Social-, Indenrigs- og Børneudvalget 2016-17
SOU Alm.del Bilag 369
Offentligt
1792734_0001.png
VEJE IND OG UD AF HJEMLØSHED
EN UNDERSØGELSE AF HJEMLØSHEDENS FORLØB OG DYNAMIK
Lars Benjaminsen, Morten Holm Enemark
SOU, Alm.del - 2016-17 - Bilag 369: VIVE’s Veje ind og ud af hjemløshed. En undersøgelse af hjemløshedens forløb og dynamik., fra børne- og socialministeren SOU, Alm.del - 2016-17 - Bilag 369: VIVE’s Veje ind og ud af hjemløshed. En undersøgelse af hjemløshedens forløb og dynamik., fra børne- og socialministeren
1792734_0003.png
Rapport
Veje ind og ud af hjemløshed.
En undersøgelse af hjemløshedens
forløb og dynamik
Lars Benjaminsen, Morten Holm Enemark
SOU, Alm.del - 2016-17 - Bilag 369: VIVE’s Veje ind og ud af hjemløshed. En undersøgelse af hjemløshedens forløb og dynamik., fra børne- og socialministeren
1792734_0004.png
Veje ind og ud af hjemløshed. En undersøgelse af hjemløshedens
forløb og dynamik
© VIVE og forfatterne, 2017
ISBN: 978-87-7119-464-7
e-ISBN: 978-87-7119-465-4
Layout: Hedda Bank
Forsidefoto: Hedda Bank
Tryk: Rosendahls a/s
Projekt: 100078
VIVE – Viden til Velfærd
Det Nationale Forsknings- og Analysecenter for Velfærd
Herluf Trolles Gade 11, 1052 København K
www.vive.dk
VIVE blev etableret den 1. juli 2017 efter en fusion mellem KORA og
SFI. Centeret er en uafhængig statslig institution, som skal levere viden,
der bidrager til at udvikle velfærdssamfundet og den offentlige sektor.
VIVE beskæftiger sig med de samme emneområder og typer af opga-
ver som de to hidtidige organisationer.
VIVEs publikationer kan frit citeres med tydelig kildeangivelse.
SOU, Alm.del - 2016-17 - Bilag 369: VIVE’s Veje ind og ud af hjemløshed. En undersøgelse af hjemløshedens forløb og dynamik., fra børne- og socialministeren
Forord
I denne rapport præsenteres resultaterne af en undersøgelse af veje ind og ud af hjemløshed, der
blev igangsat som led i aftalen om udmøntning af satspuljen for 2016.
Formålet med kortlægningen er at afdække, hvad der kendetegner det marginaliseringsforløb, der
leder frem til en hjemløshedssituation, hvad der karakteriserer forløb gennem hjemløshed, og
hvad der kendetegner veje ud af hjemløsheden. Undersøgelsen giver en viden, der kan bidrage til
bedre forståelse af hjemløsheden som et komplekst socialt fænomen, og til den fortsatte udvikling
af de sociale indsatser på hjemløseområdet.
Undersøgelsen har været fulgt af en følgegruppe bestående af Ask Svejstrup og Sofie Bay-
Petersen, SAND – De hjemløses landsorganisation, Jann Sjursen og Ole Kjærgaard, Rådet for
Socialt Udsatte, Hanne Ramsbøl, Via University College, Rafai Al-Atia, Kommunernes Landsfor-
ening, Jakob May og Søren Romar, Sammenslutningen af Boformer for Hjemløse i Danmark, Ja-
kob Tjalve og Nina Thorn Clausen, Socialstyrelsen, Jeppe Villumsen, Nille Bregenov-Pedersen og
Signe Caspersen, Børne- og Socialministeriet.
Projektchef Jørgen Anker, Socialt Udviklingscenter SUS, har været referee på rapporten og takkes
for kommentarer.
Undersøgelsen er gennemført af VIVE – Det Nationale Forsknings- og Analysecenter for Velfærd
på foranledning af Børne- og Socialministeriet og Satspuljepartierne. Rapporten er udarbejdet af
seniorforsker Lars Benjaminsen, der også har været projektleder, og analytiker Morten Holm
Enemark.
København, september 2017
Torben Tranæs
SOU, Alm.del - 2016-17 - Bilag 369: VIVE’s Veje ind og ud af hjemløshed. En undersøgelse af hjemløshedens forløb og dynamik., fra børne- og socialministeren
INDHOLD
SAMMENFATNING ............................................................................................................ 7
1
2
INDLEDNING .......................................................................................................... 15
1.1
Rapportens opbygning ................................................................................................ 15
BAGGRUND OG TIDLIGERE FORSKNING........................................................... 17
2.1
2.2
2.3
En dynamisk forståelse af hjemløsheden ................................................................... 17
Forskellige typer af hjemløshed .................................................................................. 18
Sociale indsatser på hjemløseområdet....................................................................... 19
3
DATA OG METODE ................................................................................................ 21
3.1
3.2
3.3
3.4
3.5
3.6
Data fra hjemløsetællingerne og § 110-boformerne ................................................... 21
Øvrige registerdata ..................................................................................................... 22
Indsatsdata fra Hjemløsestrategien og Implementerings- og forankringsprojektet .... 25
Sammenkoblingen af data .......................................................................................... 25
Dødelighed og forløbsanalyser ................................................................................... 27
Analysernes fokus....................................................................................................... 27
4
HJEMLØSHEDENS OMFANG OG UDVIKLING..................................................... 29
4.1
4.2
Udviklingen i hjemløsheden ........................................................................................ 29
Skøn over det årlige antal af hjemløse borgere .......................................................... 30
5
PROFIL OG BAGGRUNDSKARAKTERISTIKA ...................................................... 33
5.1
5.2
5.3
5.4
5.5
5.6
Samlet profil ................................................................................................................ 33
Køn og alder ............................................................................................................... 35
Etnisk baggrund .......................................................................................................... 36
Uddannelse og forsørgelse ......................................................................................... 37
Geografisk fordeling .................................................................................................... 38
Psykisk lidelse og misbrugsproblemer........................................................................ 38
6
VEJE IND I HJEMLØSHED..................................................................................... 41
6.1
6.2
6.3
6.4
6.5
6.6
6.7
Veje ind i hjemløshed.................................................................................................. 42
Psykosociale sårbarhedsfaktorer ................................................................................ 43
Eksklusion fra arbejdsmarkedet .................................................................................. 46
Civilstand og skilsmisse .............................................................................................. 48
Risikoen for hjemløshed i den samlede befolkning .................................................... 50
Multivariat analyse af risikoen for hjemløshed ............................................................ 54
Sammenfatning ........................................................................................................... 57
7
FORLØB GENNEM HJEMLØSHED ....................................................................... 59
7.1
7.2
7.3
7.4
Gengangere mellem hjemløsetællingerne og på boformerne .................................... 59
Overgange mellem forskellige hjemløshedssituationer .............................................. 66
Varigheden af hjemløsheden og den psykosociale profil ........................................... 71
De kortvarigt, langvarigt og episodisk hjemløse ......................................................... 73
SOU, Alm.del - 2016-17 - Bilag 369: VIVE’s Veje ind og ud af hjemløshed. En undersøgelse af hjemløshedens forløb og dynamik., fra børne- og socialministeren
7.5
Sammenfatning ........................................................................................................... 79
8
VEJE UD AF HJEMLØSHED .................................................................................. 81
8.1
8.2
8.3
8.4
8.5
Udsathed og vejen ud af hjemløshed ......................................................................... 81
Beskæftigelse og forsørgelse efter en hjemløshedssituation ..................................... 85
Kriminalitet i årene efter en hjemløshedssituation ...................................................... 87
Multivariat analyse ...................................................................................................... 88
Sammenfatning ........................................................................................................... 90
9
DE HJEMLØSE UNGE............................................................................................ 93
9.1
9.2
9.3
9.4
9.5
9.6
Antallet af gengangere blandt de hjemløse unge ....................................................... 93
Psykisk lidelse og misbrug blandt de hjemløse unge ................................................. 95
Uddannelse og forsørgelsessituation blandt de hjemløse unge ................................. 99
Andelen af tidligere anbragte blandt de hjemløse unge ........................................... 100
Forældrebaggrunden blandt de hjemløse unge ....................................................... 102
Sammenfatning ......................................................................................................... 107
10
TYPER AF HJEMLØSHED OG DE SOCIALE INDSATSER ................................ 109
10.1 De intensive bostøttemetoder ................................................................................... 109
10.2 Behandlingsmæssige indsatser ................................................................................ 112
10.3 Sammenfatning ......................................................................................................... 114
Bilag 1
BILAGSFIGURER ........................................................................................ 115
LITTERATUR ................................................................................................................. 117
SOU, Alm.del - 2016-17 - Bilag 369: VIVE’s Veje ind og ud af hjemløshed. En undersøgelse af hjemløshedens forløb og dynamik., fra børne- og socialministeren SOU, Alm.del - 2016-17 - Bilag 369: VIVE’s Veje ind og ud af hjemløshed. En undersøgelse af hjemløshedens forløb og dynamik., fra børne- og socialministeren
SAMMENFATNING
Det Nationale Forsknings- og Analysecenter for Velfærd (VIVE) præsenterer i denne rapport resul-
taterne af undersøgelsen ’Veje ind og ud af hjemløshed’, der er en analyse af hjemløshedens for-
løb og dynamik. Undersøgelsen er gennemført for Børne- og Socialministeriet og blev igangsat
som led i aftalen om udmøntning af satspuljen for 2016.
Baggrund og formål
De landsdækkende kortlægninger af hjemløshed (”hjemløsetællinger”) har vist, at hjemløsheden i
Danmark har været stigende gennem de senere år (Benjaminsen, 2017). Fra hjemløsetællingerne
ved vi, at en stor del af de borgere, der er berørt af hjemløshed, samtidig har mange andre sociale
og helbredsmæssige problemer som fysisk sygdom, psykisk sygdom og misbrugsproblemer.
Hjemløsetællingerne viser samtidig, at der er en betydelig variation i varigheden af, hvor længe
den enkelte borger har været hjemløs, hvor nogle er blevet hjemløse for ganske nyligt, mens an-
dre har været hjemløse i flere år. Da hjemløsetællingerne er punktmålinger, der foregår i en be-
stemt uge (uge 6) hvert andet år, ved vi imidlertid ikke, hvor længe borgerne vedbliver at være
hjemløse, ligesom vi heller ikke ved, hvor mange der kommer ud af hjemløsheden igen. Ligeledes
har vi ikke en viden om overgange mellem forskellige hjemløshedssituationer, fx hvor stor en del
af sofasoverne (dem, der overnatter hos familie og venner), der med tiden tager ophold på et her-
berg.
Denne undersøgelse har derfor til formål at afdække, hvilke forhold der leder frem til en hjem-
løshedssituation og hvad der kendetegner forløb gennem hjemløshed. Ligeledes afdækker under-
søgelsen, hvad der kendetegner dem, der kommer ud af hjemløsheden igen, og hvad chancerne
er herfor.
En bedre forståelse af hjemløshedens varighed og af forskellige gruppers forløb gennem hjemløs-
hed er vigtig af hensyn til udformningen og tilrettelæggelsen af de sociale indsatser på hjemløse-
området. Sådanne forskelle har betydning for, hvilke typer af sociale og behandlingsmæssige ind-
satser borgeren har behov for, herunder hvem der har brug for særligt intensive indsatser, og hvil-
ke grupper der har behov for en styrkelse af den forebyggende indsats. Undersøgelsen giver der-
med en viden, der har relevans i forhold til udformningen af forskellige indsatser for forskellige
målgrupper af hjemløse borgere.
Data og metode
For at opnå en bedre viden om hjemløshedens forløb og sociale dynamik kombinerer vi data på
tværs af de enkelte hjemløsetællinger, og vi kombinerer samtidig data fra hjemløsetællingerne
med data om brugere af landets § 110-boformer (Serviceloven) for hjemløse.
Mens hjemløsetællingerne giver et øjebliksbillede af omfanget og karakteren af hjemløsheden i
tælleugen hvert andet år, er boformsregistret baseret på en løbende registrering året rundt af alle
borgere, der indskrives på § 110-boformerne. Datakilderne adskiller sig, ud over indsamlingstids-
punktet, ved, at hjemløsetællingerne inkluderer en række forskellige hjemløshedssituationer som
overnatning på gaden, natvarmestuer, herberger og forsorgshjem og midlertidig overnatning hos
familie og venner (sofasovere), mens boformsregistret udelukkende indeholder ophold på § 110-
boformerne.
7
SOU, Alm.del - 2016-17 - Bilag 369: VIVE’s Veje ind og ud af hjemløshed. En undersøgelse af hjemløshedens forløb og dynamik., fra børne- og socialministeren
Da der efter den første hjemløsetælling i 2007 blev foretaget en justering af definitionen af hjem-
løshed, inkluderer vi i denne analyse data fra hjemløsetællingen i 2009 og frem til og med 2015.
Data fra den seneste hjemløsetælling i 2017 indgår ikke i analyserne, da disse data endnu ikke var
tilgængelige under udarbejdelsen af indeværende undersøgelse. Vi inddrager data fra § 110-
boformerne for den samme periode, det vil sige fra 2009 til 2015.
Ved at kombinere data på tværs af de enkelte hjemløsetællinger og data fra § 110-boformerne
bliver det muligt at foretage væsentligt mere dybdegående og detaljerede analyser af hjemløshe-
dens karakter og dynamik over tid, end hvad der er muligt ud fra de to datakilder hver for sig.
Hjemløshedens omfang og udvikling
Når de to hoveddatakilder på hjemløseområdet kombineres, får vi et mere dækkende billede af,
hvor mange personer der befinder sig i en hjemløshedssituation i løbet af et år samt over hele
analyseperioden. Ser vi på de fire kalenderår, hvor vi både har adgang til tællingsdata og bo-
formsdata, blev der i 2009 registreret i alt 7.841 personer med unikke CPR-numre i mindst et af de
to datasæt. Unikke CPR-numre er en forudsætning for, at vi kan kombinere data. I 2011 var det tal
steget til 8.249 personer, mens det var 8.648 personer i 2013 og 9.061 personer i 2015. Dette tal
udgør et minimumstal for, hvor mange personer der på et tidspunkt i løbet af de pågældende år
befandt sig i en hjemløshedssituation. Tallene understreger, at når vi taler om hjemløshedens
omfang, skal vi være opmærksomme på, om vi anlægger et øjebliksbillede på hjemløshedens
omfang, som ved hjemløsetællingens tværsnitsopgørelse, eller hvorvidt vi taler om omfanget af
hjemløsheden over et helt kalenderår.
Ud fra hjemløsetællingernes definition af hjemløshed vil der også være hjemløse personer, der
ikke indgår i disse tal. Det gælder personer, som befandt sig i en af de øvrige hjemløshedssituati-
oner (ud over ophold på boformerne), som fx gadesovere eller sofasovere, som var hjemløse på
andre tidspunkter af året end i uge 6, og som samtidig ikke benyttede § 110-boformerne i årets
løb. Endvidere kan der være hjemløse borgere, som var hjemløse i tælleugen, men som ikke blev
registreret, ligesom de personer, der ikke er CPR-numre på, heller ikke indgår i tallene. Det sam-
lede antal borgere, berørt af hjemløshed i løbet af et helt kalenderår, vil således være højere end
de tal, der fremkommer, selv når vi kombinerer de to datakilder.
Resultaterne viser også, at der over en længere periode er et væsentligt højere antal personer,
der har været i en hjemløshedssituation. Således er der i perioden fra 2009 til 2015 i alt registreret
29.325 personer (med unikke CPR-numre) i data fra hjemløsetællingerne og § 110-boformerne
tilsammen. Der er således tale om et langt højere antal personer, end der er registreret som hjem-
løse i de enkelte år. Her skal det endda tages i betragtning, at hjemløsetællingerne kun gennemfø-
res hvert andet år. Det er i alt 15.080 personer, der er registreret med unikke CPR-numre i de fire
hjemløsetællinger, der er omfattet af perioden, mens det er i alt 21.555 personer, der er registreret
i boformsdata i denne periode, hvor vi også har anvendt data for de mellemliggende år. Der er
således et overlap mellem de to datakilder, hvilket både skyldes, at hjemløsetællingerne også
omfatter de borgere, der opholder sig på en § 110-boform i tælleugen, samt at nogle af de borge-
re, der er registreret i de øvrige hjemløshedssituationer i hjemløsetællingen, også kan have benyt-
tet boformerne i løbet af perioden.
Bevægelser ind og ud af hjemløshed
Samtidig med at resultaterne som forventet viser, at der over en længere periode er væsentligt
flere personer, der rammes af hjemløshed, end vi kan se i de enkelte hjemløsetællinger, under-
streger tallene også, at der løbende er en bevægelse ind og ud af hjemløshed. Det har været en
8
SOU, Alm.del - 2016-17 - Bilag 369: VIVE’s Veje ind og ud af hjemløshed. En undersøgelse af hjemløshedens forløb og dynamik., fra børne- og socialministeren
central del af undersøgelsens fokus at afdække, hvad der kendetegner disse bevægelser ind og
ud af hjemløshed, og at afdække varigheden af hjemløsheden og variationen i hjemløshedsforlø-
bene.
Denne del af undersøgelsen tager udgangspunkt i den internationale forskningslitteratur på områ-
det, der generelt viser, at hjemløsheden må forstås i et væsentligt mere dynamisk perspektiv end
tidligere antaget. Ifølge den såkaldte ’pathwaystilgang’ er det almindeligt for socialt udsatte borge-
re at opleve flere hjemløshedsforløb og bevægelser ind og ud af hjemløshed over et livsforløb
(Kuhn & Culhane, 1998; Shinn m.fl., 1998; Anderson & Tulloch, 2000; Chamberlain & MacKenzie,
2006, Culhane m.fl., 2007). Hjemløsheden er således ikke en ”social endestation”, som det tidlige-
re blev antaget ud fra den såkaldte ’downward spiral theory’ (Clapham, 2003, 2005; Fitzpatrick,
2012). Derimod er det for langt de fleste muligt at komme ud af hjemløsheden igen. Forskningen
viser samtidig, at der er stor variation i karakteren af hjemløshedsforløb. For nogle er hjemløshe-
den ganske kortvarig, og disse borgere kommer sjældent ud i hjemløshed igen. For andre er hjem-
løsheden længerevarende, og særligt denne gruppe af langvarigt hjemløse har som oftest brug for
mere intensive sociale indsatser for at kunne komme ud af hjemløsheden igen.
Disse resultater fra den internationale forskningslitteratur genfindes også i denne undersøgelses
analyser af hjemløshedsforløb i Danmark. Når vi ser på de fire år, hvor vi både har tællingsdata og
boformsdata, det vil sige årene 2009, 2011, 2013 og 2015, er det hovedparten af personerne, der
kun optræder i data i et enkelt af disse år. Det vil sige, at de ikke kan genfindes i de forudgående
eller efterfølgende år. Det gælder for cirka tre ud af fire af dem, der er registreret i hjemløsetællin-
gerne, og for cirka to ud af tre af dem, der er registreret på boformerne. Antallet af ”gengangere”
afhænger dog af, hvor lang tid vi følger personerne, da nogle dukker op igen og bliver registreret
som hjemløse senere i perioden. Når antallet af gengangere er lidt højere på boformerne end mel-
lem hjemløsetællingerne, kan det blandt andet forklares med, at boformsbrugerne registreres fort-
løbende året rundt, mens hjemløsetællingerne som nævnt foregår i én bestemt uge hvert andet år.
Ser vi på de samlede data fra både hjemløsetællingerne og boformerne, er det 28 pct. af dem, der
blev registreret som hjemløse i 2009, der også er registreret som hjemløse i 2011, mens det er 18
pct., der genfindes i 2013, og 14 pct., der genfindes i 2015. Med det forbehold, at der kan være
hjemløse borgere, der ikke registreres, fordi de ikke benytter boformerne eller ikke er registreret i
tælleugerne, tyder tallene på, at der en betydelig variation i varigheden af hjemløsheden. Mens
hovedparten oplever hjemløshed i en forholdsvis korterevarende periode, er der et mindretal, der
oplever hjemløshed af væsentligt længerevarende karakter.
Den højeste andel, der genfindes som hjemløse i de efterfølgende år, finder vi blandt de borgere,
der i hjemløsetællingerne er blevet registreret som brugere af natvarmestuerne. Det er 38 pct. af
dem, der blev registreret som natvarmestuebrugere i 2009, der genfindes i enten hjemløsetællin-
gerne eller på boformerne to år senere i 2011, og henholdsvis 27 pct. og 25 pct., der genfindes i
henholdsvis 2013 og 2015. Det er udtryk for, at brugerne af natvarmestuerne udgør en meget
udsat og sårbar gruppe blandt de hjemløse.
Andelen, der genfindes som hjemløse de efterfølgende år, er imidlertid lidt lavere blandt gadeso-
verne, hvor det er 29 pct. af dem, der blev registreret som gadesovere i 2009, der igen blev identi-
ficeret som hjemløse i 2011, 22 pct., der var hjemløse i 2013, og 19 pct., der var hjemløse i 2015.
Den lidt lavere andel af gadesoverne, der genfindes som hjemløse i de efterfølgende år, sammen-
lignet med brugerne af natvarmestuerne, kan dog skyldes, at gadesoverne er den vanskeligste
gruppe at registrere, og at det også er i denne gruppe, at vi har den laveste andel med CPR-
numre, der er en forudsætning for at kunne identificere borgeren over tid.
9
SOU, Alm.del - 2016-17 - Bilag 369: VIVE’s Veje ind og ud af hjemløshed. En undersøgelse af hjemløshedens forløb og dynamik., fra børne- og socialministeren
I gruppen af hjemløse, der overnatter hos familie og venner, er det derimod en noget lavere andel,
der genfindes som hjemløse i de efterfølgende år. Her er det 15 pct. af dem, der ifølge hjemløse-
tællingen i 2009 havde overnattet hos familie og venner, der efterfølgende registreres som hjem-
løse i 2011 i de samlede data, og henholdsvis 12 pct. og 10 pct., der registreres som hjemløse i
2013 og 2015. Det er endvidere en ret lav andel på kun 7-8 pct. af dem, der har overnattet hos
familie og venner, der de efterfølgende år registreres som brugere af § 110-boformerne. Med for-
behold for, at der kan være personer, der ikke er identificeret i de efterfølgende år, tyder tallene
på, at det er en forholdsvis lav andel i gruppen af sofasovere, der vedbliver at være hjemløse i
lang tid, og at det også er en lav andel, der efter en periode må benytte § 110-boformerne.
Tre typer af hjemløshed
For yderligere at afdække bevægelserne ind og ud af hjemløshed har vi lavet en analyse af møn-
strene i hjemløsheden blandt boformsbrugerne, hvor de fortløbende registreringer året rundt giver
mulighed for at foretage en mere avanceret statistisk analyse af brugen af boformerne over tid.
Her har vi foretaget en såkaldt klyngeanalyse, der har opdelt boformsbrugerne i forskellige grupper
ud fra to mål, nemlig antallet af ophold på boformerne og den samlede varighed af opholdene.
Her har vi taget udgangspunkt i en tilsvarende analyse fra USA, der blev foretaget på amerikanske
herbergsdata for næsten 20 år siden, og som var banebrydende i forståelsen af forskellige typer af
hjemløshed. Kuhn og Culhane (1998) påviste i dette studie, at der var tre forskellige grupper af
herbergsbrugere, nemlig de såkaldt transitionelt hjemløse, de episodisk hjemløse og de kronisk
hjemløse. De transitionelt hjemløse er kendetegnede ved, at de kun har få og korte ophold på
herbergerne. De episodisk hjemløse har derimod mange korte ophold på herberger og veksler ofte
mellem ophold på gaden, på herberger, på hospitaler og i fængsler. Endelig er gruppen af kronisk
hjemløse kendetegnet ved få, men meget langvarige, ophold på herberger.
I den amerikanske analyse var de transitionelt hjemløse langt den største gruppe blandt de hjem-
løse (over tre ud af fire), og det kendetegnede denne gruppe, at væsentligt færre end i de to øvri-
ge grupper havde en psykisk lidelse eller misbrugsproblemer. I denne gruppe skyldtes hjemløshe-
den derimod ofte generelle fattigdomsproblemer og manglende muligheder for at betale en bolig. I
de to øvrige grupper, de episodisk og kronisk hjemløse, var der derimod en høj andel med psyki-
ske lidelser og misbrugsproblemer. Et særlig bemærkelsesværdigt resultat var, at selvom de kro-
nisk hjemløse antalsmæssigt var en ret lille gruppe (kun godt en ud af ti), stod de for cirka halvde-
len af alle opholdsdøgn på de amerikanske herberger i de to byer, der indgik i undersøgelsen.
Dette forskningsresultat var med til at bevirke, at der kom særligt fokus på at udvikle indsatser for
denne gruppe af kronisk hjemløse. Ikke mindst Housing First-tilgangen med dens fokus på både at
tilvejebringe permanente boligløsninger og på at give en intensiv social støtte skal ses på denne
baggrund og er særligt henvendt til denne målgruppe.
En tidligere analyse af data fra de danske § 110-boformer for perioden fra 1999 til 2009 fandt,
måske lidt overraskende, at de samme tre grupper, de transitionelt, episodisk og kronisk hjemløse,
også kunne identificeres blandt de danske boformsbrugere (Benjaminsen & Andrade, 2015). Der
var dog en væsentlig undtagelse, nemlig at blandt de transitionelt hjemløse i Danmark var der en
lige så høj andel med psykisk lidelse eller misbrugsproblemer som blandt de kronisk hjemløse,
mens denne andel som nævnt var lavere i USA. Det er formentlig udtryk for, at hjemløsheden i
Danmark sjældnere optræder alene som et fattigdomsproblem (uden væsentlige øvrige proble-
mer), mens hjemløsheden i USA generelt rammer bredere grupper af fattige, som ikke nødvendig-
vis har væsentlige sociale problemer ud over fattigdommen. Et bemærkelsesværdigt resultat af
den danske analyse var, ligesom i USA, at gruppen af kronisk hjemløse udgjorde en forholdsvis
10
SOU, Alm.del - 2016-17 - Bilag 369: VIVE’s Veje ind og ud af hjemløshed. En undersøgelse af hjemløshedens forløb og dynamik., fra børne- og socialministeren
lille andel på cirka 15 pct. af boformsbrugerne, men at de stod for cirka 60 pct. af alle opholdsdøgn
på landets boformer for hjemløse.
I indeværende undersøgelse har vi gentaget denne centrale analyse på nyere data fra den periode
fra 2009 til 2015, som vi generelt benytter i undersøgelsen. Hovedresultatet af denne analyse er,
at vi fortsat genfinder de samme tre grupper blandt de danske boformsbrugere. Imidlertid benytter
vi i rapportens analyser betegnelserne kortvarigt, episodisk og langvarigt hjemløse om disse tre
grupper. Det gør vi for at understrege, at siden Kuhn og Culhanes analyser har forskningen gene-
relt vist, at også en stor del af gruppen af kronisk hjemløse kan komme ud af hjemløsheden igen,
hvis den vel at mærke får en målrettet social indsats (Tsemberis m.fl., 2004; Tsemberis, 2010;
Padgett m.fl., 2016). Derfor er begrebet ’langvarigt’ hjemløse bedre til at karakterisere denne
gruppe frem for begrebet om kronisk hjemløshed.
I den nye analyse finder vi fortsat, at gruppen af kortvarigt hjemløse er den største gruppe. Den
udgør 67 pct. af boformsbrugerne i perioden 2009-2015. Denne gruppe har i gennemsnit haft 1,6
ophold på boformerne i denne periode og med en gennemsnitlig varighed af et ophold på 38 dage.
Dermed har hver person i denne gruppe i gennemsnit været indskrevet i 62 dage på en boform, og
denne gruppe står i alt for 19 pct. af alle opholdsdøgn på boformerne i perioden.
Gruppen af episodisk hjemløse udgør i alt 10 pct. af boformsbrugerne og har i gennemsnit haft
13,3 ophold på boformer i perioden. Hvert ophold har i gennemsnit varet 26 dage. Det svarer til, at
personerne i denne gruppe i gennemsnit har været indskrevet på boformerne i 349 dage i perio-
den, og dermed står de for i alt 17 pct. af alle opholdsdøgn på boformerne.
Gruppen af langvarigt hjemløse udgør 23 pct. af boformsbrugerne. Det er en højere andel end ved
den tidligere analyse på data fra 1999-2009, hvor denne andel som nævnt var på 15 pct. Denne
gruppe har i perioden fra 2009 til 2015 i gennemsnit haft 2,5 ophold på boformerne, og hvert af
disse ophold har haft en gennemsnitlig varighed på 241 dage. Det svarer til, at denne gruppe i
gennemsnit har været indskrevet på boformerne i 602 dage i perioden, og det svarer samtidig til,
at gruppen af langvarigt hjemløse står for 64 pct. af alle opholdsdøgn på boformerne.
Antalsmæssigt udgør gruppen af langvarigt hjemløse 3.435 personer i analysen, og gruppen er i
alt registreret med cirka 2,1 millioner opholdsdøgn på boformerne hen over perioden. Ud fra en
skønsmæssig beregning svarer det til en udgift på cirka 2�½ milliarder kr. for ophold på boformerne
for denne gruppe over perioden. Til sammenligning var der afsat �½ milliard kroner til Hjemløsestra-
tegiens indsatser i perioden fra 2009 til 2013.
Typer af hjemløshed og de sociale indsatser
Undersøgelsen afdækker generelt ikke effekterne af specifikke sociale indsatser på hjemløseom-
rådet, da sådanne studier kræver, at brugerne af indsatserne følges over tid og sammenlignes
med en kontrolgruppe. Her har evalueringerne af Hjemløsestrategien og det efterfølgende Imple-
menterings- og forankringsprojekt generelt peget på, at kombinationen af en permanent boligløs-
ning og intensiv social bostøtte (Housing First-tilgangen) er en virksom indsats, der for langt de
flestes vedkommende kan hjælpe hjemløse borgere med komplekse støttebehov ud af hjemløs-
hed og muliggøre, at de kan fastholde en bolig (Rambøll og SFI, 2013; Benjaminsen m.fl., 2017).
Evalueringerne har dog også peget på betydelige barrierer i form af, at det er meget svært at
fremskaffe det fornødne antal boliger til de hjemløse borgere og dermed komme i gang med Hou-
sing First, ligesom implementeringen af indsatserne stiller store krav til den organisatoriske foran-
kring og til, at der foregår et mind-shift i den sociale indsats i kommunerne til at hjælpe borgeren i
bolig tidligt i et indsatsforløb.
11
SOU, Alm.del - 2016-17 - Bilag 369: VIVE’s Veje ind og ud af hjemløshed. En undersøgelse af hjemløshedens forløb og dynamik., fra børne- og socialministeren
Mens denne undersøgelse ikke afdækker virkningen af bestemte indsatser på chancen for at
komme ud af hjemløshed, har vi til gengæld sammenholdt analysen af de forskellige typer af hjem-
løshed med, hvem der modtog indsatserne under Hjemløsestrategien og det efterfølgende Imple-
menterings- og forankringsprojekt. Her har vi særligt set på de borgere, der indgik i Housing First-
indsatsen med brugen af de intensive bostøttemetoder Critical Time Intervention (CTI), Intensive
Case Management (ICM) og Assertive Community Treatment (ACT). Vi har set på, hvor stor en
del i hver af de tre grupper, de kortvarigt hjemløse, de episodisk hjemløse og de langvarigt hjem-
løse, der har modtaget en af disse indsatser. Denne analyse er afgrænset til brugere af boformer-
ne i perioden 2009 til 2015, altså den periode, der omfattede Hjemløsestrategiens indsatsperiode
og de første to år af Implementerings- og forankringsprojektets indsatsperiode.
Når vi afgrænser analysen til særskilt at se på de 27 kommuner, der medvirkede i Hjemløsestrate-
gien og/eller Implementerings- og forankringsprojektet, var det i alt 7 pct. af de boformsbrugere,
der var hjemmehørende i disse kommuner, der indgik i indsatsen. Det var 4 pct. af de kortvarigt
hjemløse, 10 pct. af de episodisk hjemløse og 11 pct. af de langvarigt hjemløse, der modtog en af
de tre bostøttemetoder, der indgik i Housing First-indsatsen.
Disse resultater viser, at Hjemløsestrategiens indsatser særligt var målrettet de langvarigt og de
episodisk hjemløse, det vil sige de hjemløse borgere med de mest komplekse støttebehov, og
som også er de borgere, der er den primære målgruppe for disse indsatser. Det var et væsentligt
resultat fra Hjemløsestrategiens indsatser, at Housing First-indsatsen og de evidensbaserede
bostøttemetoder i høj grad er en virksom indsatsmetode for disse borgere med komplekse støtte-
behov (Rambøll og SFI, 2013). Resultaterne viser imidlertid også, at dækningsgraden af disse
indsatser er lav. Det gælder både for gruppen af boformsbrugere som helhed og for de langvarigt
og de episodisk hjemløse borgere i særdeleshed, når det tages i betragtning, at disse grupper har
de mest komplekse støttebehov. Selv i indsatskommunerne (set under ét) var det således en lav
andel af målgruppen, der reelt var omfattet af indsatserne.
De hjemløse unge
Undersøgelsen indeholder også en særlig analysedel, der ser på hjemløsheden blandt de unge.
Dette skal ses i lyset af den kraftige stigning i antallet af hjemløse unge gennem de senere år, der
har været dokumenteret gennem hjemløsetællingerne (Benjaminsen, 2017). Undersøgelsens ana-
lyser viser, at det er en forholdsvis lav andel af de hjemløse unge, der gentagne gange registreres
som hjemløse hen over undersøgelsesperioden. Det tyder på, at for hovedparten af de hjemløse
unge er hjemløsheden af forholdsvis korterevarende karakter, mens det er en mindre gruppe af de
hjemløse unge, der oplever meget langvarig hjemløshed.
En stor del af de hjemløse unge har enten psykiske lidelser og/eller misbrugsproblemer, og der er
ikke nogen nævneværdig forskel på denne andel, når vi sammenligner de unge på boformerne
med dem, der overnatter midlertidigt hos familie og venner. Det er cirka to ud af fem af de hjemlø-
se unge, der tidligere har været anbragt, og over halvdelen, der enten har været anbragt eller har
modtaget forebyggende foranstaltninger i barndommen.
Forældrebaggrunden blandt de hjemløse unge varierer betydeligt. Det er cirka en fjerdedel, der
kommer fra hjem, hvor forældrene kun har grundskolen som højeste uddannelse. En ud af fem af
de hjemløse unge kommer fra hjem, hvor mindst en af forældrene har en videregående uddannel-
se, mens den største uddannelsesgruppe blandt forældrene er dem med erhvervsfaglige uddan-
nelser, der også er den største uddannelsesgruppe i befolkningen som helhed. For en del af de
hjemløse unge gælder, at også forældrene har tegn på udsathed i form af psykiske lidelser, mis-
brugsproblemer eller tidligere fængselsdomme. Denne andel er generelt højest blandt de forældre,
12
SOU, Alm.del - 2016-17 - Bilag 369: VIVE’s Veje ind og ud af hjemløshed. En undersøgelse af hjemløshedens forløb og dynamik., fra børne- og socialministeren
der har grundskolen som højeste uddannelse, og væsentligt lavere blandt de forældre, der har en
videregående uddannelse. Dette mønster indikerer, at for nogle af de hjemløse unge går udsathe-
den i arv fra forældrene, men for andre er der tale om, at de unge bliver ramt af psykiske lidelser
eller misbrugsproblemer, selvom deres forældre ikke umiddelbart viser tegn på udsathed, når vi
ser på de tilgængelige oplysninger i registrene. Selvom der kan være problemer blandt forældre-
ne, der ikke viser sig i registrene, er dette mønster udtryk for, at psykiske lidelser og misbrugspro-
blemer langtfra kun rammer unge fra socialt udsatte familier, og at psykiske lidelser og misbrugs-
problemer også indebærer en vis risiko for hjemløshed for unge, der kommer fra familier, der ikke
kan karakteriseres som socialt udsatte.
Konklusion og perspektivering
Rapportens resultater viser, at der i høj grad kan genfindes de samme mønstre i hjemløsheden i
Danmark som i andre lande, og at hjemløsheden i høj grad må forstås i et dynamisk perspektiv.
Der er særligt en betydelig variation i varigheden og karakteren af hjemløshedsforløb, hvor hoved-
parten af hjemløshedsforløbene er af relativt kortere varighed. For cirka en fjerdedel af dem, der
rammes af hjemløshed, er hjemløsheden imidlertid af langvarig karakter og strækker sig over flere
år. Særligt for denne gruppe af langvarigt hjemløse indikerer resultaterne, at der er betydelige
samfundsmæssige omkostninger forbundet med hjemløsheden, alene når vi ser på omfanget af
ophold på § 110-boformerne.
Undersøgelsens resultater peger på, at når de sociale indsatser for hjemløse borgere tilrettelæg-
ges, må der tages hensyn til, at der er forskellige typer af hjemløshed. Ser vi på den store gruppe
af korterevarende hjemløse, er disse borgere kendetegnet ved, at de optræder i hjemløshedsregi-
strene en enkelt eller to gange og sjældent dukker op siden. En del i denne gruppe skaffer for-
mentlig selv en bolig, eller de får den fornødne hjælp gennem de eksisterende sociale indsatser. I
denne gruppe kan der særligt peges på et forebyggende potentiale, hvor det formentlig i en del
tilfælde kunne være undgået, at borgeren kom ud i hjemløshed. Selv i gruppen af kortvarigt hjem-
løse finder vi en stor del med psykisk lidelse eller misbrugsproblemer. Her kan man have fokus på
den almindelige bostøtteindsats i kommunerne, det vil sige den bostøtte, der sædvanligvis gives
efter servicelovens § 85, og som formentlig i en del tilfælde vil være i stand til at forebygge, at
disse borgere mister boligen. Ligeledes kan der være fokus på, at en betydelig del af disse borge-
re er tilknyttet andre behandlingsmæssige indsatser, fx inden for psykiatri og misbrugsbehandling,
hvor risikoen for hjemløshed viser vigtigheden af et fokus på borgerens boligsituation og på tidligt
at opdage, hvis en borger er i risiko for en udsættelse af boligen.
Undersøgelsens resultater viser også, at der er en gruppe af langvarigt hjemløse, der sammen
med de episodisk hjemløse er dem, der har de mest komplekse støttebehov. På den baggrund
peger rapportens resultater særligt på et behov for at intensivere indsatserne for de langvarigt
hjemløse. Resultaterne viser, at det særligt er gruppen af langvarigt hjemløse, der har været mål-
gruppe for de nye intensive indsatser, der har været afprøvet i de senere år med Housing First-
tilgangen og de tilhørende evidensbaserede bostøttemetoder. Evalueringerne af disse indsatser
har vist, at disse metoder generelt er effektive til at hjælpe hjemløse borgere med komplekse støt-
tebehov ud af hjemløshed og til at fastholde dem i egen bolig (Rambøll og SFI, 2013; Benjaminsen
m.fl., 2017).
Undersøgelsen viser imidlertid også, at dækningsgraden med de evidensbaserede indsatser
blandt de langvarigt hjemløse fortsat er lav. Det kan relateres til de boligmæssige og organisatori-
ske udfordringer, forbundet med at udbrede indsatserne til en større del af målgruppen. Navnlig
manglen på boliger til udsatte grupper udgør i den sammenhæng en stor barriere for at udbrede
13
SOU, Alm.del - 2016-17 - Bilag 369: VIVE’s Veje ind og ud af hjemløshed. En undersøgelse af hjemløshedens forløb og dynamik., fra børne- og socialministeren
Housing First-tilgangen. Samtidig vil en opskalering af Housing First-indsatsen kræve, at kapacite-
ten af de intensive bostøttemetoder CTI, ICM og ACT øges i kommunerne. På den måde må både
hjemløshedens mønstre og de sociale indsatser ses i en samfundsmæssig sammenhæng, der
både involverer tilgængeligheden af billige boliger til de socialt udsatte grupper, tilgængeligheden
af en intensiv social støtte, og forankringen og organiseringen af indsatsen i det lokale velfærdssy-
stem. Rapportens resultater indikerer i den sammenhæng også, at der kan være betydelige sam-
fundsmæssige gevinster forbundet med at forebygge hjemløshed og ved at tilvejebringe indsatser,
der kan hjælpe de langvarigt hjemløse borgere ud af hjemløshed igen.
14
SOU, Alm.del - 2016-17 - Bilag 369: VIVE’s Veje ind og ud af hjemløshed. En undersøgelse af hjemløshedens forløb og dynamik., fra børne- og socialministeren
1792734_0017.png
1
INDLEDNING
Det Nationale Forsknings- og Analysecenter for Velfærd (VIVE) præsenterer i denne rapport resul-
taterne af en undersøgelse af, hvad der kendetegner veje ind i hjemløshed, forløb gennem hjem-
løshed og veje ud af hjemløshed. Undersøgelsen er foretaget på foranledning af Børne- og So-
cialministeriet som led i aftalen om udmøntning af satspuljen for 2016.
Formålet med undersøgelsen er at opnå en bedre forståelse af hjemløshedens sociale og tids-
mæssige dynamik. Undersøgelsen belyser vejene ind i hjemløshed i form af risikofaktorer og den
sociale profil blandt borgere, der kommer ud i en hjemløshedssituation. Undersøgelsen afdækker
også forløb gennem hjemløshed i form af varigheden af hjemløsheden og overgange mellem for-
skellige hjemløshedssituationer – fx gadehjemløshed, ophold på herberg eller overnatning hos
familie og venner. Undersøgelsen har et særligt fokus på at identificere forskellige typer af hjem-
løshedsforløb og at afdække, hvordan disse forskellige forløb relaterer sig til forskellige risiko- og
sårbarhedsfaktorer. Endelig afdækker undersøgelsen veje ud af hjemløshed i form af chancen for
at komme ud af hjemløshed, og hvordan disse mønstre relaterer sig til forskellige risikofaktorer.
Undersøgelsen bidrager med en viden, der kan anvendes i udviklingen af den sociale indsats på
hjemløseområdet. De forskellige typer af hjemløshedsforløb, som undersøgelsen identificerer,
bidrager med en viden om forskellige målgrupper blandt de hjemløse, og denne viden er væsentlig
i forhold til at kunne målrette specifikke sociale indsatser for disse grupper.
Undersøgelsen er kvantitativ og baseret på en sammenkobling af de to hoveddatakilder om hjem-
løshed i Danmark i form af data fra de nationale kortlægninger af hjemløshed (”hjemløsetællin-
ger”), der er foretaget af SFI (VIVE) hvert andet år siden 2007, og data fra Register over brugere
af botilbud under servicelovens § 110 (”boformsregistret”), der løbende indsamles af Danmarks
Statistik (tidligere af Ankestyrelsen). Desuden omfatter undersøgelsen også øvrige registerdata fra
Danmarks Statistik og Sundhedsdatastyrelsen samt data om borgere, der har modtaget indsatser
under Hjemløsestrategien og det efterfølgende Implementerings- og forankringsprojekt.
1
1.1
Rapportens opbygning
I kapitel 2 præsenteres en teoretisk ramme for undersøgelsen i form af tidligere forskning om for-
løb gennem hjemløshed, og hvordan undersøgelsens analyser tager udgangspunkt i viden fra den
internationale forskningslitteratur. I kapitel 3 gennemgås data og metode bag undersøgelsen, her-
under de to datakilder og sammenkoblingen af disse. I kapitel 4 tegnes det billede af hjemløshe-
dens omfang og udvikling, der fremkommer, når vi anvender data fra begge de to datakilder. Kapi-
tel 5 tegner et billede af den sociale profil af de hjemløse borgere i forhold til demografi, psykoso-
ciale sårbarhedsfaktorer, uddannelse og forsørgelsesgrundlag. I kapitel 6 afdækkes vejene ind i
hjemløshed. Her tegner vi et mere detaljeret billede af udviklingen af en række risikofaktorer i åre-
ne op til, at hjemløsheden indtræffer, ligesom vi foretager en samlet analyse af risikoen for hjem-
løshed i befolkningen ved hjælp af en logistisk regressionsanalyse. I kapitel 7 belyser vi forløbene
gennem hjemløshed. Her ser vi på varigheden af hjemløsheden og overgangene mellem forskelli-
ge hjemløshedssituationer, ligesom vi anvender en statistisk model, baseret på klyngeanalyse, til
at identificere forskellige typer af forløb gennem hjemløshed. I kapitel 8 belyser vi vejene ud af
hjemløshed, hvor vi afdækker, hvilke faktorer der har betydning for chancen for at komme ud af
hjemløshed igen. I kapitel 9 sætter vi fokus på de hjemløse unge og belyser deres forløb gennem
1
Data fra Hjemløsestrategien og Implementerings- og forankringsprojektet har været indsamlet af Rambøll og SFI som led i evalu-
eringer af disse indsatser (se Rambøll og SFI, 2013, og Benjaminsen m.fl., 2017).
15
SOU, Alm.del - 2016-17 - Bilag 369: VIVE’s Veje ind og ud af hjemløshed. En undersøgelse af hjemløshedens forløb og dynamik., fra børne- og socialministeren
hjemløshed. Vi afdækker den sociale profil blandt de hjemløse unge, herunder i forhold til risiko-
faktorer, tidligere anbringelser og de unges forældrebaggrund. Endelig sætter vi i kapitel 10 under-
søgelsens resultater i spil i forhold til de sociale indsatser og belyser blandt andet, hvor stor en del
af de forskellige grupper, der blev identificeret i analysen i kapitel 7, der har været omfattet af for-
skellige nyere indsatser på hjemløseområdet.
16
SOU, Alm.del - 2016-17 - Bilag 369: VIVE’s Veje ind og ud af hjemløshed. En undersøgelse af hjemløshedens forløb og dynamik., fra børne- og socialministeren
2
BAGGRUND OG TIDLIGERE FORSKNING
I dette kapitel beskriver vi den teoretiske forståelse af hjemløsheden, der ligger bag undersøgel-
sen, og inddrager centrale studier fra den internationale forskningslitteratur, som er af særlig rele-
vans for undersøgelsens fokus. Vi beskriver, hvordan der i forskningslitteraturen er sket et skifte
fra en mere statisk forståelse til en mere dynamisk forståelse af hjemløsheden, der blandt andet
involverer et fokus på, hvordan hjemløsheden opstår i et samspil mellem både strukturelle, syste-
miske, interpersonelle og individuelle faktorer. Vi ser også på, hvordan den internationale forsk-
ningslitteratur har bidraget til en bedre forståelse af forskellige typer af hjemløshed, i form af den
kortvarige, episodiske og langvarige hjemløshed. Endelig ser vi på viden om sociale indsatser for
hjemløse borgere, herunder viden om, hvilke indsatser der bedst er i stand til at hjælpe hjemløse
borgere ud af hjemløsheden.
2.1
En dynamisk forståelse af hjemløsheden
Der er i den internationale forskningslitteratur generelt sket et skifte i forståelsen af hjemløsheden,
idet nyere forskning har vist, at der er en væsentligt større dynamik og variation i hjemløsheden,
end man tidligere havde antaget. Tidligere bar forståelsen af hjemløshed præg af den såkaldte
'downward-spiral'-teori, der anså hjemløshed for at være et resultat af en nedadgående social
spiral, hvor stadigt flere bånd til samfundet blev brudt (jf. Clapham, 2003, 2005; Fitzpatrick, 2012).
Denne tilgang er imidlertid blevet afløst af en mere dynamisk forståelse af hjemløshed, der i littera-
turen benævnes 'pathways-tilgangen'. Denne tilgang tager udgangspunkt i nyere empirisk forsk-
ning, der har vist, at en mere dynamisk forståelse af hjemløsheden er nødvendig, da socialt udsat-
te grupper ofte har flere bevægelser ind og ud af hjemløshed over et livsforløb (Anderson & Tul-
loch 2000; Chamberlain & MacKenzie 2006; Clapham 2005; Culhane m.fl. 2007; Kuhn & Culhane
1998; Shinn m.fl. 1998).
Den dynamiske forståelse af hjemløsheden afspejles også i en mere nuanceret forståelse af sam-
spillet mellem individuelle og strukturelle faktorer, hvor det fremhæves, at hjemløsheden typisk
opstår i et samspil mellem strukturelle, systemiske, relationelle og individuelle faktorer (Edgar &
Meert, 2005; Fitzpatrick, 2005). De strukturelle faktorer omfatter forhold som arbejdsløshed og
boligmangel, mens de systemiske faktorer vedrører velfærdssystemets indretning, herunder de
sociale ydelser og indsatser for socialt udsatte grupper. De relationelle faktorer handler om karak-
teren af de sociale netværk, fx familierelationer og øvrige sociale netværk, mens de individuelle
faktorer fx kan være psykisk lidelse, misbrugsproblemer eller kognitive funktionsnedsættelser.
Forskningslitteraturen betoner, hvorledes de strukturelle og individuelle forhold spiller sammen, da
individer med individuelle psykosociale sårbarheder typisk er dem, der rammes hårdest af ugun-
stige samfundsmæssige og strukturelle forhold som boligmangel eller stigende arbejdsløshed
(Neale, 1997; Fitzpatrick, 2005). Samtidig kan samspillet mellem de forskellige faktorer variere
over tid og mellem lande og geografiske områder (fx mellem by og land). Her spiller også karakte-
ren af velfærdssystemet i høj grad ind, da den er med til at mediere samspillet mellem de individu-
elle og strukturelle faktorer, fx ved at forbedre levevilkårene for socialt udsatte individer, arbejdslø-
se og andre socialt sårbare grupper.
Forskningslitteraturen har også betonet, hvordan hjemløshedens omfang og karakter spiller sam-
men med udformningen af velfærdssystemet. Når man sammenligner forskellige lande, er der
således sammenhæng mellem hjemløsheden og den økonomiske ulighed og karakteren af vel-
færdssystemet. I lande med en højere grad af fattigdom og social ulighed og et mindre udbygget
17
SOU, Alm.del - 2016-17 - Bilag 369: VIVE’s Veje ind og ud af hjemløshed. En undersøgelse af hjemløshedens forløb og dynamik., fra børne- og socialministeren
velfærdssystem (som i USA), er hjemløsheden generelt af et større omfang og rammer bredere
grupper af fattige end i lande med en mindre grad af fattigdom og social ulighed og et mere velud-
bygget velfærdssystem (som i Danmark og de øvrige skandinaviske lande), hvor hjemløsheden i
højere grad er koncentreret blandt borgere med komplekse psykosociale problemer (Stephens &
Fitzpatrick 2007; Toro, 2007; Shinn, 2007).
Det er endvidere vigtigt at være opmærksom på, at når man foretager kvantitative undersøgelser,
baseret på individbaserede registerdata, kommer man særligt til at fokusere på de individuelle
risikofaktorer som fx psykiske lidelser og misbrugsproblemer. Derimod er det vanskeligere at af-
dække betydningen af de strukturelle faktorer som fx boligmangel gennem sådanne analyser. Når
vi i rapportens analyser ser på betydningen af forskellige faktorer for risikoen for hjemløshed, skal
der således tages forbehold for, at også faktorer, som vi ikke kan måle gennem registeroplysnin-
gerne, fx omfanget af boligmangel i samfundet, spiller ind på risikoen for hjemløshed.
2.2
Forskellige typer af hjemløshed
Et afgørende bidrag i den internationale forskningslitteratur i forståelsen af hjemløsheden er et
amerikansk studie, baseret på data fra hjemløseherberger i amerikanske storbyer. I dette studie
blev der identificeret tre forskellige typer af hjemløshed: den transitionelle, den episodiske og den
kroniske hjemløshed (Kuhn & Culhane, 1998). Den transitionelle hjemløshed består af individer,
som blot en enkelt eller få gange oplever hjemløshed, og hvor hjemløsheden er af kortere varig-
hed. Den episodiske hjemløshed er derimod kendetegnet ved mange gentagne hjemløshedsepi-
soder, herunder mange korterevarende herbergsophold, afløst af hospitalsindlæggelser, fæng-
selsophold og gadehjemløshed. Endelig er den kroniske hjemløshed kendetegnet ved færre, men
meget langvarige, hjemløshedsforløb med lange ophold på herberger.
Vi vil i det følgende benytte betegnelserne kortvarigt, episodisk og langvarigt hjemløse om de tre
grupper. Ikke mindst foretrækker vi betegnelsen ’langvarigt hjemløse’ fremfor kronisk hjemløse for
at understrege, at senere forskning generelt har vist, at også hjemløse borgere med komplekse
støttebehov i vid udstrækning kan komme ud af hjemløsheden igen, hvis de vel at mærke får en
tilstrækkeligt målrettet og intensiv social indsats (Padgett m.fl., 2016).
I USA udgør den kortvarige hjemløshed langt hovedparten af hjemløsheden, og denne gruppe af
kortvarigt hjemløse har i væsentligt lavere grad psykiske lidelser eller misbrugsproblemer end de
episodisk og langvarigt hjemløse. Det er udtryk for, at hjemløsheden i USA rammer bredere grup-
per af fattige, der ikke nødvendigvis har komplekse støttebehov, men som bliver ramt af hjemløs-
hed på grund af væsentligt større social ulighed, omfattende fattigdom og en svag velfærdsstat.
De kortvarigt hjemløse i USA er overvejende hjemløse pga. fattigdom og boligmangel, mens der
blandt de episodisk og langvarigt hjemløse er en langt højere andel med psykiske lidelser og mis-
brugsproblemer. Et andet væsentligt resultat fra den amerikanske forskning var, at selvom de
langvarigt hjemløse kun udgør en forholdsvis lille del af det samlede antal hjemløse (cirka en ud af
ti), står de for cirka halvdelen af alle overnatninger på herberger på grund af de langvarige ophold.
I Danmark har undersøgelser generelt vist, at hjemløsheden er mere koncentreret blandt borgere
med psykiske lidelser og/eller misbrugsproblemer, hvilket kendetegner cirka 80 pct. af de borgere,
der rammes af hjemløshed (Nielsen m.fl., 2011; Benjaminsen, Birkelund og Enemark, 2013; Ben-
jaminsen 2017; Benjaminsen & Andrade, 2015). Imidlertid har tidligere dansk forskning, baseret på
data fra § 110-boformerne for perioden 1999-2009, vist, at de tre grupper – de kortvarigt, episodisk
og langvarigt hjemløse – også kan genfindes i Danmark (Benjaminsen & Andrade, 2015). Grup-
perne har endda nogenlunde samme indbyrdes fordeling som i USA, det vil sige, at den største
18
SOU, Alm.del - 2016-17 - Bilag 369: VIVE’s Veje ind og ud af hjemløshed. En undersøgelse af hjemløshedens forløb og dynamik., fra børne- og socialministeren
gruppe af herbergsbrugere også i Danmark er de kortvarigt hjemløse, der blot bruger herbergerne
en enkelt eller få gange og i relativt kort tid. Samtidig viste den danske undersøgelse, på linje med
den amerikanske, at selvom de langvarigt hjemløse kun udgør en forholdsvist lille andel af alle
herbergsbrugere (cirka hver sjette), står denne gruppe i Danmark for omkring 60 pct. af alle op-
holdsdøgn på herbergerne.
Der er dog en væsentlig forskel i den sociale profil af grupperne, når vi sammenligner Danmark og
USA. Mens færre blandt de kortvarigt hjemløse i USA har psykiske lidelser og misbrugsproblemer,
gælder det derimod hovedparten af de kortvarigt hjemløse i Danmark, der således i lige så høj
grad som de langvarigt hjemløse har psykiske lidelser og misbrugsproblemer (Benjaminsen &
Andrade, 2015). Det understreger, at psykosociale sårbarhedsfaktorer spiller en væsentlig rolle for
risikoen for hjemløshed i Danmark, mens den form for hjemløshed, der primært knytter sig til fat-
tigdomsproblemer uden væsentlige øvrige sårbarhedsfaktorer, er langt mindre udbredt i Danmark
end i USA.
I indeværende undersøgelse vil vi afdække variationen i forskellige typer af forløb gennem hjem-
løshed ud fra nyere danske data. Den tidligere analyse af de forskellige typer af hjemløshed i
Danmark, sammenlignet med USA, var som nævnt baseret på data for perioden 1999-2009. Vi
genanalyserer denne problemstilling på data for perioden 2009-2015, samtidig med at vi benytter
kombinationen af data fra boformsregistret og hjemløsetællingerne til at afdække bevægelserne
ind og ud af hjemløshed for de forskellige grupper. Derved får vi et detaljeret billede af variationen
mellem forskellige hjemløshedsforløb, og hvordan dette relaterer sig til individernes sociale profil.
Det er en vigtig viden i forhold til at kunne målrette de sociale indsatser, herunder i forhold til, hvor
mange der har brug for en særligt intensiv indsats som fx Housing First.
2.3
Sociale indsatser på hjemløseområdet
Den mere dynamiske forståelse af hjemløshedens karakter er blevet ledsaget af en øget forståel-
se af, hvordan de sociale indsatsers udformning spiller en stor rolle for chancen for at komme ud
af hjemløshed igen. En væsentlig ændring i forståelsen af de sociale indsatser gælder skiftet fra
’Treatment First’ til ’Housing First’, der af ledende forskere på området er beskrevet som et para-
digmeskifte (Padgett m.fl., 2016).
Tidligere bar forståelsen af de sociale indsatser præg af Treatment First-tilgangen, der bygger på
en opfattelse af, at hjemløse borgere først skal gøres ’parate’ til at komme i bolig, primært gennem
længerevarende behandlingsforløb for psykiske lidelser og misbrugsproblemer. Oversat til en
dansk terminologi bygger Treatment First-tilgangen således på et begreb om boligparathed, det vil
sige, at borgeren skal demonstrere parathed til at komme i bolig, før en boligløsning kan komme
på tale. Housing First-tilgangen problematiserede imidlertid denne opfattelse ved at påpege, at det
at befinde sig i en akut hjemløshedssituation gør det vanskeligt at arbejde med individets øvrige
sociale og psykiske problemer. I stedet lægger Housing First-tilgangen vægt på, at der allerede i
starten af et indsatsforløb bør ske en stabilisering af boligsituationen i form af en permanent bolig-
løsning, samtidig med at den hjemløse borger tilbydes en intensiv social støtte ud fra evidensba-
serede bostøttemetoder som Assertive Community Treatment (ACT) eller Individual Case Mana-
gement (ICM) (Tsemberis, 2010). Ifølge Housing First-tilgangen giver netop kombinationen af en
tidlig, permanent boligløsning og en intensiv social støtte mulighed for en recoverybaseret og bor-
gercentreret tilgang i det sociale arbejde med den hjemløse borger. Selvom fordele og ulemper
ved de forskellige tilgange stadig debatteres, er der en omfattende evidens i forskningslitteraturen
for, at Housing First-tilgangen og de evidensbaserede bostøttemetoder giver en væsentligt højere
19
SOU, Alm.del - 2016-17 - Bilag 369: VIVE’s Veje ind og ud af hjemløshed. En undersøgelse af hjemløshedens forløb og dynamik., fra børne- og socialministeren
chance for at komme ud af hjemløshed end indsatser, baseret på den traditionelle boligparatheds-
tilgang (Tsemberis m.fl., 2004; Coldwell & Bender, 2007; Nelson m.fl. 2007; Goering m.fl., 2014).
I Danmark har Housing First-tilgangen været afprøvet i regi af Hjemløsestrategien og det efterføl-
gende Implementerings- og forankringsprojekt. Evalueringerne af disse indsatser viste, på linje
med de udenlandske undersøgelser, at Housing First-tilgangen for langt størstedelen af de hjem-
løse borgere udgør en velegnet metode til at hjælpe borgeren i bolig og til at fastholde boligen
(Rambøll og SFI, 2013; Benjaminsen m.fl., 2017). Evalueringerne viste dog også, at der er væ-
sentlige barrierer forbundet med at udbrede og forankre Housing First-indsatsen i kommunerne,
hvor navnlig manglen på billige boliger udgør en stor udfordring, samtidig med at implementerin-
gen af Housing First-tilgangen også stiller store organisatoriske krav til omstilling af arbejdsgange,
bedre koordination og samarbejde, og til et ’mind-shift’ i både tilgangen til borgeren og indretnin-
gen af det sociale system.
Vi må generelt antage, at de sociale indsatser og de sociale tilgange og principper, som velfærds-
systemet og de sociale indsatser indrettes efter, i væsentlig grad påvirker mønstre i de hjemløs-
hedsforløb, som vi undersøger, herunder ikke mindst chancerne for at komme ud af hjemløsheden
igen. Denne undersøgelse afdækker dog ikke betydningen af specifikke sociale indsatser for at
komme ud af hjemløshed, da sådanne analyser må baseres på at følge de individer, der modtager
bestemte indsatser, eventuelt sammenlignet med en kontrolgruppe. Samtidig har det været en
væsentlig mangel i de danske dataregistre, at de fleste sociale indsatser efter serviceloven indtil
for få år siden ikke har været registreret centralt og derfor ikke dækker hovedparten af analysepe-
rioden i denne undersøgelse.
For at kunne komme samspillet mellem typer af hjemløshed og de sociale indsatser nærmere, har
vi i stedet inddraget data fra Hjemløsestrategien (2009-2013) og det efterfølgende Implemente-
rings- og forankringsprojekt i form af oplysninger om, hvilke borgere der modtog de sociale bostøt-
temetoder Assertive Community Treatment (ACT), Intensive Case Management (ICM) og Critical
Time Intervention (CTI) som led i Housing First-indsatsen i en række kommuner. Vi bruger disse
data til at afdække, hvilke grupper blandt de hjemløse borgere, der modtog denne indsats. Sam-
menholdt med analyserne af de forskellige typer af hjemløshed giver dette nye perspektiver på
udformningen af den sociale indsats for de borgere, der på et eller flere tidspunkter i deres livsfor-
løb kommer ud i en hjemløshedssituation.
20
SOU, Alm.del - 2016-17 - Bilag 369: VIVE’s Veje ind og ud af hjemløshed. En undersøgelse af hjemløshedens forløb og dynamik., fra børne- og socialministeren
3
DATA OG METODE
I dette kapitel gennemgår vi de datakilder og metoder, der er anvendt i rapporten. Vi beskriver
undersøgelsens to hoveddatakilder og brug af øvrige registerdata, ligesom vi beskriver undersø-
gelsens metoder og analytiske fokus. Det er generelt første gang, at en undersøgelse sammen-
kobler data på tværs af hjemløsetællingerne og ligeledes sammenkobler disse data med Register
over brugere af § 110-boformerne.
3.1
Data fra hjemløsetællingerne og § 110-boformerne
Siden 1999 har Ankestyrelsen indsamlet data om brugere af botilbud under servicelovens § 110
(boformer for hjemløse), hvor der foretages en løbende registrering af alle ophold året rundt (An-
kestyrelsen, 2016). Fra 2016 er indsamlingen af disse data overgået til Danmarks Statistik. Bofor-
merne har pligt til at registrere, hver gang en bruger ind- eller udskrives, uanset om borgeren tidli-
gere har benyttet tilbuddet. Således indeholder boformsregistret oplysninger om alle borgere, der
på et tidspunkt i løbet af et år har været indskrevet på en § 110-boform samt varigheden af alle
perioder borgeren har været indskrevet. Boformsregistret indeholder således information om bru-
gen af boformerne, men indeholder derimod ikke information om de øvrige hjemløshedssituatio-
ner, der indgår i hjemløsetællingerne, som fx dem, der overnatter på gaden (”gadesovere”) eller
dem, der overnatter midlertidigt hos familie, venner og bekendte (”sofasovere”). Boformsregistret
omfatter endvidere ikke anonyme natvarmestuer, væresteder eller andre sociale tilbud. Midlertidi-
ge botilbud efter servicelovens § 107, længerevarende botilbud efter servicelovens § 108, samt
krisecentre efter servicelovens § 109 er ikke omfattet af boformsregistret. Der findes dog botilbud,
der både fungerer som herberg og krisecenter for kvinder, samt nogle få botilbud, der reelt er bo-
støttetilbud fremfor en egentlig boform. Disse botilbud med delte funktioner indgår ikke i denne
undersøgelse.
De nationale kortlægninger (hjemløsetællingerne) er derimod baseret på en punktmåling, der giver
et øjebliksbillede af omfanget af hjemløsheden i tælleugen, som er uge 6 i februar. Tællingerne er
gennemført hvert andet år siden 2007. I hjemløsetællingerne måles forskellige hjemløshedssitua-
tioner i form af både gadehjemløshed, brug af natvarmestuer, brug af § 110-boformer, borgere,
der overnatter midlertidigt hos familie og venner samt dem, der står umiddelbart foran en udskriv-
ning fra hospital eller løsladelse fra fængsel, uden at der er en boligløsning. De foregår ved, at de
sociale tilbud og myndigheder, der har kontakt med eller kendskab til hjemløse borgere, identifice-
res. De relevante tilbud og myndigheder bedes derefter om at udfylde et to-siders spørgeskema
for hver person, de er i kontakt med eller har kendskab til, som befandt sig i en hjemløsesituation i
uge 6 det pågældende år. Spørgeskemaet udfyldes enten af personalet alene eller i samarbejde
med den hjemløse borger. Spørgeskemaerne indeholder blandt andet oplysninger om borgerens
hjemløsesituation, baggrundsoplysninger som køn, alder, etnisk baggrund samt evt. psykisk lidel-
se og misbrug. Endelig indeholder spørgeskemaerne oplysninger om årsagerne bag hjemløshe-
den samt hvilke sociale og behandlingsmæssige indsatser personen modtager.
Tallene fra kortlægningen af hjemløshed i 2007 er ikke helt sammenlignelige med de senere kort-
lægninger, da der blev foretaget nogle mindre tilpasninger af den operationelle definition og græn-
sedragningen mellem hjemløshed og ikke-hjemløshed i kortlægningen i 2009, hvor det blandt an-
det blev præciseret, at visiterede, midlertidige botilbud under servicelovens § 107 ikke længere
indgik i definitionen af hjemløshed. I denne undersøgelse, hvor vi blandt andet ser på udviklingen
over tid, ser vi derfor på perioden fra 2009 og frem, hvor definitioner og afgrænsninger er sam-
21
SOU, Alm.del - 2016-17 - Bilag 369: VIVE’s Veje ind og ud af hjemløshed. En undersøgelse af hjemløshedens forløb og dynamik., fra børne- og socialministeren
1792734_0024.png
menlignelige på tværs af kortlægningerne. Det har ikke været muligt at inddrage data fra den nye-
ste hjemløsetælling i 2017 i analyserne, da disse data først har været færdigbearbejdet hen mod
afslutningen af analyseperioden for indeværende undersøgelse. Vi benytter således data fra hjem-
løsetællingerne i 2009, 2011, 2013 og 2015 i analyserne. Vi inddrager data fra boformsregistret for
den samme periode, der er dækket af de fire hjemløsetællinger, det vil sige perioden fra 2009 til
2015. Når vi i kapitel 6 afdækker veje ind i hjemløshed, inddrager vi i nogle analyser endvidere
tidligere data fra boformsregistret (1999 til 2008) for at kunne identificere boformsbrugere, der
allerede tidligere har været berørt af hjemløshed.
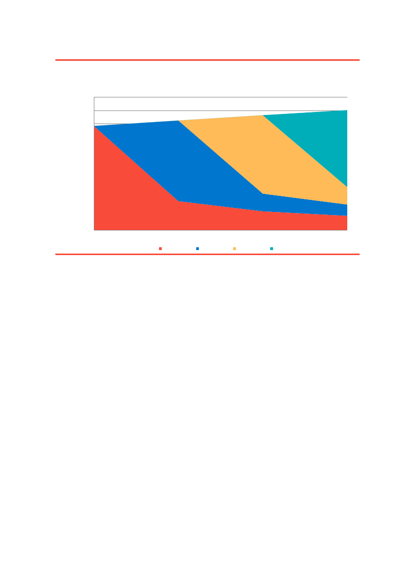
Figur 3.1 viser de to datakilder og illustrerer, hvordan antallet af hjemløse borgere registreres som
forløbsdata i boformsdata, mens hjemløsetællingerne udgør tværsnitsmålinger, foretaget i en en-
kelt uge hvert andet år. Figuren illustrerer også, hvordan boformsregistret udelukkende indeholder
de hjemløse borgere på § 110-boformerne, mens hjemløsetællingerne også registrerer borgere i
andre hjemløsesituationer, som eksempelvis dem, der overnatter på gaden eller hos familie, ven-
ner eller bekendte.
Figur 3.1
Grafisk repræsentation af undersøgelsens datastruktur, opdelt i tællingsdata og bo-
formsdata.
Uge 6
Uge 6
Uge 6
Uge 6
Antal hjemløse borgere
2009
2010
2011
2012
2013
2014
2015
Tællingsdata: Ga den
Tælling: Familie/venner
Boformsdata
Tællingsdata: Natvarmestue
Tællingsdata: Andet
Tællingsdata: Herberg
3.2
Øvrige registerdata
Vi benytter også en række øvrige data fra registre i Danmarks Statistik og Sundhedsdatastyrelsen,
der indeholder oplysninger om baggrundsfaktorer som køn, alder, etnisk baggrund, uddannelse,
beskæftigelsessituation, anbringelser i barndommen, fængselsdomme samt oplysninger om psyki-
ske lidelser, forskellige typer af stofmisbrug og alkoholmisbrug. Disse baggrundsfaktorer bruger vi
gennem hele undersøgelsen til at beskrive de hjemløse borgeres karakteristika. Oplysningerne om
psykiske lidelser og misbrug er særligt relevante i relation til hjemløse borgere, og samtidig er
disse faktorer datamæssigt mere komplicerede, hvorfor vi i det følgende vil beskrive kodningen af
disse faktorer. For oplysninger om psykiske lidelser og misbrug gør det sig gældende, at det sene-
ste år, der var tilgængelige oplysninger for disse faktorer, da data til undersøgelsen blev udtrukket,
22
SOU, Alm.del - 2016-17 - Bilag 369: VIVE’s Veje ind og ud af hjemløshed. En undersøgelse af hjemløshedens forløb og dynamik., fra børne- og socialministeren
1792734_0025.png
var for 2014. Derfor er det ikke muligt at opgøre disse oplysninger for 2015, men kun til og med
2014.
Psykiske lidelser
Oplysninger om psykiske lidelser får vi fra Landspatientregistret, både den psykiatriske og den
somatiske del. Vi grupperer de psykiske lidelser i to grupper, baseret på en vurdering af alvorlig-
heden af lidelsen: svær psykisk lidelse og anden psykisk lidelse. Afgrænsningen følger den skel-
nen, der også findes i Lov om aktiv socialpolitik vedrørende niveauet for unges kontanthjælpsydel-
ser. Ifølge denne lov har personer med disse alvorlige psykiatriske diagnoser ret til forhøjede be-
løb i sociale ydelser som uddannelses- og kontanthjælp.
Tabel 3.1 giver et overblik over de to grupper af psykiske lidelser.
Tabel 3.1
Type
Svære psykiske lidelser
Skizofreni
Skizotypisk sindslidelse
Psykoser
Mani og bipolare lidelser
Borderline
Andre psykiske lidelser
Depression (let/moderat)
F32-F32.19
F32.8-F32.9
F33-F33.19
F33.4-F33.9
F32.2-F32.39
F33.2-F33.39
F34-F39.9
F40-F41.9
F42-F42.9
F43-F43.9
F50-F50.9
F60-F60.30
F60.32-F62.9
Depressiv enkeltepisode af lettere/moderat grad, depressiv enkeltepisode af
anden type, periodisk depression i episode af lettere/moderat grad, perio-
disk depression af anden type.
F20-F20.9
F21-F21.9
F22-F29.9
F30-F31.9
F60.31
Skizofreni
Skizotypisk sindslidelse
Paranoide psykoser, akutte og forbigående psykoser, skizoaffektive psyko-
ser, andre ikke-organiske psykoser.
Manisk enkeltepisode, bipolær affektiv sindslidelse.
Emotionelt ustabil personlighedsstruktur af borderlinetype.
Underindikatorer og diagnosekoder for psykisk lidelse.
ICD-10-kode
Indhold
Depression (svær)
Depressiv enkeltepisode af svær grad med og uden psykotiske symptomer,
periodisk depression i episode af svær grad med og uden psykotiske symp-
tomer.
Vedvarende affektive sindslidelser, ekskl. mani og bipolare lidelser og de-
pression.
Fobiske angsttilstande, generaliseret angst, anden blandet angsttilstand,
anden angsttilstand.
Obsessiv-kompulsiv tilstand.
Akutte og posttraumatiske belastnings- og tilpasningsreaktioner, fx PTSD
Spiseforstyrrelser, fx nervøs spisevægring og opkastning forbundet med
anden psykisk forstyrrelse
Specifikke forstyrrelser af personlighedsstrukturen, forstyrrelser i person-
lighedsstruktur af blandet og anden type, ikke-organiske personlighedsæn-
dringer, andre forstyrrelser i personlighedsstruktur og adfærd hos voksne og
forstyrrelser i personlighedsstruktur og adfærd uden nærmere specificering.
Hyperkinetiske forstyrrelser og opmærksomhedsforstyrrelse uden hyperak-
tivitet.
Adfærds- og følelsesmæssige forstyrrelser
Andre affektive sindslidel-
ser
Angst
OCD
Belastningsreaktioner
Spiseforstyrrelse
Personlighedsforstyrrelse
ADHD
Adfærdsforstyrrelser
F90-F90.9
F98.8C
F91-F92.9
De svære psykiske lidelser omfatter skizofreni, øvrige diagnoser i skizofrenispektret (skizotypisk
sindslidelse), øvrige psykoser, mani og bipolar lidelse samt personlighedsforstyrrelser af border-
line-typen. Andre psykiske lidelser omfatter psykiske lidelser som ADHD, angst og forbier, depres-
23
SOU, Alm.del - 2016-17 - Bilag 369: VIVE’s Veje ind og ud af hjemløshed. En undersøgelse af hjemløshedens forløb og dynamik., fra børne- og socialministeren
1792734_0026.png
sion (uanset grad), OCD, personlighedsforstyrrelser (eksklusiv borderline), spiseforstyrrelser, be-
lastningsreaktioner (fx PTSD), adfærdsforstyrrelser og andre affektive sindslidelser.
Der findes endvidere en række andre, lettere, psykiske eller kognitive tilstande, som vi ikke med-
tager i vores opgørelser over psykiske lidelser, fx kleptomani eller ord- og talblindhed, ligesom vi
heller ikke inddrager forskellige former for udviklingsforstyrrelser og øvrige tilstande som fx autis-
me, mental retardering og demens.
Misbrug
Tabel 3.2 viser, hvilke diagnoser (ICD-10-koder) der opgøres som misbrug.
Tabel 3.2
Type
Misbrug af hårde
stoffer
Diagnoser for misbrug med tilhørende ICD-10-koder.
ICD-10-kode
F11-F11.9,
F14-F16.9,
F19-F19.9
T40.0-T40.1,
T40.5-T40.6,
T40.8-T40.9
Indhold
Psykiske lidelser og adfærdsmæssige forstyrrelser, forårsaget af brug af
opioider, kokain, hallucinogener, andre centralstimulerende stoffer eller
multiple eller andre psykoaktive stoffer, herunder fx afhængighedssyndrom,
abstinenstilstande og psykoser.
Forgiftning med opium, heroin, morfin, metadon, kokain, andet eller ikke-
specificeret opioid mv.
Psykiske lidelser og adfærdsmæssige forstyrrelser, forårsaget af brug af
hash, herunder fx afhængighedssyndrom, abstinenstilstande og psykoser.
Forgiftning med cannabis
Alkoholinduceret pseudo-Cushings syndrom.
Psykiske lidelser og adfærdsmæssige forstyrrelser, forårsaget af brug af
alkohol, herunder fx alkoholafhængighedssyndrom, abstinenstilstande og
alkoholpsykoser.
Nervesygdomme, forårsaget af alkohol: degenerative forandringer i nervesy-
stemet, forårsaget af alkohol, alkoholisk polyneuropati og alkoholisk myopati.
Alkoholisk kardiomyopati.
Fordøjelsessygdomme, forårsaget af alkohol, inkl. alkoholiske leversyg-
domme.
Psykiske lidelser og adfærdsmæssige forstyrrelser, forårsaget af brug af
sedativa, hypnotika eller flygtige opløsningsmidler.
Forgiftning med barbituratderivat, benzodiazepinderivat eller andet opioid.
Hashmisbrug
F12-F12.9
T40.7
E24.4
Alkoholmisbrug
F10.1-F10.9
G31.2, G62.1, G72.1
I42.6
K29.2, K70-K70.9,
K85.2, K86.0
Misbrug af medicin
eller andet
F13-13.9,
F18-F18.9
T40.2, T40.4
T42.3-T42.4
Oplysninger om misbrug stammer fra Register over stofmisbrugere i behandling, Det Nationale
Alkoholbehandlingsregister og Landspatientregisterets psykiatriske og somatiske del. Stofmisbrug
inddeler vi i denne undersøgelse i tre kategorier: misbrug af hårde stoffer (heroin, morfin, amfeta-
min, kokain, ecstasy, LSD eller illegal metadon), hashmisbrug og misbrug af medicin eller andet
(temgesic, benzodiazepiner (begge medicin), opløsningsmidler eller andet). Hertil kommer alko-
holmisbrug.
Stofmisbrug operationaliseres ud fra, at personen, ifølge registeret for stofmisbrugere i behandling,
selv har angivet stoffet som sit hovedstof eller indtager dette to til seks gange om ugen eller dag-
ligt. Personer, der optræder i Landspatientregisteret (enten den psykiatriske eller somatiske del)
med en diagnose relateret til stofmisbrug, opgøres ligeledes med et stofmisbrug.
Alkoholmisbrug operationaliseres ud fra, at personen, ifølge Det Nationale Alkoholbehandlingsre-
gister, har været i alkoholbehandling. Fra Register over stofmisbrugere i behandling opgøres de
24
SOU, Alm.del - 2016-17 - Bilag 369: VIVE’s Veje ind og ud af hjemløshed. En undersøgelse af hjemløshedens forløb og dynamik., fra børne- og socialministeren
1792734_0027.png
personer, der har oplyst, at de, udover at være stofmisbrugere også, dagligt indtager alkohol. En-
delig medtages en række diagnoser fra Landspatientregisteret relateret til alkoholmisbrug.
3.3
Indsatsdata fra Hjemløsestrategien og Implementerings- og
forankringsprojektet
Endelig inddrager vi også oplysninger om de borgere, der har deltaget i Housing First-indsatsen
under Hjemløsestrategien eller det efterfølgende Implementerings- og forankringsprojekt, der hav-
de til formål at udbrede Housing First-indsatsen og de tilhørende bostøttemetoder CTI, ICM og
ACT.
2
Hjemløsestrategien forløb fra 2009-2013 med deltagelse af 17 kommuner, mens Implemen-
terings- og forankringsprojektet forløb fra 2014-2016 og havde deltagelse af 25 kommuner. I den-
ne undersøgelse anvender vi oplysninger om bostøtteforløb, der er opstartet i løbet af undersøgel-
sesperioden fra 2009-2015, og om, hvilken bostøttemetode den hjemløse borger har modtaget.
Bostøtteforløb under Implementerings- og forankringsprojektet, der er opstartet i 2016, indgår så-
ledes ikke i denne undersøgelse.
3.4
Sammenkoblingen af data
I forbindelse med udfyldelse af spørgeskemaet, der benyttes i hjemløsetællingerne, registreres
også borgerens CPR-nummer i det omfang, det er muligt, samt initialer, der bruges til kontrol for
dobbelttællinger. Det betyder, at der for nogle borgere ikke findes et fuldstændigt CPR-nummer,
hvilket umuliggør koblingen af data fra hjemløsetællingerne med boformsdata fra Ankestyrelsen.
Der er CPR-numre på stort set alle borgere, der er registreret i boformsdata. CPR-numrene mulig-
gør en sammenkobling af data, både mellem de enkelte tællinger og med boformsregistret, samt
med øvrige registerdata, hvorfor borgere uden fuldstændigt CPR-nummer ikke indgår i denne un-
dersøgelse.
I figur 3.2 fremgår antallet af hjemløse borgere ud fra hjemløsetællingerne i form af det samlede
antal hjemløse borgere, registreret ved tællingerne, og antallet af borgere med fuldstændige CPR-
oplysninger.
Det ses, at ifølge hjemløsetællingerne stiger antallet af hjemløse borgere jævnt i løbet af perioden.
Det gælder både antallet i alt og antallet med fuldstændige CPR-oplysninger. Det fremgår også af
figur 3.2, at antallet med CPR-oplysninger stiger lidt hurtigere end det samlede antal. Således har
78 pct. af alle hjemløse borgere, registreret i tællingen i 2009, CPR-oplysninger, mens denne an-
del er steget til 85 pct. for hjemløse borgere, registreret i tællingen i 2015. Stigningen i antallet af
hjemløse borgere med CPR-numre i tællingsdata skyldes dermed ikke kun den reelle stigning, der
har fundet sted i løbet af perioden, men også det faktum, at der findes CPR-oplysninger på en
større andel af de registrerede borgere. Det er som nævnt gruppen med CPR-oplysninger, der
indgår i de videre analyser.
2
Data fra Hjemløsestrategien og Implementerings- og forankringsprojektet har været indsamlet af Rambøll og SFI som led i evalu-
ringen af disse indsatser (se Rambøll og SFI, 2013, samt Benjaminsen m.fl., 2017).
25
SOU, Alm.del - 2016-17 - Bilag 369: VIVE’s Veje ind og ud af hjemløshed. En undersøgelse af hjemløshedens forløb og dynamik., fra børne- og socialministeren
1792734_0028.png
Figur 3.2
Udvikling i antal hjemløse borgere, registreret i hjemløsetællingerne fra 2009-2015,
særskilt for antallet med CPR-oplysninger. Antal.
7.000
6.000
5.000
4.000
3.000
2.000
1.000
0
2009
2011
Med CPR
Kilde:
Tællingsdata.
I alt
2013
2015
Tabel 3.1 viser de hjemløse borgere, der er registreret i hjemløsetællingerne, opdelt på hver enkelt
hjemløshedssituation, og opdelt på, om der er CPR-oplysninger på borgerne eller ej. Af tabellen
ses det, at det primært er blandt de hjemløse borgere, der overnatter på gaden eller på natvarme-
stuer, at vi finder de største andele uden CPR-oplysninger.
Tabel 3.1
Fordeling af hjemløse borgere på hjemløsesituation, registreret i hjemløsetællingerne,
særskilt for CPR-oplysninger. Antal.
2009
2011
2013
2015
Antal borgere registreret i tællingsdata
Uden CPR Med CPR Uden CPR Med CPR Uden CPR Med CPR Uden CPR Med CPR
Gaden
Natvarmestue
Herberg
Hotel
Familie/venner
Udslusning
Kriminalforsorgen
Hospital
Andet
Uoplyst
N
Kilde:
Tællingsdata
211
230
250
9
139
47
5
21
143
66
1.121
295
125
1.702
79
947
117
81
151
173
207
3.877
122
155
256
21
192
108
5
8
74
70
1.011
304
128
1.618
47
1.241
119
83
165
293
281
4.279
189
213
205
13
273
81
4
19
49
76
1.122
406
136
1.810
57
1.380
130
60
100
321
298
4.698
194
153
116
12
239
40
12
18
56
55
895
415
192
1.986
101
1.637
138
78
120
283
293
5.243
Kombinationen af de to datakilder, tællingsdata og boformsdata, giver mulighed for at få et samlet
overblik over antallet af borgere, der over måleperioden rammes af hjemløshed, samt at foretage
analyser af, i hvilken grad de hjemløse borgere kortere- eller længerevarende befinder sig i en
hjemløshedssituation. Der er i alt registreret 15.080 borgere med fulde, unikke CPR-numre ved de
fire hjemløsetællinger mellem 2009 og 2015. I samme periode er der registreret 21.555 unikke
borgere på § 110-boformerne. Samlet er der registreret 29.325 unikke borgere i de to datasæt i
26
SOU, Alm.del - 2016-17 - Bilag 369: VIVE’s Veje ind og ud af hjemløshed. En undersøgelse af hjemløshedens forløb og dynamik., fra børne- og socialministeren
perioden fra 2009 til 2015. Det viser, at der naturligt nok også er en del borgere, der er registreret i
begge datasæt.
3.5
Dødelighed og forløbsanalyser
I forbindelse med forløbsanalyserne skal det tages i betragtning, at der er personer i undersøgel-
sespopulationen, der dør i løbet af undersøgelsesperioden. Tidligere undersøgelser på boforms-
data har vist, at der er en langt højere dødelighed blandt hjemløse borgere end i den øvrige be-
folkning (Nielsen m.fl., 2011). Ser vi på de 7.841 personer, der blev identificeret som hjemløse i de
samlede data (tællingsdata og boformsdata) i 2009, er der 1.289 personer, der dør i løbet af un-
dersøgelsesperioden mellem 2009 og 2015, svarende til 16 pct. Der er altså tale om en meget høj
dødelighed. Hvis de, der dør undervejs i perioden, helt udelades af analyserne, opstår der imidler-
tid en væsentlig selektionsproblematik, idet vi må antage, at dødeligheden alt andet lige er højest
blandt dem, der har de mest komplekse sociale og helbredsmæssige problemer, fx dem med
massive misbrugsproblemer. Særligt når det er en høj andel, der dør i perioden, vil det derved
påvirke den sociale og helbredsmæssige profil, der kan tegnes af gruppen, hvis de, der dør under-
vejs, udelades af analyserne.
Vi har håndteret denne dødelighedsproblematik i analyserne ved, at de, der dør i løbet af under-
søgelsesperioden, indgår i de fremadrettede forløbsundersøgelser; det vil sige, hvor vi følger dem,
der blev registreret som hjemløse et givent år i løbet af de efterfølgende år. Det er tilfældet i ho-
vedparten af forløbsanalyserne i kapitel 7.
I de analyser, hvor vi derimod undersøger borgernes situation i slutningen af et forløb, udelades
de, der er døde i løbet af undersøgelsesperioden. Det er i analyserne af veje ud af hjemløshed i
kapitel 8, hvor vi ser på, om de, der var hjemløse i 2009, fortsat er hjemløse i 2015.
3.6
Analysernes fokus
Ved at sammenkoble de to datakilder – hjemløsetællingernes tværsnitsdata og forløbsdataene fra
boformsregistret – er det muligt at foretage mere dybdegående analyser af vejene ind og ud af
hjemløshed og af forløbene gennem hjemløshed og overgange mellem forskellige hjemløshedssi-
tuationer.
På baggrund af kombinationen af de to datakilder analyserer vi udviklingen i og samspillet mellem
de forskellige hjemløshedssituationer. Vi ser blandt andet på, hvor stor en del af de personer, der
er registreret i tællingerne, og på boformerne i de enkelte år, der registreres som hjemløse i de
efterfølgende år. Derved får vi et billede af, hvor stor en del af de hjemløse borgere der registreres
som hjemløse i et enkelt år, og hvor mange der gentagne gange registreres i tællingerne eller på
boformerne.
Vi ser også på overgangene mellem de enkelte hjemløshedssituationer. Hjemløsetællingerne viser
således, at boformsbrugerne kun udgør knap halvdelen af dem, der på et givet tidspunkt befinder
sig i en hjemløshedssituation, og at gruppen af sofasovere udgør en næsten lige så stor gruppe.
Desuden indeholder tællingerne også gruppen af gadesovere og brugerne af natvarmestuer. Vi
afdækker overgangene mellem de forskellige hjemløshedssituationer over tid og ser også på, hvor
stor en andel af personerne i de øvrige hjemløshedssituationer der på et tidspunkt i perioden be-
nytter § 110-boformerne.
27
SOU, Alm.del - 2016-17 - Bilag 369: VIVE’s Veje ind og ud af hjemløshed. En undersøgelse af hjemløshedens forløb og dynamik., fra børne- og socialministeren
Typer af hjemløshed
Datakildernes forskellige karakter – at data fra hjemløsetællingerne udgør tværsnitsdata for en
enkelt uge hvert andet år, mens boformsdata udgør en kontinuerlig registrering af alle ophold på §
110-boformer – indebærer, at det ikke er muligt altid at foretage de samme analyser af de forløb,
de hjemløse borgere gennemgår, på tværs af datakilder.
I forløbsanalyserne, baseret på tællingsdata, er vi begrænsede til at kunne undersøge, hvorvidt
borgerne går igen i flere tællinger, samt hvilke hjemløsesituationer borgerne befinder sig i på tværs
af tællingerne, samt om borgere, der er registreret i de øvrige hjemløshedssituationer i tællingerne
(fx gadesovere og sofasovere), på et tidspunkt senere i et forløb optræder i boformsregistret. Data
fra boformsregistret kan i højere grad bruges til at undersøge typen af hjemløshed ved i mere de-
taljerede analyser at se på, hvem der kun kortvarigt befinder sig på boformerne, og hvem der
langvarigt eller flere gange opholder sig på en boform. Her benytter vi, med inspiration fra analyser
af amerikanske herbergsdata (jf. kapitel 2), en såkaldt klyngeanalyse, hvor vi, ved hjælp af oplys-
ninger om antallet af ophold på § 110-boformer samt længden af disse, er i stand til at identificere
forskellige typer af hjemløshed. En klyngeanalyse er en statistisk metode, hvor personer inddeles i
grupper (klynger), baseret på deres ligheder og forskelle, hvor analysen identificerer grupper, der
internt er så ens som muligt, men samtidig adskiller sig mest muligt fra de andre grupper.
I denne analyse anvender vi boformsdata for hele perioden fra 2009 til og med 2015. Boformsda-
taene indeholder oplysninger om ind- og udskrivningsdatoer fra § 110-boformerne, hvorfor det er
muligt at registrere det præcise antal dage og perioder, hvor hver enkelt borger har benyttet § 110-
boformerne. Vi udelader dog fra denne analyse brugere, der udelukkende var indskrevet på bo-
formerne i begyndelsen og i slutningen af perioden. Borgere, der allerede var indskrevet på en §
110-boform 1. januar 2009, men som ikke har andre, nyere hjemløseperioder i undersøgelsespe-
rioden, udelades således, ligesom borgere, der var indskrevet på en § 110-boform 31. december
2015, men som ikke tidligere har haft hjemløseperioder i undersøgelsesperioden, udelades af
klyngeanalysen. Det skyldes, at vi for disse borgere ikke kender den reelle længde af opholdet,
der således er opstartet før analyseperioden eller afsluttet efter analyseperioden. Analysen udfø-
res endvidere kun for individer, der både er i live og som opholder sig i Danmark i hele perioden.
Endelig medtager vi kun borgere, der er 18 år eller ældre i starten af perioden. I alt indgår 15.107
borgere i denne analyse.
Vi undersøger, om de forskellige typer af hjemløshed, der er identificeret i de tidligere analyser af
både amerikanske og danske data, fortsat kan identificeres i nyere data, ligesom vi ser på, hvor-
dan de forskellige typer af hjemløshed relaterer sig til øvrige risikofaktorer. Endvidere ser vi på,
hvordan de forskellige typer af hjemløshed relaterer sig til de sociale og behandlingsmæssige
indsatser.
Hjemløse unge
Endelig foretager vi en særskilt analyse af gruppen af hjemløse unge. Hjemløsetællingerne har
vist, at der siden 2009 er sket en kraftig stigning i antallet af hjemløse unge, og at en stor del af de
hjemløse unge er sofasovere. Her ses der på, hvad der kendetegner de unge hjemløses risikopro-
filer, herunder i forhold til psykisk lidelse, misbrugsproblemer og tidligere anbringelser, ligesom vi
også afdækker, hvad der kendetegner de unges familiebaggrund.
28
SOU, Alm.del - 2016-17 - Bilag 369: VIVE’s Veje ind og ud af hjemløshed. En undersøgelse af hjemløshedens forløb og dynamik., fra børne- og socialministeren
4
HJEMLØSHEDENS OMFANG OG UDVIKLING
I dette kapitel tegner vi et samlet billede af omfanget af og udviklingen i hjemløsheden i perioden
fra 2009 til 2015 ved at kombinere data fra hjemløsetællingerne og registerdata fra § 110-
boformerne.
Som beskrevet i metodeafsnittet gennemføres hjemløsetællingerne som en ugetælling hvert andet
år og dækker flere forskellige hjemløshedssituationer som gadesovere, brugere af natvarmestuer,
brugere af herberger (§ 110-boformerne) og dem, der overnatter midlertidigt hos familie og venner,
mens boformsregistret indeholder en løbende registrering året rundt af dem, der benytter § 110-
boformerne, mens det ikke indeholder oplysninger om øvrige hjemløshedssituationer. På den må-
de dækker hvert register en delmængde af den samlede gruppe af borgere, der i løbet af en given
periode befinder sig i en hjemløshedssituation. Ved at benytte data fra begge datakilder opnår vi
samlet set et mere dækkende billede af, hvem der i perioden fra 2009 til 2015 har befundet sig i en
hjemløshedssituation.
Der vil være borgere, der har været hjemløse over perioden, men som ikke indgår i nogen af de to
registre. Det vil fx være tilfældet, hvis en hjemløs borger har overnattet midlertidigt hos familie og
venner i en periode, der ikke har været omfattet af hjemløsetællingernes tælleuge, og samtidig
ikke har været indskrevet på en § 110-boform i perioden. Imidlertid giver brugen af data fra begge
datakilder tilsammen et mere dækkende billede af omfanget og udviklingen i hjemløsheden, end
de to datakilder gør hver for sig. I dette kapitel vil vi derfor se på, hvilken viden vi opnår om hjem-
løshedens samlede omfang og udvikling, når vi benytter data fra begge datakilder på én gang.
4.1
Udviklingen i hjemløsheden
Figur 4.1 viser udviklingen i antallet af hjemløse borgere, målt ud fra henholdsvis hjemløsetællin-
gerne og boformsdata, og det samlede antal, når de to datakilder samles. Som beskrevet i meto-
deafsnittet indgår i de anvendte data fra hjemløsetællingerne de personer, der er registreret med
et fuldt CPR-nummer, hvilket gælder cirka fire ud af fem af dem, der er registreret ved tællingerne.
Personer, der ikke er registreret med et fuldt CPR-nummer, er udeladt af opgørelsen, da det for
disse personer ikke er muligt at afgøre, om der er tale om unikke personer, når tællingsdata kom-
bineres med boformsdata. Figuren indeholder oplysninger for de fire år, hvor vi både har data fra
hjemløsetællingerne og fra boformerne, mens de mellemliggende år er udeladt af figuren, da der
for disse år kun er data fra boformerne.
En særlig vigtig viden, som vi får af at benytte data fra begge datakilder, er, at der i løbet af et helt
år er flere personer, der rammes af hjemløshed, end hvad der fremgår af de to datakilder hver for
sig. Det ses således, at der i 2009 er registreret knap 8.000 borgere i alt i de to datasæt, hvilket er
væsentligt flere end de cirka 6.000 borgere, der er registreret i boformsdata, og de knap 4.000
borgere, der var registreret med fulde CPR-numre i hjemløsetællingen i 2009 (hvor der i alt blev
registreret 4.998 hjemløse borgere inklusive dem, der ikke var registreret med fulde CPR-numre).
Det er tydeligt, at det samlede antal borgere, som er registreret som hjemløse i mindst ét af de to
datasæt i løbet af 2009, er væsentligt højere end i de to datasæt hver for sig.
Samtidig ses det af figur 4.1, at der findes et betydeligt overlap mellem de to datakilder. Det vil
sige, at der er en del af de borgere, der er registreret i tællingerne, der også indgår i boformsregi-
stret. Det gælder de borgere, som har opholdt sig på § 110-boformerne i tælleugen, og det gælder
29
SOU, Alm.del - 2016-17 - Bilag 369: VIVE’s Veje ind og ud af hjemløshed. En undersøgelse af hjemløshedens forløb og dynamik., fra børne- og socialministeren
1792734_0032.png
ligeledes borgere i de øvrige hjemløshedssituationer, der indgår i tællingerne, i det omfang de
også har benyttet en § 110-boform i det pågældende år.
Samlet set stiger antallet af hjemløse borgere fra 7.841 borgere i 2009 til 9.061 borgere i 2015.
Opgørelsen viser, at antallet af hjemløse borgere, registreret på § 110-boformer, kun stiger svagt i
løbet af perioden, mens det er antallet af borgere, registreret i hjemløsetællingerne, der i høj grad
driver en samlet stigning i antallet af hjemløse borgere, når vi samler de to datakilder. En væsent-
lig grund til denne udvikling er, at der hen over perioden er sket en kraftig stigning i antallet af
hjemløse unge, der primært kommer til udtryk i tællingsdataene, da væsentligt færre blandt de
hjemløse unge benytter § 110-boformerne, mens hovedparten af de hjemløse unge overnatter
midlertidigt hos familie og venner.
I forbindelse med den kun svage stigning i antallet af hjemløse borgere, der er registreret på bo-
formerne, skal det tages i betragtning, at selvom der er sket en lille stigning i antallet af pladser på
§ 110-boformerne gennem perioden, så afspejler tallene også, at der er et kapacitetsloft, hvad
angår antallet af pladser på boformerne, hvilket kun i mindre grad slår igennem i hjemløsetællin-
gerne, hvor også en række øvrige hjemløshedssituationer indgår.
Figur 4.1
Udvikling i antallet af hjemløse borgere fra 2009-2015, særskilt for tællingsdata, bo-
formsdata og samlede data. Antal.
10.000
9.000
8.000
Antal hjemløse borgere
7.000
6.000
5.000
4.000
3.000
2.000
1.000
0
2009
Tællingsdata
Kilde:
Tællingsdata og boformsdata
2011
Boformsdata
2013
Samlet data
2015
4.2
Skøn over det årlige antal af hjemløse borgere
Figur 4.1 illustrerer, at der er forskel på, om hjemløsheden måles som en punktmåling (’stock’)
eller som en opgørelse over tid (’flow’). Vi skal samtidig være opmærksomme på, at vi ikke blot
kombinerer to datakilder, hvor tællingen er en punktmåling, og boformsdata er en ’flow-opgørelse’,
men samtidig at hjemløsetællingen indeholder alle de otte hjemløshedssituationer, mens boforms-
data kun indeholder dem, der overnatter på et herberg. Set over en længere periode er der et
betydeligt større antal borgere, der rammes af hjemløshed, end når vi måler hjemløsheden på et
enkelt tidspunkt (tælleugen). Forskellen indikerer samtidig, hvordan der er en løbende tilgang og
afgang af borgere, der på et givent tidspunkt befinder sig i en hjemløshedssituation, hvilket vi bely-
ser nærmere i de efterfølgende kapitler om veje ind og ud af hjemløshed.
30
SOU, Alm.del - 2016-17 - Bilag 369: VIVE’s Veje ind og ud af hjemløshed. En undersøgelse af hjemløshedens forløb og dynamik., fra børne- og socialministeren
Hvis man således skulle måle det fulde omfang af hjemløsheden året rundt, ville det principielt
kræve, at alle de hjemløshedssituationer, der bliver opgjort i hjemløsetællingen, skulle måles året
rundt, hvilket praktisk set ikke er muligt, da hver enkelt hjemløsetælling kræver en omfattende
dataindsamling fra et stort antal sociale tilbud.
Det er ikke muligt, ud fra de tilgængelige data, at give et præcist mål eller skøn for, hvor mange
personer der rammes af hjemløshed over et helt år. Dataene giver imidlertid et fingerpeg om stør-
relsesordenen af en omregningsfaktor, man kan benytte ved et sådant skøn. Når vi ser på, hvor
mange personer der på et givent tidspunkt er indskrevet på boformerne, kan vi sammenholde det-
te tal med antallet af personer, der benytter boformerne i løbet af et helt år. På et givent tidspunkt
svarer antallet af indskrevne borgere på boformerne nogenlunde til antallet af pladser, der i perio-
den har ligget på cirka 2.100-2.200 pladser, og hvor der generelt er en høj belægningsprocent.
Samme billede af antallet af personer, der er indskrevet på boformerne på et givent tidspunkt, får
vi fra hjemløsetællingerne, hvor det er cirka 2.200-2.300 personer, der har benyttet boformerne i
løbet af tælleugen hen over de enkelte tællinger (ikke vist). Det vil sige, at når vi sammenholder de
cirka 2.200-2.300 personer, der benytter boformerne på et givent tidspunkt, med de cirka 6.000
personer, der over et år benytter boformerne, får vi en omregningsfaktor på cirka 2,7. Hvis vi anta-
ger, at det er nogenlunde samme omregningsfaktor, der gør sig gældende i de øvrige hjem-
løshedssituationer, kan vi, ud fra de godt 6.000 personer, der blev registreret ved hjemløsetællin-
gen i 2015, foretage et skøn over, at det er cirka 15.000-16.000 personer, der rammes af hjemløs-
hed over et helt år. Heraf er det således cirka 9.000, der er blevet registreret med et fuldt CPR-
nummer, enten i hjemløsetællingen i uge 6 eller som er blevet registreret på en § 110-boform i
årets løb. Vi ved dog reelt ikke, om samme omregningsfaktor som for § 110-boformerne gør sig
gældende for de øvrige hjemløshedssituationer. Derfor skal der gøres opmærksom på, at der er
tale om et forsigtigt skøn, og at der vil være en del usikkerhed, når det kommer til omfanget af
tallet.
31
SOU, Alm.del - 2016-17 - Bilag 369: VIVE’s Veje ind og ud af hjemløshed. En undersøgelse af hjemløshedens forløb og dynamik., fra børne- og socialministeren
32
SOU, Alm.del - 2016-17 - Bilag 369: VIVE’s Veje ind og ud af hjemløshed. En undersøgelse af hjemløshedens forløb og dynamik., fra børne- og socialministeren
5
PROFIL OG BAGGRUNDSKARAKTERISTIKA
I dette kapitel tegner vi en profil af, hvad der samlet set kendetegner målgruppen af hjemløse, når
vi fortsat ser på data på tværs af de to datakilder. Vi tager udgangspunkt i den samlede gruppe af
borgere, der har været registreret som hjemløse hen over hele perioden fra 2009 til 2015, og be-
skriver, hvad der kendetegner disse borgere i forhold til køn, alder, etnisk baggrund, uddannelse
og forsørgelsesgrundlag, samt i forhold til risikofaktorer som psykisk lidelse og misbrug. Dernæst
ser vi på udviklingen i profilen af de hjemløse borgere hen over perioden.
5.1
Samlet profil
Tabel 5.1 viser profilen for det samlede antal borgere, der er registreret som hjemløse i perioden
fra 2009 til 2015 på en række baggrundsfaktorer. Det er i alt 29.325 unikke borgere, der er regi-
streret i mindst en af de to datakilder, når vi inddrager data fra alle de fire hjemløsetællinger i peri-
oden (2009, 2011, 2013 og 2015) samt de fortløbende data fra § 110-boformerne fra 2009-2015. I
denne opgørelse inddrager vi også data fra boformerne for de mellemliggende år, det vil sige for
2010, 2012 og 2014, hvor der ikke er tællingsdata. Opgørelsen giver således et samlet billede af,
hvor mange borgere der som minimum har været berørt af hjemløshed i perioden ved enten at
være blevet registreret i hjemløsetællingerne og/eller ved at have overnattet på en § 110-boform.
Der er i alt 76 pct. mænd og 24 pct. kvinder i den samlede gruppe af hjemløse borgere. Fordelin-
gen på køn er nogenlunde ens på tværs af datakilder. Derimod er der forskelle i andelen i de for-
skellige aldersgrupper, når vi sammenligner de to datakilder. De 18-29-årige udgør 33 pct. af de
personer, der er registreret i tællingerne, men kun 24 pct. af de personer, der er registreret på
boformerne. Derimod udgør borgere på 50 år og derover 19 pct. af dem, der er registreret i tællin-
gerne, men 29 pct. af dem, der er registreret på boformerne. Det afspejler, at mange hjemløse
unge befinder sig i andre hjemløshedssituationer end på boformerne, da mange hjemløse unge
overnatter hos familie og venner, og at relativt flere blandt de unge end blandt de midaldrende og
ældre således registreres gennem hjemløsetællingerne fremfor på boformerne.
Det er sammenlagt 80 pct. af alle de hjemløse borgere, der har dansk baggrund, mens 17 pct. er
indvandrere og 3 pct. er efterkommere. Indvandrere og efterkommere udgør en lidt større andel af
dem, der er registreret i tællingerne med 22 pct., mens de udgør 18 pct. af dem, der er registreret
på boformerne. Det hænger sammen med, at der er flere indvandrere og efterkommere i de yngre
aldersgrupper, og at andelen af unge er højere blandt dem, der er registreret i tællingerne.
Hvad angår uddannelse, udgør borgere med grundskole som højest fuldførte uddannelse den klart
største gruppe. Samlet set har 43 pct. af de hjemløse borgere grundskolen som højest fuldførte
uddannelse, mens der er 19 pct. med en erhvervsfaglig uddannelse. Det er 13 pct., der ikke har
fuldført 9. klasse, og ligeledes er der en gruppe på 15 pct. med manglende uddannelsesoplysnin-
ger. Der er ikke væsentlige forskelle i uddannelsesbaggrunden, når vi sammenligner dem, der er
registreret i hjemløsetællingerne med dem, der er registreret på boformerne.
Kontanthjælpsmodtagere udgør den største gruppe blandt de hjemløse borgere med 48 pct.,
mens 19 pct. er førtidspensionister. Andelen af førtidspensionister er højere blandt dem, der er
registreret på boformerne, hvilket hænger sammen med, at andelen af midaldrende og ældre
hjemløse er højere blandt dem, der er registreret på boformerne, mens der er få førtidspensioni-
ster blandt de unge og blandt dem, der overnatter hos familie og venner, hvor langt hovedparten
er kontanthjælpsmodtagere.
33
SOU, Alm.del - 2016-17 - Bilag 369: VIVE’s Veje ind og ud af hjemløshed. En undersøgelse af hjemløshedens forløb og dynamik., fra børne- og socialministeren
1792734_0036.png
Tabel 5.1
Samlet antal hjemløse borgere i perioden 2009-2015, fordelt på baggrundsfaktorer,
særskilt for tællingsdata, boformsdata og samlede data. Antal og procent.
Tællingsdata
Antal
Pct.
100
Boformsdata
Antal
21.555
Pct.
100
Samlede data
Antal
29.325
Pct.
100
Samlet
Køn
Mænd
Kvinder
Aldersgrupper
18-29 år
30-49 år
50+ år
Etnisk baggrund
Danskere
Indvandrere
Efterkommere
Ukendt
Højest fuldførte uddannelse
LVU eller højere
MVU
KVU
Erhvervsfaglig udd.
Gymnasial udd.
Grundskole
< 9. klasse
Ukendt
Beskæftigelsessituation
Job
Ledige
Studerende
Kontanthjælp
Førtidspension
Folkepension
Øvrige uden for arbejdsstyrken
Ukendt
1
1
1
15.080
11.773
3.307
78
22
16.416
5.139
76
24
22.243
7.082
76
24
4.996
7.242
2.842
33
48
19
5.146
10.084
6.325
24
47
29
8.372
13.505
7.448
29
46
25
11.552
2.773
588
167
77
18
4
1
17.810
3.363
382
0
83
16
2
0
23.478
4.840
840
167
80
17
3
<1
122
357
187
2.356
620
6.874
1.923
2.641
<1
2
1
16
4
46
13
18
230
816
346
4.631
913
9.119
2.791
2.709
1
4
2
21
4
42
13
13
299
957
426
5.614
1.247
12.732
3.689
4.361
1
3
1
19
4
43
13
15
1.303
646
766
8.356
2.252
163
368
1.226
9
4
5
55
15
1
2
8
2.570
1.204
1.033
10.127
4.837
549
622
613
12
6
5
47
22
3
3
3
3.316
1.475
1.491
14.213
5.645
628
852
1.705
11
5
5
48
19
2
3
6
Note 1: Aldersgrupperne, højest fuldførte uddannelse og beskæftigelsessituation er målt det første år, hvor borgeren regi-
streres som hjemløs, enten i tællingsdata eller i boformsdata.
Kilde: Tællingsdata, boformsdata og øvrige registerdata.
34
SOU, Alm.del - 2016-17 - Bilag 369: VIVE’s Veje ind og ud af hjemløshed. En undersøgelse af hjemløshedens forløb og dynamik., fra børne- og socialministeren
1792734_0037.png
5.2
Køn og alder
Udviklingen i antallet af hjemløse borgere er i figur 5.1 opdelt på køn. I figuren er opgjort det sam-
lede antal hjemløse mænd og kvinder (samlede data), mens antallet af hjemløse mænd og kvin-
der, der er registreret i henholdsvis hjemløsetællingerne og på boformerne kan findes i bilag 1. I
figuren indgår kun data for de fire år 2009, 2011, 2013 og 2015, hvor der er data fra begge data-
kilder. Samlet set er der sket en stigning i både antallet af hjemløse mænd og kvinder over perio-
den. For mændene er der ikke sket nogen nævneværdig stigning i antallet på § 110-boformerne,
mens der er sket en betydelig stigning i antallet af hjemløse mænd, registreret i hjemløsetællin-
gerne. For kvinderne sker der en stigning, både i antallet, der er registreret på boformerne og i
tællingerne (se bilag 1).
Figur 5.1
Udvikling i antallet af hjemløse borgere fra 2009-2015, fordelt på køn, samlede data.
Antal.
8.000
7.000
6.000
Antal hjemløse borgere
5.000
4.000
3.000
2.000
1.000
0
2009
2011
Mænd (Samlet data)
Kilde:
Tællingsdata og boformsdata
2013
Kvinder (Samlet data)
2015
Figur 5.2 viser udviklingen i antal hjemløse borgere, opdelt på tre aldersgrupper: de 18-29-årige,
de 30-49-årige, og dem på 50 år og derover. Figur 5.2 er baseret på de samlede data, mens en
figur, der viser udviklingen for de tre aldersgrupper for henholdsvis dem, der er registreret i hjem-
løsetællingerne og på boformerne kan findes i bilag 1.
Figur 5.2 viser, hvordan der samlet set særligt er sket en stigning i antallet af hjemløse unge mel-
lem 18 og 29 år, der er steget fra cirka 1.600 personer i 2009 til cirka 2.500 personer i 2015. Der
er også sket en stigning i antallet af hjemløse på 50 år og derover, fra cirka 2.000 personer i 2009
til knap 2.500 personer i 2015. Derimod er antallet af hjemløse mellem 30 og 49 år faldet fra cirka
4.200 personer i 2009 til cirka 4.000 personer, registreret i 2015.
Det lille fald i antallet af hjemløse mellem 30 og 49 år dækker dog over en lille stigning i antallet af
30-49-årige, registreret i hjemløsetællingerne, og et lille fald i antallet, registreret på boformerne.
Særligt for de unge mellem 18 og 29 år, men også i den ældre aldersgruppe på 50 år og derover,
ses der en stigning i løbet af perioden på tværs af begge datakilder (bilagsfigur 1.2).
35
SOU, Alm.del - 2016-17 - Bilag 369: VIVE’s Veje ind og ud af hjemløshed. En undersøgelse af hjemløshedens forløb og dynamik., fra børne- og socialministeren
1792734_0038.png
Figur 5.2
Udvikling i antallet af hjemløse borgere fra 2009-2015, fordelt på aldersgrupper, sam-
lede data. Antal.
4.500
4.000
3.500
Antal hjemløse borgere
3.000
2.500
2.000
1.500
1.000
500
0
2009
18-29 år (Samlet data)
Kilde.: Tællingsdata og boformsdata
2011
30-49 år (Samlet data)
2013
2015
50 år eller ældre (Samlet data)
5.3
Etnisk baggrund
Figur 5.3 viser udviklingen, fordelt på etnisk baggrund for de samlede data, mens udviklingen for
hjemløsetællingerne og boformdata særskilt kan findes i bilagsfigur 1.3.
Figur 5.3
Udvikling i antallet af hjemløse borgere fra 2009-2015, fordelt på danskere, indvan-
drere og efterkommere, samlede data. Antal.
8.000
7.000
Antal hjemløse borgere
6.000
5.000
4.000
3.000
2.000
1.000
0
2009
Danskere
Kilde:
Tællingsdata og boformsdata.
2011
Indvandrere
2013
Efterkommere
2015
Samlet set er der sket en stigning i både antallet af hjemløse med dansk baggrund og i antallet af
hjemløse indvandrere og efterkommere. Antalsmæssigt står gruppen med dansk baggrund for den
største stigning, mens den største stigning forholdsmæssigt findes i gruppen af efterkommere.
36
SOU, Alm.del - 2016-17 - Bilag 369: VIVE’s Veje ind og ud af hjemløshed. En undersøgelse af hjemløshedens forløb og dynamik., fra børne- og socialministeren
1792734_0039.png
Stigningen i antallet af hjemløse med dansk baggrund viser sig dog kun i tællingsdataene, mens
antallet på boformerne er nogenlunde konstant (med et svagt fald), mens stigningen i antallet af
hjemløse indvandrere og efterkommere både ses i hjemløsetællingerne og i boformsdata (se bi-
lagsfigur 1.3).
5.4
Uddannelse og forsørgelse
Tabel 5.2 viser udviklingen i den højest fuldførte uddannelse blandt de hjemløse borgere hen over
undersøgelsesperioden. Her ser vi fortsat udelukkende på de samlede data, det vil sige dataene
fra hjemløsetællingerne og boformerne under ét. Fordelingen efter uddannelse er meget stabil i
løbet af perioden, hvor grundskole udgør den største andel på over 40 pct. i hele perioden. Denne
gruppes andel stiger svagt, mens andelen med mindre end 9. klasse tilsvarende falder lidt. Hjem-
løse borgere med erhvervsfaglig uddannelse udgør den næststørste gruppe med en andel på
knap 20 pct. Tallene understreger, at langt hovedparten af dem, der rammes af hjemløshed, har et
lavt uddannelsesniveau. Det skal dog ikke overses, at gruppen med erhvervsfaglige uddannelser
udgør cirka en femtedel af dem, der rammes af hjemløshed.
Tabel 5.2
Fordeling af hjemløse borgere på højest fuldførte uddannelse, samlede data. Procent.
2009
LVU eller højere
MVU
KVU
Erhvervsfaglig udd.
Gymnasial udd.
Grundskole
< 9. klasse
Ukendt
N
Kilde:
<1
3
1
20
4
41
15
15
7.841
Tællingsdata, boformsdata og øvrige registerdata.
2011
<1
3
2
19
4
44
14
14
8.249
2013
1
3
1
19
4
45
13
15
8.648
2015
<1
3
1
17
4
45
11
16
9.061
Tabel 5.3 viser de hjemløse borgeres beskæftigelses- og forsørgelsessituation hen over perioden.
Kontanthjælpsmodtagere udgør den største gruppe med en andel på 54 pct. i 2015. Andelen af
kontanthjælpsmodtagere er steget fra et niveau på 48 pct. i 2009. I samme periode er andelen af
førtidspensionister, der udgør den næststørste gruppe, faldet fra 25 pct. til 17 pct. En mulig grund
til den faldende andel af førtidspensionister kan være reformer af førtidspensionen i perioden, der
alt andet lige må antages at have gjort adgangen til førtidspension vanskeligere, hvilket også kan
bidrage til at forklare den stigende andel på kontanthjælp. Det kan dog også spille ind, at andelen
af unge blandt de hjemløse er steget i perioden, og at færre blandt de unge er på førtidspension.
Det er kun en ret lille andel af de hjemløse borgere, der er i beskæftigelse, og denne andel falder
lidt i løbet af perioden, hvilket formentlig skyldes gennemslaget af den økonomiske krise i starten
af perioden.
37
SOU, Alm.del - 2016-17 - Bilag 369: VIVE’s Veje ind og ud af hjemløshed. En undersøgelse af hjemløshedens forløb og dynamik., fra børne- og socialministeren
1792734_0040.png
Tabel 5.3
Fordeling af hjemløse borgere på beskæftigelsessituation, samlede data. Procent.
2009
2011
9
4
5
50
22
2
2
5
100
8.249
2013
8
5
5
50
22
2
2
5
100
8.648
2015
9
5
5
54
17
2
2
6
100
9.061
Job
Ledige
Studerende
Kontanthjælp
Førtidspension
Folkepension
Øvrige uden for arbejdsstyrken
Ukendt
I alt, procent
I alt, antal
Kilde:
11
3
3
48
25
2
2
6
100
7.841
Tællingsdata, boformsdata og øvrige registerdata.
5.5
Geografisk fordeling
Den geografiske fordeling af de hjemløse borgere i løbet af undersøgelsesperioden er vist i tabel
5.4. Den geografiske fordeling er samlet set ret ensartet hen over perioden, men det ses dog, at
andelen af de hjemløse borgere, der er registreret i Københavns omegn stiger betydeligt fra 12
pct. i 2009 til 17 pct. i 2015. Andelen, der er registreret i Københavns Kommune, ligger derimod
stabilt på cirka 18 pct. Det er i alt 38 pct. af de hjemløse borgere, der er registreret i hovedstads-
området under ét i 2015, mens der tilsammen er 17 pct. i landets tre andre store byer, Aarhus,
Odense og Aalborg. Der er 28 pct. af de hjemløse borgere, der er registreret i gruppen af landets
øvrige kommuner, hvor den største by har over 20.000 indbyggere (’bykommuner’), mens 16 pct.
er registreret i kommuner, hvor den største by har under 20.000 indbyggere (’landkommuner’).
Tabel 5.4
Fordeling af 18-24-årige hjemløse borgere på byområder, samlede data. Procent.
2009
København
Frederiksberg
Københavns omegn
Aarhus
Odense
Aalborg
Øvrige kommuner, største by > 20.000
Øvrige kommuner, største by < 20.000
Ukendt
N
Kilde:
18
3
12
9
5
4
28
19
2
7.841
Tællingsdata, boformsdata og øvrige registerdata.
2011
19
3
15
10
4
5
27
17
2
8.249
2013
19
2
16
9
3
5
29
16
1
8.648
2015
18
3
17
9
3
5
28
16
1
9.061
5.6
Psykisk lidelse og misbrugsproblemer
Psykiske lidelser og misbrugsproblemer er på det individuelle plan to af de væsentligste risikofak-
torer bag hjemløsheden. Tabel 5.5 viser andelen af hjemløse borgere med en psykisk lidelse eller
misbrugsproblemer i løbet af undersøgelsesperioden, baseret på oplysninger kombineret fra de
38
SOU, Alm.del - 2016-17 - Bilag 369: VIVE’s Veje ind og ud af hjemløshed. En undersøgelse af hjemløshedens forløb og dynamik., fra børne- og socialministeren
1792734_0041.png
centrale dataregistre som beskrevet i kapitel 3. Det seneste år, hvor der var tilgængelige register-
oplysninger om psykiske lidelser fra Landspatientregistret og misbrugsproblemer fra Register over
Stofmisbrugere i behandling, da data til undersøgelsen blev udtrukket, var for 2014. Derfor er 2013
det seneste af de fire opgørelsesår med samlede data fra hjemløsetællingerne og boformerne,
hvor vi har tilkoblet registerdata om psykiske lidelser og misbrugsproblemer. Der vises andele,
baseret på to forskellige opgørelsesmetoder, hvor der akkumuleres diagnoseoplysninger fra bor-
gerens hidtidige livsforløb frem til opgørelsesåret så langt tilbage, som registrene tillader os at
komme, ligesom der vises andele med diagnoser, givet inden for de seneste fem år før opgørel-
sesåret.
Tabel 5.5
Andelen af hjemløse borgere med psykiske lidelser eller misbrug, samlede data. Ku-
muleret til eller opgjort for de fem seneste år, regnet for hvert af årene 2009-2013.
Procent.
2009
Livsforløb
Svær psykisk lidelse
Anden psykisk lidelse
Psykisk lidelse i alt
Misbrug af hårde stoffer
Hashmisbrug
Alkoholmisbrug
Misbrug af medicin eller andet
Misbrug i alt
Psykisk lidelse eller misbrug
Psykisk syge misbrugere
N
Kilde:
20
40
46
34
31
47
26
66
75
37
7.841
Tællingsdata, boformsdata og øvrige registerdata.
Sidste 5 år
15
29
36
28
26
42
22
61
69
27
7.841
Livsforløb
20
42
48
32
31
44
24
63
74
37
8.249
2011
Sidste 5 år
16
31
38
27
25
39
18
58
68
28
8.249
Livsforløb
21
44
50
32
33
42
23
63
74
39
8.648
2013
Sidste 5 år
17
32
39
26
26
36
18
57
67
28
8.648
Samlet set er 50 pct. af de hjemløse borgere i 2013 registreret med en psykisk lidelse i deres hid-
tidige livsforløb, hvor 21 pct. har en svær psykisk lidelse, og 44 pct. har en anden psykisk lidelse,
idet nogle er registreret med flere forskellige typer af diagnoser. Der er sket en lille stigning i ande-
len med en psykisk lidelse i løbet af perioden fra 46 pct. i 2009 til 50 pct. i 2013, hvilket primært
skyldes en stigning i andelen, registreret i kategorien med en anden psykisk lidelse. Andelen, der
er registreret med psykiatriske diagnoser inden for de seneste fem år, er dog noget lavere end
andelen, der er registreret over hele livsforløbet, hvilket understreger, at det for nogles vedkom-
mende kan være lang tid siden, at en diagnosticering er sket (typisk i forbindelse med en indlæg-
gelse).
Det er 63 pct. af de hjemløse borgere i 2013, der over deres hidtidige livsforløb er registreret med
et misbrug, hvor alkoholmisbrug er den mest udbredte misbrugsform, men hvor der ligeledes er en
betydelig andel med misbrug af hårde stoffer eller med hashmisbrug. Også for misbrugsproblemer
er der dog for nogles vedkommende tale om en registrering, der er foregået for mere end fem år
siden, da andelen, der er registreret med misbrugsproblemer inden for de seneste fem år, er lidt
lavere end andelen, der er registreret over hele det hidtidige livsforløb. Andelen, der samlet set er
registreret med enten en psykisk lidelse eller misbrugsproblemer, ligger ret stabilt over perioden
på omkring 74 pct. Særligt er der en betydelig andel af de hjemløse borgere, der er registreret
med både en psykisk lidelse og misbrugsproblemer, det vil sige den gruppe, der ofte betegnes
som personer med en ’dobbeltdiagnose’. I 2013 udgjorde denne gruppe 39 pct. af de hjemløse
39
SOU, Alm.del - 2016-17 - Bilag 369: VIVE’s Veje ind og ud af hjemløshed. En undersøgelse af hjemløshedens forløb og dynamik., fra børne- og socialministeren
1792734_0042.png
borgere. Det er en større andel, der er opgjort i denne gruppe ud fra diagnosedata i helbredsregi-
strene, end når denne andel alene opgøres på baggrund af oplysningerne i hjemløsetællingerne,
hvor andelen med en kombination af psykiske lidelser og misbrugsproblemer i 2013 blev opgjort til
31 pct. (Benjaminsen & Lauritzen, 2013). Det understreger, at der er en betydelig del af de hjem-
løse borgere, som har komplekse, psykosociale problemer, og som derfor også må antages at
have ret komplekse støttebehov, hvilket har betydning for, hvilke sociale indsatser denne gruppe
har behov for.
Tabel 5.5 er udelukkende baseret på centrale registerdata, der er tilgængelige for borgere, regi-
streret i begge datakilder (tællinger og boformer). For hjemløsetællingerne er der i tillæg hertil
også spørgeskemaoplysninger om psykisk lidelse og misbrug, der er indhentet ud fra hjemløsetæl-
lingernes personskemaer. Tabel 5.6 viser andelen med psykisk lidelse og misbrugsproblemer,
opgjort udelukkende for de hjemløse borgere fra tællingerne. Vi skelner her mellem andelene, vi
kan finde, når vi udelukkende bruger registeroplysninger, og andelene når vi kombinerer register-
oplysninger med oplysningerne om misbrug og psykiske lidelser fra tællingsdataene. Vi kan se, at
kombinationen af datakilder giver en noget højere andel med psykisk lidelse eller misbrugspro-
blemer. Således stiger andelen med en psykisk lidelse fra 46 til 56 pct., for misbrug fra 56 til 69
pct. og andelen med enten psykisk lidelse eller misbrug stiger fra 68 til 82 pct., når vi kombinerer
registeroplysningerne med oplysningerne fra tællingernes personspørgeskemaer. Tallene tyder
på, at registerdata ikke giver det fulde billede af omfanget af psykiske lidelser eller misbrugspro-
blemer, hvilket kan være tegn på, at der er en underdiagnosticering i registerdataene fra behand-
lingssystemet. Men der skal samtidig tages det forbehold, at oplysningerne om psykisk lidelse og
misbrug fra hjemløsetællingerne kan bero på skøn og dermed ikke nødvendigvis er baseret på
diagnosticering, med mindre medarbejderne, der har udfyldt spørgeskemaerne om brugerne i de
sociale tilbud, har haft kendskab til diagnosticeret psykisk lidelse eller misbrug. Trods disse forbe-
hold viser tallene, at det er en meget høj andel af de hjemløse borgere, der har alvorlige psykoso-
ciale problemer med dertil hørende behov for social og behandlingsmæssig støtte.
Tabel 5.6
Andelen af hjemløse borgere med psykisk lidelse eller misbrug, særskilt for register-
data og oplysninger fra hjemløsetællingerne, kombineret med registerdata. Opgjort
for hvert af årene 2009-2013. Procent.
2009
Register
Psykisk lidelse i alt
Misbrug af hårde stoffer
Hashmisbrug
Alkoholmisbrug
Misbrug af medicin eller andet
Misbrug i alt
Psykisk lidelse eller misbrug
Psykisk syge misbrugere
Beregningsgrundlag, antal personer
Kilde:
Tællingsdata og øvrige registerdata.
44
35
33
38
25
59
70
33
3.775
Kombineret
51
38
42
49
29
71
82
39
3.775
Register
44
33
33
34
23
56
69
32
4.157
2011
Kombineret
54
36
44
44
27
69
82
39
4.157
Register
46
32
34
33
22
56
68
33
4.616
2013
Kombineret
56
35
45
42
25
69
82
40
4.616
40
SOU, Alm.del - 2016-17 - Bilag 369: VIVE’s Veje ind og ud af hjemløshed. En undersøgelse af hjemløshedens forløb og dynamik., fra børne- og socialministeren
6
VEJE IND I HJEMLØSHED
I dette kapitel belyser vi, hvad der kendetegner de hjemløse borgere i årene forud for hjemløshe-
den i forhold til centrale risikofaktorer som psykisk lidelse og misbrugsproblemer og manglende
tilknytning til arbejdsmarkedet. Derved får vi et billede af, hvilke faktorer der kan være med til at
forklare vejene ind i hjemløshed.
Der kan være mange forskellige faktorer, der kan påvirke risikoen for at komme ud i en hjem-
løshedssituation. For mange spiller psykisk lidelse eller misbrugsproblemer en væsentlig rolle,
mens andre har været ude for en alvorlig livsbegivenhed som en skilsmisse, der har betydet, at
man har mistet fodfæstet i livet, og samtidig har skullet finde et nyt sted at bo. Ligeledes har man-
ge hjemløse borgere en lang erfaring med at stå uden for arbejdsmarkedet. Hjemløsheden er så-
ledes ofte blot ”toppen af isbjerget”, hvor hjemløsheden spiller sammen med social marginalisering
på mange af livets områder.
Forskningen har imidlertid problematiseret en forståelse af hjemløsheden som et ”slutprodukt” af
en langvarig marginaliseringsproces. Ifølge den såkaldte ”downward spiral”-teori kunne hjemløs-
heden ses som en ”social endestation”, der var resultatet af en nedadgående social spiral, hvor
stadig flere sociale bånd – til familie og venner og til samfundet – blev brudt (jf. Clapham 2003,
2005; Fitzpatrick, 2012). Som nævnt i kapitel 2 har nyere forskning nuanceret dette billede og vist,
at socialt udsatte borgere ofte har flere bevægelser ind og ud af hjemløshed over et livsforløb, og
at der er en stor variation i varigheden af hjemløshedsforløb. Nogle kommer kortvarigt ud i hjem-
løshed, men formår relativt hurtigt at komme ud af hjemløsheden igen, mens andre har langvarige
forløb i hjemløshed eller mange bevægelser ind og ud af hjemløshed (Kuhn & Culhane, 1998;
Culhane m.fl., 2007).
Den internationale forskningslitteratur viser således, at hjemløsheden skal forstås i et dynamisk
perspektiv, hvor vi både må belyse, hvad der kendetegner vejene ind i hjemløshed, forløbene
gennem hjemløshed og vejene ud af hjemløshed. I dette kapitel ser vi derfor nærmere på vejene
ind i hjemløshed og de risikofaktorer, der hænger sammen med hjemløsheden, mens vi i de to
efterfølgende kapitler, 7 og 8, ser nærmere på forløbene gennem hjemløshed og på vejene ud af
hjemløshed.
I analyser baseret på individdata som de registerdata, vi benytter i denne undersøgelse om fx
psykiske lidelser, misbrugsproblemer, uddannelse og beskæftigelsessituation, kommer man let til
at fokusere på de individuelle faktorer bag hjemløsheden. Forskningslitteraturen peger imidlertid
på, at hjemløsheden opstår i et samspil mellem strukturelle, systemiske, interpersonelle og indivi-
duelle forhold (Edgar & Meert, 2005; Fitzpatrick, 2005). De strukturelle, samfundsmæssige forhold
kan fx være boligmangel eller stigende arbejdsløshed, hvor socialt udsatte borgere typisk er dem,
der rammes hårdest af ugunstige strukturelle forhold som en stigende boligmangel. Med de sy-
stemiske forhold menes velfærdssystemets indretning og funktion samt forhold, der knytter sig til
lovgivning generelt, fx i forhold til retssikkerhed og social beskyttelse. De interpersonelle forhold
henviser til betydningen af sociale relationer og netværk, fx familiære bånd, og tilknytningen til
lokalsamfundet. De individuelle faktorer knytter sig fx til helbred og psykosociale sårbarhedsfakto-
rer som psykisk sygdom og misbrugsproblemer, eller handicap, herunder kognitiv funktionsned-
sættelse. Forskningslitteraturen peger endvidere på, at samspillet mellem de forskellige faktorer
på forskellige niveauer kan variere, ikke blot fra person til person, men også i tid og sted, som fx
mellem forskellige områder (land/by), regioner eller lande.
41
SOU, Alm.del - 2016-17 - Bilag 369: VIVE’s Veje ind og ud af hjemløshed. En undersøgelse af hjemløshedens forløb og dynamik., fra børne- og socialministeren
1792734_0044.png
6.1
Veje ind i hjemløshed
For nærmere at kunne belyse vejene ind i hjemløshed tager vi højde for, at nogle af de borgere vi
følger, kan have haft deres første hjemløshedsepisode længe før undersøgelsesperioden fra 2009
til 2015. Her inddrager vi oplysninger om brugere af § 110-boformerne i perioden fra 1999 og frem
til 2008, idet boformsregistret allerede startede op for næsten tyve år siden, i 1999. Disse oplys-
ninger bruger vi til at dele de hjemløse borgere i det samlede datasæt op i to grupper. Den første
gruppe er dem, som allerede er registreret med et ophold på boformerne i perioden mellem 1999
og 2008, og som vi således ved også har været hjemløse før perioden mellem 2009 og 2015. Den
anden gruppe er dem, som første gang optræder i de samlede data (boformsdata og tællingsdata)
mellem 2009 og 2015. Selvom der også i den sidstnævnte gruppe kan være personer, der har
været hjemløse tidligere i deres liv, foretager vi denne opdeling for at kunne skelne mellem dem,
som allerede tidligere har været hjemløse, og dem, der optræder som ”nye” hjemløse inden for
rammen af det, der er muligt med det anvendte datamateriale.
Tabel 6.1 viser, hvilket år vores undersøgelsespopulation (hjemløse borgere mellem 2009 og
2015) optrådte første gang i enten boformsdata eller tællingsdata. Ud af de i alt 29.325 personer,
der optrådte i det samlede datasæt mellem 2009 og 2015, er der 26 pct., der også er registreret i
boformsdataene før denne periode, mens de resterende 74 pct. ikke optræder i boformsdataene
før 2009. Personer, der kun er registreret i boformsdata før 2009, men ikke i perioden 2009-2015,
indgår ikke i analysen.
Tabel 6.1
Samlet antal hjemløse borgere i perioden 2009-2015, fordelt på tidspunktet for første
registrering af hjemløshed i enten boformsdata (1999-2015) eller tællingsdata (2009-
2015). Antal og procent.
Antal
1.211
722
609
565
591
637
679
719
702
1.107
3.624
1.916
3.954
2.042
4.010
2.110
4.127
29.325
Tællingsdata og boformsdata.
Pct.
4
2
2
2
2
2
2
2
2
4
12
7
13
7
14
7
14
100
Kumuleret pct.
4
7
9
11
13
15
17
20
22
26
38
45
58
65
79
86
100
Første år som registreret hjemløs
1999
2000
2001
2002
2003
2004
2005
2006
2007
2008
2009
2010
2011
2012
2013
2014
2015
I alt
Kilde:
42
SOU, Alm.del - 2016-17 - Bilag 369: VIVE’s Veje ind og ud af hjemløshed. En undersøgelse af hjemløshedens forløb og dynamik., fra børne- og socialministeren
6.2
Psykosociale sårbarhedsfaktorer
I de følgende tabeller ser vi nærmere på de borgere, der optrådte første gang som hjemløse i pe-
rioden 2009 til 2015, og udelader i første omgang dem, der allerede var registreret som hjemløse i
boformsdata før denne periode. Vi ser på, hvad der kendetegnede disse borgere i forhold til cen-
trale risikofaktorer i årene op til, at de første gang blev registreret som hjemløse. Tabel 6.2 og 6.3
viser andelene blandt henholdsvis mænd og kvinder i de forskellige aldersgrupper, der var regi-
streret med psykisk lidelse eller misbrugsproblemer, samt med en ubetinget dom henholdsvis 1 år,
2 år, 3 år, 5 år og 10 år før det år, hvor de første gang blev registreret i det samlede datasæt (en-
ten boformsdata eller tællingsdata). Procentandelen for hver af disse risikofaktorer er akkumuleret
over det hidtidige livsforløb, så langt som registrene rækker tilbage, det vil sige, at den første regi-
strering med en psykisk lidelse eller et misbrug også kan være sket endnu tidligere.
Opgørelserne viser, hvordan andelene af borgere, der er diagnosticeret med en psykisk lidelse
eller et misbrugsproblem, vokser støt i årene frem til, at de første gang registreres som hjemløse.
Andelene, der er registreret med psykisk lidelse eller misbrugsproblemer et bestemt antal år forud
for, at de registreres som hjemløse, er naturligt nok højere i de midaldrende og ældre aldersgrup-
per end i den yngste aldersgruppe, hvor vi har afgrænset opgørelsen til dem, der var mindst 25 år,
da de første gang blev registreret som hjemløse, for at kunne følge borgeren tilbage i tid.
Ser vi på de mænd, der var mellem 30 og 49 år, første gang de blev registreret som hjemløse, var
der i alt 25 pct., der var registreret med enten en psykisk lidelse eller misbrugsproblemer 10 år før,
de blev registreret som hjemløse, mens denne andel er steget til 59 pct. ét år før registreringen
som hjemløse. Blandt kvinder i samme aldersgruppe er de tilsvarende tal 32 pct. og 64 pct. Den
generelle forskel mellem de hjemløse mænd og kvinder på andelen med henholdsvis psykisk li-
delse og misbrugsproblemer afspejler sig i tallene, hvor flere af de hjemløse kvinder end mænd på
et givent tidspunkt var diagnosticeret med en psykisk lidelse, mens flere hjemløse mænd omvendt
var diagnosticeret med misbrugsproblemer.
Blandt de hjemløse mænd er der også en betydelig andel, der registreres med en ubetinget dom,
og denne andel var allerede tidligt forholdsvis høj. Blandt de mænd, der var mellem 30 og 49 år,
første gang de blev registreret som hjemløse, var der således 25 pct., der var registreret med en
ubetinget dom allerede 10 år før den første registrering i hjemløsedata, mens denne andel var
steget til 34 pct. året forud for registreringen første gang som hjemløs.
Som nævnt understreger forskningslitteraturen, at hjemløsheden ikke skal ses som slutpunktet i
en marginaliseringsproces, da mange hjemløse kommer ud af hjemløsheden igen. Imidlertid un-
derstreger opgørelserne, at i adskillige år op til, at hjemløsheden indtræffer, registreres en stadig
større del med psykiske lidelser, misbrugsproblemer eller begge dele, ligesom der navnlig for en
del af mændenes vedkommende også er tegn på kriminalitetsproblemer, formentlig ofte relateret
til et eskalerende misbrug. Det betyder, at selvom mange hjemløse borgere kommer ud af hjem-
løsheden igen (som vi skal se i kapitel 7 og 8), er der tydelige tegn på, hvordan der i mange tilfæl-
de ligger en omfattende og langvarig marginaliseringsproces bag ved hjemløsheden.
43
SOU, Alm.del - 2016-17 - Bilag 369: VIVE’s Veje ind og ud af hjemløshed. En undersøgelse af hjemløshedens forløb og dynamik., fra børne- og socialministeren
1792734_0046.png
Tabel 6.2
Andel hjemløse mænd, registreret første gang som hjemløse mellem 2009 og 2015
(samlede data) med forskellige risikofaktorer 10, 5, 3, 2 og 1 år før første registrering
af hjemløshed, særskilt for alder
1
. Procent.
10 år før
5 år før
3 år før
2 år før
1 år før
25-29 år
Svær psykisk lidelse
Anden psykisk lidelse
Psykisk lidelse i alt
Misbrug af hårde stoffer
Hashmisbrug
Alkoholmisbrug
Misbrug af medicin eller andet
Misbrug i alt
Psykisk lidelse eller misbrug
Psykisk syge misbrugere
Ubetinget dom
Beregningsgrundlag, antal personer
30-49 år
Svær psykisk lidelse
Anden psykisk lidelse
Psykisk lidelse i alt
Misbrug af hårde stoffer
Hashmisbrug
Alkoholmisbrug
Misbrug af medicin eller andet
Misbrug i alt
Psykisk lidelse eller misbrug
Psykisk syge misbrugere
Ubetinget dom
Beregningsgrundlag, antal personer
50 år eller derover
Svær psykisk lidelse
Anden psykisk lidelse
Psykisk lidelse i alt
Misbrug af hårde stoffer
Hashmisbrug
Alkoholmisbrug
Misbrug af medicin eller andet
Misbrug i alt
Psykisk lidelse eller misbrug
Psykisk syge misbrugere
Ubetinget dom
Beregningsgrundlag, antal personer
8
11
16
6
3
15
4
20
27
8
17
3.694
9
17
22
8
6
25
6
30
39
13
19
3.694
10
20
26
9
7
31
7
37
46
16
19
3.694
11
21
27
9
7
35
8
41
50
18
20
3.694
12
24
31
10
8
40
9
46
56
20
20
3.694
6
10
13
11
9
7
5
18
25
7
25
6.869
9
19
23
17
16
16
10
31
40
14
30
6.869
11
24
28
20
19
22
12
39
48
19
32
6.869
12
27
32
22
21
26
14
43
53
21
33
6.869
14
31
36
24
24
30
15
48
59
25
34
6.869
<1
9
9
2
2
<1
<1
4
11
2
4
1.950
5
19
22
14
16
5
6
23
34
10
22
1.950
8
25
28
20
23
9
9
32
45
16
29
1.950
10
29
33
24
27
11
11
37
50
20
32
1.950
14
34
39
27
32
14
13
44
57
26
34
1.950
Note 1: Alder er målt ved første registrering af hjemløshed.
Kilde: Tællingsdata, boformsdata og øvrige registerdata.
44
SOU, Alm.del - 2016-17 - Bilag 369: VIVE’s Veje ind og ud af hjemløshed. En undersøgelse af hjemløshedens forløb og dynamik., fra børne- og socialministeren
1792734_0047.png
Tabel 6.3
Andel hjemløse kvinder, registreret første gang som hjemløse mellem 2009 og 2015
(samlede data), med forskellige risikofaktorer 10, 5, 3, 2 og 1 år før første registrering
af hjemløshed, særskilt for alder
1
. Procent.
10 år før
5 år før
3 år før
2 år før
1 år før
25-29 år
Svær psykisk lidelse
Anden psykisk lidelse
Psykisk lidelse i alt
Misbrug af hårde stoffer
Hashmisbrug
Alkoholmisbrug
Misbrug af medicin eller andet
Misbrug i alt
Psykisk lidelse eller misbrug
Psykisk syge misbrugere
Ubetinget dom
Beregningsgrundlag, antal personer
30-49 år
Svær psykisk lidelse
Anden psykisk lidelse
Psykisk lidelse i alt
Misbrug af hårde stoffer
Hashmisbrug
Alkoholmisbrug
Misbrug af medicin eller andet
Misbrug i alt
Psykisk lidelse eller misbrug
Psykisk syge misbrugere
Ubetinget dom
Beregningsgrundlag, antal personer
50 år eller derover
Svær psykisk lidelse
Anden psykisk lidelse
Psykisk lidelse i alt
Misbrug af hårde stoffer
Hashmisbrug
Alkoholmisbrug
Misbrug af medicin eller andet
Misbrug i alt
Psykisk lidelse eller misbrug
Psykisk syge misbrugere
Ubetinget dom
Beregningsgrundlag, antal personer
14
20
26
7
3
14
5
20
35
11
3
1.290
16
29
35
8
5
24
9
30
47
18
3
1.290
18
34
40
9
5
30
10
36
54
23
3
1.290
19
37
43
10
6
34
12
41
59
25
4
1.290
21
40
47
10
6
39
12
45
63
29
4
1.290
9
21
25
9
6
7
6
16
32
9
4
2.308
15
32
36
14
10
16
10
27
46
18
5
2.308
18
38
42
16
12
22
12
34
53
23
6
2.308
19
42
46
17
13
25
14
38
58
25
7
2.308
21
46
51
18
15
30
16
43
64
30
7
2.308
3
13
14
3
3
1
<1
5
17
2
-
629
12
32
35
15
13
5
7
21
43
13
3
629
16
40
43
19
17
7
9
28
51
19
3
629
18
44
48
21
20
9
10
31
57
22
4
629
22
51
55
25
23
13
12
37
65
27
5
629
Note 1: Alder er målt ved første registrering af hjemløshed.
Kilde: Tællingsdata, boformsdata og øvrige registerdata.
45
SOU, Alm.del - 2016-17 - Bilag 369: VIVE’s Veje ind og ud af hjemløshed. En undersøgelse af hjemløshedens forløb og dynamik., fra børne- og socialministeren
1792734_0048.png
Tabel 6.2 og 6.3 indeholder som nævnt de personer, der optræder første gang i perioden mellem
2009 og 2015, mens de, der allerede var registreret i boformsdata tidligere (før 2009), ikke indgår i
disse tabeller. I den følgende opgørelse (tabel 6.4) inddrager vi også dem, der tidligere har været
registreret med hjemløshed, og sammenligner de to grupper.
Tabel 6.4 inkluderer den samlede undersøgelsespopulation af personer, der har været hjemløse
mellem 2009 og 2015. I højre side af tabellen er opgjort dem, der allerede var registreret i bo-
formsdata før 2009, og som således har haft erfaring med hjemløshed i deres liv over en lang
periode, mens venstre side indeholder dem, der første gang blev registreret som hjemløse mellem
2009 og 2015. Tabellen er ikke opdelt på køn og alder. Tabellen viser, hvor mange der i henholds-
vis år 2000, 2005 og 2009 var registreret med psykiske lidelser, misbrug eller en ubetinget dom.
Som det ses, er andelene endnu højere blandt dem, der allerede tidligere var registreret i bo-
formsdata, hvilket understreger, at vejen ind i hjemløshed ofte hænger sammen med en kompleks
marginaliseringsproces.
Tabel 6.4
Andel med psykisk lidelse, misbrug og ubetinget dom frem til år 2000, 2005 og 2009,
særskilt for første registrering af hjemløshed (samlede data). Procent.
Første registrering som hjemløse
2009-2015
2000
Svær psykisk lidelse
Anden psykisk lidelse
Psykisk lidelse i alt
Misbrug af hårde stoffer
Hashmisbrug
Alkoholmisbrug
Misbrug af medicin eller andet
Misbrug i alt
Psykisk lidelse eller misbrug
Psykisk syge misbrugere
Ubetinget dom
N
Note:
Kilde:
4
8
10
5
3
5
3
10
17
4
10
21.783
2005
7
16
19
9
7
10
5
19
29
9
14
21.783
2009
11
27
31
15
15
20
10
34
47
17
19
21.783
Første registrering som hjemløse
før 2009
2000
10
19
24
21
14
23
14
39
47
17
30
7.542
2005
16
33
39
33
26
40
25
61
69
31
37
7.542
2009
22
44
51
41
36
56
33
77
83
44
41
7.542
Alder er målt ved første registrering af hjemløshed.
Tællingsdata, boformsdata og øvrige registerdata.
6.3
Eksklusion fra arbejdsmarkedet
Den marginaliseringsproces, der leder frem mod en hjemløshedssituation, indbefatter også for en
stor dels vedkommende tabet af en tilknytning til arbejdsmarkedet. Tabel 6.5 viser de borgere, der
første gang blev registreret som hjemløse mellem 2009 og 2015, fordelt efter alder ved første regi-
strering. Tabellen viser arbejdsmarkedstilknytningen mellem 1 og 10 år før den første registrering
som hjemløse. Da der ses på arbejdsmarkedstilknytningen op til ti år tidligere, har vi afgrænset
opgørelsen til dem, der var 30 år og opefter ved første registrering af hjemløshed.
Ser vi fx på de 40-49-årige, var der 40 pct., der var i beskæftigelse 10 år før, de første gang blev
registreret som hjemløse, mens det tal ét år før var faldet til 21 pct. Tilsvarende steg andelen på
kontanthjælp fra 23 pct. til 39 pct. og andelen på førtidspension fra 7 pct. til 17 pct. Selvom en del
allerede var uden for arbejdsmarkedet tidligere i deres liv, viser opgørelserne, at en betydelig del
46
SOU, Alm.del - 2016-17 - Bilag 369: VIVE’s Veje ind og ud af hjemløshed. En undersøgelse af hjemløshedens forløb og dynamik., fra børne- og socialministeren
1792734_0049.png
af de hjemløse borgere havde en tilknytning til arbejdsmarkedet på et tidligere tidspunkt i deres liv.
Efterhånden som fx en psykisk lidelse eller misbrugsproblemer satte ind, har det formentlig været
stadigt vanskeligere at bevare tilknytningen til arbejdsmarkedet.
Tabel 6.5
Fordeling på beskæftigelsessituation 10, 5, 3, 2 og 1 år før første registrering af hjem-
løshed (samlede data) blandt 30-59-årige
1
borgere, registreret som hjemløse første
gang mellem 2009 og 2015, særskilt for aldersgrupper. Procent.
10 år før
30-39 år
Beskæftigelse
Ledige
Studerende
Kontanthjælp
Førtidspension
Øvrige uden for arbejdsstyrken
Ukendt
Beregningsgrundlag, antal personer
40-49 år
Beskæftigelse
Ledige
Studerende
Kontanthjælp
Førtidspension
Øvrige uden for arbejdsstyrken
Ukendt
Beregningsgrundlag, antal personer
50-59 år
Beskæftigelse
Ledige
Studerende
Kontanthjælp
Førtidspension
Øvrige uden for arbejdsstyrken
Ukendt
Beregningsgrundlag, antal personer
Note 1: Alder er målt ved første registrering af hjemløshed.
Kilde: Tællingsdata, boformsdata og øvrige registerdata.
42
7
2
17
15
3
14
3.525
37
7
1
17
21
4
13
3.525
31
7
<1
21
24
5
12
3.525
27
8
<1
23
25
5
11
3.525
21
9
<1
28
27
5
9
3.525
40
7
4
23
7
4
15
4.985
36
8
2
26
12
4
12
4.985
31
8
2
28
14
4
12
4.985
27
8
2
33
16
4
10
4.985
21
8
2
39
17
4
9
4.985
32
5
14
24
3
4
18
4.192
30
7
8
31
6
4
15
4.192
26
7
6
35
8
4
13
4.192
24
7
6
39
9
4
11
4.192
19
7
6
46
10
4
9
4.192
5 år før
3 år før
2 år før
1 år før
Ser vi også på dem, der allerede var registreret som hjemløse før 2009, var der en større del i
denne gruppe, der allerede var uden for arbejdsmarkedet, når vi går fem og ti år tilbage (se tabel
6.6). I højre side af tabellen ses den gruppe, der allerede var registreret som hjemløse før 2009,
sammenlignet med dem, der blev registreret som hjemløse første gang mellem 2009 og 2015 for
alle mellem 30 og 59 år under ét. For dem med den mest langvarige erfaring af hjemløshed ses
det, at eksklusionen fra arbejdsmarkedet går langt tilbage i deres liv, mens der for en del af dem,
der første gang blev registreret som hjemløse mellem 2009 og 2015, er tale om et mere nyligt tab
af tilknytningen til arbejdsmarkedet.
47
SOU, Alm.del - 2016-17 - Bilag 369: VIVE’s Veje ind og ud af hjemløshed. En undersøgelse af hjemløshedens forløb og dynamik., fra børne- og socialministeren
1792734_0050.png
Tabel 6.6
Fordeling af 30-59-årige
1
hjemløse borgere på beskæftigelsessituation i år 2000,
2005 og 2009, særskilt for første registrering af hjemløshed (samlede data). Procent.
2009-2015
2000
2005
35
8
3
24
12
4
14
11.983
2009
27
7
2
31
17
4
11
11.983
2000
30
4
5
36
14
4
6
6.094
Før 2009
2005
19
8
2
41
24
2
4
6.094
2009
12
3
1
42
36
2
4
6.094
Job
Ledige
Studerende
Kontanthjælp
Førtidspension
Øvrige uden for arbejdsstyrken
Ukendt
N
Note:
Kilde:
42
5
7
19
7
4
16
11.983
Alder er målt i 2009.
Tællingsdata, boformsdata og øvrige registerdata.
6.4
Civilstand og skilsmisse
De hjemløse borgere adskiller sig også fra den generelle befolkning ved en højere andel, der er
enlige, når vi opgør personens civilstand. I registrene måler vi, om personen har en partner i form
af at være gift eller samboende. Her kan selve hjemløsesituationen også have en betydning for, at
man ikke er registreret som samboende, ligesom man i registrene naturligvis ikke kan registrere
parforhold, hvor personerne ikke er gift eller samboende.
I tabel 6.7 er opgjort andelen af de hjemløse borgere, der er enlige (hverken gift eller samboende)
i årene op til, at den første registrering for hjemløshed indtræffer. I tabel 6.7 indgår kun de hjemlø-
se borgere, der blev registreret første gang som hjemløse i perioden mellem 2009 og 2015, mens
den efterfølgende tabel 6.8 foretager en sammenligning med gruppen, hvor den første registrering
for hjemløshed allerede skete før 2009. Da vi ser på civilstanden i en periode på op til ti år tidlige-
re, er tabellen afgrænset til personer på 30 år og derover ved den første registrering af hjemløs-
hed.
Som det ses af tabel 6.7, stiger andelen, der er enlige, tydeligt i årene frem til, at hjemløsheden
indtræffer, hvor langt hovedparten er registreret som enlige. Det ses også, at blandt de 30-49-
årige ligger andelen af enlige cirka ti procentpoint højere blandt de hjemløse mænd end blandt de
hjemløse kvinder, mens denne forskel er lidt mindre blandt dem på 50 år og derover. I den efter-
følgende tabel 6.8 ses det, at blandt dem, der allerede tidligere var registreret som hjemløse (højre
side), er andelen af enlige endnu højere, med 86 pct. blandt hjemløse mænd i begge aldersgrup-
per og 75-77 pct. blandt de hjemløse kvinder.
48
SOU, Alm.del - 2016-17 - Bilag 369: VIVE’s Veje ind og ud af hjemløshed. En undersøgelse af hjemløshedens forløb og dynamik., fra børne- og socialministeren
1792734_0051.png
Tabel 6.7
Andel enlige blandt hjemløse borgere på 30 år og derover
1
, registreret første gang
som hjemløse mellem 2009 og 2015 (samlede data). Andel enlige 10, 5, 3, 2 og 1 år
før første registrering af hjemløshed. Procent.
10 år før
5 år før
3 år før
2 år før
1 år før
Mænd
30-49 år (N = 6.869)
50 år eller derover (N = 3.694)
Kvinder
30-49 år (N = 2.308)
50 år eller derover (N = 1.290)
Note:
Kilde:
Alder er målt ved første registrering af hjemløshed.
Tællingsdata, boformsdata og øvrige registerdata.
46
50
56
55
60
60
61
63
68
67
55
56
63
63
66
66
70
69
77
73
Tabel 6.8
Andel enlige blandt hjemløse borgere på 30 år eller derover
1
i år 2000, 2005 og 2009,
særskilt for første registrering af hjemløshed (samlede data). Procent.
2009-2015
2000
2005
2009
2000
Før 2009
2005
2009
Mænd
30-49 år (N = 6.849 / 3.615)
50 år eller derover (N = 2.772 / 1.771)
Kvinder
30-49 år (N = 2.367 / 821)
50 år eller derover (N = 903 / 411)
Note:
Kilde:
44
50
53
55
61
64
59
58
68
69
75
77
52
54
60
60
68
70
73
70
81
81
86
86
Alder er målt i 2009.
Tællingsdata, boformsdata og øvrige registerdata.
Mens de to foregående tabeller opgør andelen af enlige samlet set, har vi også set på, hvor man-
ge blandt de hjemløse borgere, der har været igennem en skilsmisse i årene op til, at hjemløshe-
den indtræffer. En skilsmisse kan være en risikofaktor, der spiller ind i den marginaliseringsproces,
der leder frem mod en hjemløshedssituation.
Tabel 6.9 viser andelen, der er registreret med en skilsmisse blandt de borgere, der første gang
blev registreret som hjemløse mellem 2009 og 2015. Ligesom de to foregående tabeller er ande-
len opgjort for de to aldersgrupper mellem 30 og 49 år og 50 år og derover for henholdsvis mænd
og kvinder. Som det ses, stiger andelen, der er registreret som fraskilte, frem mod tidspunktet,
hvor den første registrering med hjemløshed er sket (tabel 6.9). Andelen af fraskilte er højest
blandt de hjemløse kvinder, hvor det er 27 pct. af dem mellem 30 og 49 år og 39 pct. af dem på 50
år og derover, der er registreret som fraskilte. Inddrager vi også dem, der er registreret med hjem-
løshed allerede før 2009, ses det, at andelen af fraskilte generelt er endnu højere i denne gruppe
(se tabel 6.10).
49
SOU, Alm.del - 2016-17 - Bilag 369: VIVE’s Veje ind og ud af hjemløshed. En undersøgelse af hjemløshedens forløb og dynamik., fra børne- og socialministeren
1792734_0052.png
Tabel 6.9
Andel fraskilte 10, 5, 3, 2 og 1 år før første registrering af hjemløshed blandt hjemløse
borgere på 30 år eller derover
1
, registreret første gang som hjemløse mellem 2009 og
2015 (samlede data). Procent.
10 år før
5 år før
3 år før
2 år før
1 år før
Mænd
30-49 år (N = 6.869)
50 år eller derover (N = 3.694)
Kvinder
30-49 år (N = 2.308)
50 år eller derover (N = 1.290)
Note:
Kilde:
Alder er målt ved første registrering af hjemløshed.
Tællingsdata, boformsdata og øvrige registerdata.
12
31
19
34
23
36
25
37
27
39
7
24
11
29
14
30
15
32
18
34
Tabel 6.10
Andel fraskilte i år 2000, 2005 og 2009 blandt hjemløse borgere på 30 år eller der-
over
1
(samlede data), særskilt for første registrering af hjemløshed mellem 2009 og
2015, og før 2009. Procent.
2009-2015
2000
Mænd
30-49 år (N = 6.849 / 3.615)
50 år eller derover (N = 2.772 / 1.771)
Kvinder
30-49 år (N = 2.367 / 821)
50 år eller derover (N = 903 / 411)
Note:
Kilde:
12
33
21
36
26
38
19
41
27
46
33
50
7
24
12
29
17
33
11
35
17
41
21
44
2005
2009
2000
Før 2009
2005
2009
Alder er målt i 2009.
Tællingsdata, boformsdata og øvrige registerdata.
6.5
Risikoen for hjemløshed i den samlede befolkning
I de foregående opgørelser har vi set, hvordan der blandt de hjemløse borgere er en høj andel
med psykosociale sårbarheder, lav uddannelse og som står uden for arbejdsmarkedet. I det føl-
gende ser vi på risikoen for hjemløshed i forskellige grupper. I tabel 6.11 er opgjort andelen, der er
registreret som hjemløse samlet set (i hjemløsetællingerne eller på § 110-boformerne) i perioden
fra 2009 til 2015 i forhold til en række baggrundskarakteristika og risikofaktorer. Vi ser på andelen
af hjemløse blandt mænd og kvinder og inden for de forskellige aldersgrupper. Ligeledes ser vi på
andelen af hjemløse i forhold til etnisk baggrund, uddannelse, beskæftigelsessituation og civil-
stand, og blandt dem, som har en psykisk lidelse, misbrugsproblemer eller som har en ubetinget
fængselsdom. Baggrundsfaktorerne er opgjort i 2009, mens der for psykiske lidelser, misbrugs-
problemer og fængselsdomme er akkumuleret oplysninger over det hidtidige livsforløb så langt,
som registrene går tilbage.
50
SOU, Alm.del - 2016-17 - Bilag 369: VIVE’s Veje ind og ud af hjemløshed. En undersøgelse af hjemløshedens forløb og dynamik., fra børne- og socialministeren
1792734_0053.png
Tabel 6.11
Andel registreret som hjemløse mellem 2009 og 2015, opgjort for forskellige bag-
grundsgrupper. Procent.
Mænd
18-29 år
30-49 år
1,3
50 år+
0,5
18-29 år
0,5
Kvinder
30-49 år
0,4
50 år+
0,1
Samlet
Etnisk baggrund
Dansker
Indvandrer
Efterkommer
1,4
1,3
2,2
2,7
1,2
2,1
2,4
0,4
0,8
0,9
0,5
0,6
0,8
0,4
0,6
0,6
0,1
0,3
0,5
Højest fuldførte uddannelse
LVU eller højere
MVU
KVU
Erhvervsfaglig udd.
Gymnasial udd.
Grundskole
< 9. klasse
Ukendt
< 0.1
< 0.1
< 0.1
0,4
0,2
2,4
9,0
1,5
0,1
0,3
0,4
0,8
0,9
2,9
5,2
3,1
0,1
0,3
0,3
0,4
0,8
1,1
0,4
1,0
0,0
< 0.1
< 0.1
0,2
0,1
1,0
4,0
0,5
< 0.1
0,1
0,1
0,2
0,3
1,2
1,4
1,3
< 0.1
0,1
< 0.1
< 0.1
0,3
0,3
< 0.1
0,2
Beskæftigelsessituation
Job
Ledige
Studerende
Kontanthjælp
Førtidspension
Folkepension
Øvrige uden for arbejdsstyrken
0,6
2,5
0,7
13,6
3,4
0,0
1,8
0,4
2,7
0,9
14,9
5,5
0,0
2,0
0,2
1,5
0,8
9,6
2,2
< 0.1
1,5
0,2
0,7
0,2
4,6
2,2
0,0
0,4
0,1
0,6
0,4
3,9
1,9
0,0
0,4
< 0.1
0,3
0,4
2,4
0,6
< 0.1
0,2
Civilstand
Gift eller samboende
Enlig
0,6
2,1
0,3
3,2
0,1
1,3
0,2
0,7
0,2
1,0
< 0.1
0,2
Udsathed
Svær psykisk lidelse
Anden psykisk lidelse
Psykisk lidelse i alt
Misbrug af hårde stoffer
Hashmisbrug
Alkoholmisbrug
Misbrug af medicin eller andet
Misbrug i alt
Psykisk lidelse og/eller misbrug
Psykisk syge misbrugere
Ubetinget dom
Beregningsgrundlag, antal personer
9,6
6,6
6,7
16,0
17,7
14,8
22,7
13,4
7,7
17,7
11,8
392.835
8,9
6,7
6,7
20,7
20,9
16,2
25,3
15,1
8,7
16,3
9,5
785.351
3,8
2,8
2,8
10,5
16,2
5,7
12,6
5,7
3,4
7,6
5,0
943.267
4,4
2,1
2,2
9,9
11,9
9,1
13,2
8,0
2,4
9,4
12,5
381.844
4,2
1,9
2,0
12,6
16,4
12,1
16,5
10,0
2,4
11,0
12,3
770.579
1,2
0,7
0,8
3,2
10,5
3,1
4,2
2,7
0,9
3,2
3,7
1.045.946
Anm.: Baggrundsfaktorerne er opgjort i 2009.
Kilde: Tællingsdata, boformsdata og øvrige registerdata.
51
SOU, Alm.del - 2016-17 - Bilag 369: VIVE’s Veje ind og ud af hjemløshed. En undersøgelse af hjemløshedens forløb og dynamik., fra børne- og socialministeren
Det ses af tabel 6.11, at blandt alle mænd i befolkningen, der var mellem 18 og 29 år i 2009, var
der 1,4 pct. der blev registreret som hjemløse i løbet af perioden mellem 2009 og 2015, mens
andelen var 1,3 pct. blandt mænd mellem 30 og 49 år, og 0,5 pct. blandt mænd på 50 år og der-
over. Blandt kvinderne var de tilsvarende andele 0,5 pct., 0,4 pct. og 0,1 pct. for de samme al-
dersgrupper. Da alderen er opgjort i 2009, skal der gøres opmærksom på, at borgeren kan have
tilhørt en anden aldersgruppe i det år, hvor hjemløsheden indtraf.
Det ses, hvordan andelen, der har været hjemløse over perioden, generelt er højere blandt ind-
vandrere og efterkommere end blandt personer med dansk baggrund. Særligt blandt yngre mænd
med indvandrerbaggrund finder vi en højere andel, der har været hjemløse i løbet af perioden med
2,7 pct. blandt mandlige efterkommere mellem 18 og 29 år og 2,2 pct. blandt yngre mandlige ind-
vandrere, mens andelen er 1,3 pct. blandt danske mænd i samme aldersgruppe.
Tabellen viser også, at der er betydelige forskelle på risikoen for hjemløshed i forhold til uddannel-
sesbaggrund. Her finder vi den højeste andel, der har været hjemløse i perioden, blandt dem, der
har under 9. klasse som højest fuldførte uddannelse, hvor det er 9,0 pct. af de 18-29-årige mænd
og 5,2 pct. af de 30-49-årige mænd i denne gruppe, der har været hjemløse, mens det tilsvarende
er 4,0 pct. af de 18-29-årige kvinder uden en fuldført 9. klasse, der har været hjemløse i perioden.
Det skal samtidig ikke overses, at der blandt mænd med en fuldført grundskole som højeste ud-
dannelsesniveau også er en relativt høj andel, der har været hjemløse med 2,4 pct. blandt de 18-
29-årige mænd i denne gruppe og 2,9 pct. blandt de 30-49-årige mænd i denne gruppe, mens
andelen er langt lavere i de øvrige uddannelsesgrupper.
Ser vi på forekomsten af hjemløshed i forhold til beskæftigelse og forsørgelsesgrundlag, er der en
tocifret procentandel, der har været hjemløse blandt yngre og midaldrende mandlige kontant-
hjælpsmodtagere. Det er således 13,6 pct. af de 18-29-årige mandlige kontanthjælpsmodtagere
og 14,9 pct. af de 30-49-årige mandlige kontanthjælpsmodtagere, der har været hjemløse i perio-
den, og blandt de mandlige kontanthjælpsmodtagere på 50 år og derover er andelen, der har væ-
ret hjemløse i perioden, på 9,6 pct. Blandt de kvindelige kontanthjælpsmodtagere er de tilsvarende
andele på 4,6 pct., 3,9 pct. og 2,4 pct. for de tre aldersgrupper.
Der er også en højere andel, der har været hjemløse, blandt førtidspensionister end i de øvrige
forsørgelsesgrupper. Her er andelen højest blandt de 30-49-årige mandlige førtidspensionister
med 5,5 pct., der er registreret som hjemløse i løbet af perioden.
I forhold til civilstand ses det, at der er en højere andel, der har været hjemløse blandt dem, der er
opgjort som enlige ud fra registeroplysningerne, sammenlignet med dem, der er gift eller sambo-
ende. Blandt de enlige mænd mellem 30 og 49 år er det 3,2 pct., der har været hjemløse i løbet af
perioden, mens det til sammenligning kun er 0,3 pct., der er registreret som hjemløse blandt
mænd i kategorien af gifte eller samboende. Blandt enlige kvinder mellem 30 og 49 år er det 1,0
pct., der har været hjemløse, mens det er 0,2 pct. blandt kvinder i kategorien af gifte og samboen-
de.
Som det er fremgået af de tidligere afsnit, er der en høj andel blandt de hjemløse borgere, der har
psykiske lidelser og/eller misbrugsproblemer. Ser vi på andelen, der har været hjemløse blandt
dem, der har en psykisk lidelse, er det 6,7 pct. af de 18-29-årige mænd med en psykisk lidelse,
der har været hjemløse i perioden, og samme andel finder vi blandt de 30-49-årige mænd med en
psykisk lidelse. Blandt mænd på 50 år og derover med en psykisk lidelse er det 2,8 pct., der har
været hjemløse i løbet af perioden. Blandt de 18-29-årige og de 30-49-årige kvinder med en psy-
kisk lidelse er det henholdsvis 2,2 pct. og 2,0 pct., der har været hjemløse, mens andelen er på
0,8 pct. blandt kvinder på 50 år og derover med en psykisk lidelse. Der er generelt en højere an-
52
SOU, Alm.del - 2016-17 - Bilag 369: VIVE’s Veje ind og ud af hjemløshed. En undersøgelse af hjemløshedens forløb og dynamik., fra børne- og socialministeren
1792734_0055.png
del, der har været hjemløse blandt dem med en svær psykisk lidelse end i kategorien af andre
psykiske lidelser.
De højeste andele, der har været hjemløse over perioden, finder vi generelt blandt de borgere, der
er registreret med misbrugsproblemer. Blandt de 18-29-årige mænd med misbrugsproblemer (un-
der ét) er det 13,4 pct., der har været hjemløse, og blandt de 30-49-årige mænd med misbrugs-
problemer er det 15,1 pct. Blandt 18-29-årige og 30-49-årige kvinder med misbrugsproblemer er
de tilsvarende andele på henholdsvis 8,0 pct. og 10,0 pct.
Den høje risiko for hjemløshed finder vi for alle typer af misbrugsproblemer. Ser vi fx på de 30-49-
årige mænd, er det 20,7 pct. af dem med et misbrug af hårde stoffer, 20,9 pct. af dem med hash-
misbrug og 16,2 pct. af dem med alkoholmisbrug, der har været hjemløse i perioden. Blandt kvin-
der i samme aldersgruppe er de tilsvarende andele 12,6 pct., 16,4 pct. og 12,1 pct. for de tre mis-
brugstyper. Der skal gøres opmærksom på, at der kan være overlap mellem de enkelte misbrugs-
kategorier.
Endelig er også opgjort andelen, der har været hjemløse i perioden blandt dem, der er registreret
med en ubetinget dom. Her er andelene, der har været hjemløse, af samme størrelsesorden for
både mænd og kvinder, hvor det dog skal tages i betragtning, at det generelt er langt færre kvinder
end mænd, der har en ubetinget dom. Blandt de 18-29-årige mænd, der er registreret med en
ubetinget dom, er det 11,8 pct., der er registreret som hjemløse i løbet af perioden, mens det
blandt kvinder med en ubetinget dom i samme aldersgruppe er 12,5 pct., der har været hjemløse i
perioden. Blandt de 30-49-årige mænd og kvinder med en ubetinget dom er det henholdsvis 9,5
pct. og 12,3 pct., der har været hjemløse i løbet af perioden.
Mens tabel 6.11 viste andelen, der har været hjemløse i perioden, opgjort for hver enkelt risikofak-
tor, har vi i tabel 6.12 set på betydningen af at have flere risikofaktorer på én gang. Her har vi ind-
draget seks karakteristika, som ifølge tabel 6.11 er forbundet med en højere risiko for hjemløshed,
nemlig om man ikke har fuldført grundskolen, er på kontanthjælp, er enlig, har en psykisk lidelse,
et misbrugsproblem eller en ubetinget dom. Opgørelsen viser, hvorledes andelen, der er registre-
ret som hjemløse i perioden, stiger successivt, jo flere risikofaktorer individet har. For dem, der
ikke har nogen risikofaktorer, er risikoen for hjemløshed meget lav, mens risikoen særligt stiger
kraftigt, hvis man har tre eller flere risikofaktorer på én gang.
Tabel 6.12
Andel hjemløse mellem 2009 og 2015, særskilt for antallet af risikofaktorer, opgjort i
2009. Særskilt for køn og alder. Procent.
Mænd
18-29 år
30-49 år
1,3
0,2
0,7
4,3
12,3
23,7
35,0
50 år eller
derover
0,5
< 0.1
0,3
1,2
5,1
11,0
19,4
18-29 år
0,5
0,2
0,3
1,9
5,8
14,6
28,6
Kvinder
30-49 år
0,4
< 0.1
0,3
1,8
6,6
15,3
29,0
50 år eller
derover
0,1
< 0.1
< 0.1
0,2
1,4
3,6
8,5
Samlet
0 risikofaktorer
1 risikofaktor
2 risikofaktorer
3 risikofaktorer
4 risikofaktorer
5 risikofaktorer eller flere
1,4
0,4
0,7
5,0
12,5
23,8
34,9
Kilde:
Tællingsdata, boformsdata og øvrige registerdata.
53
SOU, Alm.del - 2016-17 - Bilag 369: VIVE’s Veje ind og ud af hjemløshed. En undersøgelse af hjemløshedens forløb og dynamik., fra børne- og socialministeren
6.6
Multivariat analyse af risikoen for hjemløshed
Vi har ved hjælp af en multivariat logistisk regressionsanalyse foretaget en samlet analyse af
sammenhængen mellem de risikofaktorer, vi kan måle i registrene, og risikoen for hjemløshed.
Gennem regressionsanalysen kan vi statistisk set kontrollere betydningen af den enkelte risikofak-
tor for betydningen af de øvrige risikofaktorer. Det kan fx være, hvis en del af sammenhængen
mellem at være på kontanthjælp og forekomsten af hjemløshed skyldes, at der blandt kontant-
hjælpsmodtagerne er en højere andel med psykiske lidelser eller misbrugsproblemer. Med den
multivariate analyse får vi således et mere sikkert estimat for betydningen af hver enkelt risikofak-
tor for risikoen for hjemløshed.
Der er gennemført tre separate regressionsanalyser. Én for befolkningen som helhed, samt sær-
skilte analyser for mænd og kvinder. Analyserne er afgrænset til personer mellem 18 og 59 år.
Risikoen for hjemløshed er opgjort i form af odds-ratioer, der sammenligner risikoen for hjemløs-
hed for de enkelte kategorier, sammenlignet med referencekategorien for hver enkelt risikofaktor.
En odds-ratio lavere end 1 svarer til, at risikoen for hjemløshed er lavere end i referencekategori-
en, mens en odds-ratio større end 1 er udtryk for, at risikoen for hjemløshed er højere i den på-
gældende kategori end i referencekategorien. Resultaterne er opgjort i tabel 6.13.
Af modellen for hele befolkningen ses det, at mænd med en odds-ratio på 2,3 generelt har en
større risiko for hjemløshed end kvinder. Ligeledes er der en højere risiko for hjemløshed blandt
de 18-24-årige, som er referencekategorien for aldersgrupperne, sammenholdt med de øvrige
aldersgrupper. Der er også en højere risiko for hjemløshed blandt indvandrere og efterkommere,
sammenlignet med personer af dansk herkomst, ligesom der er en højere risiko for hjemløshed for
dem uden partner, sammenlignet med dem med partner.
Ser vi på betydningen af uddannelsesniveauet, er der en markant højere risiko for hjemløshed, jo
lavere uddannelsesniveau personen har. Det er personer med en grundskoleuddannelse eller
lavere, der har den højeste risiko for hjemløshed, men det skal ikke overses, at også gruppen med
erhvervsfaglige uddannelser har en væsentligt højere risiko for hjemløshed, sammenlignet med
grupperne med videregående uddannelser.
I forhold til beskæftigelse og forsørgelsesgrundlag er der en markant højere risiko for hjemløshed
for dem på kontanthjælp med en odds-ratio på over 3, sammenlignet med dem, der er i beskæfti-
gelse. Der er også en væsentligt højere risiko i gruppen af ledige, mens overhyppigheden ikke er
markant blandt førtidspensionisterne, hvor der er en odds-ratio på 1,1 for mænd og 1,6 for kvinder,
sammenlignet med dem, der er i beskæftigelse. Det kan hænge sammen med, at førtidspensionen
er en højere ydelse end kontanthjælpen, og at det er lettere at have råd til at betale en husleje på
førtidspension.
54
SOU, Alm.del - 2016-17 - Bilag 369: VIVE’s Veje ind og ud af hjemløshed. En undersøgelse af hjemløshedens forløb og dynamik., fra børne- og socialministeren
1792734_0057.png
Tabel 6.13
Resultaterne fra en logistisk regression over sandsynligheden for at være hjemløs
mellem 2009-2015 (samlede data), givet faktorer opgjort i 2008, særskilt for hele be-
folkningen, mænd og kvinder (18-59 år). Odds ratio og standardfejl.
Hele befolkningen
Odds ratio
Køn (ref. = Kvinder)
Mænd
Aldersgruppe (ref. = 18-24 år)
25-29 år
30-49 år
50-59 år
0,77 ***
0,97
0,78 ***
(0,02)
(0,02)
(0,02)
0,74 ***
0,96
0,84 ***
(0,02)
(0,03)
(0,03)
0,84 **
1,01
0,63 ***
(0,05)
(0,05)
(0,04)
2,29 ***
(0,04)
-
(-)
-
(-)
Mænd
Kvinder
Std.fejl Odds ratio
Std.fejl
Std.fejl Odds ratio
Etnisk baggrund
(ref. = Danskere):
Indvandrere
Efterkommere
Civilstand: (ref. = øvrige personer)
Ingen partner
Uddannelse (ref. = LVU eller højere):
MVU
KVU
Erhvervsfaglig udd.
Gymnasial udd.
Grundskole
< 9. klasse
Ukendt
Beskæftigelse og forsørgelsesgrundlag (ref. = Job)
Ledige
Studerende
Kontanthjælp
Førtidspension
Øvrige uden for arbejdsstyrken
Lav indkomst (under 100.000 kr. i disponibel ind-
komst)
Udsathedsfaktorer (Kumuleret indtil 2008)
Psykisk lidelse
Misbrug af hårde stoffer
Hashmisbrug
Alkoholmisbrug
Misbrug af medicin eller andet
Ubetinget dom
N
Pseudo R2
3,45 ***
1,66 ***
1,68 ***
3,87 ***
1,86 ***
2,31 ***
2.999.637
0,304
(0,06)
(0,05)
(0,04)
(0,08)
(0,05)
(0,05)
3,20 ***
1,58 ***
1,68 ***
3,48 ***
1,73 ***
2,41 ***
1.511.718
0,294
(0,06)
(0,05)
(0,05)
(0,08)
(0,06)
(0,05)
4,35 ***
1,91 ***
2,08 ***
5,33 ***
1,92 ***
2,31 ***
1.487.919
0,275
(0,15)
(0,10)
(0,12)
(0,21)
(0,11)
(0,15)
2,99 ***
0,66 ***
3,41 ***
1,23 ***
1,17 ***
1,93 ***
(0,13)
(0,02)
(0,07)
(0,03)
(0,05)
(0,04)
2,88 ***
0,65 ***
3,24 ***
1,11 ***
1,16 ***
1,95 ***
(0,14)
(0,02)
(0,08)
(0,03)
(0,05)
(0,04)
3,27 ***
0,73 ***
3,77 ***
1,64 ***
1,18 *
1,82 ***
(0,28)
(0,04)
(0,16)
(0,08)
(0,10)
(0,07)
1,77 ***
2,03 ***
3,08 ***
2,04 ***
5,02 ***
5,07 ***
5,04 ***
(0,13)
(0,17)
(0,21)
(0,15)
(0,34)
(0,36)
(0,37)
1,81 ***
2,05 ***
3,11 ***
2,02 ***
4,94 ***
5,21 ***
4,67 ***
(0,16)
(0,20)
(0,25)
(0,18)
(0,39)
(0,42)
(0,39)
1,78 ***
1,93 ***
2,91 ***
2,06 ***
4,90 ***
4,54 ***
6,33 ***
(0,26)
(0,35)
(0,41)
(0,31)
(0,68)
(0,66)
(0,94)
2,81 ***
(0,05)
3,00 ***
(0,06)
2,35 ***
(0,08)
1,54 ***
1,66 ***
(0,03)
(0,09)
1,65 ***
1,61 ***
(0,04)
(0,10)
1,34 ***
1,85 ***
(0,06)
(0,20)
Anm.: Signifikansniveauer angivet ved: * p < 0,05; ** p < 0,01; *** p < 0,001.
Kilde: Tællingsdata, boformsdata og øvrige registerdata.
Vi har også inddraget lavindkomst (under 100.000 kr. i disponibel indkomst) som en selvstændig
faktor i modellen. Grænsen svarer nogenlunde til den tidligere fattigdomsgrænse. Her ses det, at
selv når vi kontrollerer for alle øvrige risikofaktorer i modellen, har en lav indkomst en selvstændig
betydning for risikoen for hjemløshed med en odds-ratio på 2,0 blandt mænd og 1,8 blandt kvin-
der, sammenlignet med dem, der har en indkomst over denne grænse.
55
SOU, Alm.del - 2016-17 - Bilag 369: VIVE’s Veje ind og ud af hjemløshed. En undersøgelse af hjemløshedens forløb og dynamik., fra børne- og socialministeren
Der er også en højere risiko for hjemløshed knyttet til at have en psykisk lidelse, hvor vi i denne
statistiske model har inddraget en variabel for alle psykiske lidelser under ét. Der er også en høje-
re risiko for hjemløshed knyttet til misbrugsproblemer, hvor det særligt kan bemærkes, at risikoen
er højere i kategorien af alkoholmisbrugere end for misbrug af hårde stoffer og hash.
Endelig er der en højere risiko for hjemløshed knyttet til tidligere ubetingede domme, også når der
er kontrolleret for forekomsten af misbrugsproblemer og de øvrige risikofaktorer.
Resultaterne understreger, at risikoen for hjemløshed er forbundet med en række forskellige risi-
kofaktorer, der i en statistisk model alle bidrager til at forklare en del af risikoen for hjemløshed,
når der kontrolleres for betydningen af de forskellige faktorer indbyrdes. Der kan særligt peges på,
at når vi kontrollerer for betydningen af psykiske lidelser og misbrugsproblemer – som vi umiddel-
bart forbinder med en højere risiko for hjemløshed – er der stadig en forhøjet risiko forbundet med
de socioøkonomiske forhold, herunder at være kontanthjælpsmodtager og at have en lav ind-
komst. Det understreger, hvordan ikke blot de psykosociale sårbarhedsfaktorer, men også de so-
cioøkonomiske faktorers betydning må inddrages i en forståelse af risikoen for hjemløshed.
I figur 6.1 har vi illustreret, hvordan betydningen af de enkelte risikofaktorer hver især bidrager til
den samlede risiko for hjemløshed. Øverst i figuren er afbildet den estimerede sandsynlighed for at
have været hjemløs i løbet af perioden for de kombinationer af kategorier, der har den laveste
risiko for hjemløshed, mens den nederste del af figuren afbilder risikoen for de kombinationer af
kategorier, der har den højeste risiko for hjemløshed. Det ses fx, hvordan en dansk kvinde med
partner, job og uddannelse (øverst) har en meget lav risiko for hjemløshed, mens omvendt en
enlig mand med lav uddannelse, på kontanthjælp og med psykisk sygdom og misbrugsproblemer
(nederst) har en høj risiko for hjemløshed.
56
SOU, Alm.del - 2016-17 - Bilag 369: VIVE’s Veje ind og ud af hjemløshed. En undersøgelse af hjemløshedens forløb og dynamik., fra børne- og socialministeren
1792734_0059.png
Figur 6.1
Estimerede sandsynligheder for at være hjemløs mellem 2009-2015 for borgere med
forskellige baggrundskarakteristika (opgjort i 2008). Sandsynlighed i procent.
30-årig dansk kvinde m. partner, erhvervsfaglig udd, job
30-årig dansk mand m. partner, erhvervsfaglig udd, job
30-årig dansk mand m. partner, grundskole, job
30-årig dansk mand u. partner, grundskole, job
30-årig dansk mand u. partner, grundskole, kontanthjælp
30-årig dansk mand u. partner, grundskole, kontanthjælp,
psykisk lidelse
30-årig dansk mand u. partner, grundskole, kontanthjælp,
misbrug af hårde stoffer
30-årig dansk mand u. partner, grundskole, kontanthjælp,
hashmisbrug
30-årig dansk mand u. partner, grundskole, kontanthjælp,
alkoholmisbrug
30-årig dansk mand u. partner, grundskole, kontanthjælp,
psykisk lidelse og misbrug af hårde stoffer
30-årig dansk mand u. partner, grundskole, kontanthjælp,
psykisk lidelse og hashmisbrug
30-årig dansk mand u. partner, grundskole, kontanthjælp,
psykisk lidelse og alkoholmisbrug
30-årig dansk mand u. partner, grundskole, kontanthjælp,
psykisk lidelse og misbrug af hårde stoffer og alkohol
0
10
20
30
40
50
Procent
Anm.: Resultater er baseret på estimaterne fra den logistiske regression i tabel 6.13.
Kilde: Tællingsdata, boformsdata og øvrige registerdata.
60
70
80
90
100
6.7
Sammenfatning
Analyserne i dette kapitel viser generelt, at hjemløsheden spiller sammen med en række risikofak-
torer, og at hjemløsheden ofte er en del af en marginaliseringsproces, der indbefatter psykiske
lidelser, misbrugsproblemer, problemer med kriminalitet, eksklusion fra arbejdsmarkedet og brud i
privatlivet.
I analyserne har vi inddraget de faktorer, som det er muligt at måle gennem registrene, men der
kan naturligvis også være andre faktorer i spil, som ikke lader sig måle i registrene. Med undtagel-
se af arbejdsmarkedstilknytningen, der også påvirkes af den generelle beskæftigelsessituation,
måler vi i registrene således forhold, der primært manifesterer sig som individuelle risikofaktorer.
Det er derfor vigtigt at være opmærksom på, at også faktorer af samfundsmæssig og strukturel
57
SOU, Alm.del - 2016-17 - Bilag 369: VIVE’s Veje ind og ud af hjemløshed. En undersøgelse af hjemløshedens forløb og dynamik., fra børne- og socialministeren
karakter, som fx boligmangel, spiller ind på risikoen for hjemløshed, varigheden af hjemløsheden,
og chancerne for at komme ud af hjemløshed igen.
Den multivariate statistiske model viser, at mange forskellige faktorer har en betydning for risikoen
for hjemløshed, også når der foretages en statistisk kontrol for de forskellige risikofaktorer indbyr-
des. Risikoen for hjemløshed hænger således sammen med både psykiske lidelser, misbrugspro-
blemer, tidligere fængselsstraffe, lav uddannelse, at være på kontanthjælp, at have en lav ind-
komst og ikke at have en partner. På den måde skal hjemløsheden ses i sammenhæng med et
samspil mellem mange forskellige risikofaktorer, der tilsammen aftegner en social marginalisering.
58
SOU, Alm.del - 2016-17 - Bilag 369: VIVE’s Veje ind og ud af hjemløshed. En undersøgelse af hjemløshedens forløb og dynamik., fra børne- og socialministeren
7
FORLØB GENNEM HJEMLØSHED
I dette kapitel belyser vi vejene gennem hjemløshed. Vi tegner et billede af, hvad der kendetegner
hjemløshedsforløb i forhold til varighed og overgange mellem forskellige hjemløshedssituationer.
Vi belyser i kapitlets første del varigheden af hjemløsheden ved at se på, hvor stor en del af de
borgere, der er registreret i de enkelte hjemløsetællinger, der også er registreret ved de efterføl-
gende hjemløsetællinger. Ligeledes ser vi på andelen af gengangere på § 110-boformerne, og på
andelen af gengangere over tid i det samlede datasæt. Formålet med disse analyser er at tegne et
billede af, hvor stor en andel af de hjemløse borgere der forholdsvis hurtigt kommer ud af hjem-
løshed igen, og hvor stor en andel der har langvarige hjemløshedsforløb.
Vi ser også på overgangen mellem forskellige hjemløshedssituationer, herunder hvor stor en andel
af gadesoverne og sofasoverne der er registreret i hjemløsetællingerne, der på et tidspunkt også
benytter § 110-boformerne,
Vi har udeladt typer af opgørelser, der generelt kan findes i Ankestyrelsens årlige boformsstatistik,
som fx opholdslængden på boformerne og i rapporterne fra de enkelte kortlægninger af hjemløs-
hed, som den hidtidige varighed af hjemløsheden i det enkelte forløb, målt i tælleugen. I stedet
foretager vi en analyse af, hvorvidt borgeren er identificeret som hjemløs på tværs af de enkelte
hjemløsetællinger og over flere år i boformsregistret. Vi foretager også en statistisk analyse af
hjemløshedsforløbene, baseret på de fortløbende data fra § 110-boformerne, hvor vi aftegner for-
skellige typer af hjemløshed ud fra mønsteret i brugen af boformerne over hele analyseperioden.
Derved skelner vi mellem kortvarig, episodisk og langvarig hjemløshed.
7.1
Gengangere mellem hjemløsetællingerne og på boformerne
Indledningsvist ser vi på de år, hvor vi har data fra både hjemløsetællingerne og boformsregistret.
Tabel 7.1 viser for hvert af de fire år de hjemløse borgere, der er registreret i henholdsvis hjemlø-
setællingerne og på boformerne samt i de samlede data. Derefter er opgjort, hvor stor en del af
disse borgere der kan genfindes efter henholdsvis to, fire og seks år.
Der er et ret ensartet mønster i, hvor mange hjemløse borgere der kan genfindes, når vi sammen-
ligner andelen af gengangere fra år til år. For hjemløsetællingerne er det for tællingerne i 2009,
2011 og 2013 nogenlunde samme andel på 16-18 pct., der genfindes i den næste tælling to år
senere. Ligeledes er der for tællingerne i både 2009 og 2011 den samme andel på 10 pct., som vi
finder fire år senere. Det er kun borgerne fra tællingen i 2009, som vi kan følge efter seks år, og af
disse borgere er det 8 pct., der genfindes i tællingen i 2015.
Vi finder også et ensartet mønster for andelen af gengangere, når vi ser på brugerne af § 110-
boformerne over de fire opgørelsesår. Det er cirka 30 pct., der genfindes efter to år, og 18-19 pct.,
der genfindes efter fire år, mens det er 14 pct. af boformsbrugerne i 2009, der genfindes på bo-
formerne i 2015.
Andelen, der kan genfindes i de efterfølgende år, er generelt lavere, når vi ser på gengangerne
mellem hjemløsetællingerne end blandt brugerne af boformerne. Det skyldes, at hjemløsetællin-
gerne er en punktmåling, der foretages en uge hvert andet år, hvorimod ophold på boformerne
måles året rundt. Samtidig spiller det ind, at der ikke er komplette CPR-oplysninger for alle borger-
ne i hjemløsetællingerne, da det er disse oplysninger, vi benytter til at identificere gengangerne.
59
SOU, Alm.del - 2016-17 - Bilag 369: VIVE’s Veje ind og ud af hjemløshed. En undersøgelse af hjemløshedens forløb og dynamik., fra børne- og socialministeren
1792734_0062.png
Da andelen med fulde CPR-numre er på omkring 80 pct. (med en lidt stigende tendens) på tværs
af tællingerne, vil det reelle antal gengangere mellem tællingerne formentlig være lidt højere, end
det kan ses af opgørelsen.
Tabel 7.1
Andel af de hjemløse borgere for hvert af årene 2009-2015, der kan genfindes som
hjemløse 2, 4 og 6 år efter. Antal og procent.
År
To år efter
År
Tællingsdata
2009
2011
2013
2015
Boformsdata
2009
2011
2013
2015
Samlede data
2009
2011
2013
2015
Kilde:
Tællingsdata og boformsdata.
7.841
8.249
8.648
9.061
2.186
2.201
2.419
-
28
27
28
-
1.421
1.416
-
-
18
17
-
-
1.082
-
-
-
14
-
-
-
5.727
5.805
6.015
6.073
1.744
1.685
1.788
-
30
29
30
-
1.073
1.035
-
-
19
18
-
-
807
-
-
-
14
-
-
-
3.775
4.157
4.616
5.191
598
662
823
-
16
16
18
-
373
424
-
-
10
10
-
-
291
-
-
-
8
-
-
-
N
Antal
Pct.
Kan genfindes
Fire år efter
Antal
Pct.
Seks år efter
Antal
Pct.
Ser vi på de samlede data, er det 27-28 pct., der registreres som hjemløse igen efter to år, og 17-
18 pct. efter fire år. For dem, der blev registreret i 2009, er det 14 pct., der også er blevet registre-
ret som hjemløse i 2015.
Opgørelserne viser, at selv om der er en del af borgerne, der har mere langvarige forløb i hjem-
løshed, er det størstedelen af borgerne, der ikke registreres som hjemløse igen i de efterfølgende
år. Det indikerer, at for en betydelig del af de hjemløse borgere er hjemløsheden af korterevarende
karakter (under to år), mens den for op mod en tredjedel er af langvarig karakter. Det er dog ikke
nødvendigvis de samme borgere, der går igen gennem alle årene. Således kan borgere bevæge
sig ind og ud af hjemløshed undervejs og måske først blive registreret som hjemløse igen fire eller
seks år efter den første registrering.
Som nævnt i metodeafsnittet (kapitel 3), skal det tages i betragtning, at der er en betydelig døde-
lighed blandt de hjemløse borgere. Ser vi fx på de 7.841 borgere, der blev identificeret som hjem-
løse i 2009, var det 1.289 (16 pct.), der døde i løbet af perioden fra 2009 til 2015. Blandt de 2.057
personer på 50 år og derover, var det 634 (31 pct.), der døde frem til 2015, mens det blandt de
4.164 personer mellem 30 og 49 år i 2009 var 584 personer (14 pct.), der døde frem til 2015 (ikke
vist). Der er således en meget høj dødelighed i gruppen. Som vi har beskrevet i metodeafsnittet,
indgår de personer, der dør undervejs i perioden, i den type af fremadrettede forløbsanalyser som
i tabel 7.1, hvor de, der blev registreret som hjemløse i bestemte år, følges over tid. Det hænger
sammen med, at hvis gruppen, der dør undervejs i perioden, generelt udelades af analyserne, vil
60
SOU, Alm.del - 2016-17 - Bilag 369: VIVE’s Veje ind og ud af hjemløshed. En undersøgelse af hjemløshedens forløb og dynamik., fra børne- og socialministeren
1792734_0063.png
det påvirke opgørelserne af den sociale og helbredsmæssige profil, da vi alt andet lige må antage,
at dødeligheden er højest blandt dem med de mest alvorlige sociale og helbredsmæssige proble-
mer som fx massive misbrugsproblemer.
Tabel 7.2 og tabel 7.3 viser de samme tal for andelen af gengangere, opdelt på mænd og kvinder.
For både mænd og kvinder er andelen, der er registreret som hjemløse igen efter to eller fire år,
relativt ensartet over tid. Tabellerne viser imidlertid også en forskel mellem kønnene, nemlig at
kvinder i mindre grad end mænd kan genfindes som hjemløse i de senere målinger. Denne ten-
dens går igen på tværs af begge datakilder og over tid. I de samlede data er det 28-30 pct. af de
hjemløse mænd, der også er registreret to år efter, mens det gælder 21-23 pct. af de hjemløse
kvinder. Efter fire år er disse andele 18-19 pct. blandt mændene mod 13 pct. blandt kvinderne, og
det er 15 pct. af de hjemløse mænd, der genfindes seks år efter registreringen i 2009, mens det
samme gælder 9 pct. af de hjemløse kvinder.
Tabel 7.2
Andel af de hjemløse mænd for hvert af årene 2009-2015, der kan genfindes som
hjemløse 2, 4 og 6 år efter, særskilt for tællingsdata, boformsdata og samlede data.
Antal og procent.
År
To år efter
Startår
Tællingsdata
2009
2011
2013
2015
Boformsdata
2009
2011
2013
2015
Samlede data
2009
2011
2013
2015
Kilde:
Tællingsdata og boformsdata.
6.167
6.397
6.735
7.028
1.805
1.811
1.988
-
29
28
30
-
1.197
1.180
-
-
19
18
-
-
928
-
-
-
15
-
-
-
4.602
4.553
4.680
4.699
1.443
1.380
1.480
-
31
30
32
-
905
864
-
-
20
19
-
-
698
-
-
-
15
-
-
-
3.016
3.293
3.668
4.078
519
576
694
-
17
17
19
-
332
366
-
-
11
11
-
-
255
-
-
-
8
-
-
-
N
Antal
Pct.
Kan genfindes
Fire år efter
Antal
Pct.
Seks år efter
Antal
Pct.
61
SOU, Alm.del - 2016-17 - Bilag 369: VIVE’s Veje ind og ud af hjemløshed. En undersøgelse af hjemløshedens forløb og dynamik., fra børne- og socialministeren
1792734_0064.png
Tabel 7.3
Andel af de hjemløse kvinder for hvert af årene 2009-2015, der kan genfindes som
hjemløse 2, 4 og 6 år efter, særskilt for tællingsdata, boformsdata og samlede data.
Antal og procent.
År
To år efter
Startår
N
759
864
948
1.113
1.125
1.252
1.335
1.374
1.674
1.852
1.913
2.033
Antal
79
86
129
-
301
305
308
-
381
390
431
-
Pct.
10
10
14
-
27
24
23
-
23
21
23
-
Kan genfindes
Fire år efter
Antal
41
58
-
-
168
171
-
-
224
236
-
-
Pct.
5
7
-
-
15
14
-
-
13
13
-
-
Seks år efter
Antal
36
-
-
-
109
-
-
-
154
-
-
-
Pct.
5
-
-
-
10
-
-
-
9
-
-
-
Tællingsdata
2009
2011
2013
2015
Boformsdata
2009
2011
2013
2015
Samlede data
2009
2011
2013
2015
Kilde:
Tællingsdata og boformsdata.
I tabellerne 7.4, 7.5 og 7.6 ser vi på andelen af gengangere for hver aldersgruppe. Vi genfinder
også, inden for hver aldersgruppe, ensartetheden i andelen af gengangere på tværs af de enkelte
år. Eksempelvis kan 19-21 pct. af de 18-29-årige genfindes i boformsdata to år efter første regi-
strering, mens det er 30-31 pct. for de 30-49-årige og 32-37 pct. for dem, der er 50 år og derover.
Vi ser imidlertid også en tendens til, at de yngre hjemløse i mindre grad end de ældre hjemløse
genfindes som hjemløse i de efterfølgende år. I de samlede data genfinder vi 8-9 pct. af de 18-29-
årige efter fire år, mens det gælder 18-19 pct. af de 30-49-årige og 24 pct. af dem på 50 år og
derover. Det tyder på, at hjemløsheden for mange af de hjemløse unge er af korterevarende ka-
rakter, mens hjemløsheden ”bider sig mere fast” for de midaldrende og ældre aldersgrupper.
62
SOU, Alm.del - 2016-17 - Bilag 369: VIVE’s Veje ind og ud af hjemløshed. En undersøgelse af hjemløshedens forløb og dynamik., fra børne- og socialministeren
1792734_0065.png
Tabel 7.4
Andel af de hjemløse 18-29-årige for hvert af årene 2009-2015, der kan genfindes
som hjemløse 2, 4 og 6 år efter, særskilt for tællingsdata, boformsdata og samlede
data. Antal og procent.
År
To år efter
Startår
N
910
1.338
1.382
1.651
965
1.144
1.251
1.404
1.620
2.166
2.262
2.556
Antal
85
124
146
-
199
213
264
-
278
337
418
-
Pct.
9
9
11
-
21
19
21
-
17
16
18
-
Kan genfindes
Fire år efter
Antal
28
57
-
-
100
110
-
-
140
177
-
-
Pct.
3
4
-
-
10
10
-
-
9
8
-
-
Seks år efter
Antal
21
-
-
-
54
-
-
-
88
-
-
-
Pct.
2
-
-
-
6
-
-
-
5
-
-
-
Tællingsdata
2009
2011
2013
2015
Boformsdata
2009
2011
2013
2015
Samlede data
2009
2011
2013
2015
Kilde:
Tællingsdata og boformsdata.
Tabel 7.5
Andel af de hjemløse 30-49-årige for hvert af årene 2009-2015, der kan genfin-
des som hjemløse 2, 4 og 6 år efter, særskilt for tællingsdata, boformsdata og samle-
de data. Antal og procent.
År
To år efter
Startår
N
2.049
1.992
2.214
2.376
3.048
2.826
2.850
2.710
4.164
3.929
4.019
4.032
Antal
331
345
425
-
918
884
870
-
1.177
1.160
1.178
-
Pct.
16
17
19
-
30
31
31
-
28
30
29
-
Kan genfindes
Fire år efter
Antal
228
224
-
-
564
505
-
-
783
718
-
-
Pct.
11
11
-
-
19
18
-
-
19
18
-
-
Seks år efter
Antal
165
-
-
-
431
-
-
-
589
-
-
-
Pct.
8
-
-
-
14
-
-
-
14
-
-
-
Tællingsdata
2009
2011
2013
2015
Boformsdata
2009
2011
2013
2015
Samlede data
2009
2011
2013
2015
Kilde:
Tællingsdata og boformsdata.
63
SOU, Alm.del - 2016-17 - Bilag 369: VIVE’s Veje ind og ud af hjemløshed. En undersøgelse af hjemløshedens forløb og dynamik., fra børne- og socialministeren
1792734_0066.png
Tabel 7.6
Andel af de hjemløse på 50 år og derover for hvert af årene 2009-2015, der kan gen-
findes som hjemløse 2, 4 og 6 år efter, særskilt for tællingsdata, boformsdata og sam-
lede data. Antal og procent.
År
To år efter
Startår
N
816
827
1.020
1.164
1.714
1.835
1.914
1.959
2.057
2.154
2.367
2.473
Antal
182
193
252
-
627
588
654
-
731
704
823
-
Pct.
22
23
25
-
37
32
34
-
36
33
35
-
Kan genfindes
Fire år efter
Antal
117
143
-
-
409
420
-
-
498
521
-
-
Pct.
14
17
-
-
24
23
-
-
24
24
-
-
Seks år efter
Antal
105
-
-
-
322
-
-
-
405
-
-
-
Pct.
13
-
-
-
19
-
-
-
20
-
-
-
Tællingsdata
2009
2011
2013
2015
Boformsdata
2009
2011
2013
2015
Samlede data
2009
2011
2013
2015
Kilde:
Tællingsdata og boformsdata.
Som tidligere nævnt er det ikke nødvendigvis de samme personer, der optræder som gengangere
efter henholdsvis to, fire og seks år i opgørelserne i ovenstående tabeller. Eksempelvis kan en
person være registreret som hjemløs i 2009, men ikke i 2011, for derefter igen at blive registreret
som hjemløs i 2013.
For at kaste mere lys over de forskellige veje gennem hjemløshed har vi i forløbsdiagrammet i
figur 7.1 opgjort, hvor mange personer der går igen mellem de forskellige hjemløshedstællinger.
Figuren viser forløbet på tværs af tællingerne for de hjemløse borgere, der er registreret i tællin-
gerne i perioden 2009-2015. Mens tabel 7.1-7.6 tog udgangspunkt i alle de hjemløse borgere, der
var blevet registreret i hvert af de enkelte år, er figur 7.1 opgjort således, at hver person kun kan
optræde med ét startår, nemlig det år, hvor personen første gang blev registreret som hjemløs i
perioden. For 2009 indgår således alle borgere, der blev registreret i tællingen i 2009, men for
2011 og fremefter indgår kun de borgere, der blev nyregistreret det pågældende år, og som ikke
var registreret ved de tidligere tællinger. Vi følger personerne, der blev registreret i 2009, gennem
de efterfølgende tællinger, og ligeså med de personer, der blev registreret første gang ved de
efterfølgende tællinger.
Af figur 7.1 fremgår det, at 598 (svarende til 16 pct.) af de 3.775 borgere, der indgik i hjemløsetæl-
lingen i 2009, kan genfindes i tællingsdata i 2011, og der er 151 (svarende til 4 pct.) af dem, der
blev registreret i 2009, der både er registreret ved tællingen i 2011 og 2013. Der er 58 borgere fra
hjemløsetællingen i 2009, svarende til 2 pct., som er registreret ved alle de fire hjemløsetællinger i
perioden fra 2009-2015. Vi kan også se, at 222 af de hjemløse borgere (svarende til 6 pct.) fra
tællingen i 2009 genfindes i 2013-tællingen uden at have været registreret i 2011-tællingen, men
der er kun 55 af disse 222 borgere, der igen registreres i 2015. Endelig er der 124 (3 pct.) af dem,
der blev registreret i 2009, der igen blev registreret i 2015, men ikke ved de mellemliggende tæl-
64
SOU, Alm.del - 2016-17 - Bilag 369: VIVE’s Veje ind og ud af hjemløshed. En undersøgelse af hjemløshedens forløb og dynamik., fra børne- og socialministeren
1792734_0067.png
linger i 2011 og 2013. Figuren viser således, at det er en relativt lille del af de hjemløse borgere,
der registreres ved de enkelte tællinger, som registreres igen ved en eller flere af de efterfølgende
tællinger.
Det skal understreges, at eftersom tællingerne er ugetællinger, der kun foregår hvert andet år, kan
der være borgere, som ikke registreres ved de efterfølgende tællinger, men som kan have været
hjemløse i de mellemliggende perioder. Samtidig skal det tages i betragtning, at opgørelserne er
baseret på de personer, der har fulde CPR-numre, og at dem uden fulde CPR-numre således ikke
vil kunne genfindes. Her kan der også være personer, der er registreret med et fuldt CPR-nummer
i ét af årene, men som ikke er registreret med et fuldt CPR-nummer i et andet af årene. På trods af
disse forbehold understreger resultaterne, at andelen af gengangere på tværs af tællingerne er
forholdsvis lav, og at det dermed er en mindre gruppe, der er langvarigt hjemløse.
Figur 7.1
Antal hjemløse borgere, registreret i tællingsdata hvert af årene 2009-2015, samt
antal og andel, der kan genfindes i efterfølgende år, særskilt for første år registreret
som hjemløs og kombination af registreringer. Antal og procent.
Kilde:
Tællingsdata.
Figur 7.2 viser antallet af hjemløse borgere i de samlede boforms- og tællingsdata, særskilt for
første registreringsår i undersøgelsesperioden. Eksempelvis illustrerer figuren, at ud af de 7.841
personer, der var hjemløse i 2009, blev 2.186 personer også registreret som hjemløse i 2011, og
1.421 personer blev registreret i 2013, mens 1.082 personer af dem, der blev registreret første
gang i 2009, blev registreret igen i 2015. I figuren tages der dog ikke højde for, at nogle af de bor-
gere, der blev registreret på et givet tidspunkt, ikke nødvendigvis optræder i det efterfølgende op-
gørelsesår, men derefter kan blive registreret igen i et efterfølgende opgørelsesår. Opgørelsen
inkluderer heller ikke de mellemliggende år (2010, 2012 og 2014), da figuren er baseret på de
sammenlagte data fra tællingsdata og boformsdata i hvert af de fire opgørelsesår. Af de 8.249
personer, der i alt er registreret i 2011, er det første gang, at de 6.063 personer er registreret i
perioden. Af disse genfindes 1.330 igen i 2013, mens 845 personer genfindes i 2015. Der er 5.783
personer, der for første gang i perioden er registreret som hjemløse i 2015. Sammen med de fore-
gående opgørelser illustrerer figuren, hvordan der løbende både er en forholdsvis stor tilgang og
afgang fra hjemløshed.
65
SOU, Alm.del - 2016-17 - Bilag 369: VIVE’s Veje ind og ud af hjemløshed. En undersøgelse af hjemløshedens forløb og dynamik., fra børne- og socialministeren
1792734_0068.png
Figur 7.2
Antal hjemløse borgere (samlede data) hvert af årene 2009-2015, særskilt for første
år registreret som hjemløs. Antal.
10.000
9.000
8.000
Antal af hjemløse borgere
7.000
6.000
5.000
4.000
3.000
2.000
1.000
0
2009
2011
2009
Kilde:
Tællingsdata og boformsdata.
2011
2013
2013
2015
2015
7.2
Overgange mellem forskellige hjemløshedssituationer
I hjemløsetællingerne sondres der mellem forskellige hjemløshedssituationer i form af, om borge-
ren har overnattet på gaden, på en natvarmestue, på herberg, hos familie og venner, samt i for-
skellige øvrige situationer. Ved at kombinere data på tværs af tællingerne kan vi også belyse, i
hvilken grad de hjemløse borgere bevæger sig mellem de forskellige hjemløshedssituationer. Det
gælder fx, i hvilken grad gadesoverne og brugerne af natvarmestuerne også benytter herbergerne,
eller om de, der overnatter hos familie og venner, med tiden tager ophold på boformerne, hvilket
kan være et tegn på, at overnatningsmulighederne slipper op, efterhånden som det sociale net-
værk slides ned.
Opgørelserne fra kortlægningerne af hjemløshed har generelt vist, at der alene i løbet af tælleugen
er en betydelig del af gadesoverne og natvarmestuebrugerne, der også benytter § 110-boformerne
(se fx Benjaminsen & Lauritzen, 2015). Det er tegn på, at en del hjemløse borgere benytter sig af
forskellige overnatningsmuligheder fra dag til dag. I analyserne i dette afsnit vil vi belyse overgan-
gene mellem de forskellige situationer i et længere tidsperspektiv ved at se på gengangerne mel-
lem tællingerne og hvilken hjemløshedssituation disse borgere befinder sig i fra gang til gang. Ved
at inddrage boformsdata afdækker vi også, i hvilken grad de, der er registreret i de forskellige
hjemløshedssituationer i hjemløsetællingerne, også benytter boformerne set over en længere pe-
riode.
Tabel 7.7 viser andelen af hjemløse borgere fra hjemløsetællingen i 2009, der også registreres
ved de senere tællinger, opdelt på deres hjemløsesituation. Her skal der gøres opmærksom på, at
hjemløshedssituationerne, der er defineret i hjemløsetællingerne, er opgjort hierarkisk, det vil sige,
at hvis man har overnattet på gaden, er man opgjort som gadesover, selvom man også har over-
nattet på fx en natvarmestue eller et herberg i løbet af tælleugen.
66
SOU, Alm.del - 2016-17 - Bilag 369: VIVE’s Veje ind og ud af hjemløshed. En undersøgelse af hjemløshedens forløb og dynamik., fra børne- og socialministeren
1792734_0069.png
Tabel 7.7
Andelen af de hjemløse borgere, registreret i hjemløsetællingen i 2009, der kan gen-
findes i senere hjemløsetællinger, særskilt for hjemløsesituation. Procent.
N
Hjemløsesituation
To år efter
Kan genfindes
Fire år efter
Seks år efter
Hjemløsesituation i opstartsår
2009
Gaden
295
Registreret i alt
Gaden
Natvarmestue
Herberg
Familie/venner
Andet
Natvarmestue
124
Registreret i alt
Gaden
Natvarmestue
Herberg
Familie/venner
Andet
Herberg
1.623
Registreret i alt
Gaden
Natvarmestue
Herberg
Familie/venner
Andet
Familie/venner
937
Registreret i alt
Gaden
Natvarmestue
Herberg
Familie/venner
Andet
Kilde:
Tællingsdata.
22
8
2
7
2
3
29
3
8
13
4
<1
19
1
<1
14
<1
2
11
1
<1
2
4
2
13
4
2
5
1
1
17
2
4
8
2
<1
11
<1
<1
8
<1
1
8
1
<1
3
2
1
13
4
1
5
1
2
16
3
4
5
<1
3
7
<1
<1
5
<1
<1
7
<1
<1
3
2
<1
Tabellen viser, at 22 pct. af de hjemløse borgere, der i tællingen i 2009 overnattede på gaden, kan
genfindes i tællingen to år senere, og at 8 pct. igen overnattede på gaden. En del af dem, der var
gadesovere i 2009, blev således registreret i andre hjemløshedssituationer ved de efterfølgende
tællinger, og navnlig var der en del, der befandt sig på et herberg. Af dem, der overnattede hos
familie eller venner i 2009, kan 11 pct. genfindes i hjemløsetællingen to år senere, og 4 pct. over-
natter stadig hos familie eller venner, mens resten befinder sig i de øvrige hjemløshedssituationer.
Der er således en del fluktuation mellem de forskellige hjemløshedssituationer blandt genganger-
ne mellem tællingerne.
Da hjemløsetællingerne udgør en punktmåling i en enkelt uge, og da der som tidligere nævnt ikke
er CPR-numre for alle borgerne, der er registreret i tællingerne, vil både omfanget af gengangere
og fluktuationen mellem situationerne være underestimeret, når vi alene ser på oplysningerne på
tværs af tællingerne. I tabel 7.8 er det opgjort, hvor stor en del af personerne i de enkelte hjem-
løshedssituationer fra tællingen i 2009 der kan genfindes i henholdsvis boformsdata og de samle-
de data efter to, fire og seks år. Det ses, at disse andele er noget højere, end når vi alene anven-
der oplysningerne fra tællingerne. Den højeste andel, der registreres igen i de efterfølgende år,
67
SOU, Alm.del - 2016-17 - Bilag 369: VIVE’s Veje ind og ud af hjemløshed. En undersøgelse af hjemløshedens forløb og dynamik., fra børne- og socialministeren
1792734_0070.png
finder vi blandt brugerne af natvarmestuerne, hvor 38 pct. er registreret igen i de samlede data to
år senere, og 27 og 25 pct. er registreret igen efter henholdsvis fire og seks år. For gadesoverne
og herbergsbrugerne er det nogenlunde samme andel, der registreres igen i de efterfølgende år,
med 29 pct., der registreres igen i de samlede data efter to år, og henholdsvis 22 og 20 pct., der
registreres igen efter fire år. Den laveste andel, der registreres igen, finder vi blandt dem, der har
overnattet midlertidigt hos familie og venner, hvor det er 15, 12 og 10 pct. af dem, der blev regi-
streret ved tællingen i 2009, der genfindes i de samlede data efter henholdsvis to, fire og seks år.
Tabel 7.8
Andelen af de hjemløse borgere, registreret i hjemløsetællingerne i 2009, der kan
genfindes i senere boformsdata og samlede data, særskilt for hjemløshedssituation.
Procent.
N
Hjemløsesituation
To år efter
2009
Gaden
Natvarmestue
Herberg
Familie/venner
295
124
1.623
937
Boformsdata
Samlede data
Boformsdata
Samlede data
Boformsdata
Samlede data
Boformsdata
Samlede data
Kilde:
Tællingsdata og boformsdata.
18
29
32
38
26
29
8
15
16
22
22
27
17
20
8
12
14
19
19
25
14
15
7
10
Kan genfindes
Fire år efter
Seks år efter
Hjemløsesituation i opstartsår
Som nævnt adskiller de to datakilder sig væsentligt fra hinanden ved, at tællingerne udgør en
punktmåling i en enkelt uge, mens registreringerne på boformerne foretages året rundt. Figur 7.3
viser, hvor stor en andel af gadesoverne, brugerne af natvarmestuerne og dem, der overnatter hos
familie og venner, der samme år har benyttet § 110-boformerne, opgjort for hvert af de fire tæl-
lingsår. Andelene er ret ensartede over tid for de tre hjemløshedssituationer. Således optræder
mellem 26 og 29 pct. af gadesoverne, opgjort i tællingerne, også i boformsdata samme år, mens
det er 40 til 51 pct. af brugerne af natvarmestuerne, der også har benyttet § 110-boformerne
samme år. Selvom særligt andelen af natvarmestuebrugerne, der også har benyttet boformerne,
umiddelbart kan synes forholdsvis høj, viser opgørelsen samtidig, at godt halvdelen af natvarme-
stuebrugerne og over to tredjedele af gadesoverne ikke har benyttet § 110-boformerne i de på-
gældende år. Gadesoverne og natvarmestuebrugerne er generelt samfundets allermest udsatte
borgere, og det er en betydelig del af disse borgere, der således ikke benytter velfærdssystemets
primære tilbud til disse borgere, nemlig § 110-boformerne.
For de hjemløse, der overnatter hos familie eller venner, er det derimod kun mellem 8 og 10 pct.,
der har benyttet § 110-boformerne samme år, hvilket viser, at det kun er en relativt lille gruppe af
”sofasoverne”, der også benytter § 110-boformerne.
68
SOU, Alm.del - 2016-17 - Bilag 369: VIVE’s Veje ind og ud af hjemløshed. En undersøgelse af hjemløshedens forløb og dynamik., fra børne- og socialministeren
1792734_0071.png
Figur 7.3
Andel hjemløse borgere fra hjemløsetællingerne, der er registreret på § 110-
boformerne i samme år, særskilt for hjemløsesituation. Procent.
60
50
40
Procent
30
20
10
0
2009
Gaden
Kilde:
Tællingsdata og boformsdata.
2011
Natvarmestue
2013
Familie/venner
2015
Vi har også opgjort, hvor mange af gadesoverne, brugerne af natvarmestuer og sofasoverne der
benytter § 110-boformerne set over en længere periode i årene efter, at de blev registreret i tællin-
gerne. Figur 7.4 viser andelen af hjemløse borgere i de enkelte hjemløshedssituationer ved de
enkelte tællinger, der benytter § 110-boformerne i samme år og de efterfølgende år. I denne opgø-
relse har vi endvidere inkluderet boformsdata for de mellemliggende år (2010, 2012 og 2014).
For gadesoverne falder andelen, der kan genfindes på boformerne, fra mellem 26 og 29 pct.
samme år, som personen er registreret i hjemløsetællingerne (se også figur 7.3), til omkring 15
pct. i de efterfølgende år. Når vi sammenligner gadesoverne, der er registreret ved tællingerne i
henholdsvis 2009, 2011 og 2013, ser vi også, at der er tale om parallelle udviklinger, når vi sam-
menligner andelene, der efterfølgende registreres på boformerne fra år til år. Det samme gør sig
gældende for brugerne af natvarmestuer, hvor andelen, der registreres på boformerne, falder fra
mellem 40-51 pct. det første år til omkring 30 pct. to år senere. For dem, der var på natvarmestue i
2009, falder andelen, der registreres på herbergerne i de efterfølgende år, yderligere til under 20
pct. Selvom andelen, der registreres på boformerne, falder over tid, er der således en betydelig del
af natvarmestuebrugerne, der vedbliver at være hjemløse i lang tid.
For de hjemløse borgere, der overnatter hos familie eller venner, er det mellem 8 og 10 pct., der
også registreres på boformerne samme år som tællingen, og dette niveau falder kun lidt i de efter-
følgende år, til omkring de 6-8 pct. Det tyder på, at en stor del af dem, der overnatter hos familie
og venner, finder vej ud af hjemløsheden igen, men at en mindre gruppe heraf efterhånden må
overnatte på herberger, hvilket som nævnt kan være udtryk for, at deres netværk efterhånden er
blevet slidt ned.
69
SOU, Alm.del - 2016-17 - Bilag 369: VIVE’s Veje ind og ud af hjemløshed. En undersøgelse af hjemløshedens forløb og dynamik., fra børne- og socialministeren
1792734_0072.png
Figur 7.4
Andel hjemløse borgere i hjemløsetællingerne, der har benyttet § 110-boformerne i
perioden 2009-2015, særskilt for hjemløsesituation og tællingsår. Procent.
40
35
30
Procent
25
20
15
10
5
0
2009
2010
2011
2012
Gaden (2011)
2013
2014
Gaden (2013)
2015
Gaden (2009)
55
50
45
40
35
Procent
30
25
20
15
10
5
0
2009
2010
Natvarmestue (2009)
20
15
Procent
10
5
0
2009
2010
2011
2012
Familie/venner (2011)
2013
2014
2015
Familie/venner (2009)
Kilde:
Tællingsdata og boformsdata.
Familie/venner (2013)
2011
2012
Natvarmestue (2011)
2013
2014
2015
Natvarmestue (2013)
70
SOU, Alm.del - 2016-17 - Bilag 369: VIVE’s Veje ind og ud af hjemløshed. En undersøgelse af hjemløshedens forløb og dynamik., fra børne- og socialministeren
1792734_0073.png
7.3
Varigheden af hjemløsheden og den psykosociale profil
De foregående opgørelser i dette kapitel har vist, at der er en betydelig variation blandt de hjemlø-
se borgere i forhold til varigheden af hjemløsheden, målt ud fra, hvor længe man er registreret
som hjemløs. Vi vil belyse varigheden af hjemløsheden nærmere ved at se på, hvordan varighe-
den hænger sammen med nogle af de væsentligste risikofaktorer bag hjemløsheden. I dette og
det følgende afsnit vil vi se på de to datakilder – hjemløsetællingerne og boformsdata – hver for
sig. Det hænger sammen med, at netop når vi opgør varigheden af hjemløsheden, spiller det ind,
at hjemløsetællingerne udgør punktmålinger med to års mellemrum, mens registreringerne på
boformerne sker løbende året rundt.
Tabel 7.9 viser de hjemløse borgere, registreret ved hver hjemløsetælling og opdelt på, om de er
registreret i en enkelt tælling, to tællinger eller mindst tre tællinger. Det er et mål for, om hjemløs-
heden er af korterevarende karakter eller af længerevarende og tilbagevendende karakter. De, der
kun er blevet registreret i hjemløsetællingerne én gang, udgør de største andele for alle år i under-
søgelsesperioden. I 2009 og 2015 kan personer, registreret i disse år, kun optræde henholdsvis
efter eller før den pågældende tælling, men ikke både før og efter, hvilket forklarer den højere
andel, der kun er registreret i én tælling ved tællingerne i 2009 og 2015. Det er således tallene for
2011 og 2013, der giver det mest præcise billede af, hvor mange der kun registreres én gang
(knap 70 pct.), mens det er 23-24 pct. af borgerne i tællingerne fra 2011 og 2013, der har optrådt i
to tællinger, og 7-8 pct., der er registreret i tre eller fire tællinger.
Tabel 7.9
Fordeling på antal gange hjemløse borgere er registreret i hjemløsetællingerne. Antal
og procent.
2009
Antal
Én gang
To gange
Tre gange eller flere
I alt
Kilde:
Tællingsdata.
2.831
684
260
3.775
Pct.
75
18
7
100
2011
Antal
2.873
942
342
4.157
Pct.
69
23
8
100
2013
Antal
3.159
1.114
343
4.616
Pct.
68
24
7
100
2015
Antal
4.015
872
304
5.191
Pct.
77
17
6
100
Vi benytter opdelingen i tabel 7.9 til at belyse, i hvilken grad spørgsmålet om, hvorvidt hjemløshe-
den er af kortere eller længerevarende karakter, hænger sammen med, hvilke øvrige psykiske og
sociale problemer der kendetegner personen. Tabel 7.10 viser, hvor stor en andel af dem der er
blevet registreret én gang, to gange eller mindst tre gange, der har psykisk lidelse eller misbrugs-
problemer, målt ud fra registerdata. Opgørelsen viser en tydelig tendens til, at en højere andel af
gengangerne (de borgere, der har optrådt i flere tællinger) har en psykisk lidelse eller misbrugs-
problemer, sammenlignet med de borgere, der kun er registreret i én tælling. Særligt kan det
fremhæves, at andelen med svær psykisk lidelse er 18 pct. for de hjemløse borgere, der kun op-
træder i én hjemløsetælling, mens andelen er 30 pct. blandt dem, der indgår i mindst tre tællinger.
Ligeledes er andelen med misbrugsproblemer 47 pct. blandt dem, der kun indgår i én tælling,
mens den er 75 pct. blandt dem, der er registreret i mindst tre tællinger. Der er 30 pct. psykisk
syge misbrugere blandt dem, der er registreret i én tælling, mens denne andel er 46 pct. blandt
dem, der er registreret i mindst tre tællinger. Det er 62 pct. af dem, der er registreret i én tælling,
der enten har psykisk sygdom og/eller misbrugsproblemer, mens denne andel er 83 pct. blandt
dem, der er registreret ved mindst tre tællinger. Derved fremgår det også, at blandt dem, der kun
er registreret i én tælling, er der en forholdsvis høj andel på 38 pct., der hverken er registreret med
en psykisk lidelse eller misbrugsproblemer i registrene.
71
SOU, Alm.del - 2016-17 - Bilag 369: VIVE’s Veje ind og ud af hjemløshed. En undersøgelse af hjemløshedens forløb og dynamik., fra børne- og socialministeren
1792734_0074.png
Tabel 7.10
Andel af hjemløse borgere, registreret i hjemløsetællingerne med forskellige risikofak-
torer, særskilt for antal gange de optræder i hjemløsetællingerne. Antal og procent.
Én gang
Svær psykisk lidelse ***
Anden psykisk lidelse
Psykisk lidelse i alt **
Misbrug af hårde stoffer ***
Hashmisbrug ***
Alkoholmisbrug ***
Misbrug af medicin eller andet ***
Misbrug i alt ***
Psykisk lidelse eller misbrug ***
Psykisk syge misbrugere ***
N
18
40
45
24
29
23
15
47
62
30
4.015
To gange
21
42
48
41
43
41
30
69
78
39
872
Tre gange eller flere
30
42
53
51
52
53
38
75
83
46
304
I alt
19
40
46
28
32
28
18
52
66
32
5.191
Anm.: Signifikansniveauer angivet ved: * p < 0,05; ** p < 0,01; *** p < 0,001. Psykiske lidelser og misbrugsproblemer er
opgjort akkumuleret over det hidtidige livsforløb frem til og med 2014.
Kilde: Tællingsdata, boformsdata og øvrige registerdata.
Ser vi nærmere på de enkelte diagnoser (se tabel 7.11), er det særligt andelen med svære psyki-
ske lidelser som skizofreni og psykoser, der er markant højere for dem, der er registreret som
hjemløse i flere tællinger. Eksempelvis er andelen med diagnosen skizofreni 8 pct. blandt dem, der
er registreret i én tælling, mens den er 15 pct., blandt dem, der er registreret i mindst tre tællinger.
Blandt de øvrige psykiske lidelser er niveauet derimod nogenlunde ensartet i de tre grupper.
Tabel 7.11
Andel af hjemløse borgere med forskellige psykiske diagnoser, særskilt for antal gan-
ge de optræder i hjemløsetællingerne. Antal og procent.
Én gang
Skizofreni ***
Skizotypisk sindslidelse
Psykoser **
Bipolar sindslidelse
Borderline
Depression (svær)
Depression (let-moderat)
Affektive lidelser
Angst
OCD
Belastningsreaktion
Spiseforstyrrelse
Personlighedsforstyrrelse **
ADHD
Adfærdsforstyrrelse
Psykisk lidelse i alt **
N
8
2
11
3
3
3
14
-
7
-
23
-
12
9
-
45
4.015
To gange
11
2
13
3
2
3
14
-
8
-
25
-
15
7
-
48
872
Tre gange eller flere
15
4
16
4
2
4
13
-
6
-
26
-
19
9
-
53
304
I alt
9
2
11
3
3
3
14
-
7
-
24
-
13
9
-
46
5.191
Anm.: Signifikansniveauer angivet ved: * p < 0,05; ** p < 0,01; *** p < 0,001. Psykiske lidelser og misbrugsproblemer er
opgjort akkumuleret over det hidtidige livsforløb frem til og med 2014.
Kilde: Tællingsdata, boformsdata og øvrige registerdata.
72
SOU, Alm.del - 2016-17 - Bilag 369: VIVE’s Veje ind og ud af hjemløshed. En undersøgelse af hjemløshedens forløb og dynamik., fra børne- og socialministeren
7.4
De kortvarigt, langvarigt og episodisk hjemløse
De tidligere analyser viser, at der er en betydelig variation i omfanget og varigheden af hjemløshe-
den. For at belyse denne variation nærmere har vi foretaget en analyse af omfanget og intensite-
ten af brugen af §-110-boformerne. I denne analyse benytter vi os af, at boformsregistret indehol-
der en fortløbende registrering af alle indskrivninger og ophold. Det giver mulighed for at anvende
en statistisk model til at aftegne forskellige typer af hjemløshed ud fra mønstret for brugen af bo-
formerne.
Analysen tager udgangspunkt i en tilsvarende analyse på amerikanske boformsdata, hvor oplys-
ninger om antallet af ophold på herberger og varigheden af opholdene er blevet anvendt til at af-
dække forskellige typer af hjemløshed ud fra disse mønstre (Kuhn & Culhane, 1998). Den ameri-
kanske undersøgelse viste, at herbergsbrugere kan opdeles i tre grupper. Den største gruppe var
de såkaldt transitionelt hjemløse (”transitional homeless”). Denne gruppe er kendetegnet ved, over
en periode, kun at have få ophold på et herberg (typisk blot én eller to indskrivninger), og at disse
ophold samtidig er af kortere varighed som fx én eller to måneder. Det er med andre ord personer,
som kun forholdsvis kortvarigt opholder sig på et herberg og ret hurtigt ”forsvinder” igen uden at
vende tilbage.
En anden gruppe er såkaldt episodisk hjemløse (”episodic homeless”). Det er borgere, som har
mange indskrivninger på herberg, men hvor hver enkelt indskrivning er ret kort (én eller få uger).
Det er borgere der typisk bevæger sig ind og ud af herbergerne, og derimellem har perioder med
gadehjemløshed, ophold på hospitaler eller i fængsler. Ofte vil der være tale om et ret kaotisk
mønster, der typisk er knyttet til massive misbrugsproblemer.
Den tredje gruppe er dem, som i den amerikanske analyse kaldes de kronisk hjemløse (”chronic
homeless”). Det er borgere, der typisk har flere og meget langvarige herbergsophold. Den ameri-
kanske analyse viste, at selvom denne gruppe udgør en forholdsvis lille del af det samlede antal
brugere af herbergerne (typisk 15 pct.), stod de samlet set for omkring halvdelen af alle opholds-
døgn på herbergerne på grund af de langvarige ophold. De kronisk hjemløse har betydelige psy-
kosociale problemer, det vil sige, at der er en høj andel med psykiske lidelser og/eller misbrugs-
problemer.
Den amerikanske undersøgelse viste, at gruppen af transitionelt hjemløse var langt den største
gruppe, der udgør mere end tre ud af fire herbergsbrugere, men at denne gruppe, på grund af de
kortvarige ophold, kun står for en relativt lav del af det samlede antal opholdsdøgn på herberger-
ne. I USA, hvor en væsentligt større andel af befolkningen samlet set rammes af hjemløshed, er
det kendetegnende for denne gruppe, at kun en mindre del har psykiske lidelser og misbrugspro-
blemer, mens mange af de transitionelt hjemløse primært bliver hjemløse på grund af fattigdom.
En tidligere analyse på baggrund af danske boformsdata fra perioden 1999-2009 viste, at de
samme grupper af hjemløse – de transitionelle, episodiske og kroniske hjemløse – kunne genfin-
des i Danmark (Benjaminsen & Andrade, 2015). Den danske undersøgelse viste endda, at de tre
grupper forholdsmæssigt havde nogenlunde samme størrelsesorden som i USA, det vil sige, at
gruppen af kortvarige herbergsbrugere også i Danmark var langt den største gruppe. Der viste sig
dog også den væsentlige forskel, at der samlet set var en væsentligt lavere del af befolkningen i
Danmark, der over en given periode havde benyttet herberger (cirka tre gange færre end i USA),
samtidig med at der i gruppen af transitionelt hjemløse i Danmark var en høj andel med psykiske
lidelser og misbrugsproblemer, ligesom i de øvrige to grupper, mens andelen med psykiske lidel-
ser og misbrugsproblemer var langt lavere blandt de transitionelt hjemløse i USA. Det er udtryk
73
SOU, Alm.del - 2016-17 - Bilag 369: VIVE’s Veje ind og ud af hjemløshed. En undersøgelse af hjemløshedens forløb og dynamik., fra børne- og socialministeren
for, at hjemløshed, der primært er forårsaget af fattigdom alene, i højere grad gør sig gældende i
USA end i Danmark.
I indeværende undersøgelse har vi gentaget denne analyse på baggrund af nyere boformsdata for
perioden fra 2009 til og med 2015. Analysen er metodisk set baseret på den såkaldte ”clusterana-
lyse” (klyngeanalyse). Denne analyse inddeler boformsbrugerne i forskellige grupper ud fra to
oplysninger, nemlig antallet af ophold på herbergerne og den samlede længde af opholdene, det
vil sige antallet af herbergsdøgn (se kapitel 3). Den statistiske analyse viser, at de tre ovennævnte
grupper stadig genfindes blandt de danske boformsbrugere.
I de følgende analyser foretrækker vi at benævne gruppen af kronisk hjemløse for de ”langvarigt
hjemløse”, da senere forskning har vist, at også hjemløse med komplekse støttebehov som oftest
kan komme ud af hjemløshed igen, hvis de får en tilstrækkeligt målrettet indsats, der kombinerer
en permanent boligløsning med intensiv social støtte, det vil sige den indsats, der også er kendt
som ”Housing First” (Tsemberis, 2010). Tilsvarende vil vi benævne de transitionelt hjemløse som
de kortvarigt hjemløse.
Tabel 7.12 viser de tre grupper. Den største gruppe – de kortvarigt hjemløse – udgør 67 pct. af
boformsbrugerne og er karakteriseret ved få og relativt korte indskrivninger med gennemsnitligt
1,6 indskrivninger på en boform og med en gennemsnitlig varighed på 38,3 dage pr. ophold. I alt
har denne gruppe i gennemsnit opholdt sig i 61,7 dage på en § 110-boform i løbet af den samlede
periode fra 2009 til 2015.
Den anden gruppe – de episodisk hjemløse – er den mindste gruppe på kun 10 pct. af den samle-
de gruppe af hjemløse borgere. Denne gruppe er karakteriseret ved mange, korte hjemløseperio-
der; i gennemsnit 13,3 ophold med en gennemsnitlig varighed på 26,2 dage for hvert ophold. I alt
har disse personer i gennemsnit opholdt sig i 349,3 dage på en boform.
Den tredje og sidste gruppe – de langvarigt hjemløse – består af 23 pct. af de hjemløse borgere
og er karakteriseret ved få, men lange hjemløseperioder. Gennemsnitligt har denne gruppe været
indskrevet på en boform 2,5 gange med en gennemsnitlig varighed på 241,2 dage pr. ophold. Det
svarer til, at denne gruppe sammenlagt har været indskrevet på en boform i 602 dage hen over
hele perioden.
Hvis vi ser på, hvor stor en andel af det samlede antal dage på § 110-boformer hver gruppe står
for, så står de episodisk hjemløse for 17 pct., de kortvarigt hjemløse for 19 pct., mens gruppen af
langvarigt hjemløse står for 64 pct. af det samlede antal opholdsdage på § 110-boformer. De kort-
varigt hjemløse, der udgør 2/3 af de hjemløse borgere, står således for mindre end 1/5 af det sam-
lede antal opholdsdage, mens den mindre gruppe af langvarigt hjemløse, der udgør mindre end ¼
af det samlede antal hjemløse borgere, står for næsten 2/3 af det samlede antal opholdsdage på §
110-boformerne.
Fordelingen betyder samtidig, at hvis man på en given dag betragter de borgere, der er indskrevet
på en boform, vil langt hovedparten tilhøre gruppen af langvarigt hjemløse, svarende til deres an-
del af det samlede antal opholdsdøgn, selvom denne gruppe antalsmæssigt kun udgør under en
fjerdedel af de borgere, der over en længere periode benytter boformerne. Det vil med andre ord
se ud, som om gruppen af langvarigt hjemløse udgør den største gruppe af brugere på boformer-
ne, selvom det er de kortvarigt hjemløse, der udgør langt den største gruppe af personer, der over
en længere periode benytter boformerne.
Sammenlagt har gruppen af langvarigt hjemløse, der består af cirka 3.435 personer over den syv-
årige periode, været indskrevet i tilsammen over 2 millioner døgn på boformene. Hvis der regnes
74
SOU, Alm.del - 2016-17 - Bilag 369: VIVE’s Veje ind og ud af hjemløshed. En undersøgelse af hjemløshedens forløb og dynamik., fra børne- og socialministeren
1792734_0077.png
med en gennemsnitlig opholdstakst på cirka 1.300 kr. pr borger pr døgn
3
, svarer det til, at disse
cirka tre et halvt tusind borgere, ud fra en skønsmæssig beregning, har benyttet for over 2�½ milli-
ard kroner boformsydelser over den syvårige periode (opgjort i 2017-priser), svarende til knap
800.000 kr. pr borger i denne gruppe.
Tabel 7.12
Karakteristik af typer af hjemløshed for boformsbrugere mellem 2009-2015. Antal og
procent.
Kortvarigt
Antal
Andel (procent)
Gsn. antal perioder
Gsn. antal dage
Gsn. antal dage pr. periode
Samlet antal dage
Andel af samlet antal dage
Kilde:
Boformsdata.
10.130
67
1,6
61,7
38,3
624.859
19
Episodisk
1.542
10
13,3
349,3
26,2
538.598
17
Langvarigt
3.435
23
2,5
602,0
241,2
2.067.733
64
I alt
15.107
100,0
3,0
213,9
71,1
3.231.189
100,0
Tabel 7.13 viser de tre typer af hjemløse borgere, fordelt på en række baggrundsfaktorer. Tallene
viser, at kvinder udgør en lidt større andel af de kortvarigt hjemløse med 27 pct., mens de i grup-
pen af langvarigt hjemløse udgør 18 pct.
Aldersfordelingen er nogenlunde ensartet på tværs af de tre grupper, dog udgør de 18-29-årige
med en andel på 20 pct. en mindre andel i gruppen af episodisk hjemløse, sammenlignet med de
andre to grupper. Samtidig udgør de 30-49-årige en lidt større andel i gruppen af episodisk hjem-
løse med en andel på 60 pct. Det skyldes formentlig, at gruppen af episodisk hjemløse er kende-
tegnet ved et massivt stofmisbrug, som vi typisk særligt finder blandt en del hjemløse borgere i
denne aldersgruppe.
Med hensyn til etnisk baggrund er der også en vis forskel mellem grupperne. Indvandrere og ef-
terkommere udgør samlet set 10 pct. af de episodisk hjemløse, 20 pct. af de langvarigt hjemløse
og 15 pct. af de kortvarigt hjemløse.
Der er ikke de store forskelle at finde med hensyn til højest fuldførte uddannelse. Dog udgør grup-
pen med en erhvervsfaglig uddannelse en lidt større andel af gruppen af kortvarigt hjemløse,
sammenlignet med de to andre grupper. Samtidig er andelen af borgere med en grundskoleud-
dannelse som den højest fuldførte uddannelse lidt højere blandt de episodisk og langvarigt hjem-
løse end blandt de kortvarigt hjemløse. Selvom forskellene er små, er de formentlig udtryk for, at
grupperne af episodisk og langvarigt hjemløse er dem med de færreste ressourcer.
3
Beregnet ud fra Tilbudsportalen i 2017-priser. Det skal bemærkes, at der er en betydelig variation i taksterne mellem de enkelte
boformer.
75
SOU, Alm.del - 2016-17 - Bilag 369: VIVE’s Veje ind og ud af hjemløshed. En undersøgelse af hjemløshedens forløb og dynamik., fra børne- og socialministeren
1792734_0078.png
Tabel 7.13
Baggrundsfaktorer for boformsbrugere mellem 2009-2015, særskilt for typer af hjem-
løshed. Procent.
Kortvarigt
Køn:***
Mænd
Kvinder
Aldersgrupper (2009):
18-29 år
30-49 år
50+ år
Etnisk baggrund:***
Danskere
Indvandrere
Efterkommere
Uddannelse ***
LVU eller højere
MVU
KVU
Erhvervsfaglig udd.
Gymnasial udd.
Grundskole
< 9. klasse
Ukendt
N
1
4
2
24
5
43
13
7
10.130
<1
4
1
21
4
47
14
8
1.542
<1
3
2
22
5
46
13
8
3.435
1
4
2
23
4
44
14
8
15.107
1
Episodisk
Langvarigt
I alt
73
27
80
20
82
18
76
24
26
51
23
20
60
20
25
55
20
25
53
22
85
14
1
90
9
<1
80
19
1
84
14
1
Anm.: Signifikansniveauer angivet ved: * p < 0,05; ** p < 0,01; *** p < 0,001.
Note: Højest fuldførte uddannelse er målt det første år, borgeren registreres som hjemløs i boformsdata.
Kilde: Boformsdata og øvrige registerdata.
Tabel 7.14 viser den geografiske fordeling af de tre typer af hjemløse borgere. Andelene for de
kortvarigt hjemløse afspejler i vid udstrækning den generelle befolkningsfordeling mellem de for-
skellige geografiske områder, mens der for de langvarigt hjemløse er en overrepræsentation af
personer, hjemmehørende i hovedstadsområdet og særligt i København. Det springer således
særligt i øjnene, at 25 pct. af de langvarigt hjemløse er hjemmehørende i København, mens dette
kun gør sig gældende for 7 pct. af de episodisk hjemløse og 11 pct. af de kortvarigt hjemløse.
De forskellige grupper findes dog både i de store og mindre byer. En fjerdedel af de kortvarigt
hjemløse hører hjemme i København, på Frederiksberg eller i Københavns omegn, mens 32 pct.
hører hjemme i de øvrige kommuner, hvor den største by har over 20.000 indbyggere (ikke med-
regnet København, Aarhus, Aalborg og Odense), mens 26 pct. hører hjemme i øvrige kommuner,
hvor den største by har under 20.000 indbyggere. Blandt de episodisk hjemløse er 41 pct. registre-
ret i de øvrige kommuner, hvor den største by har over 20.000 indbyggere, og 21 pct., der er regi-
streret i de øvrige kommuner, hvor den største by har under 20.000 indbyggere. Endelig er det 28
pct. af de langvarigt hjemløse, der er registreret i de øvrige kommuner, hvor den største by har
over 20.000 indbyggere, mens 17 pct. hører hjemme i de øvrige kommuner, hvor den største by
har under 20.000 indbyggere.
76
SOU, Alm.del - 2016-17 - Bilag 369: VIVE’s Veje ind og ud af hjemløshed. En undersøgelse af hjemløshedens forløb og dynamik., fra børne- og socialministeren
1792734_0079.png
Tabel 7.14
Fordeling af herbergsbrugere mellem 2009-2015 på byområder i 2009, særskilt for
typer af hjemløshed. Procent.
Byområder ***
København
Frederiksberg
Københavns omegn
Aarhus
Odense
Aalborg
Øvrige kommuner > 20.000
Øvrige kommuner < 20.000
I alt, procent
N
Kortvarigt
11
2
12
8
4
5
32
26
100
10.130
Episodisk
7
<1
7
13
6
4
41
21
100
1.542
Langvarigt
25
3
13
7
3
4
28
17
100
3.435
I alt
14
2
12
8
4
5
32
23
100
15.107
Anm.: Signifikansniveauer angivet ved: * p < 0,05; ** p < 0,01; *** p < 0,001.
Kilde: Boformsdata og øvrige registerdata.
Ser vi tilsvarende på fordelingen mellem de tre typer af hjemløshed inden for hver af de forskellige
bykategorier (se tabel 7.15), ses det tydeligt, at der i København samt på Frederiksberg er en
markant højere andel af boformsbrugerne, der tilhører gruppen af langvarigt hjemløse, end i de
øvrige byer og kommuner. Det er således 41 pct. af boformsbrugerne i København og 37 pct. af
boformsbrugerne på Frederiksberg, der kan karakteriseres som langvarigt hjemløse, sammenlig-
net med 23 pct. på landsplan. Det kan være en indikation på, at flere af de hjemløse i hovedstaden
har massive psykosociale problemer (herunder er knyttet til byens misbrugsmiljø), men det kan
også være tegn på, at det er sværere for de hjemløse at komme videre fra boformerne i hovedsta-
den, hvor blandt andet den vanskelige boligsituation i hovedstaden kan spille ind. Det kan endvi-
dere bemærkes, at der både i Aarhus og i Odense er en højere andel af episodiske hjemløse end
på landsplan.
Tabel 7.15
Fordeling af herbergsbrugere mellem 2009-2015 på typer af hjemløshed, særskilt for
byområder. Procent.
Byområder ***
København
Frederiksberg
Københavns omegn
Aarhus
Odense
Aalborg
Øvrige kommuner > 20.000
Øvrige kommuner < 20.000
I alt
Kilde:
Kortvarigt
54
60
68
66
69
71
67
74
67
Tællingsdata, boformsdata og øvrige registerdata.
Episodisk
5
2
6
16
15
9
13
9
10
Langvarigt
41
37
26
18
16
21
20
17
23
I alt
100
100
100
100
100
100
100
100
100
N
2.062
285
1.777
1.278
603
716
4.855
3.531
15.107
Hvis vi ser på andelen med psykisk lidelse og misbrugsproblemer, fremgår det, at gruppen af epi-
sodisk hjemløse er den gruppe, der har den højeste andel med en psykisk lidelse og med mis-
brugsproblemer. Tabel 7.16 viser, at 32 pct. af de episodisk hjemløse har en svær psykisk lidelse,
hvilket gør sig gældende for 24 pct. af de kortvarigt hjemløse og 22 pct. af de langvarigt hjemløse.
Også med hensyn til anden psykisk lidelse har de episodisk hjemløse den højeste andel med 61
77
SOU, Alm.del - 2016-17 - Bilag 369: VIVE’s Veje ind og ud af hjemløshed. En undersøgelse af hjemløshedens forløb og dynamik., fra børne- og socialministeren
1792734_0080.png
pct. Over halvdelen, 51 pct., af de episodisk hjemløse misbruger hårde stoffer, mens det gælder
omkring en tredjedel af de kort- og langvarigt hjemløse. Det er 73 pct. af de episodisk hjemløse,
der har et alkoholmisbrug, mens den tilsvarende andel for de kort- og langvarigt hjemløse er hen-
holdsvist 52 og 45 pct.
Samlet set har 94 pct. af de episodisk hjemløse enten en psykisk lidelse eller et misbrug, mens det
er 80 pct. i gruppen af langvarigt hjemløse og 83 pct. af de kortvarigt hjemløse. Det understreger,
at hjemløsheden i Danmark – også den korterevarende hjemløshed – i vid udstrækning rammer
borgere med psykiske lidelser eller misbrugsproblemer. Der er dog en forskel i kompleksitetsgra-
den, hvilket viser sig ved, at andelen af psykisk syge misbrugere er 64 pct. blandt de episodisk
hjemløse, der har det mest kaotiske mønster i brugen af boformerne, mens gruppen af psykisk
syge misbrugere udgør 46 pct. blandt de kortvarigt hjemløse og 39 pct. blandt de langvarigt hjem-
løse.
Tabel 7.16
Andelen af herbergsbrugere mellem 2009-2015 med en række forskellige risikofakto-
rer, særskilt for typer af hjemløshed. Procent.
Risikofaktorer
Svær psykisk lidelse
Anden psykisk lidelse ***
Psykisk lidelse i alt **
Misbrug af hårde stoffer ***
Hashmisbrug ***
Alkoholmisbrug
Misbrug af medicin eller andet ***
Misbrug i alt
Psykisk lidelse eller misbrug
Psykisk syge misbrugere
N
Kortvarigt
24
52
57
32
31
52
24
72
83
46
10.130
Episodisk
32
61
68
51
46
73
42
90
94
64
1.542
Langvarigt
22
45
52
33
36
45
24
67
80
39
3.435
I alt
24
51
57
34
34
53
26
73
84
46
15.107
Anm.: Signifikansniveauer angivet ved: * p < 0,05; ** p < 0,01; *** p < 0,001. Risikofaktorerne er opgjort kumuleret til
2014.
Kilde: Boformsdata og øvrige registerdata.
I tabel 7.17 har vi opgjort andelen med specifikke psykiske lidelser i de tre grupper. Her ses det
særligt, at der er en højere andel med de mest alvorlige psykiske lidelser – skizofreni og øvrige
psykotiske lidelser – i gruppen af episodiske hjemløse, ligesom der også i denne gruppe er en
højere andel med personlighedsforstyrrelser. Det kan være med til at forklare, at denne gruppe har
det mest kaotiske mønster i brugen af boformerne med de mange og kortvarige ophold. Opgørel-
serne viser samtidig, at andelene med de forskellige lidelser er nogenlunde ensartet, når vi sam-
menligner de kortvarigt og de langvarigt hjemløse. Det understreger, at selv i gruppen af kortvarigt
hjemløse er der en stor andel med forskellige psykiske lidelser.
78
SOU, Alm.del - 2016-17 - Bilag 369: VIVE’s Veje ind og ud af hjemløshed. En undersøgelse af hjemløshedens forløb og dynamik., fra børne- og socialministeren
1792734_0081.png
Tabel 7.17
Andelen af herbergsbrugere mellem 2009-2015 med forskellige psykiske diagnoser,
særskilt for typer af hjemløshed. Procent.
Kortvarigt
Skizofreni
Skizotypisk sindslidelse
Psykoser
Bipolar sindslidelse
Borderline *
Depression (svær) *
Depression (let-moderat) *
Affektive lidelser
Angst
OCD
Belastningsreaktion
Spiseforstyrrelse *
Personlighedsforstyrrelse
ADHD
Adfærdsforstyrrelse
Psykisk lidelse i alt **
N
11
2
12
5
4
6
22
3
12
1
31
1
19
8
2
57
10.130
Episodisk
16
3
17
8
5
5
25
3
16
1
38
1
27
12
3
68
1.542
Langvarigt
10
3
12
4
3
5
19
3
10
1
27
<1
16
8
1
52
3.435
I alt
12
2
13
5
4
5
22
3
12
1
31
1
19
8
2
57
15.107
Anm.: Signifikansniveauer angivet ved: * p < 0,05; ** p < 0,01; *** p < 0,001.
Kilde: Boformsdata og øvrige registerdata.
7.5
Sammenfatning
Dette kapitel har afdækket karakteren af forløbene gennem hjemløshed, herunder om hjemløshe-
den er af kortere eller længere varighed, og overgangene mellem forskellige hjemløshedsforløb.
Analyserne viser, at der er en betydelig variation i varigheden af hjemløshedsforløb, målt ved, hvor
længe borgeren optræder som hjemløs på tværs af de forskellige datakilder. Ser vi på datamateri-
alet fra hjemløsetællingerne, er det langt hovedparten af de hjemløse borgere, der kun registreres
i én tælling, mens det er forholdsvis få, der registreres igen i nogle af de efterfølgende tællinger.
Det hænger dog også sammen med, at hjemløsetællingerne er punktmålinger, baseret på optæl-
linger i en enkelt uge hvert andet år. Andelen af gengangere mellem de forskellige opgørelsesår er
noget højere, når vi ser på dataene fra boformerne, hvor det også skal tages i betragtning, at regi-
streringerne på boformerne foregår året rundt.
Der er en del cirkulation mellem de forskellige hjemløshedssituationer. Særligt er der en del af
gadesoverne og brugerne af natvarmestuerne, der også benytter § 110-boformene, mens det er
en væsentligt lavere andel af sofasoverne (dem, der overnatter hos familie og venner), der også
på et tidspunkt registreres på boformerne.
De fortløbende registreringer af opholdene på boformerne har givet mulighed for at anvende en
statistisk model til at identificere forskellige typer af hjemløshed med inspiration fra en tilsvarende
analyse på amerikanske boformsdata og ud fra en tidligere analyse af ældre boformsdata i Dan-
mark for perioden 1999-2009. De nye data for perioden 2009-2015 viser, at der fortsat kan identifi-
ceres tre forskellige grupper på boformerne. Langt hovedparten af boformsbrugerne tilhører grup-
pen af kortvarigt hjemløse, der kun bruger boformerne en enkelt eller ganske få gange, og kun i en
79
SOU, Alm.del - 2016-17 - Bilag 369: VIVE’s Veje ind og ud af hjemløshed. En undersøgelse af hjemløshedens forløb og dynamik., fra børne- og socialministeren
kort periode. Den mindste gruppe er de episodisk hjemløse, der har et kaotisk mønster for brugen
af boformerne, med mange korte indskrivninger på boformerne. Knap en fjerdedel af boformsbru-
gerne tilhører gruppen af langvarigt hjemløse, der har få men meget lange ophold på boformerne.
Særligt bemærkelsesværdigt er det, at gruppen af langvarigt hjemløse står for næsten to tredjede-
le af alle opholdsdøgnene på boformerne. Der er således også et stort samfundsmæssigt ressour-
ceforbrug forbundet med denne gruppes langvarige ophold på boformerne. Gruppen af langvarigt
hjemløse finder vi rundt om i hele landet, men der er en særligt høj andel af langvarigt hjemløse i
København.
80
SOU, Alm.del - 2016-17 - Bilag 369: VIVE’s Veje ind og ud af hjemløshed. En undersøgelse af hjemløshedens forløb og dynamik., fra børne- og socialministeren
8
VEJE UD AF HJEMLØSHED
I dette kapitel belyser vi, hvad der kendetegner de hjemløse borgere i årene efter hjemløsheden. I
de foregående kapitler har vi set, at der er en betydelig variation i varigheden af hjemløsheden,
idet hjemløsheden for nogle er af korterevarende karakter, mens andre befinder sig i hjemløshed i
væsentligt længere tid. For at belyse vejene ud af hjemløshed ser vi i dette kapitel på dem, der
blev registreret som hjemløse i 2009, og afdækker, hvad der kendetegner deres situation seks år
senere, i 2015. Vi ser på, hvor stor en del, der fortsat var hjemløse i 2015, og om der er forskel i
profilen på en række baggrundskarakteristika og risikofaktorer mellem dem, der fortsat er registre-
ret som hjemløse i 2015, og dem, som ikke længere er registreret som hjemløse. Her ser vi blandt
andet på, i hvilken grad chancen for at komme ud af hjemløshed hænger sammen med forekom-
sten af psykiske lidelser og misbrugsproblemer. Chancen for at komme ud af hjemløshed hænger
naturligvis i høj grad også sammen med de sociale indsatser. I dette kapitel ser vi dog udelukken-
de på chancen for at komme ud af hjemløshed i relation til baggrundskarakteristik og risikofakto-
rer, mens vi belyser de sociale indsatser i kapitel 10.
8.1
Udsathed og vejen ud af hjemløshed
Tabel 8.1 indeholder de personer, der med udgangspunkt i de kombinerede datakilder (hjemløse-
tællingerne og boformsdata) blev registreret som hjemløse i 2009, og som er i live i hele undersø-
gelsesperioden frem til og med 2015. Af de i alt 7.841 personer, der blev identificeret som hjemlø-
se i 2009, var der 1.289, der var døde i perioden frem til og med 2015. Der er således en høj dø-
delighed blandt de borgere, der har været ramt af hjemløshed, hvilket generelt har været påvist i
tidligere studier, baseret på de danske boformsdata (Nielsen m.fl. 2011). Ud over dem, der er dø-
de i perioden, udelader vi fra analysen også 577 personer, der ikke indgår i befolkningsregistret i
alle årene, hvilket blandt andet kan være personer, som er indvandret i perioden, eller som midler-
tidigt har forladt landet i perioder. Der indgår således i alt 5.975 personer i analysen. Vi ser på, om
de, der blev registreret som hjemløse i 2009, fortsat var registreret som hjemløse i 2015 eller ej.
Det er i alt 1.005 ud af de 5.975 personer, svarende til 17 pct., der også blev registreret som hjem-
løse i 2015, mens 4.970, svarende til 83 pct., ikke blev registreret som hjemløse i 2015. Det er
således langt hovedparten af de hjemløse i 2009, der
ikke
er registreret som hjemløse i 2015,
hvilket også korresponderer med analyserne i de tidligere kapitler, der har vist, at hjemløsheden
for manges vedkommende er af korterevarende karakter, mens hjemløsheden for omkring en fjer-
dedels vedkommende er af langvarig karakter.
I tabel 8.1 er, for hver af de to grupper, opgjort andelen, der er registreret med psykiske lidelser,
misbrugsproblemer eller en ubetinget dom frem til 2015. Opgørelsen viser, at andelene med psy-
kiske lidelser, misbrugsproblemer og ubetingede domme er højest i gruppen, der fortsat blev regi-
streret som hjemløse i 2015, mens disse andele er lavere blandt dem, der ikke er registreret som
hjemløse i 2015. Særligt kan vi se, at andelen med misbrug af hårde stoffer var væsentligt højere
blandt dem, der fortsat var hjemløse i 2015, med 54 pct., mens den var 36 pct. blandt dem, der
blev registreret som hjemløse i 2009, men ikke i 2015. Resultaterne viser, hvorledes kompleksite-
ten af de psykosociale problemer har en væsentlig betydning for varigheden af hjemløsheden og
for chancen for at komme ud af hjemløshed igen.
81
SOU, Alm.del - 2016-17 - Bilag 369: VIVE’s Veje ind og ud af hjemløshed. En undersøgelse af hjemløshedens forløb og dynamik., fra børne- og socialministeren
1792734_0084.png
Tabel 8.1
Andel hjemløse med psykiske lidelser, misbrug og ubetinget dom blandt personer,
der var hjemløse i 2009, særskilt for, om man er hjemløs i 2015. Procent.
Ikke hjemløs i 2015
Hjemløs i 2015
27
50
58
54
52
63
43
85
90
53
55
1.005
I alt
26
50
57
39
38
52
30
72
83
47
38
5.975
Svær psykisk lidelse
Anden psykisk lidelse
Psykisk lidelse i alt
Misbrug af hårde stoffer ***
Hashmisbrug ***
Alkoholmisbrug ***
Misbrug af medicin eller andet ***
Misbrug i alt ***
Psykisk lidelse eller misbrug ***
Psykisk syge misbrugere ***
Ubetinget dom ***
N
26
50
57
36
35
50
27
70
81
45
35
4.970
Anm.: Signifikansniveauer angivet ved: * p < 0,05; ** p < 0,01; *** p < 0,001.
Kilde: Tællingsdata, boformsdata og øvrige registerdata.
De følgende tabeller, 8.2 og 8.3, opgør de samme fordelinger, men opdelt på aldersgrupper for
henholdsvis mænd og kvinder. Særligt for de 18-29-årige (både mænd og kvinder) er andelen med
en psykisk lidelse eller misbrugsproblemer, og navnligt andelen af psykisk syge misbrugere, væ-
sentligt højere blandt dem, der fortsat er hjemløse i 2015. Blandt de 30-49-årige og dem på 50 år
og derover er der ikke lige så stor forskel på andelen med psykiske lidelser i forhold til, om man er
kommet ud af hjemløshed eller ej, men der er også i disse aldersgrupper en højere andel med
misbrugsproblemer blandt dem, der fortsat er registreret som hjemløse i 2015. Det indikerer, at
mens både psykiske lidelser og misbrugsproblemer udgør væsentlige risikofaktorer for at blive
hjemløs, er det særligt de fortsatte misbrugsproblemer, der virker fastholdende og gør det vanske-
ligt at komme ud af hjemløsheden igen.
82
SOU, Alm.del - 2016-17 - Bilag 369: VIVE’s Veje ind og ud af hjemløshed. En undersøgelse af hjemløshedens forløb og dynamik., fra børne- og socialministeren
1792734_0085.png
Tabel 8.2
Andelen med psykiske lidelser, misbrug eller ubetinget dom blandt mænd, der var
hjemløse i 2009, særskilt for alder, og om man er hjemløs i 2015
1
. Procent.
Ikke hjemløs i 2015
Hjemløs i 2015
I alt
18-29 år
Svær psykisk lidelse
Anden psykisk lidelse *
Psykisk lidelse i alt *
Misbrug af hårde stoffer ***
Hashmisbrug ***
Alkoholmisbrug **
Misbrug af medicin eller andet ***
Misbrug i alt ***
Psykisk lidelse eller misbrug ***
Psykisk syge misbrugere **
Ubetinget dom ***
N
30-49 år
Svær psykisk lidelse
Anden psykisk lidelse
Psykisk lidelse i alt
Misbrug af hårde stoffer ***
Hashmisbrug ***
Alkoholmisbrug ***
Misbrug af medicin eller andet ***
Misbrug i alt ***
Psykisk lidelse eller misbrug ***
Psykisk syge misbrugere *
Ubetinget dom ***
N
50 år eller derover
Svær psykisk lidelse
Anden psykisk lidelse
Psykisk lidelse i alt
Misbrug af hårde stoffer
Hashmisbrug
Alkoholmisbrug
Misbrug af medicin eller andet
Misbrug i alt
Psykisk lidelse eller misbrug
Psykisk syge misbrugere
Ubetinget dom
N
Note:
Kilde:
Alder er målt i 2009.
Tællingsdata, boformsdata og øvrige registerdata.
21
39
47
17
15
67
17
72
79
40
26
835
23
39
49
20
18
66
20
71
78
42
33
163
21
39
47
18
16
67
17
72
79
41
27
998
26
47
55
40
38
55
31
73
83
45
48
2.051
25
46
53
59
57
68
48
88
92
49
65
534
26
47
54
44
42
57
34
76
85
46
51
2.585
24
52
58
50
54
28
28
69
79
48
45
885
31
60
67
66
71
42
38
86
91
63
69
166
25
53
59
53
57
31
29
72
81
50
49
1.051
Anm.: Signifikansniveauer angivet ved: * p < 0,05; ** p < 0,01; *** p < 0,001, internt for hver aldersgruppe.
83
SOU, Alm.del - 2016-17 - Bilag 369: VIVE’s Veje ind og ud af hjemløshed. En undersøgelse af hjemløshedens forløb og dynamik., fra børne- og socialministeren
1792734_0086.png
Tabel 8.3
Andelen med psykiske lidelser, misbrug eller ubetinget dom blandt kvinder, der var
hjemløse i 2009, særskilt for alder, og om man er hjemløs i 2015
1
. Procent.
Ikke hjemløs i 2015
Hjemløs i 2015
I alt
18-29 år
Svær psykisk lidelse
Anden psykisk lidelse *
Psykisk lidelse i alt **
Misbrug af hårde stoffer ***
Hashmisbrug ***
Alkoholmisbrug *
Misbrug af medicin eller andet ***
Misbrug i alt ***
Psykisk lidelse eller misbrug ***
Psykisk syge misbrugere ***
Ubetinget dom *
N
30-49 år
Svær psykisk lidelse
Anden psykisk lidelse
Psykisk lidelse i alt
Misbrug af hårde stoffer ***
Hashmisbrug ***
Alkoholmisbrug ***
Misbrug af medicin eller andet ***
Misbrug i alt ***
Psykisk lidelse eller misbrug ***
Psykisk syge misbrugere **
Ubetinget dom **
N
50 år eller derover
Svær psykisk lidelse
Anden psykisk lidelse
Psykisk lidelse i alt
Misbrug af hårde stoffer *
Hashmisbrug
Alkoholmisbrug
Misbrug af medicin eller andet
Misbrug i alt *
Psykisk lidelse eller misbrug *
Psykisk syge misbrugere
Ubetinget dom
N
Note:
Kilde:
Alder er målt i 2009.
31
62
70
17
7
68
22
72
86
56
6
262
36
54
71
43
14
64
32
89
96
64
14
28
31
61
70
20
8
67
23
74
87
57
7
290
30
57
63
35
34
51
33
68
82
48
16
595
30
62
68
56
55
73
57
89
95
63
31
91
30
57
63
38
37
54
36
71
84
50
18
686
31
67
70
31
36
20
21
47
77
40
9
342
48
87
91
78
87
48
74
100
100
91
30
23
32
68
71
34
39
21
24
50
78
43
11
365
Anm.: Signifikansniveauer angivet ved: * p < 0,05; ** p < 0,01; *** p < 0,001, internt for hver aldersgruppe.
Tællingsdata, boformsdata og øvrige registerdata.
84
SOU, Alm.del - 2016-17 - Bilag 369: VIVE’s Veje ind og ud af hjemløshed. En undersøgelse af hjemløshedens forløb og dynamik., fra børne- og socialministeren
1792734_0087.png
I tabel 8.4 belyser vi samme problematik omkring sammenhængen mellem de psykosociale risiko-
faktorer og chancen for at komme ud af hjemløshed ved at tage udgangspunkt i borgernes profil i
2009. Her har vi opdelt dem, der blev registreret som hjemløse i 2009, i fire grupper, alt efter om
de var psykisk syge misbrugere, alene havde et misbrug eller en psykisk lidelse, eller om de hver-
ken havde en psykisk lidelse eller et misbrug. Derefter ser vi, inden for hver af disse fire grupper,
på, om man fortsat var hjemløs i 2015. Det ses, at risikoen for fortsat at være hjemløs i 2015 var
størst for misbrugerne og de psykisk syge misbrugere, mens risikoen var lavest for dem, der alene
havde en psykisk lidelse eller hverken var registreret med en psykisk lidelse eller misbrugsproble-
mer. Det understreger sammenhængen mellem kompleksiteten af støttebehovene og chancen for
at komme ud af hjemløsheden igen, hvor det særligt er misbrugsproblemer (eventuelt i kombinati-
on med en psykisk lidelse), der mindsker chancen for at komme ud af hjemløsheden. Selv blandt
misbrugerne og de psykisk syge misbrugere er det dog kun hver femte, der fortsat er registreret
som hjemløs i 2015, mens det kun er cirka en ud af ti, der fortsat er hjemløse blandt dem med en
psykisk lidelse (uden misbrugsproblemer) og blandt dem, der hverken har en psykisk lidelse eller
misbrugsproblemer.
Tabel 8.4
Andel af hjemløse i 2015 blandt dem, der var hjemløse i 2009, særskilt for kombinati-
oner af psykisk lidelse og misbrug, målt i 2009. Procent.
Ikke hjemløs i 2015
81
79
91
88
83
Tællingsdata, boformsdata og øvrige registerdata.
Hjemløs i 2015
19
21
9
12
17
I alt
100
100
100
100
100
N
2.210
1.699
612
1.454
5.975
Kombination af psykisk lidelse og misbrug **
Psykisk syge misbrugere
Misbrug
Psykisk lidelse
Hverken psykisk lidelse eller misbrug
I alt
Kilde:
8.2
Beskæftigelse og forsørgelse efter en hjemløshedssituation
Vi har også undersøgt, hvad der kendetegner de hjemløse borgeres beskæftigelses- og forsørgel-
sessituation i årene efter hjemløsheden. I tabel 8.5 er beskæftigelsessituationen i 2015 opgjort for
dem, der blev registreret som hjemløse i 2009, fortsat opdelt i dem, der blev registreret som hjem-
løse i 2015, og dem, der ikke blev registreret som hjemløse i 2015. Tabellen er endvidere opdelt
på aldersgrupper, opgjort efter alderen i 2009.
Det ses, at der generelt er flere i beskæftigelse i 2015 blandt dem, der ikke blev registreret som
hjemløse i 2015, mens væsentligt færre er i beskæftigelse blandt dem, der fortsat er registreret
som hjemløse i 2015. Blandt de 18-29-årige er der i 2015 33 pct. i beskæftigelse eller uddannelse
4
af dem, der ikke længere var hjemløse i 2015, mens det kun gælder 7 pct. af dem, der fortsat var
hjemløse i 2015. Selvom denne forskel også viser sig i de midaldrende og ældre aldersgrupper, er
der væsentligt færre i disse grupper, der er i beskæftigelse/uddannelse i 2015, selv om de ikke
længere er registreret som hjemløse. I alle aldersgrupperne er det langt hovedparten, der fortsat
er uden beskæftigelse, også blandt dem, der ikke længere er registreret som hjemløse i 2015. Det
understreger, at mange af de socialt udsatte borgere, der er eller har været ramt af hjemløshed, er
langt fra arbejdsmarkedet, og at det er svært for dem at finde fodfæste på arbejdsmarkedet igen.
4
Af hensyn til antallet af personer i de enkelte celler i tabellen har det været nødvendigt at slå grupperne i beskæftigelse og under
uddannelse sammen i opgørelsen.
85
SOU, Alm.del - 2016-17 - Bilag 369: VIVE’s Veje ind og ud af hjemløshed. En undersøgelse af hjemløshedens forløb og dynamik., fra børne- og socialministeren
1792734_0088.png
Tabel 8.5
Fordeling på beskæftigelsessituation i 2015 blandt dem, der var hjemløse i 2009,
særskilt for alder
1
, og om de var hjemløse i 2015. Procent.
Ikke hjemløs i 2015
Hjemløs i 2015
I alt
Beskæftigelsessituation i 2015
18-29 år ***
Job/uddannelse
Ledige
Kontanthjælp
Førtidspension
Øvrige uden for arbejdsstyrken
N
30-39 år
Job/uddannelse
Ledige
Kontanthjælp
Førtidspension
Øvrige uden for arbejdsstyrken
N
40-49 år
Job/uddannelse
Ledige
Kontanthjælp
Førtidspension
Øvrige uden for arbejdsstyrken
N
50-59 år
Job/uddannelse
Ledige
Kontanthjælp
Førtidspension
Øvrige uden for arbejdsstyrken
N
33
2
46
17
2
1.227
7
0
75
16
2
189
30
2
50
17
2
1.416
16
4
43
37
1
1.207
4
3
57
36
0
283
14
4
45
37
1
1.490
12
3
36
48
1
1.439
4
3
46
46
1
342
10
3
38
48
1
1.781
10
2
22
60
6
835
4
4
32
56
5
158
9
2
24
59
6
993
Anm.: Signifikansniveauer angivet ved: * p < 0,05; ** p < 0,01; *** p < 0,001.
Note 1: Alder er målt i 2009.
Kilde: Tællingsdata, boformsdata og øvrige registerdata.
Chancen for at komme tilbage på arbejdsmarkedet hænger i høj grad også sammen med de øvri-
ge psykosociale sårbarheder. I tabel 8.6 ser vi fortsat på dem, der blev registreret som hjemløse i
2009, og på deres beskæftigelsessituation i 2015. Vi opdeler her gruppen efter, om de frem til
2009 var registreret med en psykisk lidelse eller misbrugsproblemer og kombinationerne heraf.
Det ses, at flest var i beskæftigelse i 2015 blandt dem, der hverken var registreret med en psykisk
lidelse eller et misbrug frem til 2009, men at selv i denne gruppe var det kun 27 pct., der var i be-
skæftigelse eller uddannelse i 2015. I de øvrige grupper var det en endnu lavere andel, der var i
beskæftigelse i 2015, med den laveste andel blandt de psykisk syge misbrugere med kun 9 pct.
86
SOU, Alm.del - 2016-17 - Bilag 369: VIVE’s Veje ind og ud af hjemløshed. En undersøgelse af hjemløshedens forløb og dynamik., fra børne- og socialministeren
1792734_0089.png
Tabel 8.6
Fordeling på beskæftigelsessituation i 2015 af 18-59-årige
1
, der var hjemløse i 2009,
særskilt for kombinationer af psykisk lidelse og misbrug i 2009. Procent.
Job
/uddannelse
Ledige Kontanthjælp Førtidspension
1
2
3
5
3
32
38
45
47
40
56
39
35
18
39
Øvrige uden for
arbejdsstyrken
1
2
3
3
2
I alt
100
100
100
100
100
N
2.109
577
1.621
1.373
5.680
Psykisk syge mis-
brugere
Psykisk lidelse
Misbrug
Hverken psykisk
lidelse eller misbrug
I alt
Note:
Kilde:
9
19
14
27
16
Alder er målt i 2009.
Tællingsdata, boformsdata og øvrige registerdata.
8.3
Kriminalitet i årene efter en hjemløshedssituation
Som tidligere nævnt er der også en del af de hjemløse borgere, der har kriminalitetsproblemer,
herunder den kriminalitet, der ofte følger med et stofmisbrug.
Tabel 8.7
Andel af hjemløse borgere i 2009 med ubetinget dom i 2015, særskilt for tidspunkt for
seneste registrering af hjemløshed (samlede data). Procent og antal.
Ikke hjemløs i 2015
Pct.
Ubetinget dom (2015)
Alle ***
Alle mænd ***
Alle kvinder
Mænd
18-29 år ***
30-49 år ***
50 år eller derover
Ubetinget dom (kumuleret frem til og med 2015)
Alle ***
Alle mænd ***
Alle kvinder ***
Mænd
18-29 år ***
30-49 år ***
50 år eller derover
45
48
26
885
2.051
835
69
65
33
166
534
163
49
51
27
1.051
2.585
998
35
42
12
4.970
3.771
1.199
55
60
27
1.005
863
142
38
46
14
5.975
4.634
1.341
6
3
<1
885
2.051
835
17
10
2
166
534
163
8
4
<1
1.051
2.585
998
3
3
1
4.970
3.771
1.199
9
10
3
1.005
863
142
4
4
1
5.975
4.634
1.341
N
Hjemløs i 2015
Pct.
N
Pct.
I alt
N
Anm.: Signifikansniveauer angivet ved: * p < 0,05; ** p < 0,01; *** p < 0,001, internt for hver kategori. Det har ikke været
muligt at opdele fordelingen af ubetingede domme blandt kvinder på alder pga. et lavt antal personer i enkelte cel-
ler.
Kilde: Tællingsdata, boformsdata og øvrige registerdata.
87
SOU, Alm.del - 2016-17 - Bilag 369: VIVE’s Veje ind og ud af hjemløshed. En undersøgelse af hjemløshedens forløb og dynamik., fra børne- og socialministeren
I tabel 8.7 har vi set på andelen med en ubetinget dom, fortsat opgjort for dem, der var hjemløse i
2009, og opdelt efter, om de fortsat var hjemløse i 2015. Vi har foretaget opgørelsen på to måder:
dels andelen, der har fået en ubetinget dom i året 2015, dels andelen, der har fået en ubetinget
dom i løbet af hele deres hidtidige livsforløb. Her ser vi, at andelen med ubetingede domme – bå-
de i 2015 og akkumuleret frem til 2015 – er højest blandt dem, der fortsat var hjemløse i 2015.
Selvom andelen med ubetingede domme generelt er væsentligt lavere blandt de hjemløse kvinder
end blandt de hjemløse mænd, ser vi også, at blandt de kvinder, der fortsat er i hjemløshed i 2015,
er der en ganske betydelig del på 27 pct., der tidligere i deres livsforløb har fået en ubetinget dom.
Denne andel er dog væsentligt højere blandt mændene, og navnlig blandt de yngre mænd, hvor
69 pct. af de 18-29-årige, der fortsat var hjemløse i 2015, har en ubetinget dom.
8.4
Multivariat analyse
Som det fremgår af de tidligere afsnit, hænger chancen for at komme ud af hjemløshed tæt sam-
men med de samme faktorer, som har betydning for risikoen for at blive hjemløs. I tabel 8.8 er
opgjort resultaterne af en logistisk regression af risikoen for fortsat at være hjemløs i 2015 blandt
dem, der var hjemløse i 2009, set i forhold til de forskellige risikofaktorer. Det skal således under-
streges, at analysen er foretaget blandt dem, der allerede var hjemløse i 2009, og at analysen
således afdækker risikoen for fortsat at være registreret som hjemløs i de samlede data i 2015.
Det ses, at der kun er få signifikante sammenhænge. Det skal ses i forhold til, at disse risikofakto-
rer alle har en væsentlig betydning for risikoen for at blive hjemløs, og at en meget høj andel af de
hjemløse derfor har en eller flere af disse problemer. Det ses, at mænd har en signifikant højere
risiko for fortsat at være registreret som hjemløs i 2015 med en odds-ratio på 1,56 i forhold til kvin-
derne. Ligeledes er der for mændene en højere risiko for fortsat at være hjemløs, hvis man har et
hashmisbrug eller en ubetinget dom, mens den eneste signifikante faktor blandt kvinderne er, om
man har et medicinmisbrug. Analysen viser også, at givet man allerede er blevet hjemløs, har det
ikke yderligere betydning for chancen for at komme ud af hjemløshed igen, om man har en psykisk
sygdom eller ej. Her skal det understreges, at denne type af registeranalyse ikke kan afdække
betydningen af, om der er sket en forbedring i symptomerne på en psykisk lidelse, eller om et mis-
brug er reduceret.
88
SOU, Alm.del - 2016-17 - Bilag 369: VIVE’s Veje ind og ud af hjemløshed. En undersøgelse af hjemløshedens forløb og dynamik., fra børne- og socialministeren
1792734_0091.png
Tabel 8.8
Resultaterne fra en logistisk regression over sandsynligheden for at være hjemløs i
2015 (samlede data), givet risikofaktorer, opgjort i 2008, særskilt for alle hjemløse
samt hjemløse mænd og kvinder i 2009 (18-59 år). Odds ratio og standardfejl.
Alle hjemløse i
2009
Odds ratio
Hjemløse mænd i
2009
Hjemløse kvinder i
2009
Std.fejl
Std.fejl Odds ratio
Std.fejl Odds ratio
Køn (ref. = Kvinder)
Mænd
Aldersgruppe (ref. = 18-24 år)
25-29 år
30-49 år
50-59 år
0,93
1,27
0,99
(0,15)
(0,16)
(0,15)
0,97
1,19
0,98
(0,16)
(0,16)
(0,17)
0,62
1,71
0,92
(0,30)
(0,58)
(0,40)
1,56 ***
(0,16)
-
(.)
-
(.)
Etnisk baggrund (ref. = Danskere):
Indvandrere
Efterkommere
Civilstand: (ref. = øvrige personer)
Ingen partner
1,02
(0,11)
1,04
(0,13)
1
(0,23)
0,94
0,79
(0,10)
(0,29)
0,98
0,9
(0,11)
(0,33)
0,8
-
(0,24)
(.)
Uddannelse (ref. = LVU eller højere):
MVU
KVU
Erhvervsfaglig udd.
Gymnasial udd.
Grundskole
< 9. klasse
Ukendt
0,97
1,52
1,05
1,13
1,10
1,22
1,22
(0,48)
(0,80)
(0,47)
(0,54)
(0,49)
(0,55)
(0,55)
0,95
1,07
1,13
1,28
1,13
1,21
1,25
(0,53)
(0,66)
(0,55)
(0,67)
(0,55)
(0,60)
(0,62)
1,06
3,31
0,72
0,55
1
1,39
1,2
(1,21)
(3,87)
(0,80)
(0,67)
(1,07)
(1,52)
(1,33)
Beskæftigelse og forsørgelsesgrundlag (ref. = Job)
Ledige
Studerende
Kontanthjælp
Førtidspension
Øvrige uden for arbejdsstyrken
Lav indkomst (under 100.000 kr. i disponibel ind-
komst)
Udsathedsfaktorer (Kumuleret indtil 2008)
Psykisk lidelse
Misbrug af hårde stoffer
Hashmisbrug
Alkoholmisbrug
Misbrug af medicin eller andet
Ubetinget dom
N
Pseudo R
2
0,96
1,2
1,32 **
1,12
1,09
1,36 ***
6.837
0,031
(0,07)
(0,12)
(0,12)
(0,09)
(0,11)
(0,11)
0,93
1,2
1,37 **
1,08
1
1,35 ***
5.347
0,02
(0,07)
(0,13)
(0,14)
(0,09)
(0,11)
(0,11)
1,25
1,18
1,07
1,3
1,64 *
1,6
1.471
0,081
(0,27)
(0,32)
(0,26)
(0,26)
(0,41)
(0,41)
1,22
1,16
1,22
1,08
1,07
1,13
(0,26)
(0,24)
(0,13)
(0,13)
(0,25)
(0,10)
1,35
1,19
1,16
1,1
1,04
1,18
(0,29)
(0,27)
(0,13)
(0,14)
(0,26)
(0,11)
0,38
1,04
1,63
1,01
1,15
0,98
(0,40)
(0,62)
(0,52)
(0,36)
(0,72)
(0,24)
Anm.: Signifikansniveauer angivet ved: * p < 0,05; ** p < 0,01; *** p < 0,001.
Kilde: Tællingsdata, boformsdata og øvrige registerdata.
89
SOU, Alm.del - 2016-17 - Bilag 369: VIVE’s Veje ind og ud af hjemløshed. En undersøgelse af hjemløshedens forløb og dynamik., fra børne- og socialministeren
1792734_0092.png
Figur 8.1
Estimerede sandsynligheder for fortsat at være hjemløs i 2015 blandt borgere, der var
hjemløse i 2009, for personer med forskellige baggrundskarakteristika (opgjort i
2008). Sandsynlighed i procent.
30-årig dansk kvinde m. partner, erhvervsfaglig udd, job
30-årig dansk mand m. partner, erhvervsfaglig udd, job
30-årig dansk mand m. partner, grundskole, job
30-årig dansk mand u. partner, grundskole, job
30-årig dansk mand u. partner, grundskole, kontanthjælp
30-årig dansk mand u. partner, grundskole, kontanthjælp,
psykisk lidelse
30-årig dansk mand u. partner, grundskole, kontanthjælp,
misbrug af hårde stoffer
30-årig dansk mand u. partner, grundskole, kontanthjælp,
hashmisbrug
30-årig dansk mand u. partner, grundskole, kontanthjælp,
alkoholmisbrug
30-årig dansk mand u. partner, grundskole, kontanthjælp,
psykisk lidelse og misbrug af hårde stoffer
30-årig dansk mand u. partner, grundskole, kontanthjælp,
psykisk lidelse og hashmisbrug
30-årig dansk mand u. partner, grundskole, kontanthjælp,
psykisk lidelse og alkoholmisbrug
30-årig dansk mand u. partner, grundskole, kontanthjælp,
psykisk lidelse og misbrug af hårde stoffer og alkohol
0
10
20
30
40
50
60
70
80
90
100
Procent
Anm.: Resultater er baseret på estimaterne fra den logistiske regression i tabel 8.10.
Kilde: Tællingsdata, boformsdata og øvrige registerdata.
Risikoen for fortsat at være hjemløs er også afbildet i figur 8.1 som estimerede sandsynligheder
for forskellige kombinationer af baggrunds- og risikofaktorerne. Heraf ses det, at givet, at man
allerede er hjemløs, er der ikke så stor forskel på risikoen for fortsat at være hjemløs, givet perso-
nens karakteristika på de øvrige variabler, der indgår i modellen. Det ses samtidig, at for alle kom-
binationerne er der kun en mindre sandsynlighed (cirka 7-17 pct.) for stadig at være registreret
som hjemløs i 2015.
8.5
Sammenfatning
I dette kapitel har vi belyst chancen for at komme ud af hjemløshed igen ved at se på situationen i
2015 for dem, der blev registreret som hjemløse i 2009. Først og fremmest viser analyserne, at det
er en forholdsvis lille gruppe på 17 pct. af dem, der var hjemløse i 2009, der også er blevet regi-
90
SOU, Alm.del - 2016-17 - Bilag 369: VIVE’s Veje ind og ud af hjemløshed. En undersøgelse af hjemløshedens forløb og dynamik., fra børne- og socialministeren
streret som hjemløse i 2015. Det korresponderer med det billede, der tegnede sig af forløbsanaly-
serne i kapitel 7, hvoraf det fremgik, at for hovedparten af de hjemløse borgere er hjemløsheden af
korterevarende karakter, men at hjemløsheden for cirka en fjerdedel af de hjemløse borgere er af
langvarig karakter.
Registerdataene giver ikke mulighed for at afgøre, præcis hvilke faktorer der har været udslagsgi-
vende for, om borgeren er kommet ud af hjemløsheden eller fortsat er hjemløs, men analyserne
indikerer, at særligt vedvarende misbrugsproblemer og de medfølgende kriminalitetsproblemer gør
det vanskeligt at komme ud af hjemløsheden igen. Resultaterne understreger, at ligesom for risi-
koen for at blive hjemløs må også chancen for at komme ud af hjemløshed igen ses i sammen-
hæng med udviklingen i borgerens samlede situation og i forhold til det samlede marginaliserings-
forløb.
Analyserne i kapitlet har afdækket sammenhængen mellem chancen for at komme ud af hjemløs-
heden og de forskellige baggrunds- og risikofaktorer. Naturligvis spiller også de sociale indsatser
en væsentlig rolle for chancen for at komme ud af hjemløshed, og samspillet med de sociale ind-
satser belyser vi nærmere i kapitel 10.
91
SOU, Alm.del - 2016-17 - Bilag 369: VIVE’s Veje ind og ud af hjemløshed. En undersøgelse af hjemløshedens forløb og dynamik., fra børne- og socialministeren
92
SOU, Alm.del - 2016-17 - Bilag 369: VIVE’s Veje ind og ud af hjemløshed. En undersøgelse af hjemløshedens forløb og dynamik., fra børne- og socialministeren
1792734_0095.png
9
DE HJEMLØSE UNGE
I dette kapitel ser vi nærmere på gruppen af hjemløse unge og deres vej gennem hjemløshed.
Gennem de senere år har hjemløsetællingerne dokumenteret en kraftig stigning i antallet af hjem-
løse unge i perioden fra 2009 og frem. Således steg antallet af hjemløse 18-24-årige fra 633 per-
soner ved tællingen i 2009 til 1.172 personer ved tællingen i 2015 (Benjaminsen & Lauritzen,
2015). Ved den seneste tælling i 2017 er denne stigning fortsat, idet der blev registreret 1.278
hjemløse unge i uge 6, 2017 (Benjaminsen, 2017).
Ifølge hjemløsetællingerne overnatter hovedparten af de hjemløse unge midlertidigt hos familie og
venner, og gruppen af hjemløse unge adskiller sig således fra de øvrige aldersgrupper ved, at kun
et mindretal af de hjemløse unge overnatter på § 110-boformerne, hvorimod brugerne af bofor-
merne i de øvrige aldersgrupper er den største gruppe. Endelig er der generelt en lidt lavere andel
med fulde CPR-oplysninger blandt de hjemløse unge end i de øvrige aldersgrupper. Det betyder,
at når vi kombinerer data fra hjemløsetællingerne med data fra boformerne, vil der formentlig være
en lidt større del af de unge, der er hjemløse i løbet af et helt år, der ikke indgår i dataene, i det
omfang de har været sofasovere på et tidspunkt i løbet af resten af året, men ikke i hjemløsetæl-
lingens tælleuge.
9.1
Antallet af gengangere blandt de hjemløse unge
I tabel 9.1 er det opgjort, hvor stor en andel af de unge der er identificeret som hjemløse i 2009,
2011 og 2013, der er blevet registreret som hjemløse igen henholdsvis to, fire og seks år senere.
Det er cirka en femtedel af de hjemløse unge, der er blevet registreret igen som hjemløse efter to
år, mens denne andel falder til 12-13 pct. efter fire og seks år. Tallene indikerer således, at for
hovedparten af de hjemløse unge varer hjemløsheden mindre end to år, men for en femtedel af de
hjemløse unge er hjemløsheden derimod meget langvarig. Her skal der gøres opmærksom på, at
opgørelsen med de to års intervaller mellem hvert opgørelsesår afdækker, hvor stor en del af de
unge der oplever hjemløshed af flere års varighed, men at set for den unge er også hjemløshed af
fx et halvt år eller et års varighed både langvarig og problematisk.
Tabel 9.1
Andel af 18-24-årige hjemløse unge i 2009, 2011 og 2013, der er registreret som
hjemløse i de efterfølgende år (samlede data). Procent.
N
2009
2011
2013
Kilde:
948
1.310
1.436
Tællingsdata og boformsdata.
To år efter
20
17
20
Fire år efter
13
12
-
Seks år efter
12
-
-
Set i forhold til hjemløshedssituationen er den største gruppe blandt de hjemløse unge dem, der
overnatter hos familie og venner (sofasoverne), der således er en større gruppe end dem, der
overnatter på en boform. De, der overnatter hos familie og venner, er kun identificeret gennem
hjemløsetællingerne. Tabel 9.2 viser, hvor stor en andel af de 18-24-årige hjemløse unge fra hjem-
løsetællingerne der kan genfindes i de efterfølgende hjemløsetællinger, samt hvor mange der
samlet set kan genfindes, når vi kombinerer data fra tællingerne og boformerne i perioden på 2-6
år efter de enkelte tællinger. Opgørelsen er foretaget dels for alle de hjemløse unge i tællingerne,
dels særskilt for de unge, der har overnattet på herberg eller hos familie eller venner. De øvrige
93
SOU, Alm.del - 2016-17 - Bilag 369: VIVE’s Veje ind og ud af hjemløshed. En undersøgelse af hjemløshedens forløb og dynamik., fra børne- og socialministeren
1792734_0096.png
hjemløshedssituationer i tællingerne (fx gadesoverne) er medregnet i kategorien ’alle’, men der er
for få personer i disse øvrige kategorier til, at vi kan se på udviklingen særskilt.
Andelene, der kan genfindes henholdsvis to, fire og seks år efter første registrering, er nogenlunde
ensartede på tværs af de enkelte tællinger. Eksempelvis kunne 9 pct. af de 18-24-årige, der blev
registreret i tællingen i 2009, genfindes i tællingen i 2011, mens 14 pct. kunne genfindes i de sam-
lede data fra tællingerne og boformerne i 2011. Tilsvarende kunne 11 pct. af de 18-24-årige, der
blev registreret i 2013-tællingen, genfindes i tællingen to år efter, i 2015, mens 16 pct. kunne gen-
findes i de samlede data i 2015. Andelene, der registreres som hjemløse igen i de efterfølgende
år, er lidt højere blandt de unge, der har overnattet på herberg, end blandt de unge, der har over-
nattet hos familie og venner. Af de unge, der blev registreret i tællingen i 2013, er det således 24
pct. af herbergsbrugerne, der er registreret igen i det samlede datasæt i 2015, mod 12 pct. blandt
dem, der har overnattet hos familie og venner. Det indikerer, at gruppen af unge, der overnatter på
herberg, har lidt mere komplekse støttebehov end de unge, der overnatter hos familie og venner.
Andelene, der registreres igen fire og seks år efter første registrering, er ret lave, idet 4-6 pct. er
registreret igen efter fire eller seks år i tællingsdataene, og 7-10 pct. er registreret igen efter fire
eller seks år i de samlede data. Her skal der dog tages forbehold for, at der som nævnt vil være
unge, der er hjemløse uden at benytte herbergerne, og som befinder sig i en hjemløshedssituation
mellem tællingerne, ligesom der også som tidligere nævnt er en lidt højere andel af hjemløse unge
i tællingerne, som der ikke er fulde CPR-oplysninger på, og som derfor ikke indgår i analyserne.
På trods af disse datamæssige forbehold indikerer resultaterne, at der blandt de hjemløse unge
også er en betydelig ”gennemstrømning”, og at hovedparten af de unge således ikke vedvarende
befinder sig i en hjemløshedssituation, men formentlig for størstedelens vedkommende kommer
ud af hjemløshed igen. Der er dog en lille gruppe af de hjemløse unge, som er meget langvarigt
eller gentagent hjemløse.
Tabel 9.2
Andel af 18-24-årige hjemløse unge fra hjemløsetællingerne, der er registreret i de
senere hjemløsetællinger eller i de samlede data, særskilt for tællingsår. Procent.
Kan genfindes
To år efter
Tællingsår
2009
Alle
Herberg
Familie/venner
2011
Alle
Herberg
Familie/venner
2013
Alle
Herberg
Familie/venner
Kilde:
Tællingsdata.
919
197
468
11
15
9
16
24
12
-
-
-
-
-
-
-
-
-
-
-
-
795
145
401
10
8
10
13
17
11
6
5
5
9
8
7
-
-
-
-
-
-
519
127
236
9
10
9
14
14
12
5
6
4
10
10
10
5
4
5
10
8
10
Hjemløsesituation
N
Tælling
Samlet
Fire år efter
Tælling
Samlet
Seks år efter
Tælling
Samlet
94
SOU, Alm.del - 2016-17 - Bilag 369: VIVE’s Veje ind og ud af hjemløshed. En undersøgelse af hjemløshedens forløb og dynamik., fra børne- og socialministeren
1792734_0097.png
Tabel 9.3 viser fordelingen af de 18-24-årige hjemløse unge fra hjemløsetællingerne i forhold til,
hvor mange tællinger den unge samlet set er registreret i. De, der kun er registreret i én tælling,
udgør klart den største andel på tværs af alle fire tællingsår, men særligt for 2015, da de hjemløse,
registreret i dette år, kun kan optræde før denne tælling, men ikke efter. For årene 2009-2013 er
det 15-16 pct., der er blevet registreret to gange, mens andelen, der har optrådt i tre eller fire tæl-
linger, i alt udgør 2 pct. For 2015 er de tilsvarende andele henholdsvis 8 pct. og mindre end 1 pct.
Tabel 9.3
Andelen af de 18-24-årige hjemløse unge fra hjemløsetællingerne, fordelt efter, hvor
mange af tællingerne den unge er registreret i, særskilt for tællingsår. Procent.
2009
Én gang
To gange
Tre gange eller flere
I alt
Kilde:
Tællingsdata.
83
15
2
519
2011
83
15
2
795
2013
82
16
2
919
2015
91
8
<1
908
9.2
Psykisk lidelse og misbrug blandt de hjemløse unge
Tabel 9.4 viser andelen af de 18-24-årige hjemløse unge med psykiske lidelser eller misbrugspro-
blemer. Vi ser på andelene ud fra to opgørelsesmetoder, hvor vi henholdsvis anvender oplysnin-
ger om psykiske lidelser og misbrugsproblemer fra hele borgerens livsforløb frem til opgørelses-
året så langt tilbage, som registrene tillader os at komme, og dernæst ser vi på de seneste fem år
frem til opgørelsesåret.
Udviklingen over tid i andelen med psykiske lidelser eller misbrugsproblemer ligner meget den, vi
fandt for den samlede gruppe af hjemløse borgere (se tabel 5.5), nemlig en stigende andel med
psykiske lidelser. Andelen af de hjemløse unge med psykiske lidelser stiger således fra 44 pct. i
2009 til 49 pct. i 2013, målt i de samlede data. Andelen med misbrug falder derimod svagt på nær
for hashmisbrug, hvor der ses en lille stigning. Andelen med enten psykiske lidelser eller misbrug
stiger svagt fra 62 til 64 pct., mens andelen af psykisk syge misbrugere stiger lidt mere, fra 28 til
32 pct.
Andelen med en psykisk lidelse eller misbrugsproblemer er lidt lavere blandt de 18-24-årige, der er
registret i tællingerne, sammenlignet med de 18-24-årige, der er registreret på boformerne. Ek-
sempelvis har 60 pct. af borgerne i tællingerne i 2013 enten en psykisk lidelse eller misbrug, mens
den tilsvarende andel for de unge, registreret på boformerne, er 72 pct. Det indikerer, at de unge
på boformerne har en lidt tungere psykosocial profil end den samlede gruppe af hjemløse unge,
der inkluderer gruppen, der overnatter hos familie og venner.
Den efterfølgende tabel 9.5 viser andelen med psykiske lidelser og misbrugsproblemer, særskilt
for dem, der i hjemløsetællingerne har overnattet på herberg eller hos familie og venner. Der er
dog ikke nogen klar forskel på de to grupper, da forskellene varierer lidt fra år til år. Ved de to før-
ste tællinger i 2009 og 2011 var den samlede andel med psykiske lidelser eller misbrugsproblemer
faktisk højere i gruppen af hjemløse unge, der havde overnattet hos familie og venner, end blandt
de hjemløse unge på herbergerne, mens billedet var omvendt ved tællingen i 2013. Det under-
streger ikke mindst, at også i gruppen af hjemløse unge, der overnatter hos familie og venner,
finder vi en høj andel med psykosociale problemer.
95
SOU, Alm.del - 2016-17 - Bilag 369: VIVE’s Veje ind og ud af hjemløshed. En undersøgelse af hjemløshedens forløb og dynamik., fra børne- og socialministeren
1792734_0098.png
Tabel 9.4
Andelen af 18-24-årige hjemløse borgere med psykisk lidelse eller misbrug, særskilt
for tællingsdata, boformsdata og samlede data. Opgjort for hidtidige livsforløb samt
for de seneste fem år. Procent.
2009
Livsforløb
Sidste 5 år
Livsforløb
2011
Sidste 5 år
Livsforløb
2013
Sidste 5 år
Tællingsdata
Svær psykisk lidelse
Anden psykisk lidelse
Psykisk lidelse i alt
Misbrug af hårde stoffer
Hashmisbrug
Alkoholmisbrug
Misbrug af medicin eller andet
Misbrug i alt
Psykisk lidelse eller misbrug
Psykisk syge misbrugere
N
Boformsdata
Svær psykisk lidelse
Anden psykisk lidelse
Psykisk lidelse i alt
Misbrug af hårde stoffer
Hashmisbrug
Alkoholmisbrug
Misbrug af medicin eller andet
Misbrug i alt
Psykisk lidelse eller misbrug
Psykisk syge misbrugere
N
Samlede data
Svær psykisk lidelse
Anden psykisk lidelse
Psykisk lidelse i alt
Misbrug af hårde stoffer
Hashmisbrug
Alkoholmisbrug
Misbrug af medicin eller andet
Misbrug i alt
Psykisk lidelse eller misbrug
Psykisk syge misbrugere
N
Kilde:
15
40
44
32
35
14
16
46
62
28
948
Tællingsdata, boformsdata og øvrige registerdata.
14
34
39
32
34
14
16
46
59
25
948
16
42
47
30
35
12
14
46
64
29
1.310
15
36
41
29
34
11
13
45
60
26
1.310
18
46
49
28
37
11
13
46
64
32
1.436
18
40
45
27
36
11
12
45
61
29
1.436
13
43
47
36
38
16
21
52
67
31
561
11
37
41
35
37
15
21
51
65
28
561
18
47
52
35
40
15
18
52
71
34
678
17
41
47
34
39
14
16
50
67
30
678
20
52
56
35
43
14
17
53
72
37
749
20
47
52
34
42
13
15
53
70
34
749
16
38
43
30
34
13
13
43
59
27
519
15
32
37
29
33
13
13
43
57
23
519
15
38
43
27
33
11
12
44
60
27
795
14
32
37
26
32
10
11
42
56
24
795
19
43
47
26
35
10
11
44
60
31
919
18
37
42
25
34
9
10
43
57
28
919
96
SOU, Alm.del - 2016-17 - Bilag 369: VIVE’s Veje ind og ud af hjemløshed. En undersøgelse af hjemløshedens forløb og dynamik., fra børne- og socialministeren
1792734_0099.png
Tabel 9.5
Andel af 18-24-årige hjemløse unge med psykisk lidelse eller misbrugsproblemer,
særskilt for hjemløsesituation og tællingsår. Procent.
2009
Herberg
Familie
/venner
14
38
41
29
34
10
10
42
58
24
236
Alle
16
38
43
30
34
13
13
43
59
27
519
Herberg
12
36
39
26
36
16
11
43
56
26
145
2011
Familie
/venner
15
39
44
27
30
9
11
42
61
25
401
Alle
15
38
43
27
33
11
12
44
60
27
795
Herberg
24
54
59
34
45
10
16
55
72
42
197
2013
Familie
/venner
15
41
44
22
33
8
9
40
58
27
468
Alle
19
43
47
26
35
10
11
44
60
31
919
Svær psykisk lidelse
Anden psykisk lidelse
Psykisk lidelse i alt
Misbrug af hårde stoffer
Hashmisbrug
Alkoholmisbrug
Misbrug af medicin eller
andet
Misbrug i alt
Psykisk lidelse eller misbrug
Psykisk syge
misbrugere
N
12
39
42
24
31
11
13
38
52
28
127
Anm.: Tabellen inkluderer de hjemløse unge, der er registreret ved hjemløsetællingerne. Oplysninger om psykisk lidelse og
misbrugsproblemer er baseret på registerdata.
Kilde: Tællingsdata og øvrige registerdata.
Som vi så i kapitel 5 for hele gruppen af hjemløse borgere, er der formentlig en vis grad af under-
estimering af andelen med psykiske lidelser og misbrugsproblemer, når vi udelukkende anvender
registeroplysningerne om diagnosticerede psykiske lidelser og misbrugsproblemer. Tabel 9.6 viser
andelen med psykiske lidelser og misbrug blandt de 18-24-årige hjemløse unge, registreret i hjem-
løsetællingerne, hvor vi dels bruger registeroplysninger og dels registeroplysninger, kombineret
med de oplysninger om psykiske lidelser og misbrugsproblemer, der er indsamlet gennem hjemlø-
setællingernes spørgeskema. Kombinationen af de to datakilder giver formentlig et mere komplet
billede af omfanget af psykisk lidelse og misbrug i gruppen. Hvor andelen med psykisk lidelse eller
misbrug i 2013, ifølge registeroplysninger, alene er 60 pct., er denne andel opgjort til 75 pct., hvis
vi kombinerer registeroplysningerne med oplysningerne fra hjemløsetællinger. Det understreger, at
en meget høj andel af de hjemløse unge er udsatte unge med psykiske lidelser og/eller misbrugs-
problemer.
97
SOU, Alm.del - 2016-17 - Bilag 369: VIVE’s Veje ind og ud af hjemløshed. En undersøgelse af hjemløshedens forløb og dynamik., fra børne- og socialministeren
1792734_0100.png
Tabel 9.6
Andelen af 18-24-årige hjemløse unge fra hjemløsetællingerne med psykiske lidelser
eller misbrugsproblemer, opgjort særskilt for registerdata samt for registerdata, kom-
bineret med oplysninger fra hjemløsetællingerne. Procent.
2009
Register
Kombineret
50
36
45
19
16
55
71
31
519
2011
Register
43
27
33
11
12
44
60
27
795
Kombineret
53
33
50
17
16
61
77
35
795
2013
Register
47
26
35
10
11
44
60
31
919
Kombineret
57
32
51
15
14
59
75
38
919
Psykisk lidelse i alt
Misbrug af hårde stoffer
Hashmisbrug
Alkoholmisbrug
Misbrug af medicin eller andet
Misbrug i alt
Psykisk lidelse eller misbrug
Psykisk syge misbrugere
N
Kilde:
43
30
34
13
13
43
59
27
519
Tællingsdata, boformsdata og øvrige registerdata.
Tabel 9.7 viser andelen af de 18-24-årige hjemløse unge med psykiske lidelser eller misbrugspro-
blemer samt anbringelser og forebyggende foranstaltninger, opgjort for henholdsvis de unge, der
er registreret i én enkelt tælling, og de unge, der er registreret i mindst to tællinger. Derved fås et
billede af profilen blandt de unge, der oplever hjemløshed af korterevarende karakter, sammenlig-
net med dem, der er langvarigt hjemløse. Der er en væsentligt højere andel med psykiske lidelser,
misbrugsproblemer, anbringelser og foranstaltninger blandt de unge, der er registreret i mindst to
tællinger, sammenlignet med de unge, der kun er registreret i én tælling. Eksempelvis er andelen
med misbrug af hårde stoffer 40 pct. i førstnævnte gruppe mod 20 pct. i sidstnævnte gruppe.
Tabel 9.7
Andel af 18-24-årige hjemløse unge med psykiske lidelser, misbrugsproblemer, an-
bringelse eller forebyggende foranstaltninger, særskilt for, om den unge er registreret
i én eller flere hjemløsetællinger. Procent.
Registreret i én tælling
Tællingsdata
Svær psykisk lidelse
Anden psykisk lidelse **
Psykisk lidelse i alt *
Misbrug af hårde stoffer **
Hashmisbrug ***
Alkoholmisbrug *
Misbrug af medicin eller andet **
Misbrug i alt ***
Psykisk lidelse eller misbrug ***
Psykisk syge misbrugere**
Anbragt
Forebyggende foranstaltning
Anbragt/forebyggende foranstaltning **
N
15
43
47
20
32
6
7
38
57
28
36
17
42
828
24
59
61
40
54
14
21
64
79
46
45
25
70
80
16
44
48
22
34
7
9
40
59
30
37
18
54
908
Registreret i mindst to tællinger
I alt
Anm.: Signifikansniveauer angivet ved: * p < 0,05; ** p < 0,01; *** p < 0,001.
Kilde: Tællingsdata og øvrige registerdata.
98
SOU, Alm.del - 2016-17 - Bilag 369: VIVE’s Veje ind og ud af hjemløshed. En undersøgelse af hjemløshedens forløb og dynamik., fra børne- og socialministeren
1792734_0101.png
9.3
Uddannelse og forsørgelsessituation blandt de hjemløse unge
Tabel 9.8 viser den højest fuldførte uddannelse blandt de hjemløse unge i løbet af undersøgelses-
perioden. Fordelingen er nogenlunde ensartet blandt de unge, der er registreret i henholdsvis
hjemløsetællingerne og på boformerne. Overordnet ser vi en lille stigning i andelen blandt de
hjemløse unge, der har en gennemført grundskoleuddannelse, fra 69 pct. i 2009 til 74 pct. i 2015, i
de samlede data. Også andelen med en ungdomsuddannelse eller højere stiger svagt i løbet af
undersøgelsesperioden. Når lidt flere af de hjemløse unge har fuldført folkeskolen i 2015, sam-
menlignet med 2009, er det muligvis udtryk for, at hjemløsheden blandt unge stiger i perioden og
efterhånden rammer en lidt bredere gruppe af unge.
Tabel 9.8
Fordeling af 18-24-årige hjemløse borgere på højest fuldførte uddannelse, særskilt for
tællingsdata, boformsdata og samlede data. Procent.
2009
Tællingsdata
Erhvervsfaglig udd. eller højere
Gymnasial udd.
Grundskole
< 9. klasse
Ukendt
N
Boformsdata
Erhvervsfaglig udd. eller højere
Gymnasial udd.
Grundskole
< 9. klasse
Ukendt
N
Samlede data
Erhvervsfaglig udd. eller højere
Gymnasial udd.
Grundskole
< 9. klasse
Ukendt
N
Kilde:
2
2
69
15
12
948
Tællingsdata, boformsdata og øvrige registerdata.
3
3
71
14
9
1.310
3
3
71
13
9
1.436
3
4
74
11
9
1.413
3
2
72
16
8
561
4
2
71
16
6
678
4
3
74
13
6
749
3
4
76
10
7
758
2
3
65
16
15
519
2
3
69
14
11
795
3
3
69
14
11
919
3
4
73
11
9
908
2011
2013
2015
Tabel 9.9 viser de hjemløse 18-24-årige, fordelt på deres beskæftigelsessituation for perioden
2009-2015. Andelen af unge hjemløse i job falder fra 2009 til 2011, hvilket kan skyldes indvirknin-
gen af den økonomiske krise. Andelen på kontanthjælp er langt den største gruppe og udgør næ-
sten to tredjedele af den samlede gruppe af hjemløse unge. Der sker dog samtidig en stigning i
andelen af hjemløse unge, der er registreret som studerende, fra 14 til 19 pct. Her skal der gøres
opmærksom på, at nogle af disse unge formentlig er i høj risiko for at droppe ud af deres uddan-
nelser, ligesom der også kan være tilfælde af, at de unge forsøger at have en tilknytning som stu-
derende for at kunne modtage SU fremfor at være i kontanthjælpssystemet.
99
SOU, Alm.del - 2016-17 - Bilag 369: VIVE’s Veje ind og ud af hjemløshed. En undersøgelse af hjemløshedens forløb og dynamik., fra børne- og socialministeren
1792734_0102.png
Tabel 9.9
Fordeling af 18-24-årige hjemløse borgere på beskæftigelsessituation, særskilt for
tællingsdata, boformsdata og samlede data. Procent.
2009
2011
2013
2015
Tællingsdata
Job
Ledige
Studerende
Kontanthjælp
Førtidspension
Øvrige uden for arbejdsstyrken
Ukendt
N
Boformsdata
Job
Ledige
Studerende
Kontanthjælp
Førtidspension
Øvrige uden for arbejdsstyrken
Ukendt
N
Samlede data
Job
Ledige
Studerende
Kontanthjælp
Førtidspension
Øvrige uden for arbejdsstyrken
Ukendt
N
Kilde:
12
3
14
64
3
1
5
948
Tællingsdata, boformsdata og øvrige registerdata.
7
2
21
62
2
2
4
1.310
8
2
21
63
2
1
4
1.436
10
<1
19
64
<1
2
4
1.413
12
3
16
66
2
<1
2
561
7
2
23
64
3
<1
<1
678
5
2
24
64
2
1
1
749
9
1
22
65
<1
2
<1
758
11
3
12
64
3
1
7
519
7
2
18
63
2
2
7
795
9
2
18
63
<1
1
7
919
9
<1
17
65
<1
2
6
908
9.4
Andelen af tidligere anbragte blandt de hjemløse unge
Tabel 9.10 viser andelen blandt de hjemløse 18-24-årige, der enten har været anbragt uden for
hjemmet eller har modtaget én eller flere forebyggende foranstaltninger. De to kategorier er op-
gjort som gensidigt udelukkende, således at hvis man både har været anbragt og modtaget fore-
byggende foranstaltning, er man placeret i kategorien ”anbragt”.
Andelen af både anbragte og dem, der alene har modtaget forebyggende foranstaltninger, er ge-
nerelt lidt højere for de unge, der er registreret på boformerne, sammenlignet med de unge, der er
registreret i tællingerne. Det er formentlig udtryk for en lidt mere udsat profil blandt de hjemløse
unge, der benytter boformerne.
100
SOU, Alm.del - 2016-17 - Bilag 369: VIVE’s Veje ind og ud af hjemløshed. En undersøgelse af hjemløshedens forløb og dynamik., fra børne- og socialministeren
1792734_0103.png
Udviklingen over tid viser et fald i andelen af de hjemløse unge, der har været anbragt uden for
hjemmet, mens andelen med forebyggende foranstaltninger har været svagt stigende, men dog
med et lille fald fra 2013 til 2015. Samlet set falder andelen, der enten har været anbragt eller har
modtaget forebyggende foranstaltninger i løbet af undersøgelsesperioden. Den faldende andel af
de hjemløse unge, der har været anbragt, er formentlig udtryk for, at hjemløsheden blandt unge
generelt har været stigende i perioden, og at hjemløsheden således efterhånden rammer en lidt
bredere gruppe af sårbare unge, herunder flere unge, som ikke tidligere har været anbragt. Samti-
dig er tallene formentlig også udtryk for, at andelen af udsatte unge, der generelt anbringes, er
faldet lidt i perioden.
Tabel 9.10
Andel af 18-24-årige hjemløse borgere, der har været anbragt uden for hjemmet eller
har modtaget forebyggende foranstaltninger, særskilt for tællingsdata, boformsdata
og samlede data. Procent.
2009
Tællingsdata
Anbragt
Forebyggende foranstaltning
Anbragt/forebyggende foranstaltning
N
Boformsdata
Anbragt
Forebyggende foranstaltning
Anbragt/forebyggende foranstaltning
N
Samlede data
Anbragt
Forebyggende foranstaltning
Anbragt/forebyggende foranstaltning
N
Kilde:
45
14
59
948
Tællingsdata, boformsdata og øvrige registerdata.
41
20
61
1.310
39
19
58
1.436
37
16
53
1.410
48
16
64
561
45
18
63
678
41
20
60
749
39
15
53
755
44
13
57
519
40
21
61
795
39
19
57
919
37
18
54
908
2011
2013
2015
Tabel 9.11 viser andelen af de hjemløse unge fra tællingerne, der har været anbragt uden for
hjemmet eller har modtaget en forebyggende foranstaltning, særskilt for deres hjemløshedssituati-
on, hvor vi sammenligner de to hovedgrupper af unge, der har overnattet hos familie og venner,
med de unge, der har overnattet på herberg. Andelen af både anbringelser og foranstaltninger er
nogenlunde ensartet i begge grupper. Det understreger, at vi også i gruppen af hjemløse unge,
der har overnattet hos familie og venner, finder en høj andel af udsatte unge.
101
SOU, Alm.del - 2016-17 - Bilag 369: VIVE’s Veje ind og ud af hjemløshed. En undersøgelse af hjemløshedens forløb og dynamik., fra børne- og socialministeren
1792734_0104.png
Tabel 9.11
Andel af 18-24-årige hjemløse unge, der har været anbragt uden for hjemmet eller
har modtaget forebyggende foranstaltninger, særskilt for hjemløsesituation og tæl-
lingsår. Procent.
Anbragt
2009
Herberg
Familie/venner
I alt
2011
Herberg
Familie/venner
I alt
2013
Herberg
Familie/venner
I alt
2015
Herberg
Familie/venner
I alt
Kilde:
35
34
37
Tællingsdata og øvrige registerdata.
28
33
30
51
54
54
49
46
46
100
100
100
226
464
908
35
39
39
32
31
30
55
58
57
45
42
43
100
100
100
197
468
919
41
38
40
29
31
30
61
62
61
39
38
39
100
100
100
145
401
795
43
42
44
21
28
25
51
58
57
49
42
43
100
100
100
127
236
519
Forebyggende Anbragt/forebyggende Hverken anbragt eller fore- I alt,
byggende foranstaltning procent
foranstaltning
foranstaltning
N
9.5
Forældrebaggrunden blandt de hjemløse unge
I tabel 9.12 er opgjort forældrebaggrunden blandt de hjemløse unge. Den største uddannelses-
gruppe blandt forældrene er de forældre, der har en erhvervsfaglig uddannelse. Det afspejler, at
denne gruppe også generelt er den største forældreuddannelsesgruppe blandt unge i samfundet
som helhed. Det er cirka en fjerdedel af de hjemløse unge, der kommer fra et hjem, hvor ingen af
forældrene har uddannelse ud over grundskolen. Omvendt er det cirka en ud af fem af de hjemlø-
se unge, der kommer fra hjem, hvor mindst en af forældrene har en videregående uddannelse.
Det grundlæggende billede er således, at hjemløsheden blandt unge langtfra er afgrænset til unge
fra lavtuddannede hjem, men at der også er unge fra hjem, hvor forældrene har et højere uddan-
nelsesniveau. Det er udtryk for, at der også i disse familier er unge, der udvikler psykosociale sår-
barheder som psykiske lidelser og misbrugsproblemer, og en del af disse unge er i risiko for at
komme ud i hjemløshed.
Et særligt centralt spørgsmål er, om vi, i takt med den generelle stigning i antallet af hjemløse un-
ge i perioden, samtidig kan iagttage en ændring i forældrebaggrunden. Efterhånden som hjemløs-
heden rammer flere unge, kunne det antages, at hjemløsheden også rammer bredere grupper af
unge, udtrykt ved, at flere unge fra veluddannede hjem rammes af hjemløshed. Der er til en vis
grad tegn på en sådan tendens. Opgjort ud fra de samlede data var det i 2009 således i alt 15 pct.
af de hjemløse unge, der kom fra hjem, hvor mindst en af forældrene har en videregående uddan-
nelse, mens denne andel i 2015 var steget til 20 pct. Omvendt faldt andelen, hvis forældre kun har
en grundskoleuddannelse eller lavere, fra 30 pct. til 26 pct. Ændringerne er dog relativt små og
102
SOU, Alm.del - 2016-17 - Bilag 369: VIVE’s Veje ind og ud af hjemløshed. En undersøgelse af hjemløshedens forløb og dynamik., fra børne- og socialministeren
1792734_0105.png
kan i nogen grad også tilskrives, at uddannelsesniveauet i forældregenerationen generelt løftes fra
år til år. Det samlede billede er således, at der over hele perioden har været en betydelig variation
i forældrebaggrunden blandt de hjemløse unge, hvor nogle kommer fra lavtuddannede hjem, og
andre kommer fra højtuddannede hjem, mens den største gruppe kommer fra de forældreuddan-
nelsesgrupper, der også er størst i befolkningen som helhed, nemlig forældre med erhvervsfaglige
uddannelser.
Tabel 9.12
Fordeling af 18-24-årige hjemløse borgere på forældrenes højest fuldførte uddannel-
se, særskilt for tællingsdata, boformsdata og samlede data. Procent.
2009
Tællingsdata
LVU eller højere
MVU
KVU
Erhvervsfaglig udd.
Gymnasial udd.
Grundskole
< 9. klasse
Ukendt
N
Boformsdata
LVU eller højere
MVU
KVU
Erhvervsfaglig udd.
Gymnasial udd.
Grundskole
< 9. klasse
Ukendt
N
Samlede data
LVU eller højere
MVU
KVU
Erhvervsfaglig udd.
Gymnasial udd.
Grundskole
< 9. klasse
Ukendt
N
Kilde:
3
9
3
40
3
23
7
12
948
Tællingsdata, boformsdata og øvrige registerdata.
2
10
4
40
3
22
8
10
1.310
3
11
3
40
4
22
6
10
1.436
4
12
4
40
4
21
5
10
1.413
1
10
2
42
3
24
7
10
561
2
8
5
43
3
25
6
9
678
3
12
3
42
4
23
5
8
749
4
11
4
43
4
21
4
10
758
3
8
3
38
3
22
8
15
519
3
11
4
39
4
20
8
10
795
3
11
4
39
4
20
7
11
919
4
13
4
38
4
21
5
10
908
2011
2013
2015
Tabel 9.13 viser de 18-24-årige hjemløse unge fra hjemløsetællingerne, fordelt på deres forældres
højest fuldførte uddannelse, særskilt for de unges hjemløshedsituation, hvor vi ser på, om der er
forskel på forældrebaggrunden for de unge, der har overnattet hos familie og venner, sammen-
holdt med dem, der har overnattet på herberg. Opgørelsen viser, at der ikke er nogen væsentlig
103
SOU, Alm.del - 2016-17 - Bilag 369: VIVE’s Veje ind og ud af hjemløshed. En undersøgelse af hjemløshedens forløb og dynamik., fra børne- og socialministeren
forskel på forældrebaggrunden i de to grupper. For både de unge, der har overnattet hos familie
og venner, og de unge på herbergerne, er den største forældreuddannelsesgruppe forældre med
en erhvervsfaglig uddannelse, mens der i begge grupper også er en nogenlunde lige stor andel
med lavtuddannede forældre, og ligeledes en nogenlunde lige stor andel med forældre, der har en
videregående uddannelse.
104
SOU, Alm.del - 2016-17 - Bilag 369: VIVE’s Veje ind og ud af hjemløshed. En undersøgelse af hjemløshedens forløb og dynamik., fra børne- og socialministeren
1792734_0107.png
Tabel 9.13
Fordeling af 18-24-årige hjemløse borgere, registreret i hjemløsetællingerne på forældrenes højst fuldførte uddannelse, særskilt for hjemlø-
sesituation og tællingsår. Procent.
2009
Herberg
LVU eller højere
MVU
KVU
Erhvervsfaglig udd.
Gymnasial udd.
Grundskole
< 9. klasse
Ukendt
N
Kilde:
6
8
2
36
6
19
11
13
127
Tællingsdata og øvrige registerdata.
Familie/venner
3
7
3
40
3
22
8
14
236
I alt
4
8
3
38
3
22
8
15
519
Herberg
4
11
4
43
3
18
6
11
145
2011
Familie/venner
2
11
5
39
4
20
9
9
401
I alt
3
11
4
39
4
20
8
10
795
Herberg
4
12
3
37
3
20
8
14
197
2013
Familie/venner
3
12
4
40
4
21
7
9
468
I alt
3
11
4
39
4
20
7
11
919
Herberg
5
10
3
40
2
21
4
16
226
2015
Familie/venner
4
13
4
35
6
24
6
8
464
I alt
4
13
4
38
4
21
5
10
908
105
SOU, Alm.del - 2016-17 - Bilag 369: VIVE’s Veje ind og ud af hjemløshed. En undersøgelse af hjemløshedens forløb og dynamik., fra børne- og socialministeren
1792734_0108.png
Tabel 9.14 viser forældrebaggrunden i form af forældrenes højest fuldførte uddannelse for hen-
holdsvis de unge, der er registreret i én tælling, og de unge, der er registreret i mindst to tællinger.
Der er en lidt højere andel af unge med lavtuddannede forældre blandt de unge, der er registreret i
mindst to tællinger, hvilket indikerer, at flere af de mest ressourcesvage unge rammes af langvarig
hjemløshed. Forskellene er dog ikke markante, og det understreger, at også de unge, der rammes
af længerevarende hjemløshed, kommer fra forskellige sociale lag, hvor der både er unge med
veluddannede og unge med lavtuddannede forældre.
Tabel 9.14
Forældrenes uddannelsesniveau blandt de 18-24-årige hjemløse unge, særskilt for,
om den unge er registreret i én eller mindst to hjemløsetællinger. Procent.
Forældrenes højest fuldførte uddannelse
MVU eller højere
KVU/Erhvervsfaglig udd.
Gymnasial udd.
Grundskole
< 9. klasse
Ukendt
N
Den unge er registreret i Den unge er registreret i mindst
én tælling
to tællinger
17
43
4
21
5
11
828
16
35
10
28
5
6
80
I alt
17
42
4
21
5
10
908
Anm.: Signifikansniveauer angivet ved: * p < 0,05; ** p < 0,01; *** p < 0,001.
Kilde: Tællingsdata og øvrige registerdata.
Samtidig med at der er en betydelig variation i forældrenes uddannelsesniveau, er det nærliggen-
de at antage, at vi også blandt forældrene til de hjemløse unge finder en betydelig andel med tegn
på social udsathed. I tabel 9.15 har vi opgjort, hvor stor en andel af forældrene til de hjemløse
unge der er registreret med henholdsvis en psykisk lidelse, misbrugsproblemer eller en ubetinget
dom. Vi har også opdelt opgørelsen på de forskellige forældreuddannelsesgrupper. Vi har foreta-
get opgørelsen for forældrene til de unge, der blev registreret som hjemløse i 2015 (i de samlede
data fra tællingerne og boformerne), og ser således ikke på udviklingen over tid. Det hænger
sammen med, at særligt når vi ser på udsatheden blandt de unges forældre, er opgørelsen følsom
for, hvor længe de forskellige registre går tilbage i tid. Dækningsgraden af registrene tilbage i tid
betyder alt andet lige også, at vi må antage, at andelen af forældrene med de forskellige udsat-
hedsfaktorer er underestimeret.
Det er i alt 36 pct. af de hjemløse unges forældre, der er registreret med mindst en af de tre ud-
sathedsfaktorer (psykisk lidelse, misbrugsproblemer eller en ubetinget dom). Der er således 64
pct. af de unge, hvor ingen af forældrene er registreret med nogle af disse udsathedsfaktorer. Det
ses også, at andelen af forældrene med mindst en af de pågældende udsathedsfaktorer er væ-
sentligt højere blandt de unge, hvis forældre har et lavt uddannelsesniveau. Blandt de hjemløse
unge, hvis forældre har grundskolen som højeste uddannelsesniveau, er det 59 pct. af forældrene,
der er registreret med mindst en af de tre udsathedsfaktorer, mens det er 26 pct. blandt de foræl-
dre, der mindst har en mellemlang videregående uddannelse. Selvom der kan være tilfælde af, at
psykiske lidelser og misbrugsproblemer blandt forældrene ikke er diagnosticerede og registrerede,
tyder tallene på en forskellig profil i forældrebaggrunden, når vi sammenligner de hjemløse unge
fra veluddannede og lavtuddannede hjem. Tallene tyder på, at de hjemløse unge fra lavtuddanne-
de hjem i højere grad kommer fra familier, hvor også forældrene har tegn på udsathed, mens det
ikke i samme grad er tilfældet for de hjemløse unge fra højtuddannede hjem. Når vi samtidig tager
i betragtning, at langt hovedparten af de hjemløse unge selv har psykosociale problemer (psykisk
sygdom og/eller misbrugsproblemer), tyder det på, at mens de hjemløse unge fra lavtuddannede
106
SOU, Alm.del - 2016-17 - Bilag 369: VIVE’s Veje ind og ud af hjemløshed. En undersøgelse af hjemløshedens forløb og dynamik., fra børne- og socialministeren
1792734_0109.png
hjem i højere grad kommer fra socialt udsatte familier, hvor den sociale udsathed går ’i arv’ fra
forældrene, er der for en betydelig del af de udsatte unge fra de mere veluddannede familier tale
om, at disse unge kommer ud i et marginaliseringsforløb, fordi de selv rammes af psykiske lidelser
eller misbrugsproblemer, uden at der (i de fleste tilfælde) er stærke tegn på udsathed i familien i
form af registreret psykisk sygdom, misbrugsproblemer eller fængselsdomme blandt forældrene.
Selvom der naturligvis kan være tilfælde af, at psykosociale problemer blandt forældrene ikke har
givet sig udslag i en diagnosticering, er dette mønster formentlig mest af alt udtryk for, at psykiske
lidelser og misbrugsproblemer blandt de unge langtfra kun forekommer blandt unge fra de socialt
udsatte familier, men også rammer unge fra bredere sociale lag, og for en del af disse unge giver
psykiske lidelser og eskalerende misbrugsproblemer anledning til en social marginalisering, der
også indebærer en risiko for hjemløshed.
Tabel 9.15
Uddannelsesbaggrund og udsathedsfaktorer blandt forældrene til de 18-24-årige
hjemløse unge i 2015 (samlede data). Procent.
MVU eller
højere
Ingen af de tre udsatheds-
faktorer
Mindst én udsathedsfaktor
Psykisk lidelse
Misbrug i alt
Ubetinget dom
I alt, procent
N
Kilde:
74
26
23
9
4
100
228
KVU/Erhvervs-
faglig udd.
67
33
26
13
9
100
617
Gymnasial
udd.
63
37
37
11
6
100
63
Ukendt
Grundskole < 9. klasse uddannelse
41
59
41
32
25
100
294
52
48
38
12
15
100
65
85
15
8
10
5
100
Alle
64
36
28
16
11
100
146 1.413
Tællingsdata, boformsdata og øvrige registerdata.
9.6
Sammenfatning
Der er gennem de senere år sket en stigning i antallet af hjemløse unge. Denne stigning kommer
særligt til udtryk i hjemløsetællingerne, idet hovedparten af de hjemløse unge er sofasovere, der
overnatter midlertidigt hos familie og venner, mens det er en lavere andel af de hjemløse unge end
i de øvrige aldersgrupper, der overnatter på boformerne. Det er en lav andel af de hjemløse unge,
der går igen mellem de enkelte tællinger, mens der er lidt flere af de hjemløse unge på boformer-
ne, der også registreres som hjemløse i de efterfølgende år. Tallene tyder på, at for hovedparten
af de hjemløse unge er hjemløsheden af forholdsvis korterevarende karakter, mens det er en min-
dre gruppe af de hjemløse unge, der oplever langvarig hjemløshed. En stor del af de hjemløse
unge har enten psykiske lidelser og/eller misbrugsproblemer, og der er ikke nogen nævneværdig
forskel på denne andel, når vi sammenligner de unge på boformerne med dem, der overnatter
midlertidigt hos familie og venner. Der er således også en høj andel af udsatte unge blandt so-
fasoverne. Det er cirka to ud af fem af de hjemløse unge, der tidligere har været anbragt, og over
halvdelen, der enten har været anbragt eller har modtaget forebyggende foranstaltninger i barn-
dommen. Forældrebaggrunden blandt de hjemløse unge varierer imidlertid betydeligt, og det er
kun cirka en fjerdedel, der kommer fra lavtuddannede hjem, hvor forældrene har grundskolen som
højeste uddannelse. En ud af fem af de hjemløse unge kommer fra hjem, hvor mindst en af foræl-
drene har en videregående uddannelse, og den største forældreuddannelsesgruppe er forældre
med erhvervsfaglige uddannelser, der også er den største forældreuddannelsesgruppe i befolk-
ningen som helhed. En del af de hjemløse unges forældre har også tegn på udsathed i form af
psykiske lidelser, misbrugsproblemer eller tidligere fængselsdomme, og denne andel er generelt
107
SOU, Alm.del - 2016-17 - Bilag 369: VIVE’s Veje ind og ud af hjemløshed. En undersøgelse af hjemløshedens forløb og dynamik., fra børne- og socialministeren
højest blandt de forældre, der har grundskolen som højeste uddannelse, men betydeligt lavere
blandt de forældre, der har en videregående uddannelse. Dette mønster indikerer, at for nogle af
de hjemløse unge går udsatheden så at sige i arv fra forældrene, men for andre af de hjemløse
unge er der snarere tale om, at de unge selv bliver ramt af psykiske lidelser eller misbrugsproble-
mer, der også indebærer en risiko for hjemløshed, selvom deres forældre ikke umiddelbart viser
tegn på udsathed, når vi ser på de tilgængelige oplysninger i registrene. Selvom der kan være
psykosociale problemer blandt forældrene, der ikke giver sig udslag i diagnoser for psykiske lidel-
ser eller misbrugsproblemer, er dette mønster formentlig først og fremmest udtryk for, at psykiske
lidelser og psykiske problemer langtfra kun rammer unge fra socialt udsatte familier, og at psyki-
ske lidelser og misbrugsproblemer også indebærer en vis risiko for hjemløshed for unge, der
kommer fra familier, der ikke kan karakteriseres som socialt udsatte.
108
SOU, Alm.del - 2016-17 - Bilag 369: VIVE’s Veje ind og ud af hjemløshed. En undersøgelse af hjemløshedens forløb og dynamik., fra børne- og socialministeren
10 TYPER AF HJEMLØSHED OG DE SOCIALE
INDSATSER
Den viden vi får fra analysen af forskellige typer af hjemløshed, kan også bringes i spil til bedre at
forstå sammenhængen mellem de hjemløse borgeres profil og de sociale indsatser. Gennem de
senere år har vi, blandt andet gennem Hjemløsestrategiens indsatser og det efterfølgende Imple-
menterings- og forankringsprojekt, fået en bedre viden om, hvilke sociale indsatser der kan hjælpe
hjemløse borgere ud af hjemløsheden. Resultaterne fra disse Satspuljeprogrammer viser, at med
indsatser, der kombinerer en boligløsning med intensiv social bostøtte (Housing First-tilgangen),
kan selv en stor del af hjemløse borgere med komplekse støttebehov komme ud af hjemløshed
(Rambøll og SFI, 2013; Benjaminsen m.fl., 2017).
I disse programmer er særligt metoderne Critical Time Intervention (CTI), Intensiv Case Manage-
ment (ICM) og Assertive Community Treatment (ACT) blevet afprøvet. CTI-metoden er et inten-
sivt, faseopdelt bostøtteforløb gennem ni måneder, henvendt til hjemløse borgere med psykiske
lidelser og/eller misbrugsproblemer, men med behov for støtte i en korterevarende periode i for-
bindelse med en kritisk overgangsfase som overgangen fra herberg til egen bolig. ICM-metoden er
en intensiv bostøtteindsats, rettet mod hjemløse borgere med længerevarende støttebehov. Ende-
lig er ACT-metoden en integreret indsats for hjemløse borgere med særligt komplekse og langva-
rige støttebehov, hvor et tværfagligt indsatsteam giver både en socialpædagogisk støtte og en
behandlingsfaglig indsats, tilpasset den enkelte borgers støttebehov.
Analyserne i indeværende rapport er generelt baseret på at kombinere data fra hjemløsetællinger-
ne, boformsdata og data fra en række øvrige tilgængelige registre. Der er således ikke tale om
effektstudier af konkrete indsatser, da sådanne studier kræver et andet analysedesign, hvor delta-
gerne i bestemte indsatser følges over tid og sammenlignes med en kontrolgruppe. Da vi samtidig
må antage, at de relativt intensive indsatser under Hjemløsestrategien og Implementerings- og
forankringsprojektet primært er givet til hjemløse borgere med relativt komplekse støttebehov, kan
vi heller ikke eksempelvis se på, i hvilken grad de pågældende indsatser er forbundet med en
højere chance for at være kommet ud af hjemløsheden, da der netop må antages at være en ’ne-
gativ selektion’ forbundet med at have modtaget de intensive indsatser under Housing First-
tilgangen.
I stedet vil vi i det følgende se nærmere på, hvor stor en del af de hjemløse borgere der har mod-
taget en indsats fra Hjemløsestrategiens Housing First-program eller gennem det efterfølgende
Implementerings- og forankringsprojekt. Vi ser også på, hvilke typer af hjemløse borgere der har
modtaget disse indsatser, hvor vi anvender typologien over forskellige typer af hjemløshed – de
kortvarige, episodiske og langvarigt hjemløse – som vi opgjorde i kapitel 7.
10.1
De intensive bostøttemetoder
I tabel 10.1 er opgjort alle de hjemløse borgere i de samlede data fra tællingerne og boformerne i
perioden fra 2009-2013, hvor Hjemløsestrategien forløb, samt i hele perioden fra 2009 til 2015, der
også dækker en del af perioden for Implementerings- og forankringsprojektet (der forløb fra 2014
til 2016). Vi ser for hver periode, hvor stor en del af alle hjemløse borgere i perioden der var omfat-
tet af disse indsatser, herunder fordelt på de enkelte bostøttemetoder (CTI, ICM og ACT). Vi ser
også for hver periode særskilt på de kommuner, der deltog i de respektive indsatser, det vil sige
109
SOU, Alm.del - 2016-17 - Bilag 369: VIVE’s Veje ind og ud af hjemløshed. En undersøgelse af hjemløshedens forløb og dynamik., fra børne- og socialministeren
1792734_0112.png
de 17 kommuner, der indgik i Hjemløsestrategiens bostøtteindsatser, og de 27 kommuner, der
samlet set indgik i enten Hjemløsestrategien og/eller Implementerings- og forankringsprojektet.
Det var i alt 1.387 borgere, der modtog en Housing First-indsats med en af de tilhørende evidens-
baserede bostøttemetoder under enten Hjemløsestrategien eller Implementerings- og forankrings-
projektet i perioden fra 2009-2015.
5
Heraf er de 1.114 personer registreret som hjemløse i enten
tællingsdata eller boformsdata i perioden 2009-2015, mens 273 personer, som modtog indsatsen,
ikke er registreret i nogen af de to datasæt (ikke vist). Det afspejler formentlig, at der vil være bor-
gere, der har været hjemløse i løbet af perioden, og som har været omfattet af indsatsen, men
som ikke har benyttet boformerne i perioden, og som samtidig ikke er blevet registreret i hjemløse-
tællingernes tælleuge hvert andet år.
Som det ses af tabel 10.1, er det en forholdsvis lav andel af alle de hjemløse borgere i perioden,
der har været omfattet af disse indsatser. Ser vi alene på indsatskommunerne, var det 6 pct. af de
hjemløse borgere, der i perioden 2009-2013 blev registreret i Hjemløsestrategiens 17 indsats-
kommuner, der modtog enten en CTI, en ICM eller en ACT-indsats. Ser vi på den samlede periode
fra 2009 til 2015 og på de 27 kommuner, der indgik i enten Hjemløsestrategien og/eller Implemen-
terings- og forankringsprojektet, var det i alt 5 pct. af de hjemløse borgere i disse kommuner i peri-
oden, der indgik i en af de tre indsatser.
Tabel 10.1
Andel hjemløse borgere, der har modtaget en bostøtteindsats under Hjemløsestrate-
gien eller Implementerings- og forankringsprojektet, særskilt for alle kommuner og
indsatskommunerne. Procent.
Bostøtteindsats
Hjemløsestrategien
(Analyseperiode 2009-2013)
Hjemløsestrategien og/eller Implemente-
rings- og forankringsprojektet
(Analyseperiode 2009-2015)
Alle hjemløse borgere Hjemløse borgere fra Alle hjemløse borgere Hjemløse borgere fra
(hele landet)
17 indsatskommuner
(hele landet)
27 indsatskommuner
Ingen af de tre metoder
CTI
ICM
ACT
En af de tre metoder i alt
N
Kilde:
96
1
3
<1
4
21.519
94
2
4
<1
6
14.055
96
1
2
<1
4
27.214
95
2
3
<1
5
20.876
Tællingsdata, boformsdata, øvrige registerdata samt indsatsdata fra Hjemløsestrategien og Implementerings- og
forankringsprojektet.
Det skal understreges, at det formentlig langtfra er alle hjemløse borgere, der har brug for en af de
intensive bostøtteindsatser. Fx vil der være en del af de hjemløse borgere, der ved indflytning i
egen bolig kan klare sig med bostøtte fra den almindelige § 85-bostøtte (Serviceloven) i kommu-
nerne, der ikke indgår i opgørelsen. Ligeledes vil der være hjemløse borgere, der får andre typer
af støttende indsatser, fx gennem distriktspsykiatrien eller fra et lokalt misbrugsbehandlingscenter.
Alligevel er det en påfaldende lav andel af de hjemløse borgere, der har været omfattet af de in-
tensive bostøtteindsatser, der blev afprøvet under Hjemløsestrategien.
Det er derfor vigtigt at se nærmere på, hvilke grupper blandt de hjemløse borgere der særligt har
modtaget de intensive bostøtteindsatser. I tabel 10.2 har vi opdelt boformsbrugerne fra 2009 til
2013 i de tre grupper af kortvarigt, episodisk og langvarigt hjemløse, som vi identificerede i analy-
sen i kapitel 7. Tabellen viser andelen i hver af de tre grupper, der har modtaget de tre forskellige
5
Som nævnt forløb Implementerings- og forankringsprojektet fra 2014-2016, men det er kun borgere med opstart i 2014 og 2015,
der er inkluderet i denne analyse, der er afgrænset til undersøgelsens analyseperiode fra 2009-2015.
110
SOU, Alm.del - 2016-17 - Bilag 369: VIVE’s Veje ind og ud af hjemløshed. En undersøgelse af hjemløshedens forløb og dynamik., fra børne- og socialministeren
1792734_0113.png
bostøtteindsatser (CTI, ICM og ACT) under Hjemløsestrategien i perioden 2009-2013. Vi har end-
videre afgrænset opgørelsen til de 17 kommuner, der indgik i Hjemløsestrategien. Da analysen af
de tre typer af hjemløshed er baseret på boformsdata, er opgørelsen ydermere afgrænset til de
personer, der havde ophold på boformerne i perioden, og som indgik i analysen i kapitel 7.
Af tabellen fremgår det, at Hjemløsestrategiens tre intensive bostøttemetoder primært har været
målrettet de langvarigt og episodisk hjemløse, mens de i mindre grad er blevet givet til gruppen af
kortvarigt hjemløse. Det viser, at de intensive bostøttemetoder særligt har været givet til de hjem-
løse borgere med de mest komplekse støttebehov. Det ses dog samtidig også, at selv blandt de
langvarigt og episodisk hjemløse i indsatskommuner er det kun henholdsvis 12 pct. og 10 pct., der
har modtaget en af de intensive bostøttemetoder, mens det er 5 pct. i gruppen af kortvarigt hjem-
løse.
Tabel 10.2
Andelen af boformsbrugerne mellem 2009-2013 i de 17 kommuner, der deltog i Hjem-
løsestrategien, og som har modtaget CTI-, ICM- eller ACT-bostøtte, særskilt for typer
af hjemløshed. Procent.
Bostøtteindsats ***
Ingen af de tre metoder
CTI
ICM
ACT
En af de tre metoder i alt
N
Kortvarigt hjemløse Episodisk hjemløse Langvarigt hjemløse
95
1
3
<1
5
4.797
90
3
7
<1
10
1.073
88
5
7
<1
12
2.497
I alt
92
3
5
<1
8
8.367
Anm.: Signifikansniveauer angivet ved: * p < 0,05; ** p < 0,01; *** p < 0,001.
Kilde: Boformsdata, øvrige registerdata og indsatsdata fra Hjemløsestrategien.
I tabel 10.3 udstrækker vi perioden til at dække vores samlede analyseperiode fra 2009 til 2015 og
inkluderer samtidig data fra Implementerings- og forankringsprojektet. Opgørelsen dækker således
de 27 kommuner, der indgik i enten Hjemløsestrategien og/eller Implementerings- og forankrings-
projektet. Vi ser her samme billede som i tabel 10.2, da det er 11 pct. af de langvarigt hjemløse,
der har modtaget en af de tre intensive bostøttemetoder, mens det er 10 pct. af de episodisk hjem-
løse og 4 pct. af de kortvarigt hjemløse.
Tabel 10.3
Andel boformsbrugere mellem 2009-2015 i de 27 kommuner, der deltog i Hjemløse-
strategien og/eller Implementerings- og forankringsprojektet, og som har modtaget
CTI-, ICM- eller ACT-bostøtte, særskilt for typer af hjemløshed. Procent.
Bostøtteindsats ***
Ingen af de tre metoder
CTI
ICM
ACT
En af de tre metoder i alt
N
Kortvarigt
96
1
2
<1
4
7.623
Episodisk
90
3
6
<1
10
1.362
Langvarigt
89
5
6
<1
11
3.211
I alt
93
2
4
<1
7
12.196
Anm.: Signifikansniveauer angivet ved: * p < 0,05; ** p < 0,01; *** p < 0,001
Kilde: Boformsdata, øvrige registerdata og indsatsdata fra Hjemløsestrategien og Implementerings- og forankringsprojek-
tet
Samlet set viser resultaterne således, at de intensive bostøttemetoder, der blev afprøvet under
Hjemløsestrategien og videreført i det efterfølgende Implementerings- og forankringsprojekt, først
111
SOU, Alm.del - 2016-17 - Bilag 369: VIVE’s Veje ind og ud af hjemløshed. En undersøgelse af hjemløshedens forløb og dynamik., fra børne- og socialministeren
og fremmest var målrettet de borgere, som vi må antage har de mest komplekse støttebehov,
nemlig de langvarigt og episodisk hjemløse. Et væsentligt resultat af evalueringen af disse indsat-
ser var netop, at langt hovedparten af de hjemløse borgere, der modtog disse indsatser, var i
stand til at komme i egen bolig og derved komme ud af hjemløsheden igen (Rambøll og SFI, 2013;
Benjaminsen m.fl., 2017). På den måde er der god evidens for, at Housing First-indsatsen med de
intensive bostøttemetoder er en velegnet metode til at hjælpe gruppen af langvarigt hjemløse ud af
hjemløsheden. Evalueringerne pegede imidlertid også på, at der er betydelige barrierer forbundet
med at udvide og udbrede brugen af Housing First-tilgangen og de intensive bostøttemetoder. Ikke
mindst manglen på billige boliger blev i mange kommuner nævnt som en stor barriere for at udvide
brugen af Housing First-tilgangen, ligesom der i mange kommuner også var en begrænset kapaci-
tet i tilgængeligheden af de intensive bostøttemetoder, hvor det ofte kun var få medarbejdere, der i
hver kommune var ansat til at udføre den intensive bostøtte.
Analyserne i indeværende undersøgelse viser således, at der er et betydeligt potentiale for at ud-
vide brugen af de intensive bostøttemetoder i gruppen af langvarigt hjemløse. Det er som tidligere
nævnt borgere, der set over en længere periode er kendetegnet ved et meget omfattende forbrug
af ophold på § 110-boformerne. Det er borgere, der typisk vil have brug for en mere intensiv ind-
sats for at komme ud af hjemløshed, men hvor resultaterne af Hjemløsestrategien og Implemente-
rings- og forankringsprojektet samstemmende viste, at hovedparten af de borgere, der modtog
disse indsatser, kom i bolig og fastholdt boligen. Opgørelserne i tabel 10.2 og 10.3 peger her på et
betydeligt potentiale for en fortsat udbredelse af disse indsatser i målgruppen, ikke mindst ud fra,
at det er en lav andel af de langvarigt hjemløse, der har været omfattet af disse intensive indsat-
ser. Analysen peger således på et behov for opskalering af disse indsatser i gruppen af langvarigt
hjemløse, hvilket formentlig vil kunne bidrage væsentligt til at øge denne gruppes mulighed for at
komme ud af hjemløshed.
Der kan også være nogle af de kortvarigt hjemløse, der har behov for de mere intensive indsatser,
men formentlig er gruppen af kortvarigt hjemløse dem, for hvem den øvrige sociale indsats (fx den
almindelige § 85-bostøtteindsats) i kommunerne ofte vil være tilstrækkelig til at hjælpe disse bor-
gere ud af hjemløshed igen. Der vil være en del af disse borgere, der kommer ud af hjemløshed
ved at skaffe en boligløsning gennem de almindelige ventelister på almene boliger, ligesom en del
formentlig har fået en bolig gennem kommunal boliganvisning. I gruppen af kortvarigt hjemløse
kan man også pege på et betydeligt forebyggende potentiale, da en del af disse borgere formentlig
helt kunne have undgået at komme ud i en hjemløshedssituation ved fx tidligt at sætte ind med
almindelig § 85-bostøtte.
10.2
Behandlingsmæssige indsatser
Det skal tages i betragtning, at mange af de hjemløse borgere modtager andre sociale og behand-
lingsmæssige indsatser. I tabel 10.4 har vi, for de tre typer af hjemløshed, opgjort andelen, der har
modtaget psykiatrisk behandling, stofmisbrugsbehandling og alkoholbehandling. Opgørelsen er
afgrænset til de boformsbrugere, der indgår i identifikationen af de tre typer af hjemløshed (jf. kapi-
tel 7). Det er i alt 72 pct. af boformsbrugerne, der har modtaget mindst en af disse typer af be-
handling i alt. Andelen er højest blandt de episodisk hjemløse med 85 pct., mens den er nogen-
lunde lige høj blandt de kortvarigt og langvarigt hjemløse med henholdsvis 71 pct. og 68 pct. Det
understreger, hvorledes det er en høj andel af de hjemløse borgere, der samlet set modtager for-
skellige behandlingsmæssige indsatser.
112
SOU, Alm.del - 2016-17 - Bilag 369: VIVE’s Veje ind og ud af hjemløshed. En undersøgelse af hjemløshedens forløb og dynamik., fra børne- og socialministeren
1792734_0115.png
Tabel 10.4
Andel hjemløse borgere 2009-2015, der har modtaget forskellige former for behand-
ling i løbet af perioden, særskilt for typer af hjemløshed. Procent.
Kortvarigt hjemløse
Psykiatrisk behandling
Stofmisbrugsbehandling
Alkoholmisbrugsbehandling
Mindst én behandlingstype
N
Kilde:
Boformsdata og øvrige registerdata.
51
25
26
71
10.130
Episodisk hjemløse
63
36
37
85
1.542
Langvarigt hjemløse
47
29
21
68
3.435
I alt
51
27
26
72
15.107
Behandlingstilknytningen skal ses som del af det samlede billede omkring borgerens forløb. Som
de tidligere analyser har vist, er der en selektion omkring, hvem det lykkes for at komme ud af
hjemløshed igen, og derfor er det ikke muligt at belyse, hvilken betydning de forskellige indsatser
har for borgerens chance for at komme ud af hjemløshed igen.
Tabel 10.5
Andel hjemløse borgere i 2009 i forskellige former for behandling i årene 2009-2014,
særskilt for tidspunkt for seneste registrering af hjemløshed, samlede data. Procent.
Ikke hjemløs i 2015
Psykiatrisk behandling:
2009
2010
2011
2012
2013
2014
Stofmisbrugsbehandling:
2009
2010
2011
2012
2013
2014
Alkoholmisbrugsbehandling:
2009
2010
2011
2012
2013
2014
N
Kilde:
Tællingsdata, boformsdata og øvrige registerdata.
13
12
11
10
9
8
4.970
14
14
13
10
11
12
1.005
14
13
11
10
9
9
5.975
21
19
18
16
16
15
33
32
30
29
29
29
23
21
20
19
19
18
28
25
23
22
22
21
28
24
23
25
26
29
28
25
23
23
23
22
Hjemløs i 2015
I alt
I tabel 10.5 ser vi på, hvor stor en andel af dem, der blev registreret som hjemløse i 2009, der var i
henholdsvis psykiatrisk behandling, stofmisbrugsbehandling eller alkoholmisbrugsbehandling i de
113
SOU, Alm.del - 2016-17 - Bilag 369: VIVE’s Veje ind og ud af hjemløshed. En undersøgelse af hjemløshedens forløb og dynamik., fra børne- og socialministeren
1792734_0116.png
efterfølgende år.
6
Vi opdeler, ligesom tabellerne i kapitel 8, også denne opgørelse på, om borge-
ren blev registreret som hjemløs i 2015 eller ej.
Det ses tydeligt, at væsentligt flere er i psykiatrisk behandling eller misbrugsbehandling i de føl-
gende år blandt dem, der stadig var hjemløse i 2015. Af dem, der ikke længere var hjemløse i
2009, var der eksempelvis 28 pct., der var i psykiatrisk behandling i 2009, mens det tal i 2014 var
faldet til 21 pct. Blandt dem, der stadig var hjemløse i 2015, var der ligeledes 28 pct., der var i
psykiatrisk behandling i 2009, men dette tal var stort set uændret, med 29 pct., i 2014. Det viser, at
en del af de borgere, der stadigvæk er hjemløse i 2015, sideløbende med hjemløsheden også
fortsat har en behandlingskrævende psykisk lidelse eller et behandlingskrævende misbrug, der
formentlig samtidig er med til at fastholde dem i hjemløsheden.
10.3
Sammenfatning
Chancen for at komme ud af hjemløshed hænger i høj grad sammen med de sociale indsatser,
som borgeren modtager. Gennem de senere år er der sket et generelt vidensløft om de sociale
indsatser på hjemløseområdet. Særligt har resultaterne fra Hjemløsestrategien vist, at en tidlig,
permanent boligløsning, kombineret med intensiv bostøtte (Housing First), giver en høj chance for
at komme ud af hjemløshed og i egen bolig. Opgørelserne i dette kapitel viser, at de intensive
bostøttemetoder under Hjemløsestrategien og det efterfølgende Implementerings- og forankrings-
projekt særligt har været målrettet de borgere, der i analysen af typer af hjemløshed er identificeret
som de langvarigt og episodisk hjemløse. Analyserne viser således, at disse indsatser særligt har
været målrettet de hjemløse borgere med de mest komplekse støttebehov.
Opgørelserne viser imidlertid også, at selv i de kommuner, der har været omfattet af indsatsen, er
det en ret lav andel af de hjemløse borgere, der har været omfattet af Housing First-tilgangen og
de intensive bostøttemetoder. Det kan hænge sammen med de barrierer for at udbrede indsatsen,
der er identificeret i evalueringer på området, hvor både manglen på billige boliger og kapaciteten i
den intensive bostøtte påpeges som væsentlige barrierer for at udbrede Housing First-indsatsen til
en større del af målgruppen, ligesom en udbredelse af indsatsen også stiller betydelige organisa-
toriske krav til indsatsen i kommunerne. Der kan således peges på et betydeligt behov for at øge
tilgængeligheden af de intensive bostøttemetoder og navnlig et potentiale for at øge dækningsgra-
den af disse indsatser i gruppen af langvarigt hjemløse, der har lange ophold på § 110-
boformerne.
Der er en stor del af de hjemløse borgere, der er omfattet af andre sociale og behandlingsmæssi-
ge indsatser. Navnlig er der en høj andel af de hjemløse borgere, der samlet set har modtaget
psykiatrisk behandling, stofmisbrugsbehandling eller alkoholbehandling hen over analyseperioden.
Særligt gruppen af kortvarigt hjemløse, der antalsmæssigt udgør hovedparten af de hjemløse bor-
gere, får formentlig allerede en betydelig grad af hjælp fra det eksisterende velfærdssystem, hvil-
ket er med til at forklare, at hjemløsheden er relativt kortvarende i denne gruppe. Her kan der dog
peges på et forebyggende potentiale, hvor hjemløsheden formentlig helt kunne undgås for en del
af denne gruppe ved en tidligere indsats, fx gennem den almindelige § 85-indsats i kommunerne.
6
Oplysninger om psykiatrisk behandling og misbrugsbehandling har kun været tilgængelige til og med 2014.
114
SOU, Alm.del - 2016-17 - Bilag 369: VIVE’s Veje ind og ud af hjemløshed. En undersøgelse af hjemløshedens forløb og dynamik., fra børne- og socialministeren
1792734_0117.png
Bilag 1
Bilagsfigur 1.1
BILAGSFIGURER
Udvikling i antallet af hjemløse borgere fra 2009-2015, fordelt på køn, særskilt
for tællingsdata og boformsdata. Antal.
8.000
7.000
6.000
Antal hjemløse borgere
5.000
4.000
3.000
2.000
1.000
0
2009
2011
Mænd (Tællingsdata)
Kvinder (Tællingsdata)
Kilde:
Tællingsdata og boformsdata.
2013
Mænd (Boformsdata)
Kvinder (Boformsdata)
2015
Bilagsfigur 1.2
Udvikling i antallet af hjemløse borgere fra 2009-2015, fordelt på alder, særskilt
for tællingsdata og boformsdata. Antal.
3.500
3.000
Antal hjemløse borgere
2.500
2.000
1.500
1.000
500
0
2009
2011
18-29 år (Tællingsdata)
30-49 år (Tællingsdata)
50 år eller ældre (Tællingsdata)
Kilde:
Tællingsdata og boformsdata.
2013
2015
18-29 år (Boformsdata)
30-49 år (Boformsdata)
50 år eller ældre (Boformsdata)
115
SOU, Alm.del - 2016-17 - Bilag 369: VIVE’s Veje ind og ud af hjemløshed. En undersøgelse af hjemløshedens forløb og dynamik., fra børne- og socialministeren
1792734_0118.png
Bilagsfigur 1.3
Udvikling i antallet af hjemløse borgere fra 2009-2015, fordelt på danskere,
indvandrere og efterkommere, særskilt for tællingsdata og boformsdata. Antal.
6.000
5.000
Antal hjemløse borgere
4.000
3.000
2.000
1.000
0
2009
2011
Danskere (Tællingsdata)
Indvandrere (Tællingsdata)
Efterkommere (Tællingsdata)
Kilde:
Tællingsdata og boformsdata.
2013
Danskere (Boformsdata)
Indvandrere (Boformsdata)
Efterkommere (Boformsdata)
2015
116
SOU, Alm.del - 2016-17 - Bilag 369: VIVE’s Veje ind og ud af hjemløshed. En undersøgelse af hjemløshedens forløb og dynamik., fra børne- og socialministeren
LITTERATUR
Anderson, I. & D. Tulloch (2000):
Pathways through Homelessness: A Review of the Research
Evidence.
Edinburgh: Scottish Homeless Task Force.
Ankestyrelsen (2016):
Brugere af botilbud efter servicelovens § 110. Årsstatistik 2015.
Køben-
havn: Ankestyrelsen.
Benjaminsen, L. (2017):
Hjemløshed i Danmark, 2017. National kortlægning.
København: VIVE –
Det Nationale Forsknings- og Analysecenter for Velfærd.
Benjaminsen, L., J.F. Birkelund & M.H. Enemark (2013): Hjemløse borgeres sygdom og brug af
sundhedsydelser. København: SFI – Det Nationale Forskningscenter for Velfærd, 13:33.
Benjaminsen, L. & H.H. Lauritzen (2013):
Hjemløshed i Danmark, 2013. National kortlægning.
København: SFI – Det Nationale Forskningscenter for Velfærd, 13:21.
Benjaminsen, L. & S.B. Andrade (2015): ”Testing a typology of homelessness across welfare re-
gimes: An analysis of shelter use in Denmark compared to the US.”
Housing Studies,
30(6), s.
858-876.
Benjaminsen, L. & H.H. Lauritzen (2015):
Hjemløshed i Danmark, 2015. National kortlægning.
København: SFI – Det Nationale Forskningscenter for Velfærd, 15:35.
Benjaminsen L., T.M. Dyrby, M.H. Enemark, M.T. Thomsen, H.S. Dalum & U.L. Vinther (2017):
Housing First i Danmark. Evaluering af Implementerings- og forankringsprojektet i 24 kommu-
ner.
København: SFI – Det Nationale Forskningscenter for Velfærd & Rambøll, rapport 17:03.
Chamberlain, C. & D. MacKenzie (2006): “Homeless Careers: A Framework for Intervention.”
Aus-
tralian Social Work
59 (2), s. 198-212.
Clapham, D. (2003): “Pathways Approaches to Homelessness Research.”
Journal of Community
& Applied Social Psychology,
13, s. 119–127.
Clapham, D. (2005):
The Meaning of Housing: A Pathways Approach.
Bristol: Policy Press.
Coldwell, C.M. & W.S. Bender (2007): “The effectiveness of assertive community treatment for
homeless populations with severe mental illness: A meta-analysis.”
American Journal of Psy-
chiatry,
164(3), s. 393-399.
Culhane D., S. Metraux, J.M. Park, M. Schretzman & J. Valente (2007). “Testing a typology of
family homelessness based on patterns of public shelter utilization in four U.S. jurisdictions.
Implications for policy and program planning.”
Housing Policy Debate,
18(1), s. 1-28.
Edgar, B. & H. Meert (2005):
Fourth review of statistics on homelessness in Europe. The ETHOS
Definition of Homelessness.
Brussels: FEANTSA.
Fitzpatrick, S. (2005): “‘Explaining homelessness. A critical realist perspective’.” I:
Housing, Theory
and Society
22(1), s. 1–17.
Goering, P., S. Veldhuizen, A. Watson, C. Adair, B. Kopp, E. Latimer, G. Nelson, E. Macnaughton,
D. Streiner, T. Aubry (2014):
National At Home/Chez Soi Final Report.
Calgary: Alberta: Men-
tal Health Commission of Canada.
117
SOU, Alm.del - 2016-17 - Bilag 369: VIVE’s Veje ind og ud af hjemløshed. En undersøgelse af hjemløshedens forløb og dynamik., fra børne- og socialministeren
Kuhn, R. & D. Culhane (1998): “Applying cluster analysis to test a typology of homelessness by
pattern of shelter utilization: Results from the analysis of administrative data.”
American Jour-
nal of Community Psychology,
26(2), s. 207–232.
Neale, J. (1997): “Homelessness and Theory Reconsidered.”
Housing Studies
12 (1): s. 47–61.
Nelson, G., T. Aubry & A. Lafrance (2007): “A review of the literature on the effectiveness of hous-
ing and support, assertive community treatment, and intensive case management interven-
tions for persons with mental illness who have been homeless.”
American Journal of Ortho-
psychiatry,
77(3), s. 350-361.
Nielsen, S.F., C.R. Hjorthøj, A. Erlangsen & M. Nordentoft (2011): “Psychiatric disorders and mor-
tality among people in homeless shelters in Denmark: A nationwide register-based cohort
study.”
Lancet 377:
s. 2205–2214.
Padgett, D., B. Henwood & S. Tsemberis (2016):
Housing First. Ending Homelessness, Trans-
forming Systems, and Changing Lives.
New York City: Oxford University Press.
Rambøll & SFI (2013):
Hjemløsestrategien. Afsluttende rapport.
København: Rambøll & SFI – Det
Nationale Forskningscenter for Velfærd.
Shinn, M., B.C. Weitzman, D. Stojanovic, & J.R. Knickman (1998): “Predictors of Homelessness
among Families in New York City: From Shelter Request to Housing Stability.”
American Jour-
nal of Public Health
88, s. 1651–1657.
Shinn, M. (2007): “International Homelessness: Policy, Socio-cultural, and Individual Perspec-
tives.”
Journal of Social Issues
63 (3): s. 657–677.
Stephens, M. & S. Fitzpatrick (2007): “Welfare Regimes, Housing Systems and Homelessness.
How Are They Linked?”
European Journal of Homelessness
1: 201–212.
Toro, P.A. (2007): “Toward an International Understanding of Homelessness.”
Journal of Social
Issues
63 (3): 461–481.
Tsemberis S, L. Gulcur & M. Nakae (2004): “Housing first, consumer choice and harm reduction
for homeless individuals with a dual diagnosis.”
American Journal of Public Health,
94(4), s.
651-656.
Tsemberis, S. (2010):
Housing First: The Pathways Model to End Homelessness for People with
Mental Illness and Addiction.
Minneapolis: MN: Hazelden Press.
118
SOU, Alm.del - 2016-17 - Bilag 369: VIVE’s Veje ind og ud af hjemløshed. En undersøgelse af hjemløshedens forløb og dynamik., fra børne- og socialministeren
1792734_0121.png
SOU, Alm.del - 2016-17 - Bilag 369: VIVE’s Veje ind og ud af hjemløshed. En undersøgelse af hjemløshedens forløb og dynamik., fra børne- og socialministeren
1792734_0122.png
VEJE IND OG UD AF HJEMLØSHED
EN UNDERSØGELSE AF HJEMLØSHEDENS FORLØB OG DYNAMIK
Hjemløsheden i Danmark har været stigende i de seneste år. Denne rapport beskriver forløbene op mod hjem-
løshed, vejene gennem hjemløshed og chancerne for at komme ud af hjemløshed igen. På baggrund af data
fra hjemløsetællingerne og fra landets herberger (§ 110-boformer) i perioden 2009-2015 analyseres hjemløs-
hedens karakter og dynamik over tid.
Rapporten belyser desuden hjemløshedens omfang og udvikling samt de hjemløse borgeres profil. Den inde-
holder et særligt afsnit med fokus på hjemløse unge og endelig undersøges de sociale indsatser i forhold til
forskellige typer af hjemløshed.
Undersøgelsen viser, at der en løbende bevægelse ind og ud af hjemløshed. Hjemløshed er således sjældent
en ”social endestation”, men en situation nogle mennesker befinder sig i over en kortere eller længere periode.
Undersøgelsen viser, at langt de fleste hjemløse borgere kun kortvarigt er på herberger, mens op mod hver
fjerde herbergsbruger er langvarigt hjemløs og opholder sig på herberger i lange perioder.
Undersøgelsen er gennemført for Børne- og Socialministeriet og blev igangsat som led i aftalen om udmønt-
ning af satspuljen for 2016.