Europaudvalget 2017-18
EUU Alm.del Bilag 743
Offentligt
1908600_0001.png
Beretning for 2017
Vurdering og anerkendelse af
udenlandske
uddannelseskvalifikationer m.v.
Maj 2018
EUU, Alm.del - 2017-18 - Bilag 743: Kopi af orientering om beretning for 2017 om vurdering og anerkendelse af udenlandske uddannelseskvalifikationer m.v., fra uddannelses- og forskningsministeren
Beretning for 2017
Udgivet af
Styrelsen for Forskning og Uddannelse
Bredgade 40
1260 København K
Tel.: 3544 6200
[email protected]
www.ufm.dk
IT-Universitetet i København
foto af
Malouette via Flickr (CC BY-SA 2.0)
Foto
Publikationen kan hentes på ufm.dk/publikationer
ISSN (elektronisk publikation): 2245-9995
Styrelsen for Forskning og Uddannelse
2
EUU, Alm.del - 2017-18 - Bilag 743: Kopi af orientering om beretning for 2017 om vurdering og anerkendelse af udenlandske uddannelseskvalifikationer m.v., fra uddannelses- og forskningsministeren
Beretning for 2017
Indhold
1. Resumé
1.1 Anerkendelse til ikke-lovregulerede erhverv og uddannelse
1.2 Anerkendelse til lovregulerede erhverv
4
4
5
2. Anerkendelse til ikke-lovregulerede erhverv og uddannelse
2.1 Vurdering af udenlandske uddannelseskvalifikationer
2.2 Almindelige vurderinger
2.3 Vejledende udtalelser
2.4 Turbovurderinger for virksomheder
2.5 Ph.d.-kvikvurderinger
2.6 Hotline for integrationsansvarlige
2.7 Vurdering af adgangsgivende eksaminer
2.8 SU til udlandet og udlandsstipendier
2.9 Anden information om udenlandske uddannelser m.v.
2.10 Kvalifikationsnævnet
2.11 Internationalt samarbejde om anerkendelse
2.12 Transparens og sammenlignelighed
7
7
9
14
15
15
15
16
18
18
18
21
24
3. Anerkendelse til lovregulerede erhverv
3.1 Introduktion
3.2 Transparensinitiativet
3.3 Kommissionens servicepakke 2017
3.4 Europa-Kommissionens database over lovregulerede erhverv
3.5 Informationssystemet for det Indre Marked (IMI)
3.6 Kvikskranke-samarbejdet
3.7 De kompetente myndigheders afgørelser om autorisation m.v.
3.8 Pligtmæssig vurdering
3.9 Tjenesteydere fra EU/EØS-lande
3.10 Det europæiske erhvervspas
3.11 Advarselssystemet
27
27
32
34
35
35
36
36
41
42
44
45
Styrelsen for Forskning og Uddannelse
3
EUU, Alm.del - 2017-18 - Bilag 743: Kopi af orientering om beretning for 2017 om vurdering og anerkendelse af udenlandske uddannelseskvalifikationer m.v., fra uddannelses- og forskningsministeren
1908600_0004.png
Beretning for 2017
1. Resumé
For at sikre en sammenhængende indsats for vurdering og anerkendelse af udenlandske
uddannelseskvalifikationer er ansvaret for en række opgaver her i landet samlet i Sty-
relsen for Forskning og Uddannelse, herunder navnlig funktionerne som
vurderingsmyndighed for udenlandske uddannelseskvalifikationer
informations- og videncenter for vurdering og anerkendelse på tværs af græn-
serne
koordinator og støttecenter i forhold til EU's anerkendelsesdirektiv vedrørende
lovregulerede erhverv.
1.1 Anerkendelse til ikke-lovregulerede erhverv og uddannelse
Hos Styrelsen for Forskning og Uddannelse kan borgere, virksomheder, uddannelsesin-
stitutioner, myndigheder m.fl. få vurderinger af afsluttede udenlandske uddannelser og
andre former for information og rådgivning om international anerkendelse af kvalifikati-
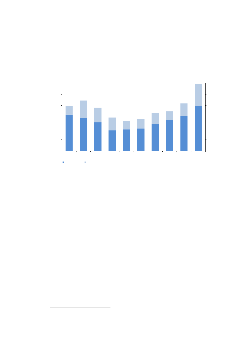
oner og kompetencer. I 2017 leverede styrelsen i alt 4.142 vurderinger m.v. Antallet var
27 procent lavere end året før, hvilket hovedsagelig skyldes afviklingen af greencard-
ordningen, hvor styrelsen bidrog med vurdering af ansøgernes uddannelser.
Figur
.1
1
Afsluttede vurderinger m.v. efter sagstype, antal, 2013-2017
Antal vurderinger m.v.
6.000
Antal vurderinger m.v.
6.000
5.000
5.000
4.000
4.000
3.000
3.000
2.000
2.000
1.000
1.000
0
2013
Almindelige vurderinger
Ph.d.-kvikvurderinger
2014
2015
2016
2017
Turbovurderinger for virksomheder
Hotline-svar om adgangsgivende eksaminer
Pligtmæssige vurderinger
Greencardrelaterede vurderinger
0
Hotline-udtalelser for integrationsansvarlige
Vejledende udtalelser
Samtidig faldt antallet af almindelige vurderinger med 11 procent efter et år med ex-
ceptionelt mange ansøgninger som følge af tilgangen af flygtninge fra Syrien. De almin-
delige vurderinger vedrørende statsborgere fra Syrien tog fart i 2014 og toppede i 2016
Styrelsen for Forskning og Uddannelse
4
EUU, Alm.del - 2017-18 - Bilag 743: Kopi af orientering om beretning for 2017 om vurdering og anerkendelse af udenlandske uddannelseskvalifikationer m.v., fra uddannelses- og forskningsministeren
Beretning for 2017
med 536 personer. Fra 2013 til 2017 har 1.350 syrere fået en almindelig vurdering, mens
191 har fået en vejledende udtalelse. Den vejledende udtalelse er et tilbud til flygtninge
og andre, der er forhindrede i at fremskaffe tilstrækkelig dokumentation til en vurdering.
Sagsbehandlingstiden for almindelige vurderinger var i 2017 uændret på 45 kalenderda-
ge i gennemsnit. Ifølge Europarådet og UNESCO's anbefalinger bør sagsbehandlingsti-
den i sådanne sager ikke overstige fire måneder. Sagsbehandlingstiden var også uæn-
dret for turbovurdering for virksomheder (3 arbejdsdage) og hotline for uddannelsesin-
stitutioner (2 kalenderdage).
Kvalifikationsnævnet, der behandler klager over uddannelsesinstitutioners afgørelser
om merit og anerkendelse af realkompetence, modtog ligesom året før 31 klager. Der
var en fortsat stigende andel sager vedrørende anerkendelse af realkompetence. Ud af
de klager, der endte med en indholdsmæssig afgørelse fra nævnet, blev 21 procent imø-
dekommet, hvilket var væsentlig færre end året før.
Arbejdet med vurdering og anerkendelse af udenlandske uddannelser støtter sig i vidt
omfang på Lissabonkonventionen og det internationale samarbejde i netværkene ENIC
(Europarådet og UNESCO) og NARIC (EU). Danmark var i juni 2017 vært for et vellykket
ENIC/NARIC-årsmøde. Lissabonkonventionen fik i november tilføjet en vejledende an-
befaling om fleksible procedurer for flygtninge, som af gyldige årsager ikke kan fremvi-
se deres uddannelsesbeviser. Styrelsen for Forskning og Uddannelses vejledende udta-
lelser nævnes i den forbindelse som et eksempel til efterfølgelse.
1.2 Anerkendelse til lovregulerede erhverv
Inden for de lovregulerede erhverv, også kaldet autorisationserhverv, træffer de forskel-
lige kompetente myndigheder afgørelser om anerkendelse af udenlandske erhvervs-
mæssige kvalifikationer. Styrelsen for Forskning og Uddannelse er koordinator for disse
opgaver.
I 2017 udstedte myndighederne ifølge deres indberetninger i alt 2.968 afgørelser om
anerkendelse med henblik på etablering, dvs. erhvervsudøvelse på fast basis. Dermed
steg antallet markant i forhold til 2016, og antallet var omtrent fordoblet i forhold til et
lavpunkt i 2012. Stigningen i positive afgørelser, dvs. tildelte godkendelser/autorisa-
tioner, vedrørte frem for alt konjunkturfølsomme erhverv eller erhvervsfunktioner inden
for Arbejdstilsynets område, herunder truckfører, stilladsopstiller, fører af teleskoplæs-
ser og arbejde med asbestnedrivning.
Afgørelser efter EU’s anerkendelsesdirektiv udgjorde 67 procent af afgørelserne mod 74
procent året før. Med andre ord øgedes andelen af afgørelser vedrørende statsborgere
og uddannelser fra tredjelande. Samlet set var andelen af positive afgørelser fortsat
langt højere i sager efter EU-reglerne end i de øvrige sager. Af i alt 1.965 positive afgø-
relser blev 1.802 truffet efter EU-reglerne og 163 efter de nationale regler.
Sagsbehandlingstiden hos de kompetente myndigheder blev i omkring 9 ud af 10 sager
holdt under tre måneder. Tre måneder er den frist, der normalt gælder i de sager, der
behandles efter EU-reglerne.
Ud over ansøgninger vedrørende etablering modtog myndighederne 2.291 anmeldelser
fra EU/EØS-borgere, der ønskede at levere tjenesteydelser midlertidigt eller lejligheds-
Styrelsen for Forskning og Uddannelse
5
EUU, Alm.del - 2017-18 - Bilag 743: Kopi af orientering om beretning for 2017 om vurdering og anerkendelse af udenlandske uddannelseskvalifikationer m.v., fra uddannelses- og forskningsministeren
1908600_0006.png
Beretning for 2017
vist. Det var 9 procent flere end i 2016, og antallet har været stigende lige siden 2011.
Tjenesteydere, der er etablerede i Polen, udgør fortsat den største gruppe, men der ses
stigninger for Tyskland, Tjekkiet og Slovakiet. Langt de fleste anmeldelser ligger fortsat
inden for Arbejdstilsynets område, typisk inden for de faglige områder, hvor der også
har været mange ansøgninger om anerkendelse med henblik på etablering.
Som led i gennemførelsen af EU's reviderede anerkendelsesdirektiv har Styrelsen for
Forskning og Uddannelse og de kompetente myndigheder udmøntet transparensinitia-
tivet, bl.a. ved at kortlægge nye krav, lempede krav og modernisering af reguleringen
inden for visse erhverv.
Europa-Kommissionen har med sin servicepakke fra januar 2017 iværksat en række
initiativer, der skal gøre det lettere for tjenesteydere at håndtere de administrative for-
maliteter og for EU-landene at udskille overdrevent besværlige eller forældede krav til
erhvervsudøvere. I den forbindelse har Kommissionen bl.a. foreslået et direktiv om pro-
portionalitetstest, der skal udføres forud for vedtagelse af ny regulering af erhverv.
Det europæiske erhvervspas (European Professional Card, EPC) er indført på udvalgte
erhvervsområder: sygeplejerske, fysioterapeut, farmaceut, ejendomsmægler og bjergfø-
rer. Der blev i 2017 udstedt 11 EPC for erhvervsudøvelse i Danmark, heraf 8 med henblik
på etablering og 3 med henblik på midlertidige tjenesteydelser.
EU’s advarselssystem
er indført for at undgå, at personer, der er frakendt retten til at
udøve deres erhverv i én medlemsstat, gør det i en anden medlemsstat. Danmark mod-
tog i 2017 i alt 11.205 advarsler fra andre EU-lande og afsendte selv 196 advarsler.
Om beretningen
Efter lov om vurdering af udenlandske uddannelseskvalifikationer m.v. afgiver ud-
dannelses- og forskningsministeren årligt en beretning til Folketinget om vurdering
og anerkendelse af udenlandske uddannelseskvalifikationer m.v. Beretningen om-
handler:
Anerkendelse med henblik på ikke-lovregulerede erhverv og uddannelse,
herunder Kvalifikationsnævnets behandling af klagesager vedrørende merit
m.v. (kapitel 2)
Anerkendelse med henblik på adgang til at udøve lovregulerede erhverv,
herunder samspillet mellem Styrelsen for Forskning og Uddannelse og de
kompetente myndigheder (kapitel 3).
I hvert kapitel gøres der dels statistisk rede for brugen af anerkendelsesordninger-
ne, dels beskrives den kvalitative udvikling med vægt på, hvordan myndighederne
løbende arbejder på at forbedre adgangen til hurtig og fair anerkendelse.
Hvor der ikke er angivet anden kilde, stammer tallene fra Styrelsen for Forskning og
Uddannelses registre og beregninger. Procenttal er afrundet til nærmeste hele tal.
Flere oplysninger om vurdering og anerkendelse af udenlandske uddannelseskvalifi-
kationer kan findes på Uddannelses- og Forskningsministeriets hjemmeside:
www.ufm.dk/anerkendelse.
Styrelsen for Forskning og Uddannelse
6
EUU, Alm.del - 2017-18 - Bilag 743: Kopi af orientering om beretning for 2017 om vurdering og anerkendelse af udenlandske uddannelseskvalifikationer m.v., fra uddannelses- og forskningsministeren
1908600_0007.png
Beretning for 2017
2. Anerkendelse til
ikke-lovregulerede
erhverv og uddannelse
Dette kapitel beskriver vurdering af udenlandske uddannel-
seskvalifikationer, Kvalifikationsnævnets behandling af
klager over meritafgørelser m.v., internationalt samarbejde
om anerkendelse samt redskaber for transparens og sam-
menlignelighed.
Styrelsen for Forskning og Uddannelse er det centrale sted, hvor borgere, virksomheder,
institutioner, myndigheder m.fl. kan få vurderinger af udenlandske uddannelseskvalifika-
tioner og andre former for information og rådgivning om international anerkendelse af
kvalifikationer og kompetencer. Opgaverne som vurderingsmyndighed og som informa-
tions- og videncenter for vurdering og anerkendelse varetages på grundlag af lov om
vurdering af udenlandske uddannelseskvalifikationer m.v. og Lissabonkonventionen, den
internationale aftale om fair anerkendelse inden for de videregående uddannelser.
1
2.1 Vurdering af udenlandske uddannelseskvalifikationer
Styrelsen for Forskning og Uddannelse udarbejder vurderinger og andre udtalelser om
udenlandske uddannelseskvalifikationer tilpasset brugernes behov:
Almindelige vurderinger, som kan benyttes på arbejdsmarkedet, i uddannelses-
systemet og generelt til afklaring og vejledning (se side 9)
Vejledende udtalelser til brug for især flygtninge, der ikke kan fremskaffe alle
de dokumenter, der er nødvendige for at få en vurdering (se side 14)
Turbovurderinger til virksomheder i forbindelse med ansættelse (side 15)
Vurderinger af ph.d.-ansøgeres uddannelseskvalifikationer (side 15)
Hotline-udtalelser for integrationsansvarlige (side 15)
Hotline-svar på uddannelsesinstitutioners henvendelser om konkrete uden-
landske adgangsgivende eksaminer (side 16)
Vurderinger af autorisationsansøgeres uddannelseskvalifikationer til brug for
kompetente myndigheders afgørelser (side 40).
I 2017 leverede styrelsen i alt 4.142 vurderinger m.v., hvilket var 27 procent færre end
året før. Nedgangen skyldes frem for alt, at greencardordningen blev ophævet i 2016.
Højtkvalificerede udlændinge fra lande uden for EU/EØS havde indtil juni 2016 mulighed
1
Se lovbekendtgørelse nr. 579 af 1. juni 2014 og bekendtgørelse af konvention af 11. april 1997 om anerkendelse af
kvalifikationer inden for de videregående uddannelser i Europaregionen (BKI nr. 28 af 2. oktober 2003).
Styrelsen for Forskning og Uddannelse
7
EUU, Alm.del - 2017-18 - Bilag 743: Kopi af orientering om beretning for 2017 om vurdering og anerkendelse af udenlandske uddannelseskvalifikationer m.v., fra uddannelses- og forskningsministeren
1908600_0008.png
Beretning for 2017
for at ansøge om opholdstilladelse til at søge arbejde i Danmark efter greencardordnin-
gen, hvor uddannelsesniveauet var et af kriterierne. Styrelsen (tidligere Styrelsen for
Videregående Uddannelser) vurderede greencardansøgeres udenlandske uddannelses-
kvalifikationer efter anmodning fra Styrelsen for International Rekruttering og Integra-
tion (SIRI). Greencardordningen blev afskaffet i 2016, idet der fra den 10. juni 2016 ikke
længere kunne indgives nye ansøgninger om opholdstilladelse efter ordningen. I 2017
blev der derfor kun afsluttet et lille antal resterende greencardrelaterede sager. Udvik-
lingen inden for de enkelte sagstyper ses i tabel 2.1 og figur 2.1 nedenfor.
Tabel
.1
2
Afsluttede vurderinger m.v. efter sagstype, 2013-2017
Sagstype
Almindelige vurderinger
Greencardrelaterede vurderinger
Turbovurderinger for virksomheder
Ph.d.-kvikvurderinger
Hotline-svar om adgangsgivende eksaminer
Hotline-udtalelser for integrationsansvarlige
Pligtmæssige vurderinger
Vejledende udtalelser
I alt
2013
Antal
1.782
2.999
67
118
582
53
6
5.607
2014
Antal
1.908
3.182
79
108
540
36
7
5.860
2015
Antal
2.474
1.944
91
72
660
53
40
5.334
2016
Antal
3.192
1.209
223
69
672
80
74
171
5.690
2017
Antal
2.833
43
282
59
613
115
96
101
4.142
Ændring seneste år
Antal
-359
-1.166
59
-10
-59
35
22
-70
-1.548
Pct.
-11
-96
26
-14
-9
44
30
-41
-27
Figur
.1
2
Afsluttede vurderinger m.v. efter sagstype, antal, 2013-2017
Antal vurderinger m.v.
6.000
Antal vurderinger m.v.
6.000
5.000
5.000
4.000
4.000
3.000
3.000
2.000
2.000
1.000
1.000
0
2013
Almindelige vurderinger
Ph.d.-kvikvurderinger
2014
2015
2016
2017
0
Turbovurderinger for virksomheder
Hotline-svar om adgangsgivende eksaminer
Pligtmæssige vurderinger
Greencardrelaterede vurderinger
Hotline-udtalelser for integrationsansvarlige
Vejledende udtalelser
Styrelsen for Forskning og Uddannelse
8
EUU, Alm.del - 2017-18 - Bilag 743: Kopi af orientering om beretning for 2017 om vurdering og anerkendelse af udenlandske uddannelseskvalifikationer m.v., fra uddannelses- og forskningsministeren
1908600_0009.png
Beretning for 2017
Styrelsen vurderer i øvrigt udenlandske lærerkvalifikationer som led i sine afgørelser om
undervisningskompetence til lærere i folkeskolen og de gymnasiale uddannelser. Disse
afgørelser indgår i kapitel 3.7 om de kompetente myndigheders afgørelser om autorisa-
tioner m.v.
