøse bilaterale frihandelsaftaler, som senest EU-Canada fri-
handelsaftalen CETA og den kommende EU-Japan frihandelsaftale.
Målsætningen bidrager til følgende verdensmål, verdensmål 1 om afskaffelse af
fattigdom, verdensmål 2 om stop sult, verdensmål 3 om sundhed og trivsel, ver-
densmål 8 om anstændige jobs og bæredygtig økonomisk vækst, verdensmål 10
om mindre ulighed.
SAU, Alm.del - 2017-18 - Bilag 276: Fremdriftsrapport på handlingsplanen for implementeringen af verdensmålene 2018, fra Finansministeriet
1937057_0013.png
Side 13 af 58
Indikator b. Indeks over (registrerede) indførte handelshindringer i verden.
Verdenshandelen er de seneste 30 år markant liberaliseret og dereguleret, og
trenden siden 2013 viser i retning af færre handelshindringer,
jf. figur 9.
De sene-
ste års udvikling med bl.a. ændret amerikansk handelspolitik og fortsat manglen-
de åbenhed af den kinesiske økonomi udgør dog en risiko for rammevilkårene
for den globale handel. Europakommissionens seneste opgørelse (2017) over
negative handelsindgreb viser, at europæiske virksomheder i stigende grad mel-
der om øget protektionisme på verdensmarkedet.
Figur 9
Nye handelshindringer
Antal
1600
1400
1200
1000
800
600
400
200
0
2009
2010
2011
2012
2013
2014
2015
2016
2017
Antal
1600
1400
1200
1000
800
600
400
200
0
Kilde: Udenrigsministeriet (Centre for Economic Policy Research).
Fra dansk side arbejdes aktivt for, at EU fremmer liberalisering af verdenshande-
len gennem multilaterale forhandlinger i verdenshandelsorganisationen WTO.
Ligesom man fra dansk side aktivt støtter, at EU supplerer den multilaterale di-
mension med ambitiøse bilaterale frihandelsaftaler, som senest EU-Canada fri-
handelsaftalen CETA og den kommende EU-Japan frihandelsaftale.
Målsætningen bidrager til Verdensmål 1 om afskaffelse af fattigdom, Verdensmål
2 om stop sult, Verdensmål 3 om sundhed og trivsel, Verdensmål 8 om anstæn-
dige jobs og bæredygtig økonomisk vækst, Verdensmål 10 om mindre ulighed.
SAU, Alm.del - 2017-18 - Bilag 276: Fremdriftsrapport på handlingsplanen for implementeringen af verdensmålene 2018, fra Finansministeriet
1937057_0014.png
Side 14 af 58
Målsætning 9
Fremme kvinder og mænds lige muligheder for deltagelse på
arbejdsmarkedet.
Indikator. Kvinder og mænds arbejdsmarkedsdeltagelse.
Beskæftigelsesfrekvensen angiver antal beskæftigede som andel af befolkningen
mellem 16 og 64 år. Siden 2009 har beskæftigelsesfrekvensen ligget mellem 73 og
75 pct. for mænd og mellem 69 og 72 pct. for kvinder. Der har siden 2013 været
en stigning i frekvensen for både mænd og kvinder frem til 2016,
jf. figur 10.
Figur 10
Kvinder og mænds beskæftigelsesfrekvens
Pct.
80
78
76
74
72
70
68
66
64
2008
2009
2010
2011
2012
Mænd
2013
Kvinder
2014
2015
2016
Pct.
80
78
76
74
72
70
68
66
64
Anm.: Der er taget udgangspunkt i den registerbaserede ledighed (RAS). De nyeste offentligt
tilgængelige tal er for 2016. Tal for 2017 forventes i første kvartal af 2019.
Kilde: Danmarks Statistik (RAS200).
I Danmark deltager kvinder og mænd på lige fod på arbejdsmarkedet. Der er
lovgivning, der forbyder forskelsbehandling pga. køn fsva. ansættelse, forfrem-
melse og afskedigelse og i forhold til aflønning. Skatteregler, subsidieret børne-
pasningstilbud og ældreomsorg har desuden historisk bidraget til, at begge foræl-
dre kan have et arbejde, og at forskellen på kvinder og mænds beskæftigelsesfre-
kvens er lille i international sammenligning. Beskæftigelsesfrekvensen blandt især
kvinder fra ikke-vestlige lande er dog noget lavere end gennemsnittet internatio-
nalt set. Regeringen har derfor fokus på at bringe særligt denne gruppe tættere på
arbejdsmarkedet. Regeringen har derudover flere indsatsområder for fremme af
mænd og kvinders lige muligheder
arbejdsmarkedet med henblik på at fremme
antallet af kvinder i ledelse og øge fædres brug af forældreorlov.
Målsætningen bidrager til verdensmål 5 om ligestilling mellem kønnene og ver-
densmål 8 om anstændige jobs og bæredygtig økonomisk vækst.
SAU, Alm.del - 2017-18 - Bilag 276: Fremdriftsrapport på handlingsplanen for implementeringen af verdensmålene 2018, fra Finansministeriet
1937057_0015.png
Side 15 af 58
Målsætning 10
Styrket ligestilling i uddannelse mellem piger og drenge, herunder at
reducere kønsforskelle i trivsel og karakterer.
Indikator a. Drenge og pigers karaktergennemsnit i folkeskolens afgangsprøve.
Drenge får generelt lavere karakterer ved folkeskolens bundne prøver,
jf. figur
11.
Piger fik i skoleåret 2006/2007 i gennemsnit et resultat, der var 0,4 karakterpoint
bedre end drenges. I skoleåret 2016/2017 var forskellen steget til 0,7 karakterpo-
int.
Figur 11
Karaktergennemsnit ved folkeskolens afgangsprøve, 2006/2007-2016/2017, fordelt på køn
Karaktergennemsnit
8,0
7,0
6,0
5,0
4,0
3,0
2,0
1,0
0,0
2006/2007 2007/2008 2008/2009 2009/2010 2010/2011 2011/2012 2012/2013 2013/2014 2014/2015 2015/2016 2016/2017
Karaktergennemsnit
8,0
7,0
6,0
5,0
4,0
3,0
2,0
1,0
0,0
Drenge
Piger
Anm.: Resultater ved folkeskolens afgangsprøve i 9. klasse i de bundne prøvefag. Elever på specialskoler
og i specialklasser indgår ikke i opgørelsen.
Kilde: Undervisningsministeriet.
SAU, Alm.del - 2017-18 - Bilag 276: Fremdriftsrapport på handlingsplanen for implementeringen af verdensmålene 2018, fra Finansministeriet
1937057_0016.png
Side 16 af 58
Indikator b. Resultat af national trivselsmåling.
Der er ikke udprægede kønsforskelle mellem trivslen blandt drenge og piger i
folkeskolen,
jf. figur 12.
Figur 12
Trivsel i folkeskolen, 2014/2015 – 2016/2017, fordeklt på køn
Pct
.
70
60
50
40
30
20
10
0
1 til 2
2,1 til 3
3,1 til 4
4,1 til 5
1 til 2
2,1 til 3
3,1 til 4
4,1 til 5
1 til 2
2,1 til 3
3,1 til 4
4,1 til 5
2014/2015
2015/2016
Drenge
Piger
2016/2017
Pct
.
70
60
50
40
30
20
10
0
Anm.: Indikatoren ’Generel trivsel’ er en samlet indikator bestående af 29 spørgsmål. For hver elev be-
regnes et gennemsnit af svarene på de 29 spørgsmål. Gennemsnittet går fra 1 til 5, hvor 1 repræ-
senterer den ringest mulige trivsel, og 5 repræsenterer den bedst mulige trivsel. Rapporten viser et
gennemsnit af elevernes gennemsnit.
Kilde: Undervisningsministeriet.
Med folkeskolereformen, som trådte i kraft fra skoleåret 2014/2015, blev der
indført en længere og mere varieret skoledag, som giver skolerne mere tid til
undervisning i fagene og ny tid til understøttende undervisning. Det giver sko-
lerne bedre muligheder for at styrke klasseundervisningen, samtidig med at der
kan arbejdes med en række elementer, der har betydning for alle elevers faglige
færdigheder, læring, motivation og trivsel. Det drejer sig bl.a. om varierede og
differentierede læringsformer, der udfordrer alle elever på tværs af køn og fagligt
niveau, og giver bedre muligheder for at tilpasse undervisningen til den enkelte
elevs behov og interesser.
I maj 2016 nedsatte den daværende minister for børn, undervisning og ligestilling
’Udvalget om ligestilling i dagtilbud og uddannelse’. Udvalgets rapport blev præ-
senteret i juni 2017 og indeholder bl.a. en række anbefalinger til de forskellige
aktører på området.
Målsætningen bidrager til verdensmål 4 om kvalitetsuddannelse, verdensmål 5
om ligestilling mellem kønnene samt verdensmål 8 om anstændige jobs og bære-
dygtig økonomisk vækst.
SAU, Alm.del - 2017-18 - Bilag 276: Fremdriftsrapport på handlingsplanen for implementeringen af verdensmålene 2018, fra Finansministeriet
1937057_0017.png
Side 17 af 58
Målsætning 11
Styrket faglighed, kvalitet og relevant indhold i uddannelser for at løfte alle
børn og unges udvikling.
Indikator. Tal for kompetencedækning i folkeskolen.
I skoleåret 2016/2017 blev 85,1 procent af timerne i folkeskolen dækket af un-
dervisere, som enten har undervisningskompetence i det pågældende fag fra læ-
reruddannelsen eller har opnået tilsvarende faglig kompetence igennem fx efter-
uddannelse,
jf. figur 13.
Skolerne opfyldte således delmålsætningen fra folkeskole-
reformen om at opnå en samlet kompetencedækningsgrad på 85 pct. i skoleåret
2016/2017. Sammenlignet med skoleåret 2012/2013 dækkes 5 procentpoint flere
timer i folkeskolen af undervisere med kompetencer i faget.
Figur 13
Kompetencedækning i folkeskolen
Pct.
100
95
90
85
80
75
70
65
60
2012/2013
2013/2014
2014/2015
2015/2016
2016/2017
80
80
82
83
85
Pct.
100
95
90
85
80
75
70
65
60
Kilde: Undervisningsministeriet.
Det indgår som en målsætning i folkeskolereformen, at eleverne i folkeskolen i
2020 skal undervises af lærere, som enten har undervisningskompetence fra læ-
reruddannelsen eller har opnået en tilsvarende faglig kompetence, fx via efterud-
dannelse mv. (fuld kompetencedækning). I forbindelse med reformen blev der
afsat 1 mia. kr. i perioden 2014-2020 til efteruddannelse af lærere og pædagoger i
folkeskolen for at indfri målet. Med Økonomiaftalen for 2018 mellem regeringen
og KL blev det aftalt at fastholde målet om fuld kompetencedækning i 2020.For
at styrke elevernes faglige niveau blev der med folkeskolereformen indført flere
timer i en række fag. Timetallet i dansk og matematik blev i den forbindelse for-
øget med én lektion om ugen fra 4.-9. klasse. Målsætningen bidrager til verdens-
mål 4 om kvalitetsuddannelse og verdensmål 8 om anstændige jobs og bæredyg-
tig økonomisk vækst.
SAU, Alm.del - 2017-18 - Bilag 276: Fremdriftsrapport på handlingsplanen for implementeringen af verdensmålene 2018, fra Finansministeriet
1937057_0018.png
Side 18 af 58
Målsætning 12
Styrket indsats for fagligt svage elever.
Indikator. Andel af elever med dårlige resultater i de nationale test i dansk og matematik.
Det tyder på, at der er sket mindre forbedringer i forhold til fagligt svage elevers
resultater i de nationale tests. Bl.a. er antallet af elever med dårlige resultater i
henholdsvis dansk i 2. og 8. klasse samt matematik i 3. klasse reduceret. Dog er
der umiddelbart en lille stigning i antallet af elever med dårlige resultater i dansk i
4. klasse,
jf. figur 14 og 15.
Figur 14
Andel elever med dårlige resultater i dansk ved de nationale tests
Pct.
16
14
12
10
8
6
4
2
0
2. klasse 4. klasse 6. klasse 8. klasse 2. klasse 4. klasse 6. klasse 8. klasse 2. klasse 4. klasse 6. klasse 8. klasse
2014/2015
2015/2016
2016/2017
Pct.
16
14
12
10
8
6
4
2
0
Anm.: Andelen af elever med dårlige resultater beregnes på baggrund af elever, der har aflagt en test.
Dårlige resultater inkluderer ”ikke-tilstrækkelig” og ”mangelfuld” på den kriteriebaserede
resultatskala for de nationale tests.
Kilde: Undervisningsministeriet.
SAU, Alm.del - 2017-18 - Bilag 276: Fremdriftsrapport på handlingsplanen for implementeringen af verdensmålene 2018, fra Finansministeriet
1937057_0019.png
Side 19 af 58
Figur 15
Andel elever med dårlige resultater i matematik ved de nationale tests
Pct.
16
14
12
10
8
6
4
2
0
3. klasse
2014/2015
6. klasse
3. klasse
2015/2016
6. klasse
3. klasse
2016/2017
6. klasse
Pct.
16
14
12
10
8
6
4
2
0
Anm.: Andelen af elever med dårlige resultater beregnes på baggrund af elever, der har aflagt en test.
