Sundheds- og Ældreudvalget 2016-17
SUU Alm.del
Offentligt
1750814_0001.png
Holbergsgade 6
DK-1057 København K
T +45 7226 9000
F +45 7226 9001
M [email protected]
W sum.dk
Folketingets Sundheds- og Ældreudvalg
Dato: 02-05-2017
Enhed: SPOLD
Sagsbeh.: DEPZIQ
Sagsnr.: 1702780
Dok. nr.:
Folketingets Sundheds- og Ældreudvalg har den 4. april 2017 stillet følgende spørgs-
mål nr. 757 (Alm. del) til sundhedsministeren, som hermed besvares. Spørgsmålet er
stillet efter ønske fra Kirsten Normann Andersen (SF).
Spørgsmål nr. 757:
”Vil ministeren oversende en redegørelse over antallet af diagnosticerede og behand-
lede meningitispatienter i perioden fra 2000 til 2017 til Sundheds- og Ældreudval-
get?”
Svar:
Til brug for min besvarelse af spørgsmålet har ministeriet anmodet om bidrag fra Sta-
tens Serum Institut. Af bidraget fremgår:
”Meningokoksygdom
(MS) skyldes bakterier (meningokokker) og omfatter meningitis,
blodforgiftning og kombinationen af disse. Især blodforgiftning indebærer en høj ri-
siko for død eller invaliderende senfølger. Meningokokker underinddeles i grupper: A,
B, C, W135, Y samt enkelte andre, sjældnere forekommende grupper.
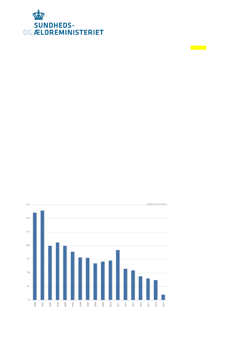
Tabel: Antal anmeldte patienter med invasiv meningokoksygdom i perioden fra 2000 til 2017.
SUU, Alm.del - 2016-17 - Endeligt svar på spørgsmål 757: Spm. om oversendelse af en redegørelse over antallet af diagnosticerede og behandlede meningitispatienter i perioden fra 2000 til 2017, til sundhedsministeren
Der har været et gradvist fald i forekomsten af MS fra næsten 300 årlige tilfælde for
30 år siden, til ca. 160 årlige tilfælde i 2000 og 2001 til 37 tilfælde i 2016, hvilket er
det laveste antal siden overvågningen startede i 1980. Stigningen i 2011 skyldes en
midlertidig - med ukendt årsag - stigning i meningokok C tilfælde.
Der kan heller ikke gives en entydig og forskningsmæssig funderet forklaring på det
generelle fald i perioden. Der kan peges på fx ændrede sociale forhold og ændringer i
unges vaner, men disse forklaringer er ikke understøttet af nærmere undersøgelser.”
Jeg kan henholde mig til Statens Serum Instituts oplysninger.
Med venlig hilsen
Karen Ellemann
/
Zoheeb Iqbal
Side 2