2
2.2 Almindelige vurderinger
En almindelig vurdering er et dokument, der angiver, hvilket dansk uddannelsesniveau
og så vidt muligt hvilket dansk uddannelsesområde en afsluttet udenlandsk uddannelse
svarer til. I 2017 udstedte styrelsen 2.833 almindelige vurderinger tilhørende 2.469 per-
soner.
3
Antallet af vurderinger var 11 procent lavere end i 2016. Denne nedgang kom
efter et år med exceptionelt mange ansøgninger som følge af tilgangen af flygtninge
fra Syrien.
Nogle ansøgninger fører ikke til en vurdering. For eksempel videresendes eller henvises
ansøgninger, når ansøgerens ønske er adgang til at udøve et lovreguleret erhverv, som
en anden myndighed har ansvaret for. I en mindre del af sagerne afviser styrelsen at
foretage en vurdering, hvilket i 2017 ligesom året før hovedsagelig skete i tilfælde, hvor
uddannelsen ikke tilhørte et lands ordinære uddannelsessystem eller ikke var afsluttet.
Tabel 2.2 nedenfor viser udviklingen i mængden og behandlingen af sager.
Tabel
.2
2
Afsluttede almindelige vurderingssager efter resultat af behandling, 2013-2017
Status for afsluttede sager
Vurdering afsluttet
2013
Antal
1.782
2014
Antal
1.908
26
19
49
8
2.010
2015
Antal
2.474
59
129
57
3
2.722
2016
Antal
3.192
29
119
132
16
3.488
2017
Antal
2.833
15
109
75
8
3.040
Ændring seneste år
Antal
-359
-14
-10
-57
-8
-448
Pct.
-11
-48
-8
-43
-50
-13
Besvaret ved information/vejledning 44
Videresendt eller henvist
Behandling afvist
Ansøgning trukket tilbage
I alt
16
50
10
1.902
Anm.: Tallene omfatter ikke sager, der er henlagt på grund af manglende dokumentation fra ansøgeren.
2.2.1 Vurderingernes sigte
Det vigtigste formål med at få en vurdering er ifølge ansøgningerne overvejende job-
søgning eller andre beskæftigelsesrelaterede formål. I 2017 gjaldt det 59 procent af de
oprettede sager, mens et uddannelsesformål var det primære i 40 procent af sagerne.
2.2.2 Ansøgerne
I de fleste tilfælde er det uddannelsesindehaverne selv, der beder styrelsen om en vur-
dering, som de blandt andet kan bruge som bilag til en jobansøgning eller en ansøgning
om optagelse på en uddannelse. Det gjaldt 93 procent af vurderingerne i 2017. De øvrige
vurderinger er hovedsagelig indhentet af jobcentre og kommuner.
2
3
Styrelsens vurderings- og anerkendelsestilbud er nærmere beskrevet på www.ufm.dk/anerkendelse.
Når en ansøger sender flere, ikke sammenhængende uddannelser til vurdering, vurderes hver enkelt uddannelse. I disse
tilfælde registreres derfor flere vurderingssager for samme uddannelsesindehaver.
Styrelsen for Forskning og Uddannelse
9
EUU, Alm.del - 2017-18 - Bilag 743: Kopi af orientering om beretning for 2017 om vurdering og anerkendelse af udenlandske uddannelseskvalifikationer m.v., fra uddannelses- og forskningsministeren
1908600_0010.png
Beretning for 2017
Arbejdsgivere får stort set altid en vurdering i form af styrelsens såkaldte turbovurde-
ringer (se side 15). Uddannelsesinstitutioner, der ønsker hjælp til at vurdere en uddan-
nelse, benytter som regel styrelsens ph.d.-kvikvurderinger (side 15) eller hotline (side 16).
2.2.2.1 Nationalitet
9 procent af uddannelsesindehaverne i de almindelige vurderinger, som styrelsen fore-
tog i 2017, var danske statsborgere, 32 procent statsborgere i andre EU/EØS-lande, og
59 procent statsborgere i tredjelande, navnlig lande i Asien, herunder Syrien og Mellem-
østen i øvrigt. Fordelingen på regioner de sidste fem år ses i tabel 2.3 nedenfor.
Tabel
.3
2
Personer, der har fået en almindelig vurdering, efter statsborgerskab (regioner), 2013-2017
Statsborgerskab
2013
Pct.
Danmark, Færøerne og Grønland 12
EU/EØS
Tredjelande
Europa i øvrigt
Afrika
Asien
Nordamerika
Oceanien
Syd- og Mellemamerika
Ikke oplyst
I alt
36
51
15
5
24
2
1
5
1
100
2014
Pct.
11
34
55
14
4
29
1
1
5
0
100
2015
Pct.
10
29
61
11
5
39
1
0
4
1
100
2016
Pct.
8
29
62
10
6
40
2
1
4
1
100
2017
Pct.
9
32
59
10
6
36
1
1
4
1
100
2017
Antal
220
781
1.448
255
143
887
36
16
111
20
2.469
Syrien udgjorde ligesom de to foregående år den største nationalitet blandt styrelsens
vurderinger, med 16 procent af uddannelsesindehaverne i 2017, fulgt af Danmark, Ru-
mænien og Polen. De hyppigst forekommende nationaliteter fremgår af figur 2.2 neden-
for. Blandt lande med stigende vurderingstal bemærkes især Filippinerne.
Figur
.2
2
Personer med almindelig vurdering, efter statsborgerskab, top 20 (2017), antal, 2014-2017
Antal personer
600
500
400
300
200
100
0
Antal personer
600
500
400
300
200
100
0
2014
2015
2016
2017
Styrelsen for Forskning og Uddannelse
10
EUU, Alm.del - 2017-18 - Bilag 743: Kopi af orientering om beretning for 2017 om vurdering og anerkendelse af udenlandske uddannelseskvalifikationer m.v., fra uddannelses- og forskningsministeren
1908600_0011.png
Beretning for 2017
Fra 2013 til 2017 har 1.350 syrere fået en almindelig vurdering. Vurderinger vedrørende
statsborgere fra Syrien tog fart i 2014 og toppede i 2016 med 536 personer. I 2017 faldt
antallet til 384 personer, hvilket dog stadig var flere end i 2015. Denne udvikling afspej-
ler med en vis forsinkelse, at antallet af syrere, der har fået opholdstilladelse med flygt-
ningestatus, toppede med ca. 6.000 i 2015 og 5.300 i 2016 for så at falde kraftigt i 2017
til godt 1.000 personer.
4
2.2.2.2 Køn
Der har længe været en overvægt af kvinder blandt uddannelsesindehaverne i styrel-
sens vurderinger, dog knap så meget i 2015 og 2016. I 2017 udgjorde kvinder igen et
klart flertal med 61 procent af uddannelsesindehaverne. Kvinder udgjorde i 2017 over to
tredjedel af uddannelsesindehaverne fra såvel EU og det øvrige Europa som Nord- og
Sydamerika. Også blandt uddannelsesindehavere fra Syrien udgjorde kvinder en vok-
sende andel med 47 procent mod 32 procent i 2016 og 22 procent i 2015.
2.2.2.3 Alder
82 procent af de personer, hvis uddannelser blev vurderet i 2017, var under 40 år, og 37
procent var under 30 år. Fordelingen var nogenlunde uændret i forhold til de seneste år.
2.2.3 Uddannelsernes oprindelse
Styrelsen vurderede i 2017 uddannelser fra 128 lande. Samlet set vedrørte 35 procent af
vurderingerne uddannelser fra EU/EØS-lande, og 65 procent uddannelser fra tredjelan-
de, især i Asien. Se den nærmere fordeling i tabel 2.4 nedenfor.
Tabel
.4
2
Almindelige vurderinger efter uddannelsernes oprindelse, 2013-2017
Region
Færøerne og Grønland
EU/EØS
Tredjelande
Europa i øvrigt
Asien
Afrika
Nordamerika
Syd- og Mellemamerika
Oceanien
I alt
2013
Pct.
0
43
56
17
24
5
4
5
2
100
2014
Pct.
0
40
60
17
28
5
4
5
2
100
2015
Pct.
0
35
65
13
38
6
3
5
1
100
2016
Pct.
0
34
66
12
39
5
3
5
1
100
2017
Pct.
0
35
65
12
37
6
3
5
1
100
2017
Antal
2
1.005
1.826
349
1.059
165
84
135
34
2.833
Det langt hyppigst forekommende uddannelsesland var Syrien. Ligesom det er tilfældet
med ansøgernes nationalitet, har vurderinger af syriske uddannelser toppet i 2016. I
2017 udgjorde de 467 mod 608 i 2016 og 382 i 2015.
Som det fremgår af figur 2.3 på næste side, havde Rumænien, Polen og Ukraine ligesom
året før de følgende pladser blandt de hyppigste uddannelseslande. Nyt var derimod, at
uddannelser fra Filippinerne steg til en femteplads, mens der blev vurderet væsentlig
4
Danmarks Statistik: Statistikbanken (VAN66).
Styrelsen for Forskning og Uddannelse
11
EUU, Alm.del - 2017-18 - Bilag 743: Kopi af orientering om beretning for 2017 om vurdering og anerkendelse af udenlandske uddannelseskvalifikationer m.v., fra uddannelses- og forskningsministeren
1908600_0012.png
Beretning for 2017
færre uddannelser fra Storbritannien og Iran. Uddannelser fra nordiske lande var gen-
stand for 102 vurderinger, hovedsagelig uddannelser fra Sverige (45), Norge (30) og
Island (21).
Figur
.3
2
Almindelige vurderinger efter uddannelsesland, top 20 (2017), antal, 2014-2017
Antal vurderinger
700
Antal vurderinger
700
600
600
500
500
400
400
300
300
200
200
100
100
0
0
2014
2015
2016
2017
2.2.4 Uddannelsernes niveau
Styrelsen for Forskning og Uddannelse vurderer afsluttede udenlandske uddannelser i
forhold til niveauer i det danske uddannelsessystem. Eventuelle uafsluttede uddannel-
ser omtales i styrelsens svar til ansøgerne, men indgår ikke i vurderingerne. Tabel 2.5 på
næste side viser, hvordan vurderingerne har fordelt sig på de vurderede uddannelsers
nærmeste generelle niveau.
67 procent af vurderingerne i 2017 angav et helt eller delvist niveau inden for videre-
gående uddannelse, og denne andel har været faldende det sidste par år (fra 74 pct. i
2015). Uddannelserne svarede til et dansk bachelorniveau (inkl. professionsbachelor) i
41 procent, bachelor plus 1 års kandidatstudier i 10 procent, et fuldt kandidatniveau i 15
procent, og et ph.d.-niveau i 1 procent af vurderingerne.
13 procent af vurderingerne angav et helt eller delvist niveau inden for erhvervsuddan-
nelse (8 pct. på niveau med en lang, dvs. typisk fireårig erhvervsuddannelse), mens 20
procent angav et helt eller delvist gymnasialt niveau (6 pct. et helt gymnasialt niveau).
De uddannelser fra Syrien, som blev vurderet i 2017, var gennemgående på et lavere
uddannelsesniveau end i 2016 og især 2015. Mens der fortsat kun var 1 procent på
dansk kandidatniveau eller derover, udgjorde vurderinger på bachelorniveau 2017 33
procent af vurderingerne af syriske uddannelser i 2017 mod 45 procent i 2016 og 58
procent i 2015.
Styrelsen for Forskning og Uddannelse
12
EUU, Alm.del - 2017-18 - Bilag 743: Kopi af orientering om beretning for 2017 om vurdering og anerkendelse af udenlandske uddannelseskvalifikationer m.v., fra uddannelses- og forskningsministeren
1908600_0013.png
Beretning for 2017
Tabel
.5
2
Almindelige vurderinger efter nærmeste generelle uddannelsesniveau, 2013-2017
Niveaubetegnelse
Grundskoleniveau – 7.-10. uddannelsesår
10. uddannelsesår
Ungdomsuddannelsesniveau – 11.-12. uddannelsesår
Korte videregående uddannelser – 13.-14. uddannelsesår
Mellemlange videregående uddannelser – 15.-16. udd.år
Lange videregående uddannelser – 17.-18. uddannelsesår
Forskerniveau – 19.- uddannelsesår
I alt
2013
Pct.
1
2
23
9
28
36
2
100
2014
Pct.
1
2
24
8
31
32
2
100
2015
Pct.
0
1
24
8
33
31
2
100
2016
Pct.
1
1
30
8
33
26
1
100
2017
Pct.
1
3
30
9
31
25
1
100
2017
Antal
21
80
845
255
885
707
40
2.833
2.2.5 Uddannelsernes faglige retning
Tabel 2.6 nedenfor viser, hvordan vurderingerne har fordelt sig efter uddannelsernes
faglige hovedområder. Når der ses bort fra gymnasiale uddannelser, udgjorde de tekni-
ske områder (50 til 58 i tabellen) taget under ét fortsat det største faglige område i
2017, fulgt af området erhvervsøkonomi, administration og jura. Blandt vurderinger af
syriske uddannelser er de tekniske områders andel faldet fra 23 procent i 2015 til 14
procent i 2017, mens de gymnasiale uddannelsers andel er vokset fra 20 til 42 procent.
Tabel
.6
2
Almindelige vurderinger efter fagligt hovedområde ifølge vurdering, 2013-2017
DISCED- Fagligt hovedområde
kode
10
12
20
25
27
30
35
40
45
50
55
57
58
60
65
70
75
80
I alt
Grundskole
Gymnasiale uddannelser
Undervisning og læring
Humanistisk
Audiovisuel teknik og medieproduktion
Kunstnerisk
Samfundsvidenskab
Erhvervsøkonomi, administration og jura
Naturvidenskab
2013
Pct.
1
12
4
10
1
3
9
21
8
2014
Pct.
1
13
5
9
0
2
8
20
10
3
12
3
3
2
8
2
0
0
100
2015
Pct.
0
14
3
9
0
2
7
20
8
4
12
4
3
2
8
2
0
0
100
2016
Pct.
1
18
4
7
0
2
7
19
8
3
12
3
4
3
8
2
0
0
100
2017
Pct.
1
19
4
8
1
2
7
17
7
3
10
3
4
3
9
2
0
0
100
2017
Antal
20
552
116
226
17
60
198
487
202
91
279
76
102
78
259
56
4
10
2.833
Informations- og kommunikationsteknologi 3
Teknik, teknologi og industriel produktion
Mekanik, jern og metal
Bygge- og anlægsteknik
Jordbrug, skovbrug og fiskeri
Social og sundhed
Service
Forsvar, politi og sikkerhed
Transport
12
2
2
2
9
2
0
0
100
Styrelsen for Forskning og Uddannelse
13
EUU, Alm.del - 2017-18 - Bilag 743: Kopi af orientering om beretning for 2017 om vurdering og anerkendelse af udenlandske uddannelseskvalifikationer m.v., fra uddannelses- og forskningsministeren
1908600_0014.png
Beretning for 2017
2.2.6 Uddannelsernes alder
I 59 procent af vurderingerne i 2017 var uddannelsen mindre end 10 år gammel på vur-
deringstidspunktet, mens den var mindre end 5 år gammel i 27 procent af vurderingerne.
Andelen af yngre uddannelser var noget lavere end året før, og gennemsnittet for ud-
dannelsernes alder steg da også fra 8,9 til 9,3 år. Gennemsnitsalderen for vurderede
syriske uddannelser steg fra 9 til 10 år.
2.2.7 Sagsbehandlingstid
Sagsbehandlingstiden for almindelige vurderinger var i 2017 på 44,6 kalenderdage i
gennemsnit, hvilket var stort set uændret i forhold til 2016 (44,5 dage).
5
Tabel 2.7 nedenfor viser, hvordan vurderingerne samlet har fordelt sig efter sagsbe-
handlingstiden i antal måneder. 76 procent af vurderingerne blev i 2017 gennemført på
mindre end to måneder (mod 78 pct. året før). 1 procent (32 vurderinger) tog over 3 må-
neder, heraf 10 over 4 måneder.
Tabel
.7
2
Almindelige vurderinger efter sagsbehandlingstid i måneder, 2013-2017
Sagsbehandlingstid
Mindre end 1 måned
Mellem 1 og 2 mdr.
Mellem 2 og 3 mdr.
Mellem 3 og 4 mdr.
Mellem 4 og 5 mdr.
Mellem 5 og 6 mdr.
Over 6 mdr.
I alt
2013
Pct.
45
45
9
1
0
0
0
100
2014
Pct.
50
42
7
0
0
0
0
100
2015
Pct.
38
52
9
1
0
0
0
100
2016
Pct.
21
56
21
1
0
0
0
100
2017
Pct.
23
53
23
1
0
0
0
100
2017
Antal
646
1.511
644
22
6
1
3
2.833
2.3 Vejledende udtalelser
En vejledende udtalelse er et tilbud til flygtninge og andre, der er forhindrede i at frem-
skaffe tilstrækkelig dokumentation til at få en egentlig vurdering af deres udenlandske
uddannelse. Det er et baggrundspapir, der oplyser, hvordan styrelsen normalt vurderer
en lignende uddannelse, når den er tilstrækkeligt dokumenteret, og beskriver ansøge-
rens uddannelsesbaggrund på grundlag af ansøgerens egne oplysninger og dokumenter
sammenholdt med styrelsens viden om uddannelser fra det pågældende land. Tilbuddet
har til formål at gøre det lettere for den enkelte at forklare sine kvalifikationer, når han
eller hun undersøger mulighederne for at søge arbejde eller læse videre i Danmark.
6
I 2017 udstedte styrelsen 101 vejledende udtalelser. Det var en tilbagegang fra 171 ud-
talelser året før, men stadig betydelig flere end de tidligere år. De vejledende udtalelser
har i en del tilfælde været løsningen, når en syrisk flygtning ikke var i stand til at frem-
skaffe dokumentation for sine uddannelseskvalifikationer, og antallet er derfor påvirket
af, at vurderingsansøgninger fra syrere toppede i 2016. 79 procent af de vejledende
5
Sagsbehandlingstiden for vurderingssager er den tid, der går fra modtagelsen af de nødvendige dokumenter og oplys-
ninger fra ansøgeren til afgivelsen af en vurdering. Ifølge den henstilling om kriterier og procedurer for vurdering, der er
vedtaget under Lissabonkonventionen, bør sagsbehandlingstiden ikke overstige fire måneder.
6
Vejledende udtalelser er nærmere beskrevet på http://ufm.dk/anerkendelse/vu.