Dårlige resultater inkluderer ”ikke-tilstrækkelig” og ”mangelfuld” på den kriteriebaserede
resultatskala for de nationale tests.
Kilde: Undervisningsministeriet.
Med folkeskolereformens længere og mere varierede skoledag er det blevet obli-
gatorisk for skolerne at tilbyde tid til faglig fordybelse og lektiehjælp, som skal
have fokus på at styrke elevernes faglige niveau. Tiden skal målrettes både de
fagligt stærke og de fagligt svage elever.
Regeringen har afsat 500 mio. kr. i perioden 2017-2020 til en pulje til løft af fag-
ligt svage elever. 124 folkeskoler med en stor andel af elever, der får under karak-
teren 4 i 9. klasseprøverne i dansk og matematik, har fået tilbud om at blive en
del i puljen. Undervisningsministeriet tilbyder bl.a. at understøtte skolernes ind-
sats via Program for løft af de fagligt svageste elever, som løber over tre år og
har et særligt fokus på at styrke skolernes dansk- og matematikfaglige indsatser.
Målsætningen bidrager til verdensmål 4 om kvalitetsuddannelse og verdensmål
10 om mindre ulighed.
SAU, Alm.del - 2017-18 - Bilag 276: Fremdriftsrapport på handlingsplanen for implementeringen af verdensmålene 2018, fra Finansministeriet
1937057_0020.png
Side 20 af 58
Målsætning 13
Øget andel af unge i grundskolen, der får en erhvervsuddannelse.
Indikator. Andel af unge der vælger en erhvervsuddannelse efter grundskolen.
I perioden 2008-2017 har der været en betragtelig stigning til de gymnasiale ud-
dannelser på bekostning af erhvervsuddannelserne. Eud-søgningen faldt fra 26,3
pct. i 2008 til 18,5 pct. i 2017,
jf. figur 16.
I 2018 steg søgningen til erhvervsud-
dannelserne for første gang i en lang årrække med 0,9 procentpoint. Der er dog
stadig et stykke vej til målsætningen om en søgeandel på 25 pct. i 2020.
Figur 16
Andel unge, der vælger en erhvervsuddannelse efter grundskolen, 2008-2017
Pct.
80
70
60
50
40
30
20
10
0
2008
2009
2010
2011
2012
2013
2014
2015
2016
Øvrige
2017
Erhversuddannelser
Gymnasiale uddannelser
Pct.
80
70
60
50
40
30
20
10
0
Anm.: Øvrige omfatter EGU, ungdomsuddannelse for unge med særlige behov, kombineret
ungdomsuddannelse, produktionsskole, ungdomshøjskole, VUC, udlandsophold, arbejde og
andet.
Kilde: Undervisningsministeriet.
Det faldende ansøgertal til erhvervsuddannelserne kan have været et resultat af
flere faktorer, bl.a. et problem med at skaffe tilstrækkelige praktikpladser og en
restriktiv adgang til skolepraktik. Eleverne kunne således i nogle tilfælde ikke
være sikre på at fuldføre uddannelsen. Det tyder også på, at der har været et stort
frafald som følge af, at mange elever ikke har haft den basale skolemæssige viden
til at gennemføre uddannelsen. I 2015 er der gennemført en reform af erhvervs-
uddannelserne. Hertil er der indført adgangsbegrænsning mhp. på at reducere
frafaldet, og virksomhederne er blevet tilskyndet til at oprette flere praktikplad-
ser. Regeringen følger udviklingen tæt med henblik på at vurdere, om der er be-
hov for at iværksætte yderligere initiativer. Målsætningen bidrager til verdensmål
4 om kvalitetsuddannelse, verdensmål 8 om anstændige jobs og bæredygtig øko-
nomisk vækst samt verdensmål 9 om industri, innovation og infrastruktur.
SAU, Alm.del - 2017-18 - Bilag 276: Fremdriftsrapport på handlingsplanen for implementeringen af verdensmålene 2018, fra Finansministeriet
1937057_0021.png
Side 21 af 58
Målsætning 14
Fortsat udvikling af et godt sundhedsvæsen og en værdig ældrepleje,
blandt andet gennem fokus på sammenhængende patientforløb og
patientinddragelse.
Indikator a. Patienttilfredshed- og inddragelse med forløbet fra indlæggelse til udskrivelse.
Patienttilfredshed med forløbet fra indlæggelse til udskrivelse er stort set uændret
fra 2014 til 2017. I 2017 var den gennemsnitlige score for patienttilfredshed 4,25
målt på en skala fra 1-5, hvor en høj score indikerer høj grad af tilfredshed,
jf.
figur 17.
Der har været en positiv udvikling ift. den patientoplevede inddragelse.
Patientoplevet inddragelse er steget fra 3,54 i 2014 til 3,76 i 2017 målt på en skala
fra 1-5, hvor en høj score indikerer høj grad af tilfredshed,
jf. figur 18.
Regeringen, Danske Regioner og KL har opstillet konkrete nationale mål, med
det formål, at patienterne skal opleve bedre kvalitet, sammenhæng og geografisk
lighed i sundhedsvæsnet. Aftalen om målene blev indgået i april 2016.
Figur 17
Patienttilfredshed, 2014-2017
Pct.
4,25
Pct.
4,25
Figur 18
Patientoplevet inddragelse, 2014-2017
Pct.
3,8
Pct.
3,8
3,7
3,7
4,24
4,24
3,6
3,6
3,5
3,5
4,23
2014
2015
2016
2017
4,23
3,4
2014
2015
2016
2017
3,4
Anm.: Grundet ændret metode i 2014 er det ikke muligt at sammenligne med tidligere år. Scoren er en
gennemsnitlig score målt på en skala fra 1-5.
Kilde: Den Landsdækkende Undersøgelse af Patientoplevelser (LUP), 2014-2016.
SAU, Alm.del - 2017-18 - Bilag 276: Fremdriftsrapport på handlingsplanen for implementeringen af verdensmålene 2018, fra Finansministeriet
1937057_0022.png
Side 22 af 58
Indikator b. Brugertilfredshedsundersøgelser om hjemmehjælp i eget hjem og i plejebo-
lig/plejehjem.
I 2011 var 87 pct. meget tilfredse/tilfredse med den praktiske hjælp blandt
hjemmehjælpsmodtagere, mens der i 2017 var 79 pct.,
jf. figur 19.
I 2011 var 91
pct. meget tilfredse/tilfredse med den personlige pleje, mens der i 2017 var 84
pct.,
jf. figur 20.
Ældreområdet er højt prioriteret af regeringen, og der er ved de seneste finans-
lovaftaler blevet igangsat en række initiativer med henblik på blandt andet at
styrke tilfredsheden blandt de ældre borgere. Regeringen har således blandt andet
afsat midler til følgende initiativer:
380 mio. kr. årligt fra 2017 og frem til klippekort til plejehjemsbeboere.
425 mio. kr. i tilskud til at renovere, etablere eller genetablere knap 800 køk-
kener på plejecentre i hele Danmark.
500 mio. kr. årligt på finanslovsaftalen for 2018 til at styrke bemandingen i
hjemmeplejen og på plejehjem, plejecentre og friplejeboliger.
Figur 19
Overordnet tilfredshed
1
,
hjemmehjælpsmodtagere
Pct.
95
90
85
80
75
70
65
60
55
50
2011
2013
2015
2017²
Tilfreds/meget tilfreds med praktisk hjælp
Tilfreds/meget tilfreds med personlig pleje
Pct.
95
90
85
80
75
70
65
60
55
50
Figur 20
Overordnet tilfredshed
1
, plejehjem/plejebolig
Pct.
95
90
85
80
75
70
65
60
55
50
2011
2013
2015
2017²
Tilfreds/meget tilfreds med personlig pleje
Tilfreds/meget tilfreds med praktisk hjælp
Pct.
95
90
85
80
75
70
65
60
55
50
1)
2)
Kilde:
Andelen af hhv. hjemmehjælpsmodtagere og modtagere af praktisk hjælp og personlig pleje i
plejebolig på plejehjem, som har svaret, at de overordnet er tilfredse/meget tilfredse med den
hjemmehjælp, de modtager.
Undersøgelsen af tilfredsheden blandt hjemmehjælpsmodtagere er som noget nyt i 2017 delvist
gennemført ved hjælp af online spørgeskemaer (suppleret med telefoninterviews), hvor der
tidligere alene har været anvendt telefoninterviews for gruppen af hjemmehjælpsmodtagere. Det
er undersøgt om en række forskellige parametre, heriblandt indsamlingsmetoden, har betydning
for den overordnede tilfredshed med henholdsvis personlig pleje og praktisk hjælp. Borgere der
har besvaret undersøgelsen telefonisk er signifikant mere positive end borgere, der har besvaret
undersøgelsen online, når der tages højde for parametre som køn, alder, antal timer respondenten
modtager hjælp/pleje, region, samt om respondenten har modtaget hjælp/pleje i mere end et år.
Plejehjemsbeboere er blevet interviewet via printede spørgeskemaer og besøgsinterview på
plejehjem/i plejebolig.
Brugertilfredshedsundersøgelse på ældreområdet (Epinion: 2011, 2013, 2015 og 2017).
Målsætningen bidrager til verdensmål 3 om sundhed og trivsel.
SAU, Alm.del - 2017-18 - Bilag 276: Fremdriftsrapport på handlingsplanen for implementeringen af verdensmålene 2018, fra Finansministeriet
1937057_0023.png
Side 23 af 58
Målsætning 15
Styrket indsats over for kroniske og livstruende sygdomme, herunder
kræft, KOL, diabetes type 2, demens og den ældre medicinske patient.
Indikator a. 5-års overlevelse efter kræft og akutte somatiske indlæggelser blandt borgere med
KOL og diabetes type 2.
Der har været en positiv udvikling i overlevelsen af kræft. 5-års overlevelsen for
kræft er steget fra 54 pct. i 2004-2006 til 62 pct. i 2013-2015,
jf. figur 21.
Figur 21
5-års overlevelse efter kræft
Pct.
64
62
60
58
56
54
52
50
2004-2006
2007-2009
2010-2012
2013-2015
Pct.
64
62
60
58
56
54
52
50
Anm.: Alle kræftformer eksl. anden hudkræft. Den samlede 5-års overlevelse, målt som
aldersstandardiseret relativ overlevelse 5 år efter diagnosetidspunktet.
Kilde: Sundhedsministeriet (eSundhed.dk).
Kræftbehandlingen i Danmark har de seneste 10-15 år oplevet markante frem-
skridt – bl.a. på grund af indførsel af kræftpakkerne i 2007, som har til formål at
forbedre patienternes prognose, bedre livskvaliteten og mindske utrygheden ved
ventetid uden kendt årsag. Men også fordi man i Danmark har samlet og specia-
liseret kræftbehandlingen, og fordi der er foretaget massive investeringer. Rege-
ringen arbejder kontinuerligt på at forbedre indsatsen over for kræftpatienter.
Regeringen har i 2016 lavet Kræftplan IV, som regionerne sammen med de øvri-
ge aktører på området nu er i gang med at gennemføre.
Kræftplan IV, som er aftalt som led i FL17 samt satspuljen for 2017-2020 inde-
holder 3 nationale målsætninger og 16 konkrete initiativer. Der er tale om tiltag,
som skal øge sammenhængen og patientinddragelsen, forbedre forebyggelse,
behandling og opfølgning efter sygdommen. Endelig skal Kræftplan IV bidrage
til at fremtidssikre kræftindsatsen, bl.a. gennem øget kapacitet på sygehusene.
Der er afsat 1,5 mia.kr. over fire år med finansloven for 2017.
SAU, Alm.del - 2017-18 - Bilag 276: Fremdriftsrapport på handlingsplanen for implementeringen af verdensmålene 2018, fra Finansministeriet
1937057_0024.png
Side 24 af 58
KOL/Diabetes
Antallet af akutte somatiske indlæggelser ved borgere med KOL ønskes falden-
de. Antallet af akutte somatiske indlæggelser pr. 1000 borger med KOL har dog
været stigende de seneste år. Antallet er steget fra 517,1 i 2009 til 570,4 i 2016.
Der har dog været en positiv udvikling fra 2015, hvor antallet af indlæggelser er
dog faldet siden 2015,
jf. figur 22.
Der har været en positiv udvikling i antallet af
akutte somatiske indlæggelser pr. 1000 borger med diabetes type-2. Antallet er
faldet fra 390,7 i 2009 til 365,7 i 2016,
jf. figur 23.
Figur 22
Akutte somatiske indlæggelser blandt voksne
borgere med KOL
Antal
590
580
570
560
550
540
530
520
510
500
490
480
2009 2010 2011 2012 2013 2014 2015 2016
Antal
590
580
570
560
550
540
530
520
510
500
490
480
Figur 23
Akutte somatiske indlæggelser blandt voksne
borgere med diabetes type-2
Antal
400
395
390
385
380
375
370
365
360
355
350
2009 2010 2011 2012 2013 2014 2015 2016
Antal
400
395
390
385
380
375
370
365
360
355
350
Anm.: De køns- og aldersstandardiserede antal pr. 1.000 voksne borgere er beregnet med udgangspunkt
i befolkningen på 18 år eller derover i Danmark. Akutte indlæggelser blandt voksne borgere (18+
årige) med KOL/diabetes type-2 er opgjort som køns- og aldersstandardiseret antal pr. 1.000
voksne borgere med KOL/diabetes type-2.
