Beskæftigelsesudvalget 2017-18
BEU Alm.del Bilag 73
Offentligt
1822714_0001.png
Andersen
et al. Environmental Health
(2017) 16:96
DOI 10.1186/s12940-017-0303-8
RESEARCH
Open Access
Cardiovascular health effects following
exposure of human volunteers during fire
extinction exercises
Maria Helena Guerra Andersen
1,2
, Anne Thoustrup Saber
2
, Peter Bøgh Pedersen
3
, Steffen Loft
1
,
Åse Marie Hansen
2,4
, Ismo Kalevi Koponen
2
, Julie Elbæk Pedersen
5
, Niels Ebbehøj
5
, Eva-Carina Nørskov
3
,
Per Axel Clausen
2
, Anne Helene Garde
2,4
, Ulla Vogel
2,6
and Peter Møller
1*
Abstract
Background:
Firefighters have increased risk of cardiovascular disease and of sudden death from coronary heart
disease on duty while suppressing fires. This study investigated the effect of firefighting activities, using appropriate
personal protective equipment (PPE), on biomarkers of cardiovascular effects in young conscripts training to
become firefighters.
Methods:
Healthy conscripts (n = 43) who participated in a rescue educational course for firefighting were enrolled
in the study. The exposure period consisted of a three-day training course where the conscripts participated in
various firefighting exercises in a constructed firehouse and flashover container. The subjects were instructed to
extinguish fires of either wood or wood with electrical cords and mattresses. The exposure to particulate matter
(PM) was assessed at various locations and personal exposure was assessed by portable PM samplers and urinary
excretion of 1-hydroxypyrene. Cardiovascular measurements included microvascular function and heart rate
variability (HRV).
Results:
The subjects were primarily exposed to PM in bystander positions, whereas self-contained breathing
apparatus effectively abolished pulmonary exposure. Firefighting training was associated with elevated urinary
excretion of 1-hydroxypyrene (105%, 95% CI: 52; 157%), increased body temperature, decreased microvascular
function (−18%, 95% CI: -26;
−9%)
and altered HRV. There was no difference in cardiovascular measurements
for the two types of fires.
Conclusion:
Observations from this fire extinction training show that PM exposure mainly occurs in situations
where firefighters removed the self-contained breathing apparatus. Altered cardiovascular disease endpoints after
the firefighting exercise period were most likely due to complex effects from PM exposure, physical exhaustion and
increased core body temperature.
Keywords:
Cardiovascular disease, Firefighter, Ultrafine particles
* Correspondence:
[email protected]
1
Department of Public Health, Section of Environmental Health, University of
Copenhagen, Øster Farimagsgade 5A, DK-1014 Copenhagen K, Denmark
Full list of author information is available at the end of the article
© The Author(s). 2017
Open Access
This article is distributed under the terms of the Creative Commons Attribution 4.0
International License (http://creativecommons.org/licenses/by/4.0/), which permits unrestricted use, distribution, and
reproduction in any medium, provided you give appropriate credit to the original author(s) and the source, provide a link to
the Creative Commons license, and indicate if changes were made. The Creative Commons Public Domain Dedication waiver
(http://creativecommons.org/publicdomain/zero/1.0/) applies to the data made available in this article, unless otherwise stated.
BEU, Alm.del - 2017-18 - Bilag 73: Invitation til teknisk gennemgang af resultaterne fra forskningsprojekterne om brandmænds udsættelse for partikler den 17. januar 2018, fra beskæftigelsesministeren
1822714_0002.png
Andersen
et al. Environmental Health
(2017) 16:96
Page 2 of 9
Background
Firefighters have high risk of on-duty death due to
cardiovascular diseases, whereas the life time risk is simi-
lar to the general population [1]. It has been shown that
deaths from coronary heart disease were most frequent
among firefighters who were actively engaged in suppress-
ing fires, whereas those with non-emergency duties had
the lowest mortality among on-duty firefighters [2]. The
excess mortality has been attributed to various factors
such as smoke, physical exhaustion, hyperthermia, dehy-
dration and mental stress. Controlled studies of 3 h during
fire extinction showed that firefighters had decreased left
ventricular contractility and stroke volume, tachycardia
and increased microvascular vasodilation within the first
30 min after cessation of the activities [3, 4]. Several stud-
ies have demonstrated that exposure to heat, associated
with increased body temperature, increases the peripheral
arterial compliance, shear stress and blood flow [5, 6].
Exercise also increases the body temperature and evokes a
number of hemodynamic changes, including vasodilation
[7]. Above all, these results demonstrate an immediate
and possibly transient effect of exercise and increased
body temperature on the cardiovascular physiology.
Exposure to particulate matter (PM) from combus-
tion of carbon-based materials such as fossil fuels is as-
sociated with increased risk of morbidity and mortality
of cardiovascular diseases [8]. Firefighters may be ex-
posed to PM when they remove their self-contained
breathing apparatus while not actively engaged in fire
suppression activities. Bystander exposure to smoke can
therefore occur and diesel exhaust from fire trucks or
pumps operated by firefighters may constitute add-
itional sources of PM exposure. A meta-analysis of epi-
demiological studies has shown an inverse relationship
between exposure to particulate air pollution and heart
rate variability (HRV) [9]. Likewise a number of studies
have documented associations between exposure to PM
and cardiovascular disease endpoints such as vaso-
motor dysfunction and progression of atherosclerosis in
animal models and humans [10, 11].
The chemical composition of the smoke varies substan-
tially from one fire to another. Fires in urban settings typ-
ically give rise to very complex mixtures because of the
combustion of household equipment, whereas combus-
tion of wood can be considered as a more
“clean”
type of
smoke. Studies on controlled exposure to wood smoke
have indicated little effect on microvascular vasomotor
function [12, 13], whereas HRV was decreased [14]. To
the best of our knowledge, no studies have assessed
biomarkers for cardiovascular disease after controlled ex-
posure to more complex fuels than wood, such as plastic
or household materials.
The aim of the present study was to assess whether fire-
fighting activities, using appropriate personal protective
equipment (PPE), were associated with cardiovascular
effects in young subjects training to become firefighters.
The subjects participated in smoke diving exercises to
supress wood fires with or without additional items that
occur in
“real”
fires (i.e. electrical cords and mattresses).