Styrelsen for Forskning og Uddannelse
14
EUU, Alm.del - 2017-18 - Bilag 743: Kopi af orientering om beretning for 2017 om vurdering og anerkendelse af udenlandske uddannelseskvalifikationer m.v., fra uddannelses- og forskningsministeren
1908600_0015.png
Beretning for 2017
udtalelser i 2017 gik til syrere, og 11 procent til eritreere. Fra 2013 til 2017 har 191 syrere
fået en vejledende udtalelse.
Sagsbehandlingstiden for vejledende udtalelser var i 2017 på 40 kalenderdage mod 42
dage i 2016.
2.4 Turbovurderinger for virksomheder
Arbejdsgivere tilbydes turbovurdering, dvs. vurdering af udenlandske uddannelser, som
fås per e-mail i løbet af højst fem arbejdsdage med henblik på at kunne understøtte
udvælgelsen af ansøgere til jobsamtaler.
7
I 2017 foretog styrelsen 282 turbovurderinger, en stigning på 26 procent i forhold til året
før. 85 procent af vurderingerne var bestilt af offentlige arbejdsgivere, 10 procent af
private arbejdsgivere, og 5 procent af en privat fond.
De fleste af uddannelsesindehaverne var danske statsborgere (30 pct.) eller statsbor-
gere fra andre EU/EØS-lande (38 pct.), mens 10 procent var fra lande i Asien.
Vurderingerne vedrørte hovedsagelig uddannelser fra lande i EU/EØS (66 pct.) med
Storbritannien som det hyppigste forekommende land (18 pct.).
Ligesom året før blev turbovurderingerne leveret på 2,5 arbejdsdage i gennemsnit, og 96
procent blev leveret inden for 5 arbejdsdage.
2.5 Ph.d.-kvikvurderinger
Universiteterne kan hos Styrelsen for Forskning og Uddannelse indhente såkaldte ph.d.-
kvikvurderinger til brug for deres afgørelser om optagelse af ph.d.-studerende. Universi-
teterne får per e-mail en udtalelse om uddannelsesniveauet hos de udvalgte ansøgere,
som universitetet ønsker at optage. Styrelsen leverede i 2017 i alt 59 af disse vurderin-
ger (mod 69 i 2016). Vurderingerne blev hovedsagelig indhentet af to universiteter: Aar-
hus Universitet (42 pct.) og Københavns Universitet (37 pct.).
Uddannelsesindehaverne var omtrent ligeligt fordelt mellem EU/EØS-statsborgere og
statsborgere fra tredjelande. Flertallet af vurderingerne vedrørte uddannelser fra lande i
EU/EØS (56 pct. mod 41 pct. året før), mens der blev forelagt færre uddannelser fra Asi-
en, som udgjorde 20 procent af vurderingerne.
Det tog i gennemsnit 5,6 kalenderdage at få en ph.d.-kvikvurdering i 2017 mod 3,6 dage
året før. 86 procent blev leveret inden for 1 uge, og 95 procent inden for 2 uger.
2.6 Hotline for integrationsansvarlige
Styrelsen for Forskning og Uddannelse tilbyder kommuner og asylcentre hurtig rådgiv-
ning og udtalelser om flygtninge og familiesammenførtes medbragte uddannelser i form
af en hotline. Her kan medarbejdere hurtigt få en indledende vurdering af formelle kvali-
fikationer. Hotlinen blev oprettet i
2016 som led i udmøntningen af regeringen og KL’s
7
Læs mere om turbovurderinger på www.ufm.dk/anerkendelse/turbo.
Styrelsen for Forskning og Uddannelse
15
EUU, Alm.del - 2017-18 - Bilag 743: Kopi af orientering om beretning for 2017 om vurdering og anerkendelse af udenlandske uddannelseskvalifikationer m.v., fra uddannelses- og forskningsministeren
1908600_0016.png
Beretning for 2017
aftale af 18. marts 2016 om rammerne for kommunernes arbejde med integration af
flygtninge og familiesammenførte.
8
Den modtagende kommune fik i samme forbindelse pligt til at informere flygtninge og
familiesammenførte om muligheden for at få foretaget en vurdering af eventuelle for-
melle uddannelseskvalifikationer, når disse ikke allerede er blevet vurderet.
9
Initiativerne
er også beskrevet i Udlændinge- og Integrationsministeriets evaluering fra juni 2017.
10
Styrelsen besvarede i 2017 i alt 152 henvendelser til hotlinen, heraf 115 i form af udtalel-
ser og 37 i form af råd og vejledning. Langt de fleste af henvendelserne kom fra kommu-
ner: 148 henvendelser fra 36 forskellige kommuner. 4 henvendelser kom fra asylcentre.
51 procent af henvendelserne drejede sig om uddannelser fra Syrien, mens resten for-
delte sig på 29 lande, navnlig Iran og Eritrea.
Udtalelserne blev leveret på 2,5 kalenderdage i gennemsnit
samme dag som henven-
delsen i 47 procent af tilfældene, og inden for to dage i 71 procent. Henvendelser om råd
og vejledning blev i alle tilfælde besvaret samme dag.
2.7 Vurdering af adgangsgivende eksaminer
Styrelsen for Forskning og Uddannelse hjælper uddannelsesinstitutionerne med råd og
retningslinjer om udenlandske eksamensdokumenter i forbindelse med behandlingen af
ansøgninger om optagelse. Det sker gennem information på internettet, besvarelse af
henvendelser og afholdelse af informationsaktiviteter for medarbejdere ved de videre-
gående uddannelsesinstitutioner. I 2017 blev der afholdt en workshopdag i april for ud-
dannelsesinstitutionernes studieadministrative medarbejdere med særligt fokus på
omregning af eksamensbeviser.
Omregningstabeller for udenlandske karakterer blev opdateret og offentliggjort på
ufm.dk/ehb primo marts 2017 til brug for uddannelsesinstitutionernes behandling af
ansøgninger med henblik på optaget 2017.
Styrelsen har desuden bidraget med en analyse af optagelsesvilkårene for ansøgere
med IB-eksamen og i forlængelse heraf udarbejdet en vejledning om optagelse af ansø-
gere med IB Course Results.
2.7.1 Eksamenshåndbog
Eksamenshåndbogen på Uddannelses- og Forskningsministeriets netsted beskriver
adgangsgivende eksaminer fra 134 lande samt 18 regioner/provinser og 5 internationale
studentereksaminer. For hvert land kan man finde en oversigt over de eksaminer, der er
adgangsgivende i Danmark, oplysninger til brug for fagniveauvurderinger og karakter-
omregning foruden en beskrivelse af uddannelsessystemet og en liste over vigtige ord.
Eksamenshåndbogen stilles til rådighed for uddannelsesinstitutioner og uddannelsessø-
gende til brug i forbindelse med optag til de videregående uddannelser.
11
8
9
Læs mere om hotlinen på www.ufm.dk/anerkendelse/integration.
Det fremgår af integrationslovens § 16 b (lovbkg. nr. LBK nr. 1127 af 11. oktober 2017).
10
”Startevaluering af implementering af to- og trepartsaftalerne om integration”:
https://integrationsbarometer.dk/tal-
og-analyser/startevaluering-af-implementering-af-to-og-trepartsaftalerne-om-integration.
11
Se Eksamenshåndbogen på www.ufm.dk/ehb.
Styrelsen for Forskning og Uddannelse
16
EUU, Alm.del - 2017-18 - Bilag 743: Kopi af orientering om beretning for 2017 om vurdering og anerkendelse af udenlandske uddannelseskvalifikationer m.v., fra uddannelses- og forskningsministeren
1908600_0017.png
Beretning for 2017
2.7.2 Hotline for studieadministrative medarbejdere
Uddannelsesinstitutionerne kan maile eller ringe til styrelsens hotline for at få hjælp til
at vurdere, om et eksamensbevis er adgangsgivende til videregående uddannelse eller
erhvervsuddannelse i Danmark, og til at tage stilling til behovet for ægthedskontrol.
Erhvervsskolerne kan få baggrundsoplysninger om udenlandske uddannelsessystemer
og karaktersystemer med henblik på at afgøre, om 2,0-kravet i matematik og
dansk/modersmål er opfyldt. Styrelsen giver desuden ansøgere og institutioner anden
rådgivning, telefonisk som skriftligt.
I 2017 besvarede styrelsens hotline 613 henvendelser, hvor uddannelsesinstitutioner
ønskede vurdering af et konkret uddannelsesbevis. Det var 9 procent færre end året før,
hvor styrelsen besvarede 672 henvendelser. Nedgangen skyldes færre henvendelser
vedrørende optagelse på erhvervsuddannelser og gymnasiale uddannelser. 67 procent
af henvendelserne vedrørte optagelse på videregående uddannelser (mod 61 procent
året før), mens 29 procent vedrørte optagelse på erhvervsuddannelser.
56 procent af henvendelserne drejede sig om uddannelsesdokumenter fra EU/EØS-
lande, mens 15 procent vedrørte uddannelser fra Asien. Norge, Island, Storbritannien og
Sverige var de lande, som styrelsen oftest fik henvendelser om. De hyppigst forekom-
mende uddannelseslande fremgår af figur 2.4 nedenfor.
Figur
.4
2
Hotline-besvarelser efter uddannelsesland, top 20 (2017), antal, 2015-2017
Antal besvarelser
70
60
50
40
30
20
10
0
Antal besvarelser
70
60
50
40
30
20
10
0
2015
2016
2017
Sammenlignet med ansøgertallene for optagelse på danske videregående uddannelser
12
fik styrelsen relativt mange henvendelser vedrørende Storbritannien, Island og USA, og
relativt få henvendelser vedrørende en række østeuropæiske lande.
Hotlinehenvendelserne besvares i gennemsnit på 2 kalenderdage. 90 procent af hen-
vendelserne i 2017 blev besvaret på højst 3 dage, heraf de 82 procent samme dag som
henvendelsen.
12
Tal fra den Koordinerede Tilmelding vedrørende ansøgere i 2017 fordelt på nationalitet.
Styrelsen for Forskning og Uddannelse
17
EUU, Alm.del - 2017-18 - Bilag 743: Kopi af orientering om beretning for 2017 om vurdering og anerkendelse af udenlandske uddannelseskvalifikationer m.v., fra uddannelses- og forskningsministeren
1908600_0018.png
Beretning for 2017
2.8 SU til udlandet og udlandsstipendier
I henhold til SU-lovgivningen bevilges uddannelsesstøtte til uddannelse i udlandet og
udlandsstipendium blandt andet på betingelse af, at uddannelsen og uddannelsesinsti-
tutionen er offentligt anerkendte i studielandet.
13
Styrelsen for Institutioner og Uddan-
nelsesstøtte fører en fast track-liste over godkendte uddannelser og indhenter udtalel-
se fra Styrelsen for Forskning og Uddannelse, når en uddannelse ikke er godkendt inden
for de sidste fire år. I 2017 udarbejdede Styrelsen for Forskning og Uddannelse ca. 2.600
sådanne udtalelser mod ca. 2.800 året før.
2.9 Anden information om udenlandske uddannelser m.v.
På Uddannelses- og Forskningsministeriets hjemmeside tilbydes en række selvbetje-
ningsredskaber. De gør det muligt for borgere, virksomheder, uddannelsesinstitutioner
og myndigheder selv at finde vej til de ønskede oplysninger og erstatter dermed i en del
tilfælde en henvendelse om vurdering. Det drejer det sig navnlig om følgende:
Eksamenshåndbogen, som er omtalt ovenfor i afsnit 2.7.1., blev i 2017 åbnet ca.
38.000 gange af ca. 14.000 brugere. En forenklet opslagsside på engelsk blev
åbnet ca. 34.000 gange af ca. 20.000 brugere.
Landehåndbogen oplyser om styrelsens generelle vurderinger af gængse ud-
dannelser fra udvalgte lande og beskriver deres uddannelsessystemer
(www.ufm.dk/lhb). Den danske udgave blev åbnet ca. 7.200 gange af ca. 3.500
brugere, mens en kortfattet udgave på engelsk blev åbnet ca. 13.000 gange af
ca. 7.800 brugere.
Vurderingsdatabasen viser mange af styrelsens konkrete vurderinger af uden-
landske uddannelser (www.ufm.dk/vdb). Den blev i alt åbnet knap 10.000 gan-
ge af ca. 5.000 brugere.
Foruden de forskellige vurderingstilbud, hotlines og selvbetjeningssider besvarer
Styrelsen for Forskning og Uddannelse telefon- og e-mailhenvendelser om vurdering og
anerkendelse af udenlandske og danske uddannelseskvalifikationer fra privatpersoner
og andre brugergrupper.
2.10 Kvalifikationsnævnet
Kvalifikationsnævnet behandler klager over afgørelser truffet af danske uddannelsesin-
stitutioner i sager om merit og forhåndsmerit på baggrund af dansk og udenlandsk ud-
dannelse samt klager over afgørelser om anerkendelse af realkompetence. Inden for
universitetsuddannelserne kan der dog kun klages til Kvalifikationsnævnet over afgø-
relser om merit på baggrund af udenlandsk uddannelse. For universitetsstuderende
gælder, at afgørelser om merit på baggrund af dansk uddannelse og afgørelser om for-
håndsmerit skal påklages til det pågældende universitets eget meritankenævn.
Kvalifikationsnævnet består af en formand og en række medlemmer, som tilsammen
har sagkundskab inden for alle de uddannelsesområder, der hører under Uddannelses-
og Forskningsministeriet, Undervisningsministeriet samt Kulturministeriet. I hver enkelt
klagesag består nævnet af formanden og mindst to sagkyndige medlemmer, som såle-
des udvælges fra sag til sag.
14
13
14
Se § 66 i SU-bekendtgørelsen (bkg. nr. 1662 af 14. december 2015).
Læs mere om Kvalifikationsnævnet og dets lovgrundlag på www.ufm.dk/kn.
Styrelsen for Forskning og Uddannelse
18
EUU, Alm.del - 2017-18 - Bilag 743: Kopi af orientering om beretning for 2017 om vurdering og anerkendelse af udenlandske uddannelseskvalifikationer m.v., fra uddannelses- og forskningsministeren
1908600_0019.png
Beretning for 2017
Kvalifikationsnævnet tager udgangspunkt i Lissabonkonventionen, hvis bærende prin-
cip er, at en udenlandsk uddannelseskvalifikation eller studieperiode skal anerkendes,
medmindre der kan påvises væsentlige forskelle i forhold til den tilsvarende kvalifikation
eller studieperiode i værtslandet. Kvalifikationsnævnet sekretariatsbetjenes af Styrel-
sen for Forskning og Uddannelse.
2.10.1 Modtagne og behandlede klagesager
Kvalifikationsnævnet modtog i 2017 i alt 31 klagesager, hvilket var samme antal som
året før. Udviklingen i antallet af sager siden 2008 fremgår af figur 2.5 nedenfor.
Figur
.5
2
Sager modtaget af Kvalifikationsnævnet efter sagstype og år, antal, 2008-2017
Antal sager
50
45
40
35
30
25
20
15
10
5
0
2008
2009
2010
2011
2012
2013
2014
2015
2016
2017
Antal sager
50
45
40
35
30
25
20
15
10
5
0
Merit på baggrund af udenlandsk uddannelse
Merit på baggrund af dansk uddannelse
Anerkendelse af realkompetence
I 2017 drejede 17 sager sig om anerkendelse af realkompetence, hvilket var en stigning
på 6 sager siden 2016. Hovedparten af stigningen skyldes flere sager om realkompeten-
cevurdering inden for læreruddannelsen. Samtidig er antallet af sager på baggrund af
dansk uddannelse faldet fra 16 sager i 2016 til 9 sager i 2017. Antallet af sager på bag-
grund af udenlandsk uddannelse ligger med 5 sager på nogenlunde samme niveau som i
2015 og 2016. I tabel 2.8 nedenfor er det seneste års sager opdelt efter deres type og
udfald.
Tabel
.8
2
Sager modtaget af Kvalifikationsnævnet efter type og udfald, antal, 2017
Behandling
Afvist af formelle årsager
Frafaldet af klager
Henlagt pga. manglende
dokumentation
Ikke imødekommet
Imødekommet
Modtaget i alt
Anerkendelse af
realkompetence
1
0
0
14
2
17
Merit på baggrund af
dansk uddannelse
0
1
1
6
1
9
Merit på baggrund af
udenlandsk uddannelse
0
0
0
2
3
5
I alt
1
1
1
22
6
31
Styrelsen for Forskning og Uddannelse
19
EUU, Alm.del - 2017-18 - Bilag 743: Kopi af orientering om beretning for 2017 om vurdering og anerkendelse af udenlandske uddannelseskvalifikationer m.v., fra uddannelses- og forskningsministeren
1908600_0020.png
Beretning for 2017
Samlet set blev klagerne imødekommet i 21 procent af de modtagne sager i 2017, der er
afsluttet med en indholdsmæssig afgørelse fra Kvalifikationsnævnet (6 af 28 sager).
Det var væsentlig færre end året før, hvor 41 procent blev imødekommet (se figur 2.6
nedenfor). Ændringen skyldtes hovedsagelig et øget antal klager fra lærerstuderende
vedrørende anerkendelse af realkompetence, hvor Kvalifikationsnævnet ikke vurderede,
at deres erhvervserfaring inden for undervisning kunne erstatte fag på læreruddannel-
sen. Samtidig kunne klager over merit på baggrund af dansk uddannelse kun imøde-
kommes i 1 ud af 7 afgørelser. Derimod blev klager over merit på baggrund af uden-
landsk uddannelse imødekommet i 3 ud af 5 sager.
Figur
.6
2
Modtagne sager afsluttet med indholdsmæssig afgørelse, efter år og udfald, pct., 2008-2017
Pct. af afgørelser
100%
90%
80%
70%
60%
50%
40%
30%
20%
10%
0%
2008
Imødekommet
2009
2010
2011
2012
2013
2014
2015
2016
2017
Pct. af afgørelser
100%
90%
80%
70%
60%
50%
40%
30%
20%
10%
0%
Delvist imødekommet
Ikke imødekommet
Når man ser på, hvilke typer af uddannelse klagerne vedrørte i 2017, var 58 procent på
professionsbachelorområdet, f.eks. lærer-, pædagog-, meritlærer- og sygeplejerskeud-
dannelsen, 16 procent af sagerne var inden for diplomuddannelser og 13 procent in
den
for universitetsuddannelser (se figur 2.7 nedenfor).
Figur
.7
2
Sager modtaget af Kvalifikationsnævnet efter uddannelsestype og år, antal, 2008-17
Antal sager
50
45
40
35
30
25
20
15
10
5
0
Antal sager
50
45
40
35
30
25
20
15
10
5
0
2008
2009
2010
2011
2012
2013
2014
2015
2016
2017
Erhvervsuddannelser (EUD)
Diplomuddannelser
Kunstneriske uddannelser
Gymnasiale uddannelser
Professionsbacheloruddannelser
Masteruddannelser
Erhvervsakademiuddannelser
Universitetsuddannelser
Andre uddannelser
Styrelsen for Forskning og Uddannelse
20
EUU, Alm.del - 2017-18 - Bilag 743: Kopi af orientering om beretning for 2017 om vurdering og anerkendelse af udenlandske uddannelseskvalifikationer m.v., fra uddannelses- og forskningsministeren
1908600_0021.png
Beretning for 2017
Mønsteret skyldes formentlig, at der for flere af professionsbacheloruddannelserne er
kommet nye modulopbyggede uddannelser, hvor det kan være vanskeligt at give merit
på baggrund af tidligere uddannelse, da modulerne er tværfaglige og eksempelvis på
læreruddannelsen veksler mellem det faglige og det pædagogiske.
Kvalifikationsnævnet har siden 2008 i forhold til det store antal uddannelser modtaget
forholdsvis få klager. Det kan være et tegn på, at de fleste studerende er tilfredse med
de meritafgørelser, der træffes på uddannelsesinstitutionerne. Modsat kan antallet af
klagesager til Kvalifikationsnævnet også være begrænset af, at ikke alle studerende er
klar over, at de kan klage til nævnet over en meritafgørelse. Af alle modtagne klagesa-
ger i 2017 fremgår det dog, at institutionen i sin skriftlige meritafgørelse har gjort den
studerende opmærksom på muligheden for at klage til nævnet.
2.10.2 Information om Kvalifikationsnævnet
Som sekretariat for Kvalifikationsnævnet informerer Styrelsen for Forskning og Uddan-
nelse om nævnet på Uddannelses- og Forskningsministeriets hjemmeside.
15
For at ska-
be kendskab til Kvalifikationsnævnet og dets praksis offentliggør styrelsen løbende
oplysninger om alle modtagne sager i en database på hjemmesiden. Databasen inde-
holder for hver sag informationer om indholdet af klagen, hvilken type uddannelse og
institution klagen drejer sig om, om der er givet medhold eller ej, samt hvilke sagkyndige
der har deltaget i behandlingen af sagen. Man finder desuden afgørelsen i dens helhed.
Databasen indeholder ikke personlige oplysninger om de studerende, der har klaget.
2.11 Internationalt samarbejde om anerkendelse
Danmark har et omfattende samarbejde med andre landes myndigheder og organisati-
oner med henblik på at lette anerkendelsen af udenlandske uddannelseskvalifikationer i
Danmark og anerkendelsen af danske uddannelseskvalifikationer i udlandet.
2.11.1 ENIC/NARIC-samarbejdet
Styrelsen for Forskning og Uddannelse og de andre nationale kontorer udveksler på
daglig basis informationer om uddannelseskvalifikationer og -systemer gennem to in-
ternationale netværk:
ENIC-netværket, som hører under Europarådet og UNESCO
NARIC-netværket, der hører under Europa-Kommissionen.
Det er et tætvævet og veletableret samarbejde med i alt 52 medlemslande i Europa
samt USA, Canada, Australien, New Zealand og Israel. Netværkene arbejder på grundlag
af Lissabonkonventionen for at højne kvaliteten i anerkendelsesarbejdet.
16
Udvekslingen af viden om forskellige landes uddannelsessystemer og kvalifikationer
anvendes direkte i styrelsens arbejde med vurdering af konkrete uddannelseskvalifika-
tioner.
Danmark var i 2017 vært for det årlige ENIC/NARIC-netværksmøde, som fandt sted i
København den 26.-27. juni. Styrelsen stod for arrangementet af mødet, som ifølge del-
tagernes evalueringer var yderst vellykket både fagligt og organisatorisk. Fagligt var
der særligt fokus på den fjerde industrielle revolution og dens betydning for anerkendel-
15
16
Se www.ufm.dk/kn.
Danmark ratificerede Lissabonkonventionen i 2003. Læs mere om den på www.ufm.dk/anerkendelse/lk.
Styrelsen for Forskning og Uddannelse
21
EUU, Alm.del - 2017-18 - Bilag 743: Kopi af orientering om beretning for 2017 om vurdering og anerkendelse af udenlandske uddannelseskvalifikationer m.v., fra uddannelses- og forskningsministeren
1908600_0022.png
Beretning for 2017
se samt på anerkendelse af flygtninges kompetencer, når disse ikke kan dokumenteres.
Derudover blev der afholdt en række workshops om konkrete anerkendelsesfaglige em-
ner samt givet mulighed for at udbygge netværkssamarbejdet med europæiske kolleger.
Styrelsens medarbejdere har i løbet af 2017 desuden bidraget med ekspertoplæg ved en
række europæiske konferencer og seminarer om brugen af kvalifikationsrammer i aner-
kendelse, anerkendelse af flygtninges kvalifikationer, kvalitetssikring og anerkendelse
m.v.
2.11.2 Lissabonkonventions-komiteen
Lissabonkonventions-komiteen har til opgave at monitorere implementeringen af Lis-
sabonkonventionen i de 52 medlemslande samt at udvikle og opdatere selve konventio-
nen og de underliggende tekster, således at konventionsteksterne tager højde for ud-
viklingen inden for de videregående uddannelser i hele konventionsområdet. En repræ-
sentant for Styrelsen for Forskning og Uddannelse er indvalgt i komiteen.
Den 14. november 2017 blev der afholdt et ekstraordinært konventionsmøde i Stras-
bourg med henblik på vedtagelse af en underliggende tekst til Lissabonkonventionen
om anerkendelse af flygtninges udokumenterede kvalifikationer.
Ifølge Lissabonkonventionens artikel VII skal den enkelte deltagerstat ”udvikle procedu-
rer med henblik på at foretage en rimelig og hurtig vurdering af, hvorvidt flygtninge,
hjemstavnsfordrevne og personer i en flygtningelignende situation opfylder de relevan-
te krav for adgang til videregående uddannelse, til videre studier på et højere niveau
eller til beskæftigelse, og endog i tilfælde, hvor de kvalifikationer, der er erhvervet i en af
deltagerstaterne, ikke kan bekræftes ved hjælp af tilgængelig dokumentation”.
På den
baggrund har Lissabonkonventions-komiteen henstillet til, at landenes anerkendelses-
myndigheder i sådanne tilfælde udsteder
et ”baggrundspapir”, der giver en oversigt over
de påberåbte kvalifikationer eller studieperioder med alle de dokumenter og al den
støttedokumentation, der er til rådighed.
17
En undersøgelse i 2015 viste imidlertid, at kun meget få lande havde implementeret
procedurer for anerkendelse af flygtninges udokumenterede kvalifikationer.
På konventionsmødet i november 2017 vedtog man derfor
dokumentet ”Recommenda-
tion on the Recognition
of Refugees’ Qualifications” –
en henstilling, der skal understøt-
te anerkendelse af flygtninges uddannelseskvalifikationer. Det betyder, at myndigheder
og uddannelsesinstitutioner fremover bør have fleksible procedurer for flygtninge, som
af gyldige årsager ikke kan fremvise deres uddannelsesbeviser.
På konventionsmødet vedtog man desuden, at Lissabonkonventions-komiteen inden
2019 skal gennemføre en særlig undersøgelse af landenes implementering af artiklen
om anerkendelse af flygtninges kvalifikationer.
Danmark har været en af pionererne på området, og Styrelsen for Forskning og Uddan-
nelses procedure for udfærdigelse af baggrundspapirer, som blev indført i dansk lovgiv-
ning om anerkendelse i 2001, fremhæves som et eksempel til efterfølgelse i konventi-
onsdokumentet.
18
Henstilling om kriterier og procedurer for vurdering af udenlandske uddannelseskvalifikationer og studieperioder,
2001, revideret i 2010.
18
Læs om vejledende udtalelser i afsnit 2.3.
17
Styrelsen for Forskning og Uddannelse
22
EUU, Alm.del - 2017-18 - Bilag 743: Kopi af orientering om beretning for 2017 om vurdering og anerkendelse af udenlandske uddannelseskvalifikationer m.v., fra uddannelses- og forskningsministeren
1908600_0023.png
Beretning for 2017
2.11.3 Bologna-processen
Ministrene for videregående uddannelse i 48 lande samarbejder i det Europæiske Områ-
de for Videregående Uddannelse (European Higher Education Area, EHEA), også kendt
som Bologna-processen. Samarbejdet koordineres i Bologna Follow-Up Group (BFUG).
19
Der har i de senere år været stærkt politisk fokus på anerkendelse i Bologna-
samarbejdet ud fra en forståelse for, at fair anerkendelse er en nødvendighed for op-
bygningen af et fælles europæisk område for videregående uddannelser.
Ved ministerkonferencen i Jerevan i maj 2015 vedtog ministrene blandt andet, at man i
arbejdsprogrammet 2015-2018 skal arbejde for fuld implementering af Lissabonkon-
ventionens principper, sikre bedre anerkendelse af studieophold i udlandet samt sikre,
at uddannelser fra andre EHEA-lande automatisk anerkendes på samme niveau som de
relevante uddannelser i modtagerlandet.
Som opfølgning på konferencen er der etableret arbejdsgrupper, der skal sikre fremdrif-
ten i det europæiske samarbejde om videregående uddannelse og implementeringen af
ministrenes anbefalinger fra Jerevan-kommunikeet.
Styrelsen for Forskning og Uddannelse repræsenterer Uddannelses- og Forskningsmini-
steriet i en af disse Bologna-arbejdsgrupper: Working Group on Fostering implementa-
tion of agreed key commitments 2015-2018. I denne arbejdsgruppe har der i 2017 været
fortsat fokus på at tilknytte korte videregående uddannelser til den europæiske kvalifi-
kationsramme for videregående uddannelser (EHEA-rammen), hvilket er en særlig dansk
prioritet, samt på implementeringen af Lissabonkonventionens principper og procedurer
i alle medlemslandenes nationale lovgivning. Arbejdsgruppen fremlagde i efteråret 2017
sin rapport til BFUG. I rapporten opfordres blandt andet til, at korte videregående ud-
dannelser indplaceres på deres eget niveau i EHEA-rammen med henblik på at opnå
større transparens for disse uddannelser og forbedre mulighederne for europæisk mobi-
litet inden for både uddannelse og arbejdsliv.
2.11.4 Deltagelse i NARIC-projekter
Styrelsen for Forskning og Uddannelse deltager i NARIC-projekter, der gennemføres i
forbindelse med EU-programmet ERASMUS+. Deltagelsen i disse udviklingsprojekter er
med til at udvikle og sikre kvaliteten af styrelsens anerkendelsesarbejde, samtidig med
at den styrker samarbejdet med søsterkontorer i andre lande.
Styrelsen har i 2017 navnlig deltaget i tre projekter
20
:
FRAUDOC-projektet havde til formål at udbrede god praksis internationalt i for-
hold til at bekæmpe snyd med uddannelsesdokumenter. Målgruppen var vurde-
ringsmedarbejdere ved uddannelsesinstitutionerne og i ENIC/NARIC-centrene.
Projektet mundede ud i to konkrete værktøjer:
Guide on Diploma Mills and dubious
institutions,
som er offentligt tilgængelig, og
Handbook on Document Fraud for
Credential Evaluators,
som er tilgængelig for ENIC/NARIC-centrene.
IMPACT-projektet blev afsluttet i 2017 med en række anbefalinger om tiltag for
at understøtte ENIC/NARIC-netværkenes kvalitet og effekt, blandt andet øget
deling af viden og samarbejde mellem centrene generelt, f.eks. oprettelse af ek-
19
20
Læs mere om Bologna-processen på www.bologna.dk.
Resultaterne af projekterne er nærmere beskrevet her: FRAUDOC: http://www.cimea.it/en/projects-
ist/fraudoc/fraudoc-outcomes.aspx, IMPACT: https://www.nuffic.nl/en/diploma-recognition/impact, PARADIGMS:
https://www.nuffic.nl/en/diploma-recognition/paradigms.
Styrelsen for Forskning og Uddannelse
23
EUU, Alm.del - 2017-18 - Bilag 743: Kopi af orientering om beretning for 2017 om vurdering og anerkendelse af udenlandske uddannelseskvalifikationer m.v., fra uddannelses- og forskningsministeren
1908600_0024.png
Beretning for 2017
spertgrupper for at styrke netværkets viden inden for bestemte områder, og vide-
reudvikling af en webplatform for optagelsesmedarbejdere med fokus på indfø-
ring i Lissabonkonventionen, netværksmuligheder og nyhedsopdateringer.
PARADIGMS-projektet førte til et sæt anbefalinger om arbejdet med automatisk
anerkendelse af udenlandske uddannelser (jf. Bologna-processens målsætninger
som nævnt i afsnit 2.11.3) og om anerkendelse af ikke-formelle uddannelsesele-
menter, herunder særligt MOOCs (Massive Open Online Courses). Hvad det sidste
angår, anbefales det bl.a., at anerkendelsesansvarlige vurderer det enkelte kvalifi-
kationsbevis konkret, og at udbydere af MOOCs giver klare informationer i deres
kursusbeviser.
2.11.5 Nordisk samarbejde
Der har siden 2003 været et nordisk netværk for anerkendelse af videregående uddan-
nelser, NORRIC-netværket, som samler de nordiske ENIC/NARIC-kontorer. Gennem et
forum på netstedet
www.norric.org
udveksler de nordiske kontorer løbende informatio-
ner og erfaringer for at understøtte kvaliteten i vurderingsarbejdet. Hertil kommer kvar-
talsvise møder mellem lederne af de nordiske ENIC/NARIC-kontorer, hvor også de mere
overordnede og strategiske sigtelinjer for samarbejdet drøftes.
De nordiske kontorer har de seneste år samarbejdet om vurdering af kvalifikationer fra
Afrika, Latinamerika, Rumænien, Balkan og de arabiske lande med særlig vægt på Syri-
en samt bestemte typer af kvalifikationer: erhvervsuddannelser, ingeniøruddannelser og
lærerkvalifikationer.
Nordisk Ministerråd lod i 2017 Rambøll gennemføre en kortlægning af godkendelsesord-
ningerne for udenlandske uddannelser, erhvervsmæssige kvalifikationer og supplerings-
uddannelse i Norden. Styrelsen for Forskning og Uddannelse deltog i en validerings-
workshop og en nordisk konference i forlængelse af rapporten. Styrelsen har endvidere
bidraget til det igangværende arbejde med at følge op på anbefalingerne fra Rambøll-
rapporten og har sammen med de nordiske anerkendelseskontorer kvalificeret og givet
sine anbefalinger til det fortsatte samarbejde i Nordisk Ministerråds regi.
Styrelsen har i 2016 og 2017 deltaget i ORION-projektet, som ledes af det norske aner-
kendelseskontor. Projektet har til formål at udvikle anerkendelsesmetoderne gennem en
øget brug af læringsudbyttebeskrivelser og kvalifikationsrammer.
2.12 Transparens og sammenlignelighed
Anerkendelse af uddannelseskvalifikationer og kompetencer på tværs af grænserne
søges fremmet ved hjælp af redskaber, som gør det lettere at dokumentere, forstå og
sammenligne de pågældende kvalifikationer og kompetencer. De vigtigste redskaber er
nationale og europæiske kvalifikationsrammer, ECTS, Europass og ECVET.
2.12.1 Kvalifikationsrammer
Den Danske Kvalifikationsramme for Livslang Læring omfatter alle uddannelserne i det
danske formelle uddannelsessystem og er koblet til den Europæiske Kvalifikationsram-
me, EQF. EQF er en referenceramme, som er udviklet i EU-regi for at gøre det lettere at
forstå, sammenligne og anerkende alle typer kvalifikationer på tværs af lande og sy-
Styrelsen for Forskning og Uddannelse
24
EUU, Alm.del - 2017-18 - Bilag 743: Kopi af orientering om beretning for 2017 om vurdering og anerkendelse af udenlandske uddannelseskvalifikationer m.v., fra uddannelses- og forskningsministeren
1908600_0025.png
Beretning for 2017
stemer i Europa. Desuden findes en Kvalifikationsramme for det Europæiske Område for
Videregående Uddannelse, EHEA-rammen.
21
Vedtagelsen af den nye akkrediteringslov i november 2017 indebærer store forandringer
for den Danske Kvalifikationsramme for Livslang Læring. I akkrediteringsloven bemyn-
diges Danmarks Akkrediteringsinstitut til at udvikle kriterier og procedurer for inklusion
af ikke-formelle uddannelser i kvalifikationsrammen i et tæt samarbejde med Uddan-
nelses- og Forskningsministeriet, Undervisningsministeriet og Kulturministeriet.
Ikke-formelle uddannelser er både offentlige og private uddannelser uden for det for-
melle system. Inklusionen af sådanne uddannelser i rammen spiller tæt sammen med
den europæiske dagsorden om at etablere et mere sammenhængende system for livs-
lang læring og den nationale dagsorden om, at studerende skal have bedre muligheder
for at komme igennem deres uddannelser. Hensigten er at gøre studerendes læringsud-
bytte mere transparent, at forbedre grundlaget for optag og merit ind i de formelle ud-
dannelser samt at give forbrugerne en bedre beskyttelse og vished for, at udbydere af
ikke-formelle uddannelser lever op til bestemte standarder.
Væsentlige kriterier for indplacering af ikke-formelle uddannelser i kvalifikationsram-
men vil ifølge lovbemærkningerne være, at deres læringsudbytte er beskrevet, at læ-
ringsudbyttet bekræftes gennem prøver eller eksaminer, at uddannelserne gennemgår
en solid kvalitetssikring, at de har en vis længde og en vis population af studerende,
samt at de ikke er religiøst eller politisk funderede. De endelige kriterier skal vedtages i
løbet af 2018.
Arbejdet med den danske kvalifikationsramme koordineres af et udvalg bestående af
Undervisningsministeriet, Kulturministeriet og Styrelsen for Forskning og Uddannelse.
Styrelsen er det danske koordinationspunkt for EQF og National Correspondent i relati-
on til EHEA-rammen. Gennem en hjemmeside og en særlig EQF-postkasse informerer
styrelsen om sammenhængen mellem danske og europæiske kvalifikationsrammer, ind-
placering af uddannelser i rammerne, beskrivelse af læringsudbytte for kvalifikationer
indplaceret i den danske ramme m.v.
Styrelsen deltager i internationale netværk med henblik på at udveksle erfaringer ved-
rørende opbygningen og videreudviklingen af kvalifikationsrammer og fremme en læ-
ringsudbytteorienteret tilgang til uddannelsessystemet. I det nordiske netværk om EQF
mødes alle kontaktpunkter for EQF to gange årligt i henholdsvis København og Reykja-
vik. På møderne i 2017 er der fokuseret på realkompetencevurderinger og landenes er-
faringer med og holdninger til tilknytning af ikke-formelle kvalifikationer til de nationale
kvalifikationsrammer samt på sammenligning af indplaceringer af visse erhvervsuddan-
nelser og korte videregående uddannelser i de respektive landes kvalifikationsrammer.
2.12.2 ECTS
Det europæiske meritoverførsels- og meritakkumuleringssystem (European Credit
Transfer and Accumulation System, ECTS) danner grundlag for, at den studerende kan
få godskrevet kursus- og uddannelseselementer fra én institution ved en anden, herun-
der også internationalt mellem de institutioner, der benytter systemet. Vejledningen
vedrørende brug af ECTS tager højde for den seneste udvikling i Bologna-processen,
herunder det øgede fokus på læringsudbytte, og indeholder bl.a. et afsnit om ECTS-
21
Læs mere om kvalifikationsrammerne på www.kvalifikationsrammen.dk. Se også Europa-Kommissionens EQF-portal
på ec.europa.eu/eqf/.
Styrelsen for Forskning og Uddannelse
25
EUU, Alm.del - 2017-18 - Bilag 743: Kopi af orientering om beretning for 2017 om vurdering og anerkendelse af udenlandske uddannelseskvalifikationer m.v., fra uddannelses- og forskningsministeren
1908600_0026.png
Beretning for 2017
systemets understøttelse af mobilitet og meritoverførsel med henvisning til Lissabon-
konventionen og relevante dokumenter på grundlag af konventionen.
22
2.12.3 ECVET
European Credit system for Vocational Education and Training (ECVET) er et europæ-
isk meritoverførselssystem for de erhvervsrettede uddannelser. Størstedelen af de dan-
ske erhvervsskoler, der tilbyder transnational mobilitet for deres elever, anvender
ECVET-systemet ved kvalitetssikringen af læringsindholdet for elevernes ophold i ud-
landet. For at understøtte den praktiske implementering af systemet har Europa-
Kommissionen etableret et netværk af eksperter, som formidler viden om ECVET og
giver praktiske råd og vejledning til de relevante aktører. Styrelsen for Forskning og
Uddannelse er sekretariat for de danske ECVET-eksperter.
23
2.12.4 Europass
Europass omfatter fem dokumenter, som udarbejdes efter fælles europæiske skabelo-
ner og bruges til at dokumentere den enkeltes kvalifikationer og kompetencer:
Diploma Supplement, som er et tillæg til eksamensbeviser for videregående ud-
dannelse
Certificate Supplement, som er et tillæg til uddannelsesbeviser og svendebreve
inden for erhvervsuddannelse og arbejdsmarkedsuddannelse
Europass Mobilitetsbevis, som dokumenterer læringsophold i udlandet
Europass CV, der sammenfatter den enkeltes kompetencer
Europass Sprogpas, der beskriver sprogkundskaber.
Diploma Supplement indeholder oplysninger om den enkelte uddannelseskvalifikation
samt en standardbeskrivelse af det danske uddannelsessystem, hvori uddannelsesni-
veauerne er beskrevet i overensstemmelse med kvalifikationsrammerne. Som nationalt
Europass-center informerer og vejleder Styrelsen for Forskning og Uddannelse om Eu-
ropassredskaberne.
24
Europass har sit grundlag i en EU-beslutning fra 2004. I slutningen af 2016 fremsatte
Kommissionen et forslag til ny Europass-beslutning, som siden er blevet forhandlet i
Rådet og i slutningen af 2017 var i den afsluttende trilog-fase med Europa-Parlamentet.
Indholdet i den nye beslutning lægger op til et Europass, der fokuserer mere på services
end deciderede dokumenter, og derfor vil en EU-fælles webplatform blive udviklet af
Kommissionen. Formålet er at fremtidssikre Europass-værktøjerne i lyset af den tekno-
logiske udvikling. Den nye Europass-beslutning forventes endeligt vedtaget i foråret
2018.
22
Nærmere oplysninger om ECTS og link til brugervejledningen kan findes på www.ufm.dk/uddannelse-og-
institutioner/anerkendelse-og-dokumentation/dokumentation/ects.
23
Nærmere oplysninger om ECVET og ECVET-eksperterne kan findes via www.ufm.dk/ecvet.
24
Læs mere om Europass på www.europass.dk.
Styrelsen for Forskning og Uddannelse
26
EUU, Alm.del - 2017-18 - Bilag 743: Kopi af orientering om beretning for 2017 om vurdering og anerkendelse af udenlandske uddannelseskvalifikationer m.v., fra uddannelses- og forskningsministeren
Beretning for 2017
3. Anerkendelse til
lovregulerede erhverv
Dette kapitel beskriver anerkendelse af udenlandske er-
hvervsmæssige kvalifikationer til brug for adgang til at ud-
øve lovregulerede erhverv,
EU’s
anerkendelsesdirektiv og
samspillet mellem Styrelsen for Forskning og Uddannelse
og de myndigheder, der har ansvaret for de enkelte erhverv.
3.1 Introduktion
Lovregulerede erhverv (autorisationserhverv) er kendetegnede ved, at man ifølge lov-
givningen skal have bestemte erhvervsmæssige kvalifikationer for at få adgang til at
udøve erhvervet eller visse forbeholdte erhvervsaktiviteter og/eller til at bruge en be-
skyttet titel. Der er også tale om regulering af erhverv, når der ifølge love eller admini-
strative bestemmelser stilles bestemte formelle krav, f.eks. krav om bestemte sprog-
kundskaber, krav om obligatorisk løbende faglig udvikling, betingelser for kapital- eller
aktieandel, territoriale begrænsninger eller krav om en bestemt forsikringsdækning m.v.
For erhvervsudøvere med udenlandske kvalifikationer betyder reguleringen blandt an-
det, at man skal have anerkendt sine udenlandske kvalifikationer for at kunne etablere
sig, dvs. varigt udøve sit erhverv som arbejdstager eller selvstændigt erhvervsdrivende.
Ansvaret for adgangen til udøvelse af de lovregulerede erhverv er forankret hos kompe-
tente myndigheder, dvs. de myndigheder, der har ansvaret for de enkelte lovregulerede
erhverv og den sektorspecifikke lovgivning. De kompetente myndigheder afgør, om den
enkelte ansøger opfylder betingelserne for at udøve erhvervet, herunder hvorvidt krave-
ne til ansøgerens samlede erhvervsmæssige kvalifikationer er opfyldt.
De kompetente myndigheders arbejde understøttes af Styrelsen for Forskning og Ud-
dannelse, som er koordinator og støttecenter i forhold til EU's anerkendelsesdirektiv.
3.1.1 Regler for anerkendelse på det lovregulerede område
Der skelnes overordnet mellem sager, der er omfattet af EU’s direktiv om anerkendelse
af erhvervsmæssige kvalifikationer (anerkendelsesdirektivet), sager, der er omfattet af
andre EU-regler og/eller internationale konventioner og aftaler, samt de øvrige autori-
sationssager, der udelukkende behandles efter de danske autorisationsregler.
Styrelsen for Forskning og Uddannelse
27
EUU, Alm.del - 2017-18 - Bilag 743: Kopi af orientering om beretning for 2017 om vurdering og anerkendelse af udenlandske uddannelseskvalifikationer m.v., fra uddannelses- og forskningsministeren
1908600_0028.png
Beretning for 2017
3.1.1.1 EU-regler: anerkendelsesdirektivet
Fjernelse af hindringerne for den frie bevægelighed for personer og tjenesteydelser er et
af Fællesskabets mål, i henhold til traktatens artikel 3, stk. 1, litra c). Dette indebærer for
medlemsstaternes statsborgere, at de bl.a. har ret til at udøve et erhverv som selvstæn-
dig eller lønmodtager i en anden medlemsstat end den, hvor de har erhvervet deres er-
hvervsmæssige kvalifikationer. Endvidere skal der i henhold til traktatens artikel 53 ud-
stedes direktiver om gensidig anerkendelse af eksamensbeviser, certifikater og andre
kvalifikationsbeviser. Til gennemførelse af den nævnte artikel 53 har Europa-
Parlamentet og Rådet vedtaget direktiv 2005/36/EF om anerkendelse af erhvervsmæs-
sige kvalifikationer. Direktivet fastsætter reglerne for anerkendelse af erhvervsmæssige
kvalifikationer opnået i en medlemsstat, der inden for sit område kræver bestemte er-
hvervsmæssige kvalifikationer som forudsætning for adgangen til udøvelse af et er-
hverv, meddelelse af beskikkelse til indehaveren af disse kvalifikationer eller brug af en
beskyttet titel.
Det reviderede anerkendelsesdirektiv
25
trådte i kraft i Danmark den 1. januar 2016. De
nye regler i direktivet omfatter bl.a. et europæisk erhvervspas (EPC), et fælleseuropæisk
advarselssystem
26
, mulighed for delvis anerkendelse, gennemgang af omfanget og
grundlaget for regulering af erhverv i medlemsstaterne (transparensinitiativet), hurtige-
re procedurer med kortere sagsbehandlingsfrister m.v.
Som borger, der ønsker at anvende sine erhvervsmæssige kvalifikationer i et andet EU-
land, har man krav på at blive behandlet efter EU's anerkendelsesdirektiv, hvis man er
statsborger i et EU/EØS-land eller et land, som EU har indgået aftale med herom, (f.eks.
Schweiz) og har sine erhvervsmæssige kvalifikationer fra et af disse lande. Som stats-
borger fra et af disse lande har man desuden ret til at få uddannelsesbeviser fra tredje-
lande behandlet efter anerkendelsesdirektivet, hvis man har fået uddannelsesbeviset
anerkendt i et EU/EØS-land eller Schweiz og i dette land har en attesteret erhvervser-
faring af tre års varighed inden for det pågældende erhverv.
På grund af det danske retsforbehold
27
finder anerkendelsesdirektivet i Danmark kun
anvendelse på personer, der har statsborgerskab i et EU/EØS-land eller et land, som EU
har indgået aftale med herom. Tredjelandsborgere, der har opnået ophold her i landet på
baggrund af det såkaldte opholdsdirektiv
28
, kan udnytte de rettigheder og garantier,
som anerkendelsesdirektivet giver, hvis de opfylder de specifikke krav i anerkendelses-
direktivet.
Inden for EU-sagerne skelnes der mellem ansøgninger om etablering (varigt arbejde) og
levering af tjenesteydelser (midlertidigt og lejlighedsvist arbejde).
Anerkendelsesdirektivet handler alene om anerkendelse af erhvervsmæssige kvalifika-
tioner. Anerkendelsesdirektivet fastsætter ikke regler om sikkerhed på arbejdspladser,
25
Konsolideret udgave af det reviderede direktiv 2005/36/EF om anerkendelse af erhvervsmæssige kvalifikationer:
http://eur-lex.europa.eu/legal-content/DA/TXT/PDF/?uri=CELEX:02005L0036-20140117 og forordning (EU) nr.
1024/2012 om det administrative samarbejde ved hjælp af informationssystemet for det indre marked (»IMI-
forordningen«): http://eur-lex.europa.eu/legal-content/DA/TXT/?uri=celex:32012R1024.
26
Til brug for behandling af det europæiske erhvervspas og advarsler har Europa-Kommissionen udstedt en gennemfø-
relsesforordning om de procedurer, der knytter sig til disse emner: http://eur-lex.europa.eu/legal-
content/DA/TXT/PDF/?uri=CELEX:32015R0983
27
Der er tale om den del af det retlige samarbejde i EU, der vedrører visum, asyl, indvandring og andre politikker i forbin-
delse med den fri bevægelighed for personer (afsnit IV i EF-traktaten, artikel 61-69).
28
EU-direktiv 2004/38/EF (opholdsdirektivet), som Danmark har gennemført.
Styrelsen for Forskning og Uddannelse
28
EUU, Alm.del - 2017-18 - Bilag 743: Kopi af orientering om beretning for 2017 om vurdering og anerkendelse af udenlandske uddannelseskvalifikationer m.v., fra uddannelses- og forskningsministeren
1908600_0029.png
Beretning for 2017
beskæftiger sig ikke med arbejdsmiljøforhold og regulerer ikke ansættelsesforhold, løn-
forhold eller udstationeringsforhold. Disse forhold ligger således uden for anerkendel-
sesdirektivets område. Direktivet fastsætter dog, at alle erhvervsudøvere, som er om-
fattet af direktivet, har pligt til at overholde de faglige og administrative adfærdsregler,
regler for definition af erhverv, brug af titel, grov forsømmelse, som er direkte og speci-
fikt knyttet til forbrugerbeskyttelse og -sikkerhed, samt disciplinære bestemmelser,
som gælder i værtslandet for personer, der udøver det samme erhverv.
3.1.1.2 Andre EU-regler og internationale regler
På nogle erhvervsområder såsom revisorområdet og advokatområdet gælder der sek-
torspecifikke EU-regler, og anerkendelsesdirektivet gælder subsidiært.
For maritime erhverv, der har tilknytning til handelsflåden, gælder der specifikke EU-
direktiver om minimumsuddannelseskrav for søfarende, hvorfor anerkendelsesdirektivet
ikke finder anvendelse. Inden for visse søfartserhverv gælder der desuden særlige inter-
nationale konventioner, som har fortrinsret i forhold til andre retsregler. Anerkendelses-
direktivet gælder kun i begrænset omfang for visse maritime erhverv, der har tilknytning
til handelsflåden og inden for fiskeri.
3.1.1.3 Nordiske overenskomster
Danmark, Finland, Island, Norge og Sverige har indgået en række overenskomster på
arbejdsmarkedsområdet, inden for undervisningserhverv og visse sundheds- og veteri-
nære erhverv
29
. Disse aftaler har været af stor betydning for nordiske borgeres adgang
til hele det nordiske arbejdsmarked inden for en række arbejdsområder, som forskellige
stater regulerer, og hvor de uddannelses- og erhvervsmæssige kvalifikationer i de fleste
tilfælde er ligeværdige. I praksis betyder overenskomsterne, at nordiske statsborgere
med nordiske erhvervsmæssige kvalifikationer inden for disse erhverv har ret til auto-
matisk anerkendelse med henblik på adgang til erhvervsudøvelse.
30
3.1.1.4 Øvrige regler
Ansøgninger om adgang til udøvelse af lovregulerede erhverv på baggrund af udenland-
ske kvalifikationer, der ikke er omfattet af nogen af de ovennævnte regler, behandles i
overensstemmelse med de danske retsregler, der gælder for det enkelte erhverv.
3.1.2 Arbejdsopgaver i forbindelse med anerkendelsesdirektivet
Styrelsen for Forskning og Uddannelse varetager funktionerne som dansk koordinator
for direktivet, som støttecenter og som medlem af EU's såkaldte artikel 58-udvalg. Op-
gaverne er lovfæstet i anerkendelsesdirektivet og gennemført i anerkendelsesloven.
29
30
Nordiske overenskomster: http://www.norden.org/da/om-samarbejdet-1/nordiske-aftaler/aftaler/arbejdsmarked
Aftale om fælles arbejdsmarked for faglærere, lærere i praktisk-æstetiske fag og speciallærere i grundskolen, over-
enskomst mellem Danmark, Finland Island, Norge og Sverige om et fælles nordisk arbejdsmarked for lærere i folkesko-
len samt aftale om fælles arbejdsmarked for faglærere og lærere i praktisk-æstetiske fag i gymnasieskolen (gymnasi-
et og erhvervsskolerne) og overenskomst om fælles nordisk arbejdsmarked for visse personalegrupper inden for sund-
hedsvæsenet og veterinærvæsenet.
Styrelsen for Forskning og Uddannelse
29
EUU, Alm.del - 2017-18 - Bilag 743: Kopi af orientering om beretning for 2017 om vurdering og anerkendelse af udenlandske uddannelseskvalifikationer m.v., fra uddannelses- og forskningsministeren
1908600_0030.png
Beretning for 2017
3.1.2.1 Koordinatorfunktionen
Som dansk koordinator medvirker Styrelsen for Forskning og Uddannelse til udarbejdel-
se og gennemførelse af EU's regler om anerkendelse af erhvervsmæssige kvalifikationer.
Styrelsen repræsenterer Danmark i koordinationsgruppen under Europa-Kommissionens
generaldirektorat for det Indre Marked, Erhvervspolitik, Iværksætteri og SMV'er
(GROW)
31
og har ansvaret for at varetage de danske interesser på området i EU. Styrel-
sen koordinerer og overvåger de danske kompetente myndigheders administration af
direktivet med henblik på, at direktivet gennemføres og anvendes ensartet og korrekt
på alle berørte erhvervsområder.
Det følger af koordinatorfunktionen, at styrelsen indsamler alle relevante oplysninger
om direktivets gennemførelse i Danmark, indsamler og sammenligner oplysninger om
kvalifikationskravene på de områder, der er omfattet af direktivet, og indberetter til
Europa-Kommissionen om den nationale lovgivning, betingelserne for adgang til er-
hvervsudøvelse og anvendelsen af direktivet. Styrelsen redegør også for eventuelle
problemer med anvendelsen af direktivet.
De ministerier, som er ansvarlige for de enkelte lovregulerede erhverv, skal løbende gen-
nemgå nye regler, som kan begrænse adgangen til udøvelse af erhvervet, og oplyse
Styrelsen for Forskning og Uddannelse herom.
32
Styrelsen fungerer som et bindeled mellem Europa-Kommissionen og de danske kom-
petente myndigheder og videreformidler Europa-Kommissionens retningslinjer til de
relevante myndigheder. For at sikre koordination af arbejdet med direktivet herhjemme
har styrelsen nedsat et fast koordineringsnetværk bestående af to embedsmænd fra de
elleve berørte ministerier, som har til opgave at sikre, at alle relevante oplysninger i til-
knytning til direktivarbejdet videreformidles til de berørte kompetente myndigheder, og
at alle Kommissionens høringer m.v. vedrørende direktivet besvares efter koordination i
ressortministerierne.
Desuden står styrelsen for fortolkning af direktivets regler og for vejledning af danske
myndigheder i forbindelse med gennemførelse og anvendelse af direktivet på de enkelte
erhvervsområder. De kompetente myndigheder kan inddrage styrelsen i udarbejdelsen
af danske autorisationsregler, som berører anerkendelsesdirektivet, og styrelsen bidra-
ger til regeludstedelsesarbejdet, blandt andet ved at oplyse om og fortolke de gældende
EU-regler i forhold til de konkrete retsforskrifter.
Styrelsen sørger for løbende opdatering af direktivets bilag V vedrørende danske ud-
dannelser til læge, speciallæge, tandlæge, specialtandlæge, farmaceut, sygeplejerske,
jordemoder, dyrlæge og arkitekt.
Som koordinator varetager styrelsen også interesser for visse erhvervsområder, der ikke
er regulerede her i landet, men som på grund af stærk regulering i andre EU-lande har
brug for teknisk støtte, f.eks. ingeniører og arkitekter. Som koordinator deltager styrel-
sen også i udviklingen og gennemførelsen af politiske initiativer, der har til formål at
fjerne barrierer for arbejdskraftens frie bevægelighed i Norden og i EU.
31
Europa-Kommissionens generaldirektorat for Indre Marked, Erhvervspolitik, Iværksætteri og SMV'er (GROW):
http://ec.europa.eu/growth/single-market/services/free-movement-professionals/index_en.htm.
32
Se også afsnit 3.2 om transparensinitiativet nedenfor..
Styrelsen for Forskning og Uddannelse
30
EUU, Alm.del - 2017-18 - Bilag 743: Kopi af orientering om beretning for 2017 om vurdering og anerkendelse af udenlandske uddannelseskvalifikationer m.v., fra uddannelses- og forskningsministeren
1908600_0031.png
Beretning for 2017
3.1.2.2 Støttecenterfunktionen
Styrelsen for Forskning og Uddannelse varetager funktionen som støttecenter for aner-
kendelse af erhvervsmæssige kvalifikationer.
Det indgår i det reviderede anerkendelsesdirektiv, at erhvervsudøverne skal have bedre
adgang til information og service om, hvordan man får anerkendt sine erhvervsmæssige
kvalifikationer i medlemsstaterne. Dette har blandt andet bevirket, at de tidligere kon-
taktpunkter er omdøbt til ”støttecentre”, og meningen er, at støttecentrene skal have en
mere proaktiv rolle i at hjælpe de enkelte erhvervsudøvere.
33
Støttecentrets opgaver er at give udenlandske borgere, virksomheder, koordinatorer,
støttecentre, faglige organisationer m.fl. i de øvrige medlemsstater alle de nødvendige
oplysninger om de danske uddannelses- og kvalifikationskrav samt øvrige betingelser
for adgang til udøvelse af lovregulerede erhverv i Danmark.
Styrelsen driver en webportal for de lovregulerede erhverv, hvorigennem der informeres
om adgangen til at udøve de enkelte erhverv.
34
Informationerne er henvendt til såvel
EU/EØS-borgere som tredjelandsborgere, og de findes på både engelsk og dansk. På
hjemmesiden gives også overordnet information om de rettigheder og pligter, som dan-
skere bør være bekendte med, når de ønsker at få adgang til at udøve et lovreguleret
erhverv som selvstændig eller arbejdstager i de andre EU/EØS-lande og Schweiz.
Som støttecenter behandler styrelsen henvendelser fra borgere, virksomheder og myn-
digheder i ind- og udland. Det drejer sig f.eks. om migranter, som ønsker at arbejde inden
for lovregulerede erhverv her i landet, og danske virksomheder, der ønsker at ansætte
personer med udenlandske erhvervsmæssige kvalifikationer. Styrelsen besvarer også
spørgsmål fra udenlandske kompetente myndigheder om erhverv, der ikke er lovregule-
rede her i landet, f.eks. spørgsmål om, hvorvidt et bestemt uddannelsesbevis er udstedt
af en given uddannelsesinstitution i Danmark.
Det danske støttecenter har også til opgave at bistå danske borgere, som ønsker at få
deres kvalifikationer anerkendt i andre EU/EØS-lande eller Schweiz med henblik på
etablering eller levering af tjenesteydelser der. Således bistår styrelsen danske borgere
med at udnytte de rettigheder, som anerkendelsesdirektivet giver dem, om nødvendigt
gennem samarbejde med de øvrige medlemsstaters støttecentre og værtsmedlemssta-
tens kompetente myndigheder.
Som led i støttecenter- og koordinatorfunktionerne bistår styrelsen det danske SOL-
VIT-center i forbindelse med centrets behandling af klagesager indgivet af EU-
erhvervsudøvere, som har oplevet barrierer i forbindelse med etablering i Danmark. I
forbindelse med SOLVIT-sager kan styrelsen hjælpe kompetente myndigheder og mini-
sterier, der har spørgsmål om direktivets regler om anerkendelsesbetingelser og udlig-
ningsforanstaltninger og i forbindelse med behandling af klagesager.
3.1.2.3 Artikel 58-udvalget
Kommissionen bistås af et udvalg vedrørende anerkendelse af erhvervsmæssige kvali-
fikationer. Udvalget behandler sager og træffer med kvalificeret flertal beslutninger om
33
34
Det reviderede anerkendelsesdirektiv er nærmere omtalt i afsnit 3.1.1.1 ovenfor.
Se www.ufm.dk/le.
Styrelsen for Forskning og Uddannelse
31
EUU, Alm.del - 2017-18 - Bilag 743: Kopi af orientering om beretning for 2017 om vurdering og anerkendelse af udenlandske uddannelseskvalifikationer m.v., fra uddannelses- og forskningsministeren
1908600_0032.png
Beretning for 2017
Kommissionens forslag i sager, hvor Kommissionen ikke har beføjelse til at vedtage
delegerende retsakter, eksempelvis opdatering af dele af direktivet, der ikke er af tek-
nisk karakter. Udvalget vedtager Kommissionens forslag efter den såkaldte undersøgel-
sesprocedure, jf. forordning 182/2011. Udvalget har ikke behandlet sådanne sager i 2017.
3.1.3 Danske regler: Anerkendelsesloven, sektorspecifik lovgivning m.v.
Lov om anerkendelse af visse uddannelses- og erhvervsmæssige kvalifikationer (aner-
kendelsesloven)
35
, som bl.a. gennemfører fælles bestemmelser i direktivet, trådte i kraft
den 1. januar 2016. Styrelsen udstedte på den baggrund en bekendtgørelse om anerken-
delse af visse uddannelses- og erhvervsmæssige kvalifikationer m.v., som trådte i kraft
den 17. januar 2016.
36
Loven viderefører dele af den gældende ret og gennemfører en
række af direktivets nye tiltag.
Anerkendelsesloven finder anvendelse på sager om adgang til varig udøvelse af lovre-
gulerede erhverv og om sager, hvor en person som selvstændigt erhvervsdrivende eller
arbejdstager agter at levere tjenesteydelser midlertidigt og lejlighedsvist. Desuden fin-
der loven anvendelse på sager om personer, der har ansøgt om det europæiske erhverv-
spas. Loven omfatter også personer, som har fået begrænset retten til at udøve deres
erhverv af en kompetent myndighed eller domstolen, og som er berørt af direktivbe-
stemmelserne
om ”advarselssystemet”. Loven fastsætter bl.a. regler om anerkendelses-
procedurer, indberetningspligt og transparens i lovgivningen samt regler om administra-
tivt samarbejde med andre medlemsstater.
Som følge af det reviderede anerkendelsesdirektiv er der også foretaget konsekvens-
ændringer i lov om tjenesteydelser i det indre marked. Med henblik på at gennemføre
anerkendelsesdirektivet inden for de enkelte sektorer er der foretaget konsekvensæn-
dring af lov om formidling af fast ejendom m.v., lov om landinspektørvirksomhed, lov om
danskuddannelse til voksne udlændinge m.fl. Anerkendelsesdirektivet er gennemført på
omkring 160 lovregulerede erhvervsområder, og Styrelsen for Forskning og Uddannelse
har gennem en tværministeriel arbejdsgruppe koordineret gennemførelsen af direktivets
sektorspecifikke regler i den sektorspecifikke lovgivning, som er relevant for enkelte
lovregulerede erhverv.
3.2 Transparensinitiativet
Transparensinitiativet, som indgår i det reviderede anerkendelsesdirektiv, stiller krav til
medlemsstaterne om at undersøge begrundelserne for og omfanget af lovregulerede
erhverv. Formålet er at sikre større gennemsigtighed og berettigelse for de regulerede
erhverv i medlemsstaterne og derigennem styrke vækst og mobilitet i EU. Kravene i
retsreglerne om lovregulerede erhverv skal være forenelige med forbuddet mod diskri-
mination på grund af nationalitet eller opholdssted, kravene skal være begrundede i
tvingende almene hensyn, og kravene skal sikre opfyldelsen af det tilsigtede mål og ikke
gå ud over, hvad der er nødvendigt for at opnå dette mål.
35
Lov nr. 1871 af 29. december 2015 om anerkendelse af visse uddannelses- og erhvervsmæssige kvalifikationer:
https://www.retsinformation.dk/Forms/R0710.aspx?id=176805.
36
Bekendtgørelse nr. 53 af 14. januar 2016 om anerkendelse af visse uddannelses- og erhvervsmæssige kvalifikationer
m.v.: www.retsinformation.dk/Forms/R0710.aspx?id=177086.
Styrelsen for Forskning og Uddannelse
32
EUU, Alm.del - 2017-18 - Bilag 743: Kopi af orientering om beretning for 2017 om vurdering og anerkendelse af udenlandske uddannelseskvalifikationer m.v., fra uddannelses- og forskningsministeren
Beretning for 2017
I 2016 skete der en kortlægning af lovkravene for udøvelse af lovregulerede erhverv i
Danmark, og Styrelsen for Videregående Uddannelser (nu Styrelsen for Forskning og
Uddannelse) udarbejdede en national handlingsplan.
Gennemførelsen af transparensinitiativet fortsatte i 2017, hvor Styrelsen for Forskning
og Uddannelse på baggrund af bidrag fra de ansvarlige ressortministerier udarbejdede
en indberetning til Kommissionen vedrørende nye og ændrede krav samt fjernede krav
for perioden 2016-2017.
Ifølge indberetningen blev ingen nye krav til lovregulerede erhverv indført i perioden 16.
januar 2016-1. juni 2017, men i perioden 1. juni 2017-1. januar 2018 blev der indført nye
krav på visse områder.
Myndighederne undersøgte til brug for indberetningen, om de nye krav var diskrimine-
rende i forhold til nationalitet og opholdssted, om de var proportionelle, og om de var
nødvendige. Der blev i den forbindelse gennemført proportionalitetstest via Europa-
Kommissionens database over lovregulerede erhverv. Formålet med proportionalitets-
testen er at afklare, om de hensyn, som ligger til grund for lovreguleringen, kan vareta-
ges på en mindre byrdefuld måde.
Indberetningen viste, at lovgivning vedrørende 24 ud af omkring 120 lovregulerede er-
hverv var blevet ændret eller forventedes at blive ændret i nærmeste fremtid. For langt
de fleste erhverv er den nye lovgivning trådt i kraft den 1. januar 2018.
Der er foretaget
yderligere regulering
inden for visse erhvervsområder som konsekvens
af den nye EU-sektorspecifikke regulering. Blandt andet gennemføres MiFID2-pakken
vedrørende erhverv som bank- og investeringsrådgiver samt finansiel rådgiver. Be-
kendtgørelsen om vagtvirksomhed er blevet ændret for at sikre overensstemmelse med
direktiv 2008/104/EF.
Inden for visse erhverv er der sket en
forenkling af kravene:
Ordningen for certificeret
statiker (i overensstemmelse med ISO-standarder) skal med tiden erstatte
”anerkendt
statiker”-ordningen. Med nye rottebekæmpelsesregler åbnes der for, at ejere af er-
hvervsejendomme selv kan foretage visse former for rottebekæmpelse. Og uddannel-
seskravene til festfyrværkererhvervet er blevet forenklet.
Der er indført krav til fire
nye erhverv i byggesektoren:
certificeret brandrådgiver, certi-
ficeret statiker, kabelmontør og rørmontør. De certificerede brandrådgivere skal fra
2020 overtage de relevante opgaver fra kommunerne.
Der er indført krav til ni
nye regulerede erhverv på offshore.
Det er tale om krav til korte
arbejdsmarkedsuddannelser, som har til formål at forbedre sikkerheden offshore.
Inden for nogle erhverv er der sket en
teknisk opdatering af lovgivningen,
f.eks. når det
gælder skorstensfejererhvervet, og inden for nogle erhvervsområder er der foretaget en
opdatering af uddannelseskrav
i lovgivningen, f.eks. lærer i dansk for voksne udlændin-
ge.
For så vidt angår advokaterhvervet, har regeringen besluttet at foretage en
evaluering
af reglerne
med henblik på at afklare, hvorvidt de gældende regler er nødvendige, og
hvorvidt det tvingende almene hensyn kan sikres ved mindre restriktive regler.
Styrelsen for Forskning og Uddannelse
33
EUU, Alm.del - 2017-18 - Bilag 743: Kopi af orientering om beretning for 2017 om vurdering og anerkendelse af udenlandske uddannelseskvalifikationer m.v., fra uddannelses- og forskningsministeren
1908600_0034.png
Beretning for 2017
3.3 Kommissionens servicepakke 2017
Kommissionen vedtog den 10. januar 2017 en række initiativer, der skal gøre det lettere
for tjenesteydere at håndtere de administrative formaliteter og for EU-landene at ud-
skille overdrevent besværlige eller forældede krav til erhvervsudøvere, der opererer på
hjemmemarkedet eller på tværs af grænserne. Den fremlagte pakke består af foran-
staltninger, som vil gøre det lettere for virksomheder og erhvervsudøvere at levere tje-
nesteydelser til en potentiel kundekreds på 500 millioner mennesker i EU.
Formålet med servicepakken er at skabe et bedre fungerende indre marked, reducere
administrative og reguleringsmæssige barrierer for dermed at åbne nye forretningsmu-
ligheder for tjenesteydere samt tilvejebringe tjenesteydelser af høj kvalitet for forbru-
gerne.
Pakken indeholder bl.a.
direktivforslag om proportionalitetstest forud for vedtagelse af
ny regulering af erhverv.
Udkastet til direktiv har til formål at forbedre gennemsigtighe-
den af måden, hvorpå visse erhverv reguleres i medlemsstaterne. Det sigter på at sikre,
at nationale foranstaltninger er forholdsmæssige og ikke unødigt begrænser adgangen
til erhverv eller skaber urimelige byrder på det indre marked. I forbindelse med regulerin-
gen af erhverv vil medlemsstaterne skulle foretage en vurdering af berettigelsen af alle
de nye eller ændrede regler, så deres indvirkning på interesserede parter og virksomhe-
der kan vurderes. Det kommende direktiv vil derfor harmonisere måden, hvorpå disse
proportionalitetstest gennemføres, og de kriterier, der skal anvendes, i overensstem-
melse med EU-Domstolens retspraksis.
Forpligtelsen til at gennemføre en proportionalitetstest, inden der indføres ny regulering
af erhverv, vil supplere bestemmelserne i anerkendelsesdirektivets artikel 59 om trans-
parensinitiativet. Rådet nåede til enighed om generelle indstillinger til teksten i maj
2017
37
, og i december 2017 offentliggjorde Europa-Parlamentets udvalg om det Indre
Marked og Forbrugerbeskyttelse (IMCO) sin betænkning vedrørende forslaget
38
. Direk-
tivforslaget forventes vedtaget i 2018.
Derudover indeholder servicepakken en meddelelse om anbefalinger vedrørende refor-
mer af reguleringen af visse liberale erhverv
39
. Anbefalingerne tager udgangspunkt i den
gensidige evaluering, som EU-landene gennemførte mellem 2014 og 2016. Styrelsen for
Forskning og Uddannelse har koordineret det sendte danske bidrag. Kommissionen har
fremlagt en vejledning i nationale reformbehov inden for regulering af erhvervstjenester
med stort vækst- og beskæftigelsespotentiale: arkitekter, ingeniører, advokater, reviso-
rer, patentagenter, ejendomsmæglere og turistguider. EU-landene opfordres til at vur-
dere, hvorvidt man med kravene til faglige kvalifikationer opfylder de erklærede natio-
nale målsætninger for den offentlige politik. Vejledningen supplerer det europæiske se-
mester-evalueringerne, idet den specifikt vedrører de krav, der gælder for disse erhverv.
Ejendomsmægler var et af de erhverv, der var genstand for en dybtgående analyse. Her
anbefaler Kommissionen, at Danmark vurderer, i hvilket omfang varigheden af obligato-
37
Rådets generelle indstilling til direktivforslag til proportionalitetstest forud for vedtagelse af ny regulering af erhverv
http://data.consilium.europa.eu/doc/document/ST-9057-2017-REV-1/da/pdf
38
Europa-Parlamentets (IMCO) betænkning vedrørende direktivforslag til proportionalitetstest forud for vedtagelse af
ny regulering af erhverv: http://www.europarl.europa.eu/sides/getDoc.do?pubRef=-
%2f%2fEP%2f%2fNONSGML%2bREPORT%2bA8-2017-0395%2b0%2bDOC%2bPDF%2bV0%2f%2fDA
39
Kommissionens meddelelse om anbefalinger til reformer af reguleringen af visse liberale erhverv: http://eur-
lex.europa.eu/legal-content/DA/TXT/PDF/?uri=CELEX:52016DC0820&from=DA
Styrelsen for Forskning og Uddannelse
34
EUU, Alm.del - 2017-18 - Bilag 743: Kopi af orientering om beretning for 2017 om vurdering og anerkendelse af udenlandske uddannelseskvalifikationer m.v., fra uddannelses- og forskningsministeren
1908600_0035.png
Beretning for 2017
riske kvalifikationskrav er af afgørende betydning, ud fra de opgaver, ejendomsmægler-
ne udfører, og formålet med reguleringen.
3.4 Europa-Kommissionens database over lovregulerede erhverv
Europa-Kommissionen driver en offentligt tilgængelig database
40
med oplysninger om
de lovregulerede erhverv og om landenes støttecentre og kompetente myndigheder
samt med statistik over migrerende arbejdskraft. For hvert erhverv oplyses der om den
relevante lovgivning i medlemsstaterne, den relevante anerkendelsesordning under an-
erkendelsesdirektivet, regler for eventuel forudgående anmeldelse og kontrol af tjene-
steyderes kvalifikationer m.v. Hvert land er ansvarligt for at opdatere oplysninger om
sine lovregulerede erhverv, kompetente myndigheder og statistik. I databasen redegør
medlemsstaterne over for Kommissionen for den retlige begrundelse for forudgående
kontrol af tjenesteydere, for niveauet og strukturen for den uddannelse, der knytter sig
til erhvervet, for forhold vedrørende erhvervsforsikring, eventuelle begrænsninger i at
drive selvstændig virksomhed m.v.
Til brug for gennemførelsen af transparensinitiativet redegør medlemsstaterne i data-
basen for proportionalitetsprincippet, der knytter sig til lovregulering af hvert enkelt
erhverv. Disse oplysninger, som er tilgængelige i databasen for de nationale koordinato-
rer for direktivet og for Kommissionen, forventes at blive offentliggjort på et senere
tidspunkt. I 2018 forventes det, at databasen bliver integreret i IMI.
3.5 Informationssystemet for det Indre Marked (IMI)
IMI-systemet
41
er udviklet i fællesskab af Kommissionen og de nationale myndigheder
og er hovedsagelig finansieret af programmerne IDABC og ISA. IMI-systemet muliggør
blandt andet sikker udveksling af personfølsomme oplysninger mellem myndighederne i
forbindelse med behandlingen af konkrete sager om anerkendelse eller udstedelse af
erhvervspas efter anerkendelsesdirektivet. Gennem IMI-systemet sendes og modtages
desuden meddelelser i forbindelse med advarselssystemet (se afsnittet om dette på
side 47).
Som støttecenter for anerkendelsesdirektivet besvarer Styrelsen for Forskning og Ud-
dannelse gennem IMI-systemet også forespørgsler fra andre medlemsstaters kompe-
tente myndigheder, når erhvervet ikke er lovreguleret i Danmark. Dette gør sig eksem-
pelvis gældende for arkitekterhvervet og for det europæiske erhvervspas for danske
bjergguider.
Notifikationer af uddannelsesbeviser for anerkendelse på grundlag af koordinering af
mindstekrav til uddannelserne til læge, speciallæge, tandlæge, specialtandlæge, jorde-
moder, sygeplejerske med ansvar for almene sygepleje, farmaceut, dyrlæge og arkitekt
(med henblik på opdatering af direktivets bilag V. 1-7 og automatisk anerkendelse) er i
forbindelse med revisionen af direktivet overført i IMI-systemet. Styrelsen har som ko-
ordinator i IMI-systemet for anerkendelsesdirektivet ansvaret for at screene og god-
kende danske notifikationer, inden de sendes til Kommissionen og andre medlemsstater.
De danske kompetente myndigheder og Styrelsen for Forskning og Uddannelse modta-
40
41
EU-database vedrørende lovregulerede erhverv: http://ec.europa.eu/growth/tools-databases/regprof
Læs mere om IMI på Kommissionens hjemmeside: http://ec.europa.eu/internal_market/imi-net/index_da.htm
Styrelsen for Forskning og Uddannelse
35
EUU, Alm.del - 2017-18 - Bilag 743: Kopi af orientering om beretning for 2017 om vurdering og anerkendelse af udenlandske uddannelseskvalifikationer m.v., fra uddannelses- og forskningsministeren
1908600_0036.png
Beretning for 2017
ger på samme vis andre medlemsstaters notifikationer, som lægges til grund for opta-
gelse i direktivets bilag V.
IMI-systemets overordnede nationale koordinator i Danmark er Erhvervsstyrelsen. Sty-
relsen for Forskning og Uddannelse har siden 2012 været koordinator for anerkendel-
sesdirektivets regelområde i IMI (såkaldt LIMIC), og styrelsen har derfor et tæt samar-
bejde med Erhvervsstyrelsen og alle kompetente myndigheder på dette område.
3.6 Kvikskranke-samarbejdet
Ifølge servicedirektivet
42
er hver medlemsstat forpligtet til at drive en kvikskranke (Po-
int of Single Contact)
43
, hvor borgere og virksomheder fra andre EU/EØS-lande kan få
information om regler og vilkår for at udøve deres servicevirksomhed. Med det revidere-
de anerkendelsesdirektiv er kvikskrankens opgaver udvidet til også at omfatte mulig-
heder for gennem Kvikskranken at sende ansøgninger om anerkendelse af erhvervs-
mæssige kvalifikationer og anmeldelser m.v. for alle lovregulerede erhverv, som er om-
fattet af anerkendelsesdirektivet.
44
Den danske kvikskranke drives af Erhvervsstyrelsen og hedder Business in Denmark.
Efter en udvidelse af Business in Denmark-hjemmesiden i 2015 kan borgere fra andre
EU/EØS-lande herigennem ansøge elektronisk om anerkendelse af deres erhvervsmæs-
sige kvalifikationer.
45
3.7 De kompetente myndigheders afgørelser om autorisation m.v.
Dette afsnit giver et overblik over de kompetente myndigheders behandling af ansøg-
ninger om autorisation og lignende. Tallene bygger på de kompetente myndigheders
statistiske indberetninger til Styrelsen for Forskning og Uddannelse.
Loven om anerkendelse af visse uddannelses- og erhvervsmæssige kvalifikationer fin-
der aktuelt anvendelse på 128 lovregulerede erhverv samt en række medicinske specia-
ler, og ansvaret for adgangen til at udøve erhvervene fordeler sig på 22 kompetente
myndigheder. De seneste oplysninger om erhvervene og deres kompetente myndighe-
der findes i en database på Uddannelses- og Forskningsministeriet (se
www.ufm.dk/le).
Antallet af afgørelser har været stigende siden 2013, men tog et spring i 2017. Samlet
udstedte myndighederne i årets løb 2.968 afgørelser, hvilket var 41 procent flere end
året før. Stigningen var dog noget mindre, hvis man ser bort fra en mængde sager i Sty-
relsen for Patientsikkerhed, som vedrørte ansøgninger fra tidligere år, og som i 2017 blev
afsluttet med afslag på grund af manglende dokumentation fra ansøgerne. Hvis andelen
af negative afgørelser i Styrelsen for Patientsikkerheds afgørelser havde været den
samme som året før, ville det samlede antal afgørelser have været knap 2.700, og den
samlede stigning ville have været på ca. 28 procent i forhold til 2016.
42
Direktiv 2006/123/EF, artikel 6.
Kvikskranker i EU/EØS: http://ec.europa.eu/internal_market/eu-go/index_da.htm
44
Lov nr. 384 af 25. maj 2009 om tjenesteydelser i det indre marked er blevet tilpasset, og der er udarbejdet en ny
bekendtgørelse om elektronisk kontaktpunkt under Erhvervs- og Vækstministeriet.
45
Business in Denmark på Erhvervsstyrelsens hjemmeside indeholder oplysninger om erhvervene på engelsk:
https://danishbusinessauthority.dk/Permits-licenses-authorisations. Oplysninger om erhvervene på dansk samt over-
sigter på dansk og engelsk findes på Uddannelses- og Forskningsministeriets hjemmeside: www.ufm.dk/le.
43
Styrelsen for Forskning og Uddannelse
36
EUU, Alm.del - 2017-18 - Bilag 743: Kopi af orientering om beretning for 2017 om vurdering og anerkendelse af udenlandske uddannelseskvalifikationer m.v., fra uddannelses- og forskningsministeren
1908600_0037.png
Beretning for 2017
Som det fremgår af figur 3.1 nedenfor, udgjorde afgørelser efter EU-reglerne stadig den
største gruppe i 2017 (67 pct.), men det var ligesom året før sager vedrørende tredje-
landsstatsborgere og -uddannelser, der steg hurtigst, nemlig med 79 procent mod 28
procent for EU/EØS-sagerne.
Figur
.1
3
Afgørelser efter år og regelsæt, antal, 2008-2017
Antal afgørelser
3.000
Antal afgørelser
3.000
2.500
2.500
2.000
2.000
1.500
1.500
1.000
1.000
500
500
0
2008
EU/EØS
2009
2010
2011
2012
2013
2014
2015
2016
2017
0
Øvrige
Uddannelser fra EU/EØS-medlemsstater lå til grund for 67 procent af afgørelserne,
hvoraf de 38 procent vedrørte de øst- og centraleuropæiske medlemslande (Polen alene
de 23 procent). 14 procent vedrørte Norden.
Antallet af afgørelser vedrørende uddannelser fra lande i Asien, blev næsten fordoblet i
forhold til 2016 og udgjorde 20 procent af alle afgørelser. Det skyldtes især stigninger
vedrørende Iran, Irak, Filippinerne og Pakistan.
Afgørelserne var for 66 procents vedkommende positive, dvs. tildeling af adgang til at
udøve det pågældende erhverv, 20 procent var betingede godkendelser, og 13 procent
var negative afgørelser, dvs. afslag. I 2016 fordelte afgørelserne sig med 72 procent
positive, 23 procent betingede og 5 procent negative, og denne fordeling er stort set
uændret i 2017, hvis man ser bort fra det exceptionelt høje antal negative afgørelser i
Styrelsen for Patientsikkerhed, som er nævnt ovenfor.
Af i alt 1.965 positive afgørelser blev 1.802 truffet efter EU-reglerne og 163 efter de
nationale regler. I afgørelserne efter EU-regler ses der ligesom tidligere år en høj andel
af positive afgørelser: I 2017 var 88 procent af afgørelserne efter EU-regler positive, 2
procent delvis anerkendelse, 4 procent betingede, og 6 procent negative.
Blandt øvrige afgørelser, dvs. afgørelser vedrørende personer med statsborgerskab i
og/eller uddannelse fra tredjelande, er positive afgørelser langt mindre almindelige: I
2017 blev der givet 17 procent positive afgørelser (mod 9 pct. året før), mens 54 procent
var betingede
46
(77 pct. året før), og 29 procent negative (14 pct. året før).
46
Betingede afgørelser er ikke det samme i sager efter EU-reglerne som i øvrige sager: Efter EU-reglerne kan der kun
stilles krav om at bestå en egnethedsprøve eller gennemgå en prøvetid (efter ansøgerens eget valg), eller i visse til-
Styrelsen for Forskning og Uddannelse
37
EUU, Alm.del - 2017-18 - Bilag 743: Kopi af orientering om beretning for 2017 om vurdering og anerkendelse af udenlandske uddannelseskvalifikationer m.v., fra uddannelses- og forskningsministeren
1908600_0038.png
Beretning for 2017
Den øgede andel negative afgørelser skal dog ses i lyset af det nævnte, exceptionelt
høje antal negative afgørelser i 2017, som er indberettet af Styrelsen for Patientsikker-
hed.
Langt de fleste afgørelser blev truffet på områderne under Styrelsen for Patientsikker-
hed (46 pct.), Arbejdstilsynet (36 pct.) og Styrelsen for Forskning og Uddannelse (13
pct.).
Tabel 3.1 nedenfor viser, hvordan de enkelte myndigheders afgørelser fordelte sig i 2017
efter myndighed og afgørelsernes art, og ændringerne i antallet af afgørelser i forhold til
2016.
Tabel
.1
3
Afgørelser efter myndighed og afgørelsens art, 2017
Myndighed
Positive
Antal
Arbejdstilsynet
Erhvervsstyrelsen
Fødevarestyrelsen
Geodatastyrelsen
Lægemiddelstyrelsen
Miljøstyrelsen
Psykolognævnet
Rigspolitiet
Sikkerhedsstyrelsen
Styrelsen for Forskning og Uddan-
nelse *
Styrelsen for Patientsikkerhed **
Sundhedsstyrelsen
Søfartsstyrelsen
Civilstyrelsen
Alle myndigheder
1.063
0
15
0
5
6
26
1
1
164
670
2
11
1
1.965
Pct.
100
-
63
-
14
100
72
100
25
41
49
67
92
100
66
Betingede
Antal
0
0
0
1
31
0
5
0
0
166
399
1
0
0
603
Pct.
-
-
-
100
86
-
14
-
-
42
29
33
-
-
20
Negative
Antal Pct.
4
1
9
0
0
0
5
0
3
69
308
0
1
0
400
0
100
38
-
-
-
14
-
75
17
22
-
8
-
13
I alt
Antal
1.067
1
24
1
36
6
36
1
4
399
1.377
3
12
1
2.968
Ændring
seneste år
Antal
394
0
-13
-2
-10
-22
2
0
4
37
482
-3
1
1
868
Pct.
59
0
-35
-67
-22
-79
6
0
-
10
54
-50
9
-
41
Anm.: I tabellen optræder kun de myndigheder, der har truffet afgørelser på området i 2016.
* Tallene for positive afgørelser i 2017 inkluderer 41 tildelinger af delvis adgang til erhvervsudøvelse.
** Stigningen i negative afgørelser fra Styrelsen for Patientsikkerhed (fra 23 i 2016 til 308 i 2017) skal ses
på baggrund af, at styrelsen i 2017 gav afslag på en mængde ansøgninger fra tidligere år, hvor styrelsen
havde afventet men ikke modtaget dokumentation fra ansøgerne. Afslagene er altså i disse tilfælde be-
grundet i manglende dokumentation og ikke manglende kvalifikationer.
3.7.1 Udviklingen inden for de enkelte erhvervsområder
Stigningen i mængden af sager vedrørte hovedsagelig Styrelsen for Patientsikkerhed
og Arbejdstilsynets områder, og ser man på de positive afgørelser, skete stigningen
hovedsagelig på Arbejdstilsynets områder.
fælde om at dokumentere erhvervserfaring. I øvrige sager følges danske retsregler, og her kan betingede afgørelser
også indebære krav om at gennemføre supplerende uddannelse.
Styrelsen for Forskning og Uddannelse
38
EUU, Alm.del - 2017-18 - Bilag 743: Kopi af orientering om beretning for 2017 om vurdering og anerkendelse af udenlandske uddannelseskvalifikationer m.v., fra uddannelses- og forskningsministeren
1908600_0039.png
Beretning for 2017
Arbejdstilsynets afgørelser steg med 59 procent i forhold til året før, og stigningen var
størst for erhvervene truckfører, stilladsopstiller, fører af teleskoplæsser og arbejde med
asbestnedrivning. Der er tale om konjunkturfølsomme erhverv inden for byggeri m.v.,
hvor antallet af anerkendelsessager har været stigende siden 2012. Arbejdstilsynets
afgørelser var næsten udelukkende positive.
Styrelsen for Patientsikkerhed havde en stigning i antallet af afgørelser på 54 procent,
som især vedrørte sygeplejersker, læger, tandlæger og social- og sundhedsassistenter.
En del af stigningen skyldes dog, at styrelsen i 2017 afsluttede en mængde sager, hvor
styrelsen i op til flere år havde afventet dokumentation fra ansøger, og disse sager blev
afsluttet med negative afgørelser.
Antallet af afgørelser for de enkelte erhverv og deres fordeling efter afgørelsernes art
fremgår af tabel 3.2 nedenfor.
47
Tabel
.2
3
Afgørelser efter erhverv og afgørelsens art, 2017
Erhverv
Positive*
Antal
Advokat
Ambulanceassistent
Ambulancebehandler med særlig
kompetence
Ambulancebehandler
Asbestnedrivning
Bandagist
Bioanalytiker
Lærer i dansk for voksne udlæn-
dinge
Dyrlæge
Elevatormontør
Arbejde med epoxy og isocyana-
ter
Ergoterapeut
Erhvervsdykker
Farmaceut
Farmakonom
Fodterapeut
Folkeskolelærer
Fysioterapeut
Elinstallatør
Lærer i de gymnasiale uddannel-
ser
Jordemoder
Kiropraktor
Klinisk diætist
47
Betingede
Antal
0
0
0
1
0
0
8
1
0
0
0
1
0
16
15
0
110
12
0
52
1
0
1
Pct.
0
0
0
50
0
0
24
33
0
0
0
8
0
80
94
0
48
20
0
34
5
0
50
Negative
Antal
0
0
0
0
0
1
14
0
8
0
0
4
0
0
0
1
24
15
3
43
12
1
1
Pct.
0
0
0
0
0
100
41
0
40
0
0
31
0
0
0
100
11
25
75
28
63
25
50
I alt
Antal
1
2
4
2
126
1
34
3
20
2
5
13
10
20
16
1
228
59
4
152
19
4
2
Ændring
seneste år
Antal
1
-24
-2
-21
65
0
25
2
-11
2
-3
9
4
-5
-5
0
9
33
4
10
10
-1
1
Pct.
-
-92
-33
-91
107
0
278
200
-35
-
-38
225
67
-20
-24
0
4
127
-
7
111
-20
100
Pct.
100
100
100
50
100
0
35
67
60
100
100
62
100
20
6
0
41
54
25
38
32
75
0
1
2
4
1
126
0
12
2
12
2
5
8
10
4
1
0
94
32
1
57
6
3
0
Mere detaljeret statistik for sager, der er behandlet efter anerkendelsesdirektivet, kan findes i Europa-
Kommissionens database over lovregulerede erhverv: http://ec.europa.eu/growth/tools-databases/regprof.
Styrelsen for Forskning og Uddannelse
39
EUU, Alm.del - 2017-18 - Bilag 743: Kopi af orientering om beretning for 2017 om vurdering og anerkendelse af udenlandske uddannelseskvalifikationer m.v., fra uddannelses- og forskningsministeren
1908600_0040.png
Beretning for 2017
Erhverv
Positive*
Antal
Pct.
0
50
99
100
0
48
50
60
72
17
69
9
100
100
100
100
0
100
0
100
100
100
36
47
20
100
100
100
75
66
Betingede
Antal
0
0
0
0
1
266
0
2
5
1
3
12
0
0
0
0
1
0
0
0
0
0
41
53
0
0
0
0
0
603
Pct.
0
0
0
0
100
47
0
40
14
8
19
17
0
0
0
0
100
0
0
0
0
0
14
45
0
0
0
0
0
20
Negative
Antal
8
2
2
0
0
34
1
0
5
9
2
51
0
0
0
0
0
0
1
0
0
0
144
9
4
0
0
0
1
400
Pct.
100
50
1
0
0
6
50
0
14
75
13
74
0
0
0
0
0
0
100
0
0
0
50
8
80
0
0
0
25
13
I alt
Antal
8
4
159
2
1
572
2
5
36
12
16
69
6
159
1
1
1
1
1
102
1
34
288
117
5
130
502
1
4
2.968
Ændring
seneste år
Antal
6
3
36
1
-2
158
0
-2
2
6
16
51
-22
4
-3
1
-1
-2
1
82
1
31
161
65
5
75
102
1
-1
868
Pct.
300
300
29
100
-67
38
0
-29
6
100
-
283
-79
3
-75
-
-50
-67
-
410
-
1033
127
125
-
136
26
-
-20
41
Klinisk tandtekniker
Koordinator på byggepladser
Kranfører
Kølemontør
Landinspektør
Læge
Maskinmester i fiskeskibe
Optometrist
Psykolog
Radiograf
Pædagog i folkeskolens børne-
haveklasse og 1.- 3. klassetrin
Social- og sundhedsassistent
Sprøjtecertifikat
Speciallæge
Specialsygeplejerske i anæstesi-
ologisk sygepleje
Specialsygeplejerske i intensiv
sygepleje
Sundhedsplejerske
Specialtandlæge
Statsautoriseret revisor
Stilladsopstiller
Arbejde med styren
Arbejde med svejsning
Sygeplejerske
Tandlæge
Tandplejer
Fører af teleskoplæsser
Fører af gaffeltruck
Vagt
Autoriseret veterinærsygeplejer-
ske
I alt
0
2
157
2
0
272
1
3
26
2
11
6
6
159
1
1
0
1
0
102
1
34
103
55
1
130
502
1
3
1.965
Anm.: I tabellen optræder kun de erhverv, for hvilke der er truffet afgørelser i 2017.
* Tallene for positive afgørelser i 2017 inkluderer 41 tildelinger af delvis adgang til erhvervsudøvelse.
Ud over tallene i tabellerne har Styrelsen for Patientsikkerhed i 2017 godkendt ansøg-
ninger om tidsbegrænsede autorisationer (evalueringsautorisationer, begrænsede auto-
risationer og prøvetidsautorisationer) til 179 læger, 29 tandlæger, 7 sygeplejersker, 3
fysioterapeuter, 2 social- og sundhedsassistenter, 1 ergoterapeut og 1 kiropraktor, i alt
222 eller 45 procent flere end året før.
3.7.2 Sagsbehandlingstid
De kompetente myndigheders sagsbehandlingstider blev i 2017 fortsat holdt under tre
måneder i omkring 90 procent af sagerne. Andelen under tre måneder var lidt højere i
Styrelsen for Forskning og Uddannelse
40
EUU, Alm.del - 2017-18 - Bilag 743: Kopi af orientering om beretning for 2017 om vurdering og anerkendelse af udenlandske uddannelseskvalifikationer m.v., fra uddannelses- og forskningsministeren
1908600_0041.png
Beretning for 2017
EU/EØS-sager og lidt lavere i de øvrige sager. Tabel 3.3 nedenfor viser den omtrentlige
fordeling efter sagsbehandlingstid.
48
Tre måneder er den frist, der gælder som udgangspunkt efter reglerne i EU’s anerken-
delsesdirektiv. Dog er der mulighed for i særlig vanskelige tilfælde at forlænge fristen
med en måned, med undtagelse af de erhverv, der er omfattet af anerkendelsesdirekti-
vets bestemmelser om automatisk anerkendelse på baggrund af fælles minimumsud-
dannelseskrav (læge, tandlæge, sygeplejerske, jordemoder, farmaceut, dyrlæge) eller af
direktivets bestemmelser om automatisk anerkendelse på baggrund af relevant er-
hvervserfaring (lovregulerede erhverv under Sikkerhedsstyrelsens ansvar).
Tabel
.3
3
Afgørelser efter sagsbehandlingstid i måneder, pct., 2017
49
Sagsbehandlingstid
Mindre end 1 måned
Mellem 1 og 2 mdr.
Mellem 2 og 3 mdr.
Mellem 3 og 4 mdr.
Mellem 4 og 5 mdr.
Mellem 5 og 6 mdr.
Over 6 mdr.
I alt
EU/EØS-sager
79
11
4
4
1
0
1
100
Øvrige sager
54
21
10
7
2
1
4
100
I alt
72
14
5
5
1
1
2
100
3.8 Pligtmæssig vurdering
De kompetente myndigheder er i en del tilfælde forpligtede til at indhente en vurdering
af udenlandske uddannelseskvalifikationer fra Styrelsen for Forskning og Uddannelse,
inden de træffer afgørelse om anerkendelse af en ansøgers samlede erhvervsmæssige
kvalifikationer. Denne såkaldte pligtmæssige vurdering har til formål at understøtte de
kompetente myndigheders sagsbehandling og sikre, at vurderingen af udenlandske ud-
dannelseskvalifikationer lever op til gældende standarder.
50
I 2017 modtog Styrelsen for Forskning og Uddannelse 101 anmodninger om pligtmæssig
vurdering fra de kompetente myndigheder, 28 procent flere end året før. Alle på nær 6
anmodninger kom fra tre myndigheder:
Psykolognævnet, vedrørende psykologer: 43 anmodninger, mere end en fordob-
ling i forhold til året før.
Lægemiddelstyrelsen, vedrørende farmakonomer og farmaceuter: 38 anmod-
ninger i 2016, lidt færre end året før.
Fødevarestyrelsen, vedrørende dyrlæger, veterinærsygeplejersker og -teknikere:
14 anmodninger, lidt færre end året før.
48
Tallene for sagsbehandlingstid oplyses med forbehold for forskelle i opgørelsesmetoder og manglende indberetning
af sagsbehandlingstider for en mindre del af sagerne, da der for visse erhverv ikke måles sagsbehandlingstid.
49
Tallene bygger på 88 procent af afgørelserne, hovedsagelig fordi Styrelsen for Patientsikkerhed ikke har opgjort
sagsbehandlingstid for de negative afgørelser, den har truffet på grund af manglende dokumentation fra ansøger.
50
Den pligtmæssige vurdering følger af § 2a i lov om vurdering af udenlandske uddannelseskvalifikationer (lovbekendt-
gørelse nr. 579 af 1. juni 2014).
Styrelsen for Forskning og Uddannelse
41
EUU, Alm.del - 2017-18 - Bilag 743: Kopi af orientering om beretning for 2017 om vurdering og anerkendelse af udenlandske uddannelseskvalifikationer m.v., fra uddannelses- og forskningsministeren
1908600_0042.png
Beretning for 2017
Sådan fungerer pligtmæssig vurdering
Den enkelte kompetente myndighed skal som udgangspunkt indhente en vurdering
af uddannelseskvalifikationerne fra Styrelsen for Forskning og Uddannelse, når
myndigheden ikke på det foreliggende grundlag kan anerkende ansøgerens uden-
landske erhvervsmæssige kvalifikationer fuldt ud. Det gælder dog ikke ansøgninger,
der behandles efter anerkendelsesdirektivets regler om automatisk anerkendelse af
kvalifikationer, og myndigheder, der har opnået fritagelse.
Styrelsen undersøger, om de udenlandske uddannelseskvalifikationer er opnået ved
en uddannelsesinstitution, der er offentligt anerkendt i uddannelseslandet. Desuden
indhenter styrelsen fra en relevant dansk uddannelsesinstitution en indholdsmæs-
sig vurdering af den udenlandske uddannelse, herunder om de udenlandske kvalifi-
kationer i det væsentligste kan sidestilles med indholdet af den tilsvarende danske
uddannelse, og hvis de ikke kan, hvilken faglig supplering der er påkrævet. Styrelsen
sender derefter den kompetente myndighed sin samlede vurdering, som er binden-
de for myndighedens afgørelse, for så vidt angår ansøgerens uddannelseskvalifika-
tioner.
Styrelsen for Patientsikkerhed, Sundhedsstyrelsen og Søfartsstyrelsen har en generel
fritagelse for den pligtmæssige vurdering på grundlag af redegørelser for deres proce-
durer, kriterier og praksis i forhold til vurdering og anerkendelse af udenlandske uddan-
nelseskvalifikationer. Der er ikke i 2017 indgivet anmodninger om nye fritagelser.
Sagsbehandlingstiden for pligtmæssige vurderinger var i 2017 på 48 kalenderdage i
gennemsnit (mod 36 året før). Sagsbehandlingstiden beregnes fra den dato, hvor en sag
er fuldt oplyst, og inkluderer den tid, der går med at høre en relevant uddannelses-
institution.
3.9 Tjenesteydere fra EU/EØS-lande
Hvis man er statsborger og etableret som erhvervsudøver i et andet EU/EØS-land, har
man efter EU’s anerkendelsesdirektiv ret til at udøve sit erhverv midlertidigt og lejlig-
hedsvist i Danmark. Inden for visse erhverv er det fastsat i den sektorspecifikke lovgiv-
ning, at tjenesteyderen, før tjenesteydelsen leveres første gang, sender en skriftlig an-
meldelse til den kompetente myndighed. Er der ikke et hjemlet krav til anmeldelse, kan
erhvervet udøves frit og uden forudgående anmeldelse.
Ifølge de kompetente myndigheders årlige indberetninger blev der i 2017 indgivet 2.291
anmeldelser om levering af tjenesteydelser. Det var 9 procent flere end i 2016. Udviklin-
gen fremgår af figur 3.2 på næste side.
Tjenesteydere, der er etablerede i Polen, udgør fortsat den største gruppe, med 32 pro-
cent, men deres antal var 9 procent mindre end i 2017. Samtidig var der stigninger for
Tyskland, som fortsat udgjorde 17 procent, og især for Tjekkiet (11 pct. af anmeldelser-
ne) og Slovakiet (7 pct.).
Styrelsen for Forskning og Uddannelse
42
EUU, Alm.del - 2017-18 - Bilag 743: Kopi af orientering om beretning for 2017 om vurdering og anerkendelse af udenlandske uddannelseskvalifikationer m.v., fra uddannelses- og forskningsministeren
1908600_0043.png
Beretning for 2017
Figur
.2
3
Tjenesteyderes forudgående anmeldelser efter myndighed, antal, 2009-2017
Antal anmeldelser
2.500
Antal anmeldelser
2.500
2.000
2.000
1.500
1.500
1.000
1.000
500
500
0
2009
Arbejdstilsynet
2010
2011
2012
2013
2014
2015
2016
Naturstyrelsen
2017
Øvrige
0
Sikkerhedsstyrelsen
Styrelsen for Patientsikkerhed
Langt de fleste anmeldelser ligger fortsat inden for Arbejdstilsynets område (97 pct.) og
vedrører nogle få erhverv/erhvervsfunktioner, navnlig fører af gaffeltruck og gaffelstab-
ler (34 pct.), svejser (20 pct.), fører af teleskoplæsser (15 pct.), kranfører (12 pct.), stil-
ladsopstiller (12 pct.) og asbestnedrivning (2 pct.). Udviklingen fra år til år fremgår af
tabel 3.4 nedenfor.
Tabel
.4
3
Tjenesteyderes anmeldelser efter myndighed og erhverv, 2013-2017
Myndighed
Erhverv
2013
Antal
Arbejdstilsynet
Arbejdstilsynet
Arbejdstilsynet
Arbejdstilsynet
Arbejdstilsynet
Arbejdstilsynet
Arbejdstilsynet
Arbejdstilsynet
Arbejdstilsynet
Arbejdstilsynet
Arbejdstilsynet
Arbejdstilsynet
DELTA
Erhvervsstyrelsen
Fødevarestyrelsen
Miljøstyrelsen
Fører af gaffeltruck/gaffelstabler
Svejser
Fører af teleskoplæsser
Kranfører
Stilladsopstiller
Asbestnedrivning
Kølemontør
Arbejde m. epoxy og isocyanater
Elevatormontør
Arbejde med styren
Kedelpasser
Koordinator på byggepladser
Audiometri og høreapp.-tilpasning
Statsautoriseret revisor
Dyrlæge
Sprøjtefører
427
45
76
154
45
31
3
0
0
0
0
0
0
0
0
1
2014
Antal
603
107
102
244
131
50
4
2
0
0
0
0
4
1
0
0
2015
Antal
625
479
204
268
148
153
15
18
0
2
0
20
0
1
0
0
2016
Antal
704
379
227
254
299
151
1
5
6
0
1
24
0
0
1
0
2017
Antal
779
450
353
282
280
54
10
8
7
1
1
3
0
1
0
0
Ændring
seneste år
Antal
75
71
126
28
-19
-97
9
3
1
1
0
-21
0
1
-1
0
Pct.
11%
19%
56%
11%
-6%
-64%
900%
60%
17%
0%
-88%
-100%
Styrelsen for Forskning og Uddannelse
43
EUU, Alm.del - 2017-18 - Bilag 743: Kopi af orientering om beretning for 2017 om vurdering og anerkendelse af udenlandske uddannelseskvalifikationer m.v., fra uddannelses- og forskningsministeren
1908600_0044.png
Beretning for 2017
Myndighed
Erhverv
2013
Antal
2014
Antal
12
0
0
2
38
10
6
3
11
1.330
2015
Antal
16
0
0
2
24
7
2
3
11
1.998
2016
Antal
11
1
1
0
11
5
7
2
16
2.106
2017
Antal
3
0
0
1
32
6
5
3
12
2.291
Ændring
seneste år
Antal
-8
-1
-1
1
21
1
-2
1
-4
185
Pct.
-73%
-100%
-100%
191%
20%
-29%
50%
-25%
9%
Miljøstyrelsen
Naturstyrelsen
Psykolognævnet
Rigspolitiet
Brøndborer **)
Rottebekæmper
Psykolog
Vagtvirksomhed
4
0
0
0
5
4
2
1
8
806
Sikkerhedsstyrelsen Elinstallatør
Sikkerhedsstyrelsen VVS-installatør
Sikkerhedsstyrelsen Festfyrværker
Sikkerhedsstyrelsen Kloakmester
Styrelsen for Pati-
entsikkerhed
I alt
Læge
14 anmeldelser eller knap 1 procent førte i 2017 til afslag på adgang til at levere tjene-
steydelser. 82 procent af anmeldelserne blev behandlet med kontrol af tjenesteyderens
kvalifikationer, og 5 procent var under behandling ved årets udgang..
3.10 Det europæiske erhvervspas
Indførelsen af et europæisk erhvervspas (European Professional Card, EPC) på udvalgte
erhvervsområder er et af de nye tiltag i direktivet, der skal fremme arbejdskraftens mo-
bilitet. EPC er indført for erhvervene sygeplejerske, fysioterapeut, farmaceut, ejen-
domsmægler og bjergfører.
EPC er en elektronisk procedure, som gør det muligt for erhvervsudøvere at få deres
erhvervsmæssige kvalifikationer anerkendt i andre EU-lande.
51
Den er lettere og hurti-
gere at benytte end traditionel anerkendelse af kvalifikationer, og den er mere gennem-
sigtig: Man kan følge sin ansøgning online og genbruge dokumenter, der allerede er
uploadet, til nye ansøgninger i alle EU-lande. Erhvervspasset fremmer også informati-
onsudvekslingen mellem erhvervsudøverens værtsmedlemsstat og hjemlandet, hvad
enten erhvervsudøveren ønsker at etablere sig eller at levere tjenesteydelser midlerti-
digt og lejlighedsvist. Den kompetente myndighed i hjemlandet kontrollerer gyldigheden
og ægtheden af de dokumenter, som ansøgeren har indsendt via Informationssystemet
for det Indre Marked (IMI). Derefter opretter myndigheden et erhvervspas, som den via
IMI sender til værtsmedlemsstaten som en ansøgning om anerkendelse. Myndighederne i
værtsmedlemsstaten modtager en fuldt oplyst sag fra hjemlandet og skal derfor ikke
bruge administrative ressourcer på at verificere alle de oplysninger, som allerede er
blevet undersøgt af hjemlandet.
Fristerne for udstedelse af EPC i værtslandet er derfor også kortere end efter den sæd-
vanlige procedure. Hvis fristerne for anmodning om anerkendelse ikke overholdes, ind-
træder stiltiende accept, og EPC udstedes automatisk. Personer, der ønsker at levere
tjenesteydelser midlertidigt og lejlighedsvist, har desuden mulighed for at bruge et EPC
til at arbejde i flere EU-lande i 18 måneder. Denne periode er efter den almindelige pro-
cedure begrænset til 12 måneder.
51
Ansøgerne finder EPC under "Dit Europa" på Europa-Kommissionens hjemmeside:
http://europa.eu/youreurope/citizens/work/professional-qualifications/european-professional-card/index_da.htm.
Styrelsen for Forskning og Uddannelse
44
EUU, Alm.del - 2017-18 - Bilag 743: Kopi af orientering om beretning for 2017 om vurdering og anerkendelse af udenlandske uddannelseskvalifikationer m.v., fra uddannelses- og forskningsministeren
1908600_0045.png
Beretning for 2017
Her i landet administreres EPC af de kompetente myndigheder for de berørte lovregule-
rede erhverv. Styrelsen for Forskning og Uddannelse fungerer som kompetent myndig-
hed for erhverv, der ikke er lovregulerede her i landet, (p.t. bjergfører) og som dansk
EPC-koordinator.
Der blev i 2017 udstedt 11 EPC vedrørende erhvervsudøvelse i Danmark, heraf 8 med
henblik på etablering og 3 med henblik på midlertidige tjenesteydelser. Tabel 3.5 neden-
for giver et overblik over EPC-sager med Danmark som værtsland.
Danske erhvervsudøvere indgav i 2017 15 EPC-ansøgninger vedrørende etablering (10
ansøgninger) eller midlertidige tjenesteydelser (5 ansøgninger) i andre EU-lande. 9 per-
soner fik udstedt EPC i årets løb, og en enkelt fik afslag.
Tabel
.5
3
EPC-sager med Danmark som værtsland, antal, 2017
Erhverv
Fysioterapeut
Farmaceut
Sygeplejerske
I alt
Ansøgninger
5
7
11
23
Udstedte EPC
3
4
4
11
Afslag
1
2
0
3
Anm.: Forskellen mellem antal ansøgninger og antal afgørelser skyldes hovedsagelig, at ansøgere i en del
tilfælde starter processen, men ikke uploader de nødvendige dokumenter.
Kilde: Europa-Kommissionen
3.11 Advarselssystemet
EU’s advarselssystem
skal sikre mod, at visse personer, der er frakendt retten til at ud-
øve deres erhverv i én medlemsstat, gør det i en anden medlemsstat.
Hvis en person, som er beskæftiget inden for sundhedsområdet, dyrlægeerhvervet eller
området for uddannelse eller pasning af mindreårige, har fået begrænset retten til at
udøve sit erhverv af en offentlig myndighed eller en domstol, skal den kompetente myn-
dighed i den pågældende medlemsstat via Informationssystemet for det Indre Marked
(IMI) underrette de øvrige medlemsstater om identiteten af den pågældende erhvervs-
udøver.
Hvis en person er dømt for at have anvendt forfalsket dokumentation ved ansøgning
om anerkendelse af erhvervsmæssige kvalifikationer, uanset hvilket lovreguleret er-
hverv der er tale om, skal den kompetente myndighed i den pågældende medlemsstat
underrette de øvrige medlemsstater om identiteten af den dømte. Advarsler behandles i
overensstemmelse med Europa-Kommissionens gennemførelsesforordning om emnet.
Direktivbestemmelserne om advarselssystemet er gennemført i anerkendelsesloven, og
Styrelsen for Forskning og Uddannelse fungerer som advarselskoordinator i IMI-
systemet.
Danske kompetente myndigheder advarer andre medlemsstaters kompetente myndig-
heder om sager, hvor der er tale om permanent eller midlertidig tilbagekaldelse eller
suspension af autorisation, i tilfælde af afgørelser om seksuelle overgreb mod børn un-
Styrelsen for Forskning og Uddannelse
45
EUU, Alm.del - 2017-18 - Bilag 743: Kopi af orientering om beretning for 2017 om vurdering og anerkendelse af udenlandske uddannelseskvalifikationer m.v., fra uddannelses- og forskningsministeren
1908600_0046.png
Beretning for 2017
der 15 år og børnepornografi eller andre former for børnemisbrug, begrænsning i regi-
strering/autorisation, begrænsning i retten til at ordinere medicin, samt når en person
her i landet er dømt for dokumentfalsk, der har betydning for anerkendelse af erhvervs-
mæssige kvalifikationer.
Omfanget af advarsler sendt fra og modtaget af Danmark fremgår af tabel 3.6 neden-
for.
Tabel
.6
3
Ud- og indgående advarsler i EU's advarselssystem efter erhvervsområde m.v., antal, 2017
Erhverv
Læge
Sygeplejerske
Andre sundhedsfaglige erhverv
Dyrlæge
Arbejde med mindreårige
Dokumentfalsk
I alt
Sendt fra Danmark
73
46
76
1
0
0
196
Modtaget fra andre EU-lande
1.867
5.488
3.469
76
301
4
11.205
Kilde: Europa-Kommissionen
Styrelsen for Forskning og Uddannelse
46