Kilde: Sundhedsministeriet (eSundhed.dk).
Regeringen arbejder løbende for at styrke indsatsen for mennesker med kroniske
sygdomme. I juni 2017 præsenterede Udvalget om det nære og sammenhængen-
de sundhedsvæsen en samlet vision med 20 anbefalinger, der bl.a. havde fokus
på, at en større del af behandlingen af mennesker med kroniske sygdomme og
ældre medicinske patienter bør ske i det nære sundhedsvæsen frem for på syge-
husene. Det indebærer bl.a. at flere patienter med KOL og diabetes skal behand-
les i almen praksis, hvilket også understøttes af den seneste overenskomst med
de alment praktiserende læger, hvor der er afsat 150 mio. kr. til formålet. Som
opfølgning på anbefalingerne fra udvalget offentliggjorde regeringen i december
2017 sundhedsudspillet ”Sundhed, hvor du er”, som indeholder otte initiativer,
der skal styrke det nære og sammenhængende sundhedsvæsen, og der skitseres
en plan for regeringens opfølgning på de 20 anbefalinger fra udvalget.
Regeringen vil desuden i indeværende folketingsår præsentere en sundhedsre-
form med fokus på det nære og sammenhængende sundhedsvæsen, som bl.a.
skal medvirke til at styrke behandlingen af kroniske sygdomme og forebygge
akutte indlæggelser hos mennesker med sygdomme som KOL og diabetes.
SAU, Alm.del - 2017-18 - Bilag 276: Fremdriftsrapport på handlingsplanen for implementeringen af verdensmålene 2018, fra Finansministeriet
1937057_0025.png
Side 25 af 58
Indikator b. Forebyggelige genindlæggelser blandt ældre.
Der har været en positiv udvikling i antallet af forebyggelige indlæggelser blandt
ældre. I 2009 var der i alt 68,3 forebyggelige indlæggelser pr. 1000 ældre, mens
antallet er faldet til 61,6 i 2016,
jf. figur 24.
Figur 24
Forebyggelige genindlæggelser blandt ældre
Antal
72
70
68
66
64
62
60
58
56
2009
2010
2011
2012
2013
2014
2015
2016
Antal
72
70
68
66
64
62
60
58
56
Anm.: Forebyggelige indlæggelser blandt ældre (65+ årige) er opgjort som køns- og aldersstandardiseret
antal pr. 1.000 ældre. De køns- og aldersstandardiserede antal pr. 1.000 ældre borgere er
beregnet med udgangspunkt i befolkningen på 65 år eller derover i Danmark.
Kilde: Sundhedsministeriet (eSundhed.dk).
Regeringen følger udviklingen i antallet af forebyggelige indlæggelser tæt via de
otte nationale mål for sundhedsområdet. De nationale måls implementering byg-
ger i høj grad på en lokal forankring hos kommuner og regioner.
KL, Danske Regioner og regeringen blev ved økonomiaftalerne for 2016 enige
om at udbrede telemedicinsk hjemmemonitorering til KOL-patienter i hele lan-
det senest med udgangen af 2019. Med telemedicin kan borgeren foretage måling
af bl.a. blodtryk, vægt og iltmætning i sit eget hjem ved hjælp af hjemmemonito-
reringsudstyr. Sundhedsfagligt personale i kommunen følger op på målingerne
og sørger for hurtig indsats, hvis der viser sig tegn på en forværring i borgerens
tilstand. Herved kan akutte indlæggelser undgås.
Aftalen om udbredelse bygger blandt andet på gode erfaringer fra storskalafor-
søget TeleCare Nord i Nordjylland, som har vist, at telemedicinsk hjemmemoni-
torering har en positiv effekt på livskvaliteten for borgere med KOL. Borgeren
oplever øget tryghed, frihed og bliver i stand til selv at handle på forværringer i
sygdomstilstanden. Desuden er det dokumenteret, at forværringer i borgerens
tilstand opdages tidligere og dermed undgås akutte indlæggelser, som er både
belastende og udmattende for den enkelte og omkostningsfulde for samfundet.
Målsætningen bidrager til verdensmål 3 om sundhed og trivsel.
SAU, Alm.del - 2017-18 - Bilag 276: Fremdriftsrapport på handlingsplanen for implementeringen af verdensmålene 2018, fra Finansministeriet
1937057_0026.png
Side 26 af 58
Målsætning 16
Flere skal være en del af arbejdsfællesskabet, herunder personer med
handicap.
Indikator a. Den samlede beskæftigelsesfrekvens.
Beskæftigelsesfrekvensen angiver antallet af beskæftigede som andel af befolk-
ningen mellem 16 og 64 år. Fra 2008 til 2009 faldt beskæftigelsesfrekvensen fra
omkring 76 pct. til 73 pct. I 2016 er ca. 73 pct. af befolkningen mellem 16 og 64
årige i beskæftigelse,
jf. figur 25.
Figur 25
Den samlede beskæftigelsesfrekvens
Pct.
77
76
75
74
73
72
71
70
69
68
2008
2009
2010
2011
2012
2013
2014
2015
2016
Pct.
77
76
75
74
73
72
71
70
69
68
Anm.: Beskæftigelsesfrekvensen er opgjort på baggrund af den registerbaserede arbejdsstyrkestatistik
(RAS).
Kilde: Danmarks Statistik (RAS200).
Siden 1990erne er der gennemførte en række foranstaltninger og omfattende
reformer, der har medvirket til at øge beskæftigelsen. Samtidigt har den danske
flexicurity-model, ved hjælp af lempelige hyre- og fyre-regler kombineret med et
fokus på at effektivisere og jobrette beskæftigelsesindsatsen for ledige, nedbragt
antallet af langtidsledige betragteligt.
Regeringen har fokus på at benytte de gode beskæftigelsesmuligheder til at få alle
med. Der er derudover særligt fokus på at inkludere nytilkomne flygtninge på
arbejdsmarkedet, bl.a. gennem trepartsaftalen om arbejdsmarkedsintegration og
den nye integrationsgrunduddannelse.
SAU, Alm.del - 2017-18 - Bilag 276: Fremdriftsrapport på handlingsplanen for implementeringen af verdensmålene 2018, fra Finansministeriet
1937057_0027.png
Side 27 af 58
Indikator b. Andelen af personer med handicap i uddannelse eller beskæftigelse.
Regeringen har fastsat 10 mål for social mobilitet. Et af disse mål handler om, at
flere skal være en del af arbejdsfællesskabet, herunder personer med handicap. I
Socialpolitisk Redegørelse 2017 fremhæves, at lidt flere mennesker med handicap
ser ud til at komme i uddannelse og beskæftigelse. Andelen af personer, som
modtager en handicaprelateret indsats efter serviceloven, og som er i uddannelse
eller beskæftigelse, er steget fra 10 til 11 pct. mellem 2014 og 2015,
jf. figur 26.
Figur 26
Voksne med handicap i beskæftigelse eller uddannelse
Pct.
15
11
10
10
10
Pct.
15
5
5
0
2014
2015
0
Anm.: Personer med handicap er afgrænset til 18-59-årige, der modtager en social indsats efter service-
loven som følge af varig eller betydelig nedsat fysisk eller psykisk (kognitiv) funktionsevne. Se
”Afgrænsning af sociale mål – Baggrundsnotat” på sm.dk for en nærmere afgræsning af målgrup-
pen. Baseret på 44 kommuner, der indgår i De Kommunale Serviceindikatorer i perioden 2014-
2016. Beskæftigelse omfatter personer med beskæftigelse som forsørgelsesgrundlag.
Kilde: Børne- og Socialministeriet.
Beskæftigelsesministeren og børne- og socialministeren afholdte den 12. januar
2018 en konference om handicap og beskæftigelse i fællesskab med Danske
Handicaporganisationer.
Målsætningen bidrager til verdensmål 4 om kvalitetsuddannelse, verdensmål 8
om anstændige jobs og bæredygtig økonomisk vækst samt verdensmål 10 om
mindre ulighed.
SAU, Alm.del - 2017-18 - Bilag 276: Fremdriftsrapport på handlingsplanen for implementeringen af verdensmålene 2018, fra Finansministeriet
1937057_0028.png
Side 28 af 58
Målsætning 17
Fremme af en virksom indsats til voksne og børn udsat for vold i nære
relationer.
Indikator. Opfølgning på indsatsen i den nationale enhed mod vold i nære relationer.
Med satspuljeaftalen 2017-2020 blev der afsat 36,4 mio. kr. til etableringen af en
ny national enhed mod vold i nære relationer. Enheden har fået navnet Lev
Uden Vold og skal stå for tilbud til voldsramte, herunder videreførelse af en na-
tional hotline, juridisk rådgivning samt en pladsoversigt for kvindekrisecentre og
tilbud til mænd. Herudover skal enheden fungere som videnscenter og tilbyde
efterværnsaktiviteter til både mænd og kvinder. Implementeringen af den natio-
nale enhed følger procesplanen, og alle delopgaver, som enheden står for, er
igangsat, herunder pladsoversigten, den nationale hotline og juridiske rådgivning
Den nationale enhed afrapporterer halvårligt til Socialstyrelsen i form af status-
notater om opgavens fremdrift og udfordringer. Herudover foretages en sluteva-
luering af enhedens indsats, som forventes færdig i 4. kvartal 2020.
Målsætningen bidrager til verdensmål 5 om ligestilling mellem kønnene og ver-
densmål 16 om fred, retfærdighed og stærke institutioner.
SAU, Alm.del - 2017-18 - Bilag 276: Fremdriftsrapport på handlingsplanen for implementeringen af verdensmålene 2018, fra Finansministeriet
1937057_0029.png
Side 29 af 58
Målsætning 18
Øget trivsel for børn og unge samt udvikling og læring for alle børn i
dagtilbud.
Indikator a. Andel af elever, der trives i folkeskolen, erhvervs- og gymnasiale uddannelser.
Trivslen i grundskolen er høj og har været svagt stigende henover perioden.
Trivslen på erhvervsuddannelserne er ligeledes høj og har ligget på et stabilt ni-
veau i de to indsamlingsår,
jf. figur 27 og 28.
Figur 27
Trivsel i grundskolen
Pct.
70
60
50
40
30
20
10
0
1 til 2
2,1 til 3
3,1 til 4
4,1 til 5
2016/2017
Pct.
70
60
50
40
30
20
10
0
20
10
0
1 til 2
2,1 til 3
2015
3,1 til 4
2016
4,1 til 5
20
10
0
Figur 28
Trivsel på erhvervsuddannelser
Pct.
60
50
40
30
Pct.
60
50
40
30
2014/2015
2015/2016
Anm.: Indikatoren ’Generel trivsel’ er en samlet indikator bestående af 29 spørgsmål. For hver elev be-
regnes et gennemsnit af svarene på de 29 spørgsmål. Gennemsnittet går fra 1 til 5, hvor 1 repræ-
senterer den ringest mulige trivsel, og 5 repræsenterer den bedst mulige trivsel. Rapporten viser et
gennemsnit af elevernes gennemsnit.
Det bemærkes, at spørgerammen for hhv. grundskolen og erhvervsuddannelserne ikke er ens,
hvorfor der ikke kan foretages sammenligninger herimellem.
Kilde: Undervisningsministeriet.
En af de tre overordnede målsætninger i folkeskolereformen er, at trivslen skal
styrkes. I den forbindelse blev trivselsmålinger gjort obligatoriske, og mulighe-
derne for at inddrage pædagoger til at støtte og supplere lærerne med andre rele-
vante kvalifikationer blev gjort bedre. I 2016 er eud-skoleelevers trivsel målt for
anden gang og at eleverne angiver generelt en høj trivsel. Når elevernes trivsel
opdeles på hovedområde, herkomst, køn og alder er der ikke sket væsentlige
ændringer i den angivne trivsel fra 2015 til 2016. De angiver også en bedre trivsel
end elever på grundforløbet. For elever i skolepraktik er andelen af elever, der
angiver bedst mulige trivsel, faldet en smule fra 2015 til 2016.
SAU, Alm.del - 2017-18 - Bilag 276: Fremdriftsrapport på handlingsplanen for implementeringen af verdensmålene 2018, fra Finansministeriet
Side 30 af 58
Indikator b. Opfølgning på implementering af en styrket pædagogisk læreplan.
Med den politiske aftale på dagtilbudsområdet, der blev indgået i juni 2017, er
styrkelsen af den pædagogiske læreplan et centralt element. Den pædagogiske
læreplan skal understøtte dagtilbuddenes arbejde med børns læring, udvikling og
trivsel, og der er fastsat en række initiativer, der skal understøtte implementerin-
gen af en styrket pædagogisk læreplan:
I forhold til dagtilbuddene indebærer det fx udarbejdelse af en række foran-
dringspakker, der bl.a. indeholder vidensnotat, videoer, dialogkort og lærings-
forløb vedrørende elementer fra den styrkede pædagogisk læreplan (fx foræl-
dresamarbejde). Der skal årligt udvikles 4-6 forandringspakker i et samarbej-
de med EVA og VIVE frem mod 2020, og de første materialer leveres inden
sommeren 2018.
På EMU Dagtilbud (Danmarks Læringsportal) skal alle materialer vedrørende
den styrkede pædagogiske læreplan formidles. Portalen tilpasses samt offent-
liggøres inden sommeren 2018.