Markers of cardiovascular function and risk factors in-
cluded vasomotor function measurements by reactive
hyperemia index (RHI) and cardiac autonomic nervous
system regulation by HRV. Personal exposure to polycyc-
lic aromatic hydrocarbons (PAH) was assessed by urinary
excretion of 1-hydroxypyrene (1-OHP), which is a widely
used biomarker of exposure to combustion products in
environmental and occupational settings [15]. Biomarkers
of cardiovascular risk obtained after the firefighting exer-
cise were compared to control measurements performed
2 weeks before and 2 weeks after the firefighting course,
respectively.
Methods
Subjects
The subjects were healthy conscripts who participated
in a rescue specialist educational course, a nine-month
education under the Danish Emergency Management
Agency in 2015 and 2016. Self-reported pregnancy,
smoking, and drug or alcohol misuse were exclusion
criteria. Fifty-four subjects were enrolled in the study in
four different campaigns. One female subject dropped
out of the education and cardiovascular endpoints were
not measured from additional 10 subjects for logistic
reasons (5 subjects in each of the campaigns 3 and 4).
Consequently, the final study population consisted of
32 males and 11 females. The subjects were recruited
from four consecutive training classes (campaigns):
campaign 1) covered 8 conscripts in the summer; 2)
11 conscripts, autumn; 3) 17 conscripts, winter; and
4) 17 conscripts, spring. Table 1 shows the character-
istics of the subjects. The distribution of female sub-
jects between campaigns varied from 17 to 36%. The
age of the participants varied from 18 to 26 years.
Seventy-two percent of the subjects had a body mass
Table 1
Characteristics of the subjects
Characteristic
Age (years)
Height (cm)
a
Male (n = 32)
21.0 ± 1.3
181.4 ± 6.7
78.3 ± 11.4
23.7 ± 2.6
10
65.8 ± 6.6
Female (n = 11)
21.5 ± 2.1
172.1 ± 3.2
67.6 ± 10.0
22.8 ± 3.0
3
66.9 ± 7.4
Total (n = 43)
21.1 ± 1.6
179.0 ± 7.2
75.6 ± 11.9
23.5 ± 2.7
13
66.0 ± 6.7
Weight (kg)
a
BMI (kg/m
2
)
Subjects with
allergies (n)
a
cBL.HR (bpm)
BMI
body mass index,
cBL.HR
average baseline heart rate from the two control
measurements. Values are number or mean ± SD
a
Self-reported information
BEU, Alm.del - 2017-18 - Bilag 73: Invitation til teknisk gennemgang af resultaterne fra forskningsprojekterne om brandmænds udsættelse for partikler den 17. januar 2018, fra beskæftigelsesministeren
Andersen
et al. Environmental Health
(2017) 16:96
Page 3 of 9
index (BMI) between 18.5 and 24.9 kg/m
2
and 28% of
the subjects had BMIs between 25 and 30 kg/m
2
.
Study protocol
The design was a human exposure study, where the
participants were studied in three exposure scenarios,
serving as their own controls. In each campaign, the blood
sampling and physiological measurements after each ex-
posure scenario were conducted at the same time of the
day, separated by around 14 days with the exception of
campaign 3 where only 7 days separated the second and
third exposure scenario due to the Christmas holiday.
During the first exposure scenario, subjects were in a
classroom receiving theoretical information. During the
second exposure scenario, the subjects participated in a 3-
day smoke diving training program with various types of
activities in a constructed firehouse and in a flashover
container. The exercises increased in complexity as the
participants acquired skills and they were wearing full
PPE, including a self-contained breathing apparatus. In
the third exposure scenario, the subjects were having an-
other module component of their education unrelated to
firefighting. The first and third scenarios were control
measurements, whereas the second period was the expos-
ure situation. We designed two different types of fires.
The subjects supressed fires of standard wooden EUR pal-
lets in absence (campaign 1 and 2) or presence (campaign
3 and 4) of foam mattresses and electrical cords. New ma-
terial (one-third of a mattress and 2 m electrical cord) was
added to the fires as each team of smoke divers entered
the building. In total, during each day of the 3-day smoke-
diving course, 6 mattresses and 20 m of electrical cords
were burned. The foam mattresses were purchased in
IKEA; they consisted of polyurethane (28 kg/m
3
) with a
cover fabric (64% polyester and 36% cotton) and the
weight of each mattress was 6 kg. A recycling station
delivered the electrical cords.
Exposure assessment
smoke. The subjects delivered morning urine samples on
the measurement day for the control measurements and
on the day after the exposure situation. The half-life of 1-
OHP is 6–35 h [16], thus the 1-OHP measurement cap-
tures the exposure period, although exposures closest to
the sampling contributes the most. Reverse-phase HPLC
was used for the quantitative measurement of 1-OHP in
urine using a previously published method [17]. We stan-
dardized for diuresis with the concentration of creatinine
as used in other studies [15].
We assessed the impact of fire-related activities on
the body temperature in an auxiliary experiment con-
ducted during a smoke diving module course in 2016.
The subjects performed smoke-diving exercises or ac-
quired skills in a flashover container. Body temperature
was recorded before, immediately after, and more than
20 min after fire-related activities using an ear therm-
ometer (ThermoScan® 7, Braun GmbH, Kronberg,
Germany). Two different activities were monitored:
fire-suppression in the firehouse (7 to 10 min inside the
firehouse with suppression or rescuing tasks to per-
form) and flashover container (30 min sitting inside a
container with fire). It was not possible to organize a
stringent exposure scenario due to logistic implications
of the exercise, as some participants had to do fire ex-
tinction exercises several times or they hurried on to
other exercises.
Cardiovascular measurements
The smoke exposure was assessed with various stationary
and person-borne equipment for PM measurements that
measured either the particle number or mass concentra-
tions. The supplement contains further description of the
exposure setting, including type and location of PM moni-
tors. Personal exposure to PM was assessed immediately
before, during and immediately after the fire extinction
exercise for 3 subjects in the first campaign. It was not
possible to obtain personal PM exposure for all subjects
due to a limited number of personal monitors. We there-
fore focussed on determining whether PM exposure oc-
curred when the subjects were wearing PPE, including
self-contained breathing apparatus. We used the urinary
excretion of 1-OHP as a biomarker of PAH exposure,
whereas PAH is used as an exposure marker of PM and
RHI and HRV measurements were primary outcomes,
which were measured non-invasively using the portable
EndoPAT2000 (Itamar Medical Ltd., Israel) as previously
described [18]. Briefly, finger-mountable pneumatic sen-
sors were placed on the index fingers measuring pulse
volume changes through three test stages: a baseline
recording (6–7 min), a brachial arterial occlusion of one
of the arms, induced by inflation of a blood pressure
cuff to a supra-systolic pressure (5 min), and a post-
occlusion recording of the induced reactive hyperemia
response (5 min). Blood pressure measurements were
done with a single measurement using one aneroid
sphygmomanometer, before the peripheral arterial to-
nometry (PAT) measurement. From the baseline re-
cording, the EndoPAT device determines the HRV
based on measurement over 5 min. The HRV results
include time domain measures (SDNN, pNN50 and
RMSSD), high (HF) and low frequency (LF) compo-
nents as well as the LF/HF ratio. Additionally the de-
vice determines the baseline heart rate (BL.HR) and the
augmentation index (AI). All the measures were done
in a quiet room with the subjects resting in a seated
position. The measurements in the second exposure
scenario were carried out between 20 min to 3 h after
cessation of the fire extinction exercise.
