Finansudvalget 2016-17
FIU Alm.del
Offentligt
1802265_0001.png
Folketingets Finansudvalg
Christiansborg
11. oktober 2017
Svar på Finansudvalgets spørgsmål nr. 581 (Alm. del) af 19.
september 2017 stillet efter ønske fra Rasmus Nordqvist (ALT)
Spørgsmål
Hvad er ministerens holdning til, at forventningerne til det finanspolitiske råde-
rum fremadrettet, i det omfang IEA scenarier benyttes i regeringens forventninger
til råderummets størrelse i fremtiden, er baseret på olieprisscenariet IEA-NPS og
ikke det Paris-kompatible IEA-450-ppm scenarie?
Svar
Finansministeriet anvender, i samarbejde med Økonomi- og Indenrigsministeriet,
Skatteministeriet og Energistyrelsen,
IEA’s New Policies Scenarie
(NPS) for olie-
prisen til at fremskrive statens indtægter fra aktiviteterne i Nordsøen ved udarbej-
delsen af de mellemfristede fremskrivninger for dansk økonomi. Samtidig indgår
de aktuelle markedsforventninger til olieprisen, som afspejlet i futures-priser, i
metoden, jf. nærmere i
Danmarks Konvergensprogram 2014.
IEA’s
NPS-scenarie er baseret på de enkelte landes udmeldte mål om reduktion af
CO2-udledninger. Scenariet
er IEA’s centrale skøn for olieprisudviklingen.
Sigtet med mellemfristede fremskrivninger af dansk økonomi er at vurdere udsig-
terne for
de offentlige finanser ved at indregne vedtagen og planlagt politik. IEA’s
NPS-scenarie for udviklingen i olieprisen er således konsistent med de øvrige an-
vendte fremskrivningsprincipper. Det er derfor vurderingen, at dette er det mest
konsistente og retvisende grundlag for fremskrivningerne.
I IEA’s 450 ppm-scenarie skønnes en lavere oliepris end i NPS-scenariet. Det
skyldes, at der antages fuld opnåelse af Paris-aftalens miljømæssige mål. Det inde-
bærer en væsentligt lavere efterspørgsel efter fossile brændsler på verdensplan.
Regeringen støtter disse mål, og Danmark vil yde sit bidrag. Den anvendte frem-
skrivning indarbejder Danmarks udmeldte mål om emissionsreduktioner, som er
indgået i de seneste aftaler på klima- og energiområdet.
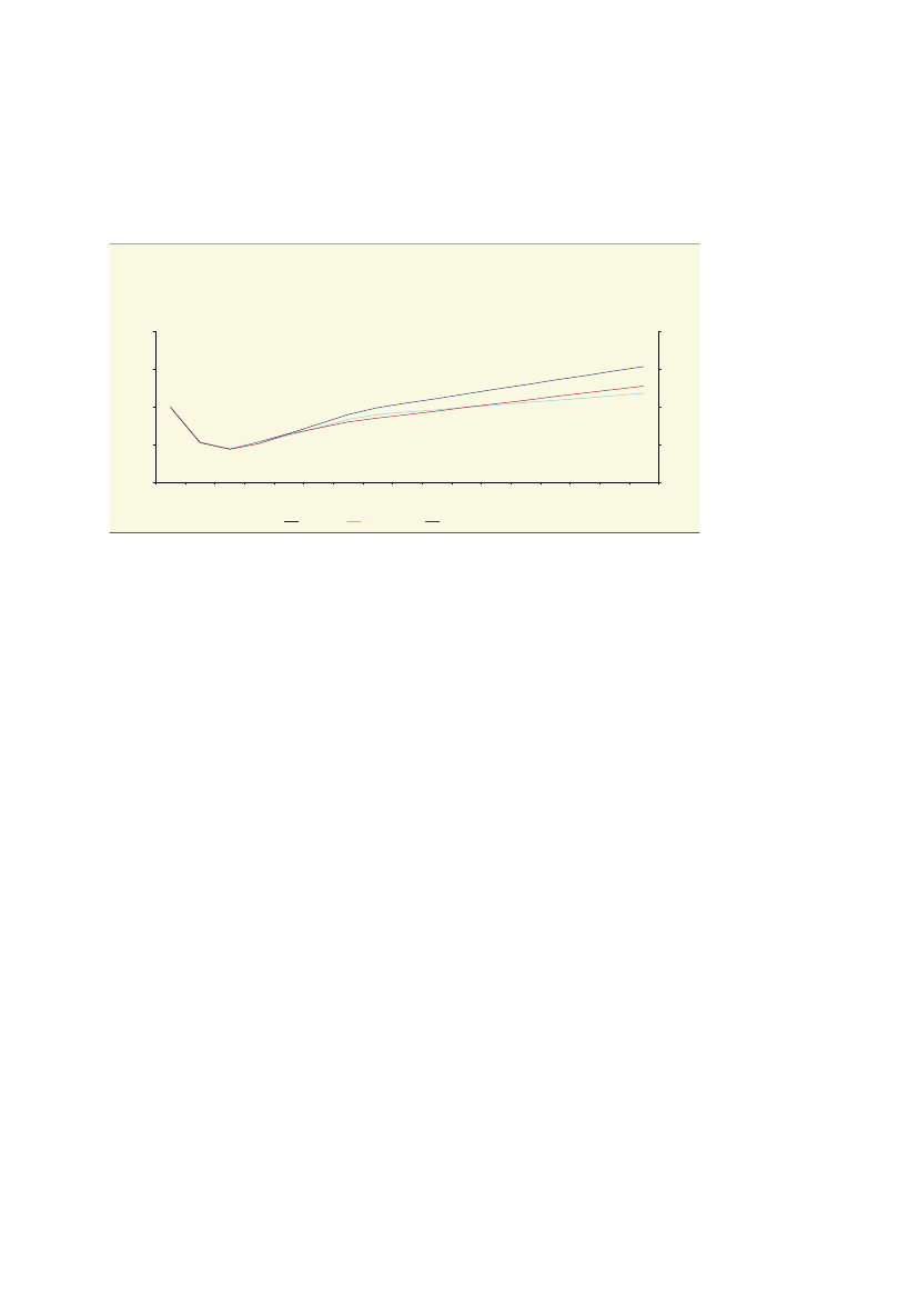
Med den anvendte metode er der forudsat en oliepris (Brent) på 104 USD per
tønde i 2025 (nominelt, dvs. ikke korrigeret for inflation frem mod 2025). IEA’s
450 ppm-scenarie forudsætter en oliepris på 102 USD. Den konkret anvendte
Finansministeriet · Christiansborg Slotsplads 1 · 1218 København K · T 33 92 33 33 · E [email protected] · www.fm.dk
FIU, Alm.del - 2016-17 - Endeligt svar på spørgsmål 581: MFU spm. om, hvad ministerens holdning er til, at forventningerne til det finanspolitiske råderum fremadrettet er baseret på olieprisscenariet IEA-NPS og ikke det Paris-kompatible IEA-450-ppm scenarie, til finansministeren
1802265_0002.png
Side 2 af 2
metode, som samtidig lægger vægt på futures-priserne, er dermed ikke væsentligt
anderledes end IEA’s 450 ppm-scenarie i 2025,
jf. figur 1.
Figur 1
Olieprisudviklinger i forskellige scenarier (nominelle priser, dvs. ikke renset for generel inflation)
USD pr. tønde
200
USD pr. tønde
200
150
150
100
100
50
50
0
14
15
16
17
18
19
IEA NPS
20
21
22
23
24
25
26
27
28
29
30
0
IEA 450 ppm
Opdateret 2025-forløb
Anm.: Serierne for IEA NPS og 450 ppm er
IEAs skøn. I ”opdateret 2025-forløb” er endvidere lagt vægt på
futures-priser som beskrevet i teksten.
Kilde: IEA, Økonomi- og Indenrigsministeriet og egne beregninger.
Med venlig hilsen
Kristian Jensen
Finansminister