Der er afsat en pulje til kompetenceløft af bl.a. ledere i dagtilbud, som blev
meldt ud ultimo februar med henblik på at arbejde med den styrkede pæda-
gogiske læreplan.
Partnerskabet for kompetenceudvikling og viden i praksis har afholdt tre
møder i alt og bidraget med bl.a. pejlemærker for implementeringen af den
styrkede læreplan samt retning for de øvrige understøttende initiativer.
Initiativer rettet mod pædagoguddannelsen og den pædagogiske assistent-
uddannelse (PAU) indebærer en revision, foretaget af et fagligt udvalg, af un-
dervisningsmoduler til dagtilbudsspecialisering, videnskortlægning, udvikling
af nyt undervisningsmateriale og kompetenceudvikling af underviserne.
Der er desuden i samarbejde med Uddannelses- og Forskningsministeriet
(UFM) igangsat et udviklingsprojekt for implementering af den styrkede pæ-
dagogiske læreplan på pædagoguddannelsen. UFM har afsat 3 mio. kr. til pro-
jektet.
Endelig har et fagligt udvalg påbegyndt en indledende screening af uddannel-
sesordningen på den pædagogiske assistent-uddannelse (PAU) med fokus på,
hvilke fag der er mest relevante for eventuelle ændringer i forhold til den
styrkede pædagogiske læreplan. Samtidig ses der på praktikdelen af PAU.
Målsætningen bidrager til verdensmål 4 om kvalitetsuddannelse.
SAU, Alm.del - 2017-18 - Bilag 276: Fremdriftsrapport på handlingsplanen for implementeringen af verdensmålene 2018, fra Finansministeriet
1937057_0031.png
Side 31 af 58
Målsætning 19
Opretholdelse af Danmarks rolle som aktiv international fortaler for
ligestilling og seksuel og reproduktiv sundhed og rettigheder.
Indikator. En markant og synlig dansk indsats i EU og FN.
Internationalt er kvinders og pigers seksuelle og reproduktive sundhed og
rettigheder (SRSR) de seneste år kommet under pres – også i lande, som tidligere
var progressive på området. USA har under præsident Trump genindført en
udvidet udgave af den såkaldte Global Gag Rule, der betyder, at ikke-
amerikanske NGO’er, der modtager amerikansk støtte, forbydes at rådgive om
og udføre aborter ifm. familieplanlægning. Det skal ses i lyset af, at ca. 214
millioner kvinder i udviklingslandene ikke har adgang til prævention og mere end
800 kvinder dør hver dag i forbindelse med graviditet eller fødsel. Ligesom 65 ud
af 1000 graviditeter er uønskede for kvinder i alderen mellem 15 og 44 i
udviklingslandene. Hvert år gennemføres tæt ved 25 millioner usikre aborter på
verdensplan, hvilket udgør 45 pct. af alle aborter. Globalt har mænd stadig højere
indkomster end kvinder, og lønforskellen øges fortsat. Således er der fortsat
behov for, at Danmark kæmper for ligestilling og pigers og kvinders rettigheder
globalt.
Kvinders og pigers seksuelle og reproduktive sundhed og rettigheder står centralt
i dansk udviklingssamarbejde og udenrigspolitik. Danmark arbejder aktivt for at
fremme dagsordenen både bilateralt og i multilateralt regi, herunder i FN særligt i
regi af Kvindekommissionen og Befolkningskommissionen, samt i EU.
Regeringen afsatte et historisk højt beløb (700 mio. kr.) på finansloven for 2018
til multilaterale SRSR-indsatser (en fordobling ift. det i 2017 afsatte) som
reaktion på USA's genindførelse af Global Gag Rule. Desuden bevilgede
regeringen i 2017 ekstra midler til flere internationale organisationer, der blev
påvirket heraf, fx fordoblede Danmark støtten til UNFPA. Danmark tog
sammen med en gruppe lande initiativ til ”She Decides”-der mobiliserer politisk
og finansiel opbakning til kvinders og pigers ret til at bestemme over egen krop.
SRSR er en forudsætning for kvinders udfoldelse af deres potentiale i samfunds-
økonomien, som også er en dansk målsætning. Danmark var medstifter af
Women Entrepreneurs Finance Initiative (We-Fi) i Verdensbanken, som har til
formål at fjerne barrierer for kvindelig entreprenørskab i udviklingslande og blev
i 2018 medlem af We-Fi Leadership Group.
Målsætningen bidrager til følgende verdensmål, verdensmål 3 om sundhed og
trivsel, verdensmål 4 om kvalitetsuddannelse, verdensmål 5 om ligestilling mel-
lem kønnene, verdensmål 10 om mindre ulighed, verdensmål 16 om fred, retfær-
dighed og stærke institutioner.
SAU, Alm.del - 2017-18 - Bilag 276: Fremdriftsrapport på handlingsplanen for implementeringen af verdensmålene 2018, fra Finansministeriet
1937057_0032.png
Side 32 af 58
Målsætning 20
Standse tilbagegangen for biologisk mangfoldighed.
Indikator. Bevaringsstatus for habitat naturtyper og arter (Habitatdirektivet).
Ved biologisk mangfoldighed forstås mangfoldigheden af levende organismer.
Nedenfor fremgår status for bevaringsstatus for naturtyper og arter omfattet af
EU’s habitatdirektiv,
jf. figur 29.
Den danske natur er generelt påvirket af en ræk-
ke faktorer som fragmentering af naturområder, for højt næringssaltniveau på
land og til vands, forstyrrelser, forurening og udtørring. Det giver sig udtryk i, at
en stor del af de terrestriske og marine naturtyper er påvirket i en grad, så de iflg.
EU er i ugunstig bevaringsstatus. Der er dog tegn på, at udviklingen er vendt,
bl.a. som følge af målrettet indsats, fx i forhold til højmoser og visse arter.
Figur 29
Bevaringsstatus for habitat naturtyper og arter
Pct.
80
70
60
50
40
30
20
10
0
Gunstig
Moderat ugunstig
Andel naturtyoer
Stærk Ugunstig
Andel arter
Ukendt
Pct.
80
70
60
50
40
30
20
10
0
Kilde: J. Fredshavn et al. 2014. Bevaringsstatus for naturtyper og arter. Habitatdirektivets Artikel 17
rapportering. Videnskabelig rapport fra DCE (Nationalt center for Miljø og Energi nr. 98).
Regeringen har stort fokus på at stoppe tilbagegangen for den biologiske mang-
foldighed og fremme en rig og mangfoldig natur. Regeringen vedtog i 2016 for-
valtningsplaner for 262 Natura 2000-områder med konkrete bevaringsmålsæt-
ninger. Regeringen besluttede i forbindelse med Fødevare- og Landbrugspakken
i 2015 samt Naturpakken i 2016 at afsætte ca. 2 mia. kr. til pleje og genopretning
af natur frem til og med 2020. Desuden udbygges en række vildtreservater for at
reducere forstyrrelser af ynglefugle og sæler. Med Naturpakken udlægges der
13.300 ha ny urørt skov og anden biodiversitetsskov. Målsætningen bidrager til
verdensmål 12 om ansvarligt forbrug og produktion, verdensmål 14 om livet i
havet samt verdensmål 15 om livet på land.
SAU, Alm.del - 2017-18 - Bilag 276: Fremdriftsrapport på handlingsplanen for implementeringen af verdensmålene 2018, fra Finansministeriet
1937057_0033.png
Side 33 af 58
Målsætning 21
Beskytte vand- og havmiljø.
Indikator a. Tilstand for vandmiljøet (Vandrammedirektivet).
Nedenfor fremgår tilstanden for grundvand, vandløb, søer og marine områder
efter standarderne i EU’s vandrammedirektiv,
jf. figur 30.
Figur 30
Tilstand for vandmiljøet (Vandrammedirektivet)
Pct
.
100
90
80
70
60
50
40
30
20
10
0
Søer
Vandløb
Mål opfyldt
Kystvand
Mål ej opfyldt
Grundvand (Kvantitet)
Ukendt
Grundvand (Kemi)
Pct
.
100
90
80
70
60
50
40
30
20
10
0
Anm.: Hvert 6. år skal Danmark jf. Vandrammedirektivet udarbejde en vandområdeplan for hele
Danmark. Grundlaget herfor afrapporteres til EU-Kommissionen. Figuren viser den økologiske
tilstand for overfladevand i de forskellige kategorier, samt kvantitativ og kvalitativ tilstand for
grundvand. Danmark rapporterede også om tilstand for overfladevand og grundvand for
perioden 2009-2015 i 2016. Data er ikke sammenlignelige pga. justeringer i opgørelsesmetoder
mv. Indikatoren for søer, vandløb og kystvande viser ikke kemisk tilstand. Data stammer fra
Danmarks/Miljøstyrelsens indberetning til EU (juli 2017) af tilstandsvurderingen udarbejdet i
forbindelse med vandområdeplanerne 2015-2021. Konkret er der for overfladevand (vandløb,
søer og marine områder) taget udgangspunkt i de indberettede vandområders økologiske til-
stand, mens der for grundvand er taget udgangspunkt i kvantitativ og kemisk tilstand for grund-
vandsforekomster.
Kilde: Miljø- og Fødevareministeriet.
Det er en meget vigtig prioritet for regeringen at fortsætte det arbejde, der er
pågået over en årrække med henblik på at forbedre det danske vandmiljø. Rege-
ringen og Dansk Folkeparti indgik i januar 2018 aftalen om målrettet regulering,
som er en meget avanceret og fremsynet ramme for beskyttelsen af det danske
vandmiljø. De danske vandområdeplaner udarbejdes i henhold til EU’s vand-
rammedirektiv, og formålet med planerne er at sikre god tilstand i kystvande,
vandløb, søer og grundvand. For at nå målene i vandområdeplanerne arbejdes
med forskellige virkemidler, herunder vandløbsrestaurering, spildevandsrensning
og kvælstofvirkemidler i form af fx etablering af vådområder. Regeringen har
fokus på at sikre den rette balance mellem benyttelse og beskyttelse af de danske
havområder.
SAU, Alm.del - 2017-18 - Bilag 276: Fremdriftsrapport på handlingsplanen for implementeringen af verdensmålene 2018, fra Finansministeriet
1937057_0034.png
Side 34 af 58
Indikator b. Fiskebestande, der udnyttes erhvervsmæssigt på en måde, så de generelt efterlever
MSY-princippet.
I vurderingen af, hvorvidt en given bestand fiskes på et bæredygtigt niveau, an-
vendes både estimerede værdier for bestandens størrelse (gydebiomasse (SSB))
og den fiskeridødelighed (F), som bestanden udsættes for gennem fiskeri.
I løbet af de seneste ti år, er der gradvist sket en positiv udvikling for de fiskebe-
stande, som primært udnyttes af danske fiskere. Gydebiomassen for mange be-
stande har været stigende, og flere og flere bestande udnyttes nu på et bæredyg-
tigt niveau. Udviklingen har hovedsageligt været positiv i Nordsøen, Skagerrak
og Kattegat (Nordsøområdet), og mindre markant i Østersøen,
jf. figur 31 og 32
1
.
Figur 31
Antallet af bestande inden for sikre biologiske
grænser
Antal
10
9
8
7
6
5
4
3
2
1
0
2006 2007 2008 2009 2010 2011 2012 2013 2014 2015 2016
Figur 32
Antallet af bestande, hvor fiskeri-
dødeligheden ikke overstiger Fmsy
Antal
14
12
10
8
6
4
2
0
2006 2007 2008 2009 2010 2011 2012 2013 2014 2015 2016
Nordsøområdet
Østersøen
Antal
10
9
8
7
6
5
4
3
2
1
0
Nordsøområdet
Østersøen
Antal
14
12
10
8
6
4
2
0
Kilde: Miljø- og Fødevareministeriet og Udenrigsministeriet.
Regeringen arbejder inden for rammerne af EU´s fælles fiskeripolitik for en bæ-
redygtig udnyttelse af havets ressourcer, og kommercielt fiskeri i danske farvande
reguleres primært af EU´s fælles fiskeripolitik. Videnskabelig rådgivning fra bl.a.
ICES (Det Internationale Havundersøgelsesråd) anvendes i forbindelse med
fastsættelsen af kvoter for de enkelte fiskebestande. Kvoterne fastsættes bl.a. ud
fra mål for det maksimalt bæredygtige udbytte (MSY) af en given bestand.
Målsætningen bidrager til verdensmål 6 om rent vand og sanitet samt verdensmål
14 om livet i havet.
Opgørelserne er baseret på den seneste rapport om monitering af udviklingen i opnåelsen af de målsæt-
ninger, der findes for en bæredygtig fiskeriforvaltning i den fælles fiskeripolitik, som udgives af Kommissio-
nens videnskabelige, tekniske og økonomiske komité for fiskeri (STECF) (STECF-Adhoc-18-01).
1
SAU, Alm.del - 2017-18 - Bilag 276: Fremdriftsrapport på handlingsplanen for implementeringen af verdensmålene 2018, fra Finansministeriet
1937057_0035.png
Side 35 af 58
Målsætning 22
Forebygge og begrænse forurening med skadelige stoffer.
Indikator a. Udvikling af luftkvalitet og sundhedseffekter af luftforurening i Danmark.