BEU, Alm.del - 2017-18 - Bilag 73: Invitation til teknisk gennemgang af resultaterne fra forskningsprojekterne om brandmænds udsættelse for partikler den 17. januar 2018, fra beskæftigelsesministeren
1822714_0004.png
Andersen
et al. Environmental Health
(2017) 16:96
Page 4 of 9
Statistical analysis
We used R statistical language and the package
lme4
[19]
to perform a linear mixed effects analysis of the relation-
ship between the cardiovascular endpoints and exposure.
As fixed effects, we used factorial variables of exposure
(before/exposure/after) and sex (male/female) and con-
tinuous variable of BMI (without interaction terms) into
the model. The exposure term in the statistical analysis
was either exposure period (i.e. one exposure and two
non-exposure periods within each campaign) or type of
fire (i.e. wood or wood with mattresses and electrical
cords). Inclusion of campaign or the type of fire in the
statistical analysis using the exposure period as predictor
did not alter the size of the exposure-outcome relation-
ship; thus we have reported results that have not been ad-
justed for effects related to campaigns. As random effects,
we used by-subject intercepts.
P-values
were obtained
with the function
glht
from
multcomp
[20]. The percent
changes were obtained by dividing the estimate change
with the intercept value from the mixed model graph
line and multiplying with 100. As the RHI was
expressed on a logarithmic scale, the percent change
was obtained directly from the effect estimate using the
expression: (exp
estimate
1)*100. The biomarker of ex-
posure was also analysed with the same mixed model
function, using the creatinine-adjusted urinary 1-OHP
concentration, sex and BMI as fixed effects. The analysis
of the association between the fire extinction exercise and
urinary excretion of 1-OHP demonstrated a skewed distri-
bution of residuals. A cubic root transformation of the
data and removal of one outlier did not change the statis-
tical significance of the association; thus, we have reported
the statistics of the non-transformed data. Welch t-test
was used to compare the difference in means of effect
change between exposed and unexposed scenarios be-
tween the different types of fire. Paired t-test was used to
compare the mean body temperature difference between
different exposure conditions.
P-values
<0.05 were consid-
ered statistically significant. Since many of the assessed
biomarkers are inter-dependent, correction for multiple
testing was not performed.
The subjects were exposed to higher particle number
concentrations in situations when they were not wear-
ing the self-contained breathing apparatus. This oc-
curred when they received instructions or feedback at
locations that were considered as
“safe
zones”. The
mean aerosol particle number concentrations in the in-
halation zone varied substantially among the subjects
when they were not wearing the self-contained breath-
ing apparatus (50,000–250,000 particles/cm
3
). Further
information on the exposure assessment is available in
the supplemental material.
Urinary excretion of 1-hydroxypyrene
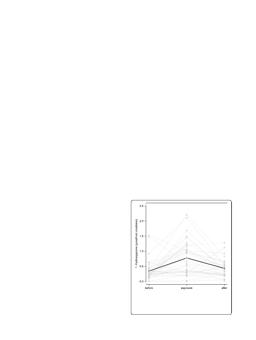
Figure 1 shows the creatinine-adjusted urinary 1-OHP
concentrations in the three exposure scenarios (control
measurement before, exposure and control measurement
after). Results from 6 males were excluded due to missing
data for the exposure measurement (n = 5) or for both
control measurements (n = 1). The exposure during the
fire extinction exercise increased the urinary excretion of
1-OHP by 105% (95% CI: 52,157%) based on the mixed ef-
fects model. The association was especially driven by cam-
paign 2 (Additional file 1, Figure S10).
Effect of fire-suppression activity on the body
temperature
The fire extinction exercise in the firehouse increased
the body temperature (average increase = 1.1°C, 95% CI:
0.7, 1.4,
n
= 16,
p
< 0.001, paired t-test) immediately
after the exercise. This was followed by an average
Results
Exposure to particulate matter
The PM exposure assessment showed that the PPE with
the self-contained breathing apparatus very efficiently pro-
tected the conscripts from PM exposure by inhalation
during fire-suppression activities. The mean particle num-
ber concentrations in the inhalation zone inside the self-
contained breathing apparatus during fire suppression ac-
tivities were less than 1000 particles/cm
3
(Additional file
1: Table S2). We were unable to assess PM levels in the
fire room, but at the floor landing above the fire extinction
exercises, the total PM mass concentration was 32 mg/m
3
.
Fig. 1
Creatinine-adjusted urinary concentration of 1-hydroxypyrene
in three exposure scenarios (before and after as control measurements,
and exposure measurement). Grey symbols and dashed lines are
individual results in each subject. Black line is a graphical output of the
mixed effect model
BEU, Alm.del - 2017-18 - Bilag 73: Invitation til teknisk gennemgang af resultaterne fra forskningsprojekterne om brandmænds udsættelse for partikler den 17. januar 2018, fra beskæftigelsesministeren
1822714_0005.png
Andersen
et al. Environmental Health
(2017) 16:96
Page 5 of 9
decrease of 1.6°C (95% CI: -2.0,
−1.1,
n
= 13,
p
< 0.001,
paired t-test), compared to the temperature immediately
after the exercise, measured at 60 min or more after the
exercise. Following the flashover container exercise, we
observed an average increase of 0.8
°C
(95% CI: 0.6, 1.0,
n
= 8,
p
< 0.001, paired t-test) followed by an average de-
crease of 1.3
°C
(95% CI: -1.8,
−0.8,
n
= 7,
p
< 0.001,
paired t-test), measured after 20 min and compared to
the temperature immediately after the exercise. It should
be noted that carryover effects cannot be ruled out as
the subjects did both exercises on the same day in rela-
tively close succession.
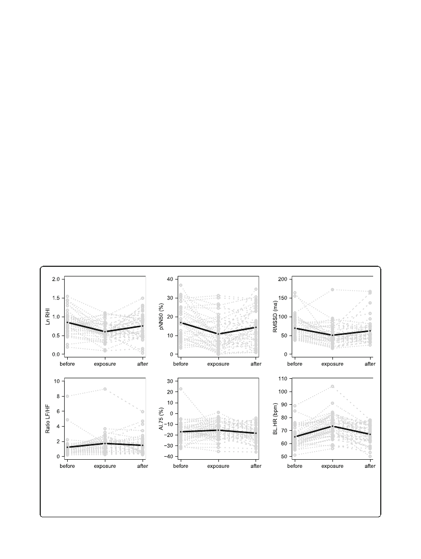
Cardiovascular measurements
Figure 2 presents the effect of exposure to firefighting on
the cardiovascular endpoints. One female subject was
eliminated from RHI analysis and one male subject was
eliminated from HRV analysis, due to missing data for
both control measurements. Exposure to firefighting was
associated with decreased levels of RHI and time domain
HRV. Table 2 presents the estimated changes for each of
the cardiovascular measurements between different ex-
posure scenarios showing a significant effect of exposure
to firefighting as categorical variable on RHI, HRV both in
time and frequency domains and in baseline heart rate.
The mean baseline PAT signal amplitude was only mod-
estly altered after the fire extinction exercise (change of
−0.03%,
p
< 0.001). However adjustment for the baseline
PAT signal in the statistical model did not substantially
change the exposure-effect relationship of cardiovascular
measurements (e.g. the percent change in RHI was de-
creased from
−21.9%
(95% CI: -32.0,-10.3) to
−16.5%
(95%
CI: -26.1,
−5.6).
There was no significant difference be-
tween campaigns in the exposure-effect relationship for
any of the cardiovascular measurements. There were no
statistically significant relationship between LnRHI and
HRV measurements and urinary 1-OHP excretion (Add-
itional file 1: Table S6). Addition of information on self-
reported allergies in the statistical model did not affect the
exposure-effect relationship. Outcome average results for
each exposure scenario are presented in Additional file 1:
Table S5.
Table 3 presents the average effect change for each of
the cardiovascular endpoints between exposure and unex-
posed situations for the two different types of fire: wood
and wood with mattresses and electrical cords. The results
a
b
c
d
e
f
Fig. 2
Cardiovascular endpoints in the three exposure scenarios (before and after as control measurements, and exposure measurement). Natural
base log of reactive hyperemia index (one subject was eliminated due to missing data in both control measurements) (a), time domain heart rate
variability in pNN50 (b) and RMSSD (c), frequency domain heart rate variability (d), augmentation index corrected for 75 bpm (e) and baseline
heart rate (f). Grey symbols and dashed lines are individual results in each subject. Black line is a graphical output of the mixed effect model.
pNN50, proportion of successive NN intervals differing by more than 50 milliseconds divided by total number of NN intervals; RMSSD, square
root of the mean squared differences of successive NN intervals; bpm, beat per minute; ms, millisecond
BEU, Alm.del - 2017-18 - Bilag 73: Invitation til teknisk gennemgang af resultaterne fra forskningsprojekterne om brandmænds udsættelse for partikler den 17. januar 2018, fra beskæftigelsesministeren
1822714_0006.png
Andersen
et al. Environmental Health
(2017) 16:96
Page 6 of 9
Table 2
Percent change (95% confidence interval) in outcome levels estimated by mixed effects model adjusted for sex and body
mass index
Outcome
RHI
b
SDNN
b
pNN50
b
RMSSD
b
LF
b
HF
b
LF/HF
SP
DP
AI.75
BL.HR
b
Exposure vs Before
−21.9
(−32.0,-10.3)***
−17.3
(−28.3,
−6.4)**
−36.1
(−52.3,
−19.9)***
−26.9
(−41.0,
−12.7)***
27.0 (11.3, 42.8)***
−15.4
(−26.2,
−4.7)**
41.4 (15.0, 67.9)**
−4.4
(−8.0,
−0.7)*
−3.2
(−8.6, 2.3)
−8.8
(−24.8, 7.3)
12.7 (9.0, 16.3)***
Exposure vs After
−14.3
(−25.3,
−1.6)**
−10.3
(−21.7, 1.2)
−25.1
(−43.4,
−6.8)**
−18.6
(−33.9,
−3.4)*
17.8 (3.7, 31.9)*
−4.4
(−16.1, 7.4)
17.1 (−3.9, 38.2)
−0.3
(−4.2, 3.5)
5.8 (−0.2, 11.8)
−15.3
(−30.2,
−0.4)*
9.4 (5.8, 12.9)***
After vs Before
−8.9
(−20.7, 4.6)
−7.9
(−18.9, 3.1)
−14.7
(−31.0, 1.6)
−10.2
(−24.4, 4.1)
7.8 (−8.1, 23.7)
−11.6
(−22.4,
−0.7)*
20.7 (−6.0, 47.4)
−4.0
(−7.7,
−0.3)*
−8.5
(−14.0,
−3.0)**
7.7 (−8.3, 23.8)
3.0 (−0.7, 6.7)
Exposure vs Unexposed
a
−18.0
(−26.0,
−9.2)***
−13.2
(−22.9,
−3.6)**
−28.6
(−45.3,
−11.8)***
−21.5
(−33.4,
−9.7)***
21.1 (7.9, 34.2)**
−9.1
(−19.2, 1.0)
26.4 (6.7, 46.2)**
−2.4
(−5.7, 1.0)
1.1 (−3.5, 5.7)
−12.2
(−26.4, 2.1)
11.0 (7.7, 14.3)***
RHI
reactive hyperemia index,
SDNN
standard deviation of all NN intervals,
pNN50
proportion of successive NN intervals differing by more than 50 milliseconds
divided by total number of NN intervals,
RMSSD
square root of the mean squared differences of successive NN intervals,
LF
power in low frequency range (0.04–
0.15 Hz) in ms
2
,
HF
power in high frequency range (0.15–0.4 Hz) in ms
2
,
LF/HF
ratio LF(ms
2
)/HF(ms
2
),
SP
systolic blood pressure (mmHg),
DP
diastolic blood
pressure (mmHg),
AI.75
augmentation index corrected for 75 bpm,
BL.HR
baseline heart rate (bpm)
Results are percent change from the mixed effect model in Fig.
1
except for RHI where percent change was obtained directly from the effect estimate due to the
logarithmic transformation. The data are based on 43 individuals with measurements in both fire extinction exercise and control exposure condition
(measurements of control exposure condition were missing for one subject in RHI and heart rate variability outcomes)
*,**,*** Significantly different (p < 0.05,
p
< 0.01 and
p
< 0.001 respectively)
a
Unexposed corresponds to the mean between
“Before”
and
“After”
for each subject
b
One subject was eliminated due to missing data in both control measurements
show no difference between the two different types of fire
for our primary outcomes, except for blood pressure,
where a statistically significant difference was observed.
Table 3
Within-subject effect change between exposure and
unexposed situations for two different types of fires: wood
pallets and wood pallets with mattresses and electrical cords
Outcome
LnRHI
SDNN
pNN50
RMSSD
LF
HF
LF/HF
SP
DP
AI.75
BL.HR
Difference
a
with pallet fuel
−0.1
± 0.3
−9.3
± 24.9
−0.05
± 0.1
−14.2
± 29.8
12.8 ± 71.0
−18.7
± 71.0
0.2 ± 0.7
−8.2
± 12.4
−3.3
± 7.2
2.9 ± 7.8
6.2 ± 6.7
Difference
a
with mixed fuel
−0.3
± 0.3
−9.8
± 22.2
−0.04
± 0.1
−14.1
± 22.9
56.6 ± 74.2
−15.1
± 54.7
0.5 ± 1.0
1.6 ± 11.8
3.9 ± 10.5
1.6 ± 9,1
8.1 ± 7.8
Welch t-test
p-value
0.166
0.942
0.879
0.991
0.075
0.857
0.174
0.013
0.012
0.614
0.400
LnRHI
natural logarithm of the reactive hyperemia index,
SDNN
standard
deviation of all NN intervals,
pNN50
proportion of successive NN intervals
differing by more than 50 milliseconds divided by total number of NN
intervals,
RMSSD
square root of the mean squared differences of successive
NN intervals,
LF
power in low frequency range (0.04–0.15 Hz) in ms
2
,
HF
power
in high frequency range (0.15–0.4 Hz) in ms
2
,
LF/HF
ratio LF(ms
2
)/HF(ms
2
),
SP
systolic blood pressure (mmHg),
DP
diastolic blood pressure (mmHg),
AI.75
augmentation index corrected for 75 bpm,
HR
baseline heart rate (bpm).
Values are mean ± SD
a
Average difference between the exposed and unexposed situations within
each subject
Discussion
The present study showed that participation in fire ex-
tinction exercise did not cause PM exposure during fire-
fighting using the PPE with self-contained breathing
apparatus, whereas PM exposure occurred when the
self-contained breathing apparatus was taken off in areas
considered safe. Participation in firefight training re-
sulted in exposure to PAHs in terms of increased urinary
excretion of 1-OHP, increased body temperature and
with cardiovascular risk markers in terms of both
decreased microvascular function and changed HRV.
In the present study, there was no association between
urinary excretion of 1-OHP and cardiovascular risk
markers. Urinary excretion of 1-OHP has been established
as a reliable biomarker of internal dose of PAHs in popu-
lations exposed to urban air pollution [21]. Our results
demonstrate that the subjects were exposed to PAHs, al-
though we did not appoint sources of PAHs in the present
study. PAH exposure occurs both by inhalation of PM and
by dermal exposure to soot [22]. Our results indicate that
the exposure to PAH is a weak predictor of cardiovascular
risk markers as compared to other risk factors such as
physical exhaustion and heat. Both of these alter blood
flow. Nevertheless, it should be noted that the firefighting
exercises encompassed simultaneous exposure to smoke,
heat and physical activity. It is not possible to separate the
BEU, Alm.del - 2017-18 - Bilag 73: Invitation til teknisk gennemgang af resultaterne fra forskningsprojekterne om brandmænds udsættelse for partikler den 17. januar 2018, fra beskæftigelsesministeren
Andersen
et al. Environmental Health
(2017) 16:96
Page 7 of 9
effect of smoke exposure on cardiovascular endpoints
from that of heat and physical activity in the present
study. It is possible that the observed short-term vascular
effects predominantly reflects effects related to increased
blood flow in order to ameliorate peripheral built-up of
waste products from the physical exercise and reduce the
core body temperature related to the last of the smoke
diving exercises in the 3-day course. We did not observe
any difference in the microvascular function and HRV be-
tween fires with or without mattresses and electrical
cords. In parallel to the biomarkers of cardiovascular risk
described in the present study, PAH exposure on skin and
biomarkers of inflammation and genotoxicity in blood
were assessed for the 53 study subjects [23]. Firefighting
did not affect blood levels of C-reactive protein, serum
amyloid A, IL6 and IL8 concentrations, whereas there was
increased level of oxidatively damaged DNA (i.e. formami-
dopyrimidine DNA glycosylase sensitive sites measured by
the comet assay) in peripheral blood mononuclear cells
compared to the mean of two control measurements per-
formed 2 weeks before and 2 weeks after the fire fighting
course [23]. The results suggest systemic oxidative stress,
which is linked to cardiovascular disease.
The assessment of ambient air levels of PM indicated
high concentrations inside and outside the firehouse. PM
inside the firehouse came from the fire, whereas outdoor
exposure represents dispersion of smoke from the fire-
house and exhaust from a diesel-driven fire truck near the
entrance of the firehouse. Other studies have demon-
strated elevated levels of 1-OHP in subjects participating
in firefighting exercises using diesel as fuel [24] and real-
life fires [25]. Firefighting activities on wood fire have
yielded rather low urinary levels of 1-OHP, whereas other
types of urinary hydroxylated PAHs have been elevated
post-exposure [26–28]. We did not obtain information on
the total personal exposure to PM because of limited
number of samplers and because we chose to assess PM
exposure during firefighting while wearing PPE for more
subjects instead of assessing whole day exposure for one
or two subjects. During firefighting there was little PM
inhalation exposure because the self-contained breath-
ing apparatus was a highly efficient barrier toward par-
ticles. Pulmonary exposure was only observed when the
subjects were not wearing the full PPE. The exposure
assessment indicated substantial PM exposure in the
areas considered safe.
We found a decreased microvascular function, mea-
sured by RHI, after the fire extinction exercise compared
to the no-exposure scenario. A decreased microvascular
function, using EndoPAT, has previously been described
in exposure studies on air pollution particles in susceptible
groups such as elderly [18, 29], whereas mixed results
were reported for young and healthy subjects [30, 31].
Likewise, short-term controlled exposure studies on diesel
exhaust have shown associations with reduced vasodila-
tory response [32]. However, short-term controlled expos-
ure to high concentrations of wood smoke, i.e. several
hundred micrograms per cubic meter, have demonstrated
unaltered or even increased vasodilation response [12, 13].
Low level of flow-mediated vasodilation corrected for
shear stress is a risk factor to cardiovascular disease in
firefighters; other additive risk factors are Framingham
risk score and carotid intima-media thickness [33].
Altered HRV was manifested in both time and fre-
quency domains. The fire extinction exercise was associ-
ated with decreased time domain HRV measures (SDNN,
pNN50 and RMSSD), reduced high frequency compo-
nents (HF), increased low frequency components (LF) and
increased LF/HF ratio. Overall, it indicates an imbalance
in the autonomic activation of the heart with reduced
vagal activity and increased sympathetic activity. A meta-
analysis has recently shown reduced measures of HRV in
humans after exposure to particulate air pollution [9],
whereas a review of panel studies concluded that the stud-
ies did not convincingly show inverse associations be-
tween ambient air PM
2.5
concentrations and HRV [34].
Two controlled studies reported no association between
short-term diesel exhaust (100–300
μg/m
3
for 2 h) and
HRV [35, 36]. However, a short-term controlled exposure
to wood smoke study (314
μg/m
3
for 3 h) showed reduced
HRV and increased heart rate during a 1-h post-exposure
period [14]. Reduced HRV has been shown to be associ-
ated with increased risk of a first cardiovascular event in
people without cardiovascular diseases [37].
Despite the demand for physical fitness, firefighters as a
group seem to harbour several risk factors for cardiovas-
cular diseases. In a recent study on young career fire-
fighters (<45 years), increased risk of sudden cardiac death
was found to be largely attributed to obesity, hypertension
and smoking [38]. Therefore, to avoid effect modification
due to lifestyle factors, we used young and non-smoking
conscripts who were generally healthy in our study. It is
generally acknowledged that exposure to air pollution has
an immediate effect, e.g. precipitation of myocardial
infarction, and a chronic effect related to progression of
atherosclerosis. Consequences of this difference in effect
are apparent in the risk estimates from short-term and
long-term exposure in epidemiological studies, whereas a
time-integrated exposure metric suggests a monotonic
exposure-effect relationship [39]. Our study is by design
revealing short-term effects on both the vasculature and
myocardium. The observation suggests that a reduced
microvascular vasodilation response would be associated
with increased peripheral resistance and progression to-
ward hypertension and left ventricular cardiac overload
due to backward failure. Indeed, HRV is reduced in pa-
tients with hypertension [40]. Increased physical workload,
heat and dehydration also can be independent risk factors
BEU, Alm.del - 2017-18 - Bilag 73: Invitation til teknisk gennemgang af resultaterne fra forskningsprojekterne om brandmænds udsættelse for partikler den 17. januar 2018, fra beskæftigelsesministeren
1822714_0008.png
Andersen
et al. Environmental Health
(2017) 16:96
Page 8 of 9
for increased risk of mortality from coronary heart disease
among on-duty firefighters, whereas conditional risk fac-
tors for cardiovascular disease such as obesity, dyslipid-
emia, hypertension and diabetes may put certain subjects
in high-risk category for sudden cardiac death.
Availability of data and materials
The datasets analysed during the current study are available from the
corresponding author on reasonable request.
Authors’ contributions
MHGA collected the data on vasculature effects and body temperature, assisted
in the exposure measurements, analysed the results, and wrote the first draft of
the manuscript. ATS designed and coordinated the study, supervised the data
analysis and the writing of the manuscript. PBP measured and reported the
exposure. SL designed the study and was a major contributor in the analysis
and interpretation of results. AMH supervised the analysis and report of 1-OHP
and was a contributor in writing the manuscript. IKK assisted in the exposure
assessment. JEP collected and reported the data from the questionnaires. NE
designed the study and contributed to the analysis and interpretation of results.
ECN assisted in the collection of data of body temperature. PAC assisted in
the exposure assessment and contributed to the writing manuscript. AHG
contributed to the analysis of 1-OHP and the writing the manuscript. UV
designed and supervised the study and was a major contributor in writing
the manuscript. PM designed and supervised the study and was a major
contributor to the analysis, interpretation and writing of the manuscript. All
authors read and approved the final manuscript.
Authors’ information
Correspondence regarding this study should be addressed to UV ([email protected])
or PM ([email protected]).
Ethics approval and consent to participate
The Danish Committee on Health Research Ethics of the Capital Region
(H-15003862) approved the study and study subjects participated in
information meeting and provided written informed consent.
Consent for publication
Not applicable.
Competing interests
The authors declare that they have no competing interests.
Conclusions
In the present study, exposure of human volunteers fol-
lowing a 3-day firefighting training program with various
types of exercises in a firehouse was associated with al-
tered cardiovascular effects in terms of decreased micro-
vascular function and altered HRV. The subjects were
very efficiently protected against pulmonary PM expos-
ure when using the full personal protective equipment
including the self-contained breathing apparatus. Signifi-
cant PM exposure was observed when the subjects took
off their self-contained breathing apparatus in areas con-
sidered safe. Fire extinction exercises were associated
with increased urinary 1-OHP levels indicating exposure
to PAH. However, the association between urinary excre-
tion of 1-OHP and cardiovascular effects was not statisti-
cally significant in models that included smoke exposure
as categorical variable. Physical activity and heat are also
conditions that occur during the fire extinction exercise,
which alter blood flow. Thus, the altered cardiovascular
responses after fire extinction exercises are most likely
due to complex effects from PM exposure, physical ex-
haustion and increased core body temperature.
Additional file
Additional file 1:
Supplementary material. (DOC 4338 kb)
Abbreviations
1-OHP:
1-hydroxypyrene; AI: Augmentation index; BL.HR: Base line heart rate;
BMI: Body mass index; CI: Confidence interval; DP: Diastolic blood pressure;
HF: High frequency; HPLC: High performance liquid chromatography;
HRV: Heart rate variability; LF: Low frequency; PAH: Polycyclic aromatic
hydrocarbons; PAT: Peripheral arterial tonometry; PM: Particulate matter;
pNN50: proportion of normal-to-normal intervals differing by more than 50
miliseconds; PPE: Personal protective equipment; RHI: Reactive hyperemia
index; RMSSD: Root mean square of the successive differences;
SDNN: Standard deviation of normal-to-normal intervals; SP: Systolic blood
pressure
Acknowledgments
The technical assistance from Anne Abildtrup, Ulla Tegner and Inge
Christiansen is gratefully acknowledged. A special thanks goes to the
Danish Emergency Management Agency where the measurements took
place. We are also grateful to the study participants for the considerable
time and willingness put into this study. We established a reference
group which includes stakeholders from e.g. fire brigades, trade unions
and The Danish Emergency Management Agency. We thank the
reference group for involvement in the overall study design.
Funding
The research leading to these results has received funding from The Danish
Working Environment Research Fund (BIOBRAND, grant 34–2014-09 /
20,140,072,567), Danish Centre for Nanosafety, grant 20,110,092,173/3 and
Danish Centre for Nanosafety II).
Publisher’s Note
Springer Nature remains neutral with regard to jurisdictional claims in
published maps and institutional affiliations.
Author details
1
Department of Public Health, Section of Environmental Health, University of
Copenhagen, Øster Farimagsgade 5A, DK-1014 Copenhagen K, Denmark.
2
The National Research Centre for the Working Environment, Lersø Parkalle
105, DK-2100 Copenhagen Ø, Denmark.
3
Danish Technological Institute,
Teknologiparken, Kongsvang Allé 29, DK-8000 Aarhus C, Denmark.
4
Department of Public Health, Section of Social Medicine, University of
Copenhagen, Øster Farimagsgade 5A, DK-1014 Copenhagen K, Denmark.
5
Department of Occupational and Environmental Medicine, Bispebjerg
Hospital, Bispebjerg Bakke 23, DK-2400 Copenhagen, NV, Denmark.
6
Department of Micro- and Nanotechnology, Technical University of
Denmark, DK-2800 Kgs. Lyngby, Denmark.
Received: 29 March 2017 Accepted: 25 August 2017
References
1. Soteriades ES, Smith DL, Tsismenakis AJ, Baur DM, Kales SN. Cardiovascular
disease in US firefighters: a systematic review. Cardiol Rev. 2011;19(4):202–15.
2. Kales SN, Soteriades ES, Christophi CA, Christiani DC. Emergency duties and
deaths from heart disease among firefighters in the United States. N Engl J
Med. 2007;356(12):1207–15.
3. Fahs CA, Yan H, Ranadive S, Rossow LM, Agiovlasitis S, Echols G, Smith D,
Horn GP, Rowland T, Lane A, et al. Acute effects of firefighting on arterial
stiffness and blood flow. Vasc Med. 2011;16(2):113–8.
4. Fernhall B, Fahs CA, Horn G, Rowland T, Smith D. Acute effects of
firefighting on cardiac performance. Eur J Appl Physiol. 2012;112(2):735–41.
5. Carter HH, Spence AL, Atkinson CL, Pugh CJ, Naylor LH, Green DJ. Repeated
core temperature elevation induces conduit artery adaptation in humans.
Eur J Appl Physiol. 2014;114(4):859–65.
BEU, Alm.del - 2017-18 - Bilag 73: Invitation til teknisk gennemgang af resultaterne fra forskningsprojekterne om brandmænds udsættelse for partikler den 17. januar 2018, fra beskæftigelsesministeren
1822714_0009.png
Andersen
et al. Environmental Health
(2017) 16:96
Page 9 of 9
6.
7.
8.
9.
10.
11.
12.
13.
14.
15.
16.
17.
18.
19.
20.
21.
22.
23.
24.
25.
26.
Ganio MS, Brothers RM, Shibata S, Hastings JL, Crandall CG. Effect of passive
heat stress on arterial stiffness. Exp Physiol. 2011;96(9):919–26.
Lefferts WK, Heffernan KS, Hultquist EM, Fehling PC, Smith DL. Vascular and
central hemodynamic changes following exercise-induced heat stress. Vasc
Med. 2015;20(3):222–9.
Brook RD, Rajagopalan S, Pope CA 3rd, Brook JR, Bhatnagar A, Diez-Roux AV,
Holguin F, Hong Y, Luepker RV, Mittleman MA, et al. Particulate matter air
pollution and cardiovascular disease: An update to the scientific statement
from the American Heart Association. Circulation. 2010;121(21):2331–78.
Pieters N, Plusquin M, Cox B, Kicinski M, Vangronsveld J, Nawrot TS. An
epidemiological appraisal of the association between heart rate variability
and particulate air pollution: a meta-analysis. Heart. 2012;98(15):1127–35.
Moller P, Mikkelsen L, Vesterdal LK, Folkmann JK, Forchhammer L,
Roursgaard M, Danielsen PH, Loft S. Hazard identification of particulate
matter on vasomotor dysfunction and progression of atherosclerosis. Crit
Rev Toxicol. 2011;41(4):339–68.
Moller P, Christophersen DV, Jacobsen NR, Skovmand A, Gouveia AC,
Andersen MH, Kermanizadeh A, Jensen DM, Danielsen PH, Roursgaard M, et
al. Atherosclerosis and vasomotor dysfunction in arteries of animals after
exposure to combustion-derived particulate matter or nanomaterials. Crit
Rev Toxicol. 2016;46(5):437–76.
Forchhammer L, Moller P, Riddervold IS, Bonlokke J, Massling A, Sigsgaard T,
Loft S. Controlled human wood smoke exposure: oxidative stress,
inflammation and microvascular function. Part Fibre Toxicol. 2012;9:7.
Hunter AL, Unosson J, Bosson JA, Langrish JP, Pourazar J, Raftis JB, Miller
MR, Lucking AJ, Boman C, Nystrom R, et al. Effect of wood smoke exposure
on vascular function and thrombus formation in healthy fire fighters. Part
Fibre Toxicol. 2014;11:62.
Unosson J, Blomberg A, Sandstrom T, Muala A, Boman C, Nystrom R,
Westerholm R, Mills NL, Newby DE, Langrish JP, et al. Exposure to wood
smoke increases arterial stiffness and decreases heart rate variability in
humans. Part Fibre Toxicol. 2013;10:20.
Hansen AM, Mathiesen L, Pedersen M, Knudsen LE. Urinary 1-hydroxypyrene
(1-HP) in environmental and occupational studies–a review. Int J Hyg
Environ Health. 2008;211(5–6):471–503.
Jongeneelen FJ, van Leeuwen FE, Oosterink S, Anzion RB, van der Loop F,
Bos RP, van Veen HG. Ambient and biological monitoring of cokeoven
workers: determinants of the internal dose of polycyclic aromatic
hydrocarbons. Br J Ind Med. 1990;47(7):454–61.
Hansen AM, Poulsen OM, Christensen JM, Hansen SH. Determination of 1-
hydroxypyrene in human urine by high-performance liquid
chromatography. J Anal Toxicol. 1993;17(1):38–41.
Brauner EV, Forchhammer L, Moller P, Barregard L, Gunnarsen L, Afshari A,
Wahlin P, Glasius M, Dragsted LO, Basu S, et al. Indoor particles affect
vascular function in the aged: an air filtration-based intervention study. Am
J Respir Crit Care Med. 2008;177(4):419–25.
Bates D, Machler M, Bolker BM, Walker SC. Fitting Linear Mixed-Effects
Models Using lme4. J Stat Softw. 2015;67(1):1–48.
Hothorn T, Bretz F, Westfall P. Simultaneous inference in general parametric
models. Biom J. 2008;50(3):346–63.
Demetriou CA, Raaschou-Nielsen O, Loft S, Moller P, Vermeulen R, Palli
D, Chadeau-Hyam M, Xun WW, Vineis P. Biomarkers of ambient air
pollution and lung cancer: a systematic review. Occup Environ Med.
2012;69(9):619–27.
IARC. Painting, firefighting, and shiftwork. In: Monographs on the Evaluation
of the Carcinogenic Risks to Humans vol 98. Edited by International Agency
for Research on Cancer, vol. 98; 2010: 9–764.
Andersen MH, Saber AT, Clausen PA, Pedersen JE, Lohr M, Kermanizadeh A,
Loft S, Ebbehoj N, Hansen AM, Pedersen PB, et al. Association between
polycyclic aromatic hydrocarbons exposure and peripheral blood
mononuclear cell DNA damage in human volunteers during fire extinction
exercises. Mutagenesis. 2017; in press
Moen BE, Ovrebo S. Assessment of exposure to polycyclic aromatic
hydrocarbons during firefighting by measurement of urinary 1-
hydroxypyrene. J Occup Environ Med. 1997;39(6):515–9.
Caux C, O'Brien C, Viau C. Determination of firefighter exposure to
polycyclic aromatic hydrocarbons and benzene during fire fighting
using measurement of biological indicators. Appl Occup Environ Hyg.
2002;17(5):379–86.
Fernando S, Shaw L, Shaw D, Gallea M, VandenEnden L, House R, Verma DK,
Britz-McKibbin P, McCarry BE. Evaluation of Firefighter Exposure to Wood
27.
28.
29.
30.
31.
32.
33.
34.
35.
36.
37.
38.
39.
40.
Smoke during Training Exercises at Burn Houses. Environ Sci Technol.
2016;50(3):1536–43.
Oliveira M, Slezakova K, Alves MJ, Fernandes A, Teixeira JP, Delerue-Matos C,
Pereira MD, Morais S. Firefighters' exposure biomonitoring: Impact of
firefighting activities on levels of urinary monohydroxyl metabolites.
Int J Hyg Environ Health. 2016;219(8):857–66.
Robinson MS, Anthony TR, Littau SR, Herckes P, Nelson X, Poplin GS, Burgess
JL. Occupational PAH exposures during prescribed pile burns. Ann Occup
Hyg. 2008;52(6):497–508.
Hemmingsen JG, Rissler J, Lykkesfeldt J, Sallsten G, Kristiansen J, Moller PP,
Loft S. Controlled exposure to particulate matter from urban street air is
associated with decreased vasodilation and heart rate variability in
overweight and older adults. Part Fibre Toxicol. 2015;12:6.
Brauner EV, Moller P, Barregard L, Dragsted LO, Glasius M, Wahlin P, Vinzents P,
Raaschou-Nielsen O, Loft S. Exposure to ambient concentrations of particulate
air pollution does not influence vascular function or inflammatory pathways in
young healthy individuals. Part Fibre Toxicol. 2008;5:13.
Weichenthal S, Hatzopoulou M, Goldberg MS. Exposure to traffic-related air
pollution during physical activity and acute changes in blood pressure,
autonomic and micro-vascular function in women: a cross-over study. Part
Fibre Toxicol. 2014;11:70.
Barath S, Mills NL, Lundback M, Tornqvist H, Lucking AJ, Langrish JP,
Soderberg S, Boman C, Westerholm R, Londahl J, et al. Impaired vascular
function after exposure to diesel exhaust generated at urban transient
running conditions. Part Fibre Toxicol. 2010;7:19.
Anderson TJ, Charbonneau F, Title LM, Buithieu J, Rose MS, Conradson H,
Hildebrand K, Fung M, Verma S, Lonn EM. Microvascular function predicts
cardiovascular events in primary prevention: long-term results from the
Firefighters and Their Endothelium (FATE) study. Circulation. 2011;123(2):163–9.
Buteau S, Goldberg MS. A structured review of panel studies used to
investigate associations between ambient air pollution and heart rate
variability. Environ Res. 2016;148:207–47.
Peretz A, Kaufman JD, Trenga CA, Allen J, Carlsten C, Aulet MR, Adar SD,
Sullivan JH. Effects of diesel exhaust inhalation on heart rate variability in
human volunteers. Environ Res. 2008;107(2):178–84.
Tong H, Rappold AG, Caughey M, Hinderliter AL, Graff DW, Berntsen JH,
Cascio WE, Devlin RB, Samet JM. Cardiovascular effects caused by increasing
concentrations of diesel exhaust in middle-aged healthy GSTM1 null human
volunteers. Inhal Toxicol. 2014;26(6):319–26.
Hillebrand S, Gast KB, de Mutsert R, Swenne CA, Jukema JW, Middeldorp S,
Rosendaal FR, Dekkers OM. Heart rate variability and first cardiovascular
event in populations without known cardiovascular disease: meta-analysis
and dose-response meta-regression. Europace. 2013;15(5):742–9.
Yang J, Teehan D, Farioli A, Baur DM, Smith D, Kales SN. Sudden cardiac
death among firefighters </=45 years of age in the United States. Am J
Cardiol. 2013;112(12):1962–7.
Pope CA 3rd. Mortality effects of longer term exposures to fine particulate
air pollution: review of recent epidemiological evidence. Inhal Toxicol. 2007;
19(Suppl 1):33–8.
Singh JP, Larson MG, Tsuji H, Evans JC, O'Donnell CJ, Levy D. Reduced heart
rate variability and new-onset hypertension: insights into pathogenesis of
hypertension: the Framingham Heart Study. Hypertension. 1998;32(2):293–7.
Submit your next manuscript to BioMed Central
and we will help you at every step:
We accept pre-submission inquiries
Our selector tool helps you to find the most relevant journal
We provide round the clock customer support
Convenient online submission
Thorough peer review
Inclusion in PubMed and all major indexing services
Maximum visibility for your research
Submit your manuscript at
www.biomedcentral.com/submit