Finansudvalget 2016-17
FIU Alm.del
Offentligt
1766333_0001.png
• Jeg er glad for, at vi har fundet tid til at mødes til dette
samråd i dag. Der sker jo mange ting, som I ved.
• Og blot for at forventningsafstemme, så ingen bliver
skuffede. Jeg vil fortælle jer om prognosen i
Økonomisk Redegørelse og ser frem til at drøfte den
med jer. Men jeg vil ikke komme ind på 2025-planen
[eller regeringens pensionsudspil]. Det må vi have til
gode til en anden god gang.
• Først vil jeg opridse konjunktursituationen, senere vil
jeg fortælle lidt om den offentlige økonomi.
1
FIU, Alm.del - 2016-17 - Endeligt svar på spørgsmål 373: Spm. om talepapir fra samrådet den 30/5-17 om Økonomisk Redegørelse, til økonomi- og indenrigsministeren
1766333_0002.png
Det går godt i dansk økonomi. BNP er vokset syv år i
træk, og der er udsigt til, at det fortsætter både i år og
næste år. Opsvinget har bidt sig fast.
Vi skønner en vækst i dansk økonomi på 1,7 pct.,
både i år og næste år. Det er en ganske pæn vækst.
Men der er afgjort plads til forbedringer, især når man
kaster et blik på produktivitetsvæksten.
2
FIU, Alm.del - 2016-17 - Endeligt svar på spørgsmål 373: Spm. om talepapir fra samrådet den 30/5-17 om Økonomisk Redegørelse, til økonomi- og indenrigsministeren
1766333_0003.png
Den årlige produktivitetsvækst har ikke været
prangende i de senere år.
Sidste år faldt produktiviteten i den private sektor
endda*. I 2017 og 2018 skønner vi en positiv, men lav
produktivitetsvækst.
Derfor er det vigtigt, at vi fastholder fokus på
initiativer, som kan styrke produktiviteten. På længere
sigt er produktivitetsvækst den primære drivkræft bag
vækst og velstand.
*Målt som BVT pr. arbejdstime
3
FIU, Alm.del - 2016-17 - Endeligt svar på spørgsmål 373: Spm. om talepapir fra samrådet den 30/5-17 om Økonomisk Redegørelse, til økonomi- og indenrigsministeren
1766333_0004.png
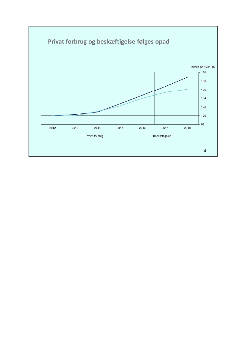
De positive takter i dansk økonomi er bredt funderet i
den private sektor.
Forbruget er vokset stærkt de seneste år. Det er sket
samtidig med, at husholdningerne har nedbragt deres
gæld, og de har fået et mere robust udgangspunkt.
Det betyder, at danske familier nu har gode
muligheder for at øge deres forbrug i de kommende
år. På en holdbar måde vel at mærke.
Udsigten til højere privat forbrug hænger sammen
med den positive udvikling på arbejdsmarkedet.
Ledigheden er lav, og flere får et job og en højere
indkomst.
Vi venter en vækst i det private forbrug på 2 pct. i
både 2017 og 2018.
4
FIU, Alm.del - 2016-17 - Endeligt svar på spørgsmål 373: Spm. om talepapir fra samrådet den 30/5-17 om Økonomisk Redegørelse, til økonomi- og indenrigsministeren
1766333_0005.png
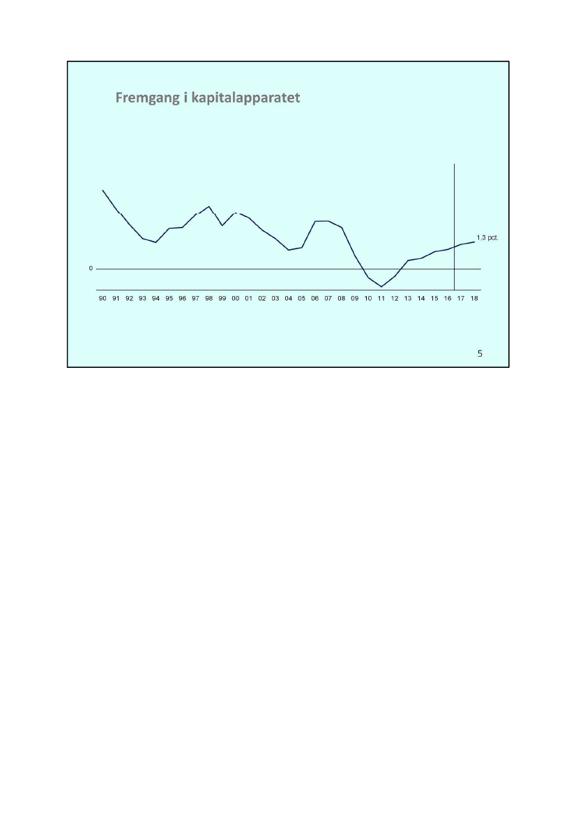
Efter en lang periode med lav investeringslyst er
virksomhederne begyndt at investere igen. Fordi de
har brug for nyt og mere produktionsudstyr. Og fordi
de igen tror på den fremtidige efterspørgsel.
Det ser vi af figuren her, som viser kapitalapparatet -
altså den samlede mængde bygninger, maskiner og
andet, som virksomhederne anvender i produktionen.
Det vokser nu igen gradvist år for år.
5
FIU, Alm.del - 2016-17 - Endeligt svar på spørgsmål 373: Spm. om talepapir fra samrådet den 30/5-17 om Økonomisk Redegørelse, til økonomi- og indenrigsministeren
1766333_0006.png
Det ser også bedre ud for den globale økonomi. Det
giver eksporten momentum, og den er kommet stærkt
ud af 2016 og ind i 2017.
Med det udgangspunkt er skønnet for både i år og
næste år en vækst i eksporten på knap 3 pct.
Fremgangen i den globale økonomi er forankret hos
en række af vores vigtigste samhandelspartnere, der
ventes at fortsætte med at vokse i de kommende år.
Det fremgår af figuren til højre, der viser skøn for
BNP-væksten i fire af vores største
samhandelspartnere.
6
FIU, Alm.del - 2016-17 - Endeligt svar på spørgsmål 373: Spm. om talepapir fra samrådet den 30/5-17 om Økonomisk Redegørelse, til økonomi- og indenrigsministeren
1766333_0007.png
Alene i 2016 blev der skabt 54.000 job i den private
sektor.
I de kommende år er der fortsat udsigt til stigende
beskæftigelse, selv om vi venter, at tempoet tager lidt
af.
7
FIU, Alm.del - 2016-17 - Endeligt svar på spørgsmål 373: Spm. om talepapir fra samrådet den 30/5-17 om Økonomisk Redegørelse, til økonomi- og indenrigsministeren
1766333_0008.png
Den gode udvikling på arbejdsmarkedet hænger
uløseligt sammen med, at der blevet gennemført
reformer. De har skabt grundlaget for en større
jobvækst, end der ellers havde været mulig – også i
de kommende år.
Men den hastigt stigende beskæftigelse betyder
sammen med en meget lav ledighed, at der begynder
at være færre ledige hænder.
Vi nærmer os de strukturelle niveauer, både for
ledigheden og for beskæftigelsen.
I prognosen regner vi med, at ledighedsgabet og
beskæftigelsesgabet lukkes i 2018. Det ses ved, at
linjerne nærmer sig hinanden.
8
FIU, Alm.del - 2016-17 - Endeligt svar på spørgsmål 373: Spm. om talepapir fra samrådet den 30/5-17 om Økonomisk Redegørelse, til økonomi- og indenrigsministeren
1766333_0009.png
• Der er tegn på, at presset på arbejdsmarkedet tager til. Der findes ikke en
målestok for pres på arbejdsmarkedet, så vi har kigget på flere indikatorer.
• Lad mig give jer lidt læsevejledning til figuren: Den måler, hvor langt de
forskellige indikatorer er fra et såkaldt konjunkturneutralt niveau.
• Kigger vi på de to til venstre – altså beskæftigelse og ledighed – ligger de, som
jeg talte om før, aktuelt meget tæt på deres strukturelle niveauer. Det er i
modsætning til situationen i 2012 (den lyseblå søjle), hvor lavkonjunkturen var
dybest, og i 2007/2008 (den mørkeblå søjle), hvor der var overophedning på
arbejdsmarkedet.
• Der er flere ledige stillinger pr. ledig, end i den konjunkturneutrale situation. Det
vil sige, at for hver opslået stilling er der færre ledige end i 2005, som
betragtes som et konjunkturneutralt år.
• Flere og flere virksomhederne melder nu, at de har svært ved at rekruttere den
arbejdskraft, de har brug for. Udfordringen er størst i byggeriet, men tendensen
går også i opad i industrien og serviceerhvervene.
• Vi er stadig et stykke fra situationen omkring 2007, hvor arbejdsmarkedet var
kraftigt overophedet, og virksomhederne havde store
rekrutteringsvanskeligheder.
• På nuværende tidspunkt er der heller ikke et tegn på decideret lønpres.
9
FIU, Alm.del - 2016-17 - Endeligt svar på spørgsmål 373: Spm. om talepapir fra samrådet den 30/5-17 om Økonomisk Redegørelse, til økonomi- og indenrigsministeren
1766333_0010.png
• Der er tegn på tiltagende kapacitetspres på arbejdsmarkedet. Men en egentlig
overophedning vil typisk være ledsaget af ubalancer i andre dele af økonomien
også.
• Det har vi kigget lidt nærmere på denne gang – og sammenlignet med
situationen i 00’erne.
• I tilfælde af en overophedning er der ofte også øget kreditgivning. Det ser vi
ingen tegn på i den nuværende situation. Udlånet fra pengeinstitutterne til
husholdningerne er nærmest uændret siden 2010, mens husholdningerne har
nedbragt deres gæld.
• I årene op til krisen opstod en uholdbar boligprisboble. I 2007 var boligpriserne
således markant højere, end hvad udviklingen i indkomst, rente mv. kunne
forklare. Det er heller ikke tilfældet aktuelt.
• Den nuværende udvikling på boligmarkedet afspejler en økonomi i fremgang,
lave renter og at indkomsterne stiger.
• Der er dog grund til årvågenhed for så vidt angår udviklingen i de store byer –
især ejerlejlighedsmarkedet. Men for landet som helhed er der ikke aktuelt
tegn på ubalancer.
• Det er dog værd at bemærke, at udviklingen kan accelerere hurtigt. Det så vi fx
på boligmarkedet, hvor huspriserne i den grad tog fart fra 2005.
10
FIU, Alm.del - 2016-17 - Endeligt svar på spørgsmål 373: Spm. om talepapir fra samrådet den 30/5-17 om Økonomisk Redegørelse, til økonomi- og indenrigsministeren
1766333_0011.png
Jeg vil slutte af med at sige lidt om de offentlige
finanser.
Som I ser, bliver den strukturelle saldo inden for
grænsen på 0,5 pct. af strukturelt BNP. Den går lige til
grænsen i år, men vi regner med at have lidt mere luft
i 2018.
Skønnet for underskuddet i 2018 er imidlertid blevet
opjusteret siden december. Det skyldes, at vi har
forudsat en mindredisponering under delloftet for drift
på 1 mia. kr. mod 2 mia. kr. tidligere. Det afspejler
regeringens prioriteter [i 2025-planen].
11
FIU, Alm.del - 2016-17 - Endeligt svar på spørgsmål 373: Spm. om talepapir fra samrådet den 30/5-17 om Økonomisk Redegørelse, til økonomi- og indenrigsministeren
1766333_0012.png
Det offentlige forbrug ventes at vokse med 0,7 pct. i
år. Det er – efter min mening – for højt. Vi har brug for
en mere beskeden vækst i det offentlige forbrug, både
på kort og på langt sigt.
Regeringen har et mål om en basis realvækst i det
offentlige forbrug på 0,3 pct. næste år. De resterende
midler i råderummet prioriteres primært til andre mål.
Det kunne eksempelvis være lavere skat på arbejde.
De konkrete tiltag bliver først fastlagt i løbet af i år
med finansloven for 2018 og økonomiaftalerne for
kommunerne og regionerne.
12