Nedenfor fremgår forekomsten af små partikler (PM2,5) målt ved det såkaldte
AEI (Average Exposure Index) og en beregning af for tidlig død i Danmark som
følge af luftforurening (primært som følge af små partikler (PM2,50),
jf. figur 33.
PM2,5 er den luftforureningskomponent, der har den tætteste sammenhæng med
for tidlig død. Set over en længere periode er der en klar nedadgående trend, som
følge af reduktioner i forureningen fra alle europæiske lande. De målte værdier,
som viser et markant fald i forureningen, udgør sammen med modelberegninger
grundlaget for vurdering af luftkvalitet og befolkningens helbred.
Figur 33
Luftforurening og dødstal
Indeks (2010=100)
120
100
80
60
40
20
0
2010
2011
2012
2013
AEI PM2,5
2014
Dødstal
2015
2016
Indeks (2010=100)
120
100
80
60
40
20
0
Anm.: Indekset er bestemt som det løbende gennemsnit over tre år af målinger i København, Aarhus og
Aalborg. Der måles på en målestation i hver by. PM2,5 er den luftforureningskomponent, der har
den tætteste sammenhæng med for tidlig død. Målingerne startede i 2008. 2010 er således første
år med en 3-årsmiddelværdi. Datasættet opdateres hvert år af DCE.
Kilde: Aarhus Universitet, Nationalt Center for Miljø og Energi (DCE).
Regeringen arbejder løbende for at nedbringe luftforureningen både igennem
EU- og national regulering.
Der er de senere år vedtaget EU-regulering, der stiller
skærpede miljøkrav til nye køretøjer.
Det er især per-sondieselbiler, der har forure-
net mere end de burde. Nationalt har regeringen gennemført en række supple-
rende indsatser. Det gælder fx eftermontering af renseudstyr på ca. 300 busser i
København og på Frederiksberg og tilskud til udskiftning af ældre brændeovne.
SAU, Alm.del - 2017-18 - Bilag 276: Fremdriftsrapport på handlingsplanen for implementeringen af verdensmålene 2018, fra Finansministeriet
1937057_0036.png
Side 36 af 58
Indikator b. Antal stoffer vurderet for hormonforstyrrende egenskaber og andel, der som følge
heraf er omfattet af EU-regulering.
Nedenfor fremgår henholdsvis antallet af stoffer, der er vurderet hormonforstyr-
rende i EU, samt antallet af stoffer, der er omfattet af EU regulering,
jf. figur 34.
Antallet af stoffer, der i EU er vurderet som hormonforstyrrende har været støt
stigende siden 2011. Andelen af hormonforstyrrende stoffer, der efterfølgende er
regulerede, som følge af deres hormonforstyrrende virkning, er også stigende,
men stigningen er langsommere end for vurderingerne. Reguleringen består i, at
der er særlige oplysningskrav for særligt problematisk problematiske stoffer, her-
under hormonforstyrrende stoffer, samt skærpede krav ved godkendelse, hvis de
fortsat skal anvendes. Mange hormonforstyrrende stoffer er også er skadelige for
forplantningsevnen og fosterets udvikling og er allerede reguleret på baggrund af
disse effekter. Flere stoffer end rapporteret i indikatoren vurderes derfor at være
indirekte reguleret i EU som følge af deres hormonforstyrrende virkning.
Figur 34
Antal stoffer vurderet og omfattet af EU-regulering
Antal
30
25
20
15
10
5
0
2011
2012
2013
2014
2015
2016
2017
Antal
30
25
20
15
10
5
0
Antal stoffer vurderet (kumuleret)
Antal stoffer under EU-regulering (kumuleret)
Anm.: Stoffer reguleret under REACH (industrikemikalier) samt Pesticid- og Biocidforordningerne
(bekæmpelsesmidler) er medtaget i opgørelsen.
Kilde: Miljø- og Fødevareministeriet.
Arbejdet med hormonforstyrrende stoffer er et fortsat prioriteret område for
regeringen. Arbejdet indgår som fokusområde i Kemiindsats 2018-21, og omfat-
ter blandt andet beskyttelse af befolkningen via aktiv deltagelse i det fælles arbej-
de i EU med vurdering og regulering af hormonforstyrrende stoffer. Regeringens
prioriteter på området understøttes af målsætningen i EU's 7. Miljøhandlings-
program om, at der skal vedtages en strategi for et giftfrit miljø, der blandt andet
skal sikre en minimering af udsættelsen for hormonforstyrrende stoffer på tværs
af relevante lovgivninger.
Målsætningen bidrager til verdensmål 3 om sundhed og trivsel, verdensmål 8 om
anstændige jobs og økonomisk vækst, verdensmål 9 om industri, innovation og
infrastruktur, verdensmål 11 om bæredygtige byer og lokalsamfund, verdensmål
12 om ansvarligt forbrug og produktion.
SAU, Alm.del - 2017-18 - Bilag 276: Fremdriftsrapport på handlingsplanen for implementeringen af verdensmålene 2018, fra Finansministeriet
1937057_0037.png
Side 37 af 58
Målsætning 23
Fastholde Danmarks førerposition med at udvikle bæredygtige og
levedygtige byer.
Indikator a. Kommuner med agenda 21 plan og klimatilpasningsplan.
Nedenfor fremgår udviklingen i antallet af kommuner, som har udarbejdet en
agenda 21-plan og en klimatilpasningsplan,
jf. figur 35 og 36.
Der er en mindre
tilbagegang i kommunerne og regionernes arbejde med Agenda 21. Dette er ikke
nødvendigvis retvisende, da kommunerne og regionerne i dag i langt højere grad
arbejder med bæredygtighed som et gennemgående element i deres planlægning.
Alle 98 kommuner har udarbejdet en klimatilpasningsplan. Klimatilpasnings-
planerne er udarbejdet mellem 2012-2017.
Figur 35
Antal kommuner med agenda 21-plan
Antal
Antal
Figur 36
Antal kommuner med klimatilpasningsplan
Antal
Antal
95
90
85
80
75
70
65
60
55
50
2009
2013
95
90
85
80
75
70
65
60
55
50
90
80
70
60
50
40
30
20
10
0
2010 2011 2012 2013 2014 2015 2016 2017
Kumuleret
90
80
70
60
50
40
30
20
10
0
Kilde: Miljø- og Fødevareministeriet og Erhvervsministeriet.
Agenda 21 stammer fra FNs konference om miljø og udvikling i Rio de Janeiro i
1992. Programmet var en plan for, hvordan verden kunne opnå en bæredygtig
udvikling i det 21. århundrede. Regeringen arbejder for en grøn omstilling der
understøtter en varieret natur.
Det fremgik af aftalen om kommunernes økonomi for 2013 (ØA13), at der skul-
le iværksættes en række initiativer med det formål at understøtte en ambitiøs
klimatilpasningsindsats med særlig fokus på oversvømmelser. Kommunerne
skulle bl.a. udarbejde klimatilpasningsplaner, som indeholder kortlægning af risi-
koen for oversvømmelser samt en prioritering og beskrivelse af indsatsen.
SAU, Alm.del - 2017-18 - Bilag 276: Fremdriftsrapport på handlingsplanen for implementeringen af verdensmålene 2018, fra Finansministeriet
1937057_0038.png
Side 38 af 58
Indikator b. Genanvendelsesprocent for husholdningsaffald.
Nedenfor fremgår udviklingen i genanvendelse af husholdningsaffald. Genan-
vendelsen af husholdningsaffald i Danmark er steget fra 37 pct. i 2011 til 46 pct.
i 2015, jævnfør Miljøstyrelsens Affaldsstatistik 2013-15,
jf. figur 37.
Opgørelsen
omfatter alt affald der er indsamlet til genanvendelse, hvilket ikke nødvendigvis
svarer til den faktisk genanvendte andel af husholdningsaffaldet. I 2010 blev der
skiftet opgørelsesmetode, hvilket medfører, at tallene fra 2011 og frem ikke er
direkte sammenlignelige med tallene fra de foregående år.
Figur 37
Genanvendelsesprocent for husholdningsaffald
Pct.
50
45
40
35
30
25
20
15
10
5
0
2011
2012
2013
2014
2015
37
43
39
40
46
Pct.
50
45
40
35
30
25
20
15
10
5
0
Anm.: Data om genanvendelse af husholdningsaffald i Danmark registreres årligt. Data findes i
Affaldsdatasystemet og præsenteres i den årlige affaldsstatistik. Data indberettes på
kommunernes vegne af affaldsindsamlere og modtageanlæg. Der gennemføres af Miljøstyrelsen
løbende en kvalitetssikring af de indberettede data. Data er minimum 1�½ år gamle, når de er
kvalitetssikrede og klar til offentliggørelse.
Kilde: Miljø- og Fødevareministeriet.
Den gældende nationale plan for affaldshåndtering indeholder en målsætning om
50 pct. genanvendelse i 2022 af syv fraktioner af husholdningsaffaldet (organisk
affald samt papir-, pap-, glas-, træ-, plast- og metalaffald), samt en lang række
understøttende initiativer. I forlængelse af dette har mange kommuner indført
nye indsamlingsordninger, og der er sideløbende gennemført en lang række pi-
lotprojekter i kommunerne med henblik på at øge genanvendelse af hushold-
ningsaffaldet.
Målsætningen bidrager til verdensmål 11 om bæredygtige byer og lokalsamfund
samt verdensmål 13 om klimaindsats.
SAU, Alm.del - 2017-18 - Bilag 276: Fremdriftsrapport på handlingsplanen for implementeringen af verdensmålene 2018, fra Finansministeriet
1937057_0039.png
Side 39 af 58
Målsætning 24
Fremme af cirkulær økonomi, herunder bedre (gen)anvendelse af
ressourcer og forebyggelse af affald.
Indikator a. Ressourceproduktivitet (DMC/BNP som erstattes af RMC/BNP).
Nedenfor fremgår udviklingen i ressourceproduktivitet i Danmark,
jf. figur 38.
Ressourceproduktivitet er et mål for, hvor meget økonomisk værdi, man får ud
af de materialer, der anvendes i produktionen af produkter og tjenester. Det vil
sige, at ressourceproduktivitet er et udtryk for. hvor mange kroner, der skabes af
omsætning i Danmark for hvert forbrugt kilo materialer. Generelt er Danmarks
ressource-produktivitet svagt stigende i perioden 2006-2016. Men da ressource-
produktiviteten opgøres i kroner per kilo anvendt materiale, hænger udviklingen
bl.a. tæt sammen med byggeaktiviteten, da der i perioder med høj byggeaktivitet
vil være et stort forbrug af tunge materialer som fx grus, ler og tegl. Dette kan
være med til at forklare stigningen i ressourceproduktiviteten i 2009-10 (hvor
byggeaktiviteten var lav) og det efterfølgende fald i ressourceproduktiviteten i
2011-2012 (hvor byggeaktiviteten var højere).
Figur 38
Ressourceproduktivitet (DMC/BNP)
Euro/kg.
2,5
2,0
1,5
1,0
0,5
0,0
2006
2007
2008
2009
2010
2011
2012
2013
2014
2015
2016
Euro/kg.
2,5
2,0
1,5
1,0
0,5
0,0
Kilde: Miljø- og Fødevareministeriet (Eurostat).
Regeringen nedsatte i oktober 2016 et Advisory Board bestående af 12 erhvervs-
ledere, der havde til formål at udarbejde konkrete anbefalinger til at understøtte
danske virksomheders omstilling til en mere cirkulær økonomi. Anbefalingerne
blev afleveret til regeringen den 7. juni 2017, og regeringen vil følge op med en
Strategi for cirkulær økonomi i 2018. Regeringen har med Forsyningsstrategien
fra september 2016 – ligesom Advisory Board for cirkulær økonomi – foreslået
at konkurrenceudsætte affaldsforbrænding og håndtering af det genanvendelige
affald.
SAU, Alm.del - 2017-18 - Bilag 276: Fremdriftsrapport på handlingsplanen for implementeringen af verdensmålene 2018, fra Finansministeriet
1937057_0040.png
Side 40 af 58
Indikator b. Genanvendelse af totalaffald (ekskl. jord og mineralsk affald) (Eurostat).
Nedenfor fremgår udviklingen i genanvendelsen af totalaffald,
jf. figur 39.
Opgø-
relsen foretages hvert andet år – og senest for 2014. For Danmark er genanven-
delsen steget fra 56 pct. i 2010 til 58 pct. i 2014. Eurostats data for totalaffald i
2012 og 2014 er korrigeret af Miljøstyrelsen, og de opdaterede tal er endnu ikke
tilgængelige i Eurostats database. Til at måle genanvendelsen af totalaffald benyt-
tes en affaldsindikator fra Eurostat, hvor man har ekskluderet jord og mineralsk
affald fra den totale affaldsmængde. Årsagen er, at affaldet fra byggeri og anlæg
er særligt konjunkturfølsomt, og at opgørelsen af genanvendt affald fra byggeri
og anlæg ofte omfatter såkaldt ”opfyldning”. Ved at ekskludere mineralsk affald
fra opgørelsen af totalaffald får man et mere retvisende og sammenligneligt bille-
de, da opgørelsen af totalaffaldet kun omfatter den del af affaldet fra byggeri og
anlæg, der normalt ikke anvendes til opfyldning. Jord ekskluderes fra opgørelsen,
da jord udgør en stor andel af den samlede affaldsmængde og er stærkt påvirket
af typen af bygge- og anlægsprojekter. Jordmængderne vil derfor skævvride den
totale affaldsmængde og gøre det svært at se tendens i data. Opgørelsen af gen-
anvendelse er korrigeret for import og eksport af affald til genanvendelse, hvor-
med tallet alene fokuserer på genanvendelse af affald genereret i Danmark.
Figur 39
Genanvendelse af totalaffald (ekskl. jord og mineralsk affald)
Pct.
60
59
58
57
56
55
54
53
52
51
50
2010
2012
2014
Pct.
60
59
58
57
56
55
54
53
52
51
50
Kilde: Miljø- og Fødevareministeriet (Eurostat).
Regeringen nedsatte i oktober 2016 et Advisory Board bestående af 12 erhvervs-
ledere, der havde til formål at udarbejde konkrete anbefalinger til at understøtte
danske virksomheders omstilling til en mere cirkulær økonomi. Anbefalingerne
blev afleveret til regeringen den 7. juni 2017, og regeringen vil følge op med en
Strategi for cirkulær økonomi i 2018. Regeringen har med Forsyningsstrategien
fra september 2016 – ligesom Advisory Board for cirkulær økonomi – foreslået
at konkurrenceudsætte affaldsforbrænding og håndtering af det genanvendelige
affald.
Målsætningen bidrager til verdensmål 9 om industri, innovation og infrastruktur,
verdensmål 12 om ansvarligt forbrug og produktion samt verdensmål 13 om
klimaindsats.
SAU, Alm.del - 2017-18 - Bilag 276: Fremdriftsrapport på handlingsplanen for implementeringen af verdensmålene 2018, fra Finansministeriet
1937057_0041.png
Side 41 af 58
Målsætning 25
Bæredygtige virksomheder og produkter.
Indikator a. Antal virksomheder omfattet af standarder for bedst tilgængelig teknologi efter
IE-direktivet.
Nedenfor fremgår antallet af virksomheder i Danmark, der er omfattet af EU's
miljøkrav som fastsat i direktivet om industrielle emissioner,
jf. figur 40.
Virksom-
heder, der omfattes af EU's miljøkrav, stiger løbende. For Danmark er der i 2016
særligt tale om kemiske virksomheder, hvor der for omkring 40 virksomheder er
sat ekstra fokus på begrænsning af udledninger til vandmiljøet. I 2017 er der fast-
sat nye skærpede krav til emissioner til luften fra store fyringsanlæg. Udover in-
dustrivirksomheder, er der fra 2017 desuden vedtaget EU krav til 1550 husdyr-
brug i Danmark til intensiv svine- og fjerkræavl, som ligeledes er omfattet af
BAT-krav. Alle virksomheder, der omfattes af EU's krav om BAT får revurderet
deres miljøgodkendelse baseret på de nye EU-krav.
Figur 40
Antal virksomheder
Antal virksomheder
160
140
120
100
80
60
40
20
0
2012
2013
2014
2015
2016
2017
Antal virksomheder
160
140
120
100
80
60
40
20
0
Kilde: Miljø- og Fødevareministeriet.
Regeringen arbejder for at udbrede miljøteknologiske løsninger i Danmark såvel
som i andre dele af verden. Regeringen arbejder for, at der i EU regi sættes
skrappe krav til virksomhedernes udledninger til vand, jord og luft ved at anven-
de renere teknikker. Regeringen støtter en miljøteknologisk indsats med en til-
skudsordning med fokus på udvikling, test og demonstration af helt nye miljø-
teknologiske løsninger inden for bl.a. vand, klimatilpasning, renere luft, bedre
udnyttelse af ressourcerne mv. Målet er, at disse teknologiske løsninger kan an-
vendes bredt, når de er udviklet. EU's miljøpolitik og regulering er generelt cen-
tral for at sikre et marked for miljøeffektive løsninger. Ved at EU udstikker lang-
sigtede og ambitiøse mål for miljøet og for fremme af miljøeffektiv teknologi
samt implementerer en konsistent regulering, kan EU således skabe et marked
for miljøeffektive løsninger.
SAU, Alm.del - 2017-18 - Bilag 276: Fremdriftsrapport på handlingsplanen for implementeringen af verdensmålene 2018, fra Finansministeriet
1937057_0042.png
Side 42 af 58
Indikator b. Samlede produktion af grønne varer og tjenesteydelser i Danmark.
Værdien af de producerede grønne vare og tjenester steg med 8 pct. fra 2015 til
2016 og nåede op på 214 mia. kr.,
jf. figur 41.
En stigning der især kan henføres til
øget produktion af vindmøller, men også værdien af miljøteknologi til miljøbe-
skyttelse inden for vand, luft med videre er voksede. Produktionen fordeler sig
på mange forskellige brancher, idet industrivirksomheder står for ca. halvdelen.
Specielt maskinindustrien er med til at trække væksten i værdien af produktionen
af grønne varer og tjenester. Her er tale om en branche, som i meget høj grad er
eksportorienteret, og dermed i høj grad afhængig af udviklingen i den globale
økonomi, samt størrelsen af de globale investeringer i grønne varer og tjenester i
særdeleshed.
Figur 41
Samlet produktion (målt på omsætning)
Mia. kr.
250
200
150
100
50
0
2012
2013
2014
2015
2016*
Mia. kr.
250
200
150
100
50
0
*
Tallene for 2016 er foreløbige. Revisoner i tal for tidligere år vil kunne forekomme.
Kilde: Miljø- og Fødevareministeriet.
Miljø- og Fødevareministeriet har i partnerskab med brancheorganisationer og
industrien lanceret en række grønne eksportstrategier. På vandområdet er der
med Vandvisionen fra 2015 et mål om at øge eksporten fra godt 15 mia. kr. i
2013 til 30 mia. kr. i 2025. I januar 2018 blev der lanceret en luftvision der bl.a.
skal fordoble Danmarks eksport af ren luft teknologi frem mod 2030, fra godt 7
mia. kr. i 2017 til godt 14 mia. kr. i 2030. Senest har regeringen nedsat et vækst-
team for grøn energi- og miljøteknologi, som skal understøtte regeringens ambi-
tion på det grønne område og skabe grundlag for ny innovation, tekno-logiske
løsninger, arbejdspladser, eksport og vækst. Regeringen har samtidigt reserveret
bevillinger til at udvikle og demonstrere femtidens grønne løsninger bl.a. i regi af
EUDP, GUDP, MUDP og Innovationsfonden. Løsninger som danske eksport-
virksomheder skal leve af at eksportere i årene fremover.
Målsætningen bidrager til verdensmål 2 om stop sult, verdensmål 8 om anstæn-
dige jobs og økonomisk vækst, verdensmål 9 om industri, innovation og infra-
struktur samt verdensmål 12 om ansvarligt forbrug og produktion.
SAU, Alm.del - 2017-18 - Bilag 276: Fremdriftsrapport på handlingsplanen for implementeringen af verdensmålene 2018, fra Finansministeriet
1937057_0043.png
Side 43 af 58
Målsætning 26
Bæredygtige fødevarer.
Indikator a. Madspild fra husholdninger.
Nedenfor fremgår udviklingen i madspild og madaffald fra 2011-2012 til 2017,
jf.
figur 42.
Madspild er defineret som den del af madaffaldet, der kunne være spist.
Miljøstyrelsens kortlægning af omfanget af madspild i de danske husholdninger i
2011 viste, at der var 261.000 tons madspild. En tilsvarende kortlægning i 2017
viste, at der var 247.000 tons madspild. Dette svarer til, at der er sket et gennem-
snitligt fald på 8 pct. per person. Pga. befolkningsvækst i samme periode svarer
dette til et samlet fald i mængden af madspild fra husholdninger på 5 pct.
Figur 42
Madspild fra husholdninger
1.000 tons
500
450
400
350
300
250
200
150
100
50
0
463
456
1.000 tons
500
450
400
350
300
250
200
150
100
50
0
261
247
Madspild
2011-2012
2017
Madaffald
Kilde: Miljø- og Fødevareministeriet.
Regeringen arbejder for at reducere madspild i alle led af værdikæden for fødeva-
rer. Regeringen har bl.a. lanceret undervisningsmateriale til de danske skoler, og
støttet nye projekter som skal give mærkbare indhug i Danmarks madspild i alle
led fra produktion til industri, engros, supermarkeder, storkøkkener og hjemme
hos forbrugerne. Projekterne har bl.a. fokus på afsætning af fødevarer, ny tekno-
logi, oplysning, undervisning og uddeling af overskudsmad. Andre tiltag, som
regeringen har støttet er fx Madspildsjægerne og Partnerskab om Mindre
Madspild. Madspildsjægerne hjælper storkøkkener med at gennemgå arbejdsgan-
ge og procedurer for at udpege muligheder for forbedringer. Partnerskab om
Mindre Madspild har bl.a. identificeret barrierer i den eksisterende lovgivning og
har udviklet nye idéer til aktiviteter, der kan reducere madspildet. Derudover er
der på både Miljøstyrelsens og Fødevarestyrelsens hjemmeside informationer
tilgængelig om reduktion af madspild.
SAU, Alm.del - 2017-18 - Bilag 276: Fremdriftsrapport på handlingsplanen for implementeringen af verdensmålene 2018, fra Finansministeriet
1937057_0044.png
Side 44 af 58
Indikator b. Ressourceproduktivitet i fødevaresektoren.
Nedenfor fremgår ressourceproduktiviteten, dvs. hvor meget økonomisk værdi
fødevareindustrien får ud sit vareforbrug, som anvendes til produktion af pro-
dukter og tjenester,
jf. figur 43.
For hver krone, som virksomhederne bruger til at
købe varer for, er der en værditilvækst på x kr. Jo højere indeks tal, desto højere
ressourceproduktivitet. Sammenlignet med mange andre lande har dansk fødeva-
reproduktion en høj effektivitet og et lavt ressourceforbrug per produceret en-
hed. Faldet i ressourceproduktivitet for fødevarer i perioden 2005-2016 skyldes
en let faldende indtjening og stigende omkostninger til vareforbrug.
Figur 43
Bruttoværditilvækst i produktionen i forhold til materialeomkostninger (løbende priser), 2005-
2016
Andel
0,35
0,30
0,25
0,20
0,15
0,10
0,05
0,00
2006
2007
2008
2009
2010
2011
2012
2013
2014
2015
2016
Andel
0,35
0,30
0,25
0,20
0,15
0,10
0,05
0,00
Anm.: Tallene afspejler bruttoværditilvæksten i føde-, drikke- og tobaksvareindustrien.
Kilde: Miljø- og Fødevareministeriet.
Regeringen har i august 2017 relanceret Det Nationale Bioøkonomipanel med
henblik på at modtage anbefalinger om hvordan værditilvæksten i udnyttelsen af
biologiske ressourcer kan øges. Regeringen har desuden lanceret Food Nation
der er et markedsføringskonsortium, der skal oplyse om den danske fødevare-
klynges styrkepositioner med henblik på at øge udlandets interesse for danske
varer og rekruttere dygtige studerende og medarbejdere til naturvidenskabelige
og bioteknologiske uddannelser og arbejdspladser.
Målsætningen bidrager til verdensmål 2 om stop sult og verdensmål 12 om an-
svarligt forbrug og produktion.
SAU, Alm.del - 2017-18 - Bilag 276: Fremdriftsrapport på handlingsplanen for implementeringen af verdensmålene 2018, fra Finansministeriet
1937057_0045.png
Side 45 af 58
Målsætning 27
Indfri Danmarks forpligtelse for reduktioner i ikke-kvotesektoren i
2020 og 2030.
Indikator. Fremskrivning af CO2-udvikling i ikke-kvotesektoren ift. 2005-niveau.
Danmark har under EU’s klima- og energipakke fra 2009 påtaget sig at nedbrin-
ge udledningerne fra de ikke-kvoteomfattede sektorer (non-ETS) med 20 pct. i
2020 ift. 2005, herunder opnåelse af gradvist skærpede årlige delmål. Overopfyl-
delse fra et år kan anvendes til målopfyldelse i efterfølgende år frem til 2020.
Danmark vil opfylde EU-målet for ikke-kvoteomfattede sektorer for perioden
2013-2020 til overmål,
jf. figur 44.
Den samlede, akkumulerede overopfyldelse
forventes at blive 14 mio. ton CO2-ækv. for perioden.
Figur 44
Udledning i ikke-kvotesektoren
Mio. ton CO2-ækv
45
40
35
30
25
20
15
10
5
0
Ikke-kvoteomfattede udledninger
Mio. ton CO2-ækv
45
40
35
30
25
20
15
10
5
0
2005 2006 2007 2008 2009 2010 2011 2012 2013 2014 2015 2016 2017 2018 2019 2020 2021 2022 2023 2024 2025 2026 2027 2028 2029 2030
Anm.: Fra 2017 er tallene opgjort på baggrund af basisfremskrivningen 2018, som præsenterer et såkaldt
”Frozen Policy” scenarie, der betyder, at udviklingen beregningsteknisk er betinget af et fravær af
nye tiltag. Spændet i udledninger skyldes usikkerhed vedr. forventningerne til køretøjers
energieffektivitet.
Kilde: Energi-, Forsynings- og Klimaministeriet.
Overopfyldelse kan ikke overføres til den efterfølgende forpligtelsesperiode
2021-2030. Danmark har under EU’s 2030 ramme for klima- og energipolitikken
påtaget sig at nedbringe udledningerne fra de ikke-kvoteomfattede sektorer (non-
ETS) med 39 pct. i 2030 ift. 2005. Fremskrivningen viser, at udledningerne i
2030 forventes at ligge 21-23 pct. under 2005-niveauet. Regeringen vil efter
sommerferien fremlægge en strategi for de ikke-kvoteomfattede udledninger.
Målsætningen bidrager til verdensmål 7 om bæredygtig energi og verdensmål 13
om klimaindsats.
SAU, Alm.del - 2017-18 - Bilag 276: Fremdriftsrapport på handlingsplanen for implementeringen af verdensmålene 2018, fra Finansministeriet
1937057_0046.png
Side 46 af 58
Målsætning 28
Bidrage til fælles EU-mål om 27 pct. vedvarende energi og mindst 27 pct.
energieffektiviseringer i 2030.
Indikator. VE-andel, udvikling i energiforbrug i forhold til en i 2007 fastlagt baseline for det
fremskrevne energiforbrug.
Indledningsvis skal det bemærkes, at EU-forhandlingerne om EU’s 2030-mål for
vedvarende energi (VE) og energieffektivisering endnu ikke er færdigafsluttet.
Det er dog forventningen, at den endelige aftale mellem Rådet, Europa-
Parlamentet og Kommissionen om EU’s VE-mål vil lande på et 2030-mål over
27 pct. og på minimum 30 pct. for energieffektivitet.
Basisfremskrivningen 2018 (BF18), der ikke medtager effekterne af regeringens
energiudspil, viser, at eksisterende tiltag forventes at sikre, at Danmark når en
samlet VE-andel (EU-norm) på 43,6 pct. i 2021 og 2022. Den samlede VE-andel
vil - under fravær af nye tiltag - herefter vige og forventes med eksisterende tiltag
at være 39,8 pct. i 2030. VE-andelen forventes at være 42,0 pct. i 2020, hvorved
EU-forpligtelsen om en VE-andel på 30 pct. i 2020 nås til overmål. For yderlige-
re information om VE-andel, se målsætning 29.
BF18 viser, at der frem til 2020 fortsat er stigende energieffektivitet, både inden
for bruttoforbrug og det endelige energiforbrug. Fra 2021 udløber den nuværen-
de energispareordning, hvilket får energieffektiviteten til at stagnere efterfølgen-
de.
I maj 2018 pågår der forhandlinger om en kommende energiaftale for tiden efter
2020. Regeringen har fremlagt en række initiativer, som øger andelen af VE i
energiforbruget samtidig med, at energiforbruget samlet set reduceres lidt.
For så vidt angår energieffektiviseringer sker Danmarks direkte bidrag til EU's
overordnede målsætning via opfyldelsen af energieffektiviseringsdirektivets art. 7,
som stiller krav om årlige energibesparelser på 1,5 pct. af slutforbruget. I perio-
den frem til 2020 opfyldes denne forpligtelse gennem energiselskabernes energi-
spareindsats, som er fastlagt i en frivillig aftale mellem brancherne (Dansk Ener-
gi, Dansk Fjernvarme og naturgasselskaberne) og den siddende minister. Det
forventes pt., at der i indeværende forpligtigelsesperiode vil ske en overopfyldel-
se af målet.
De eksakte krav for perioden efter 2020 kendes ikke endnu, da direktivet som
nævnt ovenfor pt. er under forhandling. Det forventes dog, at forpligtelsen til
SAU, Alm.del - 2017-18 - Bilag 276: Fremdriftsrapport på handlingsplanen for implementeringen af verdensmålene 2018, fra Finansministeriet
Side 47 af 58
energibesparelser på 1,5 pct. af slutforbruget årligt vil fortsætte i perioden 2020-
2030, evt. med mindre ændringer.
I perioden efter 2020 har regeringen med energiudspillet lagt op til, at Danmarks
opfyldelse af kravet i energieffektiviseringsdirektivets art. 7, og dermed bidraget
til EU’s overordnede energieffektiviseringsmål, bl.a. skal ske gennem den energi-
effektiviseringsindsats, som er fremlagt med energiudspillet, og der forventes
således fortsat dansk målopfyldelse på området. Blandt virkemidlerne kan der
nævnes en ny udbudsordning, hvormed der gives tilskud til energibesparende
foranstaltninger i erhverv.
Målsætningen bidrager til verdensmål 7 om bæredygtig energi og verdensmål 13
om klimaindsats.
SAU, Alm.del - 2017-18 - Bilag 276: Fremdriftsrapport på handlingsplanen for implementeringen af verdensmålene 2018, fra Finansministeriet
1937057_0048.png
Side 48 af 58
Målsætning 29
Regeringen har et nationalt mål for, at Danmark i år 2030 skal have mindst
50 pct. af sit eget energibehov dækket af vedvarende energi.
Indikator. VE-andelen opgøres efter EU-metoden, hvor VE-andelen opgøres i forhold til det
udvidede endelige energiforbrug.
VE-andelen forventes at være 39,8 pct. i 2030 under fravær af nye tiltag, hvilket
giver en manko på 10,2 pct.-point ift. regeringsgrundlagets målsætning om
mindst 50 pct. VE i 2030. VE-andelen ventes at stige frem til 2021, hvor den
rammer 43,6 pct. for siden at vige. Forventninger om en vigende VE-andel fra
2022 er dels betinget af vigende VE-udbygning under fravær af nye tiltag, dels
betinget af et stort og stigende elforbrug fra nye hyperskala datacentre, der for-
ventes placeret i Danmark. VE-andelen forventes at være 42,0 pct. i 2020, hvor-
ved EU-forpligtelsen om en VE-andel på 30 pct. i 2020 overopfyldes,
jf. figur 45.
Figur 45
VE-andel: Indfasning af mål om mindst 50 pct. vedvarende energi i 2030 med regeringens
energiudspil
Pct.
60
50
40
30
20
10
0
2007
2009
2011
2013
2015
2017
2019
2021
2023
2025
2027
2029
Pct.
60
50
40
30
20
10
0
Regeringens mål om mindst 50 pct. VE i 2030
Fremskrivning, VE-andel i 2030 ved frozen policy
Hovedpakke i energiudspillet inkl. reserve
Anm.: Figuren giver en grovkornet illustration af indfasningen af regeringens målsætning om mindst 50
pct. vedvarende energi i 2030 ved energiudspillet. Den viste profil er indikativ, og den eksakte
indfasningsprofil kan afvige fra dette og bl.a. afhænge af, hvornår konkrete initiativer igangsættes
og nettilsluttes. Indfasningen vil endvidere afhænge af teknologi- og prisudviklingen, som er
behæftet med stor usikkerhed. Fremskrivningen baserer sig på tal fra Basisfremskrivningen 2018.
Med "frozen policy" skitseres en udvikling i VE-andelen uden nye politiske tiltag.
Kilde: Energi-, Forsynings- og Klimaministeriet.
Regeringen foreslår med energiudspillet en række konkrete tiltag, der forventes at
øge VE-andelen fra ca. 40 pct. til ca. 44 pct. i 2030. I alt afsættes der ca. 12 mia.
kr. til konkrete investeringer i fremtidens grønne energikilder.
Herudover vil regeringen oprette en VE-reserve på 500 mio. kr. årligt fra 2025,
der muliggør yderligere investeringer i vedvarende energi senere i 2020'erne. Det
SAU, Alm.del - 2017-18 - Bilag 276: Fremdriftsrapport på handlingsplanen for implementeringen af verdensmålene 2018, fra Finansministeriet
Side 49 af 58
betyder samlet set, at energiudspillet forventes at levere på regeringens mål om at
opnå mindst 50 pct. vedvarende energi i 2030,
jf. figur 47.
Målsætningen bidrager til verdensmål 7 om bæredygtig energi og verdensmål 13
om klimaindsats.
SAU, Alm.del - 2017-18 - Bilag 276: Fremdriftsrapport på handlingsplanen for implementeringen af verdensmålene 2018, fra Finansministeriet
1937057_0050.png
Side 50 af 58
Målsætning 30
Fastholde Danmarks position blandt verdens mindst korrupte lande.
Indikator. Korruption måles ved Transparency international rangliste.
Danmarks score på Transparency Internationals (TI) index for opfattet korrupti-
on har været faldende i perioden 2006-2017,
jf. figur 46.
Danmark har i størstede-
len af perioden været blandt de to mindst korrupte lande, herunder i 2017.
Figur 46
Korruption
Score
100
98
96
94
92
90
88
86
84
82
80
2006
2007
2008
2009
2010
Score
2011
2012
2013
2014
2015
2016
2017
Placering (h. akse)
Placering
1
2
3
4
5
Kilde: Justitsministeriet (Transparency International).
TI’s vurdering af graden af opfattet korruption i et lands offentlige sektor bygger
på forskellige datakilder. Der er tale om en skønsmæssig vurdering, hvorfor det
ikke præcist kan angives, hvilke konkrete forhold der ligger til grund for Dan-
marks score. Regeringen er i gang med at implementere initiativerne i den brede
politiske aftale af 21. juni 2017 om en styrket indsats mod hvidvask mv. i den
finansielle sektor. Aftalen indeholder ni initiativer, som skal styrke indsatsen mod
hvidvask. Derudover udgav Moderniseringsstyrelsen i december 2017 en revide-
ret vejledning om god adfærd i det offentlige, som skal bidrage til, at alle offent-
ligt ansatte kender de overordnede regler og principper, der gælder for deres
stilling. Endelig kan det nævnes, at Danmark ved minister for udviklingssamar-
bejde Ulla Tørnæs i oktober 2018 i København er vært for en international an-
tikorruptionskonference, International Anti-Corruption Conference (IACC).
Målsætningen bidrager til verdensmål 16 om fred, retfærdighed og stærke institu-
tioner.
SAU, Alm.del - 2017-18 - Bilag 276: Fremdriftsrapport på handlingsplanen for implementeringen af verdensmålene 2018, fra Finansministeriet
1937057_0051.png
Side 51 af 58
Målsætning 31
Værne om ytringsfriheden.
Indikator. Ytringsfrihed måles ved Freedom House frihedsscore.
Freedom House frihedsscore viser Danmarks samlede score for en række for-
skellige kategorier. Danmarks score vedrørende ytringsfrihed (Underkategori D
”Freedom of Expression and Belief”) har i perioden 2006 til 2018 ligget på 16 ud
af 16 mulige point,
jf. figur 47.
Figur 47
Ytringsfrihed i Danmark
Score (1-16)
16
14
12
10
8
6
4
2
0
2006
2007
2008
2009
2010
2011
2012
2013
2014
2015
2016
2017
2018
Score (1-16)
16
14
12
10
8
6
4
2
0
Kilde: Justitsministeriet (Freedom House, årlige undersøgelser).
Regeringen nedsatte i december 2017 en Ytringsfrihedskommission med henblik
på at kvalificere den løbende politiske og offentlige debat om ytringsfrihed.
Kommissionen har til opgave at beskrive ytringsfrihedens rammer og generelle
vilkår i Danmark, den historiske udvikling af ytringsfriheden her i landet og de
samfundsforhold, som har væsentlig betydning for ytringsfrihedens vilkår.
Kommissionens arbejde skal danne grundlag for en politisk debat om ytringsfri-
hedens udfoldelse i Danmark. Derudover udarbejdede Justitsministeriet i samar-
bejde med Moderniseringsstyrelsen i oktober 2017 et e-læringskursus om offent-
ligt ansattes ytringsfrihed. Kurset vil bl.a. på baggrund af cases ruste ansatte og
ledere i det offentlige til bedre at håndtere problemstillinger vedrørende ytrings-
frihed. Kurset er frit tilgængeligt fra Justitsministeriets hjemmeside. Endelig kan
det nævnes, at blasfemibestemmelsen i straffelovens § 140 blev ophævet i juni
2017. Efter bestemmelsen var det strafbart at drive spot med eller forhåne et her
i landet lovligt bestående religionssamfunds troslærdomme eller gudsdyrkelse.
Målsætningen bidrager til verdensmål 16 om fred, retfærdighed og stærke institu-
tioner.
SAU, Alm.del - 2017-18 - Bilag 276: Fremdriftsrapport på handlingsplanen for implementeringen af verdensmålene 2018, fra Finansministeriet
1937057_0052.png
Side 52 af 58
Målsætning 32
Fremme af et velfungerende og tilstedeværende politi.
Indikator. Tilførsel af ressourcer ifm. politiets flerårsaftle (2016-2019).
Politiet er styrket gennem tilførsel af ressourcer i politiets flerårsaftale (2016-
2019) og sidenhen gennem forskellige initiativer, senest med finanslovaftalen for
2018.
Regeringen har gennem de seneste år løbende styrket dansk politi gennem til-
førslen af ressourcer. Med flerårsaftalen om politiets og anklagemyndighedens
økonomi i 2016-2019 af 17. november 2015 blev politiets bevillinger i perioden
øget med ca. 2 mia. kr. i perioden. Med flerårsaftalen styrkes politiet bl.a. gennem
et meroptag på i alt 300 politistuderende i 2016 og 2017.
Sidenhen er der bl.a. med finanslovaftalen for 2017 afsat midler til uddannelse af
345 politikadetter til politimæssige opgaver forbundet med blandt andet grænse-
kontrol, bevogtning samt transport- og udsendelsesopgaver og med finanslovaf-
talen for 2018 gennemført en yderligere styrkelse af politiet, der styrker politiets
operative kapacitet med ca. 1,3 mia. kr. i perioden 2018-2021. Sidstnævnte om-
fatter et yderligere meroptag på i alt 300 politistuderende i 2018 og 2019, midler
til at fastholde en del af den midlertidige stigning i civile kompetencer i politiet,
så politibetjente fortsat kan friholdes til operativt politiarbejde, samt overdragelse
af størstedelen af politiet arrestanttransporter til kriminalforsorgen, mens politiet
fastholder de politiressourcer, som hidtil har været anvendt på opgaven.
Herudover bistår forsvaret og Hjemmeværnet med grænse- og bevogtningsopga-
ver med henblik på at frigøre politibetjente til andre opgaver.
Målsætningen bidrager til verdensmål 16 om fred, retfærdighed og stærke institu-
tioner.
SAU, Alm.del - 2017-18 - Bilag 276: Fremdriftsrapport på handlingsplanen for implementeringen af verdensmålene 2018, fra Finansministeriet
1937057_0053.png
Side 53 af 58
Målsætning 33
Der skal slås hårdt ned på rocker- og bandemedlemmers kriminalitet.
Indikator. Der følges op på initiativerne i aftalen om Bandepakke III – Bander bag tremmer.
Regeringen indgik i marts 2017 en politisk aftale med Socialdemokratiet og
Dansk Folkeparti om ”Bandepakke III – Bander bag tremmer”, som indeholder
en række tiltag til bekæmpelse af bandekriminalitet. Optrappede bandekonflikter
henover sommeren 2017 resulterede i, at regeringen den 11. august 2017 præsen-
terede yderligere 12 initiativer mod bandekriminalitet.
Bandepakke III indeholder bl.a. et initiativ om et nyt opholdsforbud, som i tillæg
til en fængselsstraf kan pålægges af domstolene, når en person dømmes for ban-
derelateret kriminalitet, og som gør det muligt at forbyde personer at opholde sig
i et bestemt område, fx en kommune, i op til 10 år efter endt afsoning. Denne
del af bandepakken er gennemført ved en ændring af straffeloven, der trådte i
kraft i begyndelsen af december 2017.
En række øvrige initiativer blev gennemført ved lovgivning, der trådte i kraft den
1. juli 2017, ligesom en række initiativer er gennemført administrativt.
Målsætningen bidrager til verdensmål 16 om fred, retfærdighed og stærke institu-
tioner.
SAU, Alm.del - 2017-18 - Bilag 276: Fremdriftsrapport på handlingsplanen for implementeringen af verdensmålene 2018, fra Finansministeriet
1937057_0054.png
Side 54 af 58
Målsætning 34
Forebyggelse og bekæmpelse af ekstremisme, radikalisering og terror.
Indikator. Regeringen fastholder et styrket fokus på bekæmpelse af ekstremisme, radikalisering
og terror.
I oktober 2016 fremlagde regeringen (V) en ny national handlingsplan om fore-
byggelse og bekæmpelse af ekstremisme og radikalisering. Planen beskriver den
danske forebyggelsesmodel og indeholder i alt 41 initiativer på Justitsministeriets,
Undervisningsministeriets, Udenrigsministeriet og Udlændinge- og Integrations-
ministeriets områder fordelt på ni konkrete indsatsområder.
Med afsæt i handlingsplanen blev der som led i satspuljeaftalen for 2017 afsat i
alt 90,7 mio. kr. i perioden 2017-2020 til forebyggelse af ekstremisme. Derudover
blev der ved finanslovaftalen for 2017 afsat ca. 64 mio. kr. i perioden 2017-2020
til forebyggelse og bekæmpelse af online radikalisering og radikalisering i fængs-
ler.
Formålet med handlingsplanen og satspuljeaftalen er at synliggøre den eksiste-
rende forebyggelsesindsats og tilføre indsatsen et løft ved at styrke det strategiske
fokus på tværs af myndigheder og samtidig intensivere indsatsen i forhold til
særlige risikogrupper.
Målsætningen bidrager til verdensmål 16 om fred, retfærdighed og stærke institu-
tioner.
SAU, Alm.del - 2017-18 - Bilag 276: Fremdriftsrapport på handlingsplanen for implementeringen af verdensmålene 2018, fra Finansministeriet
1937057_0055.png
Side 55 af 58
Målsætning 35
Fremme af en international retsorden baseret på grundlæggende værdier
som demokratiske retsstatsprincipper, menneskerettigheder og ligestilling.
Indikator. Regeringens internationale indsats, herunder kandidatur til FN’s Menneskerettig-
hedsråd 2019-2021.
Det regelbaserede internationale samarbejde er under pres på flere fronter: Der
er et voksende misforhold mellem de grænseoverskridende udfordringer, vi står
over for, og vores internationale institutioners evne til at levere rettidige og ef-
fektive løsninger. Den vestlige samfundsmodel er udfordret af mere autoritære
tendenser samt protektionistiske og værdikonservative strømninger. Samtidig er
menneskerettighederne under stigende pres fra totalitære regimer, og vi ser mas-
sive menneskerettighedskrænkelser i mange dele af verdenen.
Danmark deltager aktivt i FN’s Menneskerettighedsråd og FN’s Generalforsam-
lings beslutningsprocesser for bl.a. fremme af kvinders rettigheder og ligestilling,
kampen mod tortur og fremme af oprindelige folks rettigheder. Danmark har
udarbejdet og forhandlet resolutioner om tortur i både Generalforsamlingen
(oktober/november 2017) og i Menneskerettighedsrådet (marts 2018). I perio-
den marts 2017 til april 2018 har Danmark givet anbefalinger om fremme af
menneskerettigheder til 28 ud af de 42 lande, der gennemgik Rådets universelle
periodiske review. I marts-maj 2018 ledede Danmark – sammen med Algeriet –
desuden forhandlingerne i Generalforsamlingsregi om en resolution for reform
af FN’s udviklingssystem. I forbindelse med kampagnen for det danske kandida-
tur til FN’s Menneskerettighedsråd for 2019-2021 har Danmark afholdt bilaterale
samtaler med mere end 170 lande for at drøfte fremme af menneskerettigheder.
Danmark har i 2017 stået i spidsen for den Internationale Straffedomstols stats-
parters arbejde for universel tilslutning til domstolen. Målet er at styrke indsatsen
mod straffrihed for de alvorligste forbrydelser. Retsforfølgelse af krigsforbrydel-
ser, forbrydelser mod menneskeheden og folkedrab kan have en præventiv effekt
og derved styrke beskyttelsen af grundlæggende menneskerettigheder. Danmark
er engageret i arbejdet for implementering af ’Responsibility to Protect’ princip-
perne og arrangerede i efteråret 2017 en workshop i Sydøstasien om, hvordan
udviklingssamarbejde kan medvirke til at forebygge grove menneskerettigheds-
krænkelser.
Målsætningen bidrager til verdensmål 16 om fred, retfærdighed og stærke institu-
tioner.
SAU, Alm.del - 2017-18 - Bilag 276: Fremdriftsrapport på handlingsplanen for implementeringen af verdensmålene 2018, fra Finansministeriet
1937057_0056.png
Side 56 af 58
Målsætning 36
Bidrage til beskyttelse af sårbare mennesker og øget modstandsdygtighed i
udviklingslandene.
Indikator. Disponeringen af udviklingsbistanden vil bidrage til at øge modstandsdygtigheden i
udviklingslandene.
Over de seneste to årtier er antallet af verdens fattige halveret. Også antallet af
fattige lande falder. I 2001 var 65 lande klassificeret som lavindkomstlande af
Verdensbanken, i 2015 var det faldet til 31. Men landene udvikler sig forskelligt,
og mere end 43 procent af verdens ekstremt fattige lever stadig i Afrika syd for
Sahara. Samtidig ses en stigning i omfanget, antallet og varigheden af kriser og
voldelige konflikter, som de senere år har sendt historisk mange på flugt. Kon-
flikterne fastholder lande i skrøbelighed og underminerer udviklingen i både fat-
tige og tidligere mellemindkomstlande, som Syrien. I 2016 befandt omkring 65
millioner mennesker sig i en situation, hvor de var fordrevet på grund af krig og
væbnet konflikt, og ca. 130 millioner mennesker havde brug for humanitær assi-
stance. Det forventes, at skrøbelige og konfliktramte lande vil huse 60 procent af
verdens fattige i 2030.
Dansk udviklingssamarbejde bidrager til at realisere verdensmålenes globale am-
bition for, hvordan verden skal udvikle sig frem mod år 2030, en verden i balan-
ce uden ekstrem fattigdom og i bæredygtig vækst og udvikling – økonomisk,
socialt, miljømæssigt – hvor ingen er ladt tilbage. Danmark fastholder sin histo-
risk lange og politisk brede tradition for at leve op til FN’s mål om, at alle ver-
dens rige lande yder minimum 0,7 pct. af BNI i udviklingsbistand. Det har Dan-
mark gjort siden 1978, som et af kun få lande i verden, og det vil vi fortsat gøre.
Danmark orienterer sin udviklingspolitik mod fire strategiske pejlemærker og
arbejder inden for tre forskellige landekategorier,
jf. den udviklingspolitiske og huma-
nitære strategi, Verden 2030.
Konkret bidrager dansk udviklingssamarbejde og humanitære indsatser til fore-
byggelse af konflikter og stabilisering i og omkring skrøbelige lande og situatio-
ner, ligesom vi adresserer grundlæggende årsager til sårbarhed og migration og
bidrager til at opbygge modstandsdygtighed bl.a. mod kriser, naturkatastrofer og
klimaforandringer. Danmark bidrager til, at ofre for krige, væbnede konflikter
og naturkatastrofer nås med livsreddende humanitær assistance, og at indsatserne
understøtter beskyttelse, selvforsørgelse og styrkede levevilkår, samt hjælper med
tilpasning til klimaforandringer. Dansk udviklingssamarbejde og humanitære
indsatser udmøntes bilateralt og multilateralt gennem fx EU, FN og Verdens-
banken. Målsætningen bidrager til verdensmål 16 om fred, retfærdighed og stær-
ke institutioner.
SAU, Alm.del - 2017-18 - Bilag 276: Fremdriftsrapport på handlingsplanen for implementeringen af verdensmålene 2018, fra Finansministeriet
1937057_0057.png
Side 57 af 58
Målsætning 37
Fremme international stabilitet og sikkerhed gennem bidrag til
internationale militære operationer og freds- og stabiliseringsopgaver.
Indikator. Øget stabilitet og sikkerhed i områder med danske militære og ikke-militære bidrag.
Situationen i en række områder og lande, hvor Danmark yder en indsats, er fort-
sat præget af ustabilitet og manglende sikkerhed. Dog er der på nogle områder
sket fremskridt. Fx har Danmarks militære bidrag til kampen mod ISIL (indledt i
2014) bidraget til den geografiske nedkæmpelse af ISIL i Irak samt styrket de
irakiske sikkerhedsstyrker, så de på sigt selv kan varetage sikkerheden i landet.
Danmark fører en aktiv udenrigs- og sikkerhedspolitik for bl.a. at fremme stabili-
tet og sikkerhed i en række af verdens brændpunkter, der også har betydning for
sikkerheden i Danmark. Det indebærer et stærkt engagement i skrøbelige og kon-
fliktramte lande og regioner i anerkendelse af, at konflikter og ustabilitet kun kan
løses gennem længerevarende og bredspektrede indsatser.
Danmark bidrager til en række internationale militære operationer, der fremmer
fred og sikkerhed på verdensplan. Danmark er blandt de største bidragsydere per
capita til kampen mod ISIL og NATOs indsats i Afghanistan. I.f.t. kampen mod
ISIL suppleres det danske militære bidrag af et regionalt stabiliseringsprogram
for Syrien og Irak, som har til formål at bidrage til bekæmpelsen af ISIL og andre
ekstremistiske aktører samt fremme en inkluderende politisk løsning på konflik-
ten i Syrien og et mere stabilt og demokratisk Irak. Indsatserne omfatter bl.a.
minerydningsarbejde, redningsarbejde, levering af basale serviceydelser samt
fremme af forsoning og politisk dialog.
Danmark bidrager også til FN’s fredsbevarende missioner i bl.a. Mali og Sydsu-
dan. Danmark udfører derudover en række freds- og stabiliseringsopgaver, her-
under især inden for rammen af den interministerielle Freds- og Stabiliserings-
fond. Danmark gennemfører bl.a. samtænkte, regionale freds- og stabiliserings-
programmer i Syrien-Irak, Sahel-regionen, på Afrikas Horn og i Afghanistan.
Indsatserne består fx af støtte til sikring af adgang til basale serviceydelser, kapa-
citetsopbygning af lokale sikkerhedsstyrker, bekæmpelse af voldelig ekstremisme
samt støtte til fremme af maritim sikkerhed. Gennem Freds- og Stabiliserings-
fonden bidrager Danmark også til at styrke FN’s evne til at fremme stabilisering
og fredsbevaring.
Målsætningen bidrager til verdensmål 16 om fred, retfærdighed og stærke institu-
tioner.
SAU, Alm.del - 2017-18 - Bilag 276: Fremdriftsrapport på handlingsplanen for implementeringen af verdensmålene 2018, fra Finansministeriet
1937057_0058.png
fm.dk