Skatteudvalget 2016-17
SAU Alm.del Bilag 133
Offentligt
1728070_0001.png
Diskussionsoplæg
Udarbejdet af formandskabet for De Økonomiske Råd til
Møde i Det Miljøøkonomiske Råd
tirsdag den 28. februar 2017
Regulering af landbrugets
kvælstofudledning
Grønne afgifter og
effektiv miljøregulering
Ægte opsparing
Formandskabet
SAU, Alm.del - 2016-17 - Bilag 133: Diskussionsoplæg 2017, fra Det Miljøøkonomiske Råd
De Økonomiske Råd
Sekretariatet
Amaliegade 44
1256 København K
Tlf.: 33 44 58 00
E-post: [email protected]
Hjemmeside: www.dors.dk
Signaturforklaring:
Oplysning kan ikke foreligge/foreligger ikke.
Som følge af afrundinger kan summen af tallene i tabellerne afvige fra totalen.
SAU, Alm.del - 2016-17 - Bilag 133: Diskussionsoplæg 2017, fra Det Miljøøkonomiske Råd
INDHOLD
Resumé
Kapitel I
Regulering af landbrugets kvælstofudledning
I.1 Indledning
I.2 Kvælstof og vandrammedirektivet
I.3 Beskrivelse af reguleringsformer
I.4 Analyse af omkostninger ved forskellige
reguleringer
I.5 Implementering
I.6 Sammenfatning og anbefalinger
Litteratur
Grønne afgifter og effektiv miljøregulering
II.1 Indledning
II.2 Grønne afgifter i Danmark
II.3 Teori og principper
II.4 Metode og modelgrundlag
II.5 Elafgift, provenu og fritagelse
II.6 Vandafgift, provenu og fritagelse
II.7 Effekter af regelregulering
II.8 Sammenfatning og anbefalinger
Litteratur
Ægte opsparing
III.1 Indledning
III.2 Bæredygtighed og ægte opsparing
III.3 Miljøgoder
III.4 Naturressourcer
III.5 Menneskeskabte formuegoder
III.6 Sammenfatning
Litteratur
1
17
17
19
34
46
72
83
90
93
93
95
99
111
114
135
140
147
155
159
159
162
172
194
227
247
258
Kapitel II
Kapitel III
SAU, Alm.del - 2016-17 - Bilag 133: Diskussionsoplæg 2017, fra Det Miljøøkonomiske Råd
RESUME
Dette års rapport fra Det Miljøøkonomiske Råds formand-
skab indeholder tre kapitler:
Regulering af landbrugets kvælstofudledning
Grønne afgifter og effektiv miljøregulering
Ægte opsparing
En reduktion af landbrugets udledning af kvælstof vil for-
bedre vandmiljøet og er nødvendig for, at Danmark kan leve
op til vandrammedirektivets mål om god økologisk tilstand i
de danske kystvande.
Det første kapitel
beskriver en model
for, hvordan reguleringen af landbrugets kvælstofudledning
kan udformes, så de samfundsøkonomiske omkostninger
ved at nå dette mål ikke bliver højere end nødvendigt.
Det andet kapitel
beskriver principper for, hvordan grønne
afgifter bør udformes. En række konkrete beregninger viser,
at der kan være store effektivitetsgevinster ved at ændre
udformningen af de nuværende grønne afgifter.
Endelig foretages der i
det tredje kapitel
i rapporten en op-
gørelse af den såkaldte ægte opsparing i Danmark for de
seneste 35 år. Den ægte opsparing er en vigtig indikator for,
hvorvidt udviklingen i Danmark er bæredygtig.
Diskussionsoplægget er udarbejdet af Det Miljøøkonomiske
Råds formandskab til mødet i Det Miljøøkonomiske Råd
den 28. februar 2017. Vurderinger og anbefalinger er alene
formandskabets.
Regulering af landbrugets kvælstofudledning
Kvælstof fra
landbrug
påvirker kyst-
vandes tilstand
Tilførsel af kvælstof i forbindelse med gødning bidrager til
en højere produktion i landbruget, og er derved med til at
øge landmændenes afkast. Brugen af gødning giver imid-
lertid anledning til en række negative miljøeffekter. En del
Resumeet er færdigredigeret den 6. februar 2017.
1
SAU, Alm.del - 2016-17 - Bilag 133: Diskussionsoplæg 2017, fra Det Miljøøkonomiske Råd
1728070_0005.png
Resume. Diskussionsoplæg. Økonomi og Miljø 2017
af det tilførte kvælstof udnyttes ikke af afgrøderne, men
udvaskes i stedet fra marken og ender i kystvandet, dvs.
fjorde og kystnære havområder. Her bidrager kvælstof til en
forringelse af den økologiske tilstand. Dette giver sig udslag
i uklart vand, iltsvind og forringede levevilkår for dyr og
planter.
Reduktionsmål
for at opnå god
økologisk tilstand
fordelt på 90
delvandoplande
EU’s vandrammedirektiv har opstillet et mål om “god øko-
logisk tilstand” i alle søer, vandløb og kystvande. For at nå
dette mål i de danske kystvande er det nødvendigt, at land-
bruget mindsker sin udledning af kvælstof. Der er opstillet
mål for, hvor meget udledningen af kvælstof skal reduceres
inden 2021, og udledningen skal yderligere reduceres frem
mod 2027. Reduktionsmålene er fordelt på 90 forskellige
områder af Danmark (såkaldte delvandoplande).
Fødevare- og landbrugspakken, der blev vedtaget i slutnin-
gen af 2015, lempede væsentlige dele af den hidtidige kvæl-
stofregulering. Samtidigt blev principperne for den fremti-
dige kvælstofregulering skitseret. Det er meningen, at den
fremtidige regulering, de såkaldte udvaskningsadgange, skal
være fuldt indfaset i år 2021. Det er dog endnu ikke fastlagt,
hvordan disse udvaskningsadgange skal udformes i praksis.
I kapitel I er der foretaget en analyse af de årlige samfunds-
økonomiske omkostninger ved forskellige typer af regule-
ring, som alle opfylder de givne reduktionsmål. Analyserne
er foretaget i samarbejde med forskere fra Institut for Føde-
vare- og Ressourceøkonomi ved Københavns Universitet og
Institut for Agroøkologi ved Aarhus Universitet.
Der er foretaget analyser af to potentielle udformninger af
udvaskningsadgange. Den ene udformning regulerer til-
førslen af kvælstof. Alle bedrifter i et delvandopland skal
her reducere deres tilførsel af kvælstof lige meget i forhold
til den driftsøkonomisk optimale tilførsel (en såkaldt norm-
reduktion). Denne regulering kaldes i kapitlet for
norm-
baserede udvaskningsadgange.
Den anden udformning re-
gulerer i stedet, hvor meget kvælstof der udvaskes, fordi det
ikke udnyttes af afgrøderne. Det antages, at hver bedrift i et
delvandopland får ret til at udvaske en bestemt mængde
kvælstof pr. ha. Beregningerne i kapitlet forudsætter, at
Principper til
fremtidig
regulering
skitseret
Analyse af
omkostninger ved
regulering
Omkostninger
ved forskellige
reguleringer
undersøgt
2
SAU, Alm.del - 2016-17 - Bilag 133: Diskussionsoplæg 2017, fra Det Miljøøkonomiske Råd
1728070_0006.png
Resume
disse rettigheder kan handles mellem bedrifter indenfor de
enkelte delvandoplande, og kaldes derfor for
omsættelige
udvaskningsadgange.
Herudover analyseres omkostnin-
gerne ved en regulering med såkaldte
målrettede afgifter,
som bygger videre på tidligere anbefalinger fra De Økono-
miske Råds formandskab om en omkostningseffektiv kvæl-
stofregulering.
Målrettede
afgifter er billigst
Analyserne viser, at regulering med målrettede afgifter
medfører lavere samfundsøkonomiske omkostninger end
regulering med de undersøgte udformninger af udvask-
ningsadgange, jf. tabel A. Målrettede afgifter har samtidig
den fordel, at der set for den enkelte landmand er tale om en
simpel regulering. Dette skyldes, at målrettede afgifter for
den enkelte landmand i praksis er faste dyrkningsafgifter.
Det anbefales derfor at benytte målrettede afgifter til at
regulere landbrugets kvælstofudledninger.
Tabel A
Omkostninger ved kvælstofregulering
------ Mia. kr. ------
1,03
0,64
0,58
Normbaserede udvaskningsadgange
Omsættelige udvaskningsadgange
Målrettede afgifter
Anm.:
Kilde:
Tabellen angiver de årlige samfundsøkonomiske omkostninger
ved forskellige typer regulering. Omkostningerne er opgjort ud
fra et samlet reduktionsbehov på 6.000 ton. En del af dette re-
duktionsbehov opfyldes i beregningerne af de såkaldte kollekti-
ve virkemidler (f.eks. vådområder). Omkostningerne ved disse
indgår også.
Egne beregninger.
Landmandens
dyrkningsafgifter
varierer med
afgrødevalg
Landmandens dyrkningsafgift skal afhænge af det dyrkede
areal og af landmandens valg af afgrøder. Princippet bag
udformningen af dyrkningsafgifterne er, at afgiftssatsen er
høj, når dyrkning af en afgrøde leder til en stor miljø-
belastning, mens afgiftssatsen er lav, når dyrkning leder til
en lille miljøbelastning. Der skal desuden betales en afgift
pr. husdyrenhed svarende til den ekstra miljøbelastning,
som brug af husdyrgødning giver anledning til.
3
SAU, Alm.del - 2016-17 - Bilag 133: Diskussionsoplæg 2017, fra Det Miljøøkonomiske Råd
1728070_0007.png
Resume. Diskussionsoplæg. Økonomi og Miljø 2017
Variation i
dyrkningsafgifter
mellem
landmænd
Dyrkningsafgifterne varierer fra landmand til landmand, så
afgiftssatsen er høj, når en landmands produktion leder til
en stor miljøbelastning, mens afgiften er lav, når produk-
tionen leder til en lille miljøbelastning. Således er der geo-
grafisk variation i dyrkningsafgifterne afhængig af lokale
naturgivne forskelle i, hvor meget af det udvaskede kvæl-
stof, der udledes til kystvandet (dvs. afhængig af den så-
kaldte retention). I dele af Danmark er der slet ikke behov
for at mindske udledningen af kvælstof, og her vil dyrk-
ningsafgiften være nul. Dyrkningsafgifterne giver et prove-
nu til statskassen. Det er et politisk valg, om man vil vælge
at føre provenuet tilbage til landbruget.
De målrettede afgifter giver en samfundsøkonomisk gevinst
i forhold til andre undersøgte reguleringer, fordi afgifterne i
høj grad er målrettet forskelle i miljøpåvirkning, og fordi de
giver et langsigtet incitament til at placere de bedrifter, der
udleder mest kvælstof der, hvor miljøbelastningen er
mindst.
Udvaskningsadgange, der er skitseret i Fødevare- og land-
brugspakken, tager kun højde for de overordnede forskelle i
behovet for kvælstofreduktion i de 90 forskellige delvand-
oplande. Udvaskningsadgange er dermed mindre målrettet,
fordi de ikke tager højde for de lokale naturgivne forskelle i
andelen af det udvaskede kvælstof, der ender i kystvandet.
Begrænsning af målretningen øger de samfundsøkonomiske
omkostninger i forhold til målrettede afgifter.
Analysen viser også, at den konkrete udformning af ud-
vaskningsadgange har stor betydning for de samfunds-
økonomiske omkostninger. Beregningerne viser, at der kan
spares omkring 400 mio. kr. årligt ved at regulere ved hjælp
af omsættelige udvaskningsadgange frem for normbaserede
udvaskningsadgange.
Såfremt reguleringen skal baseres på udvaskningsadgange,
sådan som det er beskrevet i Fødevare- og landbrugspakken,
er omsættelige udvaskningsadgange derfor at foretrække
frem for en normbaseret udvaskningsadgang. De samfunds-
økonomiske omkostninger ved omsættelige udvasknings-
adgange kan dog være undervurderede. En regulering base-
Gevinst skyldes
større grad af
målretning
Udvasknings-
adgange mindre
målrettede
Udformning af
udvasknings-
adgange har stor
betydning
Gevinst ved
omsættelige
udvasknings-
adgange kan
være
overvurderet
4
SAU, Alm.del - 2016-17 - Bilag 133: Diskussionsoplæg 2017, fra Det Miljøøkonomiske Råd
1728070_0008.png
Resume
ret på omsættelige udvaskningsadgange forudsætter, at der
etableres et kvotemarked for hvert delvandopland, hvor
landmændene kan handle kvoter for udvaskningsadgange. I
analysen er det forudsat, at disse kvotemarkeder fungerer
perfekt. Imidlertid bliver visse lokale kvotemarkeder små,
og vil derfor muligvis ikke fungere optimalt. De målrettede
afgifter vil med større sikkerhed mindske omkostningerne
ved at nå målsætningen.
Normbaseret
regulering giver
uhensigtsmæssige
incitamenter …
Forskellen i årlige omkostninger mellem de to typer af ud-
vaskningsadgange skyldes, at normbaserede udvasknings-
adgange ikke giver de samme hensigtsmæssige incitamenter
til omlægning af afgrødevalg og husdyrhold som omsætteli-
ge udvaskningsadgange. Normbaserede udvaskningsadgan-
ge giver desuden landmændene adgang til færre værktøjer
til at reducere deres miljøpåvirkning end omsættelige ud-
vaskningsadgange. Dette bidrager til at øge de samfunds-
økonomiske omkostninger ved normbaserede udvasknings-
adgange.
En særlig problemstilling ved normbaserede udvasknings-
adgange er, at mange bedrifter ved en sådan regulering vil
have et økonomisk incitament til at deltage i ulovlig handel
med kvælstof. Incitamentet til ulovlig handel kan begrænses
med et kontrolsystem, hvilket dog vil være forbundet med
omkostninger. Analysen giver ikke belæg for at vurdere,
hvorvidt ulovlig handel rent faktisk vil finde sted. Hvis det
antages, at ulovlig handel finder sted, viser analysen imid-
lertid, at reguleringens effektivitet mindskes, og de sam-
fundsøkonomiske omkostninger ved at nå reduktionsmålene
øges betydeligt. Målrettede afgifter og omsættelige udvask-
ningsadgange giver ikke incitament til ulovlig handel. Risi-
ko for ulovlig handel kan således medføre, at den reelle
besparelse ved at benytte omsættelige udvaskningsadgange
frem for normbaserede udvaskningsadgange er væsentlig
større end 400 mio. kr. årligt.
De undersøgte reguleringer adskiller sig også ved, at de
privatøkonomiske omkostninger for bedrifterne fordeles
forskelligt. Analysen viser, at målrettede afgifter er billigst
for langt de fleste landmænd, når afgiftsprovenuet fra denne
regulering føres tilbage til de berørte landmænd, jf. figur A.
… og giver risiko
for ulovlig handel
med kvælstof
Målrettede
afgifter er billigst
for flest
landmænd
5
SAU, Alm.del - 2016-17 - Bilag 133: Diskussionsoplæg 2017, fra Det Miljøøkonomiske Råd
1728070_0009.png
Resume. Diskussionsoplæg. Økonomi og Miljø 2017
Figur A
Geografisk fordeling af omkostninger for landbruget
Målrettede afgifter med tilbageførsel
Normbaserede udvaskningsadgange
Anm.:
Kilde:
Figuren viser bedrifternes gennemsnitlige privatøkonomiske omkostninger pr. ha i Danmarks
90 delvandoplande. Regulering med målrettede afgifter giver et afgiftsprovenu, der er ført af-
koblet tilbage til de berørte landmænd.
Egne beregninger.
Hvis provenu
tilbageføres skal
det ske afkoblet
fra produktion
Hvorvidt afgiftsprovenuet fra målrettede afgifter skal tilba-
geføres, er et politisk valg. Hvis provenuet tilbageføres, er
det vigtigt, at tilbageførslen foretages afkoblet fra efter-
følgende driftsbeslutninger, således at den ikke forvrider
den enkelte landmands produktionsvalg. I modsat fald kan
tilbageførslen øge reguleringens samfundsøkonomiske om-
kostninger.
Målrettede afgifter, der for landmanden blot er dyrknings-
afgifter, øger ikke den administrative byrde i forhold til den
eksisterende regulering for landmændene. Dertil kommer, at
andre lokale krav til landbrugets kvælstofudledning, f.eks.
af hensyn til grundvandet, også kan håndteres af målrettede
afgifter uden en forøgelse af reguleringens kompleksitet for
den enkelte landmand. Dette er endnu en fordel ved mål-
rettede afgifter frem for begge de undersøgte varianter af
udvaskningsadgange.
Dyrkningsafgifter
øger ikke
administrativ
byrde for
landmænd
6
SAU, Alm.del - 2016-17 - Bilag 133: Diskussionsoplæg 2017, fra Det Miljøøkonomiske Råd
1728070_0010.png
Resume
Samfunds-
økonomisk
gevinst større i
fremtiden
Den samfundsøkonomiske gevinst ved at benytte målrettede
afgifter afhænger af, hvor meget landbrugets kvælstof-
udledninger skal reduceres. Yderligere reduktionskrav fra
2021-27 vil øge den samfundsøkonomiske gevinst ved at
regulere med målrettede afgifter.
Grønne afgifter og effektiv miljøregulering
Grønne afgifter
udbredte i
Danmark
Der er negative miljøeffekter knyttet til mange produktions-
processer og til dele af vores forbrug. Grønne afgifter kan
bruges til at mindske disse miljøeffekter. Grønne afgifter er
udbredte i Danmark. Provenuet fra disse afgifter i forhold til
BNP er således højt i Danmark sammenlignet med vores
nabolande og gennemsnittet i OECD.
Grønne afgifter er generelt et omkostningseffektivt instru-
ment til regulering af miljøbelastningen. Det forudsætter
dog, at de grønne afgifter er sat svarende til miljø-
belastningen, og at alle udledere betaler afgiften. Det er
langt fra tilfældet for alle grønne afgifter i Danmark.
Nogle af de nuværende grønne afgifter har kun tvivlsomme
eller indirekte effekter på miljøet, mens afgiften i andre
tilfælde er sat højere, end miljøbelastningen tilsiger. Det
gælder f.eks. for afgiften på elektricitet og for afgiften på
vand i de dele af Danmark, hvor der er rigelig med grund-
vand.
Der er også en række eksempler på grønne afgifter, hvor
virksomheder helt eller delvis er fritaget for afgiften. Hvis
afgiften er miljømæssigt velbegrundet, vil afgiftsfritagelse
øge miljøbelastningen eller øge de samfundsøkonomiske
omkostninger ved at nå en given miljømålsætning.
I kapitlet præsenteres en række beregninger, der illustrerer
de samfundsøkonomiske gevinster ved at reducere for høje
grønne afgifter og ved at fjerne fritagelser for grønne afgif-
ter. Beregningerne vedrører afgifter på elektricitet og vand.
Beregningerne er udført med REFORM-modellen udviklet
af DREAM.
Grønne afgifter
er generelt et
godt instrument
Flere grønne
afgifter er for
høje
Virksomheder
fritaget for nogle
grønne afgifter
Modelberegninger
af ændret afgift på
el og vand
7
SAU, Alm.del - 2016-17 - Bilag 133: Diskussionsoplæg 2017, fra Det Miljøøkonomiske Råd
1728070_0011.png
Resume. Diskussionsoplæg. Økonomi og Miljø 2017
Nuværende afgift
på almindeligt
elforbrug er høj
Det første sæt af beregninger vedrører elafgiften. Afgiften
på almindeligt elforbrug er i dag meget højere end beskat-
ningen af andre typer energi både set i forhold til udlednin-
gen af CO
2
og i forhold til energiindholdet. Afgiften på
almindeligt elforbrug er samtidig væsentligt højere end
afgiften på elektricitet anvendt til fremstilling (proces-
energi), jf. figur B og C.
Selvom produktionen af elektricitet i Danmark umiddelbart
giver anledning til udledning af CO
2
, vil ændringer i pro-
duktionen af elektricitet ikke påvirke den samlede euro-
pæiske udledning af CO
2
, da denne er begrænset af mæng-
den af CO
2
-kvoter i det europæiske kvotesystem. Afgiften
på elektricitet har, så længe antallet af kvoter er givet, ingen
egentlig betydning for udledningen af CO
2
indenfor kvote-
sektoren i EU. Den høje afgift på elektricitet kan endda
bidrage til at øge den samlede udledning af CO
2
, fordi den
kan modvirke omstillingen væk fra fossile brændsler i ikke-
kvotesektoren.
Elafgift mindsker
ikke udledning af
CO
2
i EU
Figur B
Energi- og CO
2
-afgift
pr. GJ
Figur C
Energi- og CO
2
-afgift
pr. ton CO
2
Anm.:
Kilde:
Omkostningerne ved brug af CO
2
-kvoter i elproduktionen er ikke indregnet, men disse er
beskedne i forhold til de øvrige afgifter.
Energinet (2016), Sekretariatet for afgifts- og tilskudsanalysen på energiområdet (2016) og
egne beregninger.
8
SAU, Alm.del - 2016-17 - Bilag 133: Diskussionsoplæg 2017, fra Det Miljøøkonomiske Råd
1728070_0012.png
Resume
Gevinst på 1,8
mia. kr. ved at
sænke elafgift
Afgiften på elektricitet giver et provenu til staten, men dette
provenu kan tilvejebringes med færre forvridninger gennem
en skat på indkomst. Modelberegninger viser, at der kan
opnås en årlig samfundsøkonomisk gevinst på 1,8 mia. kr.,
hvis afgiften på almindeligt elforbrug sænkes til samme
niveau som den generelle energiafgift på olie og gas. Denne
reduktion svarer til, at elafgiften reduceres fra 0,89 til 0,27
kr. pr. kWh, hvilket svarer til en reduktion i prisen på al-
mindeligt elforbrug på ca. 40-45 pct.
1
De høje afgifter på elektricitet og anden energi skal blandt
andet ses i lyset af ønsket om at mindske det samlede ener-
giforbrug. Det er relevant at mindske de negative miljø-
mæssige effekter af energiforbruget, hvilket kan ske gen-
nem afgifter på eksempelvis fossile brændsler, der forår-
sager udledning af CO
2
, eller andre brændsler, der forår-
sager udledning af partikler. Det er derimod vanskeligt at
argumentere for, at energiforbrug i sig selv skulle være ska-
deligt for miljøet eller klimaet – og energispare-
målsætninger er derfor ikke velbegrundede, givet at miljø-
belastningen ved energiforbrug er reguleret på anden vis.
Der er imidlertid på EU-plan fastsat mål for energi-
besparelser, og målet om energibesparelser kan derfor på
kort sigt betragtes som et vilkår.
Et lavere elforbrug opnås mest omkostningseffektivt ved at
have en afgift på elektricitet, som er ens for alle brugere af
elektricitet. Det er som nævnt ikke tilfældet i dag, hvor elek-
tricitet til proces i erhvervene i praksis er fritaget for afgift,
jf. figur B og C. Omlægges afgiften på elektricitet, så alle
betaler samme afgift, uden at det samlede elforbrug ændres,
viser modelberegninger, at der kan opnås en samfunds-
økonomisk gevinst på 1,3 mia. kr. pr. år.
Der er også meget lav beskatning af f.eks. olie, kul og gas,
som anvendes til procesenergi i fremstillingserhverv. Der
vil være en yderligere gevinst ved også at fjerne denne fri-
tagelse, så energiafgiften er ens på tværs af anvendelse og
1)
Her er taget udgangspunkt i en situation, hvor der ikke betales
PSO-afgift. Endvidere er der taget højde for, at reduktionen i el-
afgiften mindsker momsbetalingen.
Energisparemål
ikke hensigts-
mæssigt – men et
vilkår
Gevinst på 1,3
mia. kr. ved at
fjerne fritagelser
for elafgift
Yderligere
gevinst ved at
fjerne fritagelse
fra energiafgifter
9
SAU, Alm.del - 2016-17 - Bilag 133: Diskussionsoplæg 2017, fra Det Miljøøkonomiske Råd
1728070_0013.png
Resume. Diskussionsoplæg. Økonomi og Miljø 2017
energiforbrug. Det vil mindske de samlede omkostninger
ved at opnå en given målsætning for energiforbruget. En
ensartet energiafgift skal også omfatte biobrændsler.
Vandafgift bør
være geografisk
differentieret og
gælde alle
Der kan også opnås samfundsøkonomiske gevinster ved at
ændre på vandafgiften. Der er i dag en ensartet afgift i hele
landet for husholdninger, mens momsregistrerede virksom-
heder i praksis er fritaget for afgiften. Der er imidlertid pri-
mært for høj indvinding af grundvand på dele af Sjælland
(nær Hovedstadsområdet). Der burde derfor være en geo-
grafisk differentieret afgift betalt af alle vandforbrugere.
Afgiften skulle være nul kr. i de dele af landet, hvor der er
rigeligt med grundvand.
Beregningerne tyder på, at der vil være samfunds-
økonomiske gevinster på 0,1-0,2 mia. kr. pr. år ved en om-
lægning af vandafgiften. Gevinsterne er væsentlig lavere
end ved omlægning af afgiften på elektricitet, hvilket blandt
andet afspejler, at provenuet fra vandafgiften i udgangs-
punktet er væsentligt lavere end provenuet fra beskatning af
elektricitet.
I dansk miljøregulering anvendes regelregulering i form af
bl.a. teknologikrav ofte i stedet for grønne afgifter. Regel-
regulering er typisk karakteriseret ved, at man får lov til at
udlede mere, når produktionen stiger, så længe givne tekno-
logikrav mv. er overholdt. Regelreguleringen begrænser
udledningen, men der betales ikke en afgift, der svarer til
miljøbelastningen.
Regelregulering kan sidestilles med et subsidie til de foru-
renende virksomheder, som betyder, at de begunstiges i
forhold til virksomheder, der enten ikke forurener, eller som
betaler en afgift af deres forurening. Dette leder samlet set
til for meget forurening og en sektorsammensætning, hvor
forurenende sektorer udgør en større andel af økonomien,
end hvis deres forurening var reguleret gennem afgifter.
Et eksempel er udledningen af ammoniak fra landbruget,
hvor der på trods af omfattende regelregulering er udlednin-
ger, som medfører helbredsomkostninger på omkring 2,7
mia. kr. pr. år. Helbredsomkostningerne ved udledning af
Gevinst ved
omlægning af
afgift på vand på
0,1-0,2 mia. kr.
Regelregulering
fritager for
afgiftsbetaling
For meget
forurenende
produktion ved
regelregulering
Regelregulering
af ammoniak fra
landbruget
10
SAU, Alm.del - 2016-17 - Bilag 133: Diskussionsoplæg 2017, fra Det Miljøøkonomiske Råd
1728070_0014.png
Resume
ammoniak fra landbruget svarer til ca. 5 pct. af landbrugs-
produktionen.
For høj
landbrugs-
produktion i
kraft af
regelregulering
Regelreguleringen indebærer, at beskæftigelsen i landbruget
og fødevareindustrien er højere sammenlignet med en situ-
ation med afgiftsregulering. Den højere beskæftigelse i
landbrug og fødevareindustri modsvareres imidlertid af en
stort set tilsvarende lavere beskæftigelse i andre dele af
økonomien. Modelberegninger viser, at den højere land-
brugsproduktion, som følger af regelreguleringen fremfor
afgiftsregulering, alt andet lige medfører en forøget udled-
ning af ammoniak, som medfører en ekstra helbreds-
omkostning på 0,2 mia. kr. pr. år. Beregningen illustrerer, at
regelregulering kan føre til en uhensigtsmæssig sektor-
fordeling, hvor forurenende sektorer udgør en for stor del af
økonomien på bekostning af ikke-forurenende sektorer.
Samlet set illustrerer beregningerne, at der kan være bety-
delige samfundsøkonomiske gevinster ved at ændre ud-
formningen af de nuværende grønne afgifter og erstatte
regelregulering med grønne afgifter, som er fastsat ud fra
miljøbelastningen.
Omkostninger
ved at afvige fra
principper for
grønne afgifter
Ægte opsparing
Ægte opsparing
en vigtig
indikator for
bæredygtighed
Den ægte opsparing opgør udviklingen i nationalformuen i
bred forstand inklusive værdien af miljøgoder, natur-
ressourcer og humankapital. En nationalformue, der ikke
bliver mindre over tid, indebærer, at udviklingen er bære-
dygtig. Ægte opsparing er dermed en vigtig indikator for
bæredygtighed.
I kapitel III opgøres bidraget til den ægte opsparing fra flere
formuegoder end i sammenlignelige opgørelser i den inter-
nationale litteratur. Det har imidlertid ikke været muligt at
inddrage alle formuegoder, der kan påvirke den ægte op-
sparing. Det gælder bl.a. for biodiversitet og social kapital.
Den præsenterede opgørelse er derfor partiel, og kan ikke
entydigt afgøre, om udviklingen har været bæredygtig i den
analyserede periode. Opgørelsen kan dog belyse, om bidra-
Opgørelse er
partiel
11
SAU, Alm.del - 2016-17 - Bilag 133: Diskussionsoplæg 2017, fra Det Miljøøkonomiske Råd
1728070_0015.png
Resume. Diskussionsoplæg. Økonomi og Miljø 2017
get fra de medtagne formuegoder har gjort udviklingen me-
re eller mindre bæredygtig.
Både miljø- og
menneskeskabt
kapital bidrager
til positiv trend
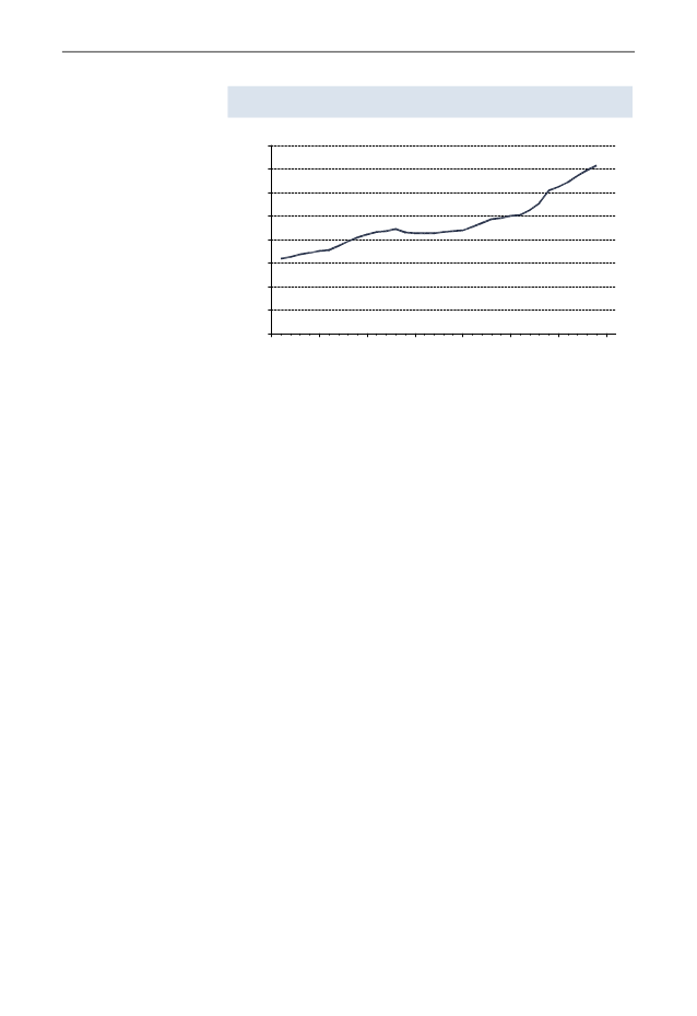
Udviklingen i Danmark siden 1980 viser, at bidraget til den
ægte opsparing fra de medtagne formuegoder var negativt
igennem det meste af 1980’erne, men siden da har været
positivt og stigende, jf. figur D. Den positive trend i den
ægte opsparing afspejler en stigende opsparing i såvel natur-
og miljøkapital som menneskeskabt kapital.
Figur D
Pct. af BNP
25
20
15
10
5
0
-5
-10
-15
-20
1980
Ægte opsparing 1980-2015
Samlet opsparing
Natur- og miljøkapital
Menneskeskabt kapital
1985
1990
1995
2000
2005
2010
2015
Anm.:
Kilde:
Natur- og miljøkapital omfatter klimaeffekter, olie og gas i
Nordsøen, luftforurening, grundvandsforurening, fiskebestande
og skov. Den menneskeskabte kapital omfatter fysisk og finan-
siel kapital samt videns- og humankapital. Udsvinget i natur-og
miljøkapital i 1997-98 skyldes primært en ændring i vurderin-
gen af fiskebestandenes størrelse.
Egne beregninger.
Natur- og
miljøkapital har
bidraget negativt
I gennemsnit over hele perioden udgjorde det samlede bi-
drag til den ægte opsparing 4�½ pct. af BNP. Ser man alene
på årene siden årtusindskiftet, har opsparingen gennem-
snitligt været på ca. 10 pct. årligt. Det vigtigste enkeltbidrag
til den ægte opsparing kommer fra de årlige investeringer i
humankapital (primært uddannelse), der i gennemsnit har
udgjort godt 8 pct. af BNP årligt, jf. tabel B. Bidraget fra
udviklingen i natur- og miljøkapital har omvendt været ne-
12
SAU, Alm.del - 2016-17 - Bilag 133: Diskussionsoplæg 2017, fra Det Miljøøkonomiske Råd
1728070_0016.png
Resume
gativt i hele perioden, mens stigningen i det indenlandske
kapitalapparat og i finansielle tilgodehavender overfor ud-
landet har bidraget positivt til den ægte opsparing. Udvik-
lingen i fiskebestand, grundvandsforurening, skovarealer og
videnskapital har kun haft beskeden betydning i opgørelsen.
Tabel B
Bidrag til den ægte opsparing 1980-2015,
pct. af BNP
-3,2
-4,0
-0,0
-1,6
0,1
0,0
2,3
2,2
0,4
8,3
4,5
Klima
Luft
Grundvand
a
Nordsø
Fisk
a
Skov
Fysisk kapital
Finansiel kapital
Videnskapital
Humankapital
I alt
a)
Kilde:
Grundet datamangel har det ikke været muligt at opgøre bidra-
get fra grundvand og fiskebestande i perioden 1980-1990.
Egne beregninger.
Positiv udvikling
skyldes især
mindre
luftforurening og
større finansiel
opsparing
Den positive udvikling i den ægte opsparing i løbet af peri-
oden skyldes hovedsagelig to forhold. For det første er luft-
forureningen faldet i perioden, blandt andet som følge af en
øget international regulering på området. For det andet er
Danmarks finansielle opsparing i udlandet steget kraftigt. I
perioden er Danmark gået fra at have en betydelig udlands-
gæld til en netto-udlandsformue på omkring 50 pct. af BNP.
Den stigende opsparing skal blandt andet ses på baggrund af
udbredelsen af obligatoriske arbejdsmarkedspensioner og
gentagne reduktioner af rentefradraget.
13
SAU, Alm.del - 2016-17 - Bilag 133: Diskussionsoplæg 2017, fra Det Miljøøkonomiske Råd
1728070_0017.png
Resume. Diskussionsoplæg. Økonomi og Miljø 2017
Grænse-
overskridende
forurening
påvirker
opsparing
Både luftforurening og klimaforandringer har en grænse-
overskridende karakter. Danskernes økonomi og velfærd
påvirkes derfor af udledninger, der finder sted i udlandet.
For at opgøre effekten af luftforurening og drivhusgas-
udledninger på den danske ægte opsparing, tages der derfor
udgangspunkt i de samlede udledninger, der påvirker Dan-
mark, uanset hvor disse finder sted.
Det bør understreges, at der er betydelige usikkerheder i
opgørelsen af den ægte opsparing. Der er således usikker-
hed om værdien af forskellige typer kapital, og det har ikke
været muligt at medtage udviklingen i f.eks. biodiversitet og
social kapital i opgørelsen. Samtidig er den gennemsnitlige
levealder i perioden steget betydeligt, hvilket må formodes
at have givet en kraftig stigning i værdien af den samlede
“sundhedskapital”.
Et andet usikkerhedselement ved beregningen knytter sig til,
at der for nogle typer af natur- og miljøkapital kan være en
kritisk grænse. I nærheden af en sådan grænse kan selv en
lille ændring i mængden af godet medføre et stort og poten-
tielt irreversibelt tab i velfærden, hvorfor prisen på godet vil
stige kraftigt. Det vurderes, at dette især kan udgøre en risi-
ko for udledningen af drivhusgasser og biodiversitet.
Det Miljøøkonomiske Råds formandsskab præsenterede
også en opgørelse af den ægte opsparing i 2012. I forhold til
denne opgørelse er der foretaget forskellige beregnings-
mæssige ændringer, der samlet har medført et fald i den
ægte opsparing på ca. 2 pct. af BNP årligt for en sammen-
lignelig periode. Det skyldes hovedsagelig, at værdien af de
årlige humankapitalinvesteringer er nedjusteret. Samtidig
vurderes luftforureningen at have noget større negative kon-
sekvenser, mens det negative bidrag fra klimaudviklingen
omvendt vurderes lavere end sidst, blandt andet fordi der nu
foretages et fradrag for naturlig absorbering af drivhusgas-
ser.
Usikkerhed i
beregningen
Risiko ved
kritiske grænser
kan
undervurdere tab
Lidt lavere
vurdering af den
ægte opsparing
end sidst
14
SAU, Alm.del - 2016-17 - Bilag 133: Diskussionsoplæg 2017, fra Det Miljøøkonomiske Råd
1728070_0018.png
Resume
Værdien af
statistisk liv bør
opdateres i
samfunds-
økonomiske
analyser
Den ændrede vurdering af betydningen af luftforurening
skyldes blandt andet, at der anvendes en opdateret og bety-
deligt højere værdi af statistisk liv (VSL) end tidligere, der
er i tråd med den nyeste viden på området. Et nøgletal som
VSL anvendes i mange samfundsøkonomiske sammen-
hænge, ikke mindst af offentlige institutioner. Det er vigtigt,
at der anvendes opdaterede tal for at understøtte samfunds-
økonomisk hensigtsmæssige prioriteringer.
Den vurderede skadesvirkning af udledning af et ton CO
2
i
atmosfæren (den såkaldte
social cost of carbon,
SCC) er et
tilsvarende vigtigt nøgletal. I kapitlet anvendes en pris på
386 kr. (i 2010-priser). Denne pris er væsentligt højere end
den, der blev anvendt i 2012. Forskellen afspejler nyere
vurderinger af omkostningerne ved drivhuseffekten. I inter-
nationale undersøgelser af den ægte opsparing fra eksem-
pelvis Verdensbanken anvendes betydeligt ældre og lavere
priser, hvilket bidrager til at undervurdere klimaproblemets
konsekvenser. I diskussioner af klimaproblemets betydning
er det vigtigt at være opmærksom på at anvende opdaterede
SCC-priser.
Skat i Nordsøen
Ligeledes vigtigt
at anvende
opdaterede skøn
for skaden ved
CO
2
-udledninger
Nordsøskattens to
problemer: For
lav og ikke
neutral
Indvinding af olie og gas i Nordsøen bidrager til en redukti-
on af den ægte opsparing. Det er ikke ensbetydende med, at
der ikke bør indvindes olie og gas. Det er imidlertid vigtigt,
at incitamenterne til indvinding er udformet hensigts-
mæssigt. Der er i øjeblikket fornyet opmærksomhed om
skatteforholdene i Nordsøen i forbindelse med forhandlin-
ger om de fremtidige rammevilkår. Overordnet er beskat-
ningen i Nordsøen karakteriseret af to problemer. Dels vir-
ker den samlede beskatning til at være for lav, dels afviger
beskatningen fra principperne om en neutral beskatning af
ressourcerenten (den overnormale profit fra udvindingen),
dvs. den beskatning, der sikrer den mest hensigtsmæssige
udvinding.
I vurderingen af det samlede beskatningsniveau er det afgø-
rende, at det er den danske stat, og dermed hele den danske
befolkning, der har ejendomsretten til værdierne i under-
grunden, mens de private virksomheders opgave er at loka-
Ressourcerenten
bør tilfalde staten
15
SAU, Alm.del - 2016-17 - Bilag 133: Diskussionsoplæg 2017, fra Det Miljøøkonomiske Råd
1728070_0019.png
Resume. Diskussionsoplæg. Økonomi og Miljø 2017
lisere og udvinde ressourcerne. Et naturligt udgangspunkt
for en fordeling er derfor, at den del af ressourcens værdi,
der er tilbage, når udvindingsselskaberne har fået en rimelig
forrentning af deres investeringer, bør tilfalde staten. Det
svarer til, at den såkaldte ressourcerente bør tilfalde staten.
Beskatning bør
ikke være lavere
end i Norge
I praksis er det næppe hensigtsmæssigt at beskatte ressour-
cerenten med 100 pct., da det bl.a. vil fjerne virksom-
hedernes incitament til effektiv drift. Der lader dog til at
være et betydeligt spillerum for højere beskatning i forhold
til det nuværende niveau uden at ramme en urealistisk høj
skattesats. I Norge er det nuværende beskatningsniveau på
ca. 84 pct., hvilket også var den skattesats Kulbrinte-
skatteudvalget (2001) regnede med. Den nuværende skatte-
sats i Danmark er betydeligt lavere, idet den ligger på ca. 71
pct.
En anden problemstilling er, at de danske skatteregler afvi-
ger fra en neutral skat på flere måder, som hver især kan
medføre forvridninger og derfor skabe uhensigtsmæssige
investeringsforhold.
Eventuelle ændringer i beskatningen bør gå i retning af en
beskatning, der er tættere på et neutralt system. Samtidig er
der meget, som tyder på, at den effektive beskatning af res-
sourcerenten bør være højere. En samlet aftale, der sikrer
begge dele, vil derfor være et fremskridt. Derimod bør man
ikke generelt give udvindingsvirksomhederne mere favorab-
le vilkår, selvom dette kunne medføre større aktivitet i
Nordsøen. Det er ikke noget mål i sig selv at opretholde den
størst mulige produktion i Nordsøen. Tværtimod vil det
mindske samfundets samlede velstand, hvis man via subsi-
dier forsøger at stimulere udvindingsaktiviteter i Nordsøen,
der ikke er rentable i sig selv.
Uhensigtsmæssige
afvigelser fra
neutral skat
Ikke
hensigtsmæssigt
at tilskynde til
urentabelt stor
udvinding
16
SAU, Alm.del - 2016-17 - Bilag 133: Diskussionsoplæg 2017, fra Det Miljøøkonomiske Råd
KAPITEL I
REGULERING AF LANDBRUGETS
KVÆLSTOFUDLEDNING
I.1
Kystvandes
økosystemer
giver samfunds-
værdier
For mange
næringsstoffer
skader
økosystemer
Indledning
Et velfungerende økosystem i danske kystvande genererer
en række værdier for samfundet. Det giver blandt andet
herlighedsværdier og mulighed for rekreative aktiviteter.
Det har også en erhvervsmæssig værdi for blandt andet
fiskeri og havbrug.
En øget tilførsel af næringsstoffer såsom kvælstof til de
danske kystvande kan udover tab af ovennævnte værdier
medføre tab af biodiversitet i det marine miljø, jf. Henriksen
(2012) og Jensen mfl. (2016b). Dette skyldes, at en for høj
næringsstoftilførsel kan give anledning til iltsvind og for-
øget forekomst af alger og planteplankton, som udkonkur-
rerer planter og dyr, der er vigtige for økosystemet.
Med EU’s vandrammedirektiv fra 2000 er der et mål om, at
alle kystvande skal opnå en såkaldt “god økologisk til-
stand”. Hvordan den gode økologiske tilstand skal realise-
res, bliver beskrevet i de danske vandområdeplaner. I vand-
områdeplanerne er der således sat mål for, hvor meget
kvælstofudledningen til forskellige kystvande skal reduce-
res med senest i 2021 og 2027, for at kunne opnå målet om
god økologisk tilstand, jf. Styrelsen for Vand- og Natur-
forvaltning (2016a).
Det fremgår også af vandområdeplanerne, hvor stor en an-
del af reduktionsmålene for 2021, som landbruget forventes
at stå for. Med den politiske aftale om Fødevare- og land-
brugspakken fra 2015 er det besluttet, at godt halvdelen af
denne reduktion skal opnås med en ny og mere målrettet
kvælstofregulering. Principperne bag den målrettede regule-
Kapitlet er færdigredigeret den 6. februar 2017.
Målsætninger for
reduktion af
kvælstof-
udledninger
Planer for
landbrugets
kvælstof-
reduktioner
17
SAU, Alm.del - 2016-17 - Bilag 133: Diskussionsoplæg 2017, fra Det Miljøøkonomiske Råd
1728070_0021.png
Regulering af landbrugets kvælstofudledning. Diskussionsoplæg. Økonomi og Miljø 2017
ring er skitseret i Fødevare- og landbrugspakken i form af
såkaldte udvaskningsadgange, men den endelige udform-
ning af disse er endnu ikke offentliggjort.
Formålet med
kapitlet
Formålet med kapitlet er at vurdere, hvordan reguleringen af
kvælstofudledningen kan indrettes samfundsøkonomisk mest
hensigtsmæssigt med henblik på at opnå de nationalt fastsat-
te mål for reduktionen i landbrugets kvælstofudledning.
I kapitlet analyseres de samfundsøkonomiske omkostninger
ved forskellige former for regulering, herunder den hid-
tidige regulering, forskellige tolkninger af den regulering,
der er skitseret i Fødevare- og landbrugspakken, samt en
mere målrettet regulering baseret på de principper, som blev
fremlagt i De Økonomiske Råds formandskab (2015).
Analyserne i kapitlet er foretaget i samarbejde med forskere
fra Institut for Fødevare- og Ressourceøkonomi, Københavns
Universitet og Institut for Agroøkologi, Aarhus Universitet.
Der fokuseres i kapitlet på udledning af kvælstof fra land-
bruget. Landbruget står for hovedparten af de danske udled-
ninger af kvælstof til de danske kystvande, og det vil ikke
være muligt at nå reduktionsmålene for de danske udled-
ninger uden et væsentligt bidrag fra landbruget. Desuden
har den procentvise reduktion i udledningen fra andre kilder
såsom rensningsanlæg været væsentligt større end reduktio-
nerne fra landbruget siden 1990. Udledningen af nærings-
stoffet fosfor kan også være et problem for kystvande på
samme måde som kvælstof, men her foreligger der ikke
fastlagte mål for reduktioner i udledningerne.
1
Kvælstof fra
landbruget kan også forurene grundvandet. Dette indgår
ikke i kapitlets grundscenarier, men der foretages beregnin-
ger på alternative scenarier, som illustrerer, hvordan hensyn
til grundvand vil kunne indgå i reguleringen. Andre effekter
af at regulere landbrugets kvælstofanvendelse, såsom effek-
ter på klima og luftforurening, indgår ikke i beregningerne i
1)
Der ses i kapitlet ikke på målsætninger i EU’s vandrammedirek-
tiv om god økologisk tilstand i søer og åer, hvor de primære pro-
blemer er henholdsvis fosfor i søer og fysiske tilstande i vandløb
og i færre tilfælde kvælstof.
Forskellige
reguleringer
analyseres
Samarbejde med
eksterne
Afgrænsning
af kapitlet
18
SAU, Alm.del - 2016-17 - Bilag 133: Diskussionsoplæg 2017, fra Det Miljøøkonomiske Råd
1728070_0022.png
I.2 Kvælstof og vandrammedirektivet
kapitlet, men mulighederne for at inddrage disse effekter
ved udformningen af de forskellige reguleringer diskuteres.
Reduktionsmål
for 2021 tages for
givet i analyserne
Der tages i analyserne udgangspunkt i de opstillede mål for
reduktioner i kvælstofudledningen i vandområdeplanerne
for 2021. Hvorvidt det er de niveauer af reduktioner, der
reelt afspejler indsatsbehovet for at nå målet om god øko-
logisk tilstand i de enkelte kystvande, vurderes ikke i kapit-
let. Det forventes ikke, at et ændret indsatsbehov vil ændre
væsentligt på det relative forhold mellem de samfundsøko-
nomiske omkostninger ved de forskelle former for regule-
ringer. Reduktionsmål i forhold til indsatsbehovet i 2027 er
væsentligt større og mere differentieret. Den relative gevinst
ved at benytte en mere omkostningseffektiv regulering for-
ventes derfor at stige.
Afsnit I.2 beskriver kvælstoffets vej fra mark til kystvand
og målsætningerne i vandområdeplanerne. I afsnit I.3 gen-
nemgås de forskellige reguleringer, som analyseres i det
efterfølgende afsnit. I afsnit I.4 gennemføres en række ana-
lyser af reguleringerne, herunder de årlige samfundsøkono-
miske omkostninger ved hver type regulering. Forskellige
forhold vedrørende implementering af de forskellige typer
regulering diskuteres i afsnit I.5. Kapitlet afsluttes med en
opsummering og endelige konklusioner i afsnit I.6.
Indhold i kapitlet
I.2
Indhold i afsnittet
Kvælstof og vandrammedirektivet
Dette afsnit indledes med en gennemgang af kvælstoffets
vej fra mark til kystvand og af, hvordan udledningen til
kystvandet kan reduceres. Derefter beskrives de planlagte
indsatser for kvælstofreduktion, som er beskrevet i vand-
områdeplanerne. Formålet med indsatserne er primært at
opnå “god økologisk tilstand” i de danske kystvande, som
defineret og krævet i EU’s vandrammedirektiv fra 2000. Til
sidst i afsnittet er beskrevet en række andre miljøeffekter
knyttet til landbrugsproduktion, som er relevante for indret-
ningen af reguleringen af kvælstofudledningen.
19
SAU, Alm.del - 2016-17 - Bilag 133: Diskussionsoplæg 2017, fra Det Miljøøkonomiske Råd
1728070_0023.png
Regulering af landbrugets kvælstofudledning. Diskussionsoplæg. Økonomi og Miljø 2017
Kvælstoffets vej til kystvandet
Der ses primært
på landbrugets
udledning
Det er primært landbruget, som står for udledningen af
kvælstof. Således kommer omkring 70 pct. af de danske
udledninger af kvælstof til kystvandene fra landbruget, jf.
Styrelsen for Vand- og Naturforvaltning (2016a-d).
2
Ca. 10
pct. kommer fra såkaldte punktkilder (rensningsanlæg,
dambrug mv.), mens de sidste 20 pct. kommer fra den na-
turlige udledning – baggrundsbelastningen. Kvælstofudled-
ningen fra punktkilder er reduceret med 73 pct. siden 1990,
mens udledningen fra diffuse kilder (primært landbrug men
også baggrundsbelastning og spredt bebyggelse) til sam-
menligning kun er reduceret med 36 pct. siden 1990, jf.
Jensen mfl. (2016b) og Thodsen mfl. (2016). Derfor anses
en reduktion af udledningen fra landbruget som helt nød-
vendig, hvis den samlede kvælstofbelastning skal reduceres.
Når jorden dyrkes, tilføres kvælstof i form af husdyr-
gødning og kunstgødning for at øge udbyttet af afgrøderne.
En del af dette kvælstof ender i kystvandene. Der er mange
faktorer, som påvirker, hvor stor en del af den anvendte
mængde kvælstof, der gør det. En betydelig del af det til-
førte kvælstof optages i afgrøderne og fjernes på den måde
igen, når afgrøderne høstes. Størstedelen af det kvælstof,
som ikke fjernes ved høst, trænger ned i jordens rodzone.
En del af kvælstoffet i rodzonen havner med tiden i kyst-
vandene. Retentionen betegner, hvor stor en del af kvælstof-
fet i rodzonen, der
ikke
når frem til kystvandet. En høj re-
tention betyder således, at kun en lille del af det kvælstof,
der tabes fra rodzonen, havner i kystvandet. Det kvælstof,
som havner i kystvandet, betegnes i dette kapitel som
udled-
ningen
af kvælstof. Boks I.1 uddyber de anvendte begreber.
En varierende
andel af tilført
kvælstof ender i
kystvandene
2)
Til nogle kystvandområder kommer også kvælstofudledninger fra
andre lande. For at opnå god økologisk tilstand skal også udled-
ningerne herfra reduceres. De opsatte mål i vandområdeplanerne
gælder udelukkende den danske del af kvælstofudledningen.
20
SAU, Alm.del - 2016-17 - Bilag 133: Diskussionsoplæg 2017, fra Det Miljøøkonomiske Råd
1728070_0024.png
I.2 Kvælstof og vandrammedirektivet
Boks I.1
Kvælstoffets vej fra mark til kystvand
Udvaskning fra rodzonen
En del af det kvælstof, som tildeles afgrøderne via gødning, fjernes igen, når af-
grøderne høstes, eller fordamper som ammoniak ved udbringning af gødningen,
jf. figur A. Størstedelen af det kvælstof, som er tilbage efter høst,
udvaskes
fra
rodzonen til grundvandet, hvor det i vidt omfang omdannes til luftformigt kvæl-
stof, der ikke er skadeligt. Andet omdannes i stedet til lattergas, som er en kraftig
drivhusgas. Noget af kvælstoffet omdannes ikke, men bliver i grundvandet som
nitrat og ender med tiden i vandløb, vådområder mv. En mindre del af kvælstoffet
i rodzonen
udvaskes
direkte til vandløb, vådområder mv. Af det kvælstof, som er
tilbage i rodzonen, kan noget bindes til organisk materiale i jorden og på den må-
de forblive i jorden, hvor en del af det kan udnyttes af næste års afgrøder. Kvæl-
stoffet kan også her i mindre omfang omdannes til luftformigt kvælstof eller til
lattergas.
Udledning af kvælstof
Undervejs i transporten ud til kystvandet gennem vandløb, vådområder og søer
kan kvælstoffet også blive omdannet til luftformigt kvælstof eller lattergas, jf. fi-
gur A. Jo længere tid kvælstoffet er om at komme ud til kystvandet, jo mere kvæl-
stof kan nå at blive omdannet. Særligt i søer og vådområder er opholdstiden for
kvælstoffet lang.
Udledningen
af kvælstof betegner den andel af det udvaskede
kvælstof, som når frem til kystvandet.
Retentionen
betegner den andel af det ud-
vaskede kvælstof, som omdannes og dermed
ikke
når frem til kystvandet.
Figur A
Retention af kvælstof i grundvand og overfladevand
Tilførsel:
- husdyrgødning
- kunstgødning
- atmosfæren
Fraførsel:
- høst
- fordampning
Drænvand /
overflade-
afstrømning
Retention/omdannelse i
vandmiljøet
Vådområde
Å
Å
Kystvand
Retention/omdannelse i grundvand
21
SAU, Alm.del - 2016-17 - Bilag 133: Diskussionsoplæg 2017, fra Det Miljøøkonomiske Råd
1728070_0025.png
Regulering af landbrugets kvælstofudledning. Diskussionsoplæg. Økonomi og Miljø 2017
Boks I.1
Kvælstoffets vej fra mark til kystvandvand, fortsat
Retention
Figur B viser den geografiske variation i retentionen. De røde områder er områder
med lav retention, hvor det meste af det udvaskede kvælstof ender i kystvandet.
De mørkegrønne områder er til gengæld der, hvor størstedelen af det udvaskede
kvælstof fra rodzonen
ikke
når ud til kystvandet. Figuren viser også en inddeling i
90 delvandoplande, som hver især leder kvælstof til et bestemt kystvandområde.
Som det ses af figuren kan retentionen variere betydeligt inden for det samme
delvandopland.
Figur B
Retention fra rodzone til kystvand
Anm.:
Kilde:
Kortet viser retentionen fra rodzone til kystvand samt inddelingen i 90 delvandoplande,
som leder til hvert sit kystvandområde.
Højberg mfl. (2015).
22
SAU, Alm.del - 2016-17 - Bilag 133: Diskussionsoplæg 2017, fra Det Miljøøkonomiske Råd
1728070_0026.png
I.2 Kvælstof og vandrammedirektivet
Reduktion af kvælstofudledningen
For at reducere udledningen af kvælstof til kystvandet kan
man anvende en række forskellige virkemidler, som sætter
ind forskellige steder i kvælstofkredsløbet.
Mindre og
ændret brug af
gødning påvirker
udvaskning
En mindre tilførsel af kvælstof til afgrøderne betyder, at
udvaskningen reduceres. Udvaskningen fra rodzonen kan
også reduceres ved at forbedre udnyttelsen af gødningen, så
en større del af gødningen optages i planterne. Udnyttelses-
graden kan f.eks. øges ved at ændre måden og tidspunktet
gødningen bliver tildelt afgrøderne eller ved at ændre på
foderet til husdyrene eller håndteringen af husdyrgød-
ningen. Tidspunkter for såning og pløjning kan på samme
måde have indvirkning på, hvor meget af kvælstoffet der
udnyttes eller beholdes i jorden til næste års afgrøder.
Planterne har sværere ved at udnytte kvælstoffet i husdyr-
gødning end i kunstgødning. Det betyder, at husdyrgødning
udvasker en større andel af kvælstoffet end kunstgødning.
Derfor vil en reduktion af andelen af gødning, der kommer
fra husdyr, også betyde mindre udvaskning. Mængden af
husdyrgødning kan nedbringes ved at reducere antallet af
dyr eller anvende gødningen i biogasanlæg.
En øget udnyttelsesgrad kan også bestå i at vælge afgrøder,
som udvasker mindre, enten fordi de tilføres mindre kvæl-
stof, eller fordi de er bedre til at udnytte gødningen. Der er
således stor forskel på udvaskningen pr. ha afhængig af
afgrødevalg, jf. tabel I.1. Det ses, at der også er forskel på
udvaskningen afhængig af jordtype. Man kan også mindske
udvaskningen ved f.eks. at plante efterafgrøder. Efterafgrø-
der bevirker, at en større del af det overskydende kvælstof
forbliver i jorden, så det kan anvendes af næste års afgrøder.
Husdyrgødning
udvasker mere
Afgrødevalg kan
være afgørende
23
SAU, Alm.del - 2016-17 - Bilag 133: Diskussionsoplæg 2017, fra Det Miljøøkonomiske Råd
1728070_0027.png
Regulering af landbrugets kvælstofudledning. Diskussionsoplæg. Økonomi og Miljø 2017
Tabel I.1
Udvaskning fra forskellige afgrøder
Lerjord
Sandjord
--------- Kg kvælstof pr. ha ---------
74
78
66
84
54
65
26
31
4
5
-18
-39
Vårbyg
Hvede
Havre
Frøgræs
Brak
Efterafgrøder
Anm.:
Kilde:
Udvaskningen pr. ha for forskellige typer af afgrøder samt
effekten af efterafgrøder. Der er for de forskellige typer af af-
grøder taget udgangspunkt i driftsøkonomisk optimal brug af
kunstgødning. Bruges husdyrgødning er udvaskningen højere.
Forhold som nedbør kan også have betydning for udvasknin-
gen. Effekten af efterafgrøder er et gennemsnit af vurderinger
af effekt med henholdsvis høj og lav husdyrtæthed – dvs. om
der bliver gødet meget eller lidt med husdyrgødning.
Eriksen mfl. (2014) og Jensen (2017).
Udtage jord til
andre kvælstof-
reducerende
tiltag
Mere vidtgående ændringer af dyrkningspraksis kan være
braklægning eller omlægning fra almindelig landbrugsdrift
til f.eks. skov, randzoner mv. Fordi der med disse omlæg-
ninger ikke gødes, eller gødes langt mindre, er udvaskning-
en fra arealerne også mindre. Det er også muligt f.eks. at
etablere nye vådområder, som bidrager til at forsinke vand-
ets vej til kystvandet yderligere. Dette øger omdannelsen af
kvælstof og reducerer dermed udledningen til kystvandet.
Dette betyder, at retentionen i området øges, jf. boks I.1.
Der kan desuden etableres såkaldte konstruerede minivåd-
områder, som reducerer drænvandets indhold af nærings-
stoffer, inden det udledes til vandmiljøet.
Der foreligger efterhånden en del forskning i forskellige
såkaldte marine virkemidler, som enten reducerer mængden
af kvælstof i selve kystvandet eller øger stabiliteten i kyst-
vandet, så det bedre kan håndtere mængden af kvælstof, jf.
Eriksen mfl. (2014). Etablering af stenrev og plantning af
ålegræs, er virkemidler som øger stabiliteten. Muslingeop-
dræt og tangdyrkning er eksempler på kvælstofreducerende
Der forskes også
i effekten af
marine
virkemidler
24
SAU, Alm.del - 2016-17 - Bilag 133: Diskussionsoplæg 2017, fra Det Miljøøkonomiske Råd
1728070_0028.png
I.2 Kvælstof og vandrammedirektivet
virkemidler, som kan fjerne kvælstoffet fra vandet ved høst
af muslingerne eller tangen.
Stor variation i
omkostninger og
potentiale
Der er forskel på, hvor dyre de forskellige virkemidler er.
Der kan således være stor variation i omkostningerne ved
forskellige virkemidler afhængig af jordbundsforhold, reten-
tion, husdyrtæthed, og hvad der bliver dyrket. Det betyder,
at et virkemiddel kan være mest omkostningseffektivt et
sted, mens et andet virkemiddel er mest omkostningseffek-
tivt et andet sted.
3
Samtidig er der grænser for i hvor stor
udstrækning, de forskellige virkemidler kan anvendes. For
eksempel kan efterafgrøder kun anvendes i forbindelse med
dyrkning af bestemte afgrøder, mens vådområder kun kan
placeres på egnede steder, jf. Eriksen mfl. (2014).
Indsatser til opfyldelse af EU's vandrammedirektiv
Mål fra EU om
“god økologisk
tilstand”
Med EU's vandrammedirektiv fra 2000 har Danmark for-
pligtet sig til at opnå såkaldt “god økologisk status” i alle
kystvande, søer, vandløb og grundvandsforekomster. Dette
betyder, at tilstanden i de enkelte vandområder kun må af-
vige lidt fra, hvordan de ville have været i uberørt tilstand.
Man bedømmer den økologiske status i kystvande ud fra
tilstedeværelsen af bestemte planter, dyr og mængden af
alger. Udledning af kvælstof kan have en væsentlig ind-
flydelse på den økologiske tilstand i kystvandene, jf. Hen-
riksen (2012) og Thodsen mfl. (2016).
Modelberegninger viser, at den årlige udledning af kvælstof
i perioden 1990 til 2015 er reduceret fra omkring 100.000
ton pr. år til omkring 60.000 ton pr. år, jf. Thodsen mfl.
(2016). Udledningen er således reduceret væsentligt hen-
over de sidste 25 år, men forskere vurderer, at der stadig er
behov for at nedbringe udledningen en del steder, for at nå
målsætningerne for vandmiljøet jf. Jensen mfl. (2016b) og
Timmermann mfl. (2016).
Udledning af
kvælstof skal
fortsat reduceres
en del steder
3)
Der kan være andre samfundsøkonomiske fordele forbundet med
de forskellige virkemidler, såsom reduceret udledning af drivhus-
gasser, rekreative værdier mv. som kan have betydning for, hvor
det er billigst at anvende et virkemiddel. Dette indgår ikke i ana-
lyserne i kapitlet.
25
SAU, Alm.del - 2016-17 - Bilag 133: Diskussionsoplæg 2017, fra Det Miljøøkonomiske Råd
1728070_0029.png
Regulering af landbrugets kvælstofudledning. Diskussionsoplæg. Økonomi og Miljø 2017
Stor geografisk
variation i
indsatsbehov
Der er stor geografisk variation i, hvor meget kvælstof-
udledningen skal reduceres. Det afhænger blandt andet af,
hvor robust vandområdet er i forvejen, og hvor stor kvæl-
stofudledningen er i dag. Vandområdeplanerne angiver,
hvor meget den årlige kvælstofudledning skal reduceres
med (indsatsbehovet) for at nå målet i hvert af de 90 del-
vandoplande i Danmark. Indsatsbehovet er opgjort i forhold
til en forventet baselinebelastning i 2021, dvs. den belast-
ning man forventede ville indtræffe i 2021, hvis ikke ind-
satserne i vandområdeplanerne blev udført. Indsatsbehovet i
forskellige delvandoplande varierer fra negativt (dvs. ud-
ledningen må øges) til over 2.000 ton kvælstof pr. år. Sum-
men af de positive indsatsbehov er på i alt ca. 13.000 ton
kvælstof pr. år. Andre steder kan udledningerne øges med i
alt 1.000 ton. Ved opfyldelse af indsatsbehovene bringes de
samlede kvælstofudledninger på landsplan således ned på
omkring 45.000 ton pr. år (fra omkring 57.000 ton i dag).
Det planlægges, at den årlige udledning reduceres med knap
7.000 ton frem mod 2021, mens resten af de 13.000 ton
udskydes til perioden 2021-27, jf. Styrelsen for Vand- og
Naturforvaltning (2016a). De danske vandområdeplaner er
nærmere beskrevet i boks I.2.
Et indsatsbehov på ca. 6.000 ton udskydes til perioden
2021-27. Der er udskudt en relativt større andel af indsats-
behovet i delvandoplande med et stort indsatsbehov, jf. boks
I.2. Derved har man også udskudt en betydelig del af beho-
vet for at differentiere reguleringen til efter 2021.
Væsentlig del af
differentiering
udskudt
26
SAU, Alm.del - 2016-17 - Bilag 133: Diskussionsoplæg 2017, fra Det Miljøøkonomiske Råd
1728070_0030.png
I.2 Kvælstof og vandrammedirektivet
Boks I.2
De danske vandområdeplaner
I EU's vandrammedirektiv er sat et mål om “god økologisk tilstand” i alle kyst-
vande, søer, vandløb samt “god grundvandstilstand” i alle EU-lande inden 2015.
Hvis dette ikke er opnået, kan man for de enkelte vandområder få udsættelse til
2021 eller til 2027, hvis det f.eks. vurderes at blive “uforholdsmæssigt dyrt” at nå
målet. I hvert land udarbejdes indsatsplaner – i Danmark kaldet vandområde-
planer – for perioden frem til 2021 henholdsvis 2027. Disse beskriver, hvordan
målet for hvert vandområde skal opnås.
Danmark er opdelt i 23 hovedvandoplande og 90 delvandoplande, som hver især
leder vand og kvælstof ud til forskellige dele af Danmarks kystvande. Vandom-
rådeplanerne indeholder mål for reduktion i udledningen af kvælstof for hver af
de 90 delvandoplande, jf. Styrelsen for Vand- og Naturforvaltning (2016a).
Indsatsbehovet, dvs. den krævede reduktion i årlige kvælstofudledninger, er be-
regnet for hvert delvandopland ud fra den forventede udledning i 2021 (baseline-
fremskrivning). Baselinefremskrivningen er baseret på eksisterende eller planlagte
reguleringer og tiltag, jf. Jensen mfl. (2016a).
a
Der er 16 delvandoplande med et
negativt indsatsbehov, dvs. hvor man kan udlede mere kvælstof (de blå søjler i
figur A). Den fulde højde af søjlerne i figur A viser indsatsbehovet i hvert del-
vandopland angivet i kg kvælstof pr. ha landbrugsjord. Den brune del af søjlerne
viser den del af indsatsbehovet, som antages opnået med en ny målrettet regule-
ring af landbrugets kvælstofudledning besluttet med Fødevare- og landbrugs-
pakken fra 2015. Denne målrettede regulering beskrives nærmere i afsnit I.3. Den
grønne del af søjlen illustrerer de øvrige planlagte indsatser i perioden frem til
2021. Størstedelen af disse er såkaldte “kollektive virkemidler”, dvs. etablering af
vådområder, minivådområder, skov og udtagning af lavbundsjorde. Dertil kom-
mer effekten af indsatser for punktkilder samt, at en del af EU’s arealstøtte er be-
tinget af, at bedriften udlægger 5 pct. af arealet til miljøfokusområder, dvs. brak,
randzoner mv. Efterafgrøder kan også benyttes til at opfylde dette krav. Der er 40
områder, hvor målet forventes at blive nået i 2021. Dermed udskydes målopfyl-
delsen i de resterende 50 områder til perioden 2021-27. Den røde del af søjlerne
illustrerer den del af indsatsen, som udskydes.
a)
Baselinefremskrivningen indeholder blandt andet effekten af, at Fødevare- og landbrugspakken
fra 2015 udfaser den eksisterende normregulering af landbrugets kvælstofanvendelse.
27
SAU, Alm.del - 2016-17 - Bilag 133: Diskussionsoplæg 2017, fra Det Miljøøkonomiske Råd
1728070_0031.png
Regulering af landbrugets kvælstofudledning. Diskussionsoplæg. Økonomi og Miljø 2017
Boks I.2
Figur A
De danske vandområdeplaner, fortsat
Indsatsbehov og indsatser for 89 delvandoplande
Kg kvælstof pr. ha
35
Negativt indsatsbehov
30
Ny målrettet regulering
Øvrige indsatser
25
Udskudt til 2021-27
20
15
10
5
0
-5
-10
0
10
20
30
40
50
Delvandoplande
60
70
80
Anm.:
Kilde:
Figuren viser indsatsbehovet i kg udledt kvælstof pr. ha landbrugsjord i 89 af de 90 del-
vandoplande. (Et enkelt lille delvandopland med et meget stort indsatsbehov pr. ha er ude-
ladt af figuren.) De blå søjler viser det negative indsatsbehov i 16 delvandoplande, mens
den fulde højde af de øvrige søjler viser det totale indsatsbehov i de delvandoplande, som
har et positivt indsatsbehov.
Styrelsen for Vand- og Naturforvaltning (2016a) og egne beregninger.
De væsentligste
indsatser i
vandområde-
planerne
De væsentligste indsatser for at opnå en reduktion i den
årlige udledning på de knap 7.000 ton kvælstof i 2021 be-
står af en ny målrettet kvælstofregulering i form af såkaldte
udvaskningsadgange,
som er planlagt at skulle stå for halv-
delen af reduktionen med ca. 3.500 ton, samt anvendelsen af
såkaldte “kollektive virkemidler”, som er planlagt at skulle
stå for en reduktion på ca. 2.500 ton, jf. tabel I.2. De “kol-
lektive virkemidler” er primært etablering af vådområder og
minivådområder, som kan etableres frivilligt af landmænd
mod et offentligt tilskud. De sidste 1.000 ton kvælstofreduk-
28
SAU, Alm.del - 2016-17 - Bilag 133: Diskussionsoplæg 2017, fra Det Miljøøkonomiske Råd
1728070_0032.png
I.2 Kvælstof og vandrammedirektivet
tion består af miljøkrav bundet op på EU’s arealstøtte, samt
indsatser for punktkilder, jf. boks I.2.
Tabel I.2
Kvælstofindsats frem mod 2021
Reduktion i udledning
1.000 ton kvælstof pr. år
3,5
2,5
1,0
7,0
Ny målrettet regulering
Kollektive virkemidler
Sum af andre mindre indsatser
I alt
Anm.:
Kilde:
Tabellen viser effekten i 2021.
Styrelsen for Vand- og Naturforvaltning (2016a).
Udformning af
ny kvælstof-
regulering endnu
ikke vedtaget
Den nye målrettede kvælstofregulering med udvasknings-
adgange er skitseret i den politiske aftale om Fødevare- og
landbrugspakken fra december 2015. Hvordan disse ud-
vaskningsadgange kommer til at blive udformet, er dog
endnu ikke vedtaget. I afsnit I.3 diskuteres forskellige mo-
deller for regulering af kvælstofudledningen fra landbruget.
I den sammenhæng ses der nærmere på, hvordan den be-
skrevne regulering med udvaskningsadgange kan tolkes.
Med aftalen om Fødevare- og landbrugspakken blev det
besluttet at lempe en stor del af den eksisterende regulering,
og at en del af den i udgangspunktet planlagte regulering
ikke skal implementeres. Indsatsbehovet på en reduktion i
årlig udledning på 7.000 ton kvælstof frem mod 2021 be-
skrevet i vandområdeplanerne er beregnet efter Fødevare-
og landbrugspakken blev vedtaget og medtager således
effekten af den udfasede regulering. Lempelsen af den eksi-
sterende regulering sker allerede i løbet af 2016-17, mens
den målrettede regulering først træder i kraft i løbet af 2018-
19. Dette kan man se af tabel I.3, som viser de lempelser,
som Fødevare- og landbrugspakken medfører år for år samt
de indsatser, som skulle modsvare dette og opnå målene i
vandområdeplanerne frem mod 2021. Den øverste række
viser effekten af den lempede regulering, som indgår i base-
linefremskrivningen af udledningen i 2021. De to nederste
29
Reduceret indsats
på kort sigt
SAU, Alm.del - 2016-17 - Bilag 133: Diskussionsoplæg 2017, fra Det Miljøøkonomiske Råd
1728070_0033.png
Regulering af landbrugets kvælstofudledning. Diskussionsoplæg. Økonomi og Miljø 2017
rækker viser de indsatser, som er implementeret med vand-
områdeplanerne. Bemærk dog, at indsatserne i 2021 sum-
mer til 7.600 ton kvælstof og ikke de 7.000 som angivet i de
endelige vandområdeplaner, jf. tabel I.2. Dette skyldes
blandt andet, at man efter aftalen om Fødevare- og land-
brugspakken genberegnede indsatsbehovets fordeling mel-
lem danske og udenlandske reduktioner.
Aftalen udskyder
målopfyldelse
nogen steder
Indgåelse af aftalen om Fødevare- og landbrugspakken be-
tyder, at de totale udledninger af kvælstof til kystvandene er
større for perioden 2016-19 end før aftalen blev indgået.
Totalt set udledes der mere henover perioden 2016-21 med
denne aftale end uden. Dette betyder, at tilstanden i nogle
kystvande kan blive forværret, eller det kan forsinke, hvor-
når god økologisk tilstand opnås. Hvis tilstanden forværres
kan det betyde, at fremtidige kvælstofudledninger skal re-
duceres yderligere for at nå målet om god økologisk til-
stand, da økosystemet får sværere ved at genetablere sig.
Dette fænomen, hysterese, er beskrevet nærmere i De Øko-
nomiske Råds formandskab (2015). Der kan således være
en samfundsøkonomisk omkostning forbundet med at nå
målet langsommere. Der er dog efterfølgende etableret en
midlertidig efterafgrødeordning, hvor yderligere efteraf-
grøder skal reducere udledningen i 2017 med 1.400 ton og i
2018 med 1.200 ton. Disse efterafgrøder skal placeres, hvor
effekten på kystvande eller grundvand forventes at være
størst. Ordningen skal forhindre direktivstridige merudled-
ninger til grundvand og kystvand.
30
SAU, Alm.del - 2016-17 - Bilag 133: Diskussionsoplæg 2017, fra Det Miljøøkonomiske Råd
1728070_0034.png
I.2 Kvælstof og vandrammedirektivet
Tabel I.3
Effekter af aftalen om Fødevare- og landbrugspakken
2016
2017
2018
2019
2020
2021
---------- 1.000 ton kvælstof udledt ----------
3,5
5,0
5,3
5,5
5,8
5,9
-
-
-
-1,3
-2,5
-3,8
-1,6
-2,5
-3,0
-2,9
-3,5
-3,8
1,9
2,5
2,3
1,4
-0,3
-1,6
Lempet regulering mv.
a)
Målrettet regulering
Andre indsatser
Samlet effekt af aftalen
a)
Anm.:
Kilde:
Primært udfasning af reducerede normer og dertil andre mindre lempelser.
Tabellen viser effekten af aftalen om Fødevare- og landbrugspakken. Disse tal blev fremlagt i
februar 2016, før vandområdeplanerne var på plads, og de endelige tal i vandområdeplanerne
for 2021 afviger derfor fra denne tabel – f.eks. er den samlede effekt af den målrettede regu-
lering i 2021 kun 3.500 ifølge vandområdeplanerne og ikke 3.800 ton, som vist i denne tabel.
Den afskaffede regulering i første række indgår i baselinefremskrivningen for kvælstofudled-
ningen og udgør dermed en del af indsatsbehovet. De to næste rækker er de indsatser, som er
planlagt for at nå målet i vandområdeplanerne i 2021.
Miljø- og Fødevareministeriet (2016).
Indsats i Danmark versus andre lande
Større pres på
landbrug i
Danmark end
i nabolande
Vandrammedirektivet fastslår et fælles mål om god økolo-
gisk tilstand i alle EU-lande, uafhængig af de enkelte landes
udgangspunkt med hensyn til geografi, arealanvendelse og
hydrologi. En række særlige danske forhold medfører, at
danske landmænd skal reguleres hårdere end landmænd i
andre lande omkring os, for at nå dette fælles mål, jf. De
Økonomiske Råds formandskab (2015). Det skyldes blandt
andet, at Danmark har en stor andel af kystvande og kystlin-
je i forhold til det totale areal, og at der er relativt kort fra
mark til kystvand. Samtidig er Danmarks mange indre far-
vande særligt følsomme for tilførslen af kvælstof sammen-
lignet med mere åbne farvande, som de fleste andre lande vi
sammenligner os med har en større andel af. Dette gælder
f.eks. Holland, Storbritannien og store dele af Tyskland.
Danmark har derudover en af de største andele af intensivt
dyrket areal i EU. Alt i alt betyder det, at der skal gøres
relativt meget i Danmark for at nå målene i vandramme-
direktivet. Da landmændene tegner sig for hovedparten af
udledningerne, betyder det, at dansk landbrug skal reguleres
hårdere end landbruget i vores nabolande.
31
SAU, Alm.del - 2016-17 - Bilag 133: Diskussionsoplæg 2017, fra Det Miljøøkonomiske Råd
1728070_0035.png
Regulering af landbrugets kvælstofudledning. Diskussionsoplæg. Økonomi og Miljø 2017
Høje omkost-
ninger muliggør
dispensation fra
EU-mål
Det særligt høje indsatsbehov i det danske landbrug tilsiger,
at det særligt for Danmark kan være relevant at vurdere, om
omkostningerne er uforholdsmæssigt store i forhold til ge-
vinsterne. Dette kan anvendes som grundlag for en dispen-
sation fra vandrammedirektivet til enten at udskyde eller
slække på målsætningen for enkelte delvandoplande. Ufor-
holdsmæssigt store omkostninger er anvendt som begrun-
delse for en stor del af de kvælstofmålsætninger, som er
udskudt til efter 2021. Hvordan disse omkostninger er op-
gjort, og om de er sammenholdt med gevinsterne, fremgår
dog ikke af vandområdeplanerne, jf. Styrelsen for Vand- og
Naturforvaltning (2016a).
I kapitlet tages indsatsbehovet for givet. Uanset om det ud
fra en samfundsøkonomisk vinkel er det rette indsatsbehov,
vil der være en samfundsøkonomisk gevinst ved at tilrette-
lægge den givne reduktionsindsats omkostningseffektivt.
Andre miljøeffekter
Omkostnings-
effektivitet vigtig
Relevant også at
se på andre
effekter
Kvælstofudledningen til de danske kystvande kommer, som
nævnt, primært fra landbrugets anvendelse af gødning. Det-
te er dog ikke den eneste miljøeffekt ved brug af gødning. I
forbindelse med regulering af kvælstofudvaskningen kan
det derfor også være nødvendigt at se på de øvrige miljø-
effekter, hvoraf nogle også er pålagt internationale forplig-
telser i form af blandt andet EU’s grundvandsdirektiv og
habitatdirektiv. Boks I.3 skitserer kort de væsentligste mil-
jøeffekter. I resten af kapitlet tages der primært udgangs-
punkt i miljøeffekten i kystvandene, men de øvrige miljø-
effekter diskuteres også. Der ses også i analyserne nærmere
på effekten i grundvandet.
32
SAU, Alm.del - 2016-17 - Bilag 133: Diskussionsoplæg 2017, fra Det Miljøøkonomiske Råd
1728070_0036.png
I.2 Kvælstof og vandrammedirektivet
Boks I.3
Miljøeffekter forbundet med brug af gødning i landbruget
Når kvælstof udvaskes kan det ende i:
Grundvandet, hvor det kan give for højt indhold af nitrat, hvilket kan være
sundhedsskadeligt
Næringsfattige naturtyper, som ikke kan tåle den øgede tilførsel af kvælstof
Søer og kystvande, hvor for højt næringsstofindhold kan ødelægge det na-
turlige økosystem
Flere EU-direktiver sætter mål og rammer for begrænsningen af ovennævnte mil-
jøeffekter, herunder EU’s grundvands-, nitrat-, vandramme- og habitatdirektiver.
Næringsstoffet fosfor indeholdt i gødning, kan ligeledes være et problem for øko-
systemet i særligt søer og i nogle tilfælde også i fjorde.
Husdyrbrug og anvendelse af husdyrgødning betyder desuden, at kvælstofforbind-
elsen ammoniak spredes med luften. Det kan give anledning til:
Algevækst på f.eks. bygninger
Reduktion i biodiversiteten: For høje tilførsler af kvælstof til naturtyper så-
som højmoser, der naturligt indeholder meget lave niveauer af kvælstof, le-
der til udkonkurrering af arter og dermed færre arter
Helbredsomkostninger: ammoniak omdannes til partikler, som er sund-
hedsskadelige
Derudover kan anvendelsen af kvælstof give udledninger af lattergas samt andre
relaterede drivhusgasser.
Udvaskning af
kvælstof kan
belaste
grundvand
Når kvælstof udvaskes havner en del, som beskrevet i boks
I.1, i grundvandet. Her kan det give anledninger til for høje
koncentrationer af nitrat, som kan være sundhedsskadeligt,
så grundvandet ikke kan anvendes som drikkevand. Grund-
vandsdirektivet sætter grænseværdier for, hvor meget nitrat,
der må være i grundvandet. Grundvand leder også i nogle
tilfælde til vandløb og kvælstoffet kan ad den vej belaste
kystvandet. Grundvandet kan også lede kvælstof til våde
naturområder, som ikke kan tåle for høje kvælstoftilførsler.
Som følge af EU’s habitatdirektiv er Danmark forpligtet til
at beskytte en del af disse naturområder mod for høj kvæl-
stoftilførsel.
33
SAU, Alm.del - 2016-17 - Bilag 133: Diskussionsoplæg 2017, fra Det Miljøøkonomiske Råd
1728070_0037.png
Regulering af landbrugets kvælstofudledning. Diskussionsoplæg. Økonomi og Miljø 2017
I.3
Regulering bør
målrettes tre
forskellige
forhold
Beskrivelse af reguleringsformer
Regulering af landbrugets kvælstofudledning bør være mål-
rettet både retention og indsatsbehov for at opnå de danske
mål for reduktioner i kvælstofudledningen omkostnings-
effektivt. Dette skyldes, at der er store forskelle i indsats-
behovet mellem de forskellige delvandoplande og i reten-
tionen indenfor de forskellige delvandoplande, jf. afsnit I.2.
Desuden kan der være stor forskel på bedrifters marginale
reduktionsomkostninger. Det er derfor også vigtigt, at der er
fleksibilitet i reguleringen, så reduktionerne kan ske der,
hvor det er billigst.
Tidligere analyser af omkostningerne ved at nå målene i
vandområdeplanerne viser generelt, at omkostningerne ved
en regulering, som ikke er målrettet forskelle i retentionen,
er højere, end hvis reguleringen målrettes retentionen, jf. De
Økonomiske Råds formandskab (2015) og Jacobsen (2012,
2014 og 2016).
I dette afsnit beskrives forskellige former for regulering af
landbrugets kvælstofudledning, som enten har været an-
vendt eller er foreslået anvendt. I afsnittet sammenlignes
fordele og ulemper ved de forskellige former for regulering
med en (hypotetisk) optimal regulering af kvælstofudled-
ninger, hvor regulatoren har fuld information om udledning-
en fra hver enkelt bedrift. Der ses på, hvor målrettede regu-
leringerne er i forhold til indsatsbehov og retention, og hvor
fleksible de er i forhold til at tage hensyn til forskelle i be-
drifters reduktionsomkostninger. I afsnit I.4 præsenteres
konkrete beregninger af de samfundsøkonomiske omkost-
ninger og fordelingsvirkningerne ved at mindske udlednin-
gen af kvælstof med de beskrevne former for regulering.
Målretning
reducerer
omkostninger
Sammenligning
af forskellige
reguleringstyper
med optimal
regulering
34
SAU, Alm.del - 2016-17 - Bilag 133: Diskussionsoplæg 2017, fra Det Miljøøkonomiske Råd
1728070_0038.png
I.3 Beskrivelse af reguleringsformer
Optimal regulering
Korrekt
incitament
afspejler
eksternaliteter
Hvis der ikke er nogen regulering af kvælstofudledningen,
har landbruget ikke økonomisk incitament til at tage hensyn
til skaden i vandmiljøet, når der vælges husdyrhold, afgrø-
der og hvor meget gødning, der tilføres den enkelte afgrøde.
En optimal regulering bør korrigere incitamenterne, så land-
mænd indregner de samfundsøkonomiske omkostninger ved
udledningen af kvælstof til kystvandet. Dette vil kræve, at
reguleringen er målrettet følgende tre dimensioner:
Korrekt
incitament:
afgift på faktisk
udledning
Geografiske forskelle i behovet for at reducere
kvælstofudledningerne
Forskelle i retentionen, der medfører, at samme ind-
sats forskellige steder ikke har samme effekt
Forskelle mellem bedrifters omkostninger ved at re-
ducere udledningen af et kg kvælstof givet retention
I princippet ville en differentieret afgift på den enkelte be-
drifts
faktiske
udledning til kystvandet kunne give det rette
incitament til hvert enkelt landbrug, hvis en sådan differen-
tieret afgift var mulig at indføre. Da der er stor forskel på,
hvor meget kvælstof et vandområde kan tåle, skulle afgiften
være højere i delvandoplande med et højt indsatsbehov end
i områder med et lavt indsatsbehov.
En differentieret afgift på faktisk udledning ville give det
rette incitament til, at bedrifter vælger den samfundsøko-
nomiske mest optimale kombination af kvælstofreducerende
tiltag såsom at nedsætte tilførslen af kvælstof, reducere
husdyrhold og vælge afgrøder med lav udledning. Samtidig
vil en sådan regulering bevirke, at det er de bedrifter, der
har de laveste marginale reduktionsomkostninger, som gør
mest for at reducere udledningen. Den samlede udledning
bliver på den måde reduceret billigst muligt. Der kan også
ske mere strukturelle ændringer i landbrugets sammensæt-
ning og placering. Dette uddybes senere i afsnittet.
I praksis er det på nuværende tidspunkt ikke muligt at indfø-
re en målrettet differentieret afgift på hver enkelt bedrifts
faktiske
udledning, fordi de præcise udledninger fra den
enkelte bedrift til kystvandet ikke kan måles.
35
Omkostnings-
effektivt
regulering
Afgift på faktisk
udledning ikke
mulig i praksis
SAU, Alm.del - 2016-17 - Bilag 133: Diskussionsoplæg 2017, fra Det Miljøøkonomiske Råd
1728070_0039.png
Regulering af landbrugets kvælstofudledning. Diskussionsoplæg. Økonomi og Miljø 2017
Andre former for
regulering
Der ses i det følgende derfor på en række andre former for
regulering:
Ensartede kvælstofnormer
Differentierede kvælstofnormer
Udvaskningsadgange: to tolkninger af den målrette-
de regulering beskrevet i Fødevare- og landbrugs-
pakken
Målrettede afgifter på
beregnet
udledning
Ensartede kvælstofnormer
Ens regulering af
alle
Regulering af landbrugets kvælstofudledning har i mange år
bestået af en ikke-målrettet regulering. Den primære regule-
ringsmekanisme har frem til fornylig været de såkaldte re-
ducerede kvælstofnormer. Disse ensartede kvælstofnormer
indebar, at alle bedrifter maksimalt måtte gøde samme
pct.andel under, hvad der var driftsøkonomisk optimalt,
givet valg af afgrøder.
4
Normreguleringen bidrog til at begrænse brugen af gødning,
men normerne gav ikke landmanden det rette incitament til
at vælge afgrøder med en lav udvaskning eller til at ændre
på husdyrproduktionen.
5
Reguleringen tog heller ikke højde
for, at det kunne være dyrere for nogle bedrifter at reducere
gødskningen end for andre, for forskelle i indsatsbehov
mellem delvandoplande eller for forskelle i retention inden-
for de enkelte delvandoplande.
En forudsætning for normerne er, at den enkelte landmand
skal føre et omfattende gødningsregnskab, hvor blandt andet
afgrødevalg, antal husdyr og håndtering af husdyrgødning
Reguleringen
manglede vigtige
incitamenter
Omfattende
administration
4)
Reduktionen af normerne er ved at blive udfaset, så der fremover
ikke er en normreduktion men stadig et loft på gødningstildeling-
en på 100 pct. af det driftsøkonomiske optimale.
Tværtimod kunne normreguleringen give incitament til at vælge
afgrøder med et højt niveau af optimal kvælstofgødningstilførsel,
da landmanden på den måde ville få flere kg kvælstof at fordele
på sin bedrift. Tilsvarende modregnes husdyrgødning med dets
gødningsværdi, hvorved der ikke tages højde for den ekstra ud-
vaskning, husdyrgødning medfører.
5)
36
SAU, Alm.del - 2016-17 - Bilag 133: Diskussionsoplæg 2017, fra Det Miljøøkonomiske Råd
1728070_0040.png
I.3 Beskrivelse af reguleringsformer
indgår. Dette medfører administrative omkostninger for
såvel den enkelte landmand som for regulator.
Differentierede normer
Normer
differentieret
efter retention
og indsatsbehov
I forbindelse med udarbejdelsen af vandområdeplanerne for
2015-21 blev det diskuteret at erstatte de ensartede normer
med en form for differentierede kvælstofnormer. Disse dif-
ferentierede normer blev imidlertid aldrig vedtaget. De dif-
ferentierede normer skulle i princippet fungere som de
ovenfor beskrevne, men være målrettede indsatsbehovene i
delvandoplandene og retentionen på den enkelte bedrift, jf.
Miljøstyrelsen (2014).
6
Dette er mere målrettet end de ens-
artede normer, men giver stadig ikke bedrifterne det rette
incitament til at vælge afgrøder, som resulterer i en lavere
udledning, eller til at ændre på husdyrproduktionen.
Udvaskningsadgange
Ens grænse for
udvaskning
pr. ha i hvert
delvandopland
Den overordnede ide med kvælstofreguleringen beskrevet i
Fødevare- og landbrugspakken er, at hver bedrift tildeles en
ret, – en
udvaskningsadgang
– til at udvaske et bestemt
antal kg kvælstof pr. ha.
7
Denne udvaskningsadgang varie-
rer pr. delvandopland og er bestemt ud fra den gennemsnit-
lige retention i delvandoplandet og den nødvendige kvæl-
stofreduktion i delvandoplandet. Udvaskningsadgangen pr.
ha er dermed den samme for alle bedrifter i det samme
delvandopland.
Da den konkrete udformning af udvaskningsadgangene
endnu ikke er fastlagt, har det været nødvendigt at gøre
nogle antagelser om reguleringen for at kunne analysere
den. Der beskrives derfor i det følgende to forskellige tolk-
ninger af denne regulering. I den første tolkning er udvask-
6)
For at udjævne indsatskravet mellem bedrifter var der i forslaget
lagt op til, at normerne var en kombination af ensartede og diffe-
rentierede normer, samt at der var et loft for, hvor høje normre-
duktionerne måtte være. I dette kapitel tages der dog udgangs-
punkt i fuldt differentierede normer uden disse begrænsninger.
Se evt. definition af
udvaskning
i boks I.1 i afsnit I.2. Udvaskning
er forskellig fra tildeling af kvælstof samt forskellig fra udledning
af kvælstof, som afhænger af retentionen.
To tolkninger af
udvasknings-
adgange
7)
37
SAU, Alm.del - 2016-17 - Bilag 133: Diskussionsoplæg 2017, fra Det Miljøøkonomiske Råd
1728070_0041.png
Regulering af landbrugets kvælstofudledning. Diskussionsoplæg. Økonomi og Miljø 2017
ningsadgangene baseret på en form for normregulering,
mens den anden tolkning indeholder flere omkostnings-
effektiviserende elementer. Blandt andet gøres udvask-
ningsadgangene omsættelige.
En tolkning: ens
normer pr.
delvandopland
I tolkningen med de normbaserede udvaskningsadgange
skal alle bedrifter inden for samme delvandopland reducere
tilførslen af gødning lige meget i forhold til deres nuværen-
de brug af kvælstof, svarende til en bestem pct.andel under
driftsøkonomisk optimal tildeling. Dette baseres på en an-
tagelse om, at alle bedrifter i det samme delvandopland i
udgangspunktet udvasker det samme pr. ha. I praksis svarer
det til en form for normregulering, hvor normerne er diffe-
rentieret efter indsatsbehovet i delvandoplandet.
Med denne tolkning af udvaskningsadgange er der de sam-
me ulemper som ved differentierede normer. Der er således
ikke det rette incitament til at vælge afgrøder, som udleder
mindre kvælstof, og til at reducere husdyrproduktionen.
Dertil kommer, at udvaskningsadgangene kun er differentie-
ret efter den gennemsnitlige retention i et delvandopland.
Den anden tolkning af udvaskningsadgangene er, at hver
bedrift inden for et givet delvandopland tildeles den samme
rettighed til at udvaske en bestemt mængde kvælstof pr. ha i
form af omsættelige udvaskningsadgange. Den afgørende
forskel på denne og den normbaserede tolkning er, at retten
defineres i forhold til beregnet udvaskning og ikke i forhold
til kvælstofnormer.
8
Reguleringen vil således påvirke af-
grødevalget, men ikke hvor meget gødning der tildeles hver
afgrøde. Denne tolkning vil betyde, at nogle bedrifter vil
skulle reducere deres udvaskning betydeligt, mens andre
måske kan øge deres udvaskning. Disse udvaskningskvoter
antages derfor at kunne handles inden for det enkelte del-
vandopland, hvilket vil bidrage til at udjævne omkostning-
erne for bedrifterne, og til at udvaskningerne reduceres der,
hvor det er billigst.
9
8)
9)
Det uddybes nærmere i underafsnittet om målrettede afgifter,
hvad der ligger i betegnelsen
beregnet.
Hvis der er delvandoplande med få bedrifter, vil der ikke være et
marked med fuld konkurrence. At tillade handel vil dog stadig
være bedre end ikke at gøre det, da det stadig i et vist omfang vil
Samme ulemper
som med fuldt
differentierede
normer og
mindre målrettet
Anden tolkning:
ens ret pr. ha
til beregnet
udvaskning pr.
delvandopland
38
SAU, Alm.del - 2016-17 - Bilag 133: Diskussionsoplæg 2017, fra Det Miljøøkonomiske Råd
1728070_0042.png
I.3 Beskrivelse af reguleringsformer
Udvasknings-
kvoter mere
målrettet end
en normbaseret
tolkning
De omsættelige udvaskningsadgange er en mere omkost-
ningseffektiv tolkning af reguleringen med udvaskningsad-
gange end de normbaserede udvaskningsadgange, da denne
tolkning af reguleringen er mere målrettet den egentlige
eksternalitet og tillader fleksibilitet i bedrifternes tilpasning
gennem handel. Heller ikke denne tolkning er dog målrettet
forskelle i retentionen inden for et delvandopland.
Målrettede afgifter
Formandskabets
forslag: afgifter
på beregnet
udledning
Der ses i dette afsnit nærmere på en regulering med målret-
tede afgifter, baseret på principperne bag et forslag fra For-
mandskabet i 2015, jf. De Økonomiske Råds formandskab
(2015). De målrettede afgifter er en mekanisme til regule-
ring af kvælstofudledning bestående af to dele: en afgift på
beregnet
udledning og en afgift på kvælstofinput.
10
Afgiften
beregnet
udledning af kvælstof skal variere efter reduk-
tionsbehovet i hvert delvandopland. Den
beregnede
udled-
ning af kvælstof til kystvandet fra hver bedrift vil afhænge
af nogle fastlagte kriterier for, hvad afgrødevalg, jordtype,
retention mv. betyder for udledningen. I reguleringen antag-
es det, at der gødes driftsøkonomisk optimalt. Afgiften på
beregnet udledning omregnes til en fast afgift pr. dyrket ha,
som pålægges den enkelte landmand. Størrelsen på afgiften
afhænger af, hvilken afgrøde der dyrkes. Afgiften påvirker
således ikke, hvor meget gødning, der tildeles afgrøderne.
Den målrettede afgift på beregnet udledning kan kombine-
res med en ensartet afgift på kvælstofinput (i kunstgødning
og i foder). Den ensartede afgift på kvælstofinput skal give
den tilskyndelse til mindre brug af kvælstof, som “mangler”
ved afgiften på den
beregnede
udledning. Den ensartede
afgift på kvælstofinput betyder dog, at også delvandoplande
uden indsatsbehov reguleres, hvilket vil være en samfunds-
økonomisk omkostning, som modvirker gevinsten ved at
kunne reducere de samlede samfundsøkonomiske omkostninger
ved reguleringen.
10)
Det oprindelige forslag var
kvotemarkeder
for beregnet udledning
samt en afgift på kvælstofinput. Der var lagt op til 23 separate
kvotemarkeder – et for hvert hovedvandopland. Med 90 delvand-
oplande med hver sin målsætning anbefales
afgifter
på beregnet
udledning, da kvotemarkeder forventeligt vil blive for små.
Evt. kombineret
med afgift på
kvælstofinput
39
SAU, Alm.del - 2016-17 - Bilag 133: Diskussionsoplæg 2017, fra Det Miljøøkonomiske Råd
1728070_0043.png
Regulering af landbrugets kvælstofudledning. Diskussionsoplæg. Økonomi og Miljø 2017
kombinere de to instrumenter.
11
Analysen i afsnit I.4 viser,
at det derfor ikke kan betale sig at indføre denne inputafgift
for at nå 2021-målene. Fremadrettet henviser betegnelsen
“målrettede afgifter” derfor kun til afgifter baseret på be-
regnet udledning under antagelse om driftsøkonomisk opti-
mal kvælstoftilførsel. Det kan dog ikke afvises, at inputaf-
giften kan blive relevant, når 2027-målene skal opnås.
Tiltag foretages,
hvor det er
billigst
De målrettede afgifter har den fordel i forhold til de øvrige
reguleringer, at der i større grad gives incitament til at redu-
cere udledningen af kvælstof fra de bedrifter i delvandop-
landet, hvor omkostningerne ved reduktionerne er lavest.
Denne effekt vil bidrage til, at de marginale reduktionsom-
kostninger i delvandoplandet bliver ensartede. Hver bedrift
vil således reducere sine beregnede udledninger, indtil de
marginale reduktionsomkostninger er lig afgiften på de
beregnede udledninger.
Langsigtede effekter
Private
omkostninger
bør afspejle
samfundets
omkostninger
Alle de analyserede reguleringer begrænser udledningen af
kvælstof fra de forskellige bedrifter mere eller mindre om-
kostningseffektivt. En vigtig forskel mellem reguleringerne
er, om bedrifterne belastes økonomisk svarende til den ud-
ledning, de ender med at forårsage under den pågældende
regulering. Hvis bedrifterne ikke belastes økonomisk, i for-
hold til den udledning de forårsager, kan det forvride inve-
steringer og lokaliseringsbeslutninger i landbrugssektoren,
jf. kapitel II.
Hvis de privatøkonomiske omkostninger ved udledning
afspejler de samfundsøkonomiske omkostninger, vil det
give anledning til fordelagtige strukturelle omlægninger.
Således gives et incitament til, at husdyrproduktionen i høj-
ere grad placeres, hvor skadesomkostningerne forbundet
ved den merudledning, som husdyrgødning giver anledning
til, er så lave som muligt. Det samme gælder for dyrkning af
de afgrøder, som udvasker mest pr. ha.
Dette giver også
gevinster fra
strukturel
tilpasning
11)
Der er delvandoplande, hvor kvælstofudledningen ikke behøver
at blive reduceret for at nå målet for 2021, jf. afsnit I.2.
40
SAU, Alm.del - 2016-17 - Bilag 133: Diskussionsoplæg 2017, fra Det Miljøøkonomiske Råd
1728070_0044.png
I.3 Beskrivelse af reguleringsformer
Målrettede
afgifter giver
mest korrekte
langsigtede
incitamenter
De målrettede afgifter opnår den største andel af disse lang-
sigtede fordele blandt de undersøgte reguleringer. Dette
skyldes, at bedrifternes afgiftsbetalinger afspejler omkost-
ningerne ved de udledninger, de ender med at forårsage
under reguleringen under antagelse af, at der gødes drifts-
økonomisk optimalt. I modsætning hertil svarer regulering
ved hjælp af ensartede normer, differentierede normer samt
de normbaserede udvaskningsadgange til at uddele gratis
tilladelser til at tilføre kvælstof til bedriften. Mængden af
disse gratis tilladelser afhænger af størrelsen på produk-
tionen. Tildeling af de omsættelige udvaskningsadgange
svarer ligeledes til at uddele gratis tilladelser til at udvaske
kvælstof, medmindre det sikres, at tildelingen afkobles pro-
duktionsbeslutningerne på bedrifterne. Hvis udvasknings-
adgangene implementeres som omsættelige udvasknings-
adgange er det således vigtigt, at denne afkobling af tildel-
ingen sikres, for eksempel ved at udvaskningsadgangene
tildeles uafhængigt af, om der fortsat dyrkes på arealerne, jf.
senere analyse i afsnit I.4. I dette tilfælde vil det eneste, der
adskiller langsigtede effekter ved de omsættelige udvask-
ningsadgange fra målrettede afgifter, være, at de omsætteli-
ge udvaskningsadgange ikke er målrettet retentionen.
Sammenligning af reguleringerne
I det følgende sammenlignes fordele og ulemper ved de
forskellige former for regulering i tabel I.4.
Hypotetisk
optimal
regulering
Optimal regulering
ville være en differentieret afgift på
faktisk udledning, hvis en sådan afgift kunne gennemføres i
praksis. Det er dog ikke muligt i dag, og der er derfor tale
om en hypotetisk reguleringsform. En afgift på den faktiske
udledning ville give hver bedrift incitament til at mindske
tilførslen af kvælstof, vælge afgrøder med en lavere ud-
vaskning og ændre husdyrproduktionen, jf. tabel I.4. Afgif-
ten skulle i hvert delvandopland sættes, så kvælstof-
reduktionsmålet for delvandoplandet blev nået.
41
SAU, Alm.del - 2016-17 - Bilag 133: Diskussionsoplæg 2017, fra Det Miljøøkonomiske Råd
1728070_0045.png
Regulering af landbrugets kvælstofudledning. Diskussionsoplæg. Økonomi og Miljø 2017
42
Optimal
regulering
(Hypotetisk)
Ensartede
normer
Differentierede Normbaserede
udvasknings-
normer
adgange
Omsættelige
udvasknings-
adgange
Målrettede
afgifter
+
+
+
+
+
+
+
-
-
+
-
-
b)
-
-
-
-
-
(+)
(+)
-
(+)
-
-
-
-
-
-
-
-
+
+
(+)
-
(+)
+
(+)
+
+
+
-
(+)
+
+
(+)
(+)
(+)
+
(+)
Tabel I.4
Fordele og ulemper ved de forskellige former for regulering
Incitament til at:
-
mindske tilførsel af kvælstof givet
afgrøde
-
vælge afgrøder med lavere ud-
vaskning (inkl. brak)
-
ændre husdyrproduktionen
a)
Målrettet i forhold til:
-
kvælstofreduktionsmål
-
retention, givet reduktionsmål
-
marginale reduktionsomkostninger
givet retention og mål
Ikke
incitament til ulovlig handel med
kvælstof mellem bedrifter
Langsigtede incitamenter til omkost-
ningseffektiv lokalisering og investering
a)
b)
Anm.:
En ændring i husdyrproduktionen kan bestå i at ændre sammensætningen eller antallet af dyr eller anvende produktionsmetoder, som giver
en øget udnyttelsesgrad af kvælstoffet i foderet.
De ensartede normer giver et vist, men dog begrænset, incitament til ulovlig handel med kvælstof; incitamentet til ulovlig handel vil dog
være mindre end ved differentierede normer eller normbaserede udvaskningsadgange.
Tabellen er nærmere forklaret i teksten. Ingen reguleringer kan i praksis målrettes fuldt ud, idet man ikke kan måle den faktiske udledning.
Reguleringer kan derfor kun være approksimativt målrettede. Derfor bruges betegnelsen “(+)”.
SAU, Alm.del - 2016-17 - Bilag 133: Diskussionsoplæg 2017, fra Det Miljøøkonomiske Råd
1728070_0046.png
I.3 Beskrivelse af reguleringsformer
Ensartede
normer ikke
målrettede
Ensartede kvælstofnormer
pålægger hver bedrift at reducere
brugen af kvælstof, men normerne er ikke målrettet på nog-
en måde, jf. tabel I.4. Som nævnt tidligere, giver normregu-
lering heller ikke incitament til at vælge afgrøder, som
mindsker udledningen, ligesom der er uheldige incitamenter
i forhold til husdyrbruget.
Differentierede kvælstofnormer
ville målrette den reducere-
de brug af kvælstofgødning i forhold til forskelle i reduk-
tionsmål og retentionen på bedrifterne. Normerne fungerer
dog stadig således, at der ikke gives incitament til at vælge
afgrøder med en lavere udvaskningsgrad eller tilpasse hus-
dyrbruget. Af tabel I.4 ses det i øvrigt, at reguleringen ikke
vil udligne de marginale reduktionsomkostninger mellem
bedrifter.
De
normbaserede
udvaskningsadgange giver incitament til
at reducere brugen af kvælstof på nogenlunde samme måde,
som de differentierede normer og har de samme svagheder
med hensyn til incitament i forhold til afgrødevalg og hus-
dyr og ikke mindst ulovlig handel med kvælstof. Den største
forskel er, at reguleringen ikke målrettes forskelle i reten-
tionen indenfor hvert delvandopland. Det skyldes, at norm-
erne er ens for alle bedrifter i samme delvandopland.
Omsættelige udvaskningsadgange
giver flere af de ønskede
incitamenter til afgrødevalg og hensigtsmæssige ændringer i
husdyrproduktionen ligesom incitamenter til ulovlig handel
undgås. Reguleringen er dog lige så lidt målrettet retention-
en inden for det enkelte delvandopland som de normbasere-
de udvaskningsadgange, jf. tabel I.4. Muligheden for handel
med udvaskningsrettighederne gør, at reguleringen er mål-
rettet marginale reduktionsomkostninger, inden for hvert
delvandopland, således at de marginale reduktionsomkost-
ninger udlignes mellem bedrifter i samme delvandopland.
Bedrifter, der er pålagt
målrettede afgifter
på beregnet ud-
ledning, har både incitament til at ændre afgrødevalg og
ændre husdyrproduktionen målrettet, så bedrifter med det
højeste reduktionsmål, laveste retention samt de laveste
reduktionsomkostninger vil gøre mest. Dette er den af de
analyserede reguleringer, som kommer nærmest den opti-
Differentierede
normer målrettet
retention
Normbaserede
udvasknings-
adgange mindre
målrettet
Omsættelige
udvasknings-
adgange
medtager flere
incitamenter
Målrettede
afgifter tæt
på optimal
regulering
43
SAU, Alm.del - 2016-17 - Bilag 133: Diskussionsoplæg 2017, fra Det Miljøøkonomiske Råd
1728070_0047.png
Regulering af landbrugets kvælstofudledning. Diskussionsoplæg. Økonomi og Miljø 2017
male regulering jf. tabel I.4. Målrettede afgifter er tillige
den regulering, som giver de mindst forvridende incitamen-
ter til langsigtet erhvervsstruktur og lokalisering.
Incitament til
ulovlig handel
kan være et
problem ved
normregulering
Et væsentligt problem ved både differentierede normer og
normbaserede udvaskningsadgange er, at værdien for den
enkelte bedrift af et kg kvælstofgødning vil variere meget
fra bedrift til bedrift. Hvis en landmand kun har lov til at
bruge lidt gødning på sin bedrift, vil værdien af et ekstra kg
gødning således være høj. Ved en tilstrækkelig stor forskel i
værdien af gødning mellem bedrifter, kan det give incita-
ment til at handle ulovligt med gødning uden om registre-
ringen. Om den ulovlige handel indtræffer, afhænger dog af
flere forhold, såsom risikoen for at blive opdaget, straffens
størrelse, såfremt den ulovlige handel opdages, transport-
omkostninger ved ulovlig handel samt personlige præferen-
cer for ikke at gøre noget ulovligt. Risikoen for omgåelse
kan betyde, at den reelle fordeling af gødning nærmer sig
fordelingen under de ensartede normer, hvorved målet for
kvælstofreduktionen ikke nås, og omkostningsreduktionen
ikke realiseres. For at nå målet skal normerne strammes,
hvorved omkostningerne ved reguleringen stiger.
Da de omsættelige udvaskningsadgange og de målrettede
afgifter ikke begrænser kvælstoftilførslen, opstår problem-
stillingen med ulovlig handel med kvælstof ikke. Disse
reguleringer baseres på afgifter eller kvoter i forhold til
afgrødevalget, som kan kontrolleres, og for afgifters ved-
kommende eventuelt en ensartet afgift på kvælstof, som
ikke fører til forskelle i kvælstoffets værdi mellem de enkel-
te bedrifter.
Øvrige virkemidler
Flere virkemidler
til kvælstof-
reduktion
I ovenstående gennemgang af de forskellige reguleringer er
der set på, om de påvirker tilførsel af kvælstof, afgrødevalg
og husdyrproduktion. Det er disse virkemidler til reduktion
af kvælstofudledning, som også indgår i de efterfølgende
analyser. Der eksisterer dog, som beskrevet i afsnit I.2, også
andre former for virkemidler til reduktion af kvælstofudled-
ningen, såsom våd- og minivådområder, efterafgrøder mv.
De væsentligste af disse er medtaget i analysen i afsnit I.4.
Øvrige
reguleringer
giver ikke dette
incitament
44
SAU, Alm.del - 2016-17 - Bilag 133: Diskussionsoplæg 2017, fra Det Miljøøkonomiske Råd
1728070_0048.png
I.3 Beskrivelse af reguleringsformer
Jo flere
virkemidler
des bedre
Alle virkemidler kan i princippet indgå i alle de beskrevne
former for regulering, således at det er bedrifterne, som skal
bedømme, hvornår det er fordelagtigt at anvende forskellige
former for virkemidler. Ud fra et samfundsøkonomisk syns-
punkt bør dette tilstræbes. Det diskuteres i afsnit I.5, hvor-
dan dette kan gøres. Jo flere virkemidler der indgår i regule-
ringen, jo mere fleksibel kan reguleringen blive i forhold til
at reducere udledningen omkostningseffektivt. Det skyldes,
at omkostningsafvejningen mellem de enkelte virkemidler
så ligger hos den enkelte landmand, som (evt. i samarbejde
med en landbrugskonsulent) er den, der har de bedste in-
formationer til at foretage denne afvejning korrekt.
12
Der er i dag et generelt krav om efterafgrøder, som alle
bedrifter har pligt til at opfylde. I de senere år har en række
alternative virkemidler såsom tidlig såning og randzoner
kunnet anvendes til at opfylde efterafgrødekravet. I den
hidtidige regulering med ensartede normer kunne man end-
videre forøge sin kvote for kvælstoftildeling, dvs. sin indi-
viduelle norm, ved at anvende flere efterafgrøder, end der
var påkrævet. Incitamenter til skovrejsning, vådområder
mv. indgik derimod ikke direkte i kvælstofreguleringen.
Incitamenter til disse blev i stedet givet med (ensartede)
tilskud til etablering.
I aftalen om Fødevare- og landbrugspakken lægges der op
til, at denne opdeling af virkemidlerne fortsættes. Dyrk-
ningsrelaterede virkemidler såsom efterafgrøder og tidlig
såning kan således anvendes til at opfylde udvaskningsad-
gangene med. Dertil gives tilskud til frivillig anvendelse af
virkemidler såsom vådområder og skovrejsning, uden at det
ser ud til, at kunne indgå i bedrifternes opfyldelse af ud-
vaskningsadgangene. Disse virkemidler, der i Fødevare- og
landbrugspakken omtales som “frivillige kollektive virke-
midler”, skal ifølge aftalen udgøre halvdelen af indsatsen
for at nå målet om en reduktion i den årlige udledning af
kvælstof på 7.000 ton i 2021, jf. tabel I.2 i afsnit I.2.
12)
Dette kræver dog, at der stilles tilstrækkelig med viden til rådig-
hed, til at kunne bedømme effekt og omkostninger ved forskellige
former for virkemidler. Betydningen for valg af virkemidler af
eventuelle andre uregulerede eksternaliteter diskuteres i afsnit I.5.
Opdeling af
virkemidler
i hidtidig
regulering …
… og i den
planlagte
regulering
45
SAU, Alm.del - 2016-17 - Bilag 133: Diskussionsoplæg 2017, fra Det Miljøøkonomiske Råd
1728070_0049.png
Regulering af landbrugets kvælstofudledning. Diskussionsoplæg. Økonomi og Miljø 2017
Alle virkemidler
inkluderet i de
målrettede
afgifter
I de målrettede afgifter vil anvendelsen af alle virkemidler
kunne indgå således, at etableringen af f.eks. et vådområde
vil give anledning til en reduktion i den afgift, som bedrif-
ten skal betale, svarende til den reduktion af kvælstofudled-
ningen, som det beregnes at vådområdet vil resultere i, jf.
De Økonomiske Råds formandskab (2015).
Inkluderingen af alle virkemidler i reguleringen er vigtig for
at sikre en omkostningseffektiv fordeling af indsatser mel-
lem de forskellige typer af indsatser. Opdelingen af indsat-
ser i “individuelle” og “kollektive” virkemidler risikerer at
medføre en uhensigtsmæssig fordeling og dermed forøge de
samfundsmæssige omkostninger ved at nå miljømålene.
Opdeling af
indsatser uheldig
I.4
Omkostninger
ved forskellige
reguleringer
analyseres
Analyse af omkostninger ved forskellige
reguleringer
I dette afsnit præsenteres en række analyser af de samfunds-
økonomiske omkostninger ved at benytte forskellige typer
af regulering til at reducere landbrugets udledninger af
kvælstof. De reguleringer, der analyseres, er beskrevet i
afsnit I.3. I afsnittet sammenlignes også de privatøko-
nomiske omkostninger for landbruget ved de forskellige
reguleringer. Derefter foretages en række følsomheds-
analyser. Betydningen af en eventuel ulovlig handel med
kvælstof samt effekten af usikkerhed på den opgjorte reten-
tion undersøges. Det undersøges også, hvad et geografisk
differentieret indsatsbehov af hensyn til grundvandets kvali-
tet betyder for omkostningerne ved de forskellige regule-
ringer. Endeligt belyses forskelle i incitamenter til at reali-
sere langsigtede strukturgevinster.
Metode
Model-
beregninger af
bedrifters
reaktioner
Analyserne er foretaget på baggrund af beregninger af om-
kostninger ved og effekter på kvælstofudvaskning af for-
skellige typer af regulering. Disse beregninger er foretaget
med den partielle ligevægtsmodel ESMERALDA. Bereg-
ningerne er kombineret med viden om fordeling af forskel-
lige bedriftstyper i de 90 delvandoplande samt lokale reten-
46
SAU, Alm.del - 2016-17 - Bilag 133: Diskussionsoplæg 2017, fra Det Miljøøkonomiske Råd
1728070_0050.png
I.4 Analyse af omkostninger ved forskellige reguleringer
tionsforhold. Analyserne er lavet i samarbejde med forskere
fra Institut for Fødevare- og Ressourceøkonomi, Køben-
havns Universitet og Institut for Agroøkologi, Aarhus Uni-
versitet. Analyserne er nærmere beskrevet i boks I.4. Yder-
ligere detaljer er beskrevet i et dokumentationsnotat, som
findes på De Økonomiske Råds hjemmeside.
Der regnes på
mål for 2021 i 90
delvandoplande
Analyserne tager udgangspunkt i, at reguleringen skal opnå
de fastsatte mål for reduktion af landbrugets kvælstofudled-
ning i 90 delvandoplande. Målene fremgår af vandområde-
planerne for perioden 2015-21, jf. Styrelsen for Vand- og
Naturforvaltning (2016a). Der er foretaget beregninger af
omkostningerne ved at opnå en reduktion på i alt 3.500 ton,
som den fremtidige regulering ved hjælp af udvasknings-
adgange er sat til at skulle opnå i 2021, og på ca. 6.000 ton,
som udvaskningsadgange og de kollektive virkemidler til-
sammen er sat til at skulle opnå i 2021, jf. afsnit I.2. De
kollektive virkemidler inddrages kun i analysen af et ind-
satsbehov på 6.000 ton. Det samlede indsatsbehov er på
7.000 ton. Det resterende indsatsbehov på ca. 1.000 ton
forventes at blive opnået gennem andre typer af indsatser,
jf. afsnit I.2. Disse andre indsatser indgår ikke i den målret-
tede regulering eller i de kollektive virkemidler, og er derfor
ikke inddraget i beregningerne.
47
SAU, Alm.del - 2016-17 - Bilag 133: Diskussionsoplæg 2017, fra Det Miljøøkonomiske Råd
1728070_0051.png
Regulering af landbrugets kvælstofudledning. Diskussionsoplæg. Økonomi og Miljø 2017
Boks I.4
Beregning af samfundsøkonomiske omkostninger ved kvælstofmål
Opgørelsen af de samfundsøkonomiske omkostninger ved forskellige typer af re-
gulering er foretaget ved at kombinere analyser foretaget med ESMERALDA-
modellen, som er udviklet på Institut for Fødevare- og Ressourceøkonomi ved
Københavns Universitet, med geografisk information leveret af Institut for Agro-
økologi ved Aarhus Universitet.
ESMERALDA-modellen
ESMERALDA er en partiel ligevægtsmodel for den danske landbrugssektor.
ESMERALDA modellerer danske landbrugsbedrifters produktion (herunder af-
grødevalg, braklægning og størrelsen af husdyrhold) og anvendelse af produk-
tionsfaktorer (herunder gødningsanvendelse) for 15 bedriftstyper (f.eks. stor plan-
tebedrift med specialafgrøder på sandjord, lille svineproducent osv.). Modellens
parametre er fastlagt på baggrund af økonomisk og jordbrugsvidenskabelig forsk-
ning. Modellen er kalibreret på baggrund af landbrugets regnskaber. Kalibrering-
en er foretaget, så den daværende regulering med ensartede normer er ophævet.
Der er ved hjælp af ESMERALDA foretaget beregninger af, hvad forskellige ty-
per af regulering betyder for de 15 bedriftstyper. Disse beregninger er nærmere
dokumenteret i Jensen (2017). ESMERALDA modellerer blandt andet, hvordan
bedrifternes jordrente og kvælstofudvaskning ændrer sig, alt efter hvilken regule-
ring der pålægges.
ESMERALDA er en komparativ-statisk model, og beregningerne af de sam-
fundsøkonomiske omkostninger tager derfor ikke højde for engangsomkostninger
ved at tilpasse f.eks. afgrødevalg og størrelsen på husdyrhold til den ændrede re-
gulering. Dette trækker i retning af, at de samfundsøkonomiske omkostninger ved
at indføre ny regulering undervurderes. Det antages i ESMERALDA, at bedrifter
ikke skifter bedriftstype som reaktion på regulering. Det er muligt, at det er mere
profitabelt for bedrifterne at omlægge produktionen til en anden bedriftstype, end
at tilpasse produktionen inden for rammerne af den nuværende bedriftstype. Ude-
ladelsen af denne effekt trækker i retning af, at de samfundsøkonomiske omkost-
ninger overvurderes.
Kombination af ESMERALDA’s beregninger og geografisk information
Et geografisk datasæt benyttes til at bestemme den geografiske fordeling af de 15
bedriftstyper i ESMERALDA i Danmarks 90 delvandoplande. Desuden indehold-
er datasættet information om, hvordan bedriftstyperne i hvert delvandopland for-
deler sig på jord med forskellig retention. Denne fordeling er baseret på den nye-
ste opgørelse af retentionen i Danmark, jf. Højberg mfl. (2015).
48
SAU, Alm.del - 2016-17 - Bilag 133: Diskussionsoplæg 2017, fra Det Miljøøkonomiske Råd
1728070_0052.png
I.4 Analyse af omkostninger ved forskellige reguleringer
Boks I.4
Beregning af samfundsøkonomiske omkostninger ved kvælstofmål,
fortsat
Ved at kombinere det geografiske datasæt med beregningerne på ESMERALDA
modelleres regulering, der tager højde for forskelle i bedriftstypernes reaktioner,
samt at bedriftssammensætningen og retentionen varierer mellem delvandoplande.
De samfundsøkonomiske konsekvenser og ændringer i udledningen af kvælstof,
der følger af de forskellige typer af regulering, kan således modelleres. Udled-
ningerne, som modelleret i ESMERALDA, og som opgjort i vandområdeplaner-
ne, er tæt korrelerede men ikke identiske. Analysen tager derfor udgangspunkt i
de procentuelle reduktioner beskrevet i vandområdeplanerne. Dette kan påvirke
niveauet og den geografiske fordeling af de beregnede samfundsøkonomiske om-
kostninger i mindre grad. Men principperne bag de udførte beregninger og den
deraf resulterende rangordning af de undersøgte reguleringer påvirkes ikke.
De samfundsøkonomiske omkostninger opgøres som ændringen i bedrifternes
jordrente fratrukket et eventuelt afgiftsprovenu. Jordrenten er opgjort i faktorpri-
ser. For at opgøre omkostningerne i forbrugerpriser ganges med en nettoafgifts-
faktor. Til dette formål benyttes en nettoafgiftsfaktorværdi på 1,325, hvilket er i
overensstemmelse med tidligere studier (Jacobsen 2014, 2016) samt Finansmini-
steriets anbefalede værdi. Jordrenten, og dermed de samfundsøkonomiske om-
kostninger, er opgjort i 2011-priser.
En række virkemidler, hvoraf efterafgrøder, tidlig såning, våd- og minivådområ-
der er nogle af de mest omkostningseffektive, indgår ikke i ESMERALDA. Den-
ne udeladelse kan medføre, at omkostningerne ved at nå målsætningerne overvur-
deres. Brugen af disse virkemidler er derfor tilføjet i de præsenterede beregninger.
Visse virkemidler kan give gevinster fra øgede rekreative værdier, nedsat CO
2
-
udledning m.m., jf. Hasler mfl. (2016). Disse sideeffekter indgår ikke i de præsen-
terede beregninger. Medregningen af positive sideeffekter ville reducere omkost-
ningerne. Idet effekterne gælder for alle typer regulering, er det usandsynligt, at
det vil påvirke rangordningen af de samfundsøkonomiske omkostninger.
De foretagne beregninger er nærmere dokumenteret i et dokumentationsnotat,
som findes på De Økonomiske Råds hjemmeside.
49
SAU, Alm.del - 2016-17 - Bilag 133: Diskussionsoplæg 2017, fra Det Miljøøkonomiske Råd
1728070_0053.png
Regulering af landbrugets kvælstofudledning. Diskussionsoplæg. Økonomi og Miljø 2017
Resultater
Målrettede
afgifter er mest
omkostnings-
effektive
De samfundsøkonomiske omkostninger ved de forskellige
reguleringsmekanismer er vist i tabel I.5. Det fremgår, at de
målrettede afgifter opnår reduktionsmålene billigst. Den
samfundsøkonomiske omkostning ved at opnå reduktions-
målsætningen på 6.000 ton på landsplan er årligt 0,58 mia.
kr., eller 97 kr. pr. kg reduceret kvælstof, mens den sam-
fundsøkonomiske omkostning ved et mål på 3.500 ton er på
0,30 mia. kr., svarende til 85 kr. pr. kg.
Tabel I.5
Omkostninger ved kvælstofregulering
Ton kvælstof pr. år
3.500
3,23
0,52
0,59
0,34
0,30
920
149
169
96
85
6.000
4,78
0,91
1,03
0,64
0,58
802
153
172
107
97
Reduktionsmål
Ensartet norm
Differentierede normer
Normbaserede udvaskningsadgange
Omsættelige udvaskningsadgange
Målrettede afgifter
Ensartet norm
Differentierede normer
Normbaserede udvaskningsadgange
Omsættelige udvaskningsadgange
Målrettede afgifter
Anm.:
------ Mia. kr. ------
Kr. pr. kg kvælstof
Kilde:
Tabellen viser de årlige samfundsøkonomiske omkostninger i
forbrugerpriser ved at indføre forskellige typer af regulering, jf.
afsnit I.3. De kollektive virkemidler er kun inddraget i analysen
af målsætningen på 6.000 ton. Faktorpriser er omregnet til for-
brugerpriser vha. en nettoafgiftsfaktor på 1,325, jf. boks I.4.
Egne beregninger.
50
SAU, Alm.del - 2016-17 - Bilag 133: Diskussionsoplæg 2017, fra Det Miljøøkonomiske Råd
1728070_0054.png
I.4 Analyse af omkostninger ved forskellige reguleringer
Stigende
reduktionsmål
giver stigende
omkostninger
Omkostningerne er højere både totalt og pr. kg, når reduk-
tionsmålet er højere. Den eneste undtagelse er omkostnin-
gen pr. kg udledt kvælstof for de ensartede normer. Det
skyldes, at de kollektive virkemidler, der udelukkende ind-
drages i beregningen af omkostningerne ved et reduktions-
mål på 6.000 ton, er markant billigere end reduktion ved
hjælp af ensartede normer. Et højere indsatsbehov medfører
således højere marginale omkostninger for de andre regule-
ringer, selvom der benyttes flere forskellige virkemidler.
Det afspejles i de gennemsnitlige omkostninger pr. kg ud-
ledt kvælstof.
Udvaskningsadgange er en dyrere reguleringsform end mål-
rettede afgifter. Det gælder for begge varianter af udvask-
ningsadgange. Tolkes reguleringen med udvaskningsadgange
som en justering af den hidtidige regulering med normer,
bliver de samfundsøkonomiske omkostninger ved regule-
ringen omkring en halv mia. kr. højere, jf. tabel I.5.
Tolkes udvaskningsadgange i stedet som omsættelige ud-
vaskningsrettigheder, bliver omkostningerne væsentlig lave-
re. Dette skyldes, at omsættelige udvaskningsadgange også
giver bedrifterne incitament til at vælge afgrøder med lavere
udvaskning og til at anvende mindre husdyrgødning. Samti-
dig giver reguleringen ikke forskelle i de marginale reduk-
tionsomkostninger mellem bedrifter indenfor det samme
delvandopland, jf. afsnit I.3. Reguleringen med omsættelige
udvaskningsadgange er således mere målrettet den egentlige
eksternalitet end normbaserede udvaskningsadgange.
Differentierede normer er samfundsøkonomisk billigere end
normbaserede udvaskningsadgange. Differentierede normer
er dog stadig en dyrere måde at opnå kvælstofreduktioner
på, end hvis reguleringen foretages ved hjælp af omsætte-
lige udvaskningsadgange eller målrettede afgifter.
Ikke overraskende medfører en ensartet norm en meget
højere omkostning end de øvrige reguleringsformer. Den
primære årsag til dette er, at den ensartede norm overregule-
rer i 89 ud af 90 delvandoplande. For at nå målet om en
reduktion på i alt 6.000 ton fordelt på alle 90 delvandop-
Udvasknings-
adgange er
dyrere regulering
… men
omsættelige
udvasknings-
adgange billigst
Differentierede
normer tredje-
billigst
Ensartet norm
er dyrest
51
SAU, Alm.del - 2016-17 - Bilag 133: Diskussionsoplæg 2017, fra Det Miljøøkonomiske Råd
1728070_0055.png
Regulering af landbrugets kvælstofudledning. Diskussionsoplæg. Økonomi og Miljø 2017
lande med en ensartet normreduktion, skal normreduktionen
være på 24 pct. under driftsøkonomisk optimum.
Brug af viden om
retention sænker
omkostningerne
De samfundsøkonomiske omkostninger ved målrettede
afgifter er lavere end ved omsættelige udvaskningsadgange,
fordi de målrettede afgifter målretter reguleringen efter
forskelle i retentionen indenfor de enkelte delvandoplande.
Dette er også årsagen til, at omkostningerne ved differentie-
rede normer er lavere end ved normbaserede udvasknings-
adgange. Der er altså en samfundsøkonomisk gevinst ved at
benytte den eksisterende detaljerede viden om retentions-
forhold i reguleringen.
Tidligere studier har ligeledes fundet gevinster ved at mål-
rette reguleringen til lokale forskelle i retentionen, jf. De
Økonomiske Råds formandskab (2015). Omkostningen ved
kvælstofreduktioner, opgjort i kr. pr. kg reduceret kvælstof,
er også sammenlignelige med tidligere resultater, jf. De
Økonomiske Råds formandskab (2015) og Jacobsen (2016).
De Økonomiske Råds formandskab (2015) finder en gen-
nemsnitlig omkostning på 70 kr. pr. kg reduceret kvælstof
for Limfjorden. Jacobsen (2016) finder en gennemsnitlig
omkostning på 88 kr. pr. kg reduceret kvælstof.
13
Til trods
for forskelle i de bagvedliggende beregninger, er disse esti-
mater af samme størrelsesorden som den beregnede omkost-
ningseffektivitet ved de målrettede afgifter i denne analyse.
Rangordningen af de forskellige reguleringsmekanismer er
styret af de bagvedliggende principper for reguleringerne,
jf. afsnit I.3. Rangordningen vil derfor være den samme,
uanset det benyttede indsatsbehov. Gevinsten ved at benytte
målrettede afgifter vil desuden være endnu større, såfremt
det yderligere indsatsbehov i næste planperiode fra 2021-27
medregnes, jf. afsnit I.2. I de følgende analyser tages der
udgangspunkt i indsatsbehovet på 6.000 ton.
Resultater er
sammenlignelige
med tidligere
analyser
Reguleringer
rangordnes
ens uanset
indsatsbehov
13)
De Økonomiske Råds formandskab (2015) og Jacobsen (2016)
angiver en gennemsnitlig omkostningseffektivitet udregnet som
ændring i dækningsbidrag i faktorpriser. Ved brug af en netto-
afgiftsfaktor på 1,325 er dette omregnet til forbrugerpriser. Tallene
er dog stadig ikke perfekt sammenlignelige med tallene i tabel I.5,
idet denne tabel er opgjort på baggrund af ændringer i jordrenten.
52
SAU, Alm.del - 2016-17 - Bilag 133: Diskussionsoplæg 2017, fra Det Miljøøkonomiske Råd
1728070_0056.png
I.4 Analyse af omkostninger ved forskellige reguleringer
Gevinsten ved
målrettede
afgifter er
underkantsskøn
Der er muligt, at omkostningerne ved differentierede nor-
mer samt begge varianter af udvaskningsadgange er højere
end de omkostninger, der er præsenteret i tabel I.5. For dif-
ferentierede normer samt normbaserede udvaskningsadgan-
ge skyldes det en risiko for ulovlig kvælstofhandel, hvilket
analyseres senere i dette afsnit. For omsættelige udvask-
ningsadgange skyldes det, at det i analysen er antaget, at de
enkelte delvandoplandes kvotemarkeder fungerer perfekt.
Hvis dette ikke er tilfældet, vil kvotemarkederne ikke allo-
kere retten til at udvaske kvælstof til dem, der får den stør-
ste gevinst af at gøre det. Dertil kommer, at begge typer af
normer og begge typer af udvaskningsadgange giver mindre
korrekte langsigtede strukturelle incitamenter i forhold til
placering af bedrifter på tværs af delvandoplande og på jord
med forskellig retention. Denne effekt analyseres senere i
dette afsnit. Gevinsten ved at benytte målrettede afgifter
frem for de andre typer af regulering, der fremgår af tabel
I.5, er altså et underkantsskøn for den sande gevinst.
En potentiel effekt af reduceret gødningstilførsel er reduce-
ret proteinindhold i afgrøderne. I den udstrækning at dette
finder sted, reduceres kvaliteten af de producerede afgrøder.
Denne effekt ved reduceret kvælstoftilførsel indgår ikke i
analysens opgørelse af de samfundsøkonomiske omkost-
ninger. Effekten vil føre til en meromkostning for de regule-
ringsformer, der tager udgangspunkt i reduktioner i den
tilladte gødningstilførsel, dvs. ensartede og differentierede
normer samt normbaserede udvaskningsadgange. Ved om-
sættelige udvaskningsadgange samt målrettede afgifter tag-
es der imidlertid udgangspunkt i, at landmanden gøder
driftsøkonomisk optimalt, og der vil derfor ikke være en
meromkostning fra reduceret proteinindhold. Dette kan føre
til en undervurdering af gevinsten ved at regulere ved hjælp
af omsættelige udvaskningsadgange samt målrettede afgif-
ter i forhold til de normbaserede reguleringstyper.
De målrettede afgifter består i princippet af en kombination
af en differentieret afgift på beregnet udledning, der varierer
pr. delvandopland, samt en national afgift på tilførsel af
kvælstof. Resultaterne viser imidlertid, at det er samfunds-
økonomisk optimalt at sætte tilførselsafgiften til nul kr. Det
skyldes, at en tilførselsafgift pålægger alle bedrifter en om-
Proteineffekt
fordyrer
normbaseret
regulering
Tilførselsafgiften
i de målrettede
afgifter er nul kr.
53
SAU, Alm.del - 2016-17 - Bilag 133: Diskussionsoplæg 2017, fra Det Miljøøkonomiske Råd
1728070_0057.png
Regulering af landbrugets kvælstofudledning. Diskussionsoplæg. Økonomi og Miljø 2017
kostning – inklusive bedrifter i delvandoplande, hvor der
ikke er et reduktionsmål. Reguleringen ved målrettede afgif-
ter finder således udelukkende sted via de differentierede
afgifter på beregnet udledning, og tilførslen af kvælstof er
derfor på det driftsøkonomisk optimale niveau.
Provenu kan
tilbageføres til
landbruget …
Målrettede afgifter opkræver, som den eneste af de under-
søgte reguleringer, en afgift fra bedrifterne. Det fører natur-
ligt til et spørgsmål om, hvordan provenuet fra denne afgift
skal benyttes. Brugen af provenuet har fordelingsmæssige
konsekvenser. En mulighed er at tilbageføre provenuet til
landbruget. Senere i afsnittet diskuteres, hvordan en sådan
tilbageførsel konkret kan udformes. Afgiftsprovenuet udgør
0,42 mia. kr., jf. tabel I.6. De samlede omkostninger for
landmændene, når provenuet tilbageføres, er 0,58 mia. kr.
Tabel I.6
Fordeling af samfundsøkonomiske omkostninger
Provenu
-------- Omkostninger ---------
I alt
Hushold- Bedrifter
ninger
4,78
0,91
1,03
0,64
0,58
0,58
0,00
0,00
0,00
0,00
-0,42
0,00
4,78
0,91
1,03
0,64
1,00
0,58
Ensartet norm
Differentierede normer
Normbaserede udvaskningsadgange
Omsættelige udvaskningsadgange
Målrettede afgifter
Målrettede afgifter, tilbageførsel
Anm:
0,00
0,00
0,00
0,00
0,42
0,42
Kilde:
Tabellen angiver fordelingen af de samfundsøkonomiske omkostninger i forbrugerpriser ved
forskellige typer af regulering. Der er taget udgangspunkt i et indsatsbehov på 6.000 ton. For
de målrettede afgifter præsenteres også en variant af beregningen, hvor afgiftsprovenuet føres
tilbage til landbrugssektoren. Faktorpriser er omregnet til forbrugerpriser vha. en nettoafgifts-
faktor på 1,325, jf. boks I.4. Bedrifternes omkostninger opgøres mest naturligt i faktorpriser,
men er i denne tabel omregnet til forbrugerpriser for at sikre konsistens i tabellen.
Egne beregninger.
54
SAU, Alm.del - 2016-17 - Bilag 133: Diskussionsoplæg 2017, fra Det Miljøøkonomiske Råd
1728070_0058.png
I.4 Analyse af omkostninger ved forskellige reguleringer
… eller bruges til
at reducere andre
skatter eller
afgifter
En anden mulighed er, at provenuet benyttes til at reducere
skatter eller afgifter, der betales af husholdninger. Dette vil
have fordelingsmæssige konsekvenser, idet landbruget som
sektor – og de landmænd der ejer bedrifterne – vil have
øgede omkostninger ved reguleringen, mens husholdninger
stilles bedre.
14
Hvis provenuet ikke tilbageføres, er de sam-
lede omkostninger for landbruget 1 mia. kr., mens hushold-
ninger opnår en gevinst svarende til provenuets størrelse, og
en eventuel forvridningsgevinst afhænger af, hvordan pro-
venuet anvendes.
Privatøkonomiske konsekvenser af reguleringerne
Fordeling af
omkostninger
afhænger af
reguleringstypen
Fordelingen af omkostninger mellem forskellige typer af
landbrugsbedrifter afhænger af den valgte regulering. Disse
privatøkonomiske konsekvenser af reguleringerne under-
søges i dette afsnit. Eksempelvis bliver det billigere for
bedrifter på jord med høj retention, hvis reguleringen mål-
rettes retentionen. Et andet eksempel er, at udgangspunktet
for normbaserede udvaskningsadgange er, at alle bedrifter i
et delvandopland skal bidrage til kvælstofreduktionen. Ud-
gangspunktet for omsættelige udvaskningsadgange er imid-
lertid, at alle bedrifter får ret til at udvaske den samme
mængde kvælstof pr. ha. De bedrifter, der udvasker meget
kvælstof i udgangspunktet, får derfor højere omkostninger
ved omsættelige udvaskningsadgange, end de bedrifter der
udvasker mindre i udgangspunktet.
14)
Landmænd indgår naturligvis også i husholdninger, og en del af
en skatte- eller afgiftslettelse vil derfor også tilfalde dem.
55
SAU, Alm.del - 2016-17 - Bilag 133: Diskussionsoplæg 2017, fra Det Miljøøkonomiske Råd
1728070_0059.png
Regulering af landbrugets kvælstofudledning. Diskussionsoplæg. Økonomi og Miljø 2017
Omkostninger
med og uden
tilbageførsel af
afgiftsprovenu
De privatøkonomiske konsekvenser af målrettede afgifter er
undersøgt på to måder. I den første variant erlægger bedrif-
terne afgiftsbetalinger til staten. I den anden variant foretag-
es en tilbageførsel af afgiftsprovenuet til landbrugssektoren.
Tilbageførslen er foretaget, så den udelukkende afhænger af
produktionsforholdene, inden reguleringen pålægges. En
sådan afkoblet tilbageføring medfører, at produktions-
beslutningen, efter reguleringen er pålagt, ikke forvrides af
tilbagebetalingen.
15
Hvis provenuet fra de målrettede afgifter tilbageføres, er
denne regulering den billigste reguleringsform pr. ha for
størstedelen af Danmarks landbrugsareal, jf. figur I.1. For
ca. 80 pct. af bedrifterne er omkostningerne mindre end 180
kr. pr. ha (målt i faktorpriser). Dette svarer til 2,1 mio. ha ud
af et samlet landbrugsareal på ca. 2,6 mio. ha. Hvis prove-
nuet ikke tilbageføres, er målrettede afgifter ca. lige så dyre
for landmændene som normbaserede udvaskningsadgange,
der er den næstdyreste af de analyserede reguleringstyper.
De privatøkonomiske konsekvenser af udvaskningsad-
gangene afhænger af, hvilken tolkning der betragtes. Ved
omsættelige udvaskningsadgange er omkostningerne mindre
end 210 kr. pr. ha. for 80 pct. af arealet. Såfremt udvask-
ningsadgangene i stedet implementeres som normreduk-
tioner, der varierer efter indsatsbehovet i de enkelte del-
vandoplande, er omkostningerne mindre end 370 kr. pr. ha
for 80 pct. af arealet. De privatøkonomiske omkostninger er
således lavere for flere, hvis udvaskningsadgangene imple-
menteres som omsættelige udvaskningsadgange, i forhold
til hvis de implementeres som normbaserede.
Målrettede
afgifter med til-
bageførsel billigst
for flest
Normbaserede
udvasknings-
adgange dyrere
end omsættelige
15)
Tilbageførslen er foretaget ved at udregne den potentielle afgifts-
betaling, som den enkelte bedrift skulle have betalt i året inden
reguleringen indføres. Dette giver et nøgletal for hver bedrift,
svarende til dens andel af det samlede potentielle afgiftsprovenu.
Efter reguleringen indføres, får hver bedrift en tilbageførsel, der
svarer til nøgletallets andel af det indkrævede provenu.
56
SAU, Alm.del - 2016-17 - Bilag 133: Diskussionsoplæg 2017, fra Det Miljøøkonomiske Råd
1728070_0060.png
I.4 Analyse af omkostninger ved forskellige reguleringer
Figur I.1
Økonomiske konsekvenser for bedrifter
Kr. pr. hektar
1.000
Differentierede normer
Normbaserede udvaskningsadgange
Omsættelige udvaskningsadgange
800
Målrettede afgifter
Målrettede afgifter med afkoblet tilbageførsel
600
400
200
0
0,0
0,5
1,0
1,5
Mio. hektar
2,0
2,5
Anm.:
Kilde:
Der er taget udgangspunkt i et indsatsbehov på 6.000 ton. For
hver regulering er bedrifterne sorteret fra laveste til højeste om-
kostninger. Den enkelte bedrifts placering på x-aksen kan såle-
des variere mellem reguleringstyper. Omkostninger til kollekti-
ve virkemidler er ikke inkluderet i figuren. For at øge figurens
læsbarhed, vises de årlige privatøkonomiske omkostninger i
faktorpriser pr. ha for de 2,5 mio. ha, der har de laveste om-
kostninger ved de forskellige reguleringstyper, ud af et samlet
landbrugsareal på 2,6 mio. ha. De ensartede normer er desuden
udeladt af figuren.
Egne beregninger.
Geografisk
omkostnings-
fordeling styres af
indsatsbehov …
Omkostningerne for den enkelte bedrift afhænger af ind-
satsbehovet i delvandoplandet, hvor bedriften er placeret.
16
Figur I.2 illustrerer omkostningernes geografiske fordeling
for to af de undersøgte reguleringer, nemlig normbaserede
udvaskningsadgange og målrettede afgifter med afkoblet
tilbageførsel af afgiftsprovenuet. Bedrifter i delvandoplande,
hvor indsatsbehovet er stort og retentionen lav, får de største
omkostninger ved målrettet regulering. Dette gælder for alle
reguleringer, der målrettes indsatsbehovet i de enkelte del-
vandoplande.
16)
Dette er dog ikke tilfældet for ensartede normer, der ikke er
målrettet forskelle i delvandoplandes indsatsbehov.
57
SAU, Alm.del - 2016-17 - Bilag 133: Diskussionsoplæg 2017, fra Det Miljøøkonomiske Råd
1728070_0061.png
Regulering af landbrugets kvælstofudledning. Diskussionsoplæg. Økonomi og Miljø 2017
… og påvirkes i
mindre grad af
reguleringstype
Målrettede afgifter giver de laveste samlede omkostninger
af de undersøgte reguleringer. Derfor er niveauet af om-
kostninger pr. ha også lavere ved denne type af regulering i
næsten alle delvandoplande, jf. figur I.2. Ser man bort fra
denne forskel i niveau, er det de samme delvandoplande,
der har de højeste omkostninger ved begge typer af regule-
ring. Dette skyldes, at reguleringerne tager udgangspunkt i
den samme geografiske fordeling af indsatsbehovet.
Figur I.2
Geografisk fordeling af omkostninger
Målrettede afgifter med tilbageførsel
Normbaserede udvaskningsadgange
Anm.:
Kilde:
Figuren viser de gennemsnitlige privatøkonomiske omkostninger pr. ha i Danmarks 90 del-
vandoplande opgjort i faktorpriser. Der er taget udgangspunkt i et indsatsbehov på 6.000 ton.
Omkostningerne til kollektive virkemidler er ikke medregnet i figuren. Fordelingen af om-
kostninger er ikke umiddelbar sammenlignelig med de delvandoplande, der ifølge Fødevare-
og landbrugspakken indgår i den målrettede regulering. Dette skyldes en række forhold, der
er beskrevet i et dokumentationsnotat, som findes på De Økonomiske Råds hjemmeside.
Egne beregninger.
58
SAU, Alm.del - 2016-17 - Bilag 133: Diskussionsoplæg 2017, fra Det Miljøøkonomiske Råd
1728070_0062.png
I.4 Analyse af omkostninger ved forskellige reguleringer
Effekt af risiko for ulovlig handel med kvælstof
Regulering kan
give incitament til
ulovlig handel
med kvælstof
Visse typer af regulering giver anledning til forskelle i vær-
dien af at tilføre et ekstra kg kvælstof til bedriften, jf. afsnit
I.3. Det betyder, at bedrifterne har et incitament til at handle
ulovligt med kvælstof, således at de, der får en stor merind-
tjening ved at øge kvælstoftilførslen, køber kvælstof af dem,
der taber relativt mindre ved at sænke kvælstoftilførslen.
Hvis der handles kvælstof fra et delvandopland uden et
reduktionsmål til et delvandopland med et reduktionsmål,
vil reduktionsmålet ikke nås. Det betyder, at reguleringen
må strammes indtil målet nås, og medfører øgede samfunds-
økonomiske såvel som privatøkonomiske omkostninger.
Der er foretaget beregningseksempler, der illustrerer mer-
omkostningerne, såfremt der opstår ulovlig handel med
kvælstof. De udførte beregninger tager udgangspunkt i et
indsatsbehov på 6.000 ton, jf. tabel I.5. En variant af denne
analyse tager udgangspunkt i en vis friktion i den ulovlige
handel, således at der kun opstår ulovlig handel, hvis der er
en væsentlig gevinst på knap 5 kr. pr. kg handlet kvælstof
ved ulovlig handel.
17
Minimumsgevinsten afspejler flere
forskellige forhold, herunder at transportomkostninger, og
deraf følgende geografiske restriktioner, kan gøre det uren-
tabelt at handle gødning over større afstande, hvis gevinsten
ikke er tilstrækkeligt stor. Det kan også have en værdi for
den enkelte ikke at overtræde gældende regler og love. Der-
til kommer en risiko for, at ulovlig handel afsløres og at
bedriften derfor pålægges en bøde. Gevinsten ved at handle
skal derfor være tilstrækkelig stor, før det opvejer risikoen
for at blive opdaget. Et øget kontrolniveau, hvilket øger
sandsynligheden for at blive opdaget, samt bødestraffens
størrelse er begge faktorer, der mindsker incitamentet til
ulovlig handel. Ovnstående forhold er ikke kvantificeret i
analysen. Det er derfor muligt, at friktionen i praksis vil
være større eller mindre end den i analysen antagne friktion.
Ulovlig handel
gør regulering
dyrere
Beregnings-
eksempler på
ulovlig handel
17)
Dette svarer til, at et ekstra kg kvælstof skal være ca. 60 pct. mere
værdifuldt end købt kvælstof, der i ESMERALDA har en værdi
på knap 7,70 kr. pr. kg.
59
SAU, Alm.del - 2016-17 - Bilag 133: Diskussionsoplæg 2017, fra Det Miljøøkonomiske Råd
1728070_0063.png
Regulering af landbrugets kvælstofudledning. Diskussionsoplæg. Økonomi og Miljø 2017
Ulovlig handel
kan firdoble
omkostninger
Beregningerne viser, at de samfundsøkonomiske omkost-
ninger kan blive mere end fire gange så store, hvis der op-
står ulovlig kvælstofhandel som følge af regulering ved
hjælp af differentierede normer eller normbaserede udvask-
ningsadgange, jf. tabel I.7. Dette er også tilfældet, såfremt
der antages en vis friktion i den ulovlige handel. De sam-
fundsøkonomiske omkostninger ved differentierede normer
stiger således til 3,83 mia. kr. i dette beregningseksempel.
De samfundsøkonomiske omkostninger ved normbaserede
udvaskningsadgange stiger til 4,52 mia. kr.
18
Tabel I.7
Omkostninger ved ulovlig handel
Ja
Ja
------
3,85
3,83
4,52
0,64
0,58
Nej
Ja
-
Nej
------ Mia. kr.
Ensartet norm
4,78 5,69
Differentierede normer
0,91 4,66
Normbaserede udvaskningsadgange 1,03 4,66
Omsættelige udvaskningsadgange
0,64 0,64
Målrettede afgifter
0,58 0,58
Anm.:
Ulovlig handel
Friktion ved ulovlig handel
Kilde:
Tabellen viser de samfundsøkonomiske omkostninger i forbru-
gerpriser. Der er taget udgangspunkt i et indsatsbehov på 6.000
ton. Første kolonne gengiver resultaterne fra sidste kolonne i
tabel I.5. Faktorpriser er omregnet til forbrugerpriser vha. en
nettoafgiftsfaktor på 1,325, jf. boks I.4.
Egne beregninger.
Ikke alle typer
regulering giver
incitament til
ulovlig handel
Det er udelukkende de typer af regulering, der er baseret på
normreduktioner, der giver incitament til ulovlig handel, jf.
afsnit I.3. Dette skyldes, at disse reguleringer giver anled-
ning til forskelle mellem bedrifterne i den marginale værdi
18)
Et måske umiddelbart overraskende resultat i tabel I.7 er, at de
samfundsøkonomiske omkostninger ved ensartede normer falder,
såfremt der opstår ulovlig handel med en vis friktion. Det skyl-
des, at de ensartede normer giver anledning til en overreduktion i
89 af 90 delvandoplande i udgangspunktet, jf. afsnit I.3. Handel
med kvælstof mellem disse 89 delvandoplande giver derfor ikke
nødvendigvis anledning til at stramme reguleringen.
60
SAU, Alm.del - 2016-17 - Bilag 133: Diskussionsoplæg 2017, fra Det Miljøøkonomiske Råd
1728070_0064.png
I.4 Analyse af omkostninger ved forskellige reguleringer
af at tilføre et ekstra kg kvælstof. De samfundsøkonomiske
omkostninger er således uændrede ved omsættelige udvask-
ningsadgange samt målrettede afgifter. Såfremt en version
af udvaskningsadgange skal implementeres, er det altså
muligt at undgå en risiko for betydeligt øgede omkostninger
som følge af ulovlig handel ved at basere reguleringen på
omsættelige udvaskningsadgange frem for normbaserede
udvaskningsadgange.
Incitament til
ulovlig handel
nødvendiggør
kontrol
De samfundsøkonomiske omkostninger ved ulovlig handel
er beregningseksempler. Det er således ikke sikkert, at ulov-
lig handel vil finde sted. Dog vil regulering, der giver inci-
tament til ulovlig handel, under alle omstændigheder nød-
vendiggøre indførelsen af et kontrolsystem, der har til for-
mål at undgå ulovlig handel. Et kontrolsystem vil i sig selv
medføre omkostninger. Disse omkostninger er ikke med-
regnet i denne analyse. Dog viser analysen, at selv når der
antages en betydelig friktion i den ulovlige handel, giver
ulovlig handel anledning til store meromkostninger. Udgif-
ter til transport af kvælstof ved ulovlig handel er heller ikke
medregnet i de præsenterede resultater. Disse omkostninger
vil i sig selv øge den samfundsøkonomiske omkostning ved
ulovlig handel.
Tilstedeværelsen af ulovlig handel kan gøre det svært at
forudse, hvordan en stramning af reguleringen påvirker
udledningerne, og der kan derfor gå lang tid før det nødven-
dige niveau af regulering opnås. Indtil dette sker, vil vand-
områdeplanernes mål ikke nås i visse delvandoplande. For-
sinket opnåelse af vandområdeplanernes mål udgør en eks-
tra omkostning, som de præsenterede beregninger ikke med-
regner. Samlet viser analysen, at der er en risiko for en væ-
sentlig stigning i de samfundsøkonomiske omkostninger
ved normbaseret regulering, hvilket skyldes ulovlig handel.
Usikkerhed om retention
Usikre retentions-
estimater kan
gøre målrettet
regulering dyrere
Retentionen for den enkelte bedrift er estimeret med en vis
usikkerhed. 95 pct. konfidensintervaller omkring retentions-
estimaterne varierer geografisk mellem ±6 pct.point og ±23
pct.point, jf. Højberg mfl. (2015). Usikkerheden på reten-
tionsestimaterne er potentielt i særlig grad en udfordring for
Ulovlig handel
kan forsinke
opfyldelse af
udledningsmål
61
SAU, Alm.del - 2016-17 - Bilag 133: Diskussionsoplæg 2017, fra Det Miljøøkonomiske Råd
1728070_0065.png
Regulering af landbrugets kvælstofudledning. Diskussionsoplæg. Økonomi og Miljø 2017
de reguleringer, der differentierer reguleringen efter retenti-
onen, dvs. differentierede normer og målrettede afgifter.
Analyse belyser
meromkostninger
ved regulering
der er målrettet
retentionen
Der er foretaget en analyse, som belyser, i hvilken udstræk-
ning usikkerheden om den sande retention påvirker de sam-
fundsøkonomiske omkostninger ved forskellige typer af
regulering. Analysen tager udgangspunkt i, at der reguleres
på baggrund af det oprindelige retentionsestimat, men at
den faktiske retention kan adskille sig fra dette. Den regule-
rende myndighed observerer delvandoplandets samlede
udledning, men ikke den enkelte bedrifts udledning, og kan
nu stramme eller slække på reguleringen for delvandop-
landet som helhed for at nå udledningsmålet.
Analysen er foretaget ved at trække 500 simulerede forde-
linger af den faktiske, men ukendte, retention. Disse forde-
linger er trukket på baggrund af de geografisk differentiere-
de usikkerhedsestimater. For hver af disse simuleringer er
den nødvendige regulering og den resulterende samfunds-
økonomiske omkostning bestemt. Endeligt er de gennem-
snitlige samfundsøkonomiske omkostninger og 95 pct. kon-
fidensinterval beregnet. De ensartede normer er udeladt af
analysen, idet reguleringen ved denne reguleringsform ikke
kan strammes eller slækkes for et enkelt delvandopland.
Usikkerhed om retentionen medfører højere samfunds-
økonomiske omkostninger ved alle undersøgte typer af re-
gulering, jf. tabel I.8. Det skyldes, at de delvandoplande,
hvor reguleringen skal strammes for at opnå målet, giver
større meromkostninger, end der spares, i de delvandop-
lande hvor reguleringen kan slækkes. Dette skyldes stigende
marginale omkostninger ved regulering.
Som tidligere nævnt, kan der være en ekstra effekt for de
reguleringer, der er målrettet retentionen, dvs. differentiere-
de normer og målrettede afgifter. Denne effekt skyldes, at
målretningen i forhold til retention er foretaget på et usik-
kert grundlag. Der, hvor retentionen er overvurderet, bliver
bedrifterne reguleret for lidt, og der, hvor retentionen er
undervurderet, bliver bedrifterne reguleret for meget. Det
medfører, at gevinsten ved at målrette efter retentionen
mindskes, når retentionen er behæftet med usikkerhed. Der
Baseret på
simulationer af
faktisk retention
Usikkerhed giver
meromkostninger
ved regulering …
… men ikke i
særlig grad for
regulering mål-
rettet retentionen
62
SAU, Alm.del - 2016-17 - Bilag 133: Diskussionsoplæg 2017, fra Det Miljøøkonomiske Råd
1728070_0066.png
I.4 Analyse af omkostninger ved forskellige reguleringer
er dog en modsatrettet effekt, idet regulering på baggrund af
et usikkert retentionsestimat stadig giver lavere omkostnin-
ger end slet ikke at regulere efter retentionen. Når regule-
ringen skal strammes yderligere på grund af usikkerhed om
retentionen, foretages disse stramninger derfor billigst med
de reguleringer, der er målrettet retentionen. Den foretagne
analyse viser, at omkostningerne ved de reguleringer, der er
målrettet retentionen, ikke stiger mere end de reguleringer,
der ikke er. De to effekter beskrevet i dette afsnit er altså
enten ikke vigtige i praksis, eller af omtrentligt samme stør-
relsesorden, således at de ophæver hinanden.
Tabel I.8
Omkostninger ved usikkerhed om retentionen
Nej
0,91
1,03
0,64
0,58
Ja
0,93
[0,85-1,01]
1,05
[0,95-1,14]
0,65
[0,60-0,70]
0,58
[0,54-0,61]
---- Mia. kr. ----
Usikkerhed om retentionen?
Differentierede normer
Normbaserede udvaskningsadgange
Omsættelige udvaskningsadgange
Målrettede afgifter
Anm.:
Kilde:
Tabellen angiver de gennemsnitlige årlige samfundsøkonomi-
ske omkostninger, såfremt der er usikkerhed på retentionen.
Stigningen i omkostningen ved usikkerhed om retentionen ved
målrettede afgifter kan ikke ses pga. afrunding. De kantede pa-
renteser angiver et 95 pct. konfidensinterval. Beregningerne ta-
ger udgangspunkt i 500 simulerede fordelinger af den sande re-
tention. Simulationerne er kalibreret, således at den gennem-
snitlige retention i hvert delvandopland er uændret.
Egne beregninger.
Målrettede
afgifter billigst
trods usikkerhed
Analysen viser, at målrettede afgifter fortsat er den billigste
reguleringsform, når der er usikkerhed om retentionen.
Usikkerheden giver anledning til en vis usikkerhed om de
samlede omkostninger. Eksempelvis overlapper konfidens-
intervallerne for de målrettede afgifter og de omsættelige
63
SAU, Alm.del - 2016-17 - Bilag 133: Diskussionsoplæg 2017, fra Det Miljøøkonomiske Råd
1728070_0067.png
Regulering af landbrugets kvælstofudledning. Diskussionsoplæg. Økonomi og Miljø 2017
udvaskningsadgange. Dog er det de samme simulationer,
der giver høje og lave omkostninger på tværs af regulering-
er. I ingen af de 500 simulationer, som beregningerne byg-
ger på, giver omsættelige udvaskningsadgange lavere årlige
omkostninger end målrettede afgifter, og det er derfor højst
usandsynligt at usikkerheden om retentionen i praksis æn-
drer på, at de målrettede afgifter vil være den samfunds-
økonomisk billigste regulering.
Analyse stemmer
med tidligere
resultater
Resultaterne af denne analyse er i overensstemmelse med en
analyse af omkostningerne ved målrettet kvælstofregulering
i Limfjorden, som fandt at usikkerhed om retentionen kun
gav anledning til beskedne stigninger i omkostningerne ved
regulering, jf. De Økonomiske Råds formandskab (2015).
Andre eksternaliteter ved kvælstof
Indsatsbehov i
forhold til andre
hensyn end kyst-
vandet
Landbrugets udvaskning af kvælstof til rodzonen giver ikke
kun anledning til en miljøpåvirkning af kystvandet. En del
af den udvaskede kvælstof udledes til grundvandet, hvor det
omdannes til nitrat. Høje koncentrationer af nitrat i grund-
vandet kan udgøre en sundhedsrisiko, når grundvandet an-
vendes til drikkevand. Der kan også være lokale indsatsbe-
hov i forhold til kvælstofbelastningen af følsomme natur-
områder, såsom de såkaldte habitatområder, jf. afsnit I.2.
Afskaffelsen af den hidtidige normregulering har resulteret i
et indsatsbehov for ikke at forringe grundvandets tilstand, jf.
Troldborg mfl. (2016). En ny regulering af landbrugets
kvælstofudledning, der er målrettet opnåelse af god øko-
logisk tilstand i kystvandene, opnår muligvis ikke dette
indsatsbehov i forhold til grundvandet. Jo mere målrettet
reguleringen er i forhold til kystvandet, jo større er risikoen
for, at indsatsbehovet i forhold til grundvandet ikke opnås.
Ny, målrettet
regulering kan
forringe grund-
vandets tilstand
64
SAU, Alm.del - 2016-17 - Bilag 133: Diskussionsoplæg 2017, fra Det Miljøøkonomiske Råd
1728070_0068.png
I.4 Analyse af omkostninger ved forskellige reguleringer
Beregnings-
eksempler på
grundvands-
indsats
Der er foretaget beregningseksempler, der illustrerer, hvad
det betyder for de samfundsøkonomiske omkostninger,
såfremt reguleringen i forhold til kystvandet også skal tage
højde for et indsatsbehov i forhold til grundvandet.
19
Der er
taget udgangspunkt i en opgørelse af indsatsbehovet i for-
hold til grundvandet, som følger af Fødevare- og landbrugs-
pakken og den resulterende ophævelse af de hidtidige ensar-
tede normer. Der er ikke foretaget analyser på det indsats-
behov, som der skal til for at opnå målet om god grund-
vandstilstand, jf. EU’s vandrammedirektiv.
20
Beregningerne er behæftet med en vis usikkerhed. Dette
skyldes, at indsatsbehovet til grundvandet er opgjort på
såkaldte ID15-områder, der er mindre end mange af de
delvandoplande, som indsatsbehovet i forhold til kystvandet
er opgjort på. Imidlertid har fordelingen af Danmarks be-
drifter i de foretagne modelberegninger kun været tilgænge-
lig på det mere aggregerede delvandoplandsniveau. Det har
derfor været nødvendigt at antage en fordeling af indsats-
behovet for grundvand indenfor de enkelte delvandoplande.
Beregningerne illustrerer således de meromkostninger, som
et lokalt differentieret indsatsbehov giver anledning til, men
giver ikke nødvendigvis et præcist estimat af meromkost-
ningerne. Usikkerheden om de præcise estimater påvirker
dog ikke rangordningen af reguleringer, da et andet indsats-
behov ikke påvirker principperne bag reguleringerne.
Den mest hensigtsmæssige måde at regulere for at opfylde
et separat indsatsbehov, såsom et indsatsbehov i forhold til
grundvandet, er at indrette separat regulering, der håndterer
dette indsatsbehov. Derved målrettes reguleringen i forhold
19)
I den foretagne beregning er indsatsbehovet opgjort i forhold til at
grundvandet ikke må forringes i forhold til en grænseværdi på 50
mg nitrat pr. liter i over 20 pct. af den enkelte grundvandsfore-
komst, jf. Troldborg mfl. (2016). Desuden er baseline-effekter fra
udtagning af landbrugsjord m.m. frem mod 2021 fratrukket ind-
satsbehovet. Dette er konsistent med, hvordan baseline-effekter er
indregnet i vandområdeplanernes indsatsbehov i forhold til kyst-
vandet.
Det bemærkes, at omkostningerne ved at opnå de fulde indsats-
behov for at leve op til målene i EU’s vandrammedirektiv kan
være væsentligt større.
Beregninger
illustrerer
meromkostninger
Regulering bør
målrettes alle
indsatsbehov …
20)
65
SAU, Alm.del - 2016-17 - Bilag 133: Diskussionsoplæg 2017, fra Det Miljøøkonomiske Råd
1728070_0069.png
Regulering af landbrugets kvælstofudledning. Diskussionsoplæg. Økonomi og Miljø 2017
til de forskellige indsatsbehov, hvilket reducerer de samlede
omkostninger. Fordelene ved flere reguleringssystemer skal
dog vejes op mod den øgede kompleksitet, som flere separa-
te reguleringer medfører for den enkelte bedrift.
… hvilket er
naturligt ved
målrettede
afgifter
Med målrettede afgifter er det muligt at foretage hensigts-
mæssig regulering i forhold til flere forskellige indsatsbe-
hov, uden at kompleksiteten øges for den enkelte landmand.
Det skyldes, at flere sæt af målrettede afgifter kan kombine-
res til et enkelt sæt af dyrkningsafgifter. Selvom to sæt af
målrettede afgifter indrettes efter at nå hvert deres mål, skal
landmanden fortsat kun forholde sig til ét enkelt sæt af
dyrkningsafgifter. I modsætning hertil vil f.eks. to sæt af
normbaserede udvaskningsadgange øge kompleksiteten af
reguleringen for den enkelte landmand. Det er ligeledes
svært at se, hvordan et system med to sæt omsættelige ud-
vaskningsadgange, der målrettes hvert sit indsatsbehov, kan
indrettes uden en væsentlig kompleksitetsforøgelse.
I analysen er det forudsat, at det kombinerede indsatsbehov
skal opnås uden at reguleringens kompleksitet øges for
landmanden. Ved omsættelige udvaskningsadgange antages
det derfor, at det samlede niveau af kvoter i et delvand-
opland må reduceres for at opnå det kombinerede indsats-
behov. Ved de normbaserede reguleringer antages det til-
svarende, at reguleringen i hele delvandoplandet må stram-
mes. Reguleringens kompleksitet i forhold til den enkelte
landmand er således uændret. Men stramningen af regule-
ringen i hele delvandoplande giver anledning til overopfyld-
else af indsatsbehovet på den jord, hvor der ikke er et ind-
satsbehov i forhold til grundvandet. Dette øger regulering-
ens samlede omkostninger.
De samfundsøkonomiske omkostninger stiger ved alle for-
mer for regulering på nær de ensartede normer, som dog i
udgangspunktet er væsentligt dyrere end de andre typer af
regulering, jf. tabel I.9. For målrettede afgifter er stigningen
i de samfundsøkonomiske omkostninger på blot 4 mio. kr.,
og efter afrunding er der derfor ingen synlig forskel i om-
kostningerne i tabel I.9. Rangordningen af de forskellige
typer af regulering påvirkes ikke af introduktionen af et
yderligere geografisk differentieret indsatsbehov.
Analysen
forudsætter
uændret
kompleksitet
Målrettede
afgifter billigst
66
SAU, Alm.del - 2016-17 - Bilag 133: Diskussionsoplæg 2017, fra Det Miljøøkonomiske Råd
1728070_0070.png
I.4 Analyse af omkostninger ved forskellige reguleringer
Tabel I.9
Omkostninger ved kombineret indsats ift.
kystvand og grundvand
Nej
4,78
0,91
1,03
0,64
0,58
Ja
4,78
0,96
1,07
0,67
0,58
------ Mia. kr. ------
Indsatsbehov på grundvand?
Ensartet norm
Differentierede normer
a)
Normbaserede udvaskningsadgange
Omsættelige udvaskningsadgange
Målrettede afgifter
b)
a)
b)
Anm.:
Kilde:
Differentierede normer kan målrettes grundvandets indsatsbe-
hov ned på ID15-områder uden øget kompleksitet. Dette er ikke
gjort i denne analyse. En sådan målretning vil dog ikke påvirke
rangordningen af reguleringerne, idet ingen regulering, der før
var billigere end differentierede normer, er dyrere end denne,
når der tages hensyn til grundvandets indsatsbehov.
De samfundsøkonomiske omkostninger ved målrettede afgifter
stiger med 4 mio. kr., hvilket ikke kan ses pga. afrunding.
Tabellen viser de samfundsøkonomiske omkostninger i forbru-
gerpriser. Der er taget udgangspunkt i et indsatsbehov på 6.000
ton. Faktorpriser er omregnet til forbrugerpriser vha. en netto-
afgiftsfaktor på 1,325, jf. boks I.4.
Egne beregninger.
Principper
dækker også
andre geografisk
differentierede
indsatsbehov
De foretagne beregninger illustrerer fordele og ulemper ved
forskellige reguleringsmekanismer med udgangspunkt i
dette indsatsbehov. Principperne bag beregningen gælder
dog også, såfremt reguleringen skal opnå et andet, geogra-
fisk differentieret indsatsbehov. Således gælder principper-
ne bag de foretagne beregninger også andre lokale indsats-
behov som eksempelvis mål i forhold til habitatområder
eller det resterende indsatsbehov i forhold til målsætningen
for grundvandets tilstand i EU’s vandrammedirektiv.
Langsigtede konsekvenser af regulering
Forurening bør
flytte hen hvor
miljøpåvirkning
er lav
Miljøpåvirkningen af kvælstofudledning er geografisk diffe-
rentieret. Indsatsbehovet varierer således mellem delvand-
oplande, fordi der er forskelle i kvælstofudledningernes
miljøpåvirkning fra delvandopland til delvandopland. Inden
67
SAU, Alm.del - 2016-17 - Bilag 133: Diskussionsoplæg 2017, fra Det Miljøøkonomiske Råd
1728070_0071.png
Regulering af landbrugets kvælstofudledning. Diskussionsoplæg. Økonomi og Miljø 2017
for de enkelte delvandoplande er miljøpåvirkningen større i
de områder, hvor retentionen er lav. Det er derfor sam-
fundsøkonomisk hensigtsmæssigt, hvis den landbrugs-
produktion, der genererer relativt store kvælstofudvaskning-
er, på sigt flytter til jord med høj retention og til delvandop-
lande, hvor indsatsbehovet er lille eller ikke-eksisterende.
Reguleringer
giver incitament
til dette i
forskellig grad
De forskellige typer af regulering giver incitament til en
sådan omlægning i varierende grad, jf. diskussionen i afsnit
I.3. De samfundsøkonomiske gevinster ved sådanne lang-
sigtede omlægninger er derfor forskellige fra regulering til
regulering. Eventuelle samfundsøkonomiske gevinster fra
sådanne omlægninger indgår ikke i beregningerne af de
samfundsøkonomiske omkostninger, jf. boks I.4. Dette af-
snit præsenterer en analyse af, i hvor høj grad de forskellige
reguleringer giver de rette incitamenter til sådanne struktu-
relle omlægninger.
Analysen foretages ved at betragte, hvordan incitamenterne,
som den enkelte landmand står overfor ved de forskellige
reguleringer, adskiller sig fra incitamenterne ved en optimal
regulering, der giver den enkelte landmand de korrekte inci-
tamenter til at foretage omlægninger af produktionen, der
passer bedre til de lokale indsatsbehov. Både incitamenter,
der er for lave, og incitamenter, der er for store i forhold til
den optimale regulering, er problematiske. Eksempelvis vil
en regulering, der ikke tager højde for retentionen, ikke give
anledning til, at produktionen på lavretentionsjorde omlæg-
ges til produktion, der udvasker mindre kvælstof. Og om-
vendt vil den samme regulering ikke give anledning til, at
produktion, der udvasker meget kvælstof, flytter til jorde
med høj retention. Incitamenterne er målt som de omkost-
ninger, reguleringerne påfører landmændene. Incitaments-
forvridningen er derfor opgjort som den gennemsnitlige
absolutte afvigelse i jordrenten fra den optimale regulering.
21
Gennemsnitlig
incitaments-
forvridning
beregnes
21)
For flere detaljer om den anvendte optimale afgift henvises til et
dokumentationsnotat, som findes på De Økonomiske Råds
hjemmeside.
68
SAU, Alm.del - 2016-17 - Bilag 133: Diskussionsoplæg 2017, fra Det Miljøøkonomiske Råd
1728070_0072.png
I.4 Analyse af omkostninger ved forskellige reguleringer
Målrettede
afgifter giver
hensigtsmæssige
incitamenter
Målrettede afgifter giver den absolut mindste incitaments-
forvridning på 2 kr. pr. ha, jf. tabel I.10. Det skyldes, at
denne form for regulering er målrettet retentionen, og giver
derfor de rette incitamenter i forhold til at omlægge bedrif-
ter, der udvasker meget kvælstof til jord med høj retention.
Tabel I.10
Langsigtede konsekvenser af regulering
Samfunds- Incitaments-
økonomisk forvridning
omkostning
Mia. kr.
Kr. pr. ha
1.091
88
119
76
120
2
Ensartet norm
Differentierede normer
Normbaserede UA
Omsættelige UA
Omsættelige UA, ikke afkoblet
Målrettede afgifter
Anm.:
4,78
0,91
1,03
0,64
0,64
0,58
Kilde:
De samfundsøkonomiske omkostninger angiver omkostninger i
forbrugerpriser ekskl. gevinster fra strukturel omlægning af
landbruget. Incitamentsforvridning er den gennemsnitlige abso-
lutte afvigelse pr. ha i jordrenten ved forskellige regulerings-
mekanismer fra den optimale regulering. Incitamentsforvrid-
ningen er opgjort i faktorpriser. UA står for udvaskningsadgan-
ge. Der er taget udgangspunkt i et indsatsbehov på 6.000 ton.
Egne beregninger.
Omsættelige
udvasknings-
adgange bedre
end norm-
baserede …
… hvis tildelingen
af kvoter er
afkoblet
Omsættelige udvaskningsadgange giver den næstmindste
incitamentsforvridning af de undersøgte reguleringer. Inci-
tamentsforvridningen er på 76 kr. pr. ha. Forvridningen ved
normbaserede udvaskningsadgange er endnu højere end
dette, nemlig 119 kr. pr. ha.
Hvis tildelingen af de omsættelige udvaskningsgange ikke
er afkoblet produktionen, giver det mindre hensigtsmæssige
incitamenter til at flytte produktionen på lang sigt. Incita-
mentsforvridningen ved en ikke-afkoblet tildeling af ud-
vaskningsadgange er 120 kr. pr. ha, og er således på niveau
med incitamentsforvridningen ved normbaserede udvask-
ningsadgange.
69
SAU, Alm.del - 2016-17 - Bilag 133: Diskussionsoplæg 2017, fra Det Miljøøkonomiske Råd
1728070_0073.png
Regulering af landbrugets kvælstofudledning. Diskussionsoplæg. Økonomi og Miljø 2017
Sammenfatning
Gevinst ved
at benytte
målrettede
afgifter
Analysens hovedresultat er, at målrettede afgifter er den
reguleringsform, der giver de laveste samfundsøkonomiske
omkostninger. Det skyldes, at målrettede afgifter tager høj-
de for forskelle i forhold til kvælstofreduktionsmål, reten-
tionsforskelle samt marginale reduktionsomkostninger, jf.
afsnit I.3. Dertil kommer visse uhensigtsmæssige incitamen-
ter, såsom et uhensigtsmæssigt højt forbrug af husdyrgød-
ning, ved at benytte regulering baseret på normreduktioner.
Omkostningerne ved de såkaldte udvaskningsadgange af-
hænger af den specifikke implementering. En implemen-
tering, der er baseret på omsættelige udvaskningsadgange,
giver en årlig besparelse på ca. 400 mio. kr., sammenlignet
med den normbaserede implementering. Omsættelige ud-
vaskningsadgange har næsten ligeså lave årlige samfunds-
økonomiske omkostninger som målrettede afgifter.
Alle de undersøgte reguleringer giver højere omkostninger
for nogle bedrifter end andre. Dette er i høj grad drevet af
forskelle i indsatsbehov fra delvandopland til delvandop-
land. Valget af reguleringstype påvirker i højere grad ni-
veauet af omkostninger end fordelingen af omkostninger
mellem bedrifter. Såfremt provenuet fra de målrettede afgif-
ter tilbageføres, er målrettede afgifter den mindst økono-
misk belastende regulering for størstedelen af Danmarks
bedrifter. Omsættelige udvaskningsadgange er ligeledes
mindre økonomisk belastende end normbaserede udvask-
ningsadgange for de fleste bedrifter.
Analysen viser desuden, at hvis der opstår ulovlig handel
med kvælstof, som følge af regulering ved hjælp af norm-
baserede udvaskningsadgange eller differentierede normer,
kan det give anledning til en væsentlig forøgelse af de sam-
fundsøkonomiske omkostninger. Ulovlig handel kan også
medføre, at tidspunktet, for hvornår miljømålsætningen
opnås, bliver udskudt. Disse forhold gør normbaserede ud-
vaskningsadgange samt differentierede normer til usikre
reguleringsværktøjer. Omsættelige udvaskningsadgange
samt målrettede afgifter giver ikke incitament til ulovlig
Udvasknings-
adganges
omkostninger
afhænger af
implementering
Effektivitet
påvirker ikke
omkostnings-
fordeling
Ulovlig handel
kan øge velfærds-
tabet ved visse
reguleringstyper
70
SAU, Alm.del - 2016-17 - Bilag 133: Diskussionsoplæg 2017, fra Det Miljøøkonomiske Råd
1728070_0074.png
I.4 Analyse af omkostninger ved forskellige reguleringer
handel, og denne risiko undgås derfor, hvis en af disse regu-
leringsmekanismer vælges.
Målrettede
afgifter er bedst
trods usikkerhed
om retention
Den bedst tilgængelige viden om retentionen er opgjort med
en vis usikkerhed. Det betyder, at analysen muligvis over-
vurderer omkostningseffektiviteten for de reguleringsfor-
mer, der er målrettet retentionen. En følsomhedsanalyse
viser dog, at målrettede afgifter stadig er den regulerings-
form, der giver de laveste samfundsøkonomiske omkost-
ninger på trods af usikkerheden forbundet med de benyttede
retentionstal, og rangordningen af reguleringstyper er i øv-
rigt ikke ændret.
Landbrugets gødskning giver anledning til andre eksternali-
teter end påvirkningen af kystvandet. Et vigtigt eksempel
herpå er en negativ påvirkning af grundvandets kvalitet.
Denne eksternalitet håndteres bedst ved at indføre et sæt af
målrettede afgifter, der målrettes grundvandsbehovet. Dette
fører til en omkostningseffektiv opnåelse af begge indsats-
behov uden at øge kompleksiteten af reguleringen for den
enkelte bedrift. Dette skyldes, at to sæt af målrettede afgif-
ter kan kombineres til ét sæt af dyrkningsafgifter, som be-
driften kan træffe sin produktionsbeslutning i forhold til.
Opgørelsen af de samfundsøkonomiske omkostninger i
denne analyse inkluderer ikke eventuelle gevinster, der kan
opnås på sigt ved at flytte den del af landbrugsproduktionen
der udvasker mest kvælstof til områder, hvor dette påvirker
miljøet mindst. Reguleringerne giver incitament til denne
type af omlægninger i forskellig grad. En følsomhedsanaly-
se viser, at de målrettede afgifter giver de mest hensigts-
mæssige incitamenter til sådanne omlægninger af de under-
søgte reguleringer. De langsigtede gevinster forventes der-
for at være størst ved denne type af regulering.
Andre
indsatsbehov
håndteres bedst
af målrettede
afgifter
Målrettede
afgifter giver
bedst incitament
til strukturelle
omlægninger
71
SAU, Alm.del - 2016-17 - Bilag 133: Diskussionsoplæg 2017, fra Det Miljøøkonomiske Råd
1728070_0075.png
Regulering af landbrugets kvælstofudledning. Diskussionsoplæg. Økonomi og Miljø 2017
I.5
Implementering
af de målrettede
afgifter
Implementering
Resultaterne fra afsnit I.4 viste, at de laveste omkostninger
ved at regulere landbrugets kvælstofudledning til kyst-
vandene vil være med målrettede afgifter. I det følgende
beskrives, hvorledes de målrettede afgifter kan tænkes im-
plementeret i praksis. Efterfølgende diskuteres, hvordan
udvaskningsadgangene bedst kan implementeres, hvis man
vælger denne regulering. Til sidst diskuteres andre mere
generelle forhold vedrørende målrettet regulering af land-
brugets kvælstofudledning, herunder forholdet til regulering
af andre eksternaliteter.
Implementering af målrettede afgifter
Hver landmand
oplyses om en
dyrkningsafgift
for hver afgrøde
I praksis implementeres målrettede afgifter ved, at regulator
fastsætter en afgift pr. udledt kg kvælstof differentieret efter
indsatsbehovet i hvert delvandopland, retention, jordtype
mv. for hver bedrift. Dette udmeldes som et sæt af dyrk-
ningsafgifter til den enkelte bedrift, så landmanden kan se,
hvad dyrkningsafgiften pr. ha bliver, afhængig af hvilken
afgrøde han vælger at dyrke. Husdyrhold giver ligeledes et
afgiftstillæg, idet brug af husdyrgødning resulterer i en stør-
re udledning end brug af kunstgødning.
Tabel I.11 giver eksempler på afgiften på beregnet udled-
ning og de dertil hørende dyrkningsafgifter på lerjord. Det
ses, at der er store variationer både mellem delvandoplande
og inden for det samme delvandopland. De knap 1.200 kr.
pr. ha i Karrebæk Fjord er blandt de højeste afgifter i bereg-
ningerne. Denne høje afgift afspejler både et højt indsats-
behov, en lav retention og valget af en afgrøde, med en
relativt høj udvaskning. De 0 kr. pr. ha i Guldborgsund af-
spejler, at der her ikke er noget indsatsbehov. I et opland
som Karrebæk Fjord vil der formentlig være områder, hvor
det ikke længere kan betale sig at have landbrugsdrift, da
dyrkningsafgifterne bliver for høje til, at landbrugsdrift er
rentabel. I modelberegningerne vil omkring en tredjedel af
arealet i dette opland med en retention under 40 pct. lægges
brak, som en konsekvens af de høje afgifter. I hele delvand-
oplandet vil braklægningen ifølge beregningerne stige fra 2
pct. til godt 20 pct. af landbrugsarealet. I modellen kan be-
Dyrkningsafgifter
kan variere meget
mellem
landmænd
72
SAU, Alm.del - 2016-17 - Bilag 133: Diskussionsoplæg 2017, fra Det Miljøøkonomiske Råd
1728070_0076.png
I.5 Implementering
drifterne ikke tage jorden helt ud af drift, men det vil nok i
praksis være tilfældet for en del af det areal, som lægges
brak i modellen.
Efterafgrøder
reducerer
dyrkningsafgift
efter værdi af
effekt
Udover at vælge afgrøder med en lavere dyrkningsafgift,
kan bedrifterne også vælge at nedbringe afgiften ved f.eks.
at anvende efterafgrøder. Dyrkningsafgiften reduceres med
værdien af den kvælstofreduktion, som efterafgrøderne
medfører. I tabel I.11 ses det, hvordan værdien af at an-
vende efterafgrøder, lige som dyrkningsafgifterne, varierer
med indsatsbehovet og retentionen. Det betyder, at incita-
mentet til at anvende efterafgrøder er langt større i oplandet
til Karrebæk Fjord end i oplandet til Køge Bugt.
22
Tabel I.11 viser eksempler for dyrkningsafgifter på lerjord i
fire delvandoplande. Dyrkningsafgifterne vil være ander-
ledes på sandjord og kan desuden gøres afhængige af, hvad
der blev dyrket året før. Dette giver ét sæt af dyrknings-
afgifter for den enkelte bedrift, som f.eks. kan formidles
som tabeller eller som et beregningsværktøj, hvor afgrøde-
valg og husdyrhold indtastes, før man kan se den eksakte
dyrkningsafgift pr. ha. Da gødning med husdyrgødning
giver en højere udvaskning, skal der desuden betales en
merafgift pr. dyreenhed, hvis bedriften har husdyr. Mer-
afgiften skal svare til den merudledning, som anvendelsen
af husdyrgødningen beregnes at ville medføre, og differen-
tieres efter indsatsbehovet.
23
For den enkelte landmand ud-
meldes én afgift pr. dyreenhed på bedriften.
Udformning af
afgifter
22)
Effekten af efterafgrøder og dermed størrelsen af afgiftsreduk-
tionen afhænger også af jordtypen, og hvad der gødes med, lige-
som for dyrkningsafgifterne.
Afgiften sættes ud fra standarder for, hvad jordtype, retention mv.
betyder for merudvaskningen.
23)
73
SAU, Alm.del - 2016-17 - Bilag 133: Diskussionsoplæg 2017, fra Det Miljøøkonomiske Råd
1728070_0077.png
Regulering af landbrugets kvælstofudledning. Diskussionsoplæg. Økonomi og Miljø 2017
Tabel I.11
Eksempler på dyrkningsafgifter på lerjord i fire delvandoplande
Guldborg-
Køge
Odense
Karrebæk
sund
Bugt
Fjord
Fjord
--------------- Kr. pr. kg udledt kvælstof ---------------
Afgift på beregnet udledning
0
2
16
24
------------------------ Kr. pr. ha ------------------------
Retention = 35 pct.
Vårbyg
0
114
764
1.178
Havre
0
83
561
865
Frøgræs
0
40
270
417
a)
Brak
0
7
44
68
Efterafgrøder
0
-34
-227
-350
Retention = 85 pct.
Vårbyg
0
26
176
272
Havre
0
19
129
200
Frøgræs
0
9
62
96
Brak
a)
0
2
10
16
Efterafgrøder
0
-8
-52
-81
------------------ Kr. pr. dyreenhed --------------------
Merafgift ved husdyr
Retention = 35 pct.
0
16
130
195
Retention = 85 pct.
0
4
30
45
a)
Brak er ikke det samme som at tage jorden helt ud af drift, idet arealet skal holdes i en stand,
så det nemt kan indgå i drift igen. Der vil derfor være en lidt højere udvaskning herfra end fra
et naturareal og dermed også en positiv afgift.
Tabellen viser eksempler på variationen i afgifternes størrelse pr. ha på lerjord afhængig af
afgrødevalg, retention og delvandopland (indsatsbehov), sådan som de er beregnet, jf. afsnit
I.4 i det scenarie, hvor der regnes på et totalt mål på 6.000 ton kvælstof. Der er taget ud-
gangspunkt i, at der gødes driftsøkonomisk optimalt med kunstgødning. Tabellen viser også
eksempler på værdien af at anvende efterafgrøder i de forskellige delvandoplande samt ek-
sempler på merafgiften pr. dyreenhed. En dyreenhed svarer til 100 kg kvælstof i husdyrgød-
ning og svarer f.eks. til 0,88 jersey malkeko, 39 slagtesvin på 32-107 kg eller godt 3.000 slag-
tekyllinger på op til 35 dage.
Eriksen mfl. (2014), Jensen (2017) og egne beregninger.
Anm.:
Kilde:
74
SAU, Alm.del - 2016-17 - Bilag 133: Diskussionsoplæg 2017, fra Det Miljøøkonomiske Råd
1728070_0078.png
I.5 Implementering
Alle virkemidler
indgår i
reguleringen
Alle kvælstofreducerende virkemidler kan indgå i regu-
leringen med afgiftsreduktioner, som svarer til værdien af
den reduktion i udledningen, som anvendelsen af virkemid-
let beregnes at medføre.
24
Investerer bedriften f.eks. i et
minivådområde, vil bedriften kunne få en reduktion i afgif-
ten, som svarer til værdien af minivådområdets effekt i det
pågældende delvandopland. Ved at integrere så mange vir-
kemidler som muligt i reguleringen kan landmanden frit
vælge, hvordan han bedst muligt tilpasser sig reguleringen.
Da landmanden må formodes at være den, der bedst ved,
hvad der kan betale sig på lige præcis hans bedrift, giver det
en mere omkostningseffektiv regulering. I nogle tilfælde
kan der være flere bedrifter, som går sammen om et større
projekt såsom et vådområde, og som dermed selv kan aftale,
hvordan de vil dele afgiftsreduktionen.
Nye virkemidler kan indgå i reguleringen, når der er viden
nok til at beregne deres effekt. Eksempler på virkemidler,
som der forskes i, er positionsbestemt tilførsel af gødning og
bredere konstruerede randzoner, jf. Eriksen mfl. (2014).
25
Nogle arealanvendelser såsom braklægning og vedvarende
græs har lavere udledning, jo flere år i træk det anvendes det
samme sted. Der vil således stadig være en udledning de
første år, som er højere end den naturlige udledning fra
arealet, og der vil dermed også være en tilsvarende (lav)
afgift på arealet. Denne afgift bør i princippet falde yderli-
gere i takt med, at den beregnede udledning fra området
falder. Det vil give et incitament til f.eks. at lægge den
samme mark brak flere år i træk.
Nye virkemidler
kan inddrages,
når der er viden
nok
Større effekt over
tid bør resultere i
lavere afgift over
tid
24)
Virkemidlernes effekter på andre eksternaliteter såsom nitrat i
grundvand, drivhusgasser mv. kan retfærdiggøre yderligere af-
giftsreduktioner eller subsidier udover værdien af kvælstofreduk-
tionen, jf. diskussion senere i afsnittet.
Virkemidler såsom muslingeopdræt, som fysisk ligger uden for
bedriften, bør tilsvarende gives støtte, der svarer til deres miljø-
gevinst. Således bør virksomheder og personer, som driver f.eks.
muslingefarme, modtage tilskud, som modsvarer afgiftsværdien
af de resulterende kvælstofreduktioner.
25)
75
SAU, Alm.del - 2016-17 - Bilag 133: Diskussionsoplæg 2017, fra Det Miljøøkonomiske Råd
1728070_0079.png
Regulering af landbrugets kvælstofudledning. Diskussionsoplæg. Økonomi og Miljø 2017
Regulator
beregner
bedriftens afgift
ud fra produktion
og virkemidler
Tabel I.12 beskriver henholdsvis bedrifternes og regulators
opgaver i denne regulering. Efter at regulator har oplyst de
enkelte bedrifter om deres mulige dyrkningsafgifter, mulig-
heder for afgiftsreduktioner mv. skal landmanden beslutte,
hvordan han bedst muligt optimerer sin produktion under
disse vilkår. Når landmanden på denne baggrund har beslut-
tet afgrødevalg, antal husdyr, om der skal etableres et mini-
vådområde osv., skal dette indberettes til regulator. Regula-
tor skal herefter beregne den samlede afgift, som bedriften
skal betale.
26
Tabel I.12
Skitse af processen i reguleringen med målrettede afgifter
Bedriftens opgaver
Regulators opgaver
1. Beregne udledningsafgifter (kr. pr.
udledt kg kvælstof) for hvert del-
vandopland
2. Beregne og formidle mulige dyrk-
ningsafgifter (kr. pr. ha afhængig af
afgrødevalg) og værdi af reduce-
rende tiltag til hver bedrift
3. Beslutte afgrødevalg, husdyrproduk-
tion, deltagelse i større projekter mv.
4. Indberette valg
5. Kontrollere indberettede oplys-
ninger
6. Beregne og opkræve total afgift fra
hver bedrift
26)
Der kan her i princippet godt blive tale om en negativ afgift, dvs.
at bedriften samlet modtager et subsidie, hvis de kvælstofreduce-
rende effekter af anvendte virkemidler er større end udledningen
fra produktionen.
76
SAU, Alm.del - 2016-17 - Bilag 133: Diskussionsoplæg 2017, fra Det Miljøøkonomiske Råd
1728070_0080.png
I.5 Implementering
Retention på
detaljeret niveau
Som det fremgår af beregningerne i afsnit I.4, er der en
gevinst ved at tage højde for geografiske forskelle i reten-
tionen fremfor at anvende et gennemsnit på delvandop-
landsniveau. Det anbefales således at benytte den detaljere-
de viden om retentionen, som allerede findes og med tiden
øge detaljeringsgraden, hvis man opnår viden på et mere
detaljeret niveau. Usikkerhed på retentionen, og faktiske
forskelle i retentionen inden for de områder retentionen er
opgjort på, kan betyde, at ikke alle får den afgift, som per-
fekt viden om retentionen ville give anledning til. Det er
også problematisk at regulere på baggrund af en gennem-
snitlig retention, da dette sandsynligvis vil medføre en stør-
re forskel mellem den afgift den typiske bedrift pålægges og
den afgift jordens faktiske retention ville medføre.
27
Der kan være et behov for at justere afgifterne efterhånden,
som ny viden bliver tilgængelig. Således kan afgiften juste-
res, hvis det ser ud til, at den samlede udledning til et kyst-
vandområde bliver reduceret mere eller mindre, end det er
nødvendigt, eller hvis der kommer ny viden om, hvad der
skal til for at nå målene om god økologisk tilstand i de en-
kelte delvandoplande. I beregningerne i dette kapitel tages
der udgangspunkt i målsætningerne for 2021, men afgifter-
ne vil formodentlig skulle hæves, for at nå målene for 2027.
I beregningerne af dyrkningsafgifterne antages det, at al
husdyrgødning, som produceres på en bedrift, også anvend-
es på bedriften, med mindre der foreligger dokumenteret
salg og transport af husdyrgødningen til en anden bedrift,
biogasanlæg el. lign. Merafgiften ved brug af husdyr følger
husdyrgødningen, og salg af husdyrgødning vil derfor føre
til en afgiftsreduktion, og køb af husdyrgødning vil føre til
en afgiftspålæggelse. Som regel vil sælger have interesse i
at dokumentere salget af hensyn til harmonikrav og den
forhøjede afgift ved brug af husdyrgødning. Producerer en
bedrift mere husdyrgødning, end hvad der skal bruges for at
gøde driftsøkonomisk optimalt (eller for at overholde har-
monikrav, nitratdirektivets ligevægtsprincip og andre re-
27)
Det har været fremme i den offentlige debat, at der kan være juridi-
ske udfordringer ved at regulere på baggrund af et usikkert retenti-
onsestimat. Disse eventuelle udfordringer er ikke belyst i kapitlet.
Afgifter kan
justeres med ny
viden og nye mål
Husdyrgødning
antages brugt på
bedriften
77
SAU, Alm.del - 2016-17 - Bilag 133: Diskussionsoplæg 2017, fra Det Miljøøkonomiske Råd
1728070_0081.png
Regulering af landbrugets kvælstofudledning. Diskussionsoplæg. Økonomi og Miljø 2017
striktioner), kan det være nødvendigt at kræve dokumenta-
tion af salg og transport af husdyrgødning.
Ikke problemer
med ulovlig
handel
Den målrettede afgift pålægges i forhold til afgrødevalg og
antal husdyr. Landmanden har lov at gøde driftsøkonomisk
optimalt, og det er ikke ulovligt at handle kvælstof mellem
bedrifter. Der opstår dermed ikke et problem med ulovlig
handel ved denne regulering. Der er derfor ikke et behov for
at kontrollere kvælstofforbruget på den enkelte bedrift eller
for at kontrollere handel med kvælstof mellem bedrifter.
Stikprøvekontrol af afgrødevalg og antal dyr er dog stadig
nødvendig, for at sikre korrekt beregning af dyrkningsafgif-
ten. I den udstrækning dyrkningsafgiften gøres afhængig af
andre forhold som landmanden kan påvirke, f.eks. valg af
staldsystem, skal disse også kontrolleres. Alle disse forhold
kontrolleres allerede i dag som følge af normreguleringen. I
princippet vil det ikke være nødvendigt for landmanden at
lave gødningsregnskaber eller for regulator at kontrollere
dem, hvorved de administrative omkostninger ved regule-
ringen er mindre end for normbaserede reguleringer.
I forhold til EU's nitratdirektiv er det imidlertid fortsat nød-
vendigt at indberette og kontrollere den totale mængde af
gødning på hver bedrift for at sikre overholdelsen af direk-
tivets ligevægtsprincip og harmonikrav. Ligevægtsprincip-
pet betyder, at der ikke må gødes mere, end planterne kan
udnytte, hvilket er implementeret som dyrkningsnormer.
Endvidere bør detaljeringsgraden i afgifternes differentie-
ring afvejes i forhold til forøgelsen i den administrative
byrde for den enkelte landmand. Der bør kun differentieres,
hvor dette giver en mærkbar effekt. Omvendt kan der uden
administrative omkostninger for den enkelte landmand dif-
ferentieres mellem landmænd.
Hvis landbruget skal kompenseres for den pålagte regule-
ring, er det vigtigt, at kompensationen er afkoblet bedrifter-
nes produktionsbeslutninger. Hvis ikke kompensationen er
afkoblet produktionen, kan kompensationen medføre lang-
sigtede sektorforvridninger som diskuteret i afsnit I.3 og
kapitel II. Hvis kompensation er koblet til tilstedeværelsen
Kontrolniveau i
princippet
mindre end i dag
EU kræver
samme kontrol
Detaljeringsgrad
skal overvejes
Eventuel
kompensation
bør fordeles
uafhængig af
fremtidige valg
78
SAU, Alm.del - 2016-17 - Bilag 133: Diskussionsoplæg 2017, fra Det Miljøøkonomiske Råd
1728070_0082.png
I.5 Implementering
af landbrugsdrift, vil det medføre, at landbrugsproduktionen
fortsat finder sted på jorder, hvor det er samfunds-
økonomisk uhensigtsmæssigt. Det er i afsnit I.4 skitseret,
hvordan kompensationen kan udføres, så den er afkoblet
produktionen.
Kompensation
bør aftrappes
over tid
Det er dog i praksis ikke helt uproblematisk at kompensere
bedrifterne afkoblet produktionen. Med tiden kan det også
synes ejendommeligt, hvis et areal stadig er tilknyttet en
kompensation for en produktion, som skete for mange år
siden. Det bør derfor overvejes, om en eventuel kompen-
sation bør aftrappes henover en årrække eller evt. gives som
engangskompensation.
Afskaffelse af eksisterende generel regulering
Generelle
efterafgrødekrav
bør ophæves
Der er i øjeblikket et generelt efterafgrødekrav på 10-14 pct.
af hver bedrifts areal, hvilket dækker omkring 240.000 ha
landbrugsjord i alt. Dette krav bør i princippet indgå i den
målrettede regulering. Således bør det generelle krav om
efterafgrøder fjernes og målet for kvælstofreduktion i de
enkelte delvandoplande justeres herfor.
Der gives i dag subsidier til etablering af vådområder, skov
mv. Disse subsidier bør afskaffes, da der i reguleringen med
målrettede afgifter indgår subsidier i form af afgiftsreduk-
tioner til anvendelsen af disse virkemidler målrettet værdien
af kvælstofreduktionen. Andre positive eksternaliteter kan
dog retfærdiggøre yderligere subsidier eller afgiftsreduk-
tioner, jf. diskussion senere i afsnittet.
EU’s nitratdirektiv sætter krav om, at der ikke må gødes
mere, end planterne kan udnytte (ligevægtsprincippet).
Normreguleringen er indført for at overholde dette. Dertil er
der i nitratdirektivet angivet, hvor mange kg kvælstof i form
af husdyrgødning man må udbringe pr. ha, alt efter typen af
gødning. Begge disse reguleringer er generelle reguleringer
af kvælstoftilførslen, som ikke tager højde for, at der er
geografiske forskelle på, hvor meget udbringningen af
kvælstoffet belaster miljøet. Denne regulering er det derfor
ikke hensigtsmæssigt at opretholde samtidig med den mål-
rettede kvælstofregulering.
Nuværende
tilskud bør
afskaffes eller
justeres
Nitratdirektivets
grænser for
tildeling
79
SAU, Alm.del - 2016-17 - Bilag 133: Diskussionsoplæg 2017, fra Det Miljøøkonomiske Råd
1728070_0083.png
Regulering af landbrugets kvælstofudledning. Diskussionsoplæg. Økonomi og Miljø 2017
Udvaskningsadgange
Vælges
udvasknings-
adgange bør
de omsættelige
anvendes
Resultaterne i afsnit I.4 viser, at de målrettede afgifter vil
være den samfundsøkonomiske billigste reguleringsform til
opnåelse af kvælstofmålsætningerne. Ønsker man alligevel
at implementere udvaskningsadgangene beskrevet i Føde-
vare- og landbrugspakken, bør man lægge implementering-
en så tæt op ad tolkning med omsættelige udvasknings-
adgange som muligt. Dette vil medføre en klart lavere om-
kostning i forhold til at lægge sig op ad tolkningen med
normbaserede udvaskningsadgange, jf. analyserne i afsnit
I.4. Dertil kommer, at de normbaserede udvasknings-
adgange medfører et incitament til ulovlig handel, som kan
øge de samfundsøkonomiske omkostninger væsentligt.
I praksis kan de omsættelige udvaskningsadgange imple-
menteres på samme måde som de målrettede afgifter. Efter
at være blevet tildelt sine udvaskningsadgange, skal hver
bedrift herefter indberette, hvad der dyrkes hvor, antal hus-
dyr, efterafgrøder osv. På denne baggrund kan regulator
beregne udvaskningen fra bedriften.
Med denne regulering kan der opstå store forskelle mellem
bedrifternes omkostninger ved reguleringen, og det bør
således være tilladt at handle med udvaskningsadgangene
inden for hvert delvandopland for at udligne disse forskelle.
Denne handel skal således indgå i bedrifternes indberetning
og regulators beregning af, om udvaskningsretten på bedrif-
ten er overholdt.
Sådan som reguleringen med udvaskningsadgange er frem-
lagt i Fødevare- og landbrugspakken og efterfølgende i
vandområdeplanerne, ser det ud til, at de såkaldte kollektive
virkemidler (vådområder, minivådområder mv.) ikke indgår
som en integreret del af den målrettede kvælstofregule-
ring.
28
Der gives således tilskud til kollektive virkemidler,
som ikke er målrettet gevinsten ved reduktionen, og an-
28)
I beregningerne i afsnit I.4 indgår de kollektive virkemidler kun i
den udstrækning, det er økonomisk optimalt frem for med den
fulde effekt angivet i vandområdeplanerne, jf. Styrelsen for
Vand- og Naturforvaltning (2016a). Dette er gjort for at kunne
sammenligne de forskellige former for regulering bedst muligt.
Indberetning på
samme måde som
for målrettede
afgifter
Mulighed for
handel
Kollektive
virkemidler er
ikke integreret
i reguleringen …
80
SAU, Alm.del - 2016-17 - Bilag 133: Diskussionsoplæg 2017, fra Det Miljøøkonomiske Råd
1728070_0084.png
I.5 Implementering
vendelsen af kollektive virkemidler ser ikke ud til at påvirke
reguleringen med udvaskningsadgange på bedriftsniveau.
Det indskrænker bedrifternes muligheder for at tilpasse sig
og øger omkostningerne ved reguleringen. Bedrifternes
reduktionsomkostninger betyder således ikke noget for,
hvor de kollektive virkemidler bliver placeret. Når tilskud-
denes størrelse ikke er målrettet gevinsten, kan det desuden
bevirke, at der i nogle delvandoplande bliver brugt for man-
ge af de kollektive virkemidler og for få i andre delvandop-
lande i forhold til, hvad der er samfundsøkonomisk hen-
sigtsmæssigt.
… men det bør
de være
Det ville således reducere de samfundsøkonomiske omkost-
ninger at inkludere anvendelsen af de kollektive virkemidler
i reguleringen med udvaskningsadgange. Ved regulering
med omsættelige udvaskningsadgange ville det give bedrif-
ten ekstra udvaskningsadgange, som enten kan indgå i be-
driftens eget regnskab for overholdelsen af reguleringen
eller de kan sælges til andre bedrifter inden for det samme
delvandopland.
Det fremgår af Fødevare- og landbrugspakken, at de land-
mænd, som har omkostninger ved at leve op til reguleringen
med udvaskningsadgangene skal kompenseres. Dette kan
som vist i afsnit I.4 give anledning til nogle samfundsøko-
nomiske omkostninger, hvis kompensationens størrelse
afhænger af den enkelte landmands produktionsbeslutning.
Er der et politisk ønske om kompensation, anbefales det, at
kompensationen er afkoblet den fremtidige produktion og
aftrappes henover en årrække, jf. diskussionen tidligere i
afsnittet og afsnit I.4. Derved kan det undgås, at kompensa-
tionen forvrider incitamenterne og øger reguleringens sam-
fundsøkonomiske omkostninger.
Omsættelige udvaskningsrettigheder bør tildeles efter sam-
me principper omkring afkobling som den før skitserede
afgiftstilbageførsel. Tildelingen af udvaskningsrettigheder
bør således ikke variere med den fremtidige produktion og
dermed heller ikke påvirke denne. Tildeles rettighederne i
forhold til det dyrkede areal, vil der være et forhøjet incita-
ment til at beholde jorden som dyrkningsjord frem for at
Kompensation
kan lede til
samfundsmæssige
omkostninger
Tildeling af
rettigheder
bør afkobles
produktionen
81
SAU, Alm.del - 2016-17 - Bilag 133: Diskussionsoplæg 2017, fra Det Miljøøkonomiske Råd
1728070_0085.png
Regulering af landbrugets kvælstofudledning. Diskussionsoplæg. Økonomi og Miljø 2017
tage den ud af drift til andre formål. Rettighederne bør såle-
des ikke være betinget af, at jorden dyrkes.
Kombination med anden regulering
Landbrugsdrift og særligt anvendelse og produktion af hus-
dyrgødning medfører en lang række eksternaliteter udover
kvælstofudledningen til de danske kystvande, jf. afsnit I.2.
Kombination af
regulering
behøver ikke øge
kompleksiteten
Afsnit I.4 belyste, hvordan målrettede afgifter relativt sim-
pelt kan tage højde for flere forskellige lokale indsatsbehov,
som følger af forskellige målsætninger for kystvande,
grundvand og evt. habitatområder. Fordelen ved målrettede
afgifter er særligt, at kompleksiteten for den enkelte land-
mand ikke forøges ved denne kombination af reguleringer.
Indsatsbehovet for kvælstofreduktioner i forhold til grund-
vand er dog begrænset til mindre geografiske områder end
indsatsbehovet i forhold til kystvandene. Hvis de admini-
strative enheder bliver meget små, så der f.eks. kun skal
reguleres på dele af en bedrift, kan det overvejes, om det i
stedet er mere hensigtsmæssigt at regulere med mere speci-
fikke tiltag målrettet det enkelte område.
Regulering af landbrugets kvælstofudledning kan også både
positivt og negativt påvirke andre eksternaliteter, der ofte
opstår i forbindelse med landbrugsdrift. Reguleringen kan
f.eks. påvirke landbrugets fosfor- og drivhusgasudledninger
samt landbrugets afledte effekter på biodiversitet og rekrea-
tive værdier. Hensynet til disse eksternaliteter kan have
indflydelse på, hvilke virkemidler det er mest omkostnings-
effektivt at anvende, og hvor det bedst kan betale sig at
anvende dem, set ud fra et samfundsøkonomisk perspektiv.
I princippet kan man regulere hver eksternalitet for sig,
f.eks. med målrettede afgifter på fosforudledninger og driv-
husgasudledninger, tilskud til rekreative tiltag og biodiversi-
tetsfremmende tiltag osv. Hvis alle eksternaliteter reguleres
med sådanne afgifter og tilskud, har hver bedrift mulighed
for at optimere sin produktion givet disse reguleringer så-
ledes, at de samlede samfundsøkonomiske omkostninger
minimeres. Værdien af de forskellige eksternaliteter ved
Detaljeringsgrad
har betydning for
hensigtsmæssig
reguleringsform
Andre
eksternaliteter
påvirker værdi af
tiltag
Målrettet
regulering af alle
eksternaliteter
samlet …
82
SAU, Alm.del - 2016-17 - Bilag 133: Diskussionsoplæg 2017, fra Det Miljøøkonomiske Råd
1728070_0086.png
I.6 Sammenfatning og anbefalinger
hver type af tiltag kan ydermere samles af regulator til en
bedriftsspecifik tilskudsværdi, som gør det let for land-
manden at forholde sig til i sin produktionsbeslutning.
Landmanden kan på den måde f.eks. let se, hvad det samle-
de tilskud til en ha skov er på hans bedrift. Igen skal man
dog være opmærksom på, at der kan være behov for mere
detaljeret regulering af nogle eksternaliteter.
… kan give en
gevinst for
samfundet
Hvis reguleringen af de mange eksternaliteter fra landbruget
udformes på denne måde og målrettes, vil det medføre en
samfundsøkonomisk gevinst. Da nogle virkemidler såsom
skov og lavbundsprojekter kan have store effekter på både
kvælstof, klima, biodiversitet og rekreativitet, vil den sam-
lede indsats for at opnå alle mål være mindre end summen
af de indsatser, der skal til for at nå et givent mål for hver
eksternalitet isoleret set. Det betyder, at man formodentlig
kan nedjustere de afgifter, subsidier eller kvoter man bereg-
ner, der skal til for at nå den enkelte målsætning for hver
eksternalitet. Hvor meget vil være vanskeligt at beregne på
forhånd og vil derfor sandsynligvis ske som en gradvis ju-
stering efterhånden, som man ser, hvor stor effekt regule-
ringen af hver eksternalitet har på øvrige eksternaliteter.
I.6
Analyse af
omkostninger
ved kvælstof-
regulering
Sammenfatning og anbefalinger
Der er i dette kapitel foretaget en undersøgelse af de sam-
fundsøkonomiske omkostninger ved forskellige typer af
regulering af landbrugets kvælstofudledninger. Regulering-
erne opnår alle det indsatsbehov for landbrugets kvælstof-
udledning til kystvandene, som er beskrevet i vandområde-
planerne, og som skal opnås inden 2021. Dette indsatsbehov
er et skridt på vejen til at opfylde målet om god økologisk
tilstand i de danske kystvande, som det defineres i EU’s
vandrammedirektiv.
Såfremt indsatsbehovet skal opnås med lavest mulige sam-
fundsøkonomiske omkostninger, er det vigtigt, at regule-
ringen foretages
målrettet.
Reguleringen bør målrettes i
flere dimensioner. Det er vigtigt, at reguleringen tager højde
for forskellen i indsatsbehovet imellem de forskellige delv-
andoplande. Hvis dette ikke gøres, bliver bedrifter i delvan-
83
Regulering bør
være målrettet
SAU, Alm.del - 2016-17 - Bilag 133: Diskussionsoplæg 2017, fra Det Miljøøkonomiske Råd
1728070_0087.png
Regulering af landbrugets kvælstofudledning. Diskussionsoplæg. Økonomi og Miljø 2017
doplande uden eller med et lille indsatsbehov underlagt
unødigt stram regulering. Det er desuden vigtigt, at regule-
ringen målrettes retentionen indenfor de enkelte delvandop-
lande, dvs. hvor stor en del af det kvælstof, som bedriften
udvasker til rodzonen, der ikke udledes til kystvandet. Hvis
bedrifter, der ligger på jord med lav retention, gør mest for
at reducere kvælstofudvaskningen, reducerer det de samlede
samfundsøkonomiske omkostninger ved at nå målsætningen.
Aftale om ny
regulering af
kvælstof-
udledningen
Fødevare- og landbrugspakken fra december 2015 lempede
den hidtidige regulering af landbrugets kvælstofudledning.
Lempelsen bestod primært i en afskaffelse af ikke-mål-
rettede reduktioner i den tilladte mængde gødning under det
driftsøkonomisk optimale niveau – såkaldte ensartede nor-
mer. Fødevare- og landbrugspakken opstillede også prin-
cipper for den fremtidige regulering af landbrugets udled-
ninger, de såkaldte udvaskningsadgange. Denne regulering
forventes fuldt indfaset i 2021. Udover kvælstofregulering-
en med udvaskningsadgange er der også planlagt indsatser
med såkaldte kollektive virkemidler, såsom etablering af
minivådområder og vådområder. Tilsammen forventes ud-
vaskningsadgangene og de kollektive virkemidler at reduce-
re den årlige kvælstofudledning med 6.000 ton i 2021.
Sammen med visse andre indsatser forventes målene for
reduceret kvælstofudledning fra landbruget i 2021 at blive
nået på denne måde.
Idet Fødevare- og landbrugspakken lempede den eksiste-
rende regulering, og den nye kvælstofregulering først ventes
at være fuldt indfaset i 2021, vil kvælstofreduktionen i peri-
oden 2016-21 være mindre end forventet før aftalen om
Fødevare- og landbrugspakken blev indgået. Ved at udsky-
de indfasningen af den nye regulering har man udskudt
landbrugets omkostninger ved kvælstofregulering i en år-
række. Imidlertid har man også udskudt de miljøgevinster,
som opnås ved at reducere udledningen af kvælstof.
Den midlertidige lempelse kan medføre, at fremtidige kvæl-
stofudledninger skal reduceres mere for at opnå god økolo-
gisk tilstand. Dette skyldes såkaldte hysterese-effekter. Om-
kostningerne ved at opnå miljømålene set over et længere
tidsperspektiv kan derfor være blevet forøget som konse-
Aftale medfører
merudledning i
perioden 2016-
2021 …
… og kan øge
omkostninger for
landbruget på
sigt
84
SAU, Alm.del - 2016-17 - Bilag 133: Diskussionsoplæg 2017, fra Det Miljøøkonomiske Råd
1728070_0088.png
I.6 Sammenfatning og anbefalinger
kvens af Fødevare- og landbrugspakken. Såfremt der er et
ønske om at støtte landbruget økonomisk i en årrække, kan
dette gøres mere effektivt og uden negative konsekvenser
for miljøet ved brug af andre instrumenter end at lempe
miljøreguleringen.
Analysen tager
indsatsbehov
for givet
Den foretagne analyse har ikke indregnet mulige samfunds-
økonomiske omkostninger af de ovenfor beskrevne effekter.
I analysen undersøges de årlige samfundsøkonomiske om-
kostninger ved at opnå indsatsbehovet for 2021. Disse ind-
satsbehov er taget for givet i analysen.
Der er foretaget analyser af de samfundsøkonomiske om-
kostninger ved at nå målet om en reduktion i kvælstof-
udledningerne på 6.000 ton med følgende typer af regule-
ring, hvor også kollektive virkemidler indgår:
Målrettede afgifter, der er en videreudvikling af De
Økonomiske Råds formandsskabs anbefaling til ind-
retningen af kvælstofregulering fra 2015, jf. De
Økonomiske Råds formandsskab (2015). Målrettede
afgifter er målrettet både indsatsbehov og retention.
Udvaskningsadgange, der er målrettet indsatsbehov,
men ikke retention. Der er foretaget analyser på to
varianter af udvaskningsadgange. Den første variant
tager udgangspunkt i normer. Den anden variant ta-
ger udgangspunkt i omsættelige udvaskningskvoter.
Differentierede normer, der er regulering ved norm-
er, som er målrettet indsatsbehov og retention.
Ensartede normer, der ikke er målrettede.
Forskellige
reguleringer
undersøgt
Målrettede
afgifter er billigst
Analysen viser, at målrettede afgifter er den samfundsmæs-
sige mest omkostningseffektive måde at nå indsatsbehovet
på. Omkostningen ved at opnå en årlig reduktion af kvæl-
stofudledningerne på 6.000 ton er 0,58 mia. kr. årligt. Mål-
rettede afgifter giver desuden landbruget de bedste incita-
menter til på længere sigt at flytte den produktion, der ud-
vasker mest kvælstof til områder, hvor miljøpåvirkningen er
mindst. Det anbefales derfor at regulere landbrugets kvæl-
stofudledninger ved hjælp af målrettede afgifter.
85
SAU, Alm.del - 2016-17 - Bilag 133: Diskussionsoplæg 2017, fra Det Miljøøkonomiske Råd
1728070_0089.png
Regulering af landbrugets kvælstofudledning. Diskussionsoplæg. Økonomi og Miljø 2017
Stor variation i
omkostninger ved
udvasknings-
adgange
Omkostningerne ved udvaskningsadgange afhænger af,
hvordan Fødevare- og landbrugspakkens principper imple-
menteres. Omkostningerne ved at benytte normbaserede
udvaskningsadgange frem for omsættelige udvasknings-
adgange medfører en meromkostning på ca. 400 mio. kr. om
året. Omsættelige udvaskningsadgange opnår indsatsbeho-
vet med en årlig omkostning på 0,64 mia. kr. Omsættelige
udvaskningsgange er således kun ca. 10 pct. dyrere end
målrettede afgifter, og er derfor også en relativt attraktiv
reguleringsmodel. Såfremt det ønskes at basere reguleringen
på principperne beskrevet i Fødevare- og landbrugspakken,
anbefales det derfor at benytte omsættelige udvasknings-
adgange fremfor normbaserede udvaskningsadgange.
Det er muligt, at gevinsten ved at vælge målrettede afgifter
frem for omsættelige udvaskningsadgange er større end
forskellen i de beregnede samfundsøkonomiske omkost-
ninger, der er nævnt ovenfor. Dette skyldes en risiko for, at
de lokale kvotemarkeder er for små til at udvaskningsad-
gangene er tilstrækkeligt omsættelige. Dette vil trække i
retning af, at omkostningerne ved omsættelige udvask-
ningsadgange er undervurderede. Desuden vil opnåelsen af
målet om yderligere og mere differentierede reduktioner i
kvælstofudledningen i perioden 2021-27 øge gevinsten ved
at benytte målrettede afgifter.
Regulering ved hjælp af normer, herunder normbaserede
udvaskningsadgange, giver incitament til ulovlig handel
med kvælstof mellem bedrifter. Beregninger viser, at det
kan føre til væsentlige forøgelser af de samfundsøkonomi-
ske omkostninger samt udskyde tidspunktet for, hvornår de
fastsatte miljømål nås, hvis der reguleres ved hjælp af diffe-
rentierede normer eller normbaserede udvaskningsadgange.
Målrettede afgifter samt omsættelige udvaskningsadgange
giver som de eneste typer af regulering ikke disse uhen-
sigtsmæssige incitamenter til ulovlig handel. Risikoen for
forøgede samfundsøkonomiske omkostninger på grund af
ulovlig handel undgås derfor ved at vælge en af disse regu-
leringer. Dette er et yderligere argument for at benytte en af
disse to typer af regulering.
Gevinst ved
målrettede
afgifter under-
vurderet
Risiko for ulovlig
handel kan øge
omkostninger ved
normbaseret
regulering
86
SAU, Alm.del - 2016-17 - Bilag 133: Diskussionsoplæg 2017, fra Det Miljøøkonomiske Råd
1728070_0090.png
I.6 Sammenfatning og anbefalinger
Ensartede og
differentierede
normer dyrere
end målrettede
afgifter
Regulering ved hjælp af ensartede normer eller differen-
tierede normer giver væsentligt højere samfundsøkonomi-
ske omkostninger end målrettede afgifter og omsættelige
udvaskningsadgange. Dette, kombineret med risikoen for
meromkostninger på grund af ulovlig handel, bevirker, at
ensartede og differentierede normer ikke anbefales som
grundlag for den fremtidige regulering.
Fordelingen af de samfundsøkonomiske omkostninger mel-
lem bedrifter varierer mellem de undersøgte reguleringer.
De målrettede afgifter opkræver som den eneste af de un-
dersøgte reguleringer et afgiftsprovenu. Dette øger de pri-
vatøkonomiske omkostninger for de enkelte landmænd,
selvom denne regulering har de laveste samfundsøkono-
miske omkostninger. Dog kan man vælge at tilbageføre
provenuet til landbruget. I så fald er målrettede afgifter bil-
ligst for flest bedrifter. Der er således ingen modsætning
mellem at vælge en efficient regulering, der giver lave sam-
fundsøkonomiske omkostninger, og vælge den regulering,
der er billigst for flest landmænd.
Hvis man vælger at tilbageføre afgiftsprovenuet fra de mål-
rettede afgifter, bør tilbageførslens værdi ikke kunne påvir-
kes af den enkelte landmands produktionsbeslutning. En
sådan afkoblet tilbageførsel giver de bedste incitamenter til
at placere produktion, der udvasker meget kvælstof i de
områder, hvor kvælstoffets miljøpåvirkning er lavest. Så-
danne flytninger er ikke en del af den foretagne analyse,
men vil på sigt kunne reducere de årlige samfundsøkono-
miske omkostninger ved målrettede afgifter yderligere. Der
er i kapitlet skitseret en model for en afkoblet tilbageførsel,
hvor den enkelte bedrifts tilbageførsel afhænger af produk-
tionen
inden
den nye regulering bliver indført, men ikke kan
påvirkes af produktionsbeslutninger, der tages
efter
den nye
regulering er indført.
Regulering ved hjælp af målrettede afgifter har potentialet
til at sænke den administrative byrde for den enkelte land-
mand. Således er kravet om gødningsregnskaber ikke nød-
vendige for regulering ved hjælp af målrettede afgifter. Det
er dog usikkert, i hvor stort omfang den administrative byr-
Mest efficient
regulering også
billigst for flest
Tilbageførsel af
afgiftsprovenu
skal afkobles
Målrettede
afgifter øger ikke
administrativ
byrde …
87
SAU, Alm.del - 2016-17 - Bilag 133: Diskussionsoplæg 2017, fra Det Miljøøkonomiske Råd
1728070_0091.png
Regulering af landbrugets kvælstofudledning. Diskussionsoplæg. Økonomi og Miljø 2017
de vil kunne lettes, idet gældende EU-lovgivning kan nød-
vendiggøre en fortsat kontrol af gødningstilførslen.
… og er for
landmanden en
hektarafgift pr.
afgrøde
For den enkelte landmand er målrettede afgifter blot én fast
hektarafgift pr. afgrøde. Den enkelte landmand kan således
selv påvirke den samlede afgifts størrelse ved sit valg af
afgrøder samt ved at justere størrelsen af sit husdyrhold.
Hektarafgifterne varierer mellem bedrifter. Fastlæggelsen af
hektarafgifterne pr. afgrøde for den enkelte bedrift fastlæg-
ges ud fra bedriftens retention og reduktionsbehovet i del-
vandoplandet. Effekten på bedriftens økonomi af sådanne
dyrkningsafgifter er mindre kompliceret at beregne for den
enkelte landmand end normbaseret regulering, der kom-
pliceres af samspillet mellem gødningstilførsel, proteinind-
hold og udbytte.
Landbrugets kvælstofudledninger påvirker ikke kun kyst-
vandets miljøtilstand. Også grundvand samt følsomme na-
turområder belastes af landbrugets kvælstofudledninger.
Afskaffelsen af den hidtidige regulering og indførelsen af en
ny regulering, der er målrettet kystvandets miljøtilstand, kan
føre til lokale forringelser af f.eks. grundvandets kvalitet.
Dette vil medføre lokale indsatsbehov for ikke at forringe
grundvandets kvalitet. Lokale indsatsbehov kan reguleres
efter samme principper som målrettede afgifter. Der er ud-
ført illustrative beregninger af dette. Beregningseksempler-
ne illustrerer, at regulering ved hjælp af målrettede afgifter
er den samfundsmæssigt set mindst omkostningsfulde måde
at regulere efter flere indsatsbehov på, uden at reguleringens
kompleksitet øges for den enkelte landmand. Dette skyldes,
at to eller flere sæt af målrettede afgifter kan kombineres til
et enkelt sæt af dyrkningsafgifter.
Den enkelte landmand kan forventes at have den bedste
information om, hvilke midler til kvælstofreduktion der kan
betale sig på netop hans eller hendes bedrift. Dette taler for,
at alle virkemidler, som en bedrift har til rådighed for at
reducere kvælstofudledningen, indgår i det målrettede regu-
leringssystem. Det eksisterende generelle krav om efteraf-
grøder bør derfor ophæves, og al udlægning af efterafgrøder
bør indgå i den målrettede regulering. Brugen af de såkaldte
kollektive virkemidler, der inkluderer vådområder, mini-
Målrettede
afgifter kan kom-
binere indsats-
behov uden øget
kompleksitet
Alle virkemidler
bør indgå i den
målrettede
regulering
88
SAU, Alm.del - 2016-17 - Bilag 133: Diskussionsoplæg 2017, fra Det Miljøøkonomiske Råd
1728070_0092.png
I.6 Sammenfatning og anbefalinger
vådområder, skovrejsning m.m. bør også integreres i den
målrettede regulering. Der er i Fødevare- og landbrugspak-
ken ikke lagt op til en ophævelse af det generelle efteraf-
grødekrav. Ligeledes er der ikke lagt op til, at de kollektive
virkemidler integreres i den målrettede kvælstofregulering.
89
SAU, Alm.del - 2016-17 - Bilag 133: Diskussionsoplæg 2017, fra Det Miljøøkonomiske Råd
1728070_0093.png
Regulering af landbrugets kvælstofudledning. Diskussionsoplæg. Økonomi og Miljø 2017
Litteratur
De Økonomiske Råds formandskab (2015):
Økonomi og
Miljø 2015.
Eriksen, J., P.N. Jensen og B.H. Jacobsen (2014):
Virkemid-
ler til realisering af 2. generations vandplaner og målrettet
arealregulering.
DCA rapport nr. 052. DCA – Nationalt
Center for Fødevarer og Jordbrug. Aarhus Universitet.
Hasler, B., A. Dubgaard, J.M. Eberhardt, A. Koed, L. Mar-
tinsen, J. Nielsen, J. Støttrup og M. Wisz (2016):
Samfunds-
og sektorøkonomisk analyse af vandmiljøindsatsen i landdi-
striktsprogrammet (LDP) og fiskeriprogrammet (EHFF).
Videnskabelig rapport fra DCE – Nationalt Center for Miljø
og Energi nr. 214. Aarhus universitet.
Henriksen, P. (2012): Hvorfor er kvælstofudledning et pro-
blem i vandmiljøet? Kort beskrivelse af sammenhængen
mellem kvælstofudledning til vandmiljøet og natur- og mil-
jøeffekter. Notat fra DCE – Nationalt Center for Miljø og
Energi. Aarhus Universitet.
Højberg, A.L., J. Windolf, C.D. Børgesen, L. Troldborg, H.
Tornbjerg, G. Blicher-Mathiesen, B. Kronvang, H. Thodsen
og V. Ernstsen (2015):
National Kvælstofmodel. Oplands-
model til belastning og virkemidler.
Metode rapport. Revi-
deret udgave september 2015.
Jacobsen, B.H. (2012): Analyse af omkostningerne ved en
yderligere reduktion af N-tabet fra landbruget med 10.000
tons N. FOI Udredning 2012/26. Fødevareøkonomisk Insti-
tut, Københavns Universitet.
Jacobsen, B.H. (2014): Analyse af omkostningerne ved
scenarier for en yderligere reduktion af N-tabet fra landbru-
get i relation til Vandplan 2.0. IFRO-Udredning 2014/21.
Institut for Fødevare- og Ressourceøkonomi, Københavns
Universitet.
90
SAU, Alm.del - 2016-17 - Bilag 133: Diskussionsoplæg 2017, fra Det Miljøøkonomiske Råd
1728070_0094.png
I Litteratur
Jacobsen, B.H. (2016): Analyse af omkostningerne ved
scenarier for en reduktion af N-tabet i relation til Fødevare-
og landbrugspakke 2015. IFRO Udredning 2016/09. Institut
for Fødevare- og Ressourceøkonomi, Københavns Universi-
tet.
Jensen, P.N., G. Blicher-Mathiesen, J. Rolighed, C.D. Bør-
gesen, J.E. Olesen, I.K. Thomsen, T. Kristensen, P. Søren-
sen og F.P. Vinther (2016a):
Revurdering af baseline.
Tek-
nisk rapport fra DCE – Nationalt Center for Miljø og Ener-
gi, nr. 67. Aarhus Universitet.
Jensen, P.N., S. Boutrup, J.R. Fredshavn, V.V. Nielsen,
L.M. Svendsen, G. Blicher-Mathiesen, H. Thodsen, L.S.
Johansson, J.W. Hansen, B. Nygaard, B. Søgaard, T.E.
Holm, T. Ellermann, L. Thorling og A.G. Holm (2016b):
Vandmiljø og Natur 2015. NOVANA. Tilstand og udvikling
– faglig sammenfatning.
Videnskabelig rapport fra DCE –
Nationalt Center for Miljø og Energi, nr. 211. Aarhus Uni-
versitet.
Jensen, J.D. (2017): Sektorøkonomiske beregninger for
landbruget vedrørende alternative modeller for kvælstofre-
gulering i landbruget. Baggrundsnotat. Institut for Fødeva-
re- og Ressourceøkonomi, Københavns Universitet.
Miljø- og Fødevareministeriet (2016): Svar på spørgsmål S
426, 12. januar 2016. Samme tabel som var grundlag i for-
handlingerne om Fødevare- og landbrugspakken.
Miljøstyrelsen (2014): Beskrivelse af de to modeller, som
afprøves i pilotprojektet. Notat. 27. maj 2014.
Styrelsen for Vand- og Naturforvaltning (2016a):
Vandom-
rådeplan 2015-2021 for Vandområdedistrikt Jylland og
Fyn.
Miljø og Fødevareministeriet.
Styrelsen for Vand- og Naturforvaltning (2016b):
Vandom-
rådeplan 2015-2021 for Vandområdedistrikt Sjælland.
Mil-
jø og Fødevareministeriet.
91
SAU, Alm.del - 2016-17 - Bilag 133: Diskussionsoplæg 2017, fra Det Miljøøkonomiske Råd
1728070_0095.png
Regulering af landbrugets kvælstofudledning. Diskussionsoplæg. Økonomi og Miljø 2017
Styrelsen for Vand- og Naturforvaltning (2016c):
Vandom-
rådeplan 2015-2021 for Vandområdedistrikt Bornholm.
Miljø og Fødevareministeriet.
Styrelsen for Vand- og Naturforvaltning (2016d):
Vandom-
rådeplan 2015-2021 for Internationalt Vandområdedistrikt.
Miljø og Fødevareministeriet.
Thodsen, H., J. Windolf, J. Rasmussen, J. Bøgestrand, S.E.
Larsen, H. Tornbjerg, N.B. Ovesen, A. Kjeldgaard og P.
Wiberg-Larsen (2016):
Vandløb 2015. NOVANA.
Viden-
skabelig rapport fra DCE – Nationalt Center for Miljø og
Energi, nr. 206. Aarhus Universitet.
Timmermann, K., A.C. Erichsen og J. Christensen (2016):
Beregning af målbelastninger svarende til vandrammedirek-
tivets fem tilstandsklasser. Notat fra DCE og DHI. 24. janu-
ar 2016.
Troldborg, L., C.D. Børgesen, H. Thodsen og P. van der
Keur (2016):
National Kvælstofmodel. Kvælstofpåvirkning
af grundvand.
De Nationale Geologiske Undersøgelser for
Danmark og Grønland og Aarhus Universitet.
92
SAU, Alm.del - 2016-17 - Bilag 133: Diskussionsoplæg 2017, fra Det Miljøøkonomiske Råd
KAPITEL II
GRØNNE AFGIFTER OG EFFEKTIV
MILJØREGULERING
II.1 Indledning
Grønne afgifter
kan gavne miljøet
Rent vand, ren luft og en rig natur er vigtig for vores velvæ-
re. Grønne afgifter kan være en omkostningseffektiv måde
at sikre, at der tages de nødvendige miljøhensyn i forbindel-
se med produktion og forbrug.
Grønne afgifter udgør også en betydelig kilde til den offent-
lige sektors provenu i Danmark. Provenuet fra grønne afgif-
ter i forhold til BNP er således væsentlig højere i Danmark
end i vores nabolande og i resten af OECD. Den udbredte
brug af grønne afgifter gør det i princippet muligt, at miljø-
reguleringen i Danmark er tilrettelagt mere omkostningsef-
fektivt end i andre lande.
Det er en vigtig forudsætning for dette, at de grønne afgifter
er udformet hensigtsmæssigt. Afgiftsbetalingen bør være så
tæt knyttet til udledningen som muligt og alle udledere bør
betale en afgiftssats, der svarer til miljøomkostningen ved
deres udledning.
Der er imidlertid en række grønne afgifter i Danmark, som
ikke er udformet på denne måde. Der er således eksempler
på, at grønne afgiftssatser sættes væsentligt over, hvad mil-
jøhensyn tilsiger. Dette sker formodentlig ud fra provenu-
hensyn. Det er imidlertid ikke sikkert, at en højere grøn
afgift tilvejebringer provenu med færrest forvridninger.
Der er også eksempler på, at virksomheder fritages for en
grøn afgift eller har en væsentlig lavere afgiftssats end an-
dre udledere. Dette sker formentlig ud fra konkurrencehen-
syn, men sådanne fritagelser gør en grøn afgift mindre ef-
Kapitlet er færdigredigeret 6. februar 2017.
Højt provenu fra
grønne afgifter i
Danmark
Udformningen af
grønne afgifter er
vigtig
Nogle grønne
afgifter høje ud
fra hensyn til
provenu
Virksomheder
fritages ud fra
hensyn til
konkurrence
93
SAU, Alm.del - 2016-17 - Bilag 133: Diskussionsoplæg 2017, fra Det Miljøøkonomiske Råd
1728070_0097.png
Grønne afgifter og effektiv miljøregulering. Diskussionsoplæg. Økonomi og Miljø 2017
fektiv og kan øge den samfundsøkonomiske omkostning
ved at nå en given miljømålsætning.
Regelregulering i
stedet for grønne
afgifter
Endelig er der mange områder, hvor miljømyndighederne
ikke anvender grønne afgifter. I stedet stilles f.eks. krav om
at bruge mindre forurenende teknologier eller der fastlæg-
ges normer for udledningen. Disse former for regelregule-
ring medfører ofte, at miljøindsatsen bliver mindre omkost-
ningseffektiv end med grønne afgifter. Det vil fordyre regu-
leringen. Derudover kan regelregulering også risikere at
forvride erhvervsstrukturen, således at forurenende virk-
somheder udgør en større del af økonomien.
Der kan være en række fordelingsmæssige eller praktiske
grunde til, at man anvender regelregulering frem for grønne
afgifter eller til, at man tager hensyn til provenu eller kon-
kurrence i udformningen af grønne afgifter. Som udgangs-
punkt vil dette gøre miljøindsatsen dyrere. Formålet med
kapitlet er at belyse de samfundsøkonomiske omkostninger
ved at tage disse hensyn. Der foretages således konkrete
beregninger, som skønner over de samfundsøkonomiske
omkostninger ved at tage hensyn til provenu eller ved at
fritage virksomheder ud fra konkurrencehensyn, når de
grønne afgifter fastlægges. Endvidere belyses forvridningen
af erhvervsstrukturen, som følger af at anvende regelregule-
ring i stedet for grønne afgifter.
Der gennemføres beregninger af omlægninger af afgiften på
el og vand, hvor der i begge tilfælde er fritagelser for nogle
virksomheder, og hvor afgiftsniveauerne i et vist omfang
synes at afspejle hensyn til provenu. Den forvridende effekt
af mange former for regelregulering på erhvervsstrukturen
illustreres ved en omlægning af reguleringen af landbrugets
udledning af ammoniak. Beregningseksemplerne er foreta-
get med den anvendte generelle ligevægtsmodel REFORM,
som er udviklet af DREAM, jf. Stephensen mfl. (2015).
Beregningerne illustrerer potentielle samfundsøkonomiske
gevinster ved at ændre de nuværende grønne afgifter og ved
at erstatte regelregulering med grønne afgifter. Det er imid-
lertid ikke hensigten med kapitlet at komme med et samlet
forslag til en grøn skattereform.
Formål med
kapitlet
Analyser og
afgrænsning
94
SAU, Alm.del - 2016-17 - Bilag 133: Diskussionsoplæg 2017, fra Det Miljøøkonomiske Råd
1728070_0098.png
II.2 Grønne afgifter i Danmark
Grønne afgifter i
tidligere
miljørapporter
Grønne afgifter har tidligere været behandlet i miljørappor-
terne fra De Økonomiske Råds Formandskab. De økonomi-
ske Råds formandskab (2009) indeholdt således en omfat-
tende vurdering af indretningen af grønne afgifter i Dan-
mark. Derudover har der i mange af de efterfølgende miljø-
rapporter været forslag om indførelse af nye afgifter eller
ændringer i udformningen af nuværende grønne afgifter. I
dette kapitel samles der op på nogle af de tidligere policy-
anbefalinger ved at kvantificere effekterne af ændringer i
udvalgte grønne afgifter.
I det efterfølgende afsnit II.2 beskrives udviklingen i prove-
nuet fra grønne afgifter i Danmark. I afsnit II.3 beskrives de
generelle principper for, hvordan grønne afgifter bør udfor-
mes mest omkostningseffektivt. Her foretages også en
sammenligning af grønne afgifter og regelregulering. I af-
snit II.4 præsenteres den anvendte REFORM-model. I afsnit
II.5, II.6 og II.7 præsenteres beregningerne af forskellige
omlægninger af grønne afgifter. Sammenfatning og anbefa-
linger følger i det sidste afsnit.
Indholdet i
kapitlet
II.2 Grønne afgifter i Danmark
Afgrænsning af
grønne afgifter …
Grønne afgifter anvendes ofte som betegnelse for afgifter,
som er målrettet adfærdsændringer i forhold til produktion
eller forbrug, der skader miljøet. Grønne afgifter bidrager
dermed til at reducere den miljøbelastende adfærd og derved
til et bedre miljø. Det er imidlertid ikke kun direkte miljørela-
terede afgifter, der påvirker miljøet. I praksis vil alle skatter
og afgifter, der påvirker forbrug eller produktion, i større eller
mindre omfang have miljøeffekter.
Den præcise afgrænsning mellem “grønne” og “ikke-
grønne” afgifter er dermed ikke oplagt. Nogle afgifter, der
rubriceres som grønne, har således kun begrænsede ad-
færdsvirkning i forhold til miljøet, hvorfor de formentlig er
motiveret af andre hensyn end miljøhensyn, eksempelvis af
ønsket om at rejse et provenu til statskassen. Et ret oplagt
eksempel er den høje danske registreringsafgift på biler. I
det følgende tages udgangspunkt i Danmarks Statistiks de-
finition af miljørelaterede afgifter.
95
… er ikke oplagt
SAU, Alm.del - 2016-17 - Bilag 133: Diskussionsoplæg 2017, fra Det Miljøøkonomiske Råd
1728070_0099.png
Grønne afgifter og effektiv miljøregulering. Diskussionsoplæg. Økonomi og Miljø 2017
Består af energi-,
transport- og
miljøafgifter
Danmarks Statistik opdeler de grønne afgifter i tre kategori-
er: energiafgifter, transportafgifter og miljøafgifter. Energi-
afgifter består hovedsageligt af afgifter på benzin, elektrici-
tet og visse olieprodukter, mens transportafgifter overvejen-
de udgøres af registrerings- og ejerafgift på motorkøretøjer.
Miljøafgifter spænder over en bred pallette af afgifter fra
f.eks. afgiften på engangsservice til afgiften på udledning af
kuldioxid (CO
2
).
Udvikling siden 1990
Udgør 9 pct. af
det samlede
skatte- og
afgiftsprovenu
Grønne afgifter bidrager med en væsentlig andel af det sam-
lede provenu fra skatter og afgifter i Danmark. I 2015 ud-
gjorde grønne afgifter ca. 80 mia. kr. (inkl. PSO) af de sam-
lede skatter og afgifter på 933 mia. kr., svarende til omkring
9 pct. Siden 1990 har grønne afgifter udgjort mellem 7 og
11 pct. af det samlede skatte- og afgiftsprovenu.
Op gennem 1990’erne steg provenuet fra de grønne afgifter.
Dette førte til en stigning i det grønne skattetryk fra 3,2 pct.
i 1990 til 4,9 pct. i 1999, jf. figur II.1.
1
Stigningen var ho-
vedsagelig en konsekvens af en betydelig forøgelse af pro-
venuet fra energiafgifter.
Fra år 2000 og frem til finanskrisen i 2008 var det grønne
skattetryk svagt faldende. Det skyldtes bl.a. fastlåsningen af
en række afgifter, som led i skattestoppets nominalprincip
fra 2001. Fra finanskrisen og frem til i dag er det grønne
skattetryk faldet med omkring 0,7 pct.point., hvilket bl.a.
skyldes et fald i provenuet fra registreringsafgiften. Dette
fald kan tilskrives en konjunkturbetinget nedgang i bilsalget
og lavere registreringsafgift på mere miljøvenlige biler (bi-
ler der kører længere på literen). Den økonomiske afmat-
ning som følge af finanskrisen førte til fald i energiforbru-
get, men pga. stigninger i afgiftssatserne har dette ikke givet
udslag i provenuet fra energiafgifter, jf. Sekretariatet for
afgifts- og tilskudsanalysen på energiområdet (2016).
Stor stigning i
1990’erne
Konstant grønt
skattetryk i det
meste af 00’erne
1)
Det grønne skattetryk opgøres som det samlede provenu fra
grønne skatter og afgifter relativt til BNP.
96
SAU, Alm.del - 2016-17 - Bilag 133: Diskussionsoplæg 2017, fra Det Miljøøkonomiske Råd
1728070_0100.png
II.2 Grønne afgifter i Danmark
Figur II.1
Mia. kr.
140
120
100
80
60
40
20
0
1990
Grønne afgifter og grønt skattetryk i Dan-
mark
Energiafgifter mv.
Miljøafgifter
Transportafgifter mv.
Grønt skattetryk (h.akse)
Pct.
7
6
5
4
3
2
1
1995
2000
2005
2010
0
Anm.:
Kilde:
Afgifterne er opgjort i 2015-priser. Grønt skattetryk er opgjort
som det samlede provenu fra grønne afgifter relativt til BNP.
Danmarks Statistik, Statistikbanken.
Markant stigning
i miljøafgifterne i
midten af
1990’erne
Miljøafgifter udgjorde i 1990 en ubetydelig del af de samle-
de grønne afgifter i Danmark. Provenuet fra grønne afgifter
var således domineret af transport- og energiafgifter. Miljø-
afgifters andel steg dog fra midten af 1990’erne i forbindel-
se med en øget anvendelse af miljøafgifter, bl.a. blev afgif-
ten på ledningsført vand indført her.
I Danmark betaler husholdningerne den største andel af det
samlede grønne afgiftsprovenu. I 2015 udgjorde hushold-
ningernes andel således 56 pct., mens erhvervenes andel
udgjorde de resterende 44 pct., jf. tabel II.1. Sammenlignet
med 1995 er erhvervenes andel af det samlede provenu fra
grønne afgifter steget med godt 8 pct.point.
Husholdningerne
betaler den
største andel
97
SAU, Alm.del - 2016-17 - Bilag 133: Diskussionsoplæg 2017, fra Det Miljøøkonomiske Råd
1728070_0101.png
Grønne afgifter og effektiv miljøregulering. Diskussionsoplæg. Økonomi og Miljø 2017
Tabel II.1
Fordeling af grønne afgifter
1995
2015
--------- Pct. ---------
64
56
36
44
Husholdninger
Erhverv
Anm.:
Kilde:
Erhverv dækker over brancher og andre endelige anvendelser
end privatforbrug, som i denne sammenhæng primært er lager-
ændringer.
Danmarks Statistik, Statistikbanken.
Danmark har et
relativt højt grønt
skattetryk
De grønne afgifter vejer tungere i Danmark end i andre
OECD-lande. I dag har Danmark et grønt skattetryk på om-
kring 4 pct. af BNP, mens gennemsnittet for OECD-lande er
ca. 1,6 pct. I forhold til lande, vi ofte sammenligner os med,
ligger Danmark højere end både Sverige, Norge og Tysk-
land, der alle har et grønt skattetryk på omkring 2 pct. af
BNP, jf. figur II.2.
Figur II.2
Pct.
6
5
4
3
2
1
Grønt skattetryk
0
1994 1996 1998 2000 2002 2004 2006 2008 2010 2012 2014
Danmark
Sverige
OECD
Norge
Tyskland
Anm.:
Kilde:
Grønt skattetryk er opgjort som det samlede provenu fra grønne
afgifter relativt til BNP. Det grønne skattetryk for Danmark af-
viger fra figur II.1 pga. forskelle i afgrænsningen af grønne af-
gifter.
OECD.
98
SAU, Alm.del - 2016-17 - Bilag 133: Diskussionsoplæg 2017, fra Det Miljøøkonomiske Råd
1728070_0102.png
II.3 Teori og principper
Hensyn til miljø
eller provenu
At det grønne skattetryk er højere i Danmark end i andre
lande, kan skyldes en mere omfattende miljøregulering
og/eller, at reguleringen i Danmark i højere grad er afgifts-
baseret. Forklaringen kan også være, at f.eks. provenuhen-
syn spiller en større rolle i Danmark end i andre lande.
II.3 Teori og principper
I dette afsnit gives en teoretisk belysning af, hvordan afgif-
ter kan anvendes til regulering af miljøbelastende udlednin-
ger, herunder de samfundsøkonomiske forvridningsomkost-
ninger der følger af at tage hensyn til bl.a. provenuskabelse,
indkomstfordeling og bestemte virksomheder eller sektorers
konkurrencevilkår ved fastlæggelsen af grønne afgifter.
2
Grønne afgifter
Forurening
påvirker andre
end udlederen
Husholdningers forbrug og virksomheders produktion kan
have afledte negative effekter på miljøet. Sådanne effekter
kaldes eksternaliteter, da de påvirker andre end dem, der
forurener. Luftforurening er et konkret eksempel på en eks-
ternalitet, hvor de relaterede negative helbredseffekter
rammer samfundet som helhed og ikke kun dem, der udle-
der de forurenende stoffer.
Eksternaliteter er udtryk for markedsfejl, idet forbrugere og
virksomheder ikke tager højde for de omkostninger, der
påføres andre. Eksternaliteter kan betragtes som en ikke-
prissat del af omkostningen ved forbrug eller produktion.
Det betyder, at de samlede samfundsøkonomiske omkost-
ninger ikke afspejles i markedspriserne.
Forbrugere og virksomheder har således ikke et privatøko-
nomisk incitament til at reducere miljøeksternaliteter, når de
forbruger og producerer. Dette leder til mere forurening
end, hvad der er samfundsøkonomisk optimalt.
Eksternaliteter er
markedsfejl …
… som fører til
mere forurening
2)
Beskrivelsen i dette afsnit bygger især på Williams (2016), Mirr-
lees mfl. (2011) og Fullerton mfl. (2008).
99
SAU, Alm.del - 2016-17 - Bilag 133: Diskussionsoplæg 2017, fra Det Miljøøkonomiske Råd
1728070_0103.png
Grønne afgifter og effektiv miljøregulering. Diskussionsoplæg. Økonomi og Miljø 2017
… og påvirker
sektorsammen-
sætningen
Hvis forurenende virksomheder ikke betaler for de omkost-
ninger, som deres udledning påfører samfundet, sker der
reelt en subsidiering af de pågældende virksomheders pro-
duktion. Det fører til en sektorsammensætning, hvor forure-
nende sektorer har en relativt større produktion og dermed
udgør en større andel af økonomien.
Miljøeksternaliteter kan eksempelvis korrigeres ved at læg-
ge grønne afgifter på udledning af forurenende stoffer.
Grønne afgifter gør, at det bliver dyrere at producere og
købe varer, som leder til forurening. Herved gives forbruge-
re og virksomheder et økonomisk incitament til at tage høj-
de for de miljøeksternaliteter, som deres produktion og for-
brug medfører. Pålægges grønne afgifter, vil virksomheder-
nes privatøkonomiske omkostninger i højere grad svare til
det samfundsøkonomisk optimale.
3
Derved fjernes den for-
vridning, der opstår, når virksomheder kan forurene gratis,
jf. boks II.1.
Grønne afgifter bør afspejle den miljømæssige omkostning
ved udledning af forurenende stoffer, dvs. afgiftssatsen skal
svare til den marginale eksterne skadesomkostning.
4
Afgif-
ten bør i princippet lægges på selve udledningen af forure-
ning. I praksis kan det være svært at måle de faktiske udled-
ninger, og grønne afgifter lægges derfor ofte på input eller
output, som er tæt relateret til udledningen. Et eksempel er
CO
2
-afgiften, som er lagt på købet af fossile brændsler.
I dansk og international miljøpolitik arbejder man ofte med
målsætninger for reduktion af udledninger eller miljøtil-
stand. Grønne afgifter kan her bruges som instrument til at
opnå en ønsket reduktion i udledningen. I praksis kan det
dog være nødvendigt løbende at justere afgiftssatsen, så den
givne målsætning overholdes, når forudsætningerne ændres,
3)
At pålægge forurenende virksomheder en grøn afgift af deres
udledning er i overensstemmelse med “forureneren betaler” prin-
cippet.
Grønne afgifter blev første gang foreslået af Pigou (1920) og
kaldes derfor også for Pigou-afgifter. Hvis der er flere miljø-
eksternaliteter, bør der pålægges en afgift på hver af de forure-
nende aktiviteter. Afgiftens størrelse bør også i det tilfælde svare
til de marginale skadesomkostninger.
Markedsfejl kan
korrigeres ved
hjælp af grønne
afgifter
Grønne afgifter
bør afspejle
miljøomkostning
Afgifter er
instrument til at
nå en målsætning
4)
100
SAU, Alm.del - 2016-17 - Bilag 133: Diskussionsoplæg 2017, fra Det Miljøøkonomiske Råd
1728070_0104.png
II.3 Teori og principper
eksempelvis som følge af stigende efterspørgsel, ændrede
priser eller teknologisk udvikling.
Kan påvirke
indkomst-
fordeling
Når der indføres en grøn afgift, vil det typisk påvirke ind-
komstfordeling og erhvervsstruktur. I praksis kan der derfor
være nogle indkomstgrupper eller erhverv, der umiddelbart
påvirkes negativt, selvom der fremkommer en samfunds-
økonomisk gevinst. Dette er nærmere beskrevet senere i
afsnittet.
Formålet med grønne afgifter er at korrigere for en mar-
kedsfejl, men samtidig opnås et provenu, der tilfalder den
offentlige sektor. Så længe afgifterne på forurenende aktivi-
teter ikke sættes højere end de marginale skadesomkostnin-
ger, vil dette provenu tilvejebringes samtidig med, at der
opnås en samfundsøkonomisk effektivitetsgevinst. Herved
adskiller grønne afgifter sig fra andre skatter og afgifter,
som alene er pålagt for at skaffe et provenu.
Tilvejebringer
provenu
101
SAU, Alm.del - 2016-17 - Bilag 133: Diskussionsoplæg 2017, fra Det Miljøøkonomiske Råd
1728070_0105.png
Grønne afgifter og effektiv miljøregulering. Diskussionsoplæg. Økonomi og Miljø 2017
Boks II.1
Korrektion af markedsfejl som følge af eksternaliteter
I det følgende illustreres grønne afgifters virkning på forbrugernes forbrugsbe-
slutning, og hvordan en grøn afgift leder til en samlet samfundsøkonomisk ge-
vinst, når afgiftssatsen er sat korrekt. Endvidere vises det, at en for høj grøn afgift
kan lede til en samfundsøkonomisk omkostning.
Antag, at der på et marked for et forurenende gode er fuldkommen konkurrence,
således at markedsprisen afspejler de marginale produktionsomkostninger. For-
bruget af det forurenende gode er i udgangspunktet ikke reguleret. Det betyder, at
forbrugernes efterspørgsel alene fastsættes ud fra de privatøkonomiske omkost-
ninger (P
0
), hvilket fører til et forbrug på Q
0
, som vist i venstre del af figur A. På-
lægges forbruget af det forurenende gode en afgift (t
1
), som svarer til den margi-
nale eksterne miljøomkostning, vil prisen stige til P
1
. P
1
afspejler de samlede sam-
fundsøkonomiske omkostninger. Afgiften vil således gennem markedsmekanis-
mer sænke forbruget fra Q
0
til Q
1
, og dermed også reducere den afledte miljøbe-
lastning. I figur A er det antaget, at den eksterne miljøomkostning pr. mængdeen-
hed er konstant. Den samlede miljøgevinst er derfor arealet af den grønne firkant i
figur A, ved reduktionen i forbruget fra Q
0
til Q
1
, idet
t
svarer til de marginale
eksterne miljøomkostninger.
Figur A – Effekten af en afgiftsstigning på dødvægtstab og miljøgevinst
Pris
Optimal afgift
Efterspørgsel
Pris
For høj afgift
Efterspørgsel
P
2
Udbud (med højere afgift)
Udbud (uden afgift)
t
1
P
1
P
0
Q
0
Udbud (med afgift)
Udbud (uden afgift)
t
2
P
0
Q
2
Q
0
Q
1
Mængde
Mængde
Grønne afgifter er generelt forbundet med to modsatrettede effekter. Den første
effekt er gevinsten ved forbedret miljø, som følge af reduceret forbrug af det foru-
renende gode. Den anden effekt er tab af nytte for forbrugerne, idet forbruger-
overskuddet reduceres. Dette tab betegnes som et dødvægtstab og svarer til arealet
af den skraverede trekant i figuren. Dødvægtstabet omtales også som et forvrid-
ningstab og opstår, fordi forbrugerne ændrer deres forbrugssammensætning, som
følge af afgiftspålæggelsen. Herved forvrides deres adfærd. Det ses, at miljøge-
vinsten (firkanten) er større end dødvægtstabet (trekanten), når afgiften er lig den
marginale eksterne omkostning (venstre side af figur A).
102
SAU, Alm.del - 2016-17 - Bilag 133: Diskussionsoplæg 2017, fra Det Miljøøkonomiske Råd
1728070_0106.png
II.3 Teori og principper
Boks II.1
Korrektion af markedsfejl som følge af eksternaliteter, fortsat
Sættes afgiften højere end den marginale eksterne omkostning, kan nettogevinsten
blive nul eller sågar negativ. Både miljøgevinsten og dødvægtstabet øges, når af-
giften øges. Generelt gælder det, at en stigning i afgiften vil føre til en proportio-
nal stigning i miljøgevinsten og en mere end proportional stigning i dødvægtsta-
bet, jf. bl.a. Gruber (2011) og Nechyba (2010). Dette er også tilfældet i det viste
eksempel i figur A.
I højre del af figur A er afgiften (t
2
) fordoblet relativt til den venstre del, og afgif-
ten er dermed sat højere, end det er miljømæssigt optimalt. Den højere afgift øger
miljøgevinsten (det grønne areal) proportionalt, mens dødvægtstabet i det konkre-
te eksempel bliver fire gange større (det skraverede område). Miljøgevinsten og
dødvægtstabet er i eksemplet nu lige store svarende til, at den samfundsøkonomi-
ske gevinst ved afgiften netop er forsvundet. For afgifter højere end t
2
vil den
samlede gevinst være negativ.
I figur A er provenuet fra grønne afgifter givet ved henholdsvis t
1
×Q
1
og t
2
×Q
2
. I
det viste eksempel er provenuet størst i figuren til højre, hvor den samfundsøko-
nomiske gevinst er mindst (nul). Dette illustrerer, at sættes afgiften højere, end det
er miljømæssigt velbegrundet kan man godt opnå et større provenu, men det vil
være forbundet med et samfundsøkonomisk tab (i forhold til den optimale afgift).
Andre hensyn end miljø?
Bør afgiftssatsen
afvige fra skades-
omkostningen?
Grønne afgifter kan afvige fra den marginale skadesom-
kostning ud fra andre hensyn end miljøbelastning. Sådanne
hensyn er bl.a.:
Tilvejebringelse af provenu
Konkurrencehensyn i form af lavere grønne afgifter
for virksomheder
Fordelingshensyn i forhold til forurenende og ikke-
forurenende virksomheder, og mellem forskellige
dele af befolkningen
I det følgende gennemgås disse hensyn, og det vurderes, om
det er hensigtsmæssigt at afvige fra princippet om, at en
grøn afgift skal afspejle den marginale skadesomkostning
for alle udledere. Gennemgangen viser, at det vil være for-
103
SAU, Alm.del - 2016-17 - Bilag 133: Diskussionsoplæg 2017, fra Det Miljøøkonomiske Råd
1728070_0107.png
Grønne afgifter og effektiv miljøregulering. Diskussionsoplæg. Økonomi og Miljø 2017
bundet med samfundsøkonomiske forvridningsomkostnin-
ger at tage hensyn til provenuskabelse, konkurrencevilkår
eller fordeling. Det er derfor vigtigt at være opmærksom på
de samfundsøkonomiske omkostninger, der følger af at tage
disse hensyn, når miljøreguleringen tilrettelægges. I den
forbindelsen skal det overvejes dels, om dette er omkost-
ningerne værd og dels, om omkostninger kan reduceres, ved
at disse hensyn varetages på anden vis f.eks. gennem ind-
komstskatten.
Tilvejebringelsen af provenu
Højere afgiftssats
øger provenu,
men også
forvridning
Sættes afgiftssatsen højere end de marginale skadesomkost-
ninger, vil det være muligt at tilvejebringe yderligere pro-
venu gennem opkrævningen af grønne afgifter. Det centrale
spørgsmål er, om det samme provenu kan tilvejebringes
gennem andre instrumenter med lavere forvridningsom-
kostninger til følge.
Forvridningsomkostningerne ved at opkræve et givet prove-
nu er som udgangspunkt mindre, jo bredere skattebase pro-
venuet opkræves af.
5
Det skyldes, at incitamenterne til at
substituere forbruget over mod ikke-afgiftsbelagte varer er
mindre med en lav afgiftssats, ligesom substitutionsmulig-
hederne er mindre, når mange varer er afgiftsbelagt (bred
skattebase), jf. f.eks. Gruber (2011). Grønne afgifter pålæg-
ges ofte relativt smalle skattebaser sammenlignet med
moms og indkomstskat, der typisk regnes for at være nogle
af de bredeste skattebaser.
Indkomstskatten forvrider ligeledes færre led af de økono-
miske beslutninger, idet den alene forvrider arbejdsudbud-
det. Til sammenligning forvrider afgifter, der er pålagt for-
brugsgoder og inputfaktorer, både arbejdsudbuddet og for-
brugssammensætningen hos husholdninger og valget af
produktionsinput i virksomhederne. Afgifter på et forbrugs-
gode fører således både til, at forbrugerne substituerer over
5)
Bredden af en skattebase afhænger af størrelsen af det potentielle
skattegrundlag. For eksempel er moms en bred skattebase, da den
er pålagt næsten alle varer og tjenesteydelser. Omvendt er punkt-
afgifter som oftest smalle skattebaser, da de kun er pålagt enkelte
varer.
Brede skattebaser
er vigtige ift.
tilvejebringelse af
provenu
Indkomstskat
forvrider i færre
led
104
SAU, Alm.del - 2016-17 - Bilag 133: Diskussionsoplæg 2017, fra Det Miljøøkonomiske Råd
1728070_0108.png
II.3 Teori og principper
mod forbrug af andre varer og til, at arbejdsudbuddet redu-
ceres, fordi et højere prisniveau påvirker reallønnen nega-
tivt.
Oprindeligt
argument for
højere afgiftssats
I 1990’erne blev der i den økonomiske litteratur argumente-
ret for at sætte satsen på grønne afgifter
højere
end den
marginale skadesomkostning. Provenuet fra den grønne
afgift kunne så anvendes til at reducere andre mere forvri-
dende skatter, hvorved de samlede forvridningsomkostnin-
ger i økonomien skulle blive reduceret. Dette omtales i litte-
raturen som “dobbelt dividende”, da grønne afgifter kunne
give gevinster i forhold til både forbedret miljø og mindre
forvridning i skattesystemet.
Sidenhen er der argumenteret for at sætte afgiftssatsen
lave-
re
end de marginale skadesomkostninger. Argumentet byg-
gende på en forventning om, at merprovenuet fra grønne
afgifter var mere forvridende end f.eks. opkrævning via en
bred indkomstskat.
6
Det skyldes dels, at grønne afgifter er
punktafgifter og derfor ofte opkræves af en relativ smal
skattebase og dels, at de forvrider i flere led end en ind-
komstskat, jf. diskussionen ovenfor.
I dag peger den økonomiske litteratur på, at det generelt er
svært at vurdere, om grønne afgifter, der afviger fra miljø-
omkostningerne, er mere eller mindre forvridende end andre
skatter og afgifter, jf. f.eks. Williams (2016). Endvidere er
andre skatter og afgifter i betydelig grad fastsat under hen-
syn til deres fordelingseffekter. Selvom der kunne opnås en
effektivitetsgevinst ved at øge en grøn afgift og reducere en
anden skat, kan denne skat i udgangspunktet være fastsat
under hensyn til dens fordelingseffekter, hvorfor det er for-
bundet med et velfærdstab at afvige herfra, jf. Kaplow
(2004) og Kreiner og Verdelin (2012). Et naturligt ud-
gangspunkt for afgiftssatsen er derfor de marginale skades-
omkostninger.
… sidenhen for
lavere afgiftssats
… men bør svare
til omkostning
ved
miljøbelastning
6)
Der argumenteredes således for, at den “dobbelt dividende” er
negativ, jf. bl.a. Bovenberg og Goulder (2002).
105
SAU, Alm.del - 2016-17 - Bilag 133: Diskussionsoplæg 2017, fra Det Miljøøkonomiske Råd
1728070_0109.png
Grønne afgifter og effektiv miljøregulering. Diskussionsoplæg. Økonomi og Miljø 2017
Konkurrencehensyn
Afgiftsfritagelse
forbedrer de
fritagne
virksomheders
konkurrence-
vilkår …
Grønne afgifter, der pålægges forurenende virksomheder,
øger produktionsomkostningerne og forringer derved de
berørte virksomheders konkurrencevilkår. For at tilgodese
forurenende virksomheder, fritages de nogle gange helt eller
delvist for grønne afgifter. Det indebærer, at virksomheder-
ne ikke betaler for de samlede samfundsøkonomiske om-
kostninger ved deres produktion. Herved forbedres de foru-
renende virksomheders konkurrencevilkår.
Fritages forurenende virksomheder fra at betale grønne afgif-
ter, vil de ikke have incitament til at begrænse deres udled-
ninger. Samtidig bliver deres omkostninger reduceret. Det
medfører, at de forurenende virksomheders produktion og
den samlede miljøbelastning øges. Når produktionen øges i
forurenende virksomheder, vil det lægge beslag på ressourcer
fra andre dele af økonomien, og derfor blive modsvaret af
mindre produktion i andre sektorer. Der sker således en for-
skydning af produktionen mod forurenende virksomheder,
der er fritaget for grønne afgifter og væk fra virksomheder,
der ikke forurener, eller som er afgiftsregulerede.
Hvis der er tale om en udledning, som er underlagt en fast
miljøøkonomisk målsætning, vil afgiftsfritagelse for virksom-
heder indebære, at husholdninger skal stå for hele den reduk-
tion i udledningen, der er nødvendig for at nå målsætningen.
Det indebærer, at husholdningerne opkræves en højere afgifts-
sats, sammenlignet med en situation hvor husholdninger og
virksomheder er underlagt samme afgiftsregulering. Da det er
mere forvridende at have en høj afgift på en mindre skattebase
end en lavere afgift på en større skattebase, vil virksomheder-
nes afgiftsfritagelse være forbundet med højere samfundsøko-
nomiske omkostninger end ved ens afgiftsbetaling.
Fritagelse fra grønne afgifter svarer således til at give selek-
tiv erhvervsstøtte til virksomheder, ud fra hvor meget de
forurener. Konsekvensen heraf er en forvridning af sektor-
sammensætningen, hvor de afgiftsfritagede, forurenende
erhverv er for store, og de øvrige sektorer er for små i for-
hold til det samfundsøkonomisk optimale, jf. f.eks. Ekins
(1999) og Holland (2009).
… men belaster
resten af
økonomien
Dyrere at nå et
miljømål
Fritagelse svarer
til erhvervsstøtte
106
SAU, Alm.del - 2016-17 - Bilag 133: Diskussionsoplæg 2017, fra Det Miljøøkonomiske Råd
1728070_0110.png
II.3 Teori og principper
… og påvirker
velfærden
Som udgangspunkt vil afgiftsfritagelse øge de samfunds-
økonomiske omkostninger ved at opnå miljømål, eller føre
til øget forurening, som påvirker den samlede velfærd nega-
tivt. Der argumenteres nogen gange for, at virksomheder
udledninger ikke skal reguleres gennem afgifter, når forure-
ningen er grænseoverskridende. Denne problemstilling be-
lyses senere i afsnittet.
Fordelingshensyn
Grønne afgifter
har fordelings-
effekter
Opkrævning af grønne afgifter kan have uønskede forde-
lingsvirkninger. Det kan være i forhold til den personlige
indkomstfordeling eller mere specifikt i forhold til de kon-
krete virksomheder eller borgere, der pålægges at betale
afgiften. Eksempelvis fører registreringsafgiften til en om-
fordeling mellem bilejere, og dem der benytter anden trans-
port.
Hvis de fordelingsmæssige konsekvenser af en grøn afgift
betalt af virksomheder er uønskede, kan disse bl.a. modvir-
kes ved at tilbageføre provenuet til de berørte virksomheder.
Tilbageførsel af provenuet bør ske, så der ikke gives incita-
menter til at virksomhederne ændrer adfærd i kraft af tilba-
geførslen. Tilbageførslen bør således ske afkoblet fra pro-
duktionens størrelse og andre forhold, som modtageren kan
påvirke. Det sikrer, at de afgiftsramte virksomheder stadig
har et incitament til at reducere deres udledninger, og at der
ikke gives incitamenter, der forvrider økonomiens sektor-
sammensætning.
For forbrugere vil grønne afgifter, i lighed med andre for-
brugsskatter, tit være regressive, jf. De Økonomiske Råds
formandskab (2008). Det skyldes, at lavtlønnede bruger en
større andel af deres indkomst på basale goder end højtløn-
nede. Uønskede fordelingseffekter kan modvirkes enten
gennem indkomstskattesystemet eller gennem tilbageførsel
til udvalgte befolkningsgrupper. En eventuel tilbageførsel
bør, analogt til tilbageføring til erhvervene, ske afkoblet, så
tilbageførslen ikke har forvridende adfærdsvirkninger. Et
eksempel på en afkoblet tilbageførsel er den såkaldte grønne
check, der giver et bundfradrag i indkomstskatten.
Afkobling vigtig,
hvis provenu skal
tilbageføres til
virksomheder
Effekt på
indkomst-
fordeling kan
modvirkes
107
SAU, Alm.del - 2016-17 - Bilag 133: Diskussionsoplæg 2017, fra Det Miljøøkonomiske Råd
1728070_0111.png
Grønne afgifter og effektiv miljøregulering. Diskussionsoplæg. Økonomi og Miljø 2017
Også fordelings-
effekter af
gevinsterne ved
regulering
Der kan også være fordelingseffekter af gevinsterne ved
miljøregulering. Typisk tillægger højindkomstgrupper mil-
jøforbedringer en højere værdi end lavindkomstgrupper,
hvilket betyder, at højindkomstgrupper som udgangspunkt
får en større gevinst ved forbedret miljø, jf. Kristrom og
Riera (1996). Det trækker dog i modsat retning, at højind-
komstgrupper i højere grad bosætter sig i områder med et
godt miljø. Eksempelvis er huse tæt på motorveje ofte billi-
gere, fordi det er forbundet med både forurenings- og støj-
gener at bo i disse områder. Forbedringer i miljøet i form af
eksempelvis partikelfiltre og katalysatorer på motorkøretø-
jer vil dermed i højere grad kunne komme lavindkomst-
grupperne til gode.
Regelregulering
Regelregulering
er udbredt
På trods af at afgifter er blevet et mere anvendt styringsin-
strument i den dansk miljøpolitik, så er regelregulering sta-
dig meget udbredt. Regelregulering er bl.a. standarder og
teknologikrav til produktionen eller normer for produktio-
nens resulterende udledninger. Et eksempel på regelregule-
ring er bl.a. påbud om overdækning af gylletanke i landbru-
get, som reducerer udledningen af ammoniak.
Formålet med regelregulering er at sikre, at den forurening,
der udledes pr. produceret enhed, reduceres. Men i alminde-
lighed er det hensigten, at disse regler ikke skal forhindre
udvidelser af den eksisterende produktion eller etablering af
nye virksomheder. Virksomheder underlagt regelregulering
får således typisk lov til at udlede mere, hvis de øger deres
produktion, blot kravene fortsat overholdes (ligesom afgif-
ter).
Under regelregulering betaler de forurenende virksomheder
for implementeringen af udledningsreducerende tiltag (så-
som overdækning af gylletanke), således at de forskellige
teknologikrav opfyldes. Under afgiftsregulering er virksom-
hedens direkte produktionsomkostninger forøget tilsvaren-
de, da afgiften giver virksomheden et incitament til selv at
implementere lignende tiltag. Men herudover skal der beta-
les afgift af den udledte mængde af forurenende stoffer
(svarende til de marginale miljøomkostninger).
Regelregulering
forhindrer ikke
mere produktion
Lignende tiltag,
men ingen
betaling for
udledning
108
SAU, Alm.del - 2016-17 - Bilag 133: Diskussionsoplæg 2017, fra Det Miljøøkonomiske Råd
1728070_0112.png
II.3 Teori og principper
Mindre
incitament til at
reducere
produktionen
De samlede produktionsomkostninger bliver som udgangs-
punkt mindre under regelregulering. Sammenlignet med
afgiftsregulering fører det til en større produktion i den for-
urenende sektor og dermed også øget udledning. Den mang-
lende betaling af den miljømæssige omkostning betyder, at
produktion i en forurenende sektorer underlagt regelregule-
ring indirekte subsidieres, sammenlignet med sektorer der
enten er afgiftsreguleret eller ikke forurener. Derved forvri-
des erhvervsstrukturen mod mere forurenende sektorer.
Regelregulering er således forbundet med en samfundsøko-
nomisk meromkostning.
Regelregulering er også et mindre omkostningseffektivt
instrument end grønne afgifter. Omkostningerne ved at re-
ducere udledninger varierer ofte mellem forskellige forbru-
gere og producenter. For at et reguleringsinstrument er om-
kostningseffektivt, kræves det, at instrumentet giver fleksi-
bilitet til, at udledningerne reduceres, hvor det er billigst.
Afgifter har denne egenskab, hvis disse kan pålægges direk-
te på udledningen. Det skyldes, at en afgift sikrer samme
marginale omkostning ved udledning fra alle udledere. Til
sammenligning er regelregulering sjældent omkostningsef-
fektiv, idet alle producenterne typisk er pålagt samme re-
duktionskrav. Det betyder, at nogle producenter skal foreta-
ge meget dyre reduktioner, mens det for andre producenter
vil være billigt at reducere udledningen yderligere.
Grænseoverskridende forurening
Regelregulering
er også mindre
omkostnings-
effektiv
Afgifter virker
dårligt ved
lækage
Under visse omstændigheder kan nogle former for regule-
ring vise sig at være bedre egnet end afgifter. Det kan f.eks.
være tilfældet, hvis forureningen er grænseoverskridende
(f.eks. luftforurening). Når et område, der er underlagt mil-
jøregulering, ikke er geografisk sammenfaldende med det
område, der rammes af miljøskader, kan der opstå såkaldte
lækageproblemer. Beskattes udledning i ét område, er der
risiko for, at den relaterede produktion og dermed også ud-
ledningen flytter til et andet område, der ikke er omfattet af
regulering. Dette betegnes som “lækage”.
109
SAU, Alm.del - 2016-17 - Bilag 133: Diskussionsoplæg 2017, fra Det Miljøøkonomiske Råd
1728070_0113.png
Grønne afgifter og effektiv miljøregulering. Diskussionsoplæg. Økonomi og Miljø 2017
Internationale
aftaler er den
bedste regulering
Den bedste løsning til at imødegå lækageproblemet er inter-
nationale forpligtende aftaler. Anvendes afgifter til at over-
holde aftalens målsætninger, vil det ikke umiddelbart føre
til lækage, hvis omkringliggende lande også har tilsluttet sig
aftalen. Kan en international aftale ikke indgås med alle
lande, kan der opstå lækage problemer. For at modvirke
dette har det været foreslået at supplere grønne afgifter med
told på forurenende varer fra lande, som står udenfor afta-
len. Dette vil mindske fordelen ved at stå udenfor en aftale
og dermed adressere et af hovedproblemerne i forhold til
lækage, jf. Hoel (1996).
Er regulering via internationale aftaler ikke mulig, og øn-
sker et land at begrænse sin udledning af grænseoverskri-
dende forurening, uden at det fører til omfattende lækage,
argumenterer Holland (2009) for, at regelregulering kan
være at foretrække frem for grønne afgifter. Det skyldes, at
regelregulering reducerer udledningen pr. produceret enhed
ligesom afgifter, men i forhold til en afgift giver regelregu-
lering et mindre incitament til at reducere den indenlandske
produktion og flytte den til udlandet. Kombineres regelregu-
lering med en afgift på indenlandsk forbrug, kan man opnå
den ønskelige effekt på den forurenende produktion, uden
det fører til lækage. Det skyldes, at forbrugsafgiften pålæg-
ges indenlandsk såvel som udenlandsk producerede varer,
og det vil derfor ikke være en fordel for virksomheder at
flytte deres produktion til udlandet.
Opsummering
Ved lækage kan
standarder være
en bedre
regulering
Grønne afgifter
er et godt
instrument
Andre hensyn
end miljø øger
omkostninger
Grønne afgifter kan sikre en omkostningseffektiv regulering
af miljøeksternaliteter, hvis afgiften svarer til miljøbelast-
ningen og opkræves, så den er tæt korreleret med udlednin-
gen.
Hvis grønne afgifter indrettes, så der tages hensyn til f.eks.
provenuskabelse gennem høje afgifter eller forurenende
virksomheders konkurrencevilkår gennem afgiftsfritagelse,
vil det som udgangspunkt medføre forøgede forvridnings-
omkostninger.
110
SAU, Alm.del - 2016-17 - Bilag 133: Diskussionsoplæg 2017, fra Det Miljøøkonomiske Råd
1728070_0114.png
II.4 Metode og modelgrundlag
Regelregulering
svarer til delvis
afgiftsfritagelse
Regelregulering kan ligesom afgifter reducere udledningen
pr. produceret enhed fra den enkelte virksomhed, men frita-
ger virksomheder for at betale for den miljøbelastning, de-
res produktion medfører. Dermed subsidieres produktionen
fra de regelregulerede virksomheder i forhold til virksom-
heder, som ikke forurener, og virksomheder som er under-
lagt afgiftsregulering. Det indebærer forvredne incitamen-
ter, der kan fører til, at den forurenende produktion vil ud-
gøre en større andel af økonomien.
II.4 Metode og modelgrundlag
Analyser
foretages på
REFORM-
modellen
De efterfølgende afsnit indeholder en række illustrative
beregninger af omkostningerne ved at afvige fra principper-
ne om optimal udformning af grønne afgifter. Beregninger-
ne er baseret på REFORM-modellen. REFORM er en så-
kaldt anvendt generel ligevægtsmodel, der er udviklet af
modelgruppen DREAM, jf. boks II.2.
REFORM indeholder 73 produktionssektorer. Produktions-
sektorerne anvender kapital, materiale, arbejdskraft og
energi, hvor energi er opdelt på olie, gas, fjernvarme og el.
Disse energityper indgår også i forbrugernes efterspørgsels-
funktion. Således er det muligt at vurdere, hvordan energi-
sammensætningen påvirkes, når der ændres i afgiftssatserne
på de forskellige energityper.
Ved at benytte en generel ligevægtsmodel til at undersøge
ændringen af en grøn afgift, belyses såvel virkningen på de
direkte berørte sektorer, som de indirekte virkninger på
resten af økonomien. Således undersøges både ændringer i
produktions- og forbrugsstrukturen, ligesom det er muligt at
vurdere, hvordan en række centrale makroøkonomiske stør-
relser, såsom BVT, beskæftigelse og eksport påvirkes.
REFORM er en
multisektormodel
med flere
energiformer
Undersøger
påvirkningen på
hele økonomien
111
SAU, Alm.del - 2016-17 - Bilag 133: Diskussionsoplæg 2017, fra Det Miljøøkonomiske Råd
1728070_0115.png
Grønne afgifter og effektiv miljøregulering. Diskussionsoplæg. Økonomi og Miljø 2017
Boks II.2
Beskrivelse af REFORM
Til de præsenterede beregninger anvendes DREAM-gruppens anvendte generelle
ligevægtsmodel REFORM, som er beskrevet i Stephensen mfl. (2015). REFORM
er en statisk-komparativ multisektormodel for en lille åben økonomi. Modellen er
kalibreret til at afspejle dansk økonomi i et konjunkturrenset basisår, der primært
tager udgangspunkt i år 2006. Den primære datakilde er Input/Output-tabellen fra
Danmarks Statistiks nationalregnskab.
Produktionsstruktur
Modellen indeholder 73 produktionssektorer, der hver især anvender input i form
af bygningskapital, maskinkapital, materialer (fra andre sektorer eller udlandet),
energi samt arbejdskraft. Efterspørgslen efter produktionsfaktorerne er udledt fra
en nestet CES-produktionsfunktion i et såkaldt KELBM-aggregat. Hver sektor
producerer forbrugsgoder til husholdninger, eksport og materialeinput i den øvri-
ge produktion.
Virksomheder, husholdninger og offentlig sektor
Virksomhederne antages at være profitmaksimerende og indretter deres produkti-
on, så omkostningerne minimeres. Virksomhederne i de forskellige erhverv agerer
under monopolistisk konkurrence. Således er der markedsdominans i nogle sekto-
rer, hvor den omkostningsbestemte pris ikke er lig den faktiske varepris. Den fak-
tiske pris er dermed en markup ovenpå omkostningerne. Disse markup er kalibre-
ret med udgangspunkt i nationalregnskabet og er eksogene i modellen.
Der findes to typer af nyttemaksimerende husholdninger i modellen: Beskæftige-
de og ikke-beskæftigede. Beskæftigede har nytte af forbrug og fritid. Arbejdsud-
buddet bliver dermed afhængigt af reallønnen. Ikke-beskæftigede har kun nytte af
forbrug. Forbrugerne modtager løn, offentlige transfereringer samt afkast på deres
aktiver. Forbrugernes efterspørgsel er bestemt i et nestet CES-forbrugssystem.
Der anvendes en additiv nyttefunktion, hvor der opnås nytte af forbrug og fritid.
Arbejdsudbudselasticiteten med hensyn til lønnen efter skat er lig 0,1. Der udby-
des én type arbejdskraft af husholdningerne på et fleksibelt arbejdsmarked, hvor
reallønnen tilpasser sig, så ledigheden ligger på et fast strukturelt niveau, svarende
til 4 pct. af arbejdsstyrken. De beskæftigede vælger, hvor mange timer de vil ar-
bejde. I analyserne omregnes ændringer i timebeskæftigelsen til ændring i antal
fuldtidsbeskæftigede.
112
SAU, Alm.del - 2016-17 - Bilag 133: Diskussionsoplæg 2017, fra Det Miljøøkonomiske Råd
1728070_0116.png
II.4 Metode og modelgrundlag
Boks II.2
Beskrivelse af REFORM, fortsat
Udland
Samhandlen med udlandet sker under de såkaldte Armington-forudsætninger,
hvormed det antages, at der i den indenlandske anvendelse af varer er imperfekt
substitution mellem importerede og indenlandsk producerede varer. På de danske
eksportmarkeder skelner efterspørgerne også mellem danske og udenlandske va-
rer. Eksportpriselasticiteten sat til 5 for alle erhverv. Importpriselasticiteten er på
1,25 for alle erhverv.
Ækvivalerede variation
De samfundsøkonomiske omkostninger af den ændrede regulering opgøres som
den såkaldt ækvivalerede variation (EV). Den ækvivalerede variation angiver det
beløb, som forbrugerne skal modtage/afgive for at være lige så godt stillet som i
udgangspunktet. I præsentationen af resultaterne indgår dette som et velfærdsmål
for økonomien. I modellen er det ikke muligt at tage højde for, at et tiltag kan føre
til en ændret fordelingsprofil. Hvis en samfundsplanlægger tillægger den givne
fordelingsprofil en værdi, vil det fører til et velfærdstab, hvis der afviges fra den-
ne fordeling. Dette er ikke medtaget i det anvendte velfærdsmål, som alene tager
højde for ressourcemæssig efficiens. Desuden indgår eventuelle miljøeffekter ikke
i de samfundsøkonomiske velfærdseffekter.
Modellen indeholder en afgiftsstruktur bestående af 19 forskellige afgifter og fire
subsidier. Afgiftssatserne er kalibreret til at ramme afgiftsprovenuet i 2011, som
er det senest tilgængelige år, hvor afgifterne er sektoropdelte. Afgifterne antages
at være værdiafgifter og afgiftssystemet består af afgiftsmatricer, der er knyttet til
hver celle i input/output-systemet. Afgiftssystemet er udvidet i forhold til det, der
er beskrevet i Stephensen mfl. (2015). Der er også foretaget andre justeringer i
modellen. Disse er beskrevet i et dokumentationsnotat, som findes på De Økono-
miske Råds hjemmeside.
Det skal understreges, at der er tale om komplekse modelberegninger, der beror
på en række antagelser og simplifikationer. Derfor vil der være en grad af usik-
kerhed forbundet med opgørelsen af de anførte økonomiske konsekvenser.
Markedsfejl er
modelleret i
REFORM
I REFORM er der modelleret enkelte markedsimperfektio-
ner. Blandt andet er der indført markedsdominans og pris-
sættende adfærd for nogle brancher ved at modellere positi-
ve markups.
113
SAU, Alm.del - 2016-17 - Bilag 133: Diskussionsoplæg 2017, fra Det Miljøøkonomiske Råd
1728070_0117.png
Grønne afgifter og effektiv miljøregulering. Diskussionsoplæg. Økonomi og Miljø 2017
Modelberegning
medtager kun de
økonomiske
effekter
Som nævnt indeholder modellen forbrugere og virksomhe-
ders efterspørgsel efter miljørelaterede varer, som vand og
forskellige typer af energi. Miljøeffekter og udledninger
indgår ikke eksplicit i modellen, ligesom energiproduktio-
nen ikke er opdelt på fossil og vedvarende energiprodukti-
on. I modellen er forbrugerne eller producenternes beslut-
ninger derfor ikke påvirket af de afledte miljøpåvirkninger.
Desuden indgår eventuelle miljøeffekter ikke i de sam-
fundsøkonomiske velfærdseffekter. Resultaterne medtager
alene de økonomiske konsekvenser af en afgiftsomlægning.
Betydningen af ændrede miljøeffekter kan derfor kun be-
handles udenfor modellen.
Der er andre begrænsninger, som det er vigtigt at have for
øje, når resultaterne vurderes og fortolkes. Modellen er sta-
tisk, hvilket betyder, at der bl.a. ses bort fra tilpasningsom-
kostninger. REFORM er en generel model for udbud og
efterspørgsel fra mange sektorer. I REFORM er der således
ikke en detaljeret tilpasning til institutionelle forhold i hver
af de forskellige sektorer. De analyserede afgiftsomlægnin-
ger kan desuden ændre indkomstfordelingen i samfundet.
REFORM kan imidlertid ikke belyse omfanget eller retnin-
gen af sådanne fordelingsvirkninger.
REFORM-modellen bruges i det følgende til at analysere tre
konkrete eksempler. I beregningerne omlægges elafgiften
og afgiften på ledningsført vand. I begge tilfælde opgøres
forvridningsomkostningerne ved at tage hensyn til provenu
og konkurrence i udformningen af afgifterne. I den sidste
beregning illustreres, hvilke sektorforvridninger der er for-
bundet med at begrænse landbrugets ammoniakudledning
gennem regelregulering fremfor via grønne afgifter.
Andre model-
begrænsninger
Beregning af tre
konkrete
eksempler
II.5 Elafgift, provenu og fritagelse
Provenu via
snæver afgift
forvrider
Grønne afgifter bidrager til statens samlede provenu. Hvis
afgiften er pålagt forbrug eller produktion, som ikke direkte er
forbundet med miljøbelastning, eller hvis afgiftssatsen er hø-
jere end de marginale skadesomkostninger, er forvridnings-
omkostningerne ved det tilvejebragte merprovenu typisk stør-
re end ved at benytte f.eks. indkomstskatten, jf. afsnit II.3.
114
SAU, Alm.del - 2016-17 - Bilag 133: Diskussionsoplæg 2017, fra Det Miljøøkonomiske Råd
1728070_0118.png
II.5 Elafgift, provenu og fritagelse
Nogle afgifter er
sat højere end
miljøskader kan
begrunde
I Danmark er der flere eksempler på afgifter, der er højere,
end hvad der kan begrundes ud fra klima- og miljøhensyn.
Det gælder for flere afgifter på energi og transport. Regi-
streringsafgiften påvirker f.eks. valg af bil, men der er kun
en indirekte sammenhæng mellem bilejerskab og miljøbe-
lastning. En tidligere analyse i De Økonomiske Råds for-
mandskab (2013) viste endvidere, at disse transportafgifter
er højere end det, der kan begrundes ud fra de forskellige
eksternaliteter ved transport, som f.eks. luftforurening, kli-
mapåvirkning, trængsel og ulykker. Ligeledes bærer afgifter
på forskellige typer energi præg af at være målrettet energi-
besparelser og provenuskabelse frem for at afspejle en mil-
jøbelastning, jf. SKAT (2016) og Miljøstyrelsen (2002).
7
Energiafgifter er også kendetegnet ved at have en lavere
afgift på energi til fremstillingsprocesser. En sådan begun-
stigelse af nogle virksomheder påfører samfundet en effek-
tivitetsomkostning, da det gør det dyrere at nå det miljømål,
som afgiften er rettet mod.
I det følgende beskrives afgifterne på energi nærmere. Der
er især fokus på afgifterne på el, da afgifterne på el er væ-
sentlig højere end afgifterne på andre former for energi.
Samtidig er el til fremstillingsprocesser stort set fritaget for
afgift, mens mange tjenesteerhverv betaler den fulde afgifts-
sats. Udformningen af elafgiften synes således både at tage
hensyn til provenu og konkurrenceevne. I afsnittet beskrives
beregninger, som belyser, hvilke forvridningsomkostninger
der er forbundet med disse hensyn.
Afgifter på energiprodukter
Virksomheds-
fritagelse fra dele
af energiafgift
Fokus på den
høje afgift på el
Energibeskatning
tjener en række
formål
De første energiafgifter i Danmark blev indført i 1970’erne
og havde primært til formål at fremme energibesparelser, jf.
Miljøstyrelsen (2002). Udover hensyn til at mindske energi-
forbruget er afgifterne på energi i dag udformet ud fra hen-
7)
Der er også eksempler på grønne afgifter, der er for lave, så
miljøbelastningen ikke er tilstrækkelig reguleret. Det gør sig bl.a.
gældende for afgiften på udledningen af svovl. Desuden er der
eksempler som udledning af partikler fra brændeovne, hvor det
ville være relevant at indføre nye grønne afgifter, jf. De Økono-
miske Råds formandskab (2016).
115
SAU, Alm.del - 2016-17 - Bilag 133: Diskussionsoplæg 2017, fra Det Miljøøkonomiske Råd
1728070_0119.png
Grønne afgifter og effektiv miljøregulering. Diskussionsoplæg. Økonomi og Miljø 2017
syn til både virksomhedernes internationale konkurrenceev-
ne, hensyn til provenu og hensyn til miljøbelastningen.
EU-mål kan
begrunde
energiafgifter
Afgifter på energi er i høj grad indrettet med henblik på at
begrænse det samlede energiforbrug. Det er imidlertid ikke
oplagt, at en reduktion i forbruget af energi er en hensigts-
mæssig målsætning, da energiforbrug ikke i sig selv er ska-
deligt for miljø og klima. I forhold til at opnå klimamål er
det alene fossilt energiforbrug, der bør begrænses og ikke
det samlede energiforbrug, som også omfatter vedvarende
energi. Der er imidlertid på EU-plan fastsat en række mål
for energibesparelser, som Danmark skal følge. Det kan
derfor være nødvendigt at indrette afgifterne på energi efter
disse mål.
8
Afgifter på energiprodukter dækker over følgende afgifter:
9
Energiafgift på brændsler (kul, gas og olie)
Elafgift på elforbrug
CO
2
-afgift på udledning fra brændsler (ikke-kvote-
omfattede udledninger)
Afgift på udledning af kvælstofoxider (NO
X
) og
svovl (SO
2
).
Afgifter afspejler
energiindhold og
miljøeffekter …
… men primært
knyttet til
energiindhold
Langt hovedparten af afgifterne på energi er baseret på
energiindholdet (energi- og elafgift), som ikke direkte af-
spejler miljø- og klimapåvirkningen ved brug af de forskel-
lige typer af energi, jf. boks II.3.
8)
På EU-niveau er der en målsætning om, at EU’s primærenergi-
forbrug skal reduceres med 20 pct. i 2020 ift. en fremskrivning af
energiforbruget, der blev udarbejdet i 2007. I 2014 blev det ved-
taget at forlænge dette mål til 2030, hvor primærenergiforbruget
skal reduceres med mindst 27 pct. i 2030. I november 2016 har
EU-kommissionen lagt op til, at energieffektiviseringsmålet skal
hæves til 30 pct., og at målet skal være juridisk bindende for
medlemslandene.
Afgifter på energiprodukter udgør godt halvdelen af det samlede
provenu fra grønne afgifter i Danmark, jf. afsnit II.2. Indtil januar
2017 har der desuden været en PSO-afgift på elforbrug. Denne er
gradvist under udfasning frem mod 2022. PSO diskuteres derfor
ikke i dette kapitel. Der er også energiafgifter på benzin og diesel,
men disse er ikke beskrevet her.
9)
116
SAU, Alm.del - 2016-17 - Bilag 133: Diskussionsoplæg 2017, fra Det Miljøøkonomiske Råd
1728070_0120.png
II.5 Elafgift, provenu og fritagelse
Elafgift højere
end energiafgift
pr. GJ
Energi- og elafgifterne varierer både mellem energitype og
med anvendelsen af energien. Elafgiften på almindelig el-
forbrug og elforbrug til rumvarme er markant højere end
energiafgiften på fossile brændsler (fyringsolie, naturgas og
kul). Afgiften på almindeligt elforbrug er således mere end
tre gange højere end energiafgiften på fossile brændsler.
Desuden er biobrændsler som træ og halm ikke afgiftsbe-
lagt.
Derudover varierer elafgiften og energiafgiften på fossile
brændsler også ved, at der er markant lavere afgifter for el
og energi, som anvendes til energiintensive processer i
fremstillingserhvervene, sammenlignet med afgifterne for
husholdninger, serviceerhverv og fremstillingserhverv uden
energiintensive processer. De væsentlig lavere afgifter til
energiintensive processer afspejler formentlig hensyn til de
pågældende virksomheders konkurrenceevne.
Lavere el- og
energiafgift til
proces
117
SAU, Alm.del - 2016-17 - Bilag 133: Diskussionsoplæg 2017, fra Det Miljøøkonomiske Råd
1728070_0121.png
Grønne afgifter og effektiv miljøregulering. Diskussionsoplæg. Økonomi og Miljø 2017
Boks II.3
Afgiftssatser for energi
I denne boks beskrives afgifterne på forskellige brændsler bortset fra afgifter på
brændsler anvendt til transport (benzin og diesel). Som det fremgår af tabel A, er
hovedparten af afgifterne på energi baseret på energiindholdet (energi- og elaf-
gift). Energi- og elafgifterne er ikke ens pr. GJ. Afgifterne på el og energi til pro-
ces er lavere end de øvrige afgifter, mens der ingen energiafgift er på biobrænds-
ler (halm, træ mv.). Elafgiften på el til varme og almindeligt elforbrug er højere
end de øvrige afgifter.
Energiafgifter
Energiafgifter på brændsler er fastsat ud fra energiindholdet i de forskellige pro-
dukter. Energiafgiften på brændsler til rumvarme (fyringsolie, naturgas og kul,
men ikke biomasse) udgør således 54,9 kr. pr. GJ, mens den tilsvarende afgift på
brændsler til procesformål for momspligtige erhverv kun er 4,5 kr. pr. GJ, svaren-
de til EU’s minimumsats.
a
Tabel A
Afgiftssatser for energi i 2016
Energi-
CO
2
-
NO
X
-
SO
2
-
Sum
/elafgift
afgift
afgift
afgift
---------------------- Kr. pr. GJ ---------------------
Fyringsolie
Naturgas
Kul
Halm, træ mv.
Almindelig elektricitet
Elektricitet til varme
c)
Elektricitet til proces
a)
54,9
a)
54,9
a)
54,9
a)
0,0
185,2
b)
80,2
b)
0,8
b)
12,7
9,7
16,2
0,0
0,0
0,0
0,0
0,3
0,2
0,5
0,5
0,0
0,0
0,0
0,0
0,0
2,3
1,8
0,0
0,0
0,0
67,9
64,8
73,9
2,3
185,2
80,2
0,8
b)
c)
Kilde:
De viste energiafgiftssatser for fyringsolie, naturgas og kul er gældende for rumvarme.
Til proces er disse satser 4,5 kr. pr. GJ. Energiafgiften er nul for brændsler, der indgår i
elproduktion.
Konverteringstab ved produktion af el er medregnet med en virkningsgrad på 75,3 pct.
Forbrug udover 4.000 kWh i helårsboliger, som er registrerede som elopvarmede.
Sekretariatet for afgifts- og tilskudsanalysen på energiområdet (2016) og egne bereg-
ninger.
118
SAU, Alm.del - 2016-17 - Bilag 133: Diskussionsoplæg 2017, fra Det Miljøøkonomiske Råd
1728070_0122.png
II.5 Elafgift, provenu og fritagelse
Boks II.3
Afgiftssatser for energi, fortsat
Miljøafgifter
Miljøbelastningen ved afbrænding af brændsler er reguleret gennem afgifter på
udledning af CO
2
, NO
x
og SO
2
. Ved brug af fossile brændsler udenfor kvotesekto-
ren er CO
2
-afgiftssatsen 170 kr. pr. ton i 2016, mens afgiftssatsen på NO
x
er 5 kr.
pr. kg. SO
2
-afgiften udgør i udgangspunktet 23,2 kr. pr. kg afgiftspligtigt svovl-
indhold.
Elafgifter
Brændsler til el er fritaget fra energiafgiften, og elforbruget er i stedet pålagt en
elafgift. Elafgiftssatsen er differentieret. Der er således forskel på afgiften alt efter
om elektriciteten benyttes til proces, elvarme eller almindeligt elforbrug. Afgiften
på el til proces er 0,4 øre pr. kWh, mens afgiften på elektricitet til elvarme og al-
mindeligt elforbrug er på henholdsvis 38,3 og 88,5 øre pr. kWh. For at kunne
sammenligne afgiftssatserne med energiafgiften, omregnes afgifterne til en brut-
toafgift i kr. pr. GJ. Denne omregning fører til, at afgiften på el til proces svarer til
0,8 kr. pr. GJ. Afgiften på elektricitet til elvarme kan omregnes til 80,2 kr. pr. GJ,
mens afgiften på almindeligt elforbrug svarer til 185,2 kr. pr. GJ.
b
Forbruget af elektricitet er ikke pålagt afgifter på CO
2
, NO
x
og SO
2
. Det skyldes,
at de i stedet er pålagt elproduktionen. Det meste af elproduktionen er omfattet af
kvotesektoren, og brændsler til elproduktion er pålagt afgifter på udledning af bå-
de svovl og kvælstofoxider.
a)
b)
Energi til procesformål er energi, som virksomheder bruger med undtagelse af energi til rum-
varme, varmt vand, komfortkøling, motorbrændstof og smøreolie.
Der er konverteringstab forbundet med produktion af el på konventionelle kraftværker, som der
skal tages højde for, for at kunne sammenligne elafgiften med energiafgiften. I opgørelsen af
elafgifterne i dette afsnit, benyttes en omregningsfaktor på godt 75 pct. Konverteringstabet er
beregnet ud fra elproduktionens gennemsnitlige virkningsgrad, som er forholdet mellem ener-
giinput og -output. Ligesom Sekretariatet for afgifts- og tilskudsanalysen på energiområdet
(2016), antages den gennemsnitlig virkningsgrad for brændsler at være 41,3 pct. (det svarer til,
at 100 GJ brændselsinput i elproduktionen konverteres til 41,3 GJ el hos forbrugeren). Dog
stammer 58 pct. af elforbruget fra sol, vind og vand, der ikke har et lignende konverteringstab i
elproduktionen. Indregnes dette giver det en gennemsnitlig omregningsfaktor på godt 75 pct.
119
SAU, Alm.del - 2016-17 - Bilag 133: Diskussionsoplæg 2017, fra Det Miljøøkonomiske Råd
1728070_0123.png
Grønne afgifter og effektiv miljøregulering. Diskussionsoplæg. Økonomi og Miljø 2017
Mulige
begrundelser for
høj elafgift
Elafgiften på almindeligt elforbrug og el til varme er højere
end energiafgiften. I det følgende undersøges, om dette kan
begrundes ud fra hensyn til energisparemålsætninger, hen-
syn til klima eller hensyn til målsætningen om en grøn om-
stilling til et lavemissions samfund.
Hvis el- og energiafgifternes primære funktion er at over-
holde EU’s energisparemål, burde el- og energiafgiften som
udgangspunkt være ens pr. GJ på tværs af energityper og
energianvendelse. Dette er ikke tilfældet, jf. figur II.3. Den
relativt høje afgift på almindeligt elforbrug og elforbrug til
rumvarme kan derfor vanskeligt begrundes ud fra hensyn til
energibesparelser.
Hvis el- og energiafgiften også har til formål at reducere de
klimarelaterede effekter ved energiforbrug, kunne en højere
elafgift måske begrundes, hvis klimaeffekten relateret til
elproduktion var større end beskatningen fra brændsler til
energi. Men opgøres afgifterne i forhold til udledningen af
CO
2
, er afgiften på almindeligt elforbrug stadig højere end
for de andre typer energi, jf. figur II.4
Energibespare-
målsætning er
ikke en god
begrundelse
Klimahensyn er
ikke en god
begrundelse
Figur II.3
Energi- og CO
2
-afgift
pr. GJ
Figur II.4
Energi- og CO
2
-afgift
pr. ton CO
2
Anm.:
Kilde:
Der er i afgifter på elektricitet ikke taget højde for omkostningerne ved brug af CO
2
-kvoter.
Prisen på CO
2
-kvoter udgør i 2016 omkring 40 kr. pr. ton CO
2
, hvilket er beskedent ift. ener-
gi- og CO
2
-afgifterne i figuren.
Energinet (2016), Sekretariatet for afgifts- og tilskudsanalysen på energiområdet (2016) og
egne beregninger.
120
SAU, Alm.del - 2016-17 - Bilag 133: Diskussionsoplæg 2017, fra Det Miljøøkonomiske Råd
1728070_0124.png
II.5 Elafgift, provenu og fritagelse
CO
2
-udledning i
kvotesektor
fastlagt ved antal
kvoter
Høj afgift på el
modvirker grøn
omstilling
Størstedelen af elproduktionen er desuden omfattet af EU’s
kvotemarked. Det indebærer, at afgifter på elektricitet der-
med ikke har nogen direkte effekt på den samlede CO
2
-
udledning i EU, da mængden af kvoter er givet. Dette er
nærmere uddybet i boks II.4.
Endvidere kommer en stor og stadig stigende del af den el,
der bruges i Danmark, fra vedvarende energi (VE). Derfor
ventes en øget elektrificering ofte at være en naturlig del af
en grøn omstilling med lavere udledning af CO
2
og uaf-
hængighed af fossile brændsler, jf. f.eks. Energistyrelsen
(2014). Den højere afgift på el indebærer, at det er privat-
økonomisk dyrere at skifte fra fossile brændsler til mere
bæredygtige elektricitetsbaserede alternativer såsom varme-
pumper og elbiler.
Alt i alt er den høje afgift på el ikke hensigtsmæssig i for-
hold til reduktion af CO
2
-udledning i EU eller til fremme af
den grønne omstilling i Danmark. Den relativt høje elafgift
giver heller ikke incitament til at fremme energibesparelser
omkostningseffektivt. Begrundelsen for den høje elafgift
kan derfor være det skatteprovenu, som elafgiften genererer.
I det følgende belyses forvridningsomkostningerne ved at
benytte elafgiften til at tilvejebringe provenu fremfor ind-
komstskatten.
Energi-/ miljømål
er ikke et godt
argument for
ekstra høj elafgift
121
SAU, Alm.del - 2016-17 - Bilag 133: Diskussionsoplæg 2017, fra Det Miljøøkonomiske Råd
1728070_0125.png
Grønne afgifter og effektiv miljøregulering. Diskussionsoplæg. Økonomi og Miljø 2017
Boks II.4
Lækage under det europæiske kvotemarked
Når der foretages CO
2
-reduktioner indenfor kvotesektoren, vil de CO
2
-kvoter, der
ellers ville være brugt, være til rådighed for andre CO
2
-udledere indenfor kvote-
sektoren. Hvis kvoteloftet er bindende, vil der derfor som udgangspunkt være 100
pct. lækage. Der vil således ske en stigning i CO
2
-udledning i andre dele af den
europæiske kvotesektor, som modsvarer den oprindelige reduktion i CO
2
-
udledningen. På grund af muligheden for at gemme kvoter sker lækagen ikke
nødvendigvis med det samme.
Det er imidlertid en diskussion af, om reduceret CO
2
-efterspørgsel i sig selv kan
påvirke de fremtidige EU-forhandlinger, hvor udbuddet af CO
2
-kvoter fastlægges.
Hvis CO
2
-reduktioner har en sådan virkning, vil lækagen kunne være under 100
pct., jf. bl.a. Sandbag (2016).
Der er en betydelig økonomisk litteratur, der analyserer samarbejds- og forhand-
lingsspil mellem rationelle agenter, jf. f.eks. Roth (1985) og Binmore mfl. (1992).
Analyser af sådanne spil indikerer gennemgående, at et bedre forhandlingsresultat
opnås, hvis omkostninger eller bidrag, der har værdi for modparten, inddrages
som en del af forhandlingen, frem for hvis de foretages inden og ikke kan gøres
betinget af forhandlingsresultatet. Harstad (2012) gennemfører en sådan analyse
af et klimaforhandlingsspil, der på centrale punkter minder om det forhandlings-
spil, der må formodes at ske i forbindelse med fastlæggelsen af kvoteudbuddet.
Harstads analyser implicerer ligeledes, at det ikke forbedrer et lands forhand-
lingsposition, hvis landet før forhandlingen investerer i CO
2
-reduktioner. Resulta-
tet kan således tilsige en lækage på over 100 pct. for subsidierede CO
2
-
reducerende investeringer indenfor kvotesektoren.
Det kan dog ikke udelukkes, at en forudgående indsats kan skabe en goodwill hos
andre forhandlingsparter, som kan modvirke effekten ovenfor. Det kan heller ikke
afvises, at goodwill-effekten kan være så stor, at det kan resultere i en lækage på
under 100 pct. Der er imidlertid ikke noget naturligt udgangspunkt for dette i den
økonomiske litteratur.
Der er således ikke noget entydigt grundlag for at fravige antagelsen om 100 pct.
lækage ud fra en hypotese om, at CO
2
-reduktioner i et land vil gøre det nemmere
at opnå enighed om en ambitiøs stramning af mængden af kvoter i fremtiden.
Endvidere er der i EU aftalt langsigtede målsætninger for CO
2
-reduktioner, hvil-
ket formodentligt vil reducere spillerummet for sådanne effekter.
122
SAU, Alm.del - 2016-17 - Bilag 133: Diskussionsoplæg 2017, fra Det Miljøøkonomiske Råd
1728070_0126.png
II.5 Elafgift, provenu og fritagelse
Effekter af reduktion i elafgift
Reduktion af
elafgiftssats
I dette afsnit beregnes de samfundsøkonomiske effekter af
en reduktion af elafgiften, hvor det manglende provenu fra
elafgiften i stedet finansieres via en proportional skat på
indkomst. I beregningen mindskes afgiften på almindeligt
elforbrug og rumvarme, så disse afgifter svarer til energiaf-
giften på fossile brændsler, jf. boks II.5.
10
Da PSO-afgiften
er under gradvis udfasning frem mod 2022, indgår PSO-
afgiften ikke i basisscenariet i analyserne.
Reduktionen i elafgiften fører umiddelbart til et fald i af-
giftsprovenuet på 4,8 mia. kr. Afgiftsreduktionen medfører
dog en stigning i elforbruget, så faldet i afgiftsprovenuet fra
den reducerede elafgift er mindre efter adfærdsændringen.
Umiddelbart
provenutab på
4,8 mia. kr.
10)
Ved ens afgifter på tværs af energiprodukter sikres det, at den
nationale energisparemålsætning nås billigst muligt. Dette taler
for, at man også øger afgifterne for proces. Dette regnes der imid-
lertid ikke på i det følgende. Sidst i afsnittet udføres en beregning
af omkostningerne ved at have differentierede elafgifter på el.
123
SAU, Alm.del - 2016-17 - Bilag 133: Diskussionsoplæg 2017, fra Det Miljøøkonomiske Råd
1728070_0127.png
Grønne afgifter og effektiv miljøregulering. Diskussionsoplæg. Økonomi og Miljø 2017
Boks II.5
Reduktionen i elafgiften
I REFORM-modellen udføres en beregning, som illustrerer de kvantitative effek-
ter af at nedsætte elafgiften. Udgangspunktet for beregningen er, at elafgiften på
elvarme og almindeligt elforbrug nedsættes, så satserne er på niveau med energi-
afgiften på andre brændsler.
Elafgiften til almindeligt elforbrug reduceres fra 185,2 til 54,9 kr. pr. GJ. Elafgif-
ten til varme på 80,2 kr. pr. GJ reduceres også til 54,9 kr. pr. GJ. El til proces er
kun pålagt en elafgift svarende til 0,8 kr. pr. GJ. Denne afgift holdes uændret.
Husholdningernes elforbrug består af elvarme og almindeligt elforbrug, som er
beskattet forskelligt, jf. tabel A og boks II.3. I REFORM-modellen forbruger hus-
holdningerne kun én type el og betaler én elafgift. I beregningerne antages det
derfor, at husholdningernes elafgift reduceres med 68 pct. svarende til et vægtet
gennemsnit af, hvad de to afgiftssatser skal reduceres med for, at afgiften bliver
ligestillet med energiafgiften. Elafgiftsreduktionen svarer til, at elafgiften på al-
mindeligt elforbrug og el til varme reduceres fra henholdsvis 89 og 29 øre pr.
kWh til ca. 27 øre pr. kWh.
Tabel A
Reduktion af elafgift
Elafgift
reduceres til:
------ Kr. pr. GJ -----
185,2
54,9
80,2
54,9
0,8
0,8
Elafgift
Reduktion
Pct.
70
32
-
68
70
Almindeligt elforbrug
El til varme
El til proces
Reduktion for husholdninger
Reduktion for nogle sektorer
Kilde:
Sekretariatet for afgifts- og tilskudsanalysen på energiområdet (2016) og egne
beregninger
Virksomheder betaler også forskellige afgifter alt efter, hvad deres el bruges til. I
beregningerne er det antaget, at en given branche enten betaler den fulde afgifts-
sats eller den lave sats til proces. I de brancher, hvor betaling af den fulde afgifts-
sats er dominerende, nedsættes afgiften med 70 pct. De resterende brancher får
ikke nedsat elafgiften.
Beregningerne er uddybet i et tilhørende dokumentationsnotat, som findes på De
Økonomiske Råds hjemmeside.
124
SAU, Alm.del - 2016-17 - Bilag 133: Diskussionsoplæg 2017, fra Det Miljøøkonomiske Råd
1728070_0128.png
II.5 Elafgift, provenu og fritagelse
Gevinst på 1,8
mia. kr.
Beregningerne viser, at en reduktion af elafgiften finansieret
via en højere proportional skat på indkomst giver en sam-
fundsøkonomisk effektivitetsgevinst på 1,8 mia. kr., jf. tabel
II.2, hvor den samfundsøkonomiske effektivitetsgevinst er
givet ved det samlede velfærdsmål for økonomien (EV).
Gevinsten svarer til 38 pct. af den reducerede afgift på el-
forbruget. Gevinsten skyldes grundlæggende, at provenu-
skabelse via indkomstskatten forvrider færre økonomiske
beslutninger, end hvis provenuet skaffes via elafgiften.
Tabel II.2
Effekter af reduktion af elafgift
Ændring
Mia. kr. Pct.
Omlagt provenu uden adfærd
4,8
Elforbrug
2,0
9,2
Velfærdsmål for økonomien (EV)
a)
1,2
b)
Afledt gevinst pga. nettarif
0,6
Samlet velfærdsmål for økonomien (EV)
1,8
BVT
2,7
0,2
Realløn
0,7
Privat forbrug
1,9
0,3
1.000 pers. Pct.
Beskæftigelse
0,3
0,0
a)
Den ækvivalerede variation (EV) angiver det beløb, som for-
brugerne skal afgive for at være lige så godt stillet som i ud-
gangspunktet. EV-målet er nærmere beskrevet i afsnit II.4.
Nettarif indgår ikke som en afgift i REFORM og er derfor
beregnet udenfor modellen, jf. boks II.6.
Mia. kr. angivet i 2006-priser.
Egne beregninger på REFORM.
b)
Anm.:
Kilde:
Nettarif forvrider
også elforbrug
Udover elafgiften er elforbruget også pålagt en nettarif, som
også forvrider elforbruget. Nettariffen indgår ikke i RE-
FORM-modellen, og det er derfor nødvendigt at tage højde
for effekterne fra denne udenfor modellen. Håndteringen af
dette er beskrevet i boks II.6. Som det fremgår af tabel II.2 er
gevinsten ved omlægningen 0,6 mia. kr. lavere, hvis der ikke
tages højde for, at nettariffen også forvrider elforbruget.
125
SAU, Alm.del - 2016-17 - Bilag 133: Diskussionsoplæg 2017, fra Det Miljøøkonomiske Råd
1728070_0129.png
Grønne afgifter og effektiv miljøregulering. Diskussionsoplæg. Økonomi og Miljø 2017
Boks II.6
Forvridning fra nettarif
Elforbrugere betaler en elpris, der er sammensat af markedsprisen på el, nettarif-
fer, elafgift og moms. Nettariffen dækker over betaling til elnet-udbydere for om-
kostningerne knyttet til levering af strøm. Netomkostninger har imidlertid karak-
ter af at være en fast omkostning, som ikke direkte afhænger af elforbrugets stør-
relse. Finansieringen af denne faste omkostning via den forbrugsafhængige netta-
rif medfører dermed en uhensigtsmæssig forvridning af elforbruget, da det gør
elprisen højere end de marginale omkostninger ved forbrug af el. I en analyse af
omlægningen af PSO-afgiften i Sekretariatet for afgifts- og tilskudsanalysen på
energiområdet (2016) antages det således, at nettariffen har en karakter svarende
til en forvridende afgift. Den høje elafgift bidrager til at øge forvridningen fra net-
tariffen.
I REFORM indgår nettariffen som en del af basisprisen på el og indgår dermed
ikke som et forvridende element. En reduktion af elafgiften, som øger elforbruget,
giver derfor en ekstra gevinst, i forhold til det der udregnes i REFORM, i form af
en reduktion af forvridningen fra nettariffen. Nedenfor udregnes det, hvor meget
effektivitetsgevinsten approksimativt skal forøges med.
I en situation uden elafgift og nettarif ville elforbruget svare til Q*. Med en høj
elafgift og nettarif reduceres elforbruget fra Q* til Q0 i figur A. Denne forvrid-
ning skaber et dødvægtstab svarende til trekant ABC.
Figur A
Betydning af nettarif
126
SAU, Alm.del - 2016-17 - Bilag 133: Diskussionsoplæg 2017, fra Det Miljøøkonomiske Råd
1728070_0130.png
II.5 Elafgift, provenu og fritagelse
Boks II.6
Forvridning fra nettarif, fortsat
Når elafgiften reduceres, mindskes dødvægtstabet til trekant EDC. Dødvægtsre-
duktionen er et resultat af et større forbrugeroverskud (trekant a), en reduktion af
forvridningen fra den resterende elafgift (firkant b) og en reduktion af forvridnin-
gen fra nettariffen (firkant c). Den reducerede forvridning fra nettariffen (firkant
c) indgår ikke direkte i REFORM-beregningen.
Når elafgiften reduceres, øges husholdningernes elforbrug fra Q0 til Q1. I RE-
FORM svarer dette til en ændring i elforbruget på 1,5 mia. kr., hvilket kan om-
regnes til en ændring i elforbruget på 2,3 mia. kWh.
a
Med en nettarif på 20,3 øre
pr. kWh for husholdninger giver det et øget nettarifprovenu på 0,5 mia. kr., angi-
vet som den blå firkant i figur A.
Producenternes øgede elforbrug fører på samme måde til et øget nettarifprovenu
på 0,1 mia. kr. Samlet set medfører det øgede elforbrug, at nettarifprovenuet øges
med 0,6 mia. kr. Dette er beregnet udenfor modelberegningerne i REFORM, men
bør lægges til den modelberegnede effektivitetsgevinst, så den samlede gevinst
ved elafgiftsreduktionen er 1,8 mia. kr.
a)
Omregningen til kWh er udført ved at dele elforbruget med basisprisen på el i 2006, som er
summen af elprisen og nettariffen. Markedsprisen på el var omkring 45 øre pr. kWh, mens net-
tariffen var ca. 20 og 18 øre pr. kWh for henholdsvis husholdninger og virksomheder, jf. Ener-
gitilsynet (2016).
Beskæftigelsen
påvirkes kun
marginalt
Omlægningen giver en beskeden stigning i beskæftigelsen,
hvilket afspejler, at elafgiften har stort set den samme virk-
ning på arbejdsudbuddet som indkomstskatten. I modsæt-
ning til indkomstskatten påvirker elafgiften imidlertid også
forbrugssammensætningen, da en elafgift fører til et lavere
elforbrug, end det forbrugerne havde valgt uden en elafgift.
Omlægningen fra en afgift på el til højere indkomstskat
fører derfor til mindre forvridning af forbrugsbeslutningen.
Værdiskabelsen, målt ved bruttoværditilvæksten (BVT),
stiger med 2,7 mia. kr. Når BVT stiger samtidig med, at
beskæftigelsen er stort set uændret, er det udtryk for, at
timeproduktiviteten forbedres. Dette afspejler bl.a., at det
øgede elforbrug giver mulighed for en bedre udnyttelse af
de øvrige produktionsfaktorer, herunder arbejdskraften.
127
Øget
produktivitet
SAU, Alm.del - 2016-17 - Bilag 133: Diskussionsoplæg 2017, fra Det Miljøøkonomiske Råd
1728070_0131.png
Grønne afgifter og effektiv miljøregulering. Diskussionsoplæg. Økonomi og Miljø 2017
Fordelingshensyn
Modelberegningerne belyser ikke fordelingsvirkningen af
en omlægning af elafgiften. Elforbruget afhænger af ind-
komsten, men forholdet mellem elforbrug og indkomst er
mindre end proportionalt. En omlægning fra elafgift til en
proportional indkomstskat vil dermed give relativt større
afgiftslettelser for dem med laveste indkomster, og omlæg-
ningen må dermed formodes at trække i retning af en mere
lige fordeling af forbrugsmulighederne.
Den lavere elafgift vil kunne påvirke det samlede energifor-
brug og sammensætningen af energityper via forskellige ka-
naler. Omlægningen medfører en øget værditilvækst og høje-
re realløn, jf. tabel II.2. Det vil isoleret set øge brugen af alle
typer energi. Den lavere elafgift vil også i sig selv forøge
brugen af elektricitet og dermed det samlede energiforbrug.
Elafgiftsreduktionen må isoleret set forventes at mindske
efterspørgslen efter andre typer af energi på grund af substitu-
tion. Olie og gas indgår i modellen som input i elsektoren.
Det øgede forbrug af el medfører derfor også øget forbrug af
olie og gas, hvilket modvirker substitutionseffekten. Imidler-
tid er modellen baseret på input-output data fra 2006, hvor
olie og gas i højere grad end i dag indgik i fremstillingen af
el. Derfor vil en stigning i elproduktionen i dag ikke have en
tilsvarende effekt på forbruget af olie og gas.
Husholdningernes udgifter til energiforbrug øges med 1,3
mia. kr. Denne stigning afspejler en stigning i forbruget af el
på 1,5 mia. kr., mens forbruget af olie, fjernvarme og gas
samlet set falder jf. tabel II.3. Husholdninger og virksomhe-
ders samlede elforbrug øges med 2,0 mia. kr. Ud over en
stigning i producenternes elforbrug er der også en stigning i
producenternes forbrug af olie og gas. Stigningen i producen-
ternes forbrug af olie og gas skyldes, at substitutionseffekten
overskygges af, at olie og gas indgår i produktionen af el i
modellen og at forbruget af olie og gas derfor både stiger i
takt med stigningen i elproduktionen og som følge af den
generelle stigning i produktionen. Som det fremgår af tabel
II.3 stiger det samlede energiforbrug mindre end elforbruget.
Det skyldes, at der substitueres væk fra de øvrige energipro-
dukter.
Energiforbrug
påvirkes via
forskellige
kanaler
Elforbrug stiger
med 2,0 mia. kr.
128
SAU, Alm.del - 2016-17 - Bilag 133: Diskussionsoplæg 2017, fra Det Miljøøkonomiske Råd
1728070_0132.png
II.5 Elafgift, provenu og fritagelse
Tabel II.3
Ændring i producenters og husholdningers
forbrug af energiprodukter
El
Olie og
gas
Fjern-
varme
I alt
Energiforbrug
- Producenter
- Husholdninger
Anm.:
----------- Ændring mia. kr. ----------
2,0
0,3
-0,5
1,6
0,5
0,3
-0,2
0,3
1,5
0,0
-0,2
1,3
Kilde:
Producenternes samlede energiforbrug kan ikke summeres af
energikomponenterne, el, olie, gas og fjernvarme, da dele af
olie- og gasforbruget indgår som input i el- og fjernvarmepro-
duktionen.
Mia. kr. angivet i 2006-priser.
Egne beregninger på REFORM.
Generel stigning i
beskatning af alle
typer energi kan
være nødvendig
Stigningen i energiforbruget vil isoleret set gøre det vanske-
ligere at nå fastlagte mål om at mindske energiforbruget.
Det kan gøre det nødvendigt med en generel stigning i be-
skatningen af alle typer energi. Dette vil mindske den øko-
nomiske velfærdsgevinst opgjort i tabel II.2. En mindre
økonomisk velfærdsgevinst vil dog ikke kunne ændre på
konklusionen om, at der samlet set er en velfærdsgevinst, da
en mere beskeden afgift på alle typer energi er mindre for-
vridende end en høj afgift på en enkel type energi (el).
Miljøeffekter af en elafgiftsreduktion
Øget elforbrug
medfører øget
CO
2
-udledning i
kvotesektor …
Langt hovedparten af det øgede energiforbrug er relateret til
en stigning i elforbruget. Modelberegningerne viser, at el-
forbruget øges med 2 mia. kr. Dette kan approksimativt
omregnes til en stigning på godt 3 mia. kWh.
11
Forskellige
opgørelser tyder på, at en stigning i elforbruget vil medføre,
at CO
2
-udledningen fra elforbruget stiger med mellem 0,6
11)
Omregningen til kWh udføres ved at dele elforbruget med basis-
prisen på el, som er summen af elprisen og nettariffen, jf. lignen-
de omregning i boks II.6.
129
SAU, Alm.del - 2016-17 - Bilag 133: Diskussionsoplæg 2017, fra Det Miljøøkonomiske Råd
1728070_0133.png
Grønne afgifter og effektiv miljøregulering. Diskussionsoplæg. Økonomi og Miljø 2017
og 1,9 mio. tons.
12
Dette svarer til, at CO
2
-udledningen in-
denfor kvotesektoren stiger med mellem 4 og 8 pct.
… men kan føre
til mindre CO
2
i
ikke-kvotesektor
Elforbruget er underlagt kvotemarkedet. En merudledning i
Danmark indenfor kvotesektoren vil derfor over tid mod-
svares af en mindre udledning et andet sted i EU, da kvote-
mængden er fast. Til gengæld kan øget elforbrug reducere
CO
2
-udledning fra ikke-kvotesektoren, hvis nyt elforbrug
fortrænger olie og gas i opvarmning og transport.
Samfundsøkonomisk er varmepumper blandt de billigste
opvarmningsformer for husstande, men pga. den høje elafgift
til varmepumper er de ikke privatøkonomisk rentable i for-
hold til naturgasfyr og træpillefyr, jf. Klimarådet (2016b). En
sænkning af elafgiften vil isoleret set bidrage til at øge ud-
bredelsen af varmepumper og fortrænge brug af olie og gas
til opvarmningsformål.
Der er behov for en stor omstilling til elbiler, hvis 2030-
målet for CO
2
-udledninger skal nås, jf. Klimarådet (2016b).
En reduceret elafgift vil gøre elbiler mere attraktive. Der er
dog også andre barrierer, for at elbiler bliver privatøkono-
misk attraktive. Det gælder både tilgængeligheden af infra-
struktur til opladning, batteriprisen og udformningen af
registreringsafgiften. Isoleret set vil lavere elafgifter dog
bidrage til at mindske udledningen af fossile brændsler fra
denne del af ikke-kvotesektoren.
Fører det øgede elforbrug til en reduceret udledning i ikke-
kvotesektoren, vil dette have en direkte positiv effekt på
klimaet.
Sænkning af
elafgift øger brug
af varmepumper
… og gør elbiler
mere attraktive
Reduktion i ikke-
kvotesektor har
reel klimaeffekt
12)
I 2015 blev der gennemsnitligt udledt 202 g CO
2
pr. kWh elfor-
brug, jf. Energinet (2016). Antages det marginale elforbrug at ha-
ve samme gennemsnitlige udledning, fører det til en merudled-
ning på 0,6 mio. ton CO
2
. EA Energianalyse (2016) og Klimarå-
det (2016a) finder, at en stigning i elproduktion på kort sigt pri-
mært leveres fra eksisterende kul- og gasfyrede værker. EA Ener-
gianalyse finder, at en forøgelse af elforbruget i 2020 vil føre til
en gennemsnitlig marginal CO
2
-udledning på mellem 225 og 625
g CO
2
pr. kWh.
130
SAU, Alm.del - 2016-17 - Bilag 133: Diskussionsoplæg 2017, fra Det Miljøøkonomiske Råd
1728070_0134.png
II.5 Elafgift, provenu og fritagelse
Harmonisering af elafgiften
Harmonisering af
elafgift for at nå
et energisparemål
Lavere el- og
energiafgifter på
nogle erhverv
Analysen ovenfor tager udgangspunkt i, at den høje elafgift
for husholdninger er begrundet i ønsket om at opnå et pro-
venu. En anden mulighed er, at el- og energiafgifter er fast-
sat for at nå et energisparemål.
For både el- og energiafgiften er der taget hensyn til virk-
somheders energiintensive processer i udformningen af
afgiften. Således er disse afgifter betydelig lavere på el og
energi brugt til fremstillingsprocesser end afgiften på anden
brug af el og energi. Hvis formålet med disse afgifter er at
nå et bestemt energisparemål, opnås dette mest omkost-
ningseffektivt ved en ensartet afgift på tværs af energityper
uden hensyn til, hvad energien bruges til. I det følgende
undersøges effektivitetsgevinsten ved at udligne denne for-
skel alene på elafgiften. Det må forventes, at der kan opnås
en større gevinst, hvis harmoniseringen også omfatter ener-
giafgifter.
Uanset hvilke hensyn der ligger bag den nuværende diffe-
rentiering af elafgiften (og energiafgiften), er det vigtigt at
være opmærksom på de forvridningsomkostninger, som
denne differentiering medfører.
For at kvantificere omkostningen ved afgiftsdifferentiering,
udføres en beregning, hvor det antages, at det nuværende
elforbrug skal være uændret, men hvor elafgiften skal være
ens, uafhængig af anvendelsen af el. Dermed skal forbruge-
re og producenter betale den samme afgiftssats, uanset om
elektriciteten bruges til almindeligt elforbrug, varme eller
proces. Ændringer i afgiftsprovenuet fra elafgiften finansie-
res ved at tilpasse indkomstskattesatsen, så det samlede
offentlige provenu er uændret. Denne beregning er et alter-
nativ til den forrige analyse om elafgiftsreduktion, og det er
således det oprindelige elforbrug, der holdes konstant og de
oprindelige elafgifter (præsenteret i boks II.3), som omlæg-
ges.
Omlægning af elafgiften medfører ifølge modelberegninger
en effektivitetsgevinst på 1,3 mia. kr. som følge af færre
forvridninger i økonomien. Den nye harmoniserede elaf-
giftssats svarer til ca. 44 øre pr. kWh for alt elforbrug. Såle-
131
Omkostning ved
differentiering
Harmonisering af
elafgift
Gevinst på 1,3
mia. kr.
SAU, Alm.del - 2016-17 - Bilag 133: Diskussionsoplæg 2017, fra Det Miljøøkonomiske Råd
1728070_0135.png
Grønne afgifter og effektiv miljøregulering. Diskussionsoplæg. Økonomi og Miljø 2017
des reduceres elafgiften på almindeligt elforbrug, mens
afgiften på elvarme og proces øges.
Afgiftsprovenu
falder med
harmoniseret
afgift
Når elafgiften harmoniseres på tværs af forbrugere og pro-
ducenter, er elafgiften samlet set mindre forvridende. Det
betyder også, at der skal en lavere elafgiftsbetaling til at
sikre et uændret elforbrug. Dermed falder det samlede af-
giftsprovenu fra elafgiften med 11 pct.
13
Tabel II.4
Effekter af omlægning af elafgiften
------ Ændring -----
Mia. kr.
Pct.
Omlagt provenu uden adfærd
a)
2,0
Elforbrug
0,0
0,0
Velfærdsmål for økonomien (EV)
b)
1,3
BVT
-1,0
-0,1
Realløn
0,1
Privat forbrug
1,5
0,2
1.000 pers.
Pct.
Beskæftigelse
0,4
0,0
a)
Her er alene angivet det reducerede provenu fra husholdninger-
nes elafgift, som falder med 2 mia. kr. Elafgiftsreduktionen fø-
rer til et øget elforbrug, hvormed provenu fra husholdningernes
elforbrug efter adfærdstilpasning falder mindre.
I modsætning til beregningen af en reduceret elafgift præsente-
ret i tabel II.2, har det ingen betydning for denne beregning, at
nettariffen ikke indgår som en afgift i REFORM. Det skyldes,
at elforbruget i denne beregning holdes uændret. Dermed vil de
reducerede forvridningseffekter fra nettariffen som følge af
husholdningernes lavere elafgift modsvares af en stigning i for-
vridningsomkostningerne ved virksomhedernes øgede elafgift.
Mia. kr. angivet i 2006-priser.
Egne beregninger på REFORM.
b)
Anm.:
Kilde:
13)
Afgiftsprovenuet fra elafgiften er mindre, men da de offentlige
udgifter også reduceres, betyder det samlet set, at indkomstskat-
ten også falder.
132
SAU, Alm.del - 2016-17 - Bilag 133: Diskussionsoplæg 2017, fra Det Miljøøkonomiske Råd
1728070_0136.png
II.5 Elafgift, provenu og fritagelse
Husholdningers
elforbrug stiger
med 13 pct.
Husholdningers
gevinst overstiger
tab for
virksomheder
Det samlede elforbrug er uændret, men harmoniseringen af
elafgiften medfører, at husholdningernes elforbrug stiger
med 13 pct. Producenternes elforbrug reduceres med 8 pct.
Modelberegningerne viser, at den øgede elafgift for frem-
stillingserhvervene fører til en lavere produktion og dermed
også til en lavere bruttoværditilvækst (BVT). Den lavere
elafgift for forbrugerne fører til, at forbrugernes reale di-
sponible indkomst stiger, hvilket både påvirker privatfor-
bruget og beskæftigelsen positivt. Når bruttoværditilvæk-
sten er reduceret samtidig med, at beskæftigelsen er steget,
betyder det, at timeproduktiviteten er forringet. Ifølge mo-
delberegningerne overstiger husholdningernes gevinst af det
øgede forbrug de negative effekter på økonomien, som er
forbundet med producenternes øgede elafgift. Dermed er
der en samlet økonomisk effektivitetsgevinst ved omlæg-
ningen.
Ovenstående illustrerer, at der er en omkostning på 1,3 mia.
kr. forbundet med at have differentierede elafgifter, hvis
elforbruget skal holdes uændret. Denne svarer til 65 pct. af
det reducerede provenu fra elafgiften for forbrugerne. I
Danmark er der ikke en specifik målsætning for det samlede
elforbrug, men et energisparekrav for hele energiforbruget.
Den harmoniserede afgift burde derfor bredes ud til at om-
fatte samtlige energiafgifter. En afgiftsharmonisering for
forbrugere og producenter på tværs af alt energiforbrug er
ikke beregnet i denne analyse, men det må formodes, at
effektivitetsgevinsten ved en sådan harmonisering ville
være større, end når omlægningen alene omfatter elafgiften.
Samlet set er elforbruget uændret, men det kan ikke udeluk-
kes, at ændringen i hvem der benytter elektriciteten, kan
have en effekt på CO
2
-udledningerne. Effekten afhænger af,
om husholdningernes øgede elforbrug fortrænger fossile
brændsler i ikke-kvotesektoren, samt hvilke produktionsin-
put virksomhederne substituerer over mod, når de reducerer
elforbruget. Klimaeffekterne er derfor vanskelige at opgøre,
men de må formodes at være små.
Større gevinst,
hvis alle
energiafgifter
harmoniseres
Vanskeligt at
opgøre CO
2
-
effekt
133
SAU, Alm.del - 2016-17 - Bilag 133: Diskussionsoplæg 2017, fra Det Miljøøkonomiske Råd
1728070_0137.png
Grønne afgifter og effektiv miljøregulering. Diskussionsoplæg. Økonomi og Miljø 2017
Opsummering
Høj elafgift
skaber provenu
Klima- eller energisparemål er ikke en god begrundelse for
den relativt høje elafgift, og dele af afgiften skal formentligt
primært ses som provenuskabende. Analyserne af elafgiften
viser, at der er forvridningsomkostninger forbundet med at
opkræve merprovenu over elafgiften. Der er ligeledes for-
vridningsomkostninger ved at undtage virksomheder fra
afgifter rettet mod energisparemål.
En reduktion af elafgiften, hvor elafgiften sidestilles med
energiafgiften, og hvor det manglende afgiftsprovenu finan-
sieres ved en proportional forøgelse af indkomstskatten,
fører til en effektivitetsgevinst på 1,8 mia. kr. Dette illustre-
rer, at der er færre forvridningsomkostninger ved at tilveje-
bringe skatteprovenu ved en bred skattebase som indkomst-
skatten fremfor en smal skattebase som elafgiften. Gevin-
sten svarer til 38 pct. af det omlagte provenu fra elafgiften.
Det øgede elforbrug kan føre til en større fossil elproduktion
i den danske elsektor, men da denne er omfattet af kvote-
markedet, vil den samlede CO
2
-udledning ikke stige over
tid. Til gengæld må der forventes en substitution over mod
eldrevne teknologier, som f.eks. varmepumper og eldrevne
biler. Dette vil medføre, at CO
2
-udledningen i ikke-
kvotesektoren falder, hvilket vil have en positiv effekt på
klimaet.
En harmonisering af elafgiften, hvor et givet elforbrug nås
ved, at virksomheder og husholdninger betaler den samme
elafgift, fører til en reduktion af forvridningsomkostninger-
ne på 1,3 mia. kr. Dette svarer til 65 pct. af det omlagte
provenu af elafgiften for forbrugerne. Hvis afgiften er fast-
sat for at nå en energisparemålsætning, er der således en
væsentlig omkostning forbundet med at fritage virksomhe-
der fra dele af afgiften.
Reduktion i
elafgift fører til
gevinst på 1,8
mia. kr.
Kan samlet set
føre til mindre
CO
2
-udledning
Harmonisering af
elafgift fører til
gevinst på 1,3
mia. kr.
134
SAU, Alm.del - 2016-17 - Bilag 133: Diskussionsoplæg 2017, fra Det Miljøøkonomiske Råd
1728070_0138.png
II.6 Vandafgift, provenu og fritagelse
II.6 Vandafgift, provenu og fritagelse
Vandafgift ikke
målrettet
miljøbelastning
Vandafgiften skal modvirke overindvinding, men dens ud-
formning afviger fra principperne om, at grønne afgifter bør
afspejle miljøbelastningen, og betales af alle, der bidrager
hertil. For det første er virksomheder fritaget fra at betale
vandafgift. For det andet opkræves vandafgiften i hele lan-
det og dermed også i områder, hvor der ikke sker miljøska-
delig overindvinding af vand.
I dette afsnit præsenteres modelberegninger, der belyser de
samfundsøkonomiske omkostninger ved at fritage virksom-
heder for vandafgiften og omkostningerne ved at opkræve
vandafgift, i de dele af landet, hvor det ikke er miljømæssigt
begrundet.
Vandafgiften blev indført i midten af 1990’erne som en del
af en større skattereform, hvor der blev lagt vægt på at øge
brugen af grønne afgifter
med henblik på at begrænse res-
sourceforbruget og belastningen af miljøet. Vandafgiften
havde som formål at
tilskynde vandværker og borgere til at
spare på vandet, så man kunne opnå en mere bæredygtig
udnyttelse af grundvandsressourcen.
Intensiv indvinding af vand kan påvirke vandmiljøet og øge
risikoen for forurening af grundvandet med naturligt fore-
kommende stoffer i jorden. Generelt set er udnyttelse af
grundvandsressourcen i Danmark bæredygtig, men enkelte
steder forekommer der overindvinding – især omkring Ho-
vedstadsområdet. Der er således geografiske forskelle i de
miljøproblemer, der knytter sig til udnyttelsen af grund-
vandsressourcen, jf. Miljø- og Fødevareministeriet (2016a,
2016b, 2016c, 2016d).
De geografiske forskelle i miljøproblemerne ved vandind-
vinding tilsiger en tilsvarende differentiering af vandafgif-
ten, idet vandafgiften burde afspejle miljøbelastningen ved
for høj indvinding. Dette ville indebære, at afgiften skulle
være høj i nogle egne af landet og lav (eller nul) i andre.
Endvidere burde alle, der bruger vand fra et område, hvor
indvinding skader miljøet betale samme afgift, da deres
forbrug medfører samme miljøbelastning. Afgiften på led-
135
Beregning af
omkostninger
Indført i
1990’erne
Overindvinding
kun et problem i
dele af Danmark
… hvilket tilsiger
en differentieret
vandafgift
SAU, Alm.del - 2016-17 - Bilag 133: Diskussionsoplæg 2017, fra Det Miljøøkonomiske Råd
1728070_0139.png
Grønne afgifter og effektiv miljøregulering. Diskussionsoplæg. Økonomi og Miljø 2017
ningsført vand er imidlertid ens i hele Danmark, og betales i
praksis kun af husholdninger, da momsregistrerede virk-
somheder kan få godtgjort afgiften, jf. boks II.7.
Beregninger
kvantificerer
forvridnings-
omkostninger
Formålet med beregningerne er at kvantificere de sam-
fundsøkonomiske omkostninger ved at fastsætte vandafgif-
ter, der afviger fra omkostningen ved de miljøskader, som
overindvinding medfører. Ved kvantificering af disse om-
kostninger er det imidlertid ikke muligt, indenfor den an-
vendte modelramme, at fastsætte forskellige afgiftssatser i
Hovedstadsområdet og resten af landet. I stedet foretages to
beregninger. Den første belyser omkostningen ved at op-
kræve vandafgifter i områder, hvor indvindingen ikke med-
fører en miljøbelastning, mens den anden illustrerer om-
kostningen ved at fritage virksomheder fra vandafgiften i
områder, hvor indvinding skader miljøet. I den første bereg-
ning fjernes vandafgiften helt, mens vandafgiften i den an-
den beregning omlægges, således at husholdninger og er-
hverv betaler samme afgiftssats (uden at det samlede vand-
forbrug ændres).
Når afgiften af ledningsført vand henholdsvis fjernes og
ændres, påvirker det de offentlige skatteindtægter. I bereg-
ningerne antages det, at lavere indtægter fra vandafgiften
modsvares af en forøgelse af en proportional skat på ind-
komst. Vand er et nødvendigt gode, hvorfor egenpriselasti-
citeten i modelberegningerne er relativt lav. Det indebærer,
at ændringer i prisen på vand vil have relativt små effekter
på forbruget.
14
REFORM-modellens datagrundlag i forhold til afgifter er
baseret på data fra 2011. I 2011 var afgiften på ledningsført
vand 5 kr. pr. m
3
. Det er dermed en lidt lavere afgiftssats
end den nugældende, der er udgangspunktet for modelbe-
regningerne. Det trækker i retning af, at gevinsterne ved
afgiftsændringerne er undervurderede.
Forudsætninger i
beregningerne
Beregnes på 2011
data
14)
En fjernelse af vandafgiften svarer til en reduktion i den samlede
betaling for vand på ca. 10 pct. I REFORM medfører dette stød
en stigning i vandforbruget på omkring 3 pct. Dette er konsistent
med egenpriselasticiteter fundet i litteraturen jf. Dalhuisen
(2003).
136
SAU, Alm.del - 2016-17 - Bilag 133: Diskussionsoplæg 2017, fra Det Miljøøkonomiske Råd
1728070_0140.png
II.6 Vandafgift, provenu og fritagelse
Boks II.7
Afgiften af ledningsført vand
I Danmark betales der en afgift af ledningsført vand, mens egen indvundet vand er
afgiftsfritaget.
a
Ledningsført vand udgør omkring 44 pct. af det samlede vandfor-
brug, som i 2015 var på ca. 800 mio. m
3
. Af det ledningsførte vandforbrug betales
der både en vandafgift og et drikkevandsbidrag. Drikkevandsbidraget finansierer
Miljøministeriets og kommunernes opgaver i forbindelse med beskyttelse af
grundvandet. Vandafgiften og drikkevandsbidraget var i 2015 henholdsvis 5,86
kr. pr. m
3
og 0,39 kr. pr. m
3
. For en gennemsnitlig husstand i Danmark udgør dis-
se afgifter ca. 10 pct. af den samlede pris på vand.
Momsregistrerede virksomheder kan få godtgjort deres vandafgift samt drikke-
vandsbidrag. I praksis betyder det, at momsregistrerede virksomheder er fritaget
for afgiften af ledningsført vand. Ikke-momsregistrerede virksomheder, herunder
den offentlige sektor, er omfattet af samme afgifter som husholdninger. Fritagel-
serne afspejler formentlig konkurrencehensyn og generelt omkostningslettelse for
erhvervslivet og indebærer, at det primært er husholdningerne, som har incitament
til at reducere deres vandforbrug. Det gør det samlet set dyrere at nå et givet mål
for den bæredygtige udnyttelse, jf. afsnit II.3
Idet der kun betales en vandafgift af ledningsført vand, og momsregistrerede virk-
somheder er fritaget, er vandafgiften kun pålagt omkring 27 pct. af det samlede
vandforbrug. Det er således en relativ begrænset del af det samlede vandforbrug,
der reguleres af denne afgift.
a)
Egen indvinding forekommer især indenfor landbrug, gartneri og dambrug, og finder primært
sted på Fyn og i Jylland, hvor overindvinding af vand er et relativt lille problem.
Effekter af en fjernelse af vandafgiften
Overindvinding
er et begrænset
problem
Overindvinding af vand er som nævnt hovedsageligt et pro-
blem i og omkring Hovedstadsområdet. I de områder, hvor
der ikke er problemer med overindvinding, har vandafgiften
primært det formål at opkræve et skatteprovenu. I det føl-
gende beregnes effekten af at fjerne vandafgiften og tilveje-
bringe det manglende provenu gennem en stigning i en pro-
portional skat på indkomst. Denne beregning er relevant i
forhold til de områder af Danmark, hvor der ikke er pro-
blemer i forhold til overindvinding.
137
SAU, Alm.del - 2016-17 - Bilag 133: Diskussionsoplæg 2017, fra Det Miljøøkonomiske Råd
1728070_0141.png
Grønne afgifter og effektiv miljøregulering. Diskussionsoplæg. Økonomi og Miljø 2017
Gevinster ved at
fjerne
vandafgiften
Fjernes afgiften af ledningsført vand, og finansieres prove-
nutabet via en øget skat på indkomst, viser beregningerne,
at det kan føre til en effektivitetsgevinst for samfundet som
helhed på ca. 0,2 mia. kr. Gevinsten opstår som følge af, at
provenuopkrævningen flyttes fra vandafgiften over til ind-
komstskatten, som er en bredere skattebase. Gevinsten ved
at fjerne vandafgiften udgør ca. 22 pct. af afgiftsomlægnin-
gens størrelse. Dette illustrerer forvridningsomkostningen
ved at opkræve en vandafgift i de dele af landet, hvor der
ikke er behov for at reducere indvindingen. Fjernelsen af
vandafgiften er generelt forbundet med små makroøkono-
miske effekter, jf. tabel II.5.
Tabel II.5
Effekter af en fjernelse af vandafgiften
----- Ændring -----
Mia. kr.
Pct.
a)
Omlagt provenu uden adfærd
0,97
Vandforbrug
0,11
3,21
Velfærdsmål for økonomien (EV)
0,21
BVT
0,33
0,02
Realløn
0,15
Privatforbrug
0,23
0,03
1.000 pers.
Pct.
Beskæftigelse
0,04
0,00
a)
Anm.:
Kilde:
Det omlagte provenu svarer til det samlede provenu fra vandaf-
giften i REFORM-modellen.
Mia. kr. i 2006-priser.
Egne beregninger på REFORM.
Forvridnings-
effekter af
spildevands-
betaling
Vandforbruget er også grundlag for betaling til spildevands-
selskaberne for afledning af spildevand. Denne udgift udgør
ca. halvdelen af den samlede pris på vand – svarende til ca.
34 kr. pr. m
3
. Hvis betalingen til spildevandsselskaberne
ikke svarer til de marginale omkostninger ved afledning og
rensning, kan der opstå en problemstilling, der er analog til
opkrævningen af nettariffen præsenteret i forrige afsnit. En
sådan effekt afspejles ikke af modelberegningerne. Hvis
138
SAU, Alm.del - 2016-17 - Bilag 133: Diskussionsoplæg 2017, fra Det Miljøøkonomiske Råd
1728070_0142.png
II.6 Vandafgift, provenu og fritagelse
betalingen til spildevandsselskaber dækker faste omkost-
ninger, vil fjernelsen af vandafgiften indebære en yderligere
gevinst på op mod 0,4 mia. kr. pr. år.
15
Vigtig med
afgift, hvor
indvindingen er
for stor
Selvom der generelt set er en bæredygtig indvinding af
grundvand i Danmark, sker der som nævnt overindvinding i
visse dele af Danmark. En fjernelse af vandafgifter vil gene-
relt øge vandforbruget og medføre negative konsekvenser
for miljøet i disse områder. Den økonomiske gevinst ved en
lavere vandafgift skal i disse områder holdes op mod miljø-
konsekvenserne. Denne sammenligning kan gøre, at det
ikke er samfundsøkonomisk fordelagtigt at fjerne eller sæn-
ke vandafgiften i de områder af Danmark, hvor udnyttelse
af grundvandsressourcen er stor.
Omkostning ved erhvervsfritagelse
Afgiftsfritagelse
for virksomheder
I de dele af landet, hvor indvindingen er for stor (primært
Hovedstadsområdet), er det velbegrundet at have en vand-
afgift af en eller anden størrelse. Når virksomhederne i disse
områder fritages fra vandafgiften, må afgiften være højere
for husholdningerne for at sikre, at det samlede vandforbrug
i regionen ikke overstiger en given grænse. Det giver anled-
ning til et samfundsøkonomisk tab.
Størrelsen af dette tab illustreres i den følgende beregning,
hvor vandafgiften omlægges således, at husholdninger og
virksomheder betaler den samme sats. Den fælles afgiftssats
er sat således, at det samlede vandforbrug ikke ændres. Om-
lægningen indebærer, at afgiften øges for virksomheder og
reduceres for husholdninger. Omlægningen af vandafgiften
betyder, at både husholdninger og erhverv skal betale en
vandafgift på ca. 3 kr. pr. m
3
. For husholdningerne er det
forbundet med en reduktion på omkring 2 kr. pr. m
3
.
De samfundsøkonomiske gevinster ved omlægningen til ens
afgifter for husholdninger og erhverv udgør ifølge modelbe-
regningerne ca. 0,07 mia. kr. Beregningen er fortaget for
15)
De 0,4 mia. kr. pr. år er beregnet ud fra en gennemsnitlig betaling
til spildevandsselskaberne på ca. 34 kr. pr. m
3
, en stigning i vand-
forbruget på 3,2 pct. og et samlet ledningsført vandforbrug på 352
mio. m
3
i 2015.
Ensartet afgift
med uændret
forbrug af vand
Effektivitets-
gevinst af
omlægning
139
SAU, Alm.del - 2016-17 - Bilag 133: Diskussionsoplæg 2017, fra Det Miljøøkonomiske Råd
1728070_0143.png
Grønne afgifter og effektiv miljøregulering. Diskussionsoplæg. Økonomi og Miljø 2017
Danmark som helhed, men er alene relevant for de områder,
hvor der er behov for at begrænse indvindingen af grund-
vand. Gevinsten følger af mindre forvridning i økonomien,
og er relativt lille. Set i forhold til afgiftsomlægningen for
husholdningerne (0,31 mia. kr.), udgør effektivitetsgevin-
sten dog ca. 20 pct. af det omlagt provenu.
II.7 Effekter af regelregulering
Regelregulering
er udbredt
Miljøregulering sker ofte gennem standarder og krav til den
anvendte produktionsteknologi. Et eksempel på en sådan
regelregulering er kravet om partikelfiltre på nye biler med
dieselmotor. Et andet eksempel er krav om overdækning af
gylletanke for at reducere udledningen af ammoniak. Så-
danne krav bidrager til, at miljøbelastende udledninger be-
grænses.
Ved regelregulering skal virksomheder typisk leve op til
nogle udledningskrav og standarder, men udgangspunktet
er, at de gerne må udvide produktionen, blot kravene over-
holdes. Dermed får virksomheder (ligesom ved afgiftsregu-
lering) lov til at udlede mere, når produktionen stiger.
Regelregulering sikrer, at udledningen pr. produceret enhed
reduceres. I princippet kan regler udformes, så udledningen
pr. produceret enhed er den samme som ved en grøn afgift.
Sammenlignet med en grøn afgift indebærer regelregulering
imidlertid, at forurenende virksomheder ikke erlægger en
betaling svarende til den miljømæssige omkostning, som
deres produktion medfører. Dette kan i princippet ses som
en subsidiering af forurenende virksomheder i form af im-
plicit tildeling af “gratis” forureningstilladelser, jf. afsnit
II.3.
Ved regelregulering betaler de forurenende virksomheder
for implementeringen af udledningsreducerede tiltag (f.eks.
partikelfiltre eller overdækning af gylletanke), således at de
forskellige teknologikrav opfyldes. Under afgiftsregulering
vil virksomheder også have incitament til at implementere
lignende tiltag, da det vil reducere udledningen (pr. produ-
Regelregulering
begrænser ikke
produktionen …
… men udledning
pr. produceret
enhed
Regelregulering
svarer til
subsidiering
Betaler for at
opfylde kravene,
men ikke for
miljøbelastningen
140
SAU, Alm.del - 2016-17 - Bilag 133: Diskussionsoplæg 2017, fra Det Miljøøkonomiske Råd
1728070_0144.png
II.7 Effekter af regelregulering
ceret enhed) og derved føre til en lavere afgift. Virksomhe-
derne vil derfor under begge reguleringsformer afholde
omkostninger til forskellige udledningsreducerende tiltag,
men kun ved afgifter betales der herudover for de skades-
omkostninger, som de tilbageværende udledninger medfø-
rer.
Medfører mere
forurenende
produktion
Den manglende betaling betyder, at forurenende virksom-
heder under regelregulering begunstiges i forhold til andre
virksomheder, der enten ikke forurener eller som betaler en
afgift af deres udledning. Dette leder til en sektorsammen-
sætning, hvor forurenende sektorer udgør en større andel af
økonomien, end hvis de betalte en afgift af deres udlednin-
ger, jf. f.eks. Holland (2009).
I det følgende analyseres effekterne på økonomiens sektor-
sammensætning og de afledte miljøeffekter ved at anvende
regelregulering fremfor afgifter. Konkret analyseres effek-
ten af, at ammoniakudledninger fra landbruget reguleres
gennem regler fremfor udledningsafgifter.
I Danmark er ammoniak en væsentlig kilde til luftforure-
ning, der står for omkring
af de samlede danske eksterne
helbredsrelaterede omkostninger som følge af udledning fra
danske kilder, jf. Brandt mfl. (2016). Ammoniak udledes
næsten udelukkende fra landbruget og stammer fra husdyr-
produktionen, hvor omfanget af udledningerne afhænger af
antallet af husdyr.
Udledningen af ammoniak fører til dannelsen af helbreds-
skadelige partikler i atmosfæren, jf. Brandt mfl. (2013).
Dannelsen sker over længere tid og indebærer, at de med-
følgende helbredseffekter i overvejende grad er et regionalt
og ikke lokalt fænomen. Derfor er det rimeligt at antage ens
skadesomkostninger fra ammoniakudledning, uanset hvor
bedriften er placeret i Danmark.
I Danmark er udledningen af ammoniak i dag reguleret via
regelregulering, som bl.a. dækker over krav om overdæk-
ning af gylletanke og udbringning af gylle med eksempelvis
nedfælder eller slæbeslanger.
Regulering af
ammoniakudled-
ning belyses
Ammoniakudled-
ning primært fra
landbrug
Skader
uafhængig af
udledningssted
Kun omfattet af
regelregulering
141
SAU, Alm.del - 2016-17 - Bilag 133: Diskussionsoplæg 2017, fra Det Miljøøkonomiske Råd
1728070_0145.png
Grønne afgifter og effektiv miljøregulering. Diskussionsoplæg. Økonomi og Miljø 2017
Analyse
Gevinst af
omlægning svarer
til forvridning
ved
regelregulering
Effekterne på sektorsammensætningen som følge af at an-
vende regelregulering fremfor en udledningsafgift analyse-
res også i dette tilfælde med REFORM-modellen beskrevet
i afsnit II.4. Da landbruget i dag er underlagt regelregule-
ring, vil gevinsten ved at omlægge reguleringen til en ud-
ledningsafgift svare til de forvridende effekter af den eksi-
sterende regulering.
REFORM indeholder ikke emissioner af ammoniak eller
modellering af den eksisterende regelbaserede regulering.
Det er derfor ikke muligt at beregne effekterne ved at om-
lægge regelregulering til en udledningsafgift inden for mo-
dellens rammer. I stedet beregnes effekterne indirekte ved
beregningsteknisk at pålægge landbruget en produktionsaf-
gift. Denne beregning giver samme resultat som den speci-
ficerede reguleringsomlægning under antagelse af, at foru-
reningsretten under regelregulering tildeles proportionalt
med produktionens størrelse, og at regelreguleringen har
ført til samme niveau af udledning pr. produceret mængde
output, som en optimal fastsat afgift ville have gjort. Anta-
gelser og beregninger er yderligere beskrevet i et dokumen-
tationsnotat, som findes på De Økonomiske Råds hjemme-
side.
Størrelsen af den produktionsafgift, der i analysen bereg-
ningsteknisk pålægges, findes på basis af de eksterne om-
kostninger ved ammoniakudledning. DCE - Nationalt Cen-
ter for Miljø og Energi har opgjort de årlige danske hel-
bredsrelaterede omkostninger som følge af udledning af
ammoniak fra landbruget i Danmark til ca. 2,7 mia. kr.,
svarende til 37 kr. pr. udledt kg, jf. Brandt mfl. (2016).
16
Denne opgørelse omfatter alene de helbredsrelaterede om-
kostninger ved ammoniakudledningen, hvorfor disse for-
mentlig undervurderer de samlede omkostninger, som også
omfatter skader på natur og lugtgener. Omkostningerne
svarer til lidt over 5 pct. af produktionsværdien af dansk
16)
Omkostninger er omregnet i forhold til Brandt mfl. (2016), såle-
des at de afspejler værdien af statistisk liv beregnet i De Økono-
miske Råds formandskab (2016).
Modelbegræns-
ninger og
antagelser
Afgiftssats
afspejler
helbreds-
relaterede
omkostninger
142
SAU, Alm.del - 2016-17 - Bilag 133: Diskussionsoplæg 2017, fra Det Miljøøkonomiske Råd
1728070_0146.png
II.7 Effekter af regelregulering
landbrug i REFORM.
17
Derfor lægges der i analysen en
afgift på landbrugsproduktionen på godt 5 pct. I beregnin-
gerne tilbageføres provenuet fra afgiften som en lumpsum-
betaling til forbrugerne.
Resultater
Større
produktion under
regelregulering
Modelberegningerne viser, at en omlægning af ammoniak-
regulering i dansk landbrug fra regelregulering til en udled-
ningsafgift vil kunne føre til et fald i landbrugsproduktionen
på ca. 9 pct., jf. tabel II.6. Faldet i landbrugsproduktionen
sker fordi, omlægningen til afgifter øger produktionsom-
kostningerne i landbruget og dermed sænker efterspørgslen
efter dansk producerede fødevarer. Beregningen illustrerer
dermed, at den nuværende regelregulering indebærer, at
landbrugsproduktionen er større, end den ville være under
en afgiftsbaseret regulering, hvor afgiften svarer til miljøbe-
lastningen.
Hvis det antages, at ammoniakudledningerne er proportio-
nale med produktionens størrelse, vil disse være ca. 9 pct.
større under regelregulering i forhold til afgiftsregulering.
Den større udledning medfører højere helbredsomkostnin-
ger på omkring 0,24 mia. kr.
Miljøregulering påvirker ikke kun størrelsen af den forure-
nende sektor (landbruget), men også størrelsen af de øvrige
sektorer i økonomien. I beregningen falder landbrugspro-
duktionen, når den direkte regelregulering erstattes af en
udledningsafgift. Produktionsfaldet vil medføre et fald i
landbrugets anvendelse af produktionsfaktorer, såsom ar-
bejdskraft og kapital. Tilsvarende falder produktionen i
fødevarefremstilling, der i høj grad anvender landbrugsvarer
som input i produktionen. Den samlede beskæftigelse in-
denfor landbrug og fødevarefremstilling falder i beregnin-
gen med knap 5.000 personer, jf. tabel II.6.
Mere forurening
under
regelregulering
Effekter på
sektor
sammensætning
17)
Produktionsværdien i landbruget i REFORM (51,3 mia. kr.) er en
konjunkturrenset værdi baseret på 2006 data fra nationalregnska-
bet. Produktionsværdien (i faste priser) i landbruget har været no-
genlunde konstant i perioden 2006-2013.
143
SAU, Alm.del - 2016-17 - Bilag 133: Diskussionsoplæg 2017, fra Det Miljøøkonomiske Råd
1728070_0147.png
Grønne afgifter og effektiv miljøregulering. Diskussionsoplæg. Økonomi og Miljø 2017
Tabel II.6
Effekter af afgifter frem for regelregulering
Beskæftigelse Produktion BVT
1.000 pers.
-- Ændring i pct. --
Landbrug
-2,1
-9,0
-8,4
Fødevarefremstilling
-2,7
-6,0
-4,8
Øvrige sektorer
4,0
0,1
0,1
Total
-0,8
-0,3
-0,1
Anm.:
Kilde:
Tabellen viser effekterne af at gå fra regelregulering til afgifts-
regulering. Ændringerne er i 2006-priser.
Egne beregninger på REFORM.
Omallokering af
produktions-
faktorer
Den lavere efterspørgsel efter produktionsfaktorer i land-
bruget og fødevarefremstilling betyder, at det generelle
lønniveau reduceres, hvilket sænker produktionsomkostnin-
gerne for øvrige erhverv. De lavere produktionsomkostnin-
ger medfører, at de øvrige erhverv kan øge afsætningen og
dermed deres produktion. Den øgede produktion uden for
landbruget og fødevarefremstilling giver dermed anledning
til, at beskæftigelsen i de øvrige sektorer stiger med ca.
4.000 personer. Omlægningen af ammoniakreguleringen
leder dermed til en sektorforskydning, hvor ressourcer ledes
væk fra landbruget, over mod øvrige erhverv.
Omlægningen til afgiftsregulering fører til et lille fald i den
samlede værditilvækst (BVT). Faldet kan delvis tilskrives
en lille reduktion i arbejdsudbuddet, delvis et fald i den
aggregerede produktivitet. Reduktionen i arbejdsudbuddet
skyldes, at reallønnen falder. Faldet i den aggregerede pro-
duktivitet skal ses i sammenhæng med, at det samlede kapi-
talapparat falder mere end beskæftigelsen, og at der dermed
er mindre kapital til rådighed pr. beskæftiget.
Faldet i BVT reducerer isoleret set forbruget. Den analyse-
rede omlægning for landbruget har imidlertid også nogle
positive sammensætningseffekter på produktionen i resten
af økonomien, som betyder, at forbruget samlet set stiger.
Det skyldes, at omlægningen udover miljøeffekten som
noget særligt for landbruget også modvirker nogle generelle
markedsforvridninger i økonomien, der er modelleret i RE-
FORM. Herved bliver den samlede velfærdsgevinst større
Lille fald i BVT
ved afgifter …
… hvilket
normalt vil
reducere
forbruget
144
SAU, Alm.del - 2016-17 - Bilag 133: Diskussionsoplæg 2017, fra Det Miljøøkonomiske Råd
1728070_0148.png
II.7 Effekter af regelregulering
end miljøgevinsten. Normalt vil en sådan reguleringsom-
lægning reducere forbruget, hvorved den samlede velfærds-
gevinst vil være mindre end miljøgevinsten.
Strukturelle
effekter
Samlet set illustrerer beregningerne, at anvendelsen af re-
gelregulering fremfor afgifter (til regulering af ammoniak-
udledninger) fastholder beskæftigelse i landbruget og føde-
vareindustrien. Den højere beskæftigelse i disse erhverv (i
forhold til en situation med afgiftsregulering) sker i vid
udstrækning på bekostning af en lavere beskæftigelse i an-
dre dele af økonomien. Dette illustrerer den potentielt uhen-
sigtsmæssige, strukturelle virkning af at anvende regelregu-
lering fremfor afgifter. Under de gjorte antagelser fører
regelregulering af ammoniakudledningen fra landbruget
dermed til en sektorsammensætning, hvor forurenende sek-
torer og virksomheder udgør en større del af økonomien,
med højere miljøbelastning til følge.
18
Forurening som følge af udledning af ammoniak er ligesom
anden luftforurening grænseoverskridende. Afgiftsregule-
ring kan derfor i dette tilfælde give anledning til lækage, og
dermed mindre miljøgevinst end forventet, jf. afsnit II.3.
Udledninger af ammoniak indenfor EU er dog også regule-
ret af nationale udledningslofter. Udflytning af ammoni-
akudledende produktion vil derfor kun i et begrænset om-
fang føre til lækage.
Der kan ligge såvel praktiske, erhvervspolitiske og forde-
lingsmæssige hensyn bag valget af regelregulering fremfor
afgifter. Beregningen illustrerer, at anvendelsen af regelre-
gulering, fremfor afgifter, alt andet lige vil føre til en sek-
torsammensætning, hvor forurenende sektorer udgør en
større andel af økonomien. Mulighederne for at erstatte eller
supplere den eksisterende regelregulering for landbrugets
ammoniakudledning med afgifter er beskrevet i boks II.8.
Her gennemgås også de overvejelser, der også kunne gøres
for andre dele af økonomien, hvor der i dag anvendes denne
type af regelregulering.
18)
Hvis reguleringen rettes mod et givet udledningsmål vil forvrid-
ningen medføre en mindre forøgelse af produktionen fra sektoren,
men til gengæld en forvredet omkostningsstruktur med en større
udledningsbegrænsning pr. produceret enhed end under afgiftsre-
gulering.
Begrænset risiko
for lækage
Andre hensyn
end miljø
145
SAU, Alm.del - 2016-17 - Bilag 133: Diskussionsoplæg 2017, fra Det Miljøøkonomiske Råd
1728070_0149.png
Grønne afgifter og effektiv miljøregulering. Diskussionsoplæg. Økonomi og Miljø 2017
Boks II.8
Praktiske overvejelser omkring afgift på ammoniak
Analysen i afsnittet viser, at regelregulering af landbrugets udledninger af ammo-
niak fører til forvridninger af økonomiens sektorsammensætning relativt til an-
vendelsen af en afgift. Af praktiske grunde er det imidlertid svært direkte at af-
giftsbelægge udledningen af ammoniak fra landbruget. Det er dog muligt at lægge
en afgift på antallet af husdyr (eventuelt differentieret efter type), der afspejler
den beregnede ammoniakudledning. En sådan afgift ligner de foreslåede dyrk-
ningsafgifter på beregnet kvælstofudledning, som analyseres i kapitel I og kunne i
givet fald kombineres hermed. En sådan afgift vil imidlertid ikke være tæt nok
korreleret med udledningen, til at den helt kan erstatte den nuværende regelregu-
lering af ammoniakudledningen. Det skyldes, at dyrkningsafgiften ikke giver inci-
tamenter til reduceret udledning fra gyllebeholdere eller under udbringning af
husdyrgødning. Dermed er potentialet for en mere omkostningseffektiv fordeling
af indsatsen ved at indføre denne afgift begrænset. Imidlertid vil en afgift på antal
husdyr kunne modvirke den forvridning af landbrugsproduktionen, som den re-
gelbaserede ammoniakregulering har medført (jf. beregningerne i dette afsnit).
a
Kombinationen af en dyrkningsafgift og regelregulering kan derfor være mere
omkostningseffektivt end ammoniakreguleringen, som den er i dag.
Da regelregulering generelt er et udbredt reguleringsinstrument, kan der også i
andre dele af økonomien opstå lignende forvridningseffekter, som i tilfældet med
ammoniakudledninger i landbruget. Her kan der være tilsvarende praktiske udfor-
dringer i forhold til at pålægge grønne afgifter, der er direkte knyttet til udlednin-
gen. En mulighed kan i stedet være at pålægge afgifter på input eller output i stil
med husdyrafgiften på beregnet ammoniakudledning og dyrkningsafgifterne på
beregnet kvælstofudvaskning (jf. kapitel I). Hvis sådanne afgifter er tilstrækkelig
tæt korreleret med selve udledningen, kan de erstatte regelreguleringen. Er dette
ikke tilfældet, kan de supplere den eksisterende regelregulering for at modvirke
den forvridning af produktionsincitamenterne, som regelreguleringen medfører.
a)
Det har været foreslået at lave et sammenhængende input/output afgiftssystem for kvælstof i
landbruget (en såkaldt pantafgift på kvælstof). En sådan ordning vil give generelle incitamenter
til at reducere ammoniak og andre kvælstofudledninger. Det kan muliggøre en afskaffelse af
regelreguleringen og dermed også opnå gevinsterne ved en mere omkostningseffektiv fordeling
af reduktionsindsatsen, jf. Hansen (1997), Hansen (1999) og Christensen og Hansen (2005).
146
SAU, Alm.del - 2016-17 - Bilag 133: Diskussionsoplæg 2017, fra Det Miljøøkonomiske Råd
1728070_0150.png
II.8 Sammenfatning og anbefalinger
II.8 Sammenfatning og anbefalinger
Grønne afgifter
er et godt
instrument
Der er negative miljøeffekter knyttet til mange produktions-
processer og til dele af vores forbrug. Grønne afgifter er et
velegnet instrument til at sikre, at der tages højde for miljø-
effekter i produktionen og i vores forbrug. Det er normalt
også forbundet med færre samfundsøkonomiske omkost-
ninger, at miljøreguleringen foregår ved brug af grønne
afgifter (eller omsættelige kvoter) end ved regelregulering i
form af f.eks. teknologikrav eller udledningslofter.
Grønne afgifter anvendes meget i Danmark. Omkring 9 pct.
af det samlede skatte- og afgiftsprovenu stammer fra afgif-
ter, der betegnes som grønne. Provenuet fra grønne afgifter i
forhold til BNP er også højere i Danmark end i vores nabo-
lande og OECD som helhed.
Den udbredte brug af grønne afgifter i Danmark kan derfor
være udtryk for, at vi i høj grad sikrer miljøbeskyttelse på
en omkostningseffektiv måde. Dette forudsætter imidlertid,
at de grønne afgifter er udformet, så beskyttelsen af miljøet
sker omkostningseffektivt. Omkostningseffektivitet forud-
sætter således, at de grønne afgifter bl.a. skal overholde
følgende principper:
Afgiftssatsen skal afspejle miljøbelastningen ved
øget udledning
Alle udledere skal betale afgiften, og der bør f.eks.
ikke være fritagelse for afgiften eller reduceret afgift
af hensyn til f.eks. virksomheders konkurrence
Den grønne afgift skal lægges så tæt på miljøeffek-
ten som muligt. Afgiften bør ikke indrettes i forhold
til delmålsætninger, men til den endelige miljøeffekt
Udbredt brug af
grønne afgifter i
Danmark
Principper for
udformning af
grønne afgifter
Flere grønne
afgifter er for
høje
Flere af de grønne afgifter i Danmark lever ikke op til disse
principper for omkostningseffektiv miljøregulering. I nogle
tilfælde giver afgiften kun en tvivlsom eller indirekte miljø-
gevinst, eller afgiften er sat højere end miljøeffekten tilsi-
ger. En “for høj” grøn afgift kan give et større offentligt
provenu, men typisk er det en samfundsøkonomisk mere
omkostningsfuld måde at tilvejebringe provenu sammenlig-
net med eksempelvis indkomstskat.
147
SAU, Alm.del - 2016-17 - Bilag 133: Diskussionsoplæg 2017, fra Det Miljøøkonomiske Råd
1728070_0151.png
Grønne afgifter og effektiv miljøregulering. Diskussionsoplæg. Økonomi og Miljø 2017
Fritagelser øger
omkostning ved
at nå miljømål …
En del af de grønne afgifter lever ikke op til princippet om,
at afgiften skal være ens for alle, der belaster miljøet. Det er
ofte virksomheder i bestemte sektorer, som er fritaget for
afgift eller som betaler en væsentlig lavere afgiftssats. Hvis
afgiften sigter mod at realisere en given miljømålsætning –
f.eks. en målsætning fastlagt via internationale aftaler – vil
fritagelse for nogle udledere medføre større omkostning for
de øvrige udledere. Samlet set øger det omkostningen ved at
nå et givet miljømål, da det er mere forvridende at have en
høj afgift på en lille del af udledningen end en lavere afgift
på hele udledningen.
Fritagelse er også uheldig, hvis afgiften er sat, så den svarer
til miljøbelastningen (i stedet for at skulle opnå et givet
miljømål). Fritagelsen betyder, at det bliver attraktivt at
producere varer, som samfundsøkonomisk har en negativ
værdi, fordi miljøomkostningen ikke bliver indregnet i pro-
duktionsomkostningen.
Fritagelser for nogle sektorer skyldes formentlig hensyn til
virksomhedernes konkurrencevilkår, beskæftigelse og pro-
duktion ud fra en forventning om, at dette vil styrke Dan-
marks samlede beskæftigelse og produktion.
Fritages en forurenende sektor for en grøn afgift, vil det
kunne øge beskæftigelse i denne sektor, men det vil typisk
ske på bekostning af beskæftigelse i andre sektorer i øko-
nomien. Fritagelse vil således primært flytte beskæftigelse
fra sektorer, der ikke belaster miljøet, over til forurenende
sektorer. Således kan det ikke generelt forventes, at fritagel-
se for grønne afgifter vil øge den samlede beskæftigelse.
Regelregulering i form af teknologikrav eller udledningslof-
ter er karakteriseret ved, at man får lov til at udlede mere,
når produktionen stiger, så længe teknologikravet er over-
holdt. Både ved regelregulering og en grøn afgift vil en
virksomhed typisk afholde udgifter til at mindske sin udled-
ning. Der er dog en væsentlig forskel på omkostningerne for
virksomheden ved regelregulering og en grøn afgift. Ved
regelregulering betales der således ikke for udledningen, så
længe f.eks. teknologikravet er overholdt. Sammenlignet
med afgifter medfører regelregulering således, at virksom-
… eller medfører
for høj
miljøbelastning
Fritagelse af
hensyn til
konkurrenceevne
og beskæftigelse
Primært flere
forurenende job –
ikke flere job
samlet
Regelregulering
svarer til delvis
fritagelse
148
SAU, Alm.del - 2016-17 - Bilag 133: Diskussionsoplæg 2017, fra Det Miljøøkonomiske Råd
1728070_0152.png
II.8 Sammenfatning og anbefalinger
hederne ikke skal betale for den miljøskade, som deres pro-
duktion medfører.
Regelregulering
kan give for
meget
forurenende
produktion
Disse former for regelregulering svarer i realiteten til en
subsidiering af forurenende virksomheder. Denne subsidie-
ring betyder, at de forurenende virksomheder stilles gunsti-
gere end andre virksomheder, som ikke forurener eller som
betaler en grøn afgift af deres forurening. Pågældende for-
mer for regelregulering medfører derfor også, at de forure-
nende virksomheder udgør en for stor del af den samlede
økonomi, og at forureningen dermed alt andet lige bliver for
høj ud fra en samfundsøkonomisk betragtning.
Analyser
Analyser med
REFORM-
modellen
Der er udført en række beregninger for at belyse de sam-
fundsøkonomiske omkostninger og effekter af at have for
høje grønne afgifter, fritagelser for virksomheder eller ved
at anvende regelregulering frem for afgifter. Disse bereg-
ninger er udført med den generelle ligevægtsmodel RE-
FORM udviklet af DREAM.
Der er i Danmark en høj afgift på elektricitet til almindeligt
elforbrug. Denne afgift er væsentlig højere end afgiften på
andre typer af energi både set i forhold til energiindhold og
til udledning af CO
2
knyttet til produktionen af el i Dan-
mark. Der er derfor udført beregninger af effekterne af for-
skellige omlægninger af afgiften på elforbrug.
Udledninger af CO
2
ved produktion af elektricitet er omfattet
af det europæiske kvotesystem. Afgiften på elektricitet påvir-
ker derfor som udgangspunkt ikke den samlede europæiske
udledning af CO
2
, som er styret af mængden af CO
2
-kvoter i
kvotesystemet. Afgiften på elektricitet tilvejebringer dog
provenu til staten. I en beregning er det undersøgt, om prove-
nuet fra en afgift på elektricitet kan tilvejebringes med færre
forvridninger gennem en proportional skat på indkomst.
Afgifter på elektricitet og anden energi er i høj grad indret-
tet med henblik på at mindske det samlede energiforbrug.
Det er ikke hensigtsmæssigt, da energiforbrug ikke i sig selv
er skadeligt for miljø og klima. Der er imidlertid på EU-
Høj afgift på
almindeligt
elforbrug
Elafgift mindsker
ikke udledning af
CO
2
i EU
Energisparemål
ikke
hensigtsmæssigt –
men et vilkår
149
SAU, Alm.del - 2016-17 - Bilag 133: Diskussionsoplæg 2017, fra Det Miljøøkonomiske Råd
1728070_0153.png
Grønne afgifter og effektiv miljøregulering. Diskussionsoplæg. Økonomi og Miljø 2017
plan fastsat en række mål for energibesparelser. På kort sigt
må målet om energibesparelser derfor betragtes som et vil-
kår.
Gevinst ved
omlægning af
elafgift selv ved
fastholdt
elforbrug
Hvis afgiften på elektricitet skal ses som et instrument til at
opnå mål om mindre energiforbrug, bør afgiften på elektri-
citet i princippet være ens for alle brugere af elektricitet.
Det er ikke tilfældet i dag, hvor elektricitet til fremstilling
(proces) i praksis er fritaget for afgift. Det gør det dyrere at
mindske forbruget af elektricitet. Der er udført en bereg-
ning, hvor der indføres en fælles afgift på elektricitet uanset
anvendelse. Denne fælles afgift har et niveau, så det samle-
de elforbrug er konstant.
Der er betydelige samfundsøkonomiske effektivitetsgevin-
ster ved disse omlæggelser af afgiften på elektricitet. Der er
en årlig samfundsøkonomisk gevinst på 1,8 mia. kr., hvis
afgiften på almindeligt elforbrug sænkes fra 0,89 til 0,27 kr.
pr. kWh og provenuet i stedet tilvejebringes gennem en
proportional skat på indkomst.
Hvis rationalet med afgiften på elektricitet er at realisere
mål om energibesparelser, så vil der være en samfundsøko-
nomisk gevinst på 1,3 mia. kr. pr. år ved at hæve afgiften på
elektricitet til fremstilling og reducere afgiften på alminde-
ligt elforbrug, jf. tabel II.7.
19
Det er ikke kun for elektricitet, at afgiften på fremstilling
(proces) er forholdsvis lav. Det gælder også for andre typer
energi som olie og gas. Givet EU-målet om, at energifor-
bruget skal begrænses, vil der være en yderligere samfunds-
økonomisk gevinst ved at have en fælles energiafgift uanset
anvendelsen af energien. Biobrændsler er helt fritaget for
energiafgift, og bør ved en sådan harmonisering også på-
lægges den fælles energiafgift. Dette vil give en yderligere
gevinst ud over de 1,3 mia. kr.
Gevinst på 1,8
mia. kr. ved at
sænke elafgiften
Gevinst på 1,3
mia. kr. hvis
fremstilling også
betaler elafgift
Samme afgift på
energi til
fremstilling
19)
Der er beregnet gevinster ved to forskellige alternative omlæggel-
ser af elafgiften. De beregnede gevinster kan imidlertid ikke di-
rekte lægges sammen, da begge omlæggelser ikke kan udføres
samtidig.
150
SAU, Alm.del - 2016-17 - Bilag 133: Diskussionsoplæg 2017, fra Det Miljøøkonomiske Råd
1728070_0154.png
II.8 Sammenfatning og anbefalinger
Tabel II.7
Samfundsøkonomisk gevinst ved omlæggelser af afgift på el og vand
Ens
Vandafgift Ens vand-
Elafgift
b)
fjernes
afgift
c)
elafgift
sænkes
----------------------- Mia. kr. --------------------
4,8
2,0
1,0
0,3
1,8
1,3
0,2
0,1
------------------------ Pct. ------------------------
38
65
22
20
Omlagt provenu (før adfærd)
a)
Samfundsøkonomisk gevinst
Gevinst i pct. af omlagt provenu
a)
b)
c)
Kilde:
Omlagt provenu uden adfærd angiver afgiftsreduktionen før ændring i forbrug i forbindelse
med ændring i afgiften. For ens el- og vandafgift er det kun det reducerede afgiftsprovenu fra
husholdningerne.
Ved sænkning af elafgift reduceres elafgiftssatsen på almindeligt elforbrug og elvarme fra
henholdsvis 0,89 og 0,39 kr. pr. kWh til 0,27 kr. pr. kWh.
Ved ensretning af vandafgiften ændres satsen for husholdninger og erhverv fra henholdsvis
omkring 5 og 0 kr. pr. m
3
til ca. 3 kr. pr. m
3
.
Egne beregninger.
Geografisk
differentieret
vandafgift betalt
af alle
Der kan også opnås samfundsøkonomiske gevinster ved at
ændre på vandafgiften. Der er i dag en ensartet afgift i hele
landet for husholdninger, mens momsregistrerede virksom-
heder i praksis er fritaget for afgiften. Der er imidlertid pri-
mært for høj indvinding af grundvand på dele af Sjælland
(nær Hovedstadsområdet). Ideelt set burde der derfor være
en geografisk differentieret afgift, betalt af alle vandforbru-
gere. Afgiften skulle være nul kr. i de dele af landet, hvor
der er rigeligt med grundvand.
For at illustrere de potentielle gevinster af en sådan omlæg-
ning af vandafgiften er gennemført to beregninger i RE-
FORM. I den ene fjernes vandafgiften, og provenuet fra
denne afgift tilvejebringes i stedet via en forhøjelse af ind-
komstskatten. I den anden beregning indføres en fælles
afgift på vand, som også omfatter momsregistrerede virk-
somheder. Den fælles afgift er i beregningen fastsat, så det
samlede vandforbrug er uændret i forhold til de nuværende
vandafgifter.
Beregninger af
gevinster ved
omlægning af
vandafgiften
151
SAU, Alm.del - 2016-17 - Bilag 133: Diskussionsoplæg 2017, fra Det Miljøøkonomiske Råd
1728070_0155.png
Grønne afgifter og effektiv miljøregulering. Diskussionsoplæg. Økonomi og Miljø 2017
Gevinst ved
omlægning af
afgift på vand på
0,1-0,2 mia. kr.
Beregningerne viser, at der også er samfundsøkonomiske
gevinster ved disse omlægninger på 0,1-0,2 mia. kr. pr. år, jf.
tabel II.7. Gevinsterne er væsentlig lavere end ved omlæg-
ning af afgiften på elektricitet, men det afspejler bl.a., at be-
skatningen af vand er lav i forhold til beskatningen af elektri-
citet. De samfundsøkonomiske gevinster af omlægningen
udgør således omkring 20 pct. af det omlagte provenu.
20
Potentielt kan der dog være en yderligere gevinst ved at
sænke afgiften på vand. Det skyldes, at en væsentlig del af
prisen på vand dækker omkostninger ved afledning og rens-
ning af regnvand og spildevand. Disse omkostninger har
karakter af at være faste omkostninger, som kun i en vis
udstrækning er knyttet til forbruget af vand. Finansieringen
af faste omkostninger over vandprisen giver en uhensigts-
mæssig forvridning af vandforbruget, som vil blive mind-
sket, når afgiften på vandforbruget mindskes. Eksempelbe-
regninger tyder på, at denne yderligere gevinst kan være op
mod 0,4 mia. kr. pr. år.
Når miljøbelastningen reguleres ved regler for brug af be-
stemte teknologier mv., medfører det ofte, at den regulerede
sektor bliver uhensigtsmæssig stor sammenlignet med en
regulering med afgifter. Der er i dag udbredt brug af regel-
regulering i meget af økonomien. Et eksempel er udlednin-
gen af ammoniak fra landbruget, hvor der på trods af omfat-
tende regelregulering er udledning, som medfører helbreds-
omkostninger på 2,7 mia. kr. pr. år. Det svarer til ca. 5 pct.
af landbrugsproduktionen.
Beregninger i REFORM viser, at regelreguleringen har ledt
til en ca. 9 pct. højere landbrugsproduktion i forhold til en
situation, hvor landbruget skulle betale en afgift på udled-
ningen af ammoniak. Den højere landbrugsproduktion har
resulteret i en forøget helbredsomkostning på 0,2 mia. kr.
pr. år sammenlignet med regulering med en grøn afgift.
Regelreguleringen har ledt til en højere beskæftigelse i
20)
Begge gevinster ved omlægninger af vandafgiften kan naturligvis
ikke realiseres. Den samlede gevinst ved geografisk differentieret
vandafgift betalt af alle vandforbrugere må forventes at være et
vægtet gennemsnit af gevinsten ved de to omlægninger af vand-
afgiften i tabel II.7.
Potentielt
væsentlig større
gevinst ved lavere
vandafgift
Ammoniak fra
landbruget
medfører skader
for 2,7 mia. kr.
Regelregulering
medfører
uhensigtsmæssig
sektorfordeling
med for høj
forurening
152
SAU, Alm.del - 2016-17 - Bilag 133: Diskussionsoplæg 2017, fra Det Miljøøkonomiske Råd
1728070_0156.png
II.8 Sammenfatning og anbefalinger
landbruget og fødevareindustrien, men denne øgede beskæf-
tigelse sker hovedsagelig på bekostning af lavere beskæfti-
gelse i andre dele af økonomien. Dette illustrerer, at brug af
regelregulering kan føre til en uhensigtsmæssig sektorforde-
ling, hvor forurenende sektorer og virksomheder udgør en
for stor del af økonomien.
Omkostninger
ved at afvige fra
principper for
grønne afgifter
Der kan være praktiske eller fordelingsmæssige grunde til at
anvende regelregulering i stedet for en grøn afgift eller til,
at man tager hensyn til provenu eller enkelte sektorers kon-
kurrencesituation i udformningen af grønne afgifter. Bereg-
ningerne illustrerer, at der kan være væsentlige samfunds-
økonomiske omkostninger ved at tage sådanne hensyn.
Konklusioner og anbefalinger
Gevinst ved
reform af afgifter
Der kan opnås betydelige samfundsøkonomiske effektivi-
tetsgevinster ved en omlægning af de eksisterende grønne
afgifter, så de i højere grad er i overensstemmelse med de
økonomiske principper for optimal udformning af grønne
afgifter. Der kan også opnås effektivitetsgevinster ved at
erstatte regelregulering med grønne afgifter.
Nogle af de nuværende grønne afgifter er højere end det
samfundsøkonomisk hensigtsmæssige niveau. Det gælder
f.eks. for afgiften på almindeligt elforbrug og afgiften på
vand i store dele af Danmark, hvor der er rigeligt grund-
vand. Det anbefales derfor at sænke afgiften på elektricitet
og vand i store dele af Danmark. Hvis udformningen skyl-
des fordelingshensyn, bør dette hensyn i stedet søges vare-
taget på anden vis, f.eks. over skatte- og overførselssyste-
met.
Der er dog en række uhensigtsmæssige fritagelser eller
stærkt reducerede grønne afgifter for virksomheder. Sådan-
ne fritagelser medfører for høj miljøbelastning og gør det
samfundsøkonomisk dyrere at nå givne miljømålsætninger.
Der vil således være en effektivitetsgevinst ved, at alle virk-
somheder betaler afgift af deres vandforbrug i de dele af
Danmark, hvor der er mangel på vand.
Gevinst ved at
sænke afgift på
elektricitet og
dele af vand
Gevinst ved at
virksomheder
betaler
vandafgift, hvor
der er knaphed
153
SAU, Alm.del - 2016-17 - Bilag 133: Diskussionsoplæg 2017, fra Det Miljøøkonomiske Råd
1728070_0157.png
Grønne afgifter og effektiv miljøregulering. Diskussionsoplæg. Økonomi og Miljø 2017
Gevinst ved
højere el- og
energiafgifter for
fremstillings-
virksomheder
Givet at Danmark er underlagt EU-mål om at mindske
energiforbruget, vil der kunne opnås en effektivitetsgevinst,
hvis der kom en ensartet afgift på alle former for energifor-
brug. Biobrændsler bør også omfattes af en ensartet energi-
afgift. Fremstillingsvirksomheder betaler meget små afgifter
på elektricitet og andet energiforbrug anvendt til proces.
Der vil således kunne opnås en betydelig effektivitetsge-
vinst ved at hæve el- og energiafgifterne for fremstillings-
virksomheder, så de betaler samme afgift som andre brugere
af energi.
En fjernelse af virksomheders fritagelse fra grønne afgifter
vil medføre et øget provenu til staten. Ønsker man politisk
at lade en sådan omlægning være udgiftsneutral for virk-
somhederne, kan dette provenu føres tilbage til de berørte
erhverv. I givet fald skal en sådan tilbageførsel ske på en
måde, så tilbageførslen er helt afkoblet for fremtidige pro-
duktionsbeslutninger.
Virksomheder bør som udgangspunkt betale grønne afgifter
svarende til deres udledninger. Det vil øge miljøregulerin-
gens samfundsøkonomiske effektivitet. Fordelings- og er-
hvervshensyn bør søges varetaget på anden vis, f.eks. gen-
nem afkoblet tilbageførsel af afgiftsprovenuet.
Grønne afgifter bør erstatte regelregulering, når det er prak-
tisk muligt. Det vil mindske de forurenende sektorers andel
af økonomien, som f.eks. de mest forurenende dele af land-
brugssektoren.
Behovet for en ensartet energiafgift afspejler EU-målet om
en reduktion i energiforbruget. Et sådan mål er imidlertid
ikke hensigtsmæssigt, da energiforbrug ikke i sig selv er
skadeligt for miljø og klima. Danmark bør derfor arbejde
for, at energipolitikken i EU ikke er rettet efter en uhen-
sigtsmæssig delmålsætning om energibesparelser, men at
der i stedet fokuseres på at reducere udledningen af CO
2
og
andre miljøeffekter ved energiforbrug.
Provenu kan
tilbageføres, hvis
det ønskes
Virksomheder
bør også betale
grønne afgifter
Erstat
regelregulering
med grønne
afgifter
Fokus på
miljøeffekter –
ikke samlet
energiforbrug
154
SAU, Alm.del - 2016-17 - Bilag 133: Diskussionsoplæg 2017, fra Det Miljøøkonomiske Råd
1728070_0158.png
II Litteratur
Litteratur
Bovenberg, A.L. og L.H. Goulder (2002): Environmental
Taxation and Regulation. I: Auerback, A.J. og M. Feldstein
(red.):
Handbook of Public Economics,
Vol. 3. North Hol-
land Elsvier.
Binmore, K., M.J. Osbourne og A. Rubinstein (1992): Non-
cooperative Models of Bargaining. I: Aumann, R.J og S.
Hart (red.):
Handbook of Game Theory,
Vol. 1. Elsevier
Science Publichers B.V.
Brandt, J., J.D. Silver, J.H. Christensen, M.S. Andersen,
J.H. Bønløkke, T. Sigsgaard, T. Geels, A. Gross, A.B. Han-
sen, K.M. Hansen, G.B. Hedegaard, E. Kaas og L.M. Frohn
(2013): Contribution from the ten major emission sectors in
Europe and Denmark to the health-cost externalities of air
pollution using the EVA model system – an integrated
modelling approach.
Atmospheric Chemistry and Physics,
13, s. 7725-7746.
Brandt, J., S.S. Jensen, M.S. Andersen, M. Plejdrup og O.K.
Nielsen (2016):
Helbredseffekter og helbredsomkostninger
fra emissionssektorer i Danmark.
Videnskabelig rapport fra
DCE - Nationalt Center for Miljø og Energi nr. 182. Institut
for Miljøvidenskab, Aarhus Universitet.
Christensen, J. and L.G. Hansen (2005): Abatement costs of
alternative tax systems to regulate agricultural nitrogen loss,
Environmental Economics and Policy Studies,
7 (2), s. 53-74.
Dalhuisen, J.M., R.J.G.M. Florax, H.L.F. de Groot og P.
Nijkamp (2003): Price and Income Elasticities of Residen-
tial Water Demand: A Meta-Analysis.
Land Economics,
79
(2), s. 292-308.
De Økonomiske Råds formandskab (2008):
Dansk Økono-
mi, Efterår 2008.
155
SAU, Alm.del - 2016-17 - Bilag 133: Diskussionsoplæg 2017, fra Det Miljøøkonomiske Råd
1728070_0159.png
Grønne afgifter og effektiv miljøregulering. Diskussionsoplæg. Økonomi og Miljø 2017
De Økonomiske Råds formandskab (2009):
Økonomi og
Miljø 2009.
De Økonomiske Råds formandskab (2013):
Økonomi og
Miljø 2013.
De Økonomiske Råds formandskab (2016):
Økonomi og
Miljø 2016.
EA Energianalyse (2016): CO
2
-emission ved øget elforbrug.
Ekins, P. (1999): European environmental taxes and charges
– Recent experience, issues and trends,
Ecological Econom-
ics,
31 (1), s. 39-62.
Energinet (2016): Miljødeklarering af 1 kWh el,
http://www.energinet.dk/
Energistyrelsen (2014):
Energiscenarier frem mod 2020,
2035 og 2050
Energitilsynet (2016): Elprisstatistik – april 2006.
Fullerton, D., A. Leicester og S. Smith (2008): Environmen-
tal Taxation. NBER working paper no. 14197.
Gruber, J. (2011):
Public Finance and Public Policy,
Third
Edition. Macmillan.
Hansen L.G. (1999): A Deposit-Refund System Applied to
Non-Point Nitrogen Emissions from Agriculture.
Environ-
mental Economics and Policy Studies,
2 (4), s. 231-247.
Hansen, L.G. (1997): Afgiftsregulering af landbrugets
kvælstoftab: pant på kvælstof, kommentar i
Nationaløko-
nomisk tidsskrift
135 (3).
Harstad, B. (2012): Climate Contracts: A game of Emis-
sions, Investments, Negotiations, and Renegotiation.
Review
of Economic Studies,
79 (4), s. 1527-1557.
Hoel, M. (1996): Should a carbon tax be differentiated across
sectors?
Journal of Public Economics,
59 (1), s. 17-32.
156
SAU, Alm.del - 2016-17 - Bilag 133: Diskussionsoplæg 2017, fra Det Miljøøkonomiske Råd
1728070_0160.png
II Litteratur
Holland, S.P. (2009): Taxes and Trading versus Intensity
Standards: Second-Best Environmental Policies with In-
complete Regulation (Leakage) or Market Power. NBER
Working Paper no. 15262.
Kaplow, L. (2004): On the (Ir)Relevance of Distribution
and Labor Supply Distortion to Government Policy,
Jour-
nals of Economic Perspective,
18 (4), s. 159-175.
Klimarådet (2016a): Større elforbrug giver øget CO
2
-
udledning.
Klimarådet (2016b):
Afgifter der forandrer.
Kreiner, C.T. og N. Verdelin (2012): Optimal Provision of
Public Goods: A Synthesis.
The Scandinavian Journal of
Economics,
114 (2), s. 384-408.
Kristrom, B. og P. Riera (1996): Is the income elasticity of
environmental improvements less than one?
Environmental
and Resource Economics,
7 (1), s. 45-55.
Miljø- og Fødevareministeriet (2016a): Styrelsen for Vand
og Naturforvaltning, Vandområdeplan 2015-2021 for
Vandområdedistrikt Jylland og Fyn.
Miljø- og Fødevareministeriet (2016b): Styrelsen for Vand
og Naturforvaltning, Vandområdeplan 2015-2021 for
Vandområdedistrikt Sjælland.
Miljø- og Fødevareministeriet (2016c): Styrelsen for Vand
og Naturforvaltning, Vandområdeplan 2015-2021 for
Vandområdedistrikt Bornholm.
Miljø- og Fødevareministeriet (2016d): Styrelsen for Vand
og Naturforvaltning, Vandområdeplan 2015-2021 for Inter-
nationalt Vandområdedistrikt.
Miljøstyrelsen (2002): Økonomiske styringsmidler i dansk
politik.
157
SAU, Alm.del - 2016-17 - Bilag 133: Diskussionsoplæg 2017, fra Det Miljøøkonomiske Råd
1728070_0161.png
. Diskussionsoplæg. Økonomi og Miljø 2017
Mirrlees, J., S. Adam, T. Besley, R. Blundell, S. Bond, R.
Chote, M. Gammie, P. Johnson, G. Myles og J. Poterba
(2011):
Tax by design.
Oxford University Press.
Nechyba, T. (2010):
Microeconomics: An Intuitive Ap-
proach with Calculus.
South-Western Cengage Learning.
Pigou, A.C. (1920):
The Economics of Welfare.
London:
Macmillan.
Roth, A.E. (1985):
Game-Theoretic Models of Bargaining.
Cambridge University Press.
Sandbag (2016):
Puncturing the waterbed myth.
Sekretariatet for afgifts- og tilskudsanalysen på energiområ-
det (2016).
Afgifts- og tilskudsanalysen på energiområdet,
Delanalyse 1 – Udviklingen i afgifts- og tilskudsgrundlag.
Skatteministeriet.
SKAT (2016): Den juridiske vejledning 2016-1.
Stephensen, P., G. Høegh og P. Bache (2015): REFORM.
DREAMs multisektor-CGE-model. Arbejdspapir 2015:2.
DREAM.
Williams, R.C. (2016): Environmental Taxation. NBER
working paper no. 22303.
158
SAU, Alm.del - 2016-17 - Bilag 133: Diskussionsoplæg 2017, fra Det Miljøøkonomiske Råd
KAPITEL III
ÆGTE OPSPARING
III.1 Indledning
Er udviklingen
bæredygtig?
Vi lever i samfund, hvor de materielle levevilkår generelt
stiger som følge af den økonomiske vækst; samtidig oplever
vi en række miljøproblemer, der påvirker befolkningens
velfærd negativt. Der stilles ofte spørgsmålstegn ved, om
samfundets velfærd samlet set stiger over tid, når man tager
udviklingen i miljø og naturressourcer med i betragtning,
eller om vi er i færd med at underminere grundlaget for
fremtidens befolkninger. Dette er det centrale spørgsmål,
når det skal vurderes, om udviklingen er bæredygtig.
At udviklingen skal være bæredygtig, er et almindeligt an-
erkendt ønske, jf. Regeringen (2014). Begrebet ægte opspa-
ring spiller en central rolle i den miljøøkonomiske behand-
ling af spørgsmålet om bæredygtighed. Ægte opsparing kan
opfattes som en operationalisering af bæredygtighedsbegre-
bet, idet den principielt angiver, om udviklingen er bære-
dygtig. Er opsparingen negativ, er udviklingen nemlig ikke
bæredygtig. Som det fremgår af kapitlet, er der dog en lang
række praktiske vanskeligheder ved entydigt at fastlægge
størrelsen af den ægte opsparing; ikke mindst er det i mange
tilfælde overordentlig svært at fastsætte, hvad der er en ri-
melig værdisætning af ændringen i de kapitalgoder (inklusi-
ve naturkapital), som bør indgå i beregningen.
Kort fortalt er ægte opsparing en opgørelse af den samlede
værdi af ændringerne i alle de formuegoder i bred forstand,
der udgør grundlaget for vores velfærd. Det gælder produ-
cerede kapitalgoder som maskiner og bygninger, finansielle
tilgodehavender, humankapital, naturkapital og social kapi-
tal. I dette kapitel foretages en opgørelse af den ægte opspa-
ring i Danmark i perioden 1980-2015.
Ægte opsparing
er en indikator
for bæredygtig-
hed
Danmarks ægte
opsparing siden
1980 opgøres
Kapitlet er færdigredigeret den 6. februar 2017.
159
SAU, Alm.del - 2016-17 - Bilag 133: Diskussionsoplæg 2017, fra Det Miljøøkonomiske Råd
1728070_0163.png
Ægte opsparing. Diskussionsoplæg. Økonomi og Miljø 2017
Ægte opsparing
siden 1993
Det første forsøg på at opgøre et mål for ægte opsparing
blev gjort af Pearce og Atkinson (1993), og selve begrebet
“genuine saving” blev navngivet i Hamilton (1994). Den
første danske opgørelse af ægte opsparing er Hansen
(1995).
Der er i de senere år fremkommet en lang række undersøg-
elser af den ægte opsparing i forskellige lande og for for-
skellige perioder.
1
Interessen for begrebet kan ses som et
udtryk for et øget fokus på at supplere traditionelle national-
regnskabsberegninger med andre indikatorer, der giver et
mere dækkende indtryk af udviklingen i samfundets vel-
færd. Det gælder ikke mindst inddragelsen af udviklingen i
miljøforhold og naturressourcer. Et eksempel herpå er Stig-
litz-Sen-Fitoussi-kommissionen (iværksat på foranledning
af den daværende franske præsident Sarkozy), der netop
havde til formål at se på alternativer til BNP. Kommis-
sionen udpegede ægte opsparing som en vigtig alternativ
indikator, jf. Stiglitz mfl. (2009).
Den mest omfattende og systematiske undersøgelse af ægte
opsparing foretages af Verdensbanken. Banken laver regel-
mæssigt en omfattende opgørelse for stort set alle lande i
verden. Opgørelsen indeholder færre opsparingselementer
end undersøgelsen i dette kapitel, men er til gengæld forsøgt
foretaget efter ens principper i alle lande. Elementerne i Ver-
densbankens opgørelse er den nationale opsparing i finansiel
og fysisk kapital fratrukket nedslidningen af fysisk kapital,
tillagt et mål for udviklingen i humankapitalen og fratrukket
en anslået værdi af formindskelsen af landenes mineraler,
energidepoter og skovarealer samt en formodet værdisætning
af landenes egne udledninger af CO
2
og partikler.
2
1)
Nylige detaljerede undersøgelser for enkeltlande i stil med opgø-
relsen i nærværende kapitel er bl.a. foretaget af Pezzey mfl.
(2006) for Skotland, Randall (2008) for Australien, Mota og Mar-
tins (2010) for Portugal, Ferreira og Moro (2011) for Irland, Ar-
row mfl. (2012) for USA, Kina, Indien, Brasilien og Venezuela,
Lindmark og Acar (2013) for Sverige samt Greasley mfl. (2014)
for Storbritannien, Tyskland og USA. En nylig oversigt over
forskningsområdet og diverse enkeltbidrag findes i Hanley mfl.
(2015).
Verdensbankens anslåede værdi af disse negative bidrag er mar-
kant lavere end den værdi, der anbefales i nærværende kapitel.
Et stigende antal
undersøgelser
internationalt
Verdensbanken
foretager
regelmæssige
internationale
opgørelser
2)
160
SAU, Alm.del - 2016-17 - Bilag 133: Diskussionsoplæg 2017, fra Det Miljøøkonomiske Råd
1728070_0164.png
III.1 Indledning
Global ægte
opsparing på godt
10 pct. af BNI
årligt
I Verdensbankens opgørelse ligger den globale ægte op-
sparing typisk på godt 10 pct. af BNI årligt, jf. tabel III.1.
Den danske ægte opsparing er ifølge Verdensbanken lidt
højere, nemlig på ca. 14 pct. i gennemsnit i perioden 1990-
2013. Det er lidt højere end den ægte opsparing i Tyskland
og EU og på linje med Norge, men lavere end Sverige, der
ifølge Verdensbanken har haft en opsparing på 18 pct. af
BNP over perioden. For både Danmark og verden som hel-
hed var opsparingen lidt højere i 2014 end gennemsnittet for
de foregående ca. 25 år.
Tabel III.1
Verdensbankens opgørelse af ægte opsparing
Gns. 1990-2013
2014
----------- Pct. af BNI ---------
13,5
14,5
12,4
21,0
18,0
18,8
10,5
13,3
9,6
8,8
9,0
7,8
6,4
6,5
28,8
34,5
10,0
20,0
a
1,1
5,5
10,4
12,7
Danmark
Norge
Sverige
Tyskland
EU
OECD
USA
Kina
Saudi-Arabien
Afrika syd for Sahara
Verden
a)
Kilde:
Tallet er fra 2013.
Verdensbanken.
Norge opgør en
udvidet
nationalformue
I Norge har Statistisk Sentralbyrå i en årrække officielt op-
gjort en nationalformue, der udover produceret kapital og
finanskapital også omfatter human- og naturressource-
kapital. Derudover opgør man en række officielle indikato-
rer for bæredygtig udvikling.
I Det Økonomiske Råds formandskab (1998) foretoges en
kortfattet opgørelse af Danmarks ægte opsparing 1986-96 i
et kapitel, der bredt behandlede emnet bæredygtighed. I De
Økonomiske Råds formandskab (2012) blev foretaget en
mere omfattende beregning for årene 1990-2010, der tog
161
Tidligere arbejde
af formandskabet
for De
Økonomiske Råd
SAU, Alm.del - 2016-17 - Bilag 133: Diskussionsoplæg 2017, fra Det Miljøøkonomiske Råd
1728070_0165.png
Ægte opsparing. Diskussionsoplæg. Økonomi og Miljø 2017
udgangspunkt i nyere metoder og inddrog flere elementer
end tidligere. Nærværende kapitel kan ses som en opdate-
ring af 2012-beregningerne. Det er omtrent de samme for-
muegoder, der er inddraget i beregningerne, men den under-
søgte tidsperiode er blevet udvidet i begge retninger med i
alt 15 år. I en række tilfælde er inddraget andre datakilder,
ligesom de metodiske principper er underkastet en kritisk
granskning og i nogle tilfælde revideret.
Kapitlets indhold
I afsnit III.2 beskrives den teoretiske baggrund for begrebet
ægte opsparing, de overordnede beregningsprincipper og en
række overordnede problemstillinger i de konkrete udreg-
ninger. I de følgende afsnit præsenteres og diskuteres de
foretagne beregninger for den ægte opsparing i Danmark,
opdelt på miljøgoder (klimaproblemet, anden luftforurening
og forurening af grundvand), naturressourcer (Nordsøen,
fisk, jord og skov) og menneskeskabte formuegoder (fysisk,
vidensmæssig og finansiel opsparing samt ændringer i hu-
man og sundhedskapital). Også biodiversitet og social kapi-
tal – to kapitalgoder, som det ikke har været muligt at kvan-
tificere monetært – berøres. Kapitlet afsluttes med en samlet
præsentation og diskussion af den danske ægte opsparing i
årene 1980-2015.
III.2 Bæredygtighed og ægte opsparing
Indhold i afsnit
I dette afsnit beskrives, hvad der menes med begrebet bære-
dygtighed. Derefter forklares sammenhængen mellem bæ-
redygtighed og mængden af de aktiver, som indgår i natio-
nalformuen. Dernæst beskrives begrebet ægte opsparing
samt fordele og begrænsninger ved dette mål. Til slut i af-
snittet beskrives en række praktiske og metodiske udfor-
dringer ved at opgøre ægte opsparing. Her beskrives også en
række metodiske valg, som ligger til grund for de beregnin-
ger af ægte opsparing for Danmark, der præsenteres i resten
af kapitlet.
162
SAU, Alm.del - 2016-17 - Bilag 133: Diskussionsoplæg 2017, fra Det Miljøøkonomiske Råd
1728070_0166.png
III.2 Bæredygtighed og ægte opsparing
Bæredygtighed og formue
Mål for
bæredygtig
udvikling
Bæredygtighed
forudsætter
ikke-aftagende
velfærd
Som nævnt i indledningen tager begrebet ægte opsparing
udgangspunkt i spørgsmålet, om udviklingen er bæredygtig.
Beregningen af ægte opsparing er dermed en måde, hvorpå
bæredygtighedsbegrebet kan operationaliseres.
Begrebet bæredygtighed blev for alvor kendt på baggrund af
rapporten fra Brundtland-kommissionen, jf. World Com-
mission on Environment and Development (1987). Bære-
dygtig udvikling defineres i Brundtland-rapporten som et
forløb, hvor opfyldelsen af nulevende generationers behov
ikke sker på bekostning af fremtidige generationers mulig-
heder for at opfylde deres behov.
3
Ud fra denne definition
kan et forløb kaldes bæredygtigt, såfremt fremtidige genera-
tioners velfærd er mindst den samme som nulevende gene-
rationers velfærd. Et mål om bæredygtighed har således
karakter af en målsætning om en bestemt fordeling mellem
generationer.
Befolkningens velfærd afhænger af en lang række forskel-
lige goder, både forbruget af fremstillede varer og tjeneste-
ydelser og en række andre forhold, herunder natur- og mil-
jøgoder. Produktionen eller forekomsten og dermed for-
bruget af alle disse goder afhænger igen af den kapital, der
er til rådighed til at frembringe dem. Kapital skal her opfat-
tes i bred forstand som alle formuegoder, menneskelige
ressourcer og naturkapital (naturressourcer, klimatiske be-
tingelser, biologisk mangfoldighed mv.), der har betydning
for velfærden. En større mængde af disse aktiver forøger de
fremtidige forbrugsmuligheder (inklusive “forbruget” af
ikke-materielle goder), mens færre aktiver formindsker
dem. Hvis fremtidige generationer skal have de samme
forbrugsmuligheder som de nuværende, må den samlede
velfærd, disse aktiver kan frembringe, og dermed deres
samlede værdi, derfor ikke falde.
Velfærd
afhænger af
mange forskellige
aktiver
3)
Under dette ligger også en målsætning om, at alle skal have deres
basale behov opfyldt.
163
SAU, Alm.del - 2016-17 - Bilag 133: Diskussionsoplæg 2017, fra Det Miljøøkonomiske Råd
1728070_0167.png
Ægte opsparing. