Sundheds- og Ældreudvalget 2016-17
SUU Alm.del Bilag 197
Offentligt
1724406_0001.png
Analyserapport
Kapacitet på sygehusene
Nationalt belægningsoverblik og lokalt arbejde
Rehfeld – Part of QuintilesIMS
SUU, Alm.del - 2016-17 - Bilag 197: Orientering om belægningsrapport fra Rehfeld, fra sundhedsministeren
Copyright © Rehfeld – Part of QuintilesIMS A/S, All rights reserved.
Denne rapports anvendelse
Denne rapport er alene udarbejdet til Rehfelds opdragsgiver ud fra det givne opdrag.
Rehfeld påtager sig intet ansvar for andres anvendelse af rapporten.
Kopiering af rapporten, helt eller delvis, må i hvert enkelt tilfælde kun ske med tydelig kildeangivelse.
Kontakt
Spørgsmål til denne rapports indhold kan stilles til:
Jesper Iwersen, Chefkonsulent, Rehfeld – Part of QuintilesIMS, e-post [email protected]
Martin Hornstrup, Konsulent, ejer af Forbindelsen, e-post [email protected]
Stefan Bay-Hahn, Projektleder, Rehfeld – Part of QuintilesIMS, e-post [email protected]
Om Rehfeld
Rehfeld fokuserer på at gøre Danmark til et mere effektivt samfund, hvor man får mere sundhed for pengene. Den
vision kræver kendskab til- og engagement i sundhedssektoren, intelligente løsninger og dygtige medarbejdere.
Siden 1998 har Rehfeld arbejdet tæt sammen med regioner, hospitaler og offentlige myndigheder. Derfor har vi i
dag dybdegående viden om sundhedssektoren, som sætter os i stand til at hjælpe med aktuelle udfordringer – for
eksempel bedre udnyttelse af kapacitet og højere effektivitet alt imens kvaliteten i behandlingen holdes i fokus.
Målet er altid at skabe værdi for vores kunder. Det gør vi ved bl.a. ved at levere BI-løsninger, der strukturerer og
præsenterer data, så beslutninger bliver baseret på den rigtige information.
Rehfeld er en del af den internationale virksomhed QuintilesIMS, der udover at have mange års erfaring inden for
sundhedssektoren i hele verden er verdens største udbyder af klinisk forskning og rådgivning. Det sikrer adgang til
internationale ressourcer og eksperter, der er de dygtigste inden for deres felt, samtidig med at lokal
tilstedeværelse og branchekendskab bevares.
Rehfeld - Part of QuintilesIMS
Blegdamsvej 104C
DK-2100 København Ø
Tlf. +45 7027 7001
e-post [email protected]
www.rehfeld.dk
1 | www.quintilesims.com
SUU, Alm.del - 2016-17 - Bilag 197: Orientering om belægningsrapport fra Rehfeld, fra sundhedsministeren
1724406_0003.png
INDHOLDSFORTEGNELSE
1
2
3
Sammenfatning
Introduktion
Fremgangsmåde og rammesætning
3.1
Besøg i regioner og på sygehuse
3
10
13
13
3.2 Hvilke data kan understøtte det nationale behov for overblik og det lokale behov for flow- og
kapacitetsstyring?
14
4
Lokal definition og anvendelse af belægningsdata
4.1
4.2
4.3
5
5.1
5.2
5.3
5.4
6
6.1
6.2
7
7.1
7.2
7.3
8
Bilag
8.1
8.2
8.3
8.4
8.5
8.6
8.7
Spørgeguide
Udvælgelse af sygehuse
Interview regioner – indberetning af belægningsdata
Interview sygehuse – belægningsopgørelser
Overblik over den aktuelle belægningssituation
Kapacitetskonferencer
Kilder
Belægningsdata til den daglige kapacitetsstyring
Belægningsdata til langsigtet planlægning og styring
Belægningsdata til monitorering
Interview - resultater
Fortolkningsudfordringer
Anbefalinger – kort sigt
Anbefalinger – på længere sigt
Erfaringer
19
19
20
22
23
24
28
33
35
37
37
43
44
47
53
63
63
71
73
74
77
78
79
National statistik over belægning
Patienter på gangen
Håndtering af og udfordringer ved en eventuel national indberetning af patienter på gangen 40
Erfaring med kapacitetskonferencer
Erfaringer med dataunderstøttelse af kapacitetskonferencer
Erfaringer med anvendelse af flowdata
Sygehusenes arbejde med flow
2 | www.quintilesims.com
SUU, Alm.del - 2016-17 - Bilag 197: Orientering om belægningsrapport fra Rehfeld, fra sundhedsministeren
1724406_0004.png
1 Sammenfatning
De nationale belægningstal er i udgangspunktet det bedste eksisterende bud
på en samlet statistik over de offentlige sygehuses kapacitet. Tallene bliver
valideret og kan genkendes af alle regioner. Grundet forskellig anvendelse af
begreberne kan tallene imidlertid vanskeligt anvendes til at sammenligne
niveauer mellem sygehuse og mellem regioner.
Sygehusene arbejder målrettet med flow, men der er behov for bedre
dataunderstøttelse af kapacitetsoverblikket, således at sygehusene kan
anvende data til målrettet udvikling og forbedringsarbejde lokalt.
Figur 1. Overordnede konklusioner.
Tallene er korrekte
Mangler præcise
definitioner
Alle arbejde med flow
Data til flowstyring
mangler
Det er umiddelbart muligt at forbedre den nationale belægningsopgørelse
Der er en række forbedringer af den nationale belægningsopgørelse, som
umiddelbart kan implementeres på kort sigt. Gennemgangen af indholdet i
indberetningerne peger på, at der er brug for ensretning for så vidt angår
bl.a. en fælles månedlig indberetning, et fælles format for indberetning,
tilpasning af sengetal i forbindelse med 5-døgnssenge og orlovspatienter.
Der er imidlertid en række udfordringer relateret til begreberne
De nuværende definitioner er ikke præcise nok. Det betyder fx, at der er stor
forskel på, hvordan sygehuse håndterer og definerer normerede og
disponible senge.
3 | www.quintilesims.com
SUU, Alm.del - 2016-17 - Bilag 197: Orientering om belægningsrapport fra Rehfeld, fra sundhedsministeren
1724406_0005.png
Særlig det forhold, at forventningen til belægningsgraden kan variere
betydeligt mellem sygehusene, hvorfor en belægningsgrad på 95 pct. kan
have vidt forskellige implikationer på to forskellige sygehuse. Ligeledes er
manglende entydighed om håndtering af registrering i akutmodtagelser med
til at sløre de egentlige forskelle i belægningsopgørelsen mellem de
forskellige sygehuse og regioner.
Fokus på udvikling i stedet for niveau
Ovenstående betyder, at den nationale belægningsopgørelse ikke kan
anvendes til at sammenligne belægningsniveauet mellem sygehusene og
mellem regionerne. Af denne årsag anbefales det, at der fokuseres på at se
på udviklingen i belægningen for derigennem understøtte sygehusenes
arbejde med kapacitetsstyring.
Udvikling på langt sigt
På længere sigt er det vigtigt at få klarlagt, hvilke behov den nationale
belægningsopgørelse skal dække, og hvorvidt der er andre fokusområder,
herunder fx patienter på gangen – eller måske mere præcist formuleret –
patienter som overnatter på gangen. Det er herudover væsentligt at afklare
mulighederne for, hvorvidt data kan indhentes gennem Landspatientregistret,
hvortil sygehusene allerede indberetter.
Patienter på gangen
Den nuværende nationale belægningsopgørelse kan ikke anvendes som
indikator for omfanget af patienter på gangen. Hvis man ønsker at
monitorere og følge omfanget af patienter på gangen, så anbefales det, at
der spørges konkret hertil. En manuel indhentning af data vurderes at
medføre en ikke ubetydelig administrativ byrde på kort sigt, men på længere
sigt vil informationerne kunne indhentes automatisk fra regionernes kliniske
logistiksystemer.
Som al anden målstyring vil monitorering kunne skabe uhensigtsmæssig
adfærd. De fleste sygehuse kan imidlertid se en værdi monitoreringen,
såfremt der fra nationalt hold fokuseres på 1) at finde løsninger på flow, 2) at
monitorering understøtter forbedringsarbejdet og 3) at der skabes viden og
værktøjer, der kan hjælpe lokalt.
4 | www.quintilesims.com
SUU, Alm.del - 2016-17 - Bilag 197: Orientering om belægningsrapport fra Rehfeld, fra sundhedsministeren
1724406_0006.png
Alternativet til en national monitorering af patienter på gangen kunne også
være, at patienter på gangen indberettes som en utilsigtet hændelse på lige
fod med de utilsigtede hændelser, der skal indberettes til Styrelsen for
Patientsikkerhed.
Flow- og kapacitetsstyring
Interviewrunden til sygehuse og regioner som dannede grundlag for denne
rapport tydeliggjorde, at alle sygehuse og regioner arbejder systematisk og
målrettet med flow og kapacitetsstyring. Gennemgangen har imidlertid også
afdækket en række generelle behov:
Der mangler udbredelse af effektive løsninger til at sikre aktuelt
overblik over belægningssituationen døgnet rundt.
Der er endnu ingen effektive løsninger på dataopsamling til brug for
analyser og erfaring med flowstyring. Alt for mange sygehuse skal
samle informationer fra 3-4 systemer for at kunne stykke
patientforløbene sammen.
Der er brug for metodeudvikling og erfaringsopsamling på områder,
hvor bedre viden om flow kan skabe afgørende forbedringer i
forhold til kapacitetsstyring og behandlingen og i sidste ende
patientoplevelsen.
Daglig kapacitetsstyring
Alle sygehuse har taget erfaringer til sig fra projektet Sikkert Patientflow som
blev gennemført i alle 5 regioner, og alle arbejder målrettet med at skabe de
nødvendige kulturforandringer. Succes med denne opgave forudsætter
organisering, implementering og ledelsesopbakning.
Effektiv anvendelse af belægningsdata i den daglige kapacitetsstyring
forudsætter:
Der skal være adgang til overblik over belægningssituationen på
hele sygehuset i realtid baseret på data fra de kliniske
logistiksystemer.
Der skal være adgang til tidstro data til brug for læring og
erfaringsopsamling på fx tavlemøder. Disse opgørelser bør kunne
baseres på sidste uges observationer, således at dialogen om,
hvordan sengeafsnittet eller sygehuset håndterede
belægning/overbelægning sker på baggrund af aktuelle tal, som alle
kan huske, og som derfor også kan drages læring af.
5 | www.quintilesims.com
SUU, Alm.del - 2016-17 - Bilag 197: Orientering om belægningsrapport fra Rehfeld, fra sundhedsministeren
Flowstyring kan ikke løses med en kapacitetskonference alene – der skal
være fokus på kapacitetsstyring hele døgnet rundt alle ugens 7 dage.
Belægningsoverblik
Belægningsoverblik er afgørende for at skabe den nødvendige fælles
forståelse for de daglige udfordringer der forårsages af eventuel høj
belægning. Indtil alle regioner har udviklet og implementeret et
belægningsoverblik i realtid med udgangspunkt i kliniske logistikdata, så
anbefales det at alle sygehuse implementerer en ”second best” løsning. Det
kan være et timeoverblik med PAS data, fx som løsningen i Region
Hovedstaden, eller en opsamling af klinisk logistik data, fx som løsningen på
Holbæk Sygehus. Det er afgørende, at viden om belægningssituationen er
tilgængelig, så alle medarbejdere kan tilgå oversigter, der viser den aktuelle
belægningssituation.
Arbejde med flow sikrer fokus på løsninger i stedet for på problemer
Erfaringer fra sygehusene, der deltog i Sikkert Patientflow, samt
internationale erfaringer peger på en række mål, der kan understøtte en
proces hen imod et bedre flow og dermed i sidste ende den bedst mulige
patientbehandling.
På baggrund af de input der kom i interviewrunden, anbefales det, at der
arbejdes med følgende:
Fastlæggelse af udskrivningsdato ved indlæggelsen
Udvikling af viden og værktøjer om forudsigelse af udskrivningsdato bør
være et prioriteret indsatsområde. Der er behov for systemunderstøttelse til
at samle op på data vedrørende udskrivning, således at erfaringer opsamles
og præcision i forudsigelsen kan øges. Der er også behov for udvikling af
arbejdsgange og processer, der sikrer rettidig udskrivning (fx
patientforløbsbeskrivelser, ”udskrivningspakker” osv.).
Forudsigelse af inflow
Udvikling af viden og værktøjer om inflow bør være et prioriteret
indsatsområde. Bedre forudsigelse af inflow kan nedsætte uvished og
dermed hjælpe til en bedre planlægning af fremmøde og ressourcer og
dermed på samme tid sikre både en mere hensigtsmæssig diagnosticering,
behandling og pleje, samt en mere optimal ressourceudnyttelse. Der er store
synergieffekter i at arbejde på tværs af sygehuse og regioner for at opbygge
den nødvendige viden og knowhow.
6 | www.quintilesims.com
SUU, Alm.del - 2016-17 - Bilag 197: Orientering om belægningsrapport fra Rehfeld, fra sundhedsministeren
Behandlingsplan
Det anbefales, at alle sygehusene arbejder med frister for at der foreligger
en behandlingsplan. Dette forudsætter imidlertid, at der skabes en fælles
lokal forståelse for, hvad en behandlingsplan indeholder, herunder hvordan
behandlingsplanen kan bidrage til at forbedre patientforløbet samtidig med at
den høje behandlingskvalitet opretholdes/øges. Der skal ske en udvikling af
de kliniske logistiksystemer, således at opfølgning kan monitoreres.
Ventetider internt på sygehusene
Der er brug for at udvikle redskaber til at samkøre data fra de forskellige
kildesystemer til brug for bedre statistik og analysemuligheder. Det skal bl.a.
anvendes til, at få bedre overblik over hvilke typer af ventetid, der har
konsekvenser for hvilke typer af patientforløb.
Baseret på den nærværende analyse, kan Rehfeld konstatere, at belægning
og flow er i fokus på sygehusene såvel som i regionerne. Der er dog stadig
plads til forbedring og nytænkning, når man ser på formål og mulighederne
for at indhente erfaringer fra andre sygehuse. I Boks 1 og Boks 2
nedenunder opsummeres anbefalingerne fra rapporten omkring belægning
og patienter på gangen samt flow- og kapacitetsstyring.
7 | www.quintilesims.com
SUU, Alm.del - 2016-17 - Bilag 197: Orientering om belægningsrapport fra Rehfeld, fra sundhedsministeren
1724406_0009.png
Boks 1. Belægning og patienter på gangen.
Sundhedsdatastyrelsen og regionerne bør sikre fælles format for
indberetning, månedsvis indberetning samt en løsning for så vidt
angår 5 døgnssenge.
Sundhedsdatastyrelsen bør ændre datapræsentationen, således at
den fokuserer på udvikling over tid i forhold til om de enkelte hospitaler
lykkes med at reducere omfanget af overbelægning.
Sundhedsministeriet bør fremadrettet afklare, hvilke spørgsmål den
nationale statistik skal kunne besvare.
Sundhedsdatastyrelsen bør undersøge mulighederne for, at den
nationale statistik fremadrettet kan indhentes gennem
Landspatientregistret, hvor sygehusene allerede indberetter.
Det anbefales, at opgørelser af belægningsgrad ikke anvendes til en
vurdering af omfanget af patienter på gangen.
Såfremt det ønskes at monitorere og følge omfanget af patienter på
gangene om natten, så anbefales det, at Sundhedsdatastyrelsen
spørger konkret hertil.
For at undgå de uheldige incitamenter, som kan opstå ifm. målstyring,
anbefales det, at en eventuel monitorering fra Sundhedsdatastyrelsen
fokuserer på 1) at finde løsninger på flow, 2) at monitoreringen
understøtter forbedringsarbejdet lokalt og 3) at der skabes viden og
værktøjer, der kan hjælpe lokalt.
Det anbefales, at Sundhedsministeriet og Styrelsen for
Patientsikkerhed, som alternativ til en national monitorering af
patienter på gangen, undersøger mulighederne for at indberette
patienter, der overnatter på gangen, som en utilsigtet hændelse på
lige fod med den række af uhensigtsmæssige hændelser, der
indrapporteres, jf. Dansk Patientsikkerhedsdatabase.
8 | www.quintilesims.com
SUU, Alm.del - 2016-17 - Bilag 197: Orientering om belægningsrapport fra Rehfeld, fra sundhedsministeren
1724406_0010.png
Boks 2. Flow og kapacitetsstyring.
Det anbefales, at regionerne og sygehusene systematisk arbejder med
metodeudvikling og erfaringsopsamling vedrørende flow og
kapacitetsstyring. F.eks. med de metoder, der er anvendt i Patient Sikkert
Sygehus, herunder læringsseminarer og læringsnetværk.
Det anbefales, at alle sygehuse implementerer erfaringerne fra Sikkert
Patientflow, herunder igangsætter tavlemøder og kapacitetsmøder mv.
Sygehusene skal i den forbindelse være særligt opmærksomme på
tilstrækkelig med ledelsesopbakning ift. organisering og
implementeringskraft for at opnå den nødvendige kulturforandring.
Det anbefales, at sygehusene fastlægger entydige retningslinjer for
processerne i flowarbejdet, herunder særligt, 1) hvordan man vælger at
håndtere situationer med overbelægning og 2) hvordan man sikrer fokus
på kapacitetsstyring hele døgnet rundt alle ugens 7 dage.
Sygehusene skal sikre, at der er adgang til overblik over
belægningssituationen på hele sygehuset i realtid baseret på data fra de
kliniske logistiksystemer/tavler lokalt på de enkelte sengeafsnit.
Sygehusene skal sikre adgang til tidstro data vedr.
belægningssituationen til brug for læring og erfaringsopsamling på fx
tavlemøder.
Indtil alle regioner har udviklet og implementeret belægningsoverblik i
realtid med udgangspunkt i kliniske logistikdata, så anbefales det, at alle
sygehuse på kort sigt implementerer en ”second-best” løsning. Det kan
være et timeoverblik med PAS data, fx som løsningen i Region
Hovedstaden, eller en opsamling af klinisk logistik data, fx som løsningen
på Holbæk Sygehus.
Det anbefales, at regionerne og sygehusene sikrer den nødvendige
systemunderstøttelse til dataopsamling og dataudtræk, således at
arbejdet med at forudsige udskrivninger kan forbedres og udvikles på
baggrund af data.
Det anbefales at alle regioner og sygehuse arbejder med
behandlingsplaner, herunder fastlægger frister for, hvornår der skal
foreligge en behandlingsplan for indlagte patienter.
Det anbefales at regioner og sygehuse udvikler redskaber til at samkøre
data fra de forskellige kildesystemer til brug for bedre statistik og
analysemuligheder, med det formål at få bedre overblik over hvilke typer
af ventetid, der har konsekvenser for hvilke typer af patientforløb,
herunder læring og erfaringsopsamling.
Det anbefales, at Sundhedsministeriet og Danske Regioner igangsætter
et udviklingsarbejde sammen med udvalgte sygehuse, som kan skabe
viden og knowhow om inflow af patienter på sygehusene samt flow
gennem sygehusene.
9 | www.quintilesims.com
SUU, Alm.del - 2016-17 - Bilag 197: Orientering om belægningsrapport fra Rehfeld, fra sundhedsministeren
1724406_0011.png
2 Introduktion
Sundhedsdatastyrelsen indsamler oplysninger om sengepladser for
sygehusene i Danmark, og formidler belægningstal på den offentlige del af
eSundhed. Belægning skal forstås som udnyttelsen af sengepladserne, og
beregnes som aktiviteten (antal senge i brug) over antal disponible senge.
Data bygger på en ny indsamlingsmodel og ny registreringspraksis i
regionerne, som fortsat er under indfasning.
Figur 2. Fiktivt eksempel på aktivitet og sengekapacitet.
Tilpasning af
kapaciteten på en
sygehusafdeling
Aktiviteten på mange danske sygehuse med akutte patienter er vanskelig at
forudsige, og vil derfor kunne overstige antallet af disponible senge. I praksis
vil udviklingen i liggetider med kortere forløb betyde mere udskiftning, hvilket
i sagens natur vil kunne give tidspunkter i løbet af dagen, hvor patienter der
skal udskrives, ikke er gået hjem, mens patienter der skal indskrives allerede
er kommet. Der kan også forekomme længere perioder, hvor en afdeling er
belastet med mange indlæggelser – fx under perioder med influenzaepidemi.
Afdelinger, som permanent har overbelægning, vil for udenforstående
forekomme som et udslag af mindre hensigtsmæssig planlægning. Der kan
imidlertid være en række faktorer, som påvirker afdelingernes muligheder for
at udvide kapaciteten selv over en længere periode:
Tilgængelighed af personaleressourcer (specialister).
Begrænsninger i bygningsmassen.
10 | www.quintilesims.com
SUU, Alm.del - 2016-17 - Bilag 197: Orientering om belægningsrapport fra Rehfeld, fra sundhedsministeren
1724406_0012.png
I Figur 3 ses to eksempler på afdelinger som på eSundhed har
længerevarende overbelægning.
Figur 3. Belægningsgraden på to afdelinger med længerevarende overbelægning.
Kilde: eSundhed, 2016.
Lokale forhold i registreringen kan være afgørende for mulighederne for at
fortolke resultaterne i statistikken. Sygehusenes implementering og
operationalisering af patientflowet er derfor en væsentlig faktor at medtage i
analysen. Sygehusenes erfaringer med at anvende belægningsoverblik
lokalt er medtaget for, at kunne foretage en vurdering af om der er lokale
værktøjer eller metoder, som med fordel kunne løftes til at blive nationale
tilgange.
Jf. side 2 i Aftale om Akutpakke mod overbelægning, d. 2. februar 2016 er
der konkret aftalt, at der skal udvikles og udbrede lokale værktøjer, der kan
styrke sygehusenes overblik over belægningssituationen, og understøtte en
bedre udnyttelse af senge og personale.
Rehfeld har analyseret det eksisterende belægningsoverblik, idet der fra de
centrale sundhedsmyndigheder er et ønske om at belægningstallene
afspejler de faktiske forhold. Analysen skal derfor afdække
registreringspraksis og beregningsmetoder, samt beskrive muligheder for at
tilpasse og udvikle den eksisterende løsning.
11 | www.quintilesims.com
SUU, Alm.del - 2016-17 - Bilag 197: Orientering om belægningsrapport fra Rehfeld, fra sundhedsministeren
Baseret på dette behov er denne rapport delt i tre overordnet dele:
Del 1: Fremgangsmåde og rammesætning
Kapitel 3 sætter rammen for den videre analyse og anbefalinger. Der
introduceres kort de metodemæssige overvejelser, der ligger til grund for
analysen i relation til databehov på nationalt niveau, samt i forhold til de
behov der ligger for sygehusafdelinger og -afsnit.
Del 2: Belægningsopgørelser
Kapitel 4-6 gennemgår regionernes og sygehusenes anvendelse af
belægningsdata og præsenterer løsninger på forbedring af den nationale
belægningsopgørelse. Derudover redegøres for sammenhæng - eller
mangel på samme - mellem belægning og patienter på gangen.
Kapitel 4 gennemgår de forskellige anvendelser af belægningsdata, som er
blevet præsenteret under besøgene hos regionerne og sygehusene.
Kapitel 5 præsenterer resultatet af analysen af belægningsopgørelserne med
fokus på forskelle i opgørelsesmetoder, samt kommer med anbefalinger til,
hvordan der kan skabes en mere retvisende national belægningsopgørelse
på kort og længere sigt.
Kapitel 6 gennemgår begrebet ”patienter på gangen”. Der redegøres for
hvem og hvordan, der arbejdes med at monitorere patienter på gangen.
Endvidere kortlægges forholdet mellem overbelægning og patienter på
gangen, og der argumenteres for, hvorfor der ikke er nogen direkte
sammenhæng mellem overbelægning og patienter på gangen.
Del 3: Flow
Kapitel 7 præsenterer sygehusenes erfaringer med flow og kapacitetsstyring.
Her refereres til erfaringer med kapacitetsmøder, samt erfaringer med
konkrete mål og indikatorer i forhold hertil. Endvidere præsenteres
anbefalinger til værktøjer og dataunderstøttelse, som med fordel kan
udvikles for at hjælpe sygehusene med at forbedre og udvikle flow- og
kapacitetsstyring.
12 | www.quintilesims.com
SUU, Alm.del - 2016-17 - Bilag 197: Orientering om belægningsrapport fra Rehfeld, fra sundhedsministeren
1724406_0014.png
3 Fremgangsmåde og rammesætning
I nærværende kapitel beskrives de metodemæssige overvejelser, som ligger
til grund for analysen i relation til 1) udvælgelse af sygehuse til interviews, 2)
forskellen i databehov mellem et nationalt sundhedspolitisk perspektiv og
driften af en sygehusafdeling, samt 3) hvordan fokus på belægning og
kapacitetsstyring med fordel kan udvikles til også at fokusere på flow,
herunder erfaringer fra projekt Sikkert Patientflow
1
.
3.1
Besøg i regioner og på sygehuse
For at sikre en dybdegående kvalitativ vurdering og beskrivelse af grundlaget
for den nationale statistik og erfaringerne med sygehusenes arbejde med
kapacitet og belægning blev der fortaget interviews på 10 sygehuse samt
alle landets 5 regioner.
I udvælgelsen af sygehusene ville Rehfeld indhente erfaringer fra
sygehusene, som arbejder/har arbejdet med flow gennem bl.a. projekt
Sikkert Patientflow, da disse sygehuse har gjort sig nogle klare tanker
omkring deres arbejdsgange i forbindelse med projektet. Herudover var
udgangspunktet at besøge såvel akutsygehuse og universitetshospitaler i
hver region. På baggrund heraf og i dialog med de 5 regioner blev følgende
10 sygehuse udvalgt:
Tabel 1. Deltagende sygehuse i interviewrunde.
Region
Hovedstaden
Region
Sjælland
Region
Syddanmark
Region
Midtjylland
Region
Nordjylland
Bispebjerg og Frederiksberg Hospital (Akutsygehus)
Nordsjællands Hospital (Akutsygehus, Sikkert Patientflow)
Holbæk Sygehus (Akutsygehus, Sikkert Patientflow)
Næstved, Slagelse, Ringsted Sygehus (Akutsygehus, Sikkert
Patientflow)
Odense Universitetshospital
Sygehus Lillebælt, Kolding Sygehus (Akutsygehus, Sikkert
Patientflow)
Århus Universitetshospital, Skejby
Hospitalsenheden Horsens (Akutsygehus, Sikkert Patientflow)
Aalborg Universitetshospital, Aalborg
Regionshospital Nordjylland (Akutsygehus, Sikkert Patientflow)
Projektet Sikkert Patientflow er et samarbejde mellem TrygFonden, Danske
Regioner og Dansk Selskab for Patientsikkerhed. Projektet løb i perioden januar
2014 - december 2015, hvori der deltog 12 sygehuse.
1
13 | www.quintilesims.com
SUU, Alm.del - 2016-17 - Bilag 197: Orientering om belægningsrapport fra Rehfeld, fra sundhedsministeren
1724406_0015.png
Forud for de enkelte møder med sygehusene og regionerne blev der
udarbejdet en detaljeret spørgeguide, som udsendtes til deltagerne inden
mødet. Hovedfokus på møderne var:
Hvordan registreres, defineres og anvendes belægningsdata?
Hvilke redskaber anvendes i regionen/på sygehuset for at understøtte og
forbedre patientflow (og dermed forsøge at undgå konsekvenser af
overbelægning/patienter på gangene)?
Spørgeguiden er vedlagt i Bilag 8.1.
3.2
Hvilke data kan understøtte det nationale behov for overblik og
det lokale behov for flow- og kapacitetsstyring?
Behovet for data og informationer vedrørende belægning er forskelligt for et
sygehus og sygehusafdelinger i forhold til regionale og nationale databehov.
Hvor det strategiske ledelsesniveau – på nationalt og regionalt niveau – har
brug for aggregerede data til at skabe et overblik over udviklingen, og hvor
kvartalsdata eller månedsdata kan være tilstrækkeligt, så har det
operationelle niveau – på afsnits- eller afdelingsniveau – i langt højere grad
brug for helt aktuelle data, der kan fortælle noget om situationen lige nu eller
inden for den sidste uge/sidste måned. Det er dog vigtigt at pointere, at
datagrundlaget skal være ens, således at der ikke stilles spørgsmålstegn
ved datavaliditeten.
Figur 4. Behov for data på forskellige niveauer.
14 | www.quintilesims.com
SUU, Alm.del - 2016-17 - Bilag 197: Orientering om belægningsrapport fra Rehfeld, fra sundhedsministeren
1724406_0016.png
Når behovet for belægnings- og flowdata vurderes, er det afgørende at
forholde sig til denne forskel. Der er således i analysen taget udgangspunkt
i, at de nationale belægningsdata skal forholde sig til de overordnede
udviklingstendenser og kunne adressere de politiske målsætninger, mens
data om belægning og flow på sygehusene omvendt skal være aktuelle –
gerne i realtid – og kunne anvendes til såvel overblik som til
forbedringsarbejde.
Det nationale databehov
I dag leveres der belægningsdata fra alle regioner til Sundhedsdatastyrelsen
med henblik på at monitorere belægningsgraden på landets sygehuse.
Den eksisterende statistik beskriver forholdet mellem antallet af patienter kl.
23 og antallet af senge på det respektive afsnit. Det er derfor i teorien et
rimeligt udtryk for, hvor høj belægning det enkelte afsnit har.
Det er imidlertid ikke sikkert, at statistikken kan bruges til det formål eller til at
drage konklusioner som forventet. For at kunne være sikker på hvordan
statistikken skal fortolkes, er det afgørende at kende til og forstå statistikkens
begreber og baggrundsoplysninger omkring beregningsmetode, periode og
præsentation. Det vil der blive redegjort for i nærværende rapport.
Figur 5. Spørgsmål og behov ved en national statistik over belægning.
Ligeså vigtigt er det at overveje, hvilke behov der ønskes at håndtere
nationalt.
15 | www.quintilesims.com
SUU, Alm.del - 2016-17 - Bilag 197: Orientering om belægningsrapport fra Rehfeld, fra sundhedsministeren
1724406_0017.png
Hvilke af følgende spørgsmål ønskes belyst med en national statistik:
1.
2.
3.
4.
5.
6.
Har der været risiko for patientsikkerheden?
Har der været overbelægning?
Har der været patienter på gangene?
Er sygehusenes afdelinger dimensioneret rigtigt?
Laver sygehusene/afdelingerne nok?
Kan man sammenligne to sygehusafdelingers aktivitetsniveau?
Vi vil igennem rapporten forholde os til, om det er muligt at besvare disse
spørgsmål med den nationale statistik, og om der er nogle af ovenstående
spørgsmål, som vil kunne besvares gennem denne eller andre
dataindsamlinger.
Databehov på lokalt niveau
Kapacitetsstyring på sygehuse har traditionelt fokuseret på belægning og
sengekapacitet, og løsninger har primært kredset om, hvorvidt der var nok
senge. Men i de senere år, blandt andet som følge af fokus på patientforløb
og i forbindelse med at emnet blev taget op i projekt Sikkert Patientflow, er
der kommet sundhedsfagligt fokus på patientflow.
Det betyder også, at databehovet på lokalt niveau ændrer sig. Dette
udspringer af erkendelsen af, at kapacitetsstyring forudsætter en kontinuert
indsats og samarbejde, samt at der kan arbejdes med mål og indikatorer,
som bidrager til at øge flow og derigennem reducere risiko for
overbelægning.
Erfaringer fra Sikkert Patientflow
I forberedelsen inden besøgene på sygehusene har vi inddraget erfaringer
fra projekt Sikkert Patientflow. Særligt to pointer ønskede vi at undersøge
nærmere i besøgene på sygehusene og i regionerne.
Den ene pointe er, at problemer med patientflow slår ud på tre områder, der
alle kan have konsekvenser for patientsikkerhed, kvalitet i behandlingen og
patientoplevelsen denne betegnes patientsikkerhedstrekanten i nærværende
rapport (se Figur 6). Det gælder:
1. Overbelægning i stamafdelingerne. For mange indlagte i forhold til
udskrevne i stamafdelingerne.
Problemstillinger
1. Overbelægning
2. Lånesenge
3. Ventetid på
overflytning
16 | www.quintilesims.com
SUU, Alm.del - 2016-17 - Bilag 197: Orientering om belægningsrapport fra Rehfeld, fra sundhedsministeren
1724406_0018.png
2. Brug af lånesenge. Hvor patienten ikke ligger på det rigtige
sengeafsnit, men i en låneseng på et andet afsnit/anden afdeling - fx
medicinske patienter i kirurgiske sengeafsnit.
3. Ventetid og overbelægning i akutmodtagelsen. Når patienter ikke
kan komme videre til stamafdelingerne.
Figur 6. Flow gennem sygehuset og områder der påvirker patientsikkerhed.
Budskabet fra projekt Sikkert Patientflow er, at der skal fokuseres på alle tre
problemstillinger på samme tid.
Det er således ikke tilstrækkeligt at fokusere på overbelægning, idet en
håndtering af overbelægning kan have negative konsekvenser for de to
andre problemstillinger (lånesenge og ventetid i akutmodtagelsen). Det
betyder, at selvom et sygehus har fået styr på overbelægning i
stamafdelingerne, så kan der stadig være problemer som følge af for mange
patienter/for lidt flow og dermed risici i forhold til patientsikkerhed og kvalitet.
En måde at fokusere på alle tre problemstillinger er således, at understøtte
arbejdet med relevante målinger af belægning, antal patienter i lånesenge
samt ventetid og overbelægning i akutmodtagelsen.
17 | www.quintilesims.com
SUU, Alm.del - 2016-17 - Bilag 197: Orientering om belægningsrapport fra Rehfeld, fra sundhedsministeren
1724406_0019.png
Den anden pointe fra Sikkert Patientflow er, at der er brug for at fokusere på
indsatser, der har til formål at forbedre flow. Det kan f.eks. ske igennem
arbejde med følgende mål:
Systematisk arbejde med at forudsige udskrivningsdato.
Nedsætte ventetid til behandlingsplan.
Nedsætte ventetid til overførsel fra akutmodtagelsen til
stamafdeling.
Indarbejde værktøjer til at forudsige inflow.
Forbedringsarbejde
Metoder og kendskab til forbedringsarbejde er udviklet betydeligt i
sundhedsvæsnet i Danmark de sidste 5-7 år. Her er hentet inspiration fra
blandt andet Institute for Healthcare Improvement (IHI) og Virginia Mason
2
.
Forbedringsarbejdet er yderligere igangsat igennem sundhedsvæsnets
arbejde med driftsmålstyring, kvalitetsudvikling og igennem projekter som fx
Sikkert Patientflow.
Metoderne relateret til forbedringsarbejde er særdeles nyttige, når der skal
arbejdes med kapacitetsstyring. Det sætter imidlertid også krav til, at der kan
leveres hyppige og tidstro data, som kan understøtte forbedringsarbejdet
lokalt.
I anbefalingerne til at arbejde med belægningsdata i kapitel 4 og 5 inddrager
vi ovenstående pointer, og i kapitel 7 præsenterer vi en gennemgang af
sygehusenes arbejde med flow med udgangspunkt i ovenstående erfaringer.
For yderligere information henvises til spørgeguiden i Bilag 8.1
3
.
18 | www.quintilesims.com
Virginia Mason Medical Center har gennem flere år været anerkendt af
Healthgrades i USA som et af de bedste sygehuse i USA. Virginia Mason har
arbejdet intensivt med patientsikkerhed og kvalitet efter bl.a. Toyota metoden (TPS
Toyota Production System).
3
Der er også nyttig information at hente i Dansk Selskab for Patientsikkerheds
erfaringsopsamling fra projekt Sikkert Patientflow:
http://www.sikkertpatientflow.dk/media/1562/sikkert-
patientflow_erfaringsopsamling.pdf
2
SUU, Alm.del - 2016-17 - Bilag 197: Orientering om belægningsrapport fra Rehfeld, fra sundhedsministeren
1724406_0020.png
4 Lokal definition og anvendelse af belægningsdata
Alle sygehuse anvender belægningstal i deres lokale arbejde med styring og
udvikling. Besøgene på sygehusene afdækkede principielt to overordnede
anvendelsesområder:
Belægningsdata til den daglige kapacitetsstyring
Belægningsdata som grundlag for mere langsigtede
planlægningsopgaver, budgettilpasninger og udviklingsopgaver
4.1
Belægningsdata til den daglige kapacitetsstyring
Den daglige kapacitetsstyring skal understøttes med data, som fortæller
noget om den aktuelle status på belægningen nu og her, samt giver
mulighed for tidstro data til læring og erfaringsopsamling.
Alle sygehuse har forskellige dataløsninger, som giver et overblik over den
aktuelle belægningssituation. Der er imidlertid forskel i udbredelse, kvalitet
og tilgængelighed, jf. gennemgang af løsningerne i Bilag 8.5
4
.
Adgangen til tidstro data over de seneste dages/ugers belægning til brug for
læring og erfaringsopsamling varierer mellem sygehusene. Alle sygehuse
har adgang til at lave ad hoc analyser, men i nedenstående skal adgang til
statistik forstås som adgang til en løsning, der leverer statistikken.
Nogle sygehuse har adgang til belægningsstatistik allerede dagen efter. Det
gælder bl.a. i Region Midtjylland og i Region Syddanmark samt Næstved,
Slagelse, Ringsted Sygehus.
På andre sygehuse er der adgang til nye tal en gang om ugen. Det gælder
bl.a. Nordsjællands Hospital. Atter andre sygehuse har kun opdatering af
belægningsdata en gang om måneden. Det gælder bl.a. Holbæk Sygehus.
I kapitel 7 er der en uddybende gennemgang af de løsninger, som de 10 hospitaler
anvender til overvågning af den aktuelle belægning til brug for kapacitetskonferencerne, samt
vores anbefalinger til fremtidige løsninger.
4
19 | www.quintilesims.com
SUU, Alm.del - 2016-17 - Bilag 197: Orientering om belægningsrapport fra Rehfeld, fra sundhedsministeren
I forhold til at kunne anvende belægningsdata til læring og
erfaringsopsamling i klinikken på tavlemøder og til forbedringsarbejde, er det
afgørende, at der kan leveres data hyppigt – mindst på ugebasis – således
at data kan indgå i det løbende daglige kliniske arbejde. Fordelen ved nye og
aktuelle data er, at personalet kan huske informationen og relatere sig til de
faktiske begivenheder.
Det er i den sammenhæng ikke nyttigt at anvende data, der er mere end 1
måned gamle, idet det er vanskeligt for nogen at huske den konkrete årsag
til at belægning fx var ekstraordinær høj i et par dage, herunder hvad der i
givet fald kunne læres af den pågældende situation.
For at kunne anvende belægningsdata til daglig kapacitetsstyring er det
nødvendigt, at data, som minimum kan nedbrydes på timebasis, således at
variationer hen over dagen kan analyseres.
Alle sygehuse har teknisk mulighed for at levere data på timebasis, imidlertid
er det ikke alle, der stiller denne type data til rådighed. Nogle sygehuse har
omvendt løsninger, der stiller belægningsopgørelser til rådighed, der er brudt
ned på minuttal. Det gælder bl.a. Region Midtjyllands og Region
Syddanmarks respektive BI løsninger.
4.2
Belægningsdata til langsigtet planlægning og styring
På samtlige sygehuse vi besøgte blev belægningsdata anvendt til
langsigtede planlægningsopgaver og til at skabe overblik over eventuelle
behov for strukturelle justeringer i kapaciteten.
Det gælder fx:
Kortlægning af hvor mange senge/sengestuer, der skal flyttes fra et
sygehus til et andet ved ændringer i optageområdet for et givent
speciale.
Planlægning af dimensionering af nybyggeri.
Budgettilpasninger baseret på om den faktiske belægning svarer til
den forventede belægning i den årlige budgetproces.
Ressourceallokering mellem sengeafsnit i forhold til normering pr.
belagt seng.
Risikostyring i forhold til om der er tilstrækkelig kapacitet til at
håndtere udsving i sengebehov for kritiske senge (fx intensivsenge,
intermediære senge, neonatalafsnit o.l.).
20 | www.quintilesims.com
SUU, Alm.del - 2016-17 - Bilag 197: Orientering om belægningsrapport fra Rehfeld, fra sundhedsministeren
1724406_0022.png
Data til disse formål er tilgængelige via sygehusenes ledelsesinformation
eller BI løsninger, på intranet og/eller i datavarehuse, som kan tilgås af
relevante medarbejdere.
Alle sygehuse og regioner leverer data til analyseformål i en eller anden
grad, således at det er muligt at analysere belægning hen over døgnet,
ugen, måneden eller året på de afdelinger og afsnit, der er behov for. En
ekstra værdi for sygehusene findes, når der findes mulighed for at analysere
på belægningsdata, der kobles sammen med andre relevante informationer
fx aktivitet eller personaleudgifter.
Tabel 2 opsummerer de belægningsdata, sygehusene mener, der bør stilles
til rådighed for at arbejde med enten den daglige kapacitetsstyring eller mere
langsigtede planlægningsopgaver.
Tabel 2. Databehov til belægningsstyring på kort og lang sigt.
Aktuelle belægningstal
Belægningsdata til
daglige kapacitetsstyring
Adgang til data i realtid
baseret på informationer
fra kliniske
logistiksystemer*
”Historiske” belægningstal
Adgang til tidstro data på –
som minimum time og
dagsbasis.
Data bør opdateres dagligt
eller mindst på ugentlig
basis.
Adgang til historiske data
fra PAS systemet på
time/dag/uge/månedsbasis.
Gerne løbende opdatering
med aktuelle data og som
minimum data, der
opdateres pr måned.
*Kliniske logistiksystemer er fællesbetegnelsen for systemer, der hjælper med bl.a.
overblik, koordinering og kommunikation i forhold til at styre patientforløbet på
sygehusene i dagligdagen.
Belægningsdata til
langsigtede
planlægningsopgaver og
budgettilpasning
Tidstro er fællesbetegnelse for data, der er tilstrækkeligt nye til ”at man kan
huske dem”. For at være tidstro, skal data kunne leveres relativt hurtigt efter
registreringstidspunktet. De kan være på dag-, uge- eller månedsdata.
Månedsdata er tidstro, hvis man får de nye tal umiddelbart efter
månedsskiftet. Det er ikke det samme som data i realtid, som er data der
vises på samme tid som de registreres.
21 | www.quintilesims.com
SUU, Alm.del - 2016-17 - Bilag 197: Orientering om belægningsrapport fra Rehfeld, fra sundhedsministeren
1724406_0023.png
Boks 3. Anbefalinger til belægningsdata til den daglige kapacitetsstyring.
For at sikre en effektiv anvendelse af belægningsdata til den daglige
kapacitetsstyring er der brug for:
Sygehusene skal sikre, at der er adgang til overblik over
belægningssituationen på hele sygehuset i realtid baseret på data fra de
kliniske logistiksystemer / tavler lokalt på de enkelte sengeafsnit.
Sygehusene skal sikre adgang til tidstro data til brug for læring og
erfaringsopsamling på fx tavlemøder. Disse opgørelser bør kunne
baseres minimum på sidste uges observationer, således at dialogen om,
hvordan sengeafsnittet eller sygehuset håndterede
belægning/overbelægning sker på baggrund af aktuelle tal, som alle kan
huske og derfor også kan drages læring af.
Der er stordriftsfordele ved såvel udvikling af fælles regionale
belægningsoverblik samt ved at levere ledelsesinformation på
belægningsdata. Regionerne skal derfor understøtte udviklingsarbejdet for
sygehusene.
4.3
Belægningsdata til monitorering
Det er vurderingen på baggrund af interview med sygehusene, at
sygehusene i større eller mindre grad anvender belægningsdata til at
monitorere og vurdere belægningsniveauet i de enkelte sengeafsnit med to
henseende - at identificere kapacitetsbegrænsninger, men også at observere
indikationer for underudnyttelse.
Dette er muligt, fordi sygehusene kan tolke egne belægningstal i forhold til
den måde data er defineret, herunder særligt lokalt kendskab til
forventningerne til belægningsgrad for de enkelte sengeafsnit osv.
Det er dog kun i mindre omfang, at belægningsdata bliver anvendt af
regionerne til at monitorere omfanget af overbelægning på sygehusene. Det
er kun i Region Hovedstaden, at der løbende udarbejdes en redegørelse til
Regionsrådet om belægningssituationen på sygehusene. I Region Sjælland
udarbejdes der hver måned en status over niveauet for patienter, der har
overnattet på gangen på sygehusene i regionen. De øvrige tre regioner
anvender ikke belægningsdata til monitorering af overbelægning. I disse tre
regioner udarbejdes der er redegørelse til direktionen og politikere i
forbindelse med offentliggørelse af de nationale belægningsopgørelser.
22 | www.quintilesims.com
SUU, Alm.del - 2016-17 - Bilag 197: Orientering om belægningsrapport fra Rehfeld, fra sundhedsministeren
1724406_0024.png
5 National statistik over belægning
Den nationale statistik udarbejdes efter et fælles sæt retningslinjer. På
Sundhedsdatastyrelsens hjemmeside kan man hente ”Fællesindhold for
indberetning af sengepladser for offentlige sygehuse” og på eSundhed
findes dokumentet ”Dokumentation af data for belægning”. Data indberettes
til Sundhedsdatastyrelsen af regionerne. Sundhedsdatastyrelsen beregner
statistik på baggrund af indberetningen, som publiceres på den offentlige del
af eSundhed, efter at regionerne har valideret beregningerne. Alle elementer
i beregningen indberettes. Sundhedsdatastyrelsen foretager kun tilpasninger
i organisationsstrukturen for at opnå et sammenligneligt sygehusniveau.
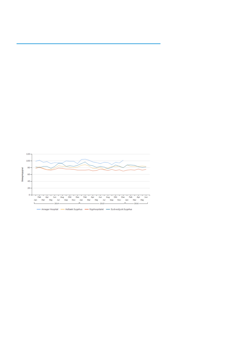
Et eksempel på eSundheds præsentation af data for belægning kan ses i
Figur 7, hvor belægningsgraden for udvalgte sygehuse vises for perioden fra
2014-2016.
Figur 7. Belægningsgrad for udvalgte sygehuse.
Kilde: eSundhed, november 2016.
Nogle af de nuværende problemstillinger med den nationale
belægningsstatistik:
1. Det er vanskeligt at tolke tallene grundet megen og/eller uforklarlig
variation.
2. Sundhedsdatastyrelsen bruger mange ressourcer på en
indberetning med svingende frekvens og formater, der skifter over
tid.
3. Det er tvivlsomt om statistikken besvarer de spørgsmål, som ønskes
besvaret gennem en national statistik.
23 | www.quintilesims.com
SUU, Alm.del - 2016-17 - Bilag 197: Orientering om belægningsrapport fra Rehfeld, fra sundhedsministeren
Ad 1. Som det ses i Figur 7, så er der tydelige niveauforskelle i resultaterne
for forskellige sygehuse. Det kan have flere begrundelser. Enten at der er
sygehuse, som permanent har højere aktivitetsniveau, at sygehusene
anvender disponible og normerede senge forskelligt, eller at sygehusene har
forskellige muligheder for at tilpasse kapaciteten grundet fysiske
begrænsninger.
Ad 2. Sundhedsdatastyrelsen bruger unødvendige ressourcer på manglende
indberetninger og indberetning i forskellige formater, som skifter over tid.
Dette vanskeliggør en periodisk opdatering af data på eSundhed.
Ad 3. Anvendelsen af begreberne begrænser mulighederne for at tolke
tallene ensartet.
Disse problemstillinger blev der spurgt ind til under interviewrunden, og
resultaterne ses i det kommende afsnit.
5.1
Interview - resultater
Alle regioner blev besøgt med henblik på at afdække forhold omkring
baggrund, indsamling og anvendelse af belægningstal.
Det er oplevelsen, at alle regioner arbejder målrettet med kapacitetsstyring,
herunder hvordan belægningsopgørelser kan blive mere synlige i
dagligdagen. Region Hovedstaden og Region Sjælland er midt i
implementeringen af Sundhedsplatformen, som forventes på sigt at kunne
håndtere funktionerne fra de nuværende kliniske logistik systemer.
Region Midtjylland og Region Syddanmark er i gang med at implementere et
fælles klinisk logistik system på alle kliniske afdelinger. I Region Nordjylland
er nogle sygehuse i gang med at implementere et klinisk logistik system, og
der findes en regional beslutning om, at alle sygehuse i regionen skal
implementere dette. Fælles for al implementering af klinisk logistik i de
forskellige sygehuse er, at det giver afdelingerne adgang til realtids data om
belægning og flow og denne dataunderstøttelse gør de næste skridt i
arbejdet på sygehusene lettere.
Opsummering af interview er angivet i Bilag 8.3.
Overordnet set følges retningslinjerne for indberetning af belægningstal
Fællesindholdet, så tallene er i princippet korrekte. Der er nogle enkelte
afvigelser til dette, som gennemgås i det følgende afsnit.
24 | www.quintilesims.com
SUU, Alm.del - 2016-17 - Bilag 197: Orientering om belægningsrapport fra Rehfeld, fra sundhedsministeren
Derudover er de vigtigste resultater:
1. Tallene valideres af regionerne. Regionerne kan genkende deres
egne tal.
2. Der er en umiddelbar forståelse af hvad normerede og disponible
senge er.
Ad 1. Alle regioner giver udtryk for, at de kan genkende tallene, som de
modtager efter Sundhedsdatastyrelsens beregninger, og at de deltager aktivt
i valideringen af tallene.
Ad 2. Under interviewet blev der spurgte direkte ind til de forskellige
elementer i opgørelsen af patienter og senge. Kun i få tilfælde blev der
fundet afvigelser fra retningslinjerne.
Rehfeld havde på forhånd en formodning om, at der kan opstå en
uhensigtsmæssighed, når man skal opgøre patienter på opholdsniveau, men
dette viste sig ikke at være tilfældet. Alle regioner giver udtryk for, at de
udtrækker korrekt på opholdsniveau.
Fortolkningsmæssigt er alle interviewede enige om, at der er tale om
overbelægning, når belægningsgraden er over 100 pct. Det er umiddelbart
en vigtig del af fortolkningen af belægningsstatistikken. Det betyder dog ikke,
at en eventuel overbelægning kan fortolkes ens relateret til patientoplevet
kvalitet, patientsikkerhed eller patienter på gangene – blot at der er tale om
overbelægning.
I Tabel 3 nedenfor ses første del af opsummeringen af resultaterne fra
interview i de fem regioner. Tabellen viser information relateret til selve
indberetningen af tal til den nationale belægningsstatistik fordelt på de fem
regioner.
25 | www.quintilesims.com
SUU, Alm.del - 2016-17 - Bilag 197: Orientering om belægningsrapport fra Rehfeld, fra sundhedsministeren
1724406_0027.png
Tabel 3. Indberetning af tal til Sundhedsdatastyrelsen.
Region
Hovedstaden
forespørgsel
Region
Sjælland
Indberetter
månedligt
Region
Syddanmark
forespørgsel
Region
Midtjylland
Region
Nordjylland
Indberetter
månedligt
!
!
Indberetter
månedligt
SAS
SEI
CSV
Excel
Excel
Kilde: Bilag 8.3.
Note: I det omfang der er givet dispensation til andre formater, kan Excel og SAS
selvfølgelig anvendes. Ressourcemæssigt er det dog mere hensigtsmæssigt at
arbejde med færre formater.
Som det ses heraf indberetter tre af regionerne månedligt, mens to regioner
indberetter på forespørgsel. Dette har betydning for både anvendelse af
Sundhedsdatastyrelsens ressourcer og har indtil videre også haft betydning
for en manglende fast periodevis publicering af belægningstal på eSundhed.
Det er Rehfelds vurdering, at de regioner, som indberetter mindre periodisk,
ville kunne indberette månedligt.
I Tabel 3 kan man endvidere se, at indberetningsformatet fra regionerne er
varierende. Det er værd at bemærke, at skiftende formater øger muligheden
for fejl samt at Sundhedsdatastyrelsens ressourcer, som anvendes til at
håndtere skiftende formater mellem indberetningerne, ville kunne anvendes
mere hensigtsmæssigt, hvis formaterne blev ensartede.
Det er Rehfelds anbefaling, at minimere antallet af formater. Rehfeld
foreslår, at der vedtages ét format udover SEI, og at dette format er en
semikolon-separeret fil, se Afsnit 5.3.
I Tabel 4 nedenfor ses resultater fra interview omkring forståelsen og
anvendelsen af begreberne fra den nationale belægningsstatistik. Region
Syddanmark anvender ikke direkte normerede og disponible senge i deres
styring af sygehusene, og derfor har regionen ikke disse tal svarende til de
øvrige regioner. Regionen indberetter tal for normerede senge, som sættes
lig med de disponible senge. Den praktiske konsekvens er, at Region
Syddanmarks belægningsgrad alt andet lige vil være lavere sammenlignet
med de øvrige regioner og sygehuse, hvor der anvendes et disponibelt
sengebegreb.
26 | www.quintilesims.com
SUU, Alm.del - 2016-17 - Bilag 197: Orientering om belægningsrapport fra Rehfeld, fra sundhedsministeren
1724406_0028.png
I forbindelse med nærværende analyse er Region Syddanmark blevet
opmærksom på, at der var forskel på håndtering af orlovspatienter og har
besluttet fremadrettet også at indberette antal indlagte eksklusiv
orlovspatienter, så det svarer til Fællesindholdet.
Tabel 4. Regionernes data.
Region
Hovedstaden
Eksklusiv
orlovspatienter
Faktisk
daglige
normerede
senge
Faktisk daglige
disponible
senge
Indberetter
dagens
senge
Region
Sjælland
Eksklusiv
orlovspatienter
Faktisk
daglige
normerede
senge
Faktisk
daglige
disponible
senge
Indberetter
dagens
senge
Region
Syddanmark
Eksklusiv
orlovspatienter
Faktisk
daglige
normerede
senge
Faktisk daglige
normerede
senge**
Region
Midtjylland
Region
Nordjylland
Eksklusiv
orlovspatienter
Faktisk
daglige
normerede
senge
Faktisk daglige
disponible
senge
!
Eksklusiv
orlovspatienter
Faktisk
daglige
normerede
senge
!
Faktisk daglige
disponible
senge
Indberetter
dagens
senge
Indberetter
dagens senge
Tilretter 5/7
døgns senge
!
Kilde: Bilag 8.3.
Note: Region Syddanmark har i forbindelse med rapportens tilblivelse valgt at ændre
indberetningen, således at de fremadrettet indberetter eksklusiv orlovspatienter. Se
endvidere forklaring i bilag 8.4.
** Region Syddanmark opererer som udgangspunkt ikke med disponible senge. I
praksis er disponible senge sat lig med de normerede senge.
Region Nordjylland har valgt at tilrette data omkring 5/7 døgns senge, idet
den nuværende statistik ikke håndterer den omstændighed, at når en seng
lukker dagen efter, så er patienten gået hjem kl. 23, men sengen er åben,
hvis man kun ser på et dagstal. Indberetningen til den nationale statistik sker
på dagsniveau. Som eksempel er de fleste 5 døgns senge åbne mandag til
fredag. Fredag aften kl. 23 vil patienten være gået hjem, men da det stadig
er fredag, så er sengen teknisk set åben. Region Nordjylland tilretter data,
således at sengen ikke teknisk set fremstår som åben.
Rehfeld vurderer fremgangsmåden som værende korrekt i forhold til
statistikken, idet det ikke er intentionen, at senge skal fremstå som åbne, når
de ikke kan benyttes. Det er således også Rehfelds anbefaling, at de øvrige
regioner tilretter på samme måde, se Afsnit 5.3.
27 | www.quintilesims.com
SUU, Alm.del - 2016-17 - Bilag 197: Orientering om belægningsrapport fra Rehfeld, fra sundhedsministeren
1724406_0029.png
5.2
Fortolkningsudfordringer
Ud over de ovenstående faktorer, som vedrører regionernes behandling og
indberetning af sygehusenes data omkring belægning, så tydeliggjorde
interviewene, at selvom alle sygehuse følger Fællesindholdet som
udgangspunkt i deres definitioner af belægningsdata, så er der meget
forskellige udmøntninger af de rammer, som Fællesindholdet sætter for
definitioner af indlagte og senge.
I dette afsnit gennemgås de forskelle der er mellem sygehusene, når det
gældes deres lokale udmøntning af rammerne sat op af den nationale
statistik, og som har konsekvens for belægningsopgørelserne. Bilag 8.4 viser
en detaljeret gennemgang af de væsentligste begreber og hvordan disse
håndteres lokalt på sygehusene.
Der er tre væsentlige forskelle, som har afgørende betydning for, hvorfor det
er vanskeligt at sammenligne niveauet for belægningsgraden mellem
sygehuse og mellem regioner:
Disponible senge – forskel i hvordan sygehusene anvender
disponible senge
Forventning til belægningsgrad på et sengeafsnit – forskel i den
forventede belægningsgrad
Fælles akutmodtagelse – forskel i registrering af, hvornår en patient
er indlagt
Disponible senge – forskel i hvordan sygehuse anvender disponible
senge
Der er afgørende forskel i den måde, man anvender disponible senge. På
nogle sygehuse anvendes begrebet disponible senge ikke. Det betyder, at
det disponible sengeantal er lig med det normerede sengeantal. På andre
sygehuse korrigeres de disponible senge for en række faktorer – fx 5
døgnsenge, ved ombygninger, ved ferielukninger, ved længerevarende
sygdom eller vakancer eller hvis isolationspatienter eller terminale patienter
optager en hel sengestue.
Boks 4 nedenfor viser et fiktivt eksempel på, hvordan forskellige
håndteringer af begrebet disponible senge kan medføre forskelle i antallet af
disponible senge, og dermed få betydning for niveauet for
belægningsgraden.
28 | www.quintilesims.com
SUU, Alm.del - 2016-17 - Bilag 197: Orientering om belægningsrapport fra Rehfeld, fra sundhedsministeren
1724406_0030.png
Boks 4. Eksempel på forskellige håndteringer af disponible senge og konsekvenser.
Figur 8 viser et fiktivt sengeafsnit med 28 normerede senge angivet for en måned. Der er tale om
et sengeafsnit med følgende situation:
Der er 6 5-døgnssenge, der er lukkede lørdage og søndage.
Der er ferielukket med 8 senge i den fjerde uge af måneden ifm. fx Påske.
Der har været vakante stillinger i en længere periode, og derfor er der lukket 4 senge i de
første 14 dage af måneden, indtil stillingerne er besatte pr. den 15. i måneden, hvor
sengene åbnes igen.
De 4 kurver i figuren angiver, hvordan 4 forskellige sygehuse ville opgøre de disponible senge i
forhold til den praktiske håndtering af ovenstående situation.
Sygehus 1 vælger ikke at korrigere for noget, hvorfor disponible senge er lig med
normerede senge og vises i den røde kurve.
Sygehus 2 vælger at korrigere for 5 døgnsenge, således at de disponible senge følger
den grå kurve.
Sygehus 3 vælger at korrigere for både 5-døgnssenge og ferielukningen, således at de disponible
senge følger den gule kurve.
Sygehus 4 vælger at korrigere for både 5-døgnssenge, ferielukning og for vakante stillinger,
hvorved det disponible sengeantal følger den blå kurve.
Figur 8. Eksempel på variation i håndtering af disponible senge.
Ovenstående eksempel betyder, at det gennemsnitlige antal disponible senge i eksemplet varierer
fra 28 for Sygehus 1 til 22,6 for Sygehus 4. Det medfører, at den gennemsnitlige belægningsgrad
varierer fra 78 pct. for Sygehus 1 til 96 pct. for Sygehus 4, til trods for at der er det samme antal
indlagte i alle 4 tilfælde*.
Tabel 5. Gennemsnitligt antal disponible senge og gennemsnitlig belægningsgrad.
Gennemsnitlig
Gennemsnitlig
disponible senge
belægningsgrad
Sygehus 1
28,0
78 %
Sygehus 2
26,5
82 %
Sygehus 3
24,4
89 %
Sygehus 4
22,6
96 %
* Eksemplet er ikke udtryk for, at vi forventer forskelle i belægningsgrader mellem sygehusene på
dette niveau relateret til forskellige i håndtering af disponible senge, men er alene lavet for at
anskueliggøre virkningen af at anvende begreberne forskelligt.
Sygehus
29 | www.quintilesims.com
SUU, Alm.del - 2016-17 - Bilag 197: Orientering om belægningsrapport fra Rehfeld, fra sundhedsministeren
1724406_0031.png
Denne analyse har ikke undersøgt nærmere, hvor store udsving der er i
praksis mellem sygehusene som følge af den forskellige håndtering af
disponible senge. Det vurderes, at den største effekt på forskelle i
belægningsgrader formentlig skyldes korrektion for 5-døgssenge, korrektion
for sygdom/vakancer samt korrektion for isolationspatienter og terminale
patienter. Forskelle, som følge af ferielukninger, er primært relateret til juli
måned (eventuelt august) samt Jul og Påske. Forskelle, som følge af
ombygninger, har måske mindre betydning, idet de ikke sker ofte.
Forventning til belægningsgrad på et sengeafsnit – forskel i den
forventede belægningsgrad
En afgørende faktor for at forstå forskelle i niveauet for belægningsgrad
mellem sygehuse er det niveau, som de enkelte sygehuse forventer den
gennemsnitlige belægningsgrad ligger på.
Figur 9. Fiktivt eksempel på forskellige niveauer for forventet
gennemsnitlig belægningsgrad og de daglige belægningsgrader.
Undervejs i interviewrunden blev vi præsenteret for en række forskellige
måder at fastlægge den forventede belægningsgrad. På nogle sygehuse er
det forventningen, at den gennemsnitlige belægningsgrad vil ligge på 85 pct.
På andre sygehuse er det forventningen, at den gennemsnitlige
belægningsgrad er på 100 pct. Imellem disse to yderpunkter ligger alle
resterende sygehuse – uden dog at niveauet nødvendigvis er eksplicit
fastlagt.
30 | www.quintilesims.com
SUU, Alm.del - 2016-17 - Bilag 197: Orientering om belægningsrapport fra Rehfeld, fra sundhedsministeren
1724406_0032.png
Figur 9 viser et fiktivt eksempel på belægningsgraden for et sengeafsnit,
hvor den gennemsnitlige belægningsgrad ligger på 100 pct. samt et
eksempel for et andet sengeafsnit, hvor den gennemsnitlige belægningsrad
ligger på 85 pct.
Det betyder helt konkret, at belægningsgrader kan variere med 10 - 15
procentpoint mellem sygehuse i en situation, hvor belægningen alene
rammer det forventede niveau, og dermed at aktiviteten – må det forventes –
modsvarer de ressourcer, der er stillet til rådighed til at håndtere det
forventede antal patienter.
Det betyder således også, at det ikke er muligt at vurdere om en
belægningsgrad på 100 pct. på et sygehus er en mere travl situation end en
belægningsgrad på 90 pct. på et andet sygehus. Det afhænger primært af,
hvad forventningen og dermed også, hvad der blev forventet i forhold til
ressourcetildelingen. Se Boks 5 for en uddybning heraf.
Boks 5. Forskelle i den forventede gennemsnitlige belægningsgrad og konsekvens for
patientbehandling og patientsikkerhed.
Som det fremgår af Bilag 8.4, så er der stor forskel på forventningen til den
gennemsnitlige belægningsgrad. Samtidig er der mellem hospitaler og
regioner ikke nogen entydig metode til at fastsætte personalenormeringen på
et sengeafsnit.
Det har som konsekvens, at den faktiske belægningsgrad ikke kan sige noget
entydigt om, hvorvidt det ene sengeafsnit er bedre stillet i forhold til
ressourcer og/eller bedre styret. En vurdering heraf forudsætter lokal viden
om bl.a., hvordan sengeafsnittet er bemandet, og hvad forventningen til
belægningsgraden har været.
I forhold til at kunne sige noget om patientbehandlingen og patientsikkerhed
er der herudover spørgsmålet om personalets kompetence, vakante stillinger
og ikke mindst patienternes behandlings- og plejebehov. Forhold som ikke
kan opfanges i et belægningsbegreb og som i øvrigt er vanskelige at opgøre.
Det er ligeledes vanskeligt at sige noget om konsekvensen ved
overbelægning, hvis ikke der er overblik over omfanget af bufferkapacitet.
Sygehuse, der har buffersenge – ud over de normerede senge – vil ved
overbelægning alt andet lige være bedre stillet end et sygehus uden
bufferkapacitet. Buffersenge er det antal sengepladser, udover de normerede
sengepladser som er til rådighed på et sengeafsnit. Omfanget og
anvendelsen af buffersenge varierer mellem afsnittene/sygehusene.
31 | www.quintilesims.com
SUU, Alm.del - 2016-17 - Bilag 197: Orientering om belægningsrapport fra Rehfeld, fra sundhedsministeren
1724406_0033.png
Et tredje eksempel på, hvordan forskelle i registrering har betydning for
belægningsgraden vedrører fælles akutmodtagelser. Det handler om,
hvorvidt patienterne registreres som indlagte eller som akut ambulante. Hvis
patienterne registreres som indlagte, så vil de indgå i det samlede antal
indlagte og dermed – alt andet lige – øge belægningsgraden. Hvis
patienterne omvendt registreres som akut ambulante, så vil de ikke indgå i
det samlede antal indlagte og dermed – alt andet lige – reducere
belægningsgraden.
Som det fremgår af oversigten i Bilag 8.4, er der stor forskel på, hvordan
patienter registreres i de fælles akutmodtagelser. Hertil kommer en tilknyttet
udfordring i, hvordan senge opgøres i en akutmodtagelse. Dette emne er
ikke belyst, da det ikke var en del af analysen, men det kom tydeligt frem i
interviewene, at dette håndteres meget forskelligt mellem sygehusene.
Opsamling på fortolkningsudfordringer
Generelt for alle tre ovenstående eksempler er, at metodevalget er principielt
underordnet for den lokale styring på sygehuset, så længe der lokalt er
enighed om, hvordan man tolker begreber og tal. Imidlertid får det afgørende
betydning for sammenligninger på tværs af sygehuse og på tværs af
regioner.
Rehfeld identificerer to mulige løsninger i relation til den nationale
belægningsopgørelse:
1. Man kan vælge at præcisere og ensrette begreberne samt – ikke
mindst – anvendelsen af begreberne. Det vil for belægningsdata
betyde, at alle sygehuse skal anvende begreberne på præcis
samme måde. Med andre ord, må alle sygehuse fx håndtere
disponible senge ved at korrigere på en ensartet måde. Derudover
må alle sygehuse beslutte sig for den samme gennemsnitlige
langsigtede belægningsgrad for de samme typer af sengeafsnit,
således at data kan vurderes ens. Dette vurderes at være
vanskeligt også i lyset af, at det forudsætter, at hele konceptet om
buffersenge skal håndteres ensartet, ligesom det også rejser en
diskussion om, hvorvidt ressourcer også forudsættes tildelt på en
ensartet måde mellem afdelingerne.
32 | www.quintilesims.com
Fælles akutmodtagelse
indlagt
forskel i registrering af, hvornår er patienten
SUU, Alm.del - 2016-17 - Bilag 197: Orientering om belægningsrapport fra Rehfeld, fra sundhedsministeren
1724406_0034.png
2. Man kan vælge at fastholde de nuværende - ikke præcise -
begreber og acceptere at anvendelsen er forskellig fra sygehus til
sygehus. Det har som konsekvens, at niveauet for belægningsdata
ikke kan sammenlignes mellem henholdsvis sygehusene og
regionerne. Alternativt kan der fra nationalt hold fokuseres på
udvikling og på processer for at reducere udsving og
overbelægning.
5.3
Anbefalinger – kort sigt
Rehfeld vurderer, at der på baggrund af de fundne problemstillinger og
regionernes/sygehusenes svar i forbindelse med interview er nogle
anbefalinger, som kan sættes i værk på kort sigt. Disse anbefalinger vil
hjælpe på mulighederne for sammenligning, men der gøres opmærksom på
at fortolkningsmulighederne stadig er påvirket af de faktorer, som allerede er
nævnt.
Boks 6. Anbefalinger på kort sigt.
Sundhedsdatastyrelsen bør sørge for, at opdateringen på eSundhed
følger indberetningen bedre(månedsvist/kvartalsvist).
Sundhedsdatastyrelsen bør indskærpe, at det korrekte antal senge
kl. 23 før en lukkedag lig med nul.
Sundhedsdatastyrelsen bør forestå, at der findes et fælles format til
indberetning.
Sundhedsdatastyrelsen bør indskærpe regionerne, at
Fællesindholdet bør følges med hensyn til orlovspatienter.
Regionerne/sygehusene kan med fordel benytte andre
sengebegreber, hvor man justerer i kapaciteten, hvis de ikke
benytter normerede eller disponible senge lokalt.
Sundhedsdatastyrelsen bør ændre datapræsentationen, således at
den fokuserer på udvikling over tid i forhold til om de enkelte
sygehuse lykkes med at reducere omfanget af overbelægning.
I det følgende gennemgås de enkelte anbefalinger enkeltvist.
33 | www.quintilesims.com
SUU, Alm.del - 2016-17 - Bilag 197: Orientering om belægningsrapport fra Rehfeld, fra sundhedsministeren
Sundhedsdatastyrelsen bør sørge for, at opdateringen på eSundhed følger
indberetningen bedre(månedsvist/kvartalsvist).
Regioner, som fast indberetter til Sundhedsdatastyrelsen månedligt, må
vente på at få resultater af indberetningen. Dette giver meget lidt incitament
til at indberette fast. Det er derfor Rehfelds anbefaling, at opdateringen af
belægningstallene følger indberetningen med en månedsvis publicering på
eSundhed.
Sundhedsdatastyrelsen bør indskærpe, at det korrekte antal senge kl. 23 før
en lukkedag lig med nul.
En seng, der er lukket dagen efter, er også lukket kl. 23 dagen før. Patienten
er gået hjem. Det skaber slør i statistikken, hvis dette læses som ledig
kapacitet. Rehfeld anbefaler, at regionerne tilpasser antallet af senge, hvor
det er nødvendigt. Dette kan eventuelt gøres ved at lave en algoritme, som
finder afsnit, hvor den følgende dag er nul.
Sundhedsdatastyrelsen bør forestå, at der findes et fælles format til
indberetning.
Rehfeld anbefaler, at der vedtages et fælles format udover SEI, således at
de nuværende formatproblemer i fx Excel undgås. Dette kan gøres ved at
Sundhedsdatastyrelsen beskriver ét fælles format – fx semikolon separeret
tekstfil.
Sundhedsdatastyrelsen bør indskærpe regionerne, at Fællesindholdet bør
følges med hensyn til orlovspatienter.
Rehfeld anbefaler, at Fællesindholdet følges med hensyn til indberetning af
orlovspatienter. Generelt bør uenighed i hensigtsmæssigheden i
opgørelsesmetoden diskuteres i regi af Danske Regioner og
Sundhedsdatastyrelsen. Region Syddanmark har i forbindelse med
godkendelsen af interviewresultaterne valgt fremadrettet at ændre
opgørelsesmetoden, således at antal patienter udtrækkes eksklusiv
orlovspatienter.
Regionerne/sygehusene kan med fordel benytte andre sengebegreber, hvor
man justerer i kapaciteten, hvis de ikke benytter normerede eller disponible
senge lokalt.
Ovenstående anbefalinger på kort sigt vil betyde, at belægningsstatistikken
vil indeholde:
Mere tidstro data
Mere sammenlignelige data
Mindre uforklarlig variation
34 | www.quintilesims.com
SUU, Alm.del - 2016-17 - Bilag 197: Orientering om belægningsrapport fra Rehfeld, fra sundhedsministeren
1724406_0036.png
Det kan imidlertid ikke løse den omstændighed, at der er niveauforskelle, og
at der er mange forskellige fortolkninger af, hvad overbelægning betyder for
patienten.
Det anbefales endvidere at anvende de eksisterende belægningstal til mere
konsekvent at se på udviklingen i belægningsgraden. I takt med at mange
sygehuse arbejder med flow på sygehuset, vil det give mening at udvikle en
statistik, som tager udgangspunkt i forbedringsmodellen, fx med statistisk
proces kontrol (SPC).
5.4
Anbefalinger – på længere sigt
På længere sigt vil Rehfeld anbefale, at der arbejdes med at definere det
eller de spørgsmål, som man fra centralt hold ønsker besvaret ved en
national statistik. Belægningsgraden er en relativ upræcis statistik i forhold til
at kunne tolke patientsikkerhed og patientoplevet kvalitet.
Boks 7. Anbefalinger på langt sigt.
Sundhedsministeriet bør fremadrettet afklare hvilket spørgsmål den
nationale statistik skal kunne besvare.
Sundhedsdatastyrelsen bør undersøge mulighederne for, at den
nationale statistik fremadrettet kan indhentes gennem
Landspatientregistret, hvor sygehusene allerede indberetter.
I det følgende gennemgås de enkelte anbefalinger enkeltvist.
Definér det eller de spørgsmål som den nationale statistik skal besvare
Det er vigtigt at definere og klargøre den problemstilling man ønsker at
håndtere ved hjælp af data vedr. belægningen. Hvis man fx ønsker at vide,
om der er patienter, der overnatter på gangen på et sygehus, så er den
nuværende belægningsgrad et meget upræcist svar på dette spørgsmål.
Mulighederne for at indhente en ændret national statistik omkring
kapacitet/belægning bør drøftes med regionerne og sygehusene.
Undersøg mulighederne for at den nationale statistik kan indhentes gennem
LPR, hvor sygehusene allerede indberetter
Rehfeld anbefaler, at det overvejes, om der kan ske en indberetning gennem
Landspatientregisteret (LPR), da dette vil sikre højere kvalitet, frekvens og i
øvrigt spare regioner og sygehuse for manuel indberetning.
35 | www.quintilesims.com
SUU, Alm.del - 2016-17 - Bilag 197: Orientering om belægningsrapport fra Rehfeld, fra sundhedsministeren
Rehfeld finder endvidere at spørgsmålet omkring patienter, som overnatter
på gangene, er et relativt mere præcist spørgsmål, som ovenikøbet
indberetningsmæssigt har to fordele:
Det ville kunne lade sig gøre at komme hurtigt i gang med at
indhente oplysningerne, hvis dette gøres manuelt. Region Sjælland
har allerede erfaringer med at indhente disse oplysninger manuelt
via kapacitetskonferencerne. En manuel indhentning vil således
betyde, at relativt mange mennesker på sygehusene skal
organiseres omkring det, så det er bestemt ikke uden anvendelse af
ressourcer.
Der er tale om registreringer, som umiddelbart ville kunne være en
del af indberetningen til LPR, som dermed vil forenkle processen for
indsamling af data.
Spørgsmålet om patienter på gangen gennemgås i kapitel 6 umiddelbart
herefter.
Hvis det ønskes at bevare den nuværende statistik, anbefaler Rehfeld, at der
arbejdes på at gøre alle begreber mere operationaliserbare end de er i dag.
Sammenlignelige fælles akutmodtagelser kan man kun opnå, hvis
der fastlægges regler for, hvordan patienter skal registreres. Det
vurderes, at der i dag registreres meget forskelligt mellem regioner
og sygehuse. Der kan være et økonomisk incitament til at
indlægge patienterne, idet DRG-taksten for indlagte patienter alt
andet lige vil være højere end for ambulante patienter. Modsat er
der lang færre arbejdsgange ved akutambulante patienter, hvilket
for andre sygehuse vejer tungere.
Sammenlignelige kliniske afdelinger kan man kun opnå, hvis man
opstiller regler for hvad der kan registreres som normerede og
disponible senge, og i øvrigt hvordan disse skal registreres lokalt.
Det skal således defineres hvilke forhold, der kan betyde
tilretninger i antallet af disponible senge. I dette tilfælde skal man
dog være opmærksom på at flere sygehuse ikke benytter senge i
styringsøjemed.
36 | www.quintilesims.com
SUU, Alm.del - 2016-17 - Bilag 197: Orientering om belægningsrapport fra Rehfeld, fra sundhedsministeren
1724406_0038.png
6 Patienter på gangen
Det har været et ønske at kortlægningen af belægningsopgørelser også
indeholdt en gennemgang af, hvordan sygehusene håndterer og overvåger
patienter på gangen. I det følgende gennemgås de erfaringer, som
sygehusene har gjort sig, og der gives en vurdering af muligheden for en
national overvågning af omfanget af patienter på gangen.
6.1
Erfaringer
Patienter på gangene er et problem, hvis de opholder sig på gangene om
natten. Alle sygehuse i interviewrunden er enige om, at patienter på gangene
i dagtimerne og/eller ”i transit” ikke skal adresseres som et
patientsikkerhedsproblem på samme måde som patienter, der overnatter på
gangen. Det gælder fx i forbindelse med modtagelse af patienter, hvis
patienterne venter på transport og/eller undersøgelser, eller hvis patienterne
venter på at udskrevne patienter tager hjem ol.
Derimod er der generel enighed om, at patienter der overnatter på gangene
om natten – eller mere præcist i et rum, der ikke er indrettet til sengestue
med ilt, sug og kald – udgør en risiko for patientsikkerheden.
Konkrete erfaringer med opgørelse af patienter på gangen
Få af de sygehuse og regioner, vi besøgte, følger systematisk op på
omfanget af patienter på gangene. Det var oplevelsen, at der generelt er
meget stor forskel på omfanget af patienter på gangene mellem regioner og
sygehuse.
Nogle regioner og sygehuse oplever ikke, at der er patienter på gangene,
fordi de arbejder systematisk med flow og belægning, og/eller fordi der er
tilstrækkelig med bufferkapacitet til at håndtere eventuelle ubalancer, uden at
skulle have patienter på gangen.
De sygehuse og regioner, der pt. ikke følger systematisk op på omfanget af
patienter på gangene siger samstemmende, at de pt. ikke oplever politisk
bevågenhed på omfanget.
Region Sjælland har som den eneste region en aftale om løbende
indberetning fra sygehusene af omfanget af patienter på gangene, se Boks
8.
37 | www.quintilesims.com
SUU, Alm.del - 2016-17 - Bilag 197: Orientering om belægningsrapport fra Rehfeld, fra sundhedsministeren
1724406_0039.png
Ud over erfaringerne fra Region Sjælland, har Regionshospital Nordjylland,
nærmere betegnet Sygehus Thy-Mors også arbejdet med at indsamle
informationer om antallet af patienter, der overnatter på gangene.
Boks 8. Region Sjællands erfaringer med at indsamle data om patienter på gangene.
Siden 2015 er det i Region Sjællands driftsaftaler med sygehusene aftalt, at
der følges op på ”overnattende patienter på gangene på alle afdelinger, som
har døgnåbne senge”, dog eksklusiv akutmodtagelserne.
I praksis skal sygehusene indberette patienter, der ligger på en gang eller et
rum, som ikke er indrettet til sengestue kl. 23 og som fortsat ligger samme
sted næste morgen.
Sygehusene sender en gang om måneden oplysningerne til regionen, som
udarbejder et notat til Regionsrådet med oplysninger om niveau og udvikling i
omfanget af patienter, der overnatter på gangen.
På de to sygehuse vi besøgte i Region Sjælland blev oplysningerne fra
starten af indsamlet via de daglige kapacitetskonferencer. Imidlertid har
Holbæk Sygehus udviklet en automatisering til deres kliniske logistiksystem,
Imatis, der sikrer en automatisk indsamling af oplysningerne om overnattende
patienter på gangene.
Belægningsgrad over 100 pct. er ikke ensbetydende med patienter på
gangen
Alle sygehuse, der deltog i interviewrunden, siger samstemmende, at en
belægningsgrad over 100 ikke kan sige noget entydigt om, hvorvidt der har
været patienter på gangene.
Dette udsagn understøttes af gennemgangen af interviewet omkring
begreber og metode, jf. Bilag 8.4. For det første gælder det, at på
hovedparten af sygehusene er der flere fysiske sengepladser (med ilt, sug
og kald) end der er normerede senge. For det andet bliver belægningsgrad
udregnet på baggrund af disponible senge, som i mange tilfælde vil være
lavere end det normerede sengetal.
Derfor vil der i hovedparten af tilfældene være fysisk bufferkapacitet til at
håndtere de situationer, hvor der er flere patienter indlagt, end der er
disponible senge.
38 | www.quintilesims.com
SUU, Alm.del - 2016-17 - Bilag 197: Orientering om belægningsrapport fra Rehfeld, fra sundhedsministeren
Omvendt er der sygehuse, med sengeafdelinger og -afsnit, hvor en
belægningsgrad over 100 vil være ensbetydende med patienter på gangene.
Det forudsætter 1) at der ikke er buffersenge og 2) at de disponible senge er
lig med de normerede senge.
Det er Rehfelds vurdering, at problemstillingen med manglende
bufferkapacitet primært kan henføres til:
Konsekvenserne af hospitalsplanændringer, hvor den faktiske konsekvens af
flytning af optageområde og/eller flytning af specialer viser sig at være
markant anderledes end forudsat i planlægningen.
Konsekvenserne af at de fysiske rammer – i bogstavelig fortand – står i
vejen for den nødvendige fleksibilitet. Det kan være ældre byggeri, der ikke
giver mulighed for fleksibilitet i kapacitetsudnyttelsen mellem sengeafsnit,
eller det kan være nybyggeri, hvor dimensionering (endnu) ikke passer med
demografi og behov.
”Vi har ikke patienter på gangen”
Nogle sygehuse oplever, at diskussionen om senge på gangen ender med at
fokusere på det forkerte. Sygehusene oplever, at de arbejder målrettet med
flow og kapacitetsstyring, hvorfor patienter på gangene ikke er relevant at
overvåge, da det ikke finder sted.
Sygehusenes argument er for det første, at de har tilstrækkeligt fokus på
flow og kapacitet, således at overbelægning kun finder sted i sjældne
tilfælde. For det andet prioriterer sygehusene at omfordele patienterne
mellem sengeafsnit i tilfælde af overbelægning, således at hændelsen med
en patient på en gang om natten ikke opstår.
På regionalt niveau er det ligeledes vurderingen, at der er andre udfordringer
for sundhedsvæsnet, som har større konsekvens for kvaliteten i
behandlingen, som bør prioriteres højere end en monitorering af patienter på
gangen.
Registrering og opsamling af data om patienter på gangene
Generelt er sygehusene mere positive over for en registrering af patienter på
gangen end regionerne er. Det skyldes formentlig, at sygehusene oplever en
værdi i at kunne inkludere informationen på kapacitetsmøderne, samt at det
kan sikre lokal bevågenhed på at undgå patienter på gangen.
39 | www.quintilesims.com
SUU, Alm.del - 2016-17 - Bilag 197: Orientering om belægningsrapport fra Rehfeld, fra sundhedsministeren
Data om patienter på gangen vil umiddelbart skulle indberettes manuelt. Det
vil derfor være tungt og tidskrævende med en landsdækkende monitorering.
Holbæk Sygehus har imidlertid udviklet en automatisering til deres kliniske
logistiksystem, Imatis, der sikrer en automatisk indsamling af oplysningerne
om overnattende patienter på gangen.
Fremadrettet vil Region Hovedstaden og Region Sjælland med
Sundhedsplatformen samt Region Syddanmark, Region Midtjylland og
Region Nordjylland med deres klinisk logistik løsninger automatisk kunne
opsamle informationer om patienter på gangen. Det forudsætter imidlertid:
1. at systemerne konfigureres til systematisk at håndtere en
”gangplads”, og
2. at data kan gemmes og trækkes ud af systemet.
6.2
Håndtering af og udfordringer ved en eventuel national
indberetning af patienter på gangen
Hvis det ønskes at monitorere og følge omfanget af patienter på gangen
med henblik på at reducere problemet, så anbefales det, at der spørges
konkret hertil.
Der skal bl.a. aftales en meget præcis definition af en ”patient på gangen”,
fx:
Patienter, der opholder sig på gangen kl. 23, og fortsat opholder sig
på gangene kl. 6 den efterfølgende morgen.
Patienter på gangen er patienter, der opholder sig på gangarealer,
skyllerum, opholdsrum, spisestuer mv. (altså på opholdssteder, der
ikke er indrettet til og anvendes til sengeplads).
Alle sygehuse adspurgt i analysen har igangsat kapacitetsmøder, og det er
flere steder en integreret del af kapacitetsmødet, at der spørges til patienter,
som har overnattet på gangen. Kapacitetsmøder afholdes imidlertid de fleste
steder umiddelbart kun på hverdage. Der skal derfor findes en håndtering i
weekender og på helligdage også.
40 | www.quintilesims.com
SUU, Alm.del - 2016-17 - Bilag 197: Orientering om belægningsrapport fra Rehfeld, fra sundhedsministeren
Der er en række problemstillinger ved at indsamle data over patienter, der
overnatter på gangen:
Alle sygehuse har udtrykt bekymring om den øgede
registreringsbyrde, der fører med forslaget.
”Man får hvad man måler”. Der er en risiko for, at patienter placeres
andre steder, som er mindst lige så uhensigtsmæssige ift.
patientsikkerhed – jf. patientsikkerhedstrekanten i Figur 6.
Mange sygehuse oplever, at der fx placeres 3 senge på en 2-sengs
stue, hvilket patientsikkerhedsmæssigt, hygiejnemæssigt og
patientoplevelsesmæssigt kan være lige så uhensigtsmæssigt som
at ligge på gangen.
Fokus på patienter på gangene skaber en negativ dialog og fjerner
fokus fra at skabe løsninger, herunder særligt ift. mediedækning.
Nogle af problemstillingerne kan imidlertid håndteres ved følgende indsatser:
Præsentation af data for patienter på gangen skal fokusere på
forbedringsarbejde og udvikling, fx som SPC (statistisk proces
kontrol).
Opfølgning på patienter på gangen skal også inkludere særlig
bevågenhed på de sygehuse, der lykkes. Hvorfor lykkes de? Og
hvordan kan man synliggøre og udbrede succesfulde løsninger?
Opfølgning skal suppleres med data, der fokuserer på løsninger og
patientflow.
41 | www.quintilesims.com
SUU, Alm.del - 2016-17 - Bilag 197: Orientering om belægningsrapport fra Rehfeld, fra sundhedsministeren
1724406_0043.png
Boks 9. Anbefalinger vedrørende patienter på gangen.
Det anbefales, at opgørelser af belægningsgrad ikke anvendes til en
vurdering af omfanget af patienter på gangen.
Såfremt det ønskes at monitorere og følge omfanget af patienter på gangene
om natten, så anbefales det, at Sundhedsdatastyrelsen spørger konkret hertil.
Det anbefales, at Sundhedsdatastyrelsen aftaler en meget præcis og entydig
definition med regionerne af ”patienter der overnatter på gangen om natten”.
For at undgå de uheldige incitamenter, som kan opstå af målstyring,
anbefales det, at en eventuel monitorering fra Sundhedsdatastyrelsen
fokuserer på 1) at finde løsninger på flow, 2) at monitorering understøtter
forbedringsarbejdet og 3) at der skabes viden og værktøjer, der kan hjælpe
lokalt.
Det anbefales at Sundhedsministeriet og Styrelsen for
Patientsikkerhed, som alternativ til en national monitorering,
undersøger mulighederne for at indberette patienter, der overnatter på
gangen, som en utilsigtet hændelse på lige fod med den række af
uhensigtsmæssige forhold, der kan være i patientbehandling og pleje i
øvrigt, jf. Dansk Patientsikkerhedsdatabase.
Det anbefales, at Sundhedsdatastyrelsen undersøger, hvorvidt
indberetningen af patienter, der overnatter på gangen om natten,
fremadrettet kan foretages via Landspatientregistret.
42 | www.quintilesims.com
SUU, Alm.del - 2016-17 - Bilag 197: Orientering om belægningsrapport fra Rehfeld, fra sundhedsministeren
1724406_0044.png
7 Sygehusenes arbejde med flow
I den politiske aftale om akutpakke mod overbelægning er det aftalt, at der
skal udvikles og udbredes lokale værktøjer, der kan styrke sygehusenes
overblik over belægningssituationen, og understøtte en bedre udnyttelse af
senge og personale
5
.
Rehfeld har på den baggrund undersøgt, hvilke redskaber sygehusene
anvender for at understøtte og forbedre patientflow, for derigennem at
forsøge at undgå konsekvenser af overbelægning og patienter på gangene.
I interviewene med de 10 sygehuse er der spurgt ind til deres erfaringer med
mål og indikatorer, som kan bidrage til at skabe overblik over og forbedre
flow på sygehuset.
I det følgende afsnit gennemgås sygehusenes erfaringer med
kapacitetskonferencer. I afsnit 7.2 gennemgås mulighederne for at
dataunderstøtte kapacitetsarbejdet, og endelig i afsnit 7.3 præsenteres
erfaringer med flowdata.
Gennemgangen med de 10 hospitaler har afdækket en række generelle
behov. Der mangler effektive løsninger til at sikre aktuelt overblik over
belægningssituationen døgnet rundt. Der er samtidig endnu ingen effektive
løsninger på dataopsamling til brug for analyser og erfaring med flowstyring.
Alt for mange hospitaler skal samle informationer fra 3-4 systemer for at
kunne stykke patientforløbene sammen.
Boks 10. Anbefaling vedrørende flow- og kapacitetsstyring.
Rehfeld anbefaler at regionerne og sygehusene systematisk arbejder
med metodeudvikling og erfaringsopsamling vedrørende flow og
kapacitetsstyring. F.eks. med de metoder, der er anvendt i Patient
Sikkert Sygehus, herunder læringsseminarer og læringsnetværk.
5
jf. side 2 i Aftale om Akutpakke mod Overbelægning.
43 | www.quintilesims.com
SUU, Alm.del - 2016-17 - Bilag 197: Orientering om belægningsrapport fra Rehfeld, fra sundhedsministeren
1724406_0045.png
7.1
Erfaring med kapacitetskonferencer
Alle sygehuse – både dem, der har været med i Sikkert Patientflow projektet
og dem, der ikke har været med i projektet – har igangsat tavlemøder og
kapacitetskonferencer. Se Boks 11 nedenfor for nærmere introduktion hertil.
I Bilag 8.6 findes et overblik over, hvordan de 10 sygehuse arbejder med
kapacitetskonferencer, herunder bl.a. om de har ansat flowkoordinatorer,
samt hvordan overbelægning håndteres.
Kapacitetskonferencen opleves som et særdeles nyttigt og effektivt
mødefora til at fremme en forståelse af, at man er et fælles sygehus, og at
patienterne er en fælles opgave. Et ”vi” frem for ”dem og os”. Mange
sygehuse fremhævede ligeledes effekten af relationel koordinering
6
. Med
andre ord forudsætter en løsning på kapacitetsproblemerne i høj grad også
at der arbejdes med kulturen på sygehusene. Forudsætningen for succes er
således også ledelsesopbakning, organisering og implementering.
Et effektivt set-up vedrørende kapacitetskonferencen er karakteriseret ved
at:
Alle afdelinger – også diagnostik og støttefunktioner – er
repræsenteret.
Der er klarhed over, hvad der kan drøftes på mødet, og hvad der
skal håndteres efterfølgende.
Der er klarhed over, hvordan man vælger at håndtere eventuel
overbelægning.
Tydeligt overblik over data (fx et regneark, der passer med
skærmen, så der ikke skal ”scrolles op og ned”).
Men succes forudsætter også:
At der er fokus på kapacitetsstyring hele døgnet rundt og ikke bare
på selve konferencen.
At der er helt entydig ledelsesopbakning.
At flowkoordinatorer opleves som en god investering på de
sygehuse, der har ansat koordinatorer.
6
”Relationel koordinering er (med afsæt i egen faglige funktion) at kommunikere og
handle med henblik på at integrere egen opgaveløsning ind i den store
opgaveløsning. Det handler altså om at se sine opgavers betydning i forhold til den
samlede ydelse til borgeren . (jf. Væksthus For Ledelse Få mere for mindre med
relationel koordinering af Bo Vestergaard).
44 | www.quintilesims.com
SUU, Alm.del - 2016-17 - Bilag 197: Orientering om belægningsrapport fra Rehfeld, fra sundhedsministeren
1724406_0046.png
Boks 11. Sikkert Patientflow, tavlemøder og kapacitetskonferencer.
Redskaberne i projekt Sikkert Patientflow baserer sig på metoden Real Time
Demand Capacity Management (RTDC). Den er udviklet af Institute for
Healthcare Improvement (IHI) i samarbejde med amerikanske hospitaler.
RTDC gør personalet i stand til at bruge den eksisterende viden om
indlæggelser og udskrivninger mere systematisk. Ved at udnytte den viden
forudsiger de sundhedsprofessionelle antallet af indlæggelser og
udskrivninger mere præcist. Med det resultat, at sygehuset udnytter sin
kapacitet optimalt. Det øger patientsikkerheden, reducerer antallet af patienter
på gangene og mindsker brugen af lånesenge. Samtidig gavner det
personalets arbejdsmiljø.
Tavlemøder
De centrale redskaber i RTDC er korte (10-15 minutter) daglige tavlemøder
på afdelingsniveau og kapacitetskonferencer på sygehusniveau, hvor
personalet koordinerer patientforløbene.
På tavlemøderne, som foregår om morgenen, får personalet et klart overblik
over, hvilke patienter, der skal hjem i løbet af dagen. Målet er at undgå
indlæggelser, der ikke var planlagt, og udskrivninger, som ikke bliver til noget.
Tavlemøderne giver desuden de sundhedsprofessionelle mulighed for at
diskutere den enkelte patients behov i forbindelse med udskrivningen.
Kapacitetskonferencer
Når afdelingerne har holdt tavlemøder, samles repræsentanter fra
afdelingerne og sygehusets ledelse til kapacitetskonference.
Her gennemgår hver afdeling typisk via et skema på en storskærm sin
kapacitet (forventede indlæggelser og udskrivninger), og på den måde får de
sundhedsprofessionelle og ledelsen et overblik over sygehusets samlede
kapacitet.
Kilde: Dansk Selskab for Patientsikkerhed, www.sikkertpatientflow.dk, Flowpakken.
Under besøgene til sygehuse og regioner har Rehfeld oplevet to
overordnede måder at håndtere kapacitetsubalancer på:
Nogle sygehuse vælger bevidst at omfordele patienter mellem
sengeafsnit og -afdelinger for at sikre en udjævning af eventuel
overbelægning.
45 | www.quintilesims.com
SUU, Alm.del - 2016-17 - Bilag 197: Orientering om belægningsrapport fra Rehfeld, fra sundhedsministeren
1724406_0047.png
Andre sygehuse vælger ikke at omfordele, men anvender i højere
grad kapacitetsmøderne til at skabe en fælles forståelse for, hvor
der er ubalancer. Alternativet til omfordeling af patienter er at
omfordele personalet og/eller tilføre ressourcer til de afdelinger, der
har overbelægning.
De to måder afspejler det overordnede dilemma, der er i håndtering af
overbelægning i relation til kapacitetskonferencer.
På den ene side et ønske om, at undgå overbelægning og behov for
udjævning af belastningen på tværs af sygehuset. På den anden side et
ønske om at fastholde patienterne på det fagligt rigtige sengeafsnit. Hertil
kommer eventuelt oplevelsen af, at ”byrden” flytter fra en afdeling til en
anden. Samt de dilemmaer der opstår, hvis der mellem sygehusets
afdelinger er forskellige opfattelser af, hvem der ”altid skal hjælpe og aldrig
selv får hjælp”.
Udgangspunktet for de fleste sygehuse er, at specialespecifikke patienter så
vidt muligt forbliver på de respektive specialeafsnit.
Rehfelds anbefalinger i forbindelse med kapacitetskonferencer fremgår af
Boks 12.
Boks 12. Anbefalinger vedrørende kapacitetskonferencer.
Det anbefales, at alle sygehuse implementerer erfaringerne fra Sikkert
Patientflow, herunder igangsætter tavlemøder og kapacitetsmøder mv.
Sygehusene skal i den forbindelse være særlig opmærksomme på
tilstrækkelig med ledelsesopbakning ift. organisering og
implementeringskraft for at opnå den nødvendige kulturforandring.
Det anbefales, at sygehusene fastlægger entydige retningslinjer for
processerne i flowarbejdet, herunder særligt, 1) hvordan man vælger
at håndtere situationer med overbelægning og 2) hvordan man sikrer
fokus på kapacitetsstyring hele døgnet rundt alle ugens 7 dage.
I Boks 13 er et eksempel fra Holland på kapacitetsstyring, hvor de prioriterer
at flytte personale rundt alt efter behov – og ikke flytte patienter.
46 | www.quintilesims.com
SUU, Alm.del - 2016-17 - Bilag 197: Orientering om belægningsrapport fra Rehfeld, fra sundhedsministeren
1724406_0048.png
Boks 13. Flytning af personale i forhold til flytning af patienter.
Udgangspunktet for kapacitetsstyring på mange sygehuse er, at flytte
patienterne hen, hvor der er plads.
Andre sygehuse vælger imidlertid at flytte personalet rundt for at sikre at
patienter forbliver på det fagligt rigtige sengeafsnit, givet patienternes
behandlingsbehov.
I Holland har de erfaringer med at have et helt team af sygeplejersker (en
flexpool), hvis opgave er at hjælpe, hvor behovet er størst, og som kan flyttes
rundt på hospitalet til de områder, hvor det vurderes at være mest nyttigt af
hensyn til kapacitet og patienternes behov. Løsningen er et alternativ til den
traditionelle løsning med vikarkorps, som kan rekvireres efter behov.
Den hollandske model omfatter uddannelse af sygeplejersker inden for
forskellige specialer, egentlig certificering af sygeplejerskerne og indretning af
afdelinger og bygninger, således at nye sygeplejersker lettere kan indgå i det
daglige arbejde.
7.2
Erfaringer med dataunderstøttelse af kapacitetskonferencer
Det er Rehfelds vurdering, at der særligt er to områder, hvor data om
belægning og flow har afgørende betydning for bedre kapacitetsstyring,
herunder i forhold til kapacitetskonferencerne. Det gælder:
1. Overblik over kapaciteten – behov for hurtigt og retvisende overblik
over kapaciteten.
2. Bedre præcision i forudsigelser om dagens udskrivninger – behov
for systematisk evaluering og læring af, hvor præcist man
forudsiger dagens udskrivninger.
47 | www.quintilesims.com
SUU, Alm.del - 2016-17 - Bilag 197: Orientering om belægningsrapport fra Rehfeld, fra sundhedsministeren
1724406_0049.png
Overblik over kapacitet
En væsentlig forudsætning for at kunne arbejde med kapacitet er at have et
troværdigt og tidstro overblik over antallet af patienter. Særligt, hvis der
arbejdes med at omfordele patienterne ved overbelægning.
Der er imidlertid meget stor forskel på, hvor godt overblik der er på
sygehusene. Tabel 7 viser forskellen mellem sygehusene for hvordan de
skaber overblik over belægningssituationen. Og i bilag 8.5 er der en
detaljeret gennemgang af dataløsning for hvert enkelt sygehus.
Tabellen viser i den ene ende sygehuse, som kun kan skaffe overblik på
kapacitetsmøderne en gang i døgnet, og som på øvrige tidspunkter må ringe
rundt for at skabe overblikket.
I den anden ende er der sygehuse, som har mulighed for at tilgå et online
belægningsoverblik i realtid. Det vil sige, at principielt alle medarbejdere på
ethvert tidspunkt af døgnet kan få et overblik over den aktuelle
belægningssituation.
Flere sygehuse anvender patientadministrative data (PAS) til at skabe
overblik i noget, der er tæt på realtid. Men der er en afgørende forskel på at
anvende data fra kliniske logistiksystemer og PAS data. Med mindre der er
en automatisk kobling mellem de to systemer, må informationer fra kliniske
logistiksystemer opfattes som mest troværdige. Det skyldes, at kliniske
logistik data anvendes i dagligdagen til hele tiden at sikre det bedst mulige
overblik over patienterne, hvorfor disse data også bliver opdateret løbende.
Hvorimod PAS systemerne ikke nødvendigvis bliver opdateret lige så hurtigt,
primært fordi det ikke har nogen praktisk konsekvens, hvis ikke opdateringen
finder sted med det samme.
48 | www.quintilesims.com
SUU, Alm.del - 2016-17 - Bilag 197: Orientering om belægningsrapport fra Rehfeld, fra sundhedsministeren
1724406_0050.png
Tabel 7. Hvordan skabes der overblik over den aktuelle belægningssituation på hele
sygehuset?
Hvilke systemer
understøtter overblik over
den aktuelle
belægningssituation på
hele sygehuset?
P.t. ingen
systemunderstøttelse til
sygehusoverblik
Online tilgængelig 1 gang i
timen – info fra PAS system*
Hvor findes overblik?
Hvilke sygehuse har hvilke
muligheder?
Overblik skabes på de
daglige
kapacitetskonferencer – på
hverdage
Tilgængeligt online
Odense Universitetshospital
Sygehus Lillebælt
Århus Universitetshospital
Regionshospital Nordjylland**
Bispebjerg Hospital
Nordsjællands Hospital
Næstved, Slagelse, Ringsted
Sygehus
Hospitalsenheden Horsens
Holbæk Sygehus
+
Aalborg Universitetshospital
++
Online tilgængeligt i realtid –
info fra kliniske logistik
systemer
Tilgængeligt online
* Forudsætter at PAS systemet er opdateret.
** I Regionshospital Nordjylland findes der også en automatisk mailudsendelse 3 gange om
dagen med info fra PAS systemet. Sygehuset har også mulighed for at trække en
belægningsopgørelse fra PAS systemet. Det forudsætter, at medarbejdere med adgang til
systemet trækker en rapport.
+ Belægningsoverblikket er pt kun tilgængeligt for direktionen på Holbæk Sygehus.
++ Belægningsoverblikket er tilgængeligt for medarbejdere, der direkte er involveret i arbejde
med flow og kapacitet i akutmodtagelse og sengeafsnit.
Kilde: Informationerne er indsamlet på interviewrunden til de 10 sygehuse. Se detaljeret
oversigt over de enkelte sygehuses løsninger i Bilag 8.5.
Hospitalsenheden Horsens har i mange år arbejdet målrettet for at forbedre
informationer og viden på tværs af sygehuset. Det har udmøntet sig i
udviklingen af klinisk logistik, der er implementeret på alle sengeafsnit på
hele sygehuset – se Boks 14.
Alle regioner arbejder pt. med løsninger, der fremadrettet sikrer, at alle
sygehuse i regionerne har adgang til belægningsoverblik i realtid med data
fra de kliniske logistiksystemer. Det fremgår af gennemgangen præsenteret i
Tabel 8.
49 | www.quintilesims.com
SUU, Alm.del - 2016-17 - Bilag 197: Orientering om belægningsrapport fra Rehfeld, fra sundhedsministeren
1724406_0051.png
Boks 14. Kort introduktion til formålet med klinisk logistik.
På Hospitalsenheden Horsens og i Region Midtjylland præsenteres formålet
med klinisk logistik med følgende sætning: ”Det lange og gennemsigtige
hospital - klar videndeling gennem hele forløbet”.
Klinisk logistik fokuserer på flow gennem sundhedssystemet. Det er et
system, der skaber overblik over patienter, personale og ressourcer på
sygehuset, samt giver mulighed for kommunikation og koordination mellem
sygehusets forskellige enheder.
Det er en IT-løsning, der giver realtidsopdateret her-og-nu overblik over
patienter, ressourcer, behandlingsplaner og opgaver. Systemet kan tilgås fra
interaktive tavler, pc, smartphones, tablets mv. og skaber dermed mulighed
for overblik uafhængigt af tid og sted.
Klinisk logistik forventes at understøtte forbedringer i kvalitet og effektivitet.
Systemet understøtter sikre overgange mellem afdelinger gennem
digital overflytning og advisering.
Det bidrager til at reducere indlæggelsestid ved større fokus på
udskrivelse og sengeudnyttelse.
Der forventes færre fejl ved digitalisering af patientflowet på tværs af
afdelinger.
Bedre ressourceudnyttelse gennem bedre overblik og transparens i
akutsygehuset.
Kilde: Hospitalsenheden Horsens og Region Midtjylland.
Region Hovedstaden og Region Sjælland er i gang med implementering af
Sundhedsplatformen. Med Sundhedsplatformen sker der bl.a. en integration
af klinisk logistik data og PAS data. Sundhedsplatformen vil på sigt kunne
sikre et realtidsoverblik over belægningssituationen, men det forudsætter, at
der sker et aktivt tilvalg, herunder udvikling af præsentationsformat i
Sundhedsplatformen, således at alle kan tilgå et belægningsoverblik i realtid.
Dette er formentlig tilgængeligt på alle hospitaler fra 2018.
50 | www.quintilesims.com
SUU, Alm.del - 2016-17 - Bilag 197: Orientering om belægningsrapport fra Rehfeld, fra sundhedsministeren
1724406_0052.png
Region Midtjylland og Region Syddanmark er i gang med at implementere
klinisk logistik i hele regionen, og Region Nordjylland har besluttet at
implementere klinisk logistik. Dette vil sikre en belægningsoverblik i realtid,
analogt til det overblik, der i dag er tilgængeligt på Hospitalsenheden
Horsens. Arbejdet med implementering er i fuld gang og forventes
færdiggjort i løbet af de næste par år. Der er imidlertid endnu ikke en tidsplan
for, hvornår informationer fra klinisk logistik kan overføres automatisk til PAS
systemet, således at dobbeltregistrering undgås.
Tabel 8. Udvikling af løsninger, der sikrer belægningsoverblik i realtid.
Hvad
Region
Hovedstaden
Region
Sjælland
Region
Syddanmark
Datakobling
Hyppighed
Hvornår træder
systemet i kraft?
Region
Midtjylland
Sundhedsplatfor
Er i gang med at
m indeholder
implementere
funktioner fra
Sundhedsplat-
både klinisk
formen
logistik og PAS
system.
Klinisk logistik er
Kun delvis
fuldt implementeret datakobling
på tre af regionens mellem PAS-
sygehuse og delvist system og klinisk
implementeret på
logistik
de sidste to
sygehuse.
Systemet udbygges
løbende.
Er i gang med at
Forventes
implementere
fremadrettet at
klinisk logistik i alle koble
kliniske afdelinger i informationer fra
regionen*
klinisk logistik
med PAS
systemet**
Har besluttet at
indføre klinisk
logistik i alle
kliniske afdelinger i
regionen.
Forventes
fremadrettet at
koble
informationer fra
klinisk logistik
med PAS
systemet**
Realtid
Formentlig fra
2018
Løbende
implementering.
Belægningsoverblik
er implementeret i
løbet af 2017.
Realtid
Realtid
Region
Nordjylland
Realtid
Løbende
implementering,
der forventes
tilendebragt i
regionen med
udflytning til det
nye
Universitetshospital
i Aarhus i 2019.
Implementering
starter i kliniske
afdelinger fra
foråret 2017 og
forventes
tilendebragt
2018/19
* Udrullet på alle akutafdelinger og hovedparten af alle afsnit med stationære
patienter. Ambulatorier og afsnit, der skal flyttes ud til det nye Universitetshospital i
Aarhus, udestår.
** Kobling af klinisk logistik og PAS system, således at dobbeltregistrering undgås,
er der ikke en fast tidsplan for.
Kilde: Informationerne er indsamlet på interviewrunden til de 5 regioner og 10
sygehuse.
51 | www.quintilesims.com
SUU, Alm.del - 2016-17 - Bilag 197: Orientering om belægningsrapport fra Rehfeld, fra sundhedsministeren
1724406_0053.png
Boks 15. Anbefalinger vedr. belægningsoverblik.
Indtil alle regioner har udviklet og implementeret belægningsoverblik i
realtid med udgangspunkt i kliniske logistikdata, så anbefales det, at alle
sygehuse på kort sigt implementerer en ”second-best” løsning. Det kan
være et timeoverblik med PAS data, fx som løsningen i Region
Hovedstaden, eller en opsamling af klinisk logistik data, fx som løsningen
på Holbæk Sygehus.
Det anbefales, at sygehusene gør overblikket over den aktuelle
belægningssituationen tilgængeligt for alle medarbejdere.
Bedre præcision i forudsigelser vedr. afdelingernes udskrivninger
Det centrale omdrejningspunkt for kapacitetsmødet er opgørelsen af den
aktuelle belægningssituation og de planlagte/forventede indlæggelser, samt
planlagte/forventede udskrivninger for hver afdeling/afsnit.
Med disse oplysninger kan den forventede belægning/overbelægning
kortlægges, og der kan på baggrund heraf tages beslutning om eventuel
omfordeling af patienter.
Oplysningerne om forventede indlæggelser og udskrivninger har dermed
afgørende betydning for vurderingen af, hvordan en høj belægning kan eller
skal håndteres. En fejlvurdering af omfanget af udskrivninger kan således
betyde, at man igangsætter flytning af patienter til en anden sengeafdeling i
en situation, hvor det viser sig, at flytningen ikke var nødvendig – eller
omvendt. Ud over risikoen for at skabe unødig ”støj” i organisationen, er der
en risiko for, at troværdigheden i forhold til værdien af kapacitetsmødet
reduceres.
På en del af de besøgte sygehuse bliver data til kapacitetskonferencerne
indsamlet manuelt i regneark, og der er ikke umiddelbart nogen automatisk
dataopsamling eller nogen automatisk opfølgning i forhold til fx de faktisk
realiserede udskrivninger.
Der kan med fordel udvikles løsninger, som opsamler information om fx
forventede ind- og udskrivninger, og kobler disse informationer med de
faktisk realiserede ind- og udskrivninger. Og herigennem få data til at
understøtte en evaluering og en udvikling i retning af mere præcise
forudsigelser.
52 | www.quintilesims.com
SUU, Alm.del - 2016-17 - Bilag 197: Orientering om belægningsrapport fra Rehfeld, fra sundhedsministeren
1724406_0054.png
Mange sygehuse har ansat flowkoordinatorer eller bedmanagers, som –
henover dagen eller døgnet – har ansvaret for at sikre den mest
hensigtsmæssige fordeling af patienterne og undgå uhensigtsmæssige
kapacitetsubalancer.
Hvorvidt flowkoordinatorer kan erstatte behovet for bedre dataunderstøtte er
uklart. På den ene side reducerer tilstedeværelsen af flowkoordinatoren
behovet for at tage eksplicit stilling til eventuelle flytninger af patienter
baseret på morgenens kapacitetskonference. Netop fordi flowkoordinatoren
kan følge udviklingen i løbet af dagen og tage beslutning såfremt behovet
faktisk opstår.
På den anden side vil mere præcise forudsigelser kunne bidrage til at
understøtte flowkoordinatorens rolle og hjælpe med at prioritere indsatsen.
7.3
Erfaringer med anvendelse af flowdata
I projekt Sikkert Patientflow har man afdækket tre typer af problemer
relateret til manglende flow, og som kan have konsekvenser for
patientsikkerhed og kvalitet i behandlingen:
Overbelægning og/eller patienter på gangene i stamafdelingerne
Brug af lånesenge
Ventetid og overbelægning i akutmodtagelsen
Jf. Afsnit 3.2.2 ovenfor.
Budskabet fra projekt Sikkert Patientflow er, at der skal arbejdes med alle tre
problemstillinger på samme tid. Idet fx håndtering af overbelægning i
stamafdelingen ikke nødvendigvis løser det samlede problem med
manglende flow.
Herudover er det også projektets anbefaling, at man skal have fokus på de
uheldige virkninger af manglende flow. Det gælder bl.a. genindlæggelser.
Endelig er der en række fokusområder, der kan bidrage til at skærpe flow.
Det gælder bl.a. stillingtagen til udskrivninger og tid til behandlingsplan
8
.
Kilde: ”Sikkert Patientflow – Erfaringer fra et forbedringsprojekt”, Dansk Selskab for
Patientsikkerhed.
8
53 | www.quintilesims.com
SUU, Alm.del - 2016-17 - Bilag 197: Orientering om belægningsrapport fra Rehfeld, fra sundhedsministeren
1724406_0055.png
På interviewrunden blev sygehusene spurgte ind til erfaringer med
anvendelse af data relateret til patientflow med særlig fokus på, hvad der
virker, og hvor der mangler viden og værktøjer. Resultaterne gennemgås
nedenfor. For så vidt angår overbelægning og patienter på gangene er disse
mål beskrevet i hhv. kapitel 5 og 6.
Andel af patienter hvor der ved indlæggelsen er taget stilling til
udskrivningsdato samt forudsigelighedsprocent - antal forudsatte
udskrivninger i pct. af samtlige udskrivninger
”Alle patienter, der indlægges på et sygehus, skal udskrives igen”. Det er et
banalt udsagn, men spørgsmålet er, om processen for at sikre en god
udskrivning på det rigtige tidspunkt, er tilstrækkeligt i fokus. Særligt i lyset af
at omfanget af udskrivninger er stort, da der udskrives op til 25-35 procent af
de indlagte hver dag.
Manglende systematik og manglende fokus på udskrivninger kan hurtigt
bidrage til at reducere frihedsgraderne på sygehuset, fordi senge er fyldt op
med patienter, der ikke er udskrevet, men hvor udskrivning potentielt kunne
være håndteret
9
.
Flere sygehuse har erfaring med at fastsætte udskrivningstidspunkt.
Erfaringerne er primært relateret til enkelte afdelinger eller afsnit, men er ikke
systematisk anvendt på sygehusniveau. Blandt andet Hospitalsenheden
Horsens har arbejdet med forudsigelser på enkelte afdelinger.
Oplevelsen er generelt, at en fastsættelse af udskrivningstidspunktet sikrer
helt nødvendigt fokus på patientens forløb, og på at håndtere de opgaver,
der ligger til grund for at kunne udskrive en patient.
Udfordringen med systematisk arbejde med udskrivningstidspunkt er, at de
kliniske logistiksystemer ikke er gearet til indberetning og til at trække
data/statistik ud.
Blandt de sygehuse, der har erfaring med målet vurderer alle, at det er et
nyttigt mål, der kan fastholde fokus på udskrivningen, men at der var brug for
IT understøttelse.
9
Vel at mærke ud over de patienter, der er færdigbehandlet, men som venter på at
kunne komme hjem/til en plads i kommunen.
54 | www.quintilesims.com
SUU, Alm.del - 2016-17 - Bilag 197: Orientering om belægningsrapport fra Rehfeld, fra sundhedsministeren
1724406_0056.png
Boks 16. Anbefalinger vedrørende stillingtagen til udskrivningsdato.
Det anbefales, at regionerne og sygehusene sikrer den nødvendige
systemunderstøttelse til dataopsamling og dataudtræk, således at
arbejdet med at forudsige udskrivninger kan forbedres og udvikles på
baggrund af data.
Det anbefales, at sygehusene arbejder målrettet med at fremme
arbejdsgange og processer, der sikrer rettidig udskrivning (fx
patientforløbsbeskrivelser, udskrivningspakker osv.).
Gennemsnitlig indlæggelsestid
De fleste sygehuse anvender gennemsnitlig indlæggelsestid som en
kontrolindikator til fx at sikre, at en stigning i belægningsgraden ikke kan
henføres til længere liggetid, samt i forhold til en vurdering af den
langsigtede udvikling.
Der var imidlertid ikke nogle sygehuse, som havde erfaring med målet
relateret til den daglige kapacitetsstyring af stamafdelingerne.
I forhold til indlagte på akutmodtagelserne og akutafdelingerne er der
imidlertid fokus på indlæggelsestid i relation til, hvor længe patienter bør eller
kan opholde sig i akutmodtagelsen, inden de bør overflyttes til en
stamafdeling eller udskrives.
Tid til der ligger en behandlingsplan
Flere sygehuse har erfaring med et mål for tidspunkt til der ligger den
behandlingsplan. Formålet er, at den indlagte patient hurtigt bliver tilset af en
seniorlæge, der sammen med det øvrige personale kan tage beslutning om
den videre plan for patienten. Herunder særligt, at der hurtigt igangsættes
den nødvendige diagnosticering, og at patienten overflyttes til det rigtige
specialeafsnit for den videre behandling og pleje. Typisk er målet fastsat til,
at der 4 timer efter indlæggelsen skal foreligge en behandlingsplan.
55 | www.quintilesims.com
SUU, Alm.del - 2016-17 - Bilag 197: Orientering om belægningsrapport fra Rehfeld, fra sundhedsministeren
1724406_0057.png
Udover at hurtig igangsætning af behandlingen ofte har stor betydning for
behandlingens kvalitet, samt kan reducere risici i behandlingen, så er det
også intentionen med målet, at reducere den ikke-sundhedsfagligt
begrundede ventetid samt sikre, at patienten oplever en hurtig og kompetent
beslutningsgang.
Opfølgning på om behandlingsplan igangsættes inden for tidsfristen
monitoreres primært ved audits på de sygehuse, som følger op på målet. Det
gør blandt andre Bispebjerg og Frederiksberg Hospitaler samt Holbæk
Sygehus.
Der er flere udfordringer med at arbejde med en målsætning om
behandlingsplan:
Der er ikke nødvendigvis en fælles forståelse eller fælles beskrivelse
af, hvad en behandlingsplan er. På nogle sygehuse er det
tilstrækkeligt at patienten er set af en speciallæge, for andre
sygehuse er der klare retningslinjer for behandlingsplan.
De kliniske logistiksystemer giver ikke nødvendigvis mulighed for at
registrere målet. Herunder de generelle problemer med at opsamle
data fra de kliniske logistiksystemer til statistikbrug.
Boks 18. Anbefalinger vedrørende behandlingsplan.
Det anbefales at alle regioner og sygehuse arbejder med
behandlingsplaner, herunder fastlægger frister for, hvornår der skal
foreligge en behandlingsplan for indlagte patienter.
Det anbefales, at alle regioner og sygehuse udvikler de kliniske
logistiksystemer, således at opfølgning på fx behandlingsplan kan
monitoreres. Herunder særligt at data kan samles op og trækkes ud til
statistikbrug o.l.
56 | www.quintilesims.com
SUU, Alm.del - 2016-17 - Bilag 197: Orientering om belægningsrapport fra Rehfeld, fra sundhedsministeren
1724406_0058.png
Ventetid på overflytning til stamafdeling
Ventetid er relevant på stort set alle sygehuse – om end det ikke
nødvendigvis behøver at være ventetid på overflytning til stamafdeling – men
i lige så høj grad kan handle om ventetid på:
at blive set af en seniorlæge
at få blodprøvesvar
at få taget billeddiagnostiske prøver
at få gået tilsyn
at få gået stuegang
osv.
Der er blandede oplevelser af værdien af målet
ventetid på overflytning til
stamafdeling
. Enkelte sygehuse oplevede ikke, at der er problemer med
ventetid, idet stamafdelingerne altid er parate til at tage imod patienterne.
Andre mente, at målet var mindre relevant i forhold til mål som
ventetid til
diagnostik/blodprøvesvar/scanning
.
Endvidere har flere sygehuse ikke mulighed for at trække data fra klinisk
logistik tavler i akutmodtagelsen, således at de kan vurdere såvel
datakvalitet som monitorering af ventetider.
Enkelte sygehuse har mulighed for at trække data og har prioriteret at følge
målet. Fx måler Regionshospital Nordjylland dagligt kl. 14, hvor mange der
venter i akutmodtagelsen på at blive flyttet til en stamafdeling.
Generelt er det oplevelsen, at samkøring af data fra akutmodtagelserne, fra
PAS systemer, fra laboratoriesystemer og fra billeddiagnostiske systemer er
en meget vanskelig opgave. Til trods for at der er megen nyttig viden i at
kunne samle op på data for patientforløbet, så er det ikke tilstrækkelig IT-
understøttelse. Der er altid muligheden for journalaudits, men det er
vanskeligt at opnå et dækkende billede af udfordringerne alene baseret på
audits.
57 | www.quintilesims.com
SUU, Alm.del - 2016-17 - Bilag 197: Orientering om belægningsrapport fra Rehfeld, fra sundhedsministeren
1724406_0059.png
Boks 19. Anbefalinger vedrørende ventetider.
Det anbefales at regioner og sygehuse udvikler redskaber til at
samkøre data fra de forskellige kildesystemer til brug for bedre
statistik og analysemuligheder, med det formål at få bedre overblik
over hvilke typer af ventetid, der har konsekvenser for hvilke typer af
patientforløb, herunder læring og erfaringsopsamling.
Antal/andel af patienter i lånesenge
Alle sygehusene oplever, at de af og til er nødt til at placere en patient på et
andet sengeafsnit end på det sengeafsnit, som patienten umiddelbart
tilhører. Ifølge Dansk Selskab for Patientsikkerhed, så udgør det at ligge i en
låneseng en patientsikkerhedsmæssig risiko, man skal være opmærksom
på.
Denne problemstilling skal imidlertid opvejes imod alternativet, som ofte kan
være, at patienten skulle have ligget i en seng på gangen og/eller i et
sengeafsnit med overbelægning
10
.
Opgørelsen af patienter i lånesenge er imidlertid ikke mulig for en række
sygehuse, idet det her er besluttet, at såfremt en patient flyttes fra en
stamafdeling til en anden stamafdeling, så flytter det lægelige ansvar til den
modtagne stamafdeling
11
. Det betyder, at patienter i lånesenge
registreringsmæssigt ikke findes, men der vil med stor sandsynlighed stadig
være patienter, der ligger på et andet sengeafsnit end på det specialeafsnit,
som patienten umiddelbart tilhører.
Der er principielt ingen forskel mellem på den ene side sygehuse, hvor det
lægelige ansvar flytter til den nye afdeling og på den anden side sygehuse,
hvor det lægelige ansvar forbliver på den oprindelige afdeling. Begge steder
forudsætter en flytning af en patient, og at en speciallæge fra både den
afgivne og den modtagne afdeling godkender flytningen
12
.
10
Herudover vanskeliggøres dette af en sundhedsfaglig diskussion der vedrører,
hvorvidt det er muligt entydigt at fastlægge specialetilhør for alle patienter.
11
Det gælder for alle sygehuse i Region Hovedstaden og således Nordsjællands
Hospital og Bispebjerg og Frederiksberg Hospital, som vi besøgte.
12
Vi har ikke mulighed for at vurdere, hvorvidt omfanget af patienter der flytter
afdeling, er på det samme niveau på sygehuse, hvor behandlingsansvar forbliver på
stamafdeling (hvor der registreres lånesenge) sammenlignet med sygehuse, hvor
behandlingsansvaret flytter med patienten (hvor der ikke registreres lånesenge).
58 | www.quintilesims.com
SUU, Alm.del - 2016-17 - Bilag 197: Orientering om belægningsrapport fra Rehfeld, fra sundhedsministeren
1724406_0060.png
Det har dog konsekvens, at det ikke er muligt at overvåge antallet af
patienter i lånesenge på de sygehuse, hvor behandlingsansvaret flyttes med
patienten.
De sygehuse, der kan monitorere antallet af patienter i lånesenge følger
omfanget, herunder både på kapacitetsmøderne og med statistiske
opgørelser.
Generelt er sygehuse, der prioriterer omflytning af patienter for at undgå
overbelægning mindre bekymrede for patienter i lånesenge end sygehuse,
hvor der ikke i lige så høj grad fokuseres på omflytning af patienter.
Genindlæggelser
Alle sygehuse arbejder med monitorering af genindlæggelser på den ene
eller anden måde. Alle sygehuse var imidlertid enige om, at den nationale
definition var vanskelig at arbejde med, primært af to årsager: 1) fordi
genindlæggelser varierer meget mellem specialer, og 2) fordi den nationale
definition ikke sondrer tilstrækkeligt præcist mellem forebyggelige og ikke-
forebyggelige genindlæggelser. Der er en række lokale forhold, der gør sig
gældende, og som vanskeliggør anvendelsen på baggrund af de generelle
definitioner.
Generelt vurderer sygehusene, at det er nyttigt at analysere helt specifikke
patientgrupper via fx særudtræk fra PAS systemerne for at forstå
årsagssammenhænge, og derigennem skabe viden og læring mhp.
forbedringsarbejde, for herigennem at undgå genindlæggelser fremadrettet.
Forudsigelse af inflow på sygehuset
Et emne, som vi ikke eksplicit havde beskrevet i spørgeguiden, men som
flere sygehuse selv tog op, er forudsigelse af inflow på sygehuset.
Antallet af akutte patienter, der modtages på sygehuset hver dag, har af
gode grunde stor betydning for, hvorvidt der bliver travlt, og hvorvidt der vil
blive overbelægning eller ej. Bedre forudsigelse af inflow kan således hjælpe
til en bedre planlægning af fremmøde og ressourcer, og kan dermed på
samme tid sikre både en mere hensigtsmæssig diagnosticering, behandling
og pleje samt en mere optimal ressourceudnyttelse.
59 | www.quintilesims.com
SUU, Alm.del - 2016-17 - Bilag 197: Orientering om belægningsrapport fra Rehfeld, fra sundhedsministeren
1724406_0061.png
Inflow består principielt af en række forudsigelige elementer (systematisk
variation) samt af nogle tilfældige udsving. Forudsigelige elementer i en
akutafdeling kan fx være:
Der kommer flere patienter i hverdage end i weekenden.
Der er mange patienter mandag, fordi de praktiserende læger åbner
efter weekenden.
Hverdage efter helligdage har større inflow end andre hverdage.
Der er flere skadepatienter om foråret/sommeren, og (måske) flere
ældre medicinske patienter indlagte om vinteren.
Epidemier, vejr o.l. kan også bidrage til forudsigelighed.
Søgning på google på ord som ”influenza” kan også bidrage til at
forudsige patientflow.
Givet værdien i at forudsige inflow bedre, og med mere og mere tilgængelig
information samt erfaringer med Big Data, vil det være oplagt, at der
arbejdes med at forstå og forudsige inflow på sygehuse bedre.
Det bør blandt andet overvejes om fælles visitation mellem sygehuse kan
bidrage til at udjævne variationen i indlæggelser og derigennem sikre et
mere jævnt inflow på sygehusene.
I Boks 20 nedenfor kan der læses om erfaringer fra Aalborg
Universitetshospital/Region Nordjylland ifm. igangsættelse af indledende
drøftelser internt og med eksterne leverandører, med henblik på at
undersøge mulighederne for et konkret projekt om at forudsige patientflow.
Boks 20. Erfaringer fra Aalborg Universitetshospital.
Aalborg Universitetshospital har igangsat indledende drøftelser om at udnytte
Big Data teknologier til at give troværdige prognoser af patientflowet,
herunder prognoser for omfang af inflow af akutpatienter, fordeling af
akutpatienter, indlæggelsestider for patienter mv.
Ligeledes er formålet at synliggøre patientflow-problemer på tværs af
sygehusets afdelinger og servicefunktioner, og herigennem forbedre
kapacitetsudnyttelsen. Endvidere at forbedre kapacitetsudnyttelsen gennem
synliggørelse af patientflow-problemer på tværs af regionen og kommunerne
(aflastningspladser, hospice-pladser o.l.).
Projektet forudsætter en effektiv IT-understøttelse af den nødvendige
dataindsamling, databehandling og datapræsentation.
60 | www.quintilesims.com
SUU, Alm.del - 2016-17 - Bilag 197: Orientering om belægningsrapport fra Rehfeld, fra sundhedsministeren
1724406_0062.png
Generelt er det imidlertid meget få sygehuse, der har den nødvendige tid,
kompetencer og økonomi til at udvikle gode løsninger på dette område. Der
er endvidere store synergieffekter i at arbejde på tværs af sygehuse og
regioner for at opbygge den nødvendige viden og know-how.
Bedre forudsigelse af inflow kan hjælpe til en bedre planlægning af
fremmøde og ressourcer og dermed, på samme tid, sikre både en mere
hensigtsmæssig diagnosticering, behandling og pleje samt en mere optimal
ressourceudnyttelse.
Det anbefales, at sygehusene understøttes med viden og værktøjer på dette
område.
Boks 21. Anbefalinger vedrørende forudsigelse af inflow.
Det anbefales at Sundhedsministeriet og Danske Regioner
igangsætter et udviklingsarbejde sammen med udvalgte sygehuse,
som kan skabe viden og knowhow om inflow af patienter ind på
sygehusene samt flow gennem sygehusene.
Rehfeld har på en studietur til Holland oplevet forskellige tilgange til
kapacitetsstyring. Disse hollandske sygehuse har igennem længere tid
arbejdet med kapacitet – dog overvejende ud fra økonomiske årsager – og
har søgt at optimere på driften og udnyttelsen af ressourcerne gennem
tilpasning af organisation og ved kapacitetsstyring. De hollandske erfaringer
trækker dog i høj grad på de samme elementer som de danske.
Boks 22. Erfaringer fra Holland.
Rehfeld har arrangeret en studietur til tre hollandske sygehuse i efteråret
2016. De hollandske sygehuse er presset på økonomi og budget til at
foretage optimeringer af driften gennem strukturændringer, og er umiddelbart
længere end de danske sygehuse med systemunderstøttelse, oprettelse af
egentlige kapacitetsplanlægningsenheder og arbejdet med specialistkulturen
blandt læger og sygeplejersker.
Bl.a. ved besøgene på Bernhoven Ziekenhuis og St. Antonius Ziekenhuis var
der interessant input omkring at fastslå afdelingernes kapacitetsbehov, taktisk
kapacitetsplanlægning, forecast af inflow og det daglige arbejde med at
tilpasse belægning og ressourcer.
61 | www.quintilesims.com
SUU, Alm.del - 2016-17 - Bilag 197: Orientering om belægningsrapport fra Rehfeld, fra sundhedsministeren
Baseret på den nærværende analyse, kan Rehfeld konstatere at belægning
og flow er i fokus på sygehusene såvel som i regionerne. Der er stadig plads
til forbedring og nytænkning, når formålet med anvendelse af belægningen
og flow fastsættes.
62 | www.quintilesims.com
SUU, Alm.del - 2016-17 - Bilag 197: Orientering om belægningsrapport fra Rehfeld, fra sundhedsministeren
1724406_0064.png
8 Bilag
8.1
Spørgeguide
Baggrund:
Baggrunden for vores møde er to ting:
For det første er der fra Sundhedsministeriet et ønske om at vurdere den nuværende
centrale opgørelse af belægningen på sygehusene med henblik på at sikre, at
belægningstallene afspejler de faktiske forhold. Analysen skal afdække registreringspraksis
og beregningsmetoder, samt beskrive muligheder for at tilpasse og udvikle den eksisterende
løsning.
For det andet er der i ”Aftale om Akutpakke mod overbelægning” konkret aftalt, at der skal
udvikles og udbredes lokale værktøjer, der kan styrke sygehusenes overblik over
belægningssituationen, og understøtte en bedre udnyttelse af senge og personale, jf. side 2 i
Aftale om Akutpakke mod overbelægning.
Formål med mødet
På mødet ønsker vi at afdække to forhold:
1) Hvordan registreres, defineres og anvendes belægningsdata?
2) Hvilke redskaber anvender I i regionen/på sygehuset for at understøtte og forbedre
patientflow (og dermed forsøge at undgå konsekvenser af overbelægning/patienter på
gangene)?
Ad 1. Hvordan registreres, defineres og anvendes belægningsdata?
Vi vil gerne høre om, hvilke typer af belægningsopgørelser, som I anvender i regionen/på sygehuset.
Herunder særligt jeres vurdering af formål og værdi for organisationen. Vi har som før nævnt særlig
fokus på den opgørelse, som sendes til Sundhedsdatastyrelsen.
Vi ønsker også at opnå indblik i de tekniske aspekter af jeres belægningsopgørelser (definitioner,
hvor data kommer fra osv.). Derudover vil vi høre jeres vurdering af, hvad der er et acceptabelt
udsving i belægningsprocenten.
Og vi ønsker at afdække, om I opgør ”senge på gangen” og/eller, hvordan I i givet fald ville kunne
opgøre dette begreb.
Endelig vil vi meget gerne runde spørgsmålet relateret til variation i kompetenceniveauer og
patientsammensætning, som er mindst lige så afgørende for kvaliteten af behandling og pleje, som
belægningsprocenten er.
Vi tager udgangspunkt i følgende spørgsmål:
63 | www.quintilesims.com
SUU, Alm.del - 2016-17 - Bilag 197: Orientering om belægningsrapport fra Rehfeld, fra sundhedsministeren
1724406_0065.png
1.1
Hvilke opgørelser anvender I på regionsniveau og på hospitalsniveau?
Emner
Til hvilket formål anvendes opgørelserne? (fx planlægning, overvågning, styring, klinisk behov)
Hvordan vurderer I kvaliteten af opgørelsen ift. anvendelsen?
(”lav”, ”mellem” eller ”høj” kvalitet)
Hvad er værdien af opgørelsen for organisationen?
Hvordan anvendes opgørelsen i det daglige kliniske arbejde?
Hvad vurderes udgifter til udvikling, implementering og drift at have været?
(Udvikling: Er det under eller over 100.000 kr.?
Implementering: Har det kræver over/under 200 timer at ibrugtage?
Drift: Er de udgifter ud over timeforbrug?)
(Er der eventuelt særlige forhold, som gør sig gældende?).
Vil opgørelsen/metoden kunne overføres til andre hospitaler/regioner?
1.2
Hvordan er data til sundhedsdatastyrelsen defineret og hvordan er øvrige
belægningsopgørelser, der anvendes i region/på hospital, defineret?
Emner
Bemærkninger/spørgsmål/uddybning
Er definition på indlagt entydig? Er afgrænsning mellem skadepatienter,
indlagte patienter og ambulante patienter entydig i PAS systemet?
Hvad er indeholdt i tælleren -
antal indlagte
?
Definition fra
Sundhedsdatastyrelsen:
Antallet af indlagte patienter på
opholdsafdelingen opgøres dagligt
kl. 23.00.
Det bemærkes at indlagte
patienter på orlov ikke tælles med i
antal ydede sengedage. (orlov er
en periode under en
sygehusindlæggelse, hvor
patienten kan forlade sygehuset,
men hvor der ikke foretages en
udskrivning). Da orlovspatienter
ikke er fysisk tilstede på
afdelingen, indgår de ikke i
opgørelsen af belægningsgraden.
Hvad er indeholdt i nævneren -
normerede og disponible senge?
Definition fra
Sundhedsdatastyrelsen af
normeret seng:
Seng i et sengeafsnit til anvendelse
for indlagt patient. Antallet af
normerede sengepladser opgøres
Tæller orlovspatienter med i indlagte?
Tæller indlagte i akutmodtagelsen med?
Tæller patienter i patienthotellet med?
Tæller intensiv/intermediære patienter med?
Andre?
Er sengebegrebet "normerede senge" entydigt defineret på hospitalet/I
regionen:
Fx "Antal tilgængelige sengepladser med ilt og sug (og kald), hvor der er
budget til plejepersonale".
(problemstilling vedr. sengepladser der anvendes til kontor o.l.)
Er sengebegrebet "disponible senge" entydigt defineret på hospitalet /I
regionen:
Fx "Antal faktiske sengepladser med ilt og sug, hvor der også er budget til
plejepersonale og som ikke er midlertidigt lukket".
64 | www.quintilesims.com
SUU, Alm.del - 2016-17 - Bilag 197: Orientering om belægningsrapport fra Rehfeld, fra sundhedsministeren
1724406_0066.png
Emner
dagligt kl. 23.00.
I normeringen indgår personale til
overvågning og pleje.
Normerede sengepladser
inkluderer senge på akut
modtageafsnit, senge til intensiv
behandling, hotelsenge (til
indlagte patienter), kuvøser samt
senge på neonatalafsnit.
Vugger til nyfødte på fødeafsnit og
senge på opvågningsafsnit
medregnes ikke til de normerede
sengepladser.
Definition fra
Sundhedsdatastyrelsen af
disponibel seng:
En disponibel sengeplads er
defineret som en seng i et
sengeafsnit, som reelt er til
rådighed til anvendelse for
indlagte patienter kl. 23.00. (Der
kan være normerede senge som
ikke reelt er til rådighed i en given
periode på grund af ferielukning,
ombygning og lign. og disse skal
derfor ikke indgå i opgørelsen af
de disponible sengepladser.
(Teknisk: Alle kontakter med
manglende oplysninger om
disponible senge (blank værdi) får
variablen sat til normerede senge.)
Hvad er forventningen til niveau
for belægning i et afsnit/en
afdelings normerede/disponible
senge?
Bemærkninger/spørgsmål/uddybning
Er senge i akutmodtagelsen indregnet i antal senge?
Er patienthotelsenge indregnet i antal senge?
Er senge til intensiv / intermediære patienter indregnet?
Er der en entydig afgrænsning af begrebet ”senge” i forhold til andet
inventar, der anvendes i behandling og pleje: fx kuvøser, vugger, lejer,
flystole, tandlægestole mv.?
Hvornår er det nuværende normerede sengetal defineret? Og blev der
samtidig taget stilling til plejenormeringen?
Hvor ofte opdateres tallet for normerede senge?
Sker det årligt i forbindelse med budgetaftaler?
Bliver sengetallet justeret ved strukturelle ændringer
(hospitalsplansændringer, specialeplansændringer mv.)?
Hvor ofte opdateres tallet for disponible senge?
Sker det kvartalsvis eller månedligt således at ferie og midlertidige
nedlukninger kan håndteres?
Eller sker det ugentlig ift. at håndtere løbende ændringer?
Er der forskel på måden man opdaterer mellem afsnit/afdelinger?
Er antallet af tilgængelige sengepladser med ilt og sug og kald større end det
normerede antal senge? Med andre ord kan de fysiske rammer håndtere
variation i antal indlagte patienter, når antallet af patienter overstiger
antallet af normerede senge.
Stamafdeling og opholdsafdeling
Hvilket gennemsnitligt belægningsniveau er forventet/forudsat i
sengeafsnittene:
100% belægning
90% belægning
85% belægning
andet?
(Er der forskel mellem specialer?)
Benyttes stamafdeling (lægeligt ansvar) eller opholdsafdeling (hvis patienten
ligger i en seng i en andet afdeling end det lægelige ansvar)?
Hvordan opgøres patienter i lånesenge?
Hvor detaljeret på
afdelings/afsnits niveau kan
belægningsopgørelserne vises?
Benyttes SHAK eller SOR eller noget helt tredje?
Hvor detaljeret kan data vises på sygehus/afdelingsklassifikationsniveau?
65 | www.quintilesims.com
SUU, Alm.del - 2016-17 - Bilag 197: Orientering om belægningsrapport fra Rehfeld, fra sundhedsministeren
1724406_0067.png
Emner
Hvor kommer data fra?
Bemærkninger/spørgsmål/uddybning
Hvor er data registreret?
Regionale eller lokale PAS systemer.
Andre regionale eller lokale databaser.
Lokale regneark.
Håndholdte opgørelser.
Hvilken opgørelsesmetode anvendes til at definere sengedag?
- Antal sengedage fra indlæggelsestidspunkt til udskrivningstidspunkt. Dog
mindst en dag, hvis indlæggelse og udskrivelse er på samme dag.
- Antal patienter indlagt på et bestemt tidspunkt – fx kl. 8, 12, 16 eller 23.
Beregnes belægningsprocenten som:
"antal sengedage"/"antal senge" *100?
(Hvis nej, hvad er så regnemetoden?)
Tages der i beregningen højde for særlige patientgrupper som tæller med
større eller mindre vægt (fx isolationspatienter el.lign.)
Mulige opgørelser kan fx være:
Belægning i real tid eller pr time
Belægning pr dag (bestemt tidspunkt eller over døgnet)
Gennemsnitlig overbelægning pr uge
Gennemsnitlig overbelægning pr måned/år
Antal dage med overbelægning (og underbelægning) pr uge, pr måned
Andet?
Hvordan beregnes en sengedag.
Døgnbegreb eller bestemt
tidspunkt?
Beregning af belægningsprocenten
Hvordan vises
belægningsopgørelserne - pr time,
dag, uge, måned, år?
1.3
Hvordan leveres data for belægning til sundhedsdatastyrelsen?
Spørgsmål
Hvordan leveres data?
Uddybning og problematikker:
Excel eller SEI
Hvis Excel: Har I overvejet at anvende SEI?
Er der barrierer for anvendelsen af SEI?
Ugentligt/månedligt/kvartalsvis?
Med hvilken hyppighed indsendes data?
Vil indberetningen kunne forbedres fx ved hjælp af et
fordefineret excelark?
1.4
Spørgsmål til dilemma mellem at registrere løbende tilpasning af sengetallet i forhold til at
acceptere variation i belægningen.
Spørgsmål
Hvor dynamisk kan man gøre sengebegrebet
(kapacitetsbegrebet) i forhold til variation i antal
indlagte?
Uddybning og problematikker:
Er det meningsfuldt løbende at tilpasse
normerede/disponible sengetal for at kunne tilpasse til
antal indlagte?
Eller skal man hellere bruge et gennemsnitligt sengetal
og acceptere at belægningen vil variere i forhold til
dette sengetal?
Hvor stor variation kan man acceptere/forvente? +/-
5%, 10%, 15%?
1.5
Senge på gangen.
Spørgsmål
Opgør region/hospital senge på gangen?
Uddybning og problematikker:
66 | www.quintilesims.com
SUU, Alm.del - 2016-17 - Bilag 197: Orientering om belægningsrapport fra Rehfeld, fra sundhedsministeren
1724406_0068.png
Spørgsmål
Hvis ja:
Hvordan er begrebet defineret og hvordan er opgøres
det.
Vil det være muligt at indarbejde registrering af senge
på gangen i eksisterende PAS system?
Uddybning og problematikker:
Hvad er definitionen af ”en seng på en gang”?
Hvordan anvendes begrebet i organisationen?
Hvordan opgøres senge på gangen?
Er det muligt i jeres nuværende PAS system at
registrere lokale/senge på gangen?
Forudsætter en registrering, at PAS systemet skal
tilpasses? (pris?)
Hvad skal der til for at kunne registrere informationen
om senge på gangen det i nuværende eller i eventuelle
planlagte fremtidige PAS systemer?
1.6
Der er mange andre forhold, der har betydning for kvaliteten af behandlingen end
belægningsprocenten. Hvordan håndterer I på hospitalet / i regionen problematik omkring
kompetenceniveau og ”patienttyngde”?
Spørgsmål
Det er mindst lige så afgørende for kvaliteten i
behandling og pleje, at kompetenceniveauet er tilstede.
En lav belægningsprocent sikrer ikke nødvendigvis pr.
automatik en bedre pleje og behandling i forhold til en
høj belægningsprocent.
Det afhænger også af kompetenceniveau blandt
personalet (mange syge, mange vakante stillinger,
mange vikarer, mange nyuddannede) osv. Patienternes
situation og sammensætning har ligeledes stor
betydning for mulighederne for at sikre god kvalitet i
behandling og pleje.
Uddybning og problematikker:
Registrerer og måler I kompetenceniveau blandt
medarbejdere på afsnits/afdelingsniveau på linje med
belægning?
Registrerer og måler I ”patienttyngde” på
afsnits/afdelingsniveau?
Har disse forhold betydning for jeres anvendelse af
belægningsopgørelserne?
Ad 2.
Hvilke redskaber anvender I i regionen/på hospitalet for at understøtte og forbedre
patientflow (og dermed undgå konsekvenser af overbelægning/patienter på gangene)?
Der arbejdes mange steder målrettet med patientflow, herunder særligt i forbindelse med projektet
Sikkert Patientflow. Vi er interesseret i at vide mere om, hvordan I arbejder med patientflow og hvilke
erfaringer I har med dette arbejde.
Erfaringer fra projekt Sikkert Patientflow
I projekt Sikkert Patientflow har man afdækket tre typer af problemer relateret til manglende flow og
som kan have konsekvenser for patientsikkerhed og kvalitet i behandlingen:
1) Overbelægning og/eller patienter på gangene i stamafdelingerne (for mange indlagte i forhold
til udskrevne i stamafdelingen)
2) Brug af lånesenge (hvor patienten ikke ligger på det – ift. diagnosen – rigtige sengeafsnit,
men i en låneseng i en andet afsnit/anden afdeling - fx medicinske patienter i kirurgiske
sengeafsnit).
3) Ventetid og overbelægning i akutmodtagelsen (fordi patienter ikke kan komme videre til den
rigtige stamafdeling)
67 | www.quintilesims.com
SUU, Alm.del - 2016-17 - Bilag 197: Orientering om belægningsrapport fra Rehfeld, fra sundhedsministeren
1724406_0069.png
Budskabet fra projekt Sikkert Patientflow er, at der skal arbejdes med alle tre problemstillinger på
samme tid. Idet fx håndtering af overbelægning i stamafdelingen ikke nødvendigvis løser det
samlede problem med manglende flow. Herudover er det også projektets anbefaling, at man skal
have fokus på de uheldige virkninger af manglende flow (fx genindlæggelser). Endelig er der en
række fokusområder, der kan bidrage til at skærpe flow. Det gælder bl.a. planlægning af
udskrivninger. Se Bilag 1 nedenfor for en uddybning.
I forlængelse af disse erfaringer ønsker vi derfor at høre, hvorvidt I har erfaringer med følgende mål
og ikke mindst hvordan I skaffer data og hvordan I arbejder med målene?
2. Mål relateret til flow
Har I erfaring
med målet?
Hvilke data anvendes og
hvordan indsamles data
(håndoptalt/ tilgængelig i
systemer PAS, Cetrea
eller lign)?
Hvordan har I anvendt
det pågældende mål?
(Forbedringsarbejde,
ledelse/styring,
patientsikkerhed,
planlægning osv.)
2.1 Mål relateret til hospitalsflow
Andel af pt. hvor der er taget stilling til
udskrivelse/planlægning heraf.
Forudsigelighedsprocent (antal
forudsatte udskrivninger i pct. af samtlige
udskrivninger)
Gennemsnitlig indlæggelsestid
Andre?
2.2 Mål relateret til overbelægning
Overbelægning (fx kl. 23, i døgnet eller pr
måned)
Patienter på gangene
Andre?
2.3 Mål relateret til ventetid og
overbelægning akutafdelingen:
Tid til der ligger en behandlingsplan
Ventetid på overflytning til stamafd.
Andre?
2.4 Mål relateret til lånesenge:
Antal/andel af patienter i lånesenge
Andre?
2.5 Mål relateret til konsekvens af for hurtige
udskrivninger
Genindlæggelser
Andre?
68 | www.quintilesims.com
SUU, Alm.del - 2016-17 - Bilag 197: Orientering om belægningsrapport fra Rehfeld, fra sundhedsministeren
1724406_0070.png
Bilag 1 til spørgeguide. Erfaringer fra projekt Sikkert Patientflow
En simpel beskrivelse af flowet for indlagte patienter på et hospital fremgår af Figur 1.
Patienterne modtages i Akutmodtagelsen og bliver triageret og diagnosticeret. Dernæst
besluttes det, om de skal overflyttes til en stamafdeling eller de kan behandles færdigt og
udskrives direkte fra Akutmodtagelsen. Overflyttes de til stamafdelingen, vil de modtage den
nødvendige behandling og pleje og dernæst blive udskrevet fra stamafdelingen.
Figur 1. Skematisk præsentation af indlagte patienters vej gennem hospitalet *
*) Der ses umiddelbart bort fra de parakliniske aktiviteter.
I projektet Sikkert Patientflow viser erfaringer fra de deltagende hospitaler, at manglende
patientflow slår ud på tre områder, som kan have konsekvenser for patientsikkerhed og kvalitet i
behandlingen. Det gælder:
1) Overbelægning i stamafdelingerne (for mange indlagte i forhold til udskrevne i
stamafdelingen)
2) Brug af lånesenge (hvor patienten ikke ligger på det rigtige sengeafsnit, men i en
låneseng på et andet afsnit/anden afdeling - fx medicinske patienter i kirurgiske
sengeafsnit).
3) Ventetid og overbelægning i akutmodtagelsen (fordi patienter ikke kan komme videre til
stamafdelinger)
(Se Figur 2).
69 | www.quintilesims.com
SUU, Alm.del - 2016-17 - Bilag 197: Orientering om belægningsrapport fra Rehfeld, fra sundhedsministeren
1724406_0071.png
Figur 2. Hovedproblemstillinger ved manglende flow.
Budskabet fra projekt Sikkert Patientflow er, at der skal fokuseres på alle tre problemstillinger på
samme tid. Det er således ikke tilstrækkeligt at fokusere på overbelægning, idet en håndtering af
overbelægning kan have negative konsekvenser for de to andre problemstillinger (lånesenge og
ventetid i akutmodtagelsen). Det betyder, at selvom et hospital har fået styr på overbelægning i
stamafdelingerne, så kan der stadig være problemer som følge af for mange patienter/for lidt
flow og dermed risici i forhold til patientsikkerhed og kvalitet.
På baggrund af erfaringer fra hospitalerne, der deltog i Sikkert Patientflow og på baggrund af
internationale erfaringer har Dansk Selskab for Patientsikkerhed udvalgt en række mål, der alle
er nødvendige at forholde sig til for at understøtte en proces hen imod et bedre flow og dermed i
sidste ende den bedst mulig patientbehandling. Se figur 3.
Figur 3. Mål, der er relevante at forfølge med henblik på at forbedre flow samt reducere
konsekvenserne af uhensigtsmæssigt flow.
70 | www.quintilesims.com
SUU, Alm.del - 2016-17 - Bilag 197: Orientering om belægningsrapport fra Rehfeld, fra sundhedsministeren
8.2
Udvælgelse af sygehuse
For at sikre en dybdegående kvalitativ vurdering og beskrivelse af grundlaget for den nationale
statistik samt erfaringerne med sygehusenes arbejde med kapacitet og belægning blev der fortaget
interviews på ti sygehuse samt alle landets fem regioner.
I udvælgelsen af sygehusene var der primært et ønske at indhente erfaringer fra sygehuse, som
arbejder/har arbejdet med flow gennem bl.a. projektet Sikkert Patientflow. Sikkert Patientflow er et
samarbejde mellem TrygFonden, Danske Regioner og Dansk Selskab for Patientsikkerhed.
Projektet løb i perioden januar 2014 - december 2015. Kriterierne for udvælgelsen var:
Geografi
Der skal være repræsentation af to sygehuse fra hver region med henblik på at kunne vise de
forskelle, som skyldes regional organisering.
Størrelse og funktion
Der udvælges sygehuse som i udgangspunktet har forskellige funktioner – fx ét akutsygehus og ét
universitetssygehus i hver region.
Sikkert Patientflow
Så vidt muligt skal de deltagende sygehuse have deltaget i projekt Sikkert Patientflow.
På baggrund heraf blev der med alle fem regioner aftalt, hvilke sygehuse, der blev besøgt. Nedenfor
er de 10 sygehuse oplistet, og deres karakteristika i forhold til kriterierne ovenfor er angivet.
Region Hovedstaden:
Bispebjerg (Akutsygehus)
Nordsjællands Hospital (Akutsygehus, deltog i projekt Sikkert Patientflow)
Region Sjælland:
Holbæk Sygehus (Akutsygehus, deltog i projekt Sikkert Patientflow)
Næstved, Slagelse, Ringsted Sygehus (Akutsygehus, deltager i projekt Sikkert Patientflow)
Region Syddanmark:
Odense Universitetshospital
Sygehus Lillebælt, Kolding Sygehus (Akutsygehus, deltog i projekt Sikkert Patientflow)
Region Midtjylland
Århus Universitetshospital, Skejby
Hospitalsenheden Horsens (Akutsygehus, deltog i projekt Sikkert Patientflow)
Region Nordjylland
Aalborg Universitetshospital, Aalborg
Regionshospital Nordjylland (Akutsygehus, deltog i projekt Sikkert Patientflow)
71 | www.quintilesims.com
SUU, Alm.del - 2016-17 - Bilag 197: Orientering om belægningsrapport fra Rehfeld, fra sundhedsministeren
Forud for de enkelte møder blev der udarbejdet en detaljeret spørgeguide som udsendtes til
deltagerne inden mødet. Hovedfokus på møderne var:
Hvordan registreres, defineres og anvendes belægningsdata?
Hvilke redskaber anvendes i regionen/på hospitalet for at understøtte og forbedre patientflow
(og dermed forsøge at undgå konsekvenser af overbelægning/patienter på gangene)?
Besøgene fandt sted i løbet af september og oktober måned 2016:
26. september 2016:
Hospital.
27. september 2016:
28. september 2016:
12.-13. oktober 2016
Universitetshospital.
24.-26. oktober 2016
Sygehus.
Region Hovedstaden, Bispebjerg og Frederiksberg Hospital og Nordsjællands
Region Midtjylland, Hospitalsenheden Horsens og Århus Universitetshospital.
Region Syddanmark, Odense Universitetshospital og Sygehus Lillebælt.
Region Nordjylland, Regionshospitalet Nordjylland og Aalborg
Region Sjælland, Næstved, Slagelse og Ringsted Sygehus og Holbæk
Deltagerne på møderne var udvalgt af de respektive regioner og hospitaler. Vi mødte således
mange forskellige faggrupper med forskellige funktioner i organisationen. Med henblik på at sikre en
ligeværdig sammenligning på tværs af hospitalerne vurderede vi derfor også udsagnene i forhold til
deltagernes funktion og organisationstilknytning.
72 | www.quintilesims.com
SUU, Alm.del - 2016-17 - Bilag 197: Orientering om belægningsrapport fra Rehfeld, fra sundhedsministeren
1724406_0074.png
8.3
Interview regioner – indberetning af belægningsdata
Hvordan
indberettes
Hvornår
indberettes
Følges fælles-
indholdets
beskrivelser
Tidspunkt for
registrering af
indlagte
Opholdsafdeli
ng eller
stamafdeling
Er indlagte
inklusiv eller
eksklusive
orlovs-
patienter
Normerede
senge
Disponible
senge
Er der et
problem ift. 4-
eller 5-døgns
senge? *
Hvordan
sikres at
organisation
og data kan
genkendes i
regioner og
på hospitaler
Organisation
er tilpasset
inden at data
fremsendes.
Organisation
tilpasses af
Sundhedsdat
a-styrelsen
efter aftale
med Region
Sjælland.
Organisation
er tilpasset
inden at data
fremsendes.
Der er ikke
behov for
tilpasning af
organisatione
n inden data
fremsendes.
Organisation
er tilpasset
inden at data
fremsendes.
Region
Hovedstaden
SAS format
forespørgsel
Ja
Kl. 23
Opholds-
afdeling
Eksklusiv
Indberetter
det faktiske
daglige
normerede
sengetal.
Indberetter
det faktiske
daglige
normerede
sengetal.
Indberetter
det faktiske
daglige
disponible
sengetal.
Indberetter
det faktiske
daglige
disponible
sengetal.
Anvender ikke
et disponibelt
sengebegreb.
Disponible
senge er sat
lig de
normerede
senge.
Indberetter
det faktiske
daglige
disponible
sengetal.
Indberetter
det faktiske
daglige
disponible
sengetal.
Ja
Region
Sjælland
SEI
Pr. måned
Ja
Kl. 23
Opholds-
afdeling
Eksklusiv
Ja
Region
Syddanmark
CSV format
på baggrund
af SAS
output. Data
samles fra
forskellige
kilder.
forespørgsel
Ja
Kl. 23
Opholds-
afdeling
Eksklusiv**
Indberetter
det faktiske
daglige
normerede
sengetal.
Indberetter
det faktiske
daglige
normerede
sengetal.
Indberetter
det faktiske
daglige
normerede
sengetal.
Ja
Region
Midtjylland
Excel
regneark
Pr måned
Ja
Kl. 23
Opholds-
afdeling
Eksklusiv
Ja
| www.quintilesims.com
Region
Nordjylland
Excel
regneark
Pr. måned
Ja
Kl. 23
Opholds-
afdeling
Eksklusiv
ja, men
korrigerer
sengeantallet
herfor inden
data
fremsendes.
* Belægningsopgørelser er udfordret på den måde, at senge tælles pr dag, men patienter kan tælles pr time eller pr minut. Det har betydning for 4- eller 5-døgnsenge den ugedag disse
senge lukkes, fordi sengen er tom fra fx kl. 16 eller kl. 18 og resten af dagen, mens sengen er ”til rådighed” i systemet indtil kl. 23:59. Det betyder, at belægningsopgørelsen kl. 23:00 en
fredag aften vil være inklusive hospitalets 5-døgnsenge (nævneren), mens antallet af patienter (tælleren) ikke inkluderer de patienter, der tidligere på dagen lå i disse 5-døgnssenge. Det
undervurderer alt andet lige belægningsgraden.
** Region Syddanmark opgør orlovspatienter pr døgn i PAS systemet. Det betyder, at når antal patienter opgøres eksklusive orlovspatienter, så vil der blive ekskluderet orlovspatienter,
der på et tidspunkt af døgnet ville været indlagt. Alt andet lige så reducerer det omfanget af indlagte (altså tælleren i belægningsopgørelsen) og dermed reducerer belægningsgraden i
forhold til de øvrige regioners opgørelse. Tidligere har Region Syddanmark opgjort antal patienter inklusive orlovspatienter. Denne metode har omvendt øget belægningsgraden i forhold
til de øvrige regioners opgørelse. (Denne problemstilling er analog til problemstilling vedr. 4- og 5-døgnssenge).
73 | www.quintilesims.com
SUU, Alm.del - 2016-17 - Bilag 197: Orientering om belægningsrapport fra Rehfeld, fra sundhedsministeren
1724406_0075.png
8.4
Interview sygehuse – belægningsopgørelser
Region Hovedstaden
Bispebjerg og
Frederiksberg
Hospitaler
Region Sjælland
Næstved,
Slagelse,
Ringsted
Sygehus
Ja
Ja
Ja
Nej, men
justeres i
disponible
senge
Region Syddanmark
Odense
Universitets-
hospital
Region Midtjylland
Hospitals-
enheden
Horsens
Århus
Universitets-
hospital
Region Nordjylland
Aalborg
Universitets-
hospital
Regions-
hospital
Nordjylland
Hvem
Nordsjællands
Hospital
Holbæk
Sygehus
Sygehus
Lillebælt
Til hvad
anvendes
belægnings-
data
Til daglig
kapacitetsstyring?
Til fx planlægnings-
opgaver?
Ja
Ja
Ja
Ja
Ja
Ja
Ja
Ja
Nej, men
justeres i
disponible
senge
Ja
Ja
Ja
Ja det sker i
begrebet
"Planlagt
normerede
senge"
Bruges ifm
daglig drift for
afdelingerne.
Ifm
afrapportering
anvendes bl.a
begrebet
"planlagt
normerede
senge"*
Hospitals-
ledelsen er
inde over
beslutning om
ændring i
"planlagt
normerede
senge"
Ja
Ja
Ja
Ja
Ja
Ja
Ja
Ja
Ja
Ja
Ja
Ja
Ja
Ja
Ja
Anvendes begrebet
Ja
"normerede senge"?
Normerede
senge
Tages der højde for
fx 5 døgssenge eller
tilsvarende i
opgørelse af
normerede senge?
Ja
Ja
Nej
Ja
Ja
Ja
Ja
Anvendes begrebet
"disponible senge"?
Ja
Ja
Ja
Ja
Nej -
disponible =
normerede
Ja
Ja
Ja
Ja
Disponible
senge
Hospitals-
Hvad er proceduren
ledelsen er
for ændringer i det
inde over
disponible sengetal?
beslutning
Hospitals-
ledelsen er
inde over
beslutning
Administrativt
på baggrund af
hospitals-
ledelsens
retningslinjer.
Der tages
stilling om
hospitalsledels
en evt. skal
involveres.
Hospitals-
ledelsen er
inde over
beslutning
-
Hospitals-
ledelsen er
inde over
beslutning
Hospitals-
ledelsen er
inde over
beslutning
Administrativt
på baggrund af
hospitals-
ledelsens
retningslinjer.
Hospitals-
ledelsen er
inde over
beslutning
Hvilke
faktorer kan
ændre det
disponible
sengetal?
Ombygninger og
flytninger
Ja
Ja
Ja
Ja
Ja - se note*
Nej
Ja
Ja
Ja
Ja
74 | www.quintilesims.com
SUU, Alm.del - 2016-17 - Bilag 197: Orientering om belægningsrapport fra Rehfeld, fra sundhedsministeren
1724406_0076.png
Region Hovedstaden
Bispebjerg og
Frederiksberg
Hospitaler
Region Sjælland
Næstved,
Slagelse,
Ringsted
Sygehus
Region Syddanmark
Odense
Universitets-
hospital
Region Midtjylland
Hospitals-
enheden
Horsens
Århus
Universitets-
hospital
Region Nordjylland
Aalborg
Universitets-
hospital
Regions-
hospital
Nordjylland
Hvem
Nordsjællands
Hospital
Holbæk
Sygehus
Sygehus
Lillebælt
Ferielukninger
Ja
(Der kan også
forekomme
vinteråbning af
senge)
Ja
Ja
Ja
Ja - se note*
Nej
ja, men kun
skærende
specialer
Ja
Ja
Ja
Vakante stillinger
Ja i særlige
tilfælde
Ja i særlige
tilfælde
Ja i særlige
tilfælde
Ja i særlige
tilfælde
Som
udgangspunkt
nej.
Ved
omfattende
vakancer: ja.
Ja
Nej
Ja i særlige
tilfælde
Ja i særlige
tilfælde
Ja i særlige
tilfælde
Ja i særlige
tilfælde
Isolationspatienter
og terminale
patienter o.l.
Nej
Nej
Nej
Nej
Nej
Fra 1. jan.
2017 bliver
Akutafdelingen
til stamafdeling
med egne
SKS-koder.
+
Alle registreres
som akut
ambulante.
Men så snart
der er taget
stilling til
eventuel
indlæggelse
kan de
indlægges.
Nej
Nej
Fra 1. jan.
2017 bliver
Akutafdelingen
til stamafdeling
med egne
SKS-koder
Ja
Nej
Er akutafdelingen
stamafdeling eller
opholdsafdeling?
Hvordan
håndteres
akut-
afdelinger
Opholds-
afdeling
Opholds-
afdeling
Stamafdeling
Stamafdeling
Stamafdeling
+
Stamafdeling
Stamafdeling
Stamafdeling
Er patienter indlagt
eller akut ambulante
i Akutafdelingen?
Indlagt
Indlagt
Akut
ambulante de
første to timer,
dernæst kan
pt. registreres
som indlagte.
Akut
ambulante de
første to timer,
dernæst kan
pt. registreres
som indlagte.
Alle registreres
som akut
ambulante.
Men så snart
der er taget
stilling til
eventuel
indlæggelse
kan de
indlægges.
Når
belægnings-
grad er over
100 har man
"høj
belægning".
Når man
rammer den
fysiske
kapacitet har
man "over-
belægning".
Udgangspunkt
et er, at
patienterne
registreres
som indlagte.
++
Udgangspunkt
et er, at
patienterne
registreres
som indlagte.
++
Akut
ambulante**
Ved behov for
Anvender både indlæggelse
indlagte og
kan patienten
akut
blive indlagt i
ambulante.
akutmodtagels
en efter den
akutambulante
kontakt.
Forventet
belægning og
over-
belægning
Hvornår er der
overbelægning?
(målt på disp. eller
norm. senge)
Når
belægnings-
grad er over
100
Når
belægnings-
grad er over
100
Når
belægnings-
grad er over
100
Når
belægnings-
grad er over
100
Når
belægnings-
grad er over
100
Når
belægnings-
grad er over
100
Når
belægnings-
grad er over
100
Når
belægnings-
grad er over
100
Når
belægnings-
grad er over
100
75 | www.quintilesims.com
SUU, Alm.del - 2016-17 - Bilag 197: Orientering om belægningsrapport fra Rehfeld, fra sundhedsministeren
1724406_0077.png
Region Hovedstaden
Bispebjerg og
Frederiksberg
Hospitaler
Region Sjælland
Næstved,
Slagelse,
Ringsted
Sygehus
Region Syddanmark
Odense
Universitets-
hospital
Region Midtjylland
Hospitals-
enheden
Horsens
Der
planlægges
fremadrettet
med:
100 pct. i
akutafd.,
90 pct. i de
andre
afdelinger, 75-
80 pct. i
intensiv.
Der er generelt
bufferkapacitet
på senge-
afsnittene.
Varierer
mellem
afdelinger.
Århus
Universitets-
hospital
Region Nordjylland
Aalborg
Universitets-
hospital
Der
planlægges
ikke med et
bestemt
niveau. I 2016
har den
gennemsnitlige
belægningsrad
været under
100, men tæt
på 100.
Der er generelt
ikke
bufferkapacitet
på senge-
afsnittene.
Nej ikke
generelt, men
det kan være
tilfældet i
enkelte
sengeafsnit.
Regions-
hospital
Nordjylland
Hvem
Nordsjællands
Hospital
Holbæk
Sygehus
Sygehus
Lillebælt
Hvad er
forventningen til den
gennemsnitlige
belægningsgrad for
et sengeafsnit?
Der
planlægges
ikke med et
bestemt
niveau. Det
varierer
mellem
afdelinger,
men ligger
under 100 pct.
Der er generelt
bufferkapacitet
på senge-
afsnittene.
Varierer
mellem
afdelinger.
100 pct.
Udgangspunkt
et er 85 pct.
På lang sigt en
forventning om
belægning på
85-95 pct.
afhængig af
afsnit.
Der
planlægges
ikke med et
bestemt
niveau. Det
varierer
mellem
afdelinger,
men ligger
under 100 pct.
Der er generelt
bufferkapacitet
på senge-
afsnittene.
Varierer
mellem
afdelinger.
Udgangs-
punktet er en
belægning på
85 pct.
afhængig af
afsnit.
Der
planlægges
ikke med et
bestemt
niveau. Det
varierer
mellem
afdelinger,
men ligger
under 100 pct.
Der er generelt
bufferkapacitet
på senge-
afsnittene.
Varierer
mellem
afdelinger.
Der
planlægges
ikke med et
bestemt
niveau. Det
varierer
mellem
afdelinger,
men ligger
under 100 pct.
Der er generelt
bufferkapacitet
på senge-
afsnittene.
Varierer
mellem
afdelinger.
Bufferkapacit
et og senge
på gangen
Er der
bufferkapacitet i
form af ekstra
sengepladser ud
over de normerede
senge?
Er der sådan, at
belægning over 100
pct. betyder
patienter på
gangene?
Der er generelt
bufferkapacitet
på senge-
afsnittene.
Varierer
mellem
afdelinger.
Nej ikke
nødvendigvis –
afhænger af
hvor og hvor
meget.
Der er generelt
Der er enkelte
ikke
afsnit med fast
bufferkapacitet
aftalt
på senge-
bufferkapacitet.
afsnittene.
Nej ikke
generelt, men
det kan være
tilfældet i
enkelte
sengeafsnit.***
Der er generelt
bufferkapacitet
på senge-
afsnittene.
Varierer
mellem
afdelinger.
Nej
Nej
Nej
Nej
Nej
Nej
Nej
* Odense Universitetshospital har et sengebegreb "planlagt normerede senge", der viser det faktiske antal senge pr time pr. dag og hvor der er taget højde for 5 døgnsenge, dagsenge og
eventuelt ferie. Dette begreb minder om disponible senge i de andre hospitaler. Planlagte normerede senge anvendes ifm. kapacitetskonferencer mv. Dette tal justeres efter aftale med
hospitalsledelsen.
** Der er lidt forskel på de enkelte matrikler, men der arbejdes på at sikre ensartet registrering.
*** Belægning på over 100 pct. kan meget vel betyde patienter på gangene, men det søges løst ved overførsel af patienter til andre afsnit eller afdelinger.
+ I Region Syddanmark har et arbejde i gang med at synkronisere, så alle sygehusenheder kommer til at anvende samme registreringspraksis.
++ Region Midtjylland har valgt at registrere patienter som indlagte, fordi en registrering som akut ambulante skaber udfordringer på andre områder, særligt i relation til epikrise, kontakt med
kommunerne via med-com mv.
76 | www.quintilesims.com
SUU, Alm.del - 2016-17 - Bilag 197: Orientering om belægningsrapport fra Rehfeld, fra sundhedsministeren
1724406_0078.png
8.5
Overblik over den aktuelle belægningssituation
Datakilde
Region Hovedstaden
Bispebjerg og
Frederiksberg Hospitaler
Nordsjællands Hospital
Region Sjælland
Næstved, Slagelse,
Ringsted Sygehus
Holbæk Sygehus
Region Syddanmark
Odense
Universitetshospital
Sygehus Lillebælt
Region Midtjylland
Hospitalsenheden
Horsens
Århus
Universitetshospital***
Region Nordjylland
Aalborg
Universitetshospital
Regionshospital
Nordjylland
Data fra ”cybertavler”
samles til
belægningsoverblik
Klinikkens egne oplysninger
Tilgængelige online
Alle personaler der har
funktioner relateret til
patientbehandling og
kapacitet.
Deltagere på
kapacitetsmødet
Realtid
Klinisk Logistik tavler
Skejby: Klinisk Logistik
tavler
Øvrige: klinikkens egne
oplysninger
Online via Klinisk Logistik
For hele hospitalet skabes
et overblik på
kapacitetsmødet
Alle medarbejdere
Skejby: Alle medarbejdere
Øvrige: Deltagere på
kapacitetsmødet
Realtid
Skejby: Realtid
Øvrige: En gang om dagen
Klinikkens egne oplysninger
Klinikkens egne oplysninger
Kapacitetsmødet
Kapacitetsmødet
Deltagere på
kapacitetsmødet
Deltagere på
kapacitetsmødet
En gang om dagen
En gang om dagen
PAS data
Samt klinisk logistik data fra
Imatis tavler
Klinisk logistik data fra
Imatis tavler
Online via
ledelsesinformationssystem
et samt via Imatis
Online via Imatis
Alle medarbejdere
Direktionen
Pr time*/ **
Realtid
PAS data
PAS data
Online via intranet
Online via intranet
Alle medarbejdere
Alle medarbejdere
Pr halve time*
Pr time*
Hvor er overblik
tilgængelige?
Hvem er overblikket
tilgængeligt for?
Frekvens for opdatering
Kapacitetsmødet
En gang om dagen+
* Anvendelse af aktuelle udtræk fra PAS systemet forudsætter, at PAS systemet løbende opdateres i samme takt som de ændringer, der foretages i de kliniske logistiksystemer. Det er de
kliniske logistiksystemer og ikke PAS systemerne, som er den primære kilde til registrering af patientens aktuelle opholdssted.
** Imatis tavlerne giver adgang til belægningsoverblik i realtid, men er på Næstved, Slagelse, Ringsted Sygehus pt kun tilgængeligt for egen afdeling/afsnit. Overblik over hele hospitalet
kan findes i ledelsesinformationssystemet.
*** Århus Universitetshospital består af fem matrikler: Nørrebrogade (NBG - Kommunehospitalet), Skejby Sygehus, Tage-Hansens Gade (THG - Amtssygehuset), Marselisborg Hospital og
Samsø Sygehus . På Skejby er klinisk logistik implementeret på alle afsnit. På de øvrige matrikler er klinisk logistik ikke tilgængeligt på sengeafsnittene endnu. Når Århus
Universitetshospital samles på én matrikel vil der være klinisk logistik på samtlige afsnit.
+ Men der er også en automatisk belægningsrapport, der kan udsendes tre gange om dagen fra PAS systemet samt mulighed for ad hoc udtræk direkte fra PAS systemet (forudsætter
adgang).
77 | www.quintilesims.com
SUU, Alm.del - 2016-17 - Bilag 197: Orientering om belægningsrapport fra Rehfeld, fra sundhedsministeren
1724406_0079.png
8.6
Kapacitetskonferencer
Holdes der daglige
kapacitetsmøder?
Hvornår startede
hospitalet med
kapacitetskonferencer?
November 2015
September 2014
Har hospitalet ansat
flowkoordinatorer/
bedmanagers?
Ja, ansættelsesproces er
igangsat.
Ja
Spørges der hver dag til
antal patienter, der har
overnattet på gangen?
Ja
Nej
Håndteres ubalancer i
overbelægning mellem
afdelinger?
Fokus på at udjævne
forskelle i belægning
Fokus på ubalancer men
ikke nødvendigvis
udjævning
Fokus på at udjævne
forskelle i belægning
Hvem
Region Hovedstaden
Bispebjerg og
Frederiksberg Hospitaler
Nordsjællands Hospital
Ja, på hverdage
Ja, på hverdage
Region Sjælland
Næstved, Slagelse,
Ringsted Sygehus
Ja, på hverdage
(Flowkoordinatorer
opdaterer dataoversigten i
weekenden)
Ja, på hverdage
December 2014
Ja
Ja
Holbæk Sygehus
Efterår 2014*
Ja
Ja (Det sker automatisk
via klinisk logistik system,
Imatis)
Nej (fordi der som
udgangspunkt ikke er
patienter på gangene)
Nej
Fokus på at udjævne
forskelle i belægning
Region Syddanmark
Odense
Universitetshospital
Sygehus Lillebælt
Region Midtjylland
Hospitalsenheden
Horsens
| www.quintilesims.com
Århus Universitetshospital
Region Nordjylland
Aalborg
Universitetshospital
Ja, på hverdage
Oktober 2016
Ja
++
Ja
Fokus på ubalancer men
ikke nødvendigvis
udjævning
Fokus på at udjævne
forskelle i belægning
Ja, på hverdage
Ja, dagligt
+
Januar 2014
Januar 2015
Ja
Ja
++
Nej (fordi der ikke er
patienter på gangene)
Nej (fordi der ikke er
patienter på gangene)
Fokus på at udjævne
forskelle i belægning
+++
Fokus på ubalancer men
ikke udjævning
Ja, på hverdage
November 2015
Nej (ansættelsesproces i
gang)
Nej
Fokus på ubalancer men
ikke nødvendigvis
udjævning
Fokus på ubalancer men
ikke udjævning
Ja, på hverdage
April 2014**
Regionshospital
Ja, på hverdage
September 2014
Nej
Ja
Nordjylland
* Kapacitetskonferencerne blev fra januar 2016 udvidet til at dække alle afdelinger på Holbæk Sygehus.
** Der har været kapacitetskonference i Kolding (Akutsygehus) siden april 2014. I Vejle (primært elektive funktioner) er det aftalt at teste konceptet.
+ Kapacitetsmødet finder sted i Akutafdelingen med deltagelse af koordinatorer samt telefonisk kontakt til stamafdelinger.
++ Har kapacitetskoordinatorer ansat. På Aalborg Universitetshospital tiltræder de 1. december 2016.
+++ Håndtering af ubalancer i overbelægning mellem afdelinger har primært fokus på at beholde specialepatienter I deres respektive specialafsnit, ellers udjævning med almen medicinske
eller kirurgiske patienter.
78 | www.quintilesims.com
SUU, Alm.del - 2016-17 - Bilag 197: Orientering om belægningsrapport fra Rehfeld, fra sundhedsministeren
1724406_0080.png
8.7
Kilder
Dansk Selskab for Patientsikkerhed, ”Sikkert Patientflow - Erfaringer fra et forbedringsprojekt”, november 2015.
(http://patientsikkerhed.dk/materialer/erfaringer-fra-et-forbedringsprojekt/)
Region Sjælland, Koncern Økonomi ”Patienter på gangene 2016-09”, notat af 18. oktober 2016.
Væksthus for Ledelse, ”Få mere for mindre med relationel koordinering”, 2013.
(http://www.lederweb.dk/strategi/organisationsudvikling/artikel/107342/fa-mere-for-mindre-med-relationel-
koordinering)
Sundhedsdatastyrelsen, ”Fællesindhold for indberetning af sengepladser for offentlige sygehuse”, 2015.
Sundhedsdatastyrelsen, ”Dokumentation af data for belægning”, 2016.
SUU, Alm.del - 2016-17 - Bilag 197: Orientering om belægningsrapport fra Rehfeld, fra sundhedsministeren
1724406_0081.png
Copyright © 2016 QuintilesIMS. All rights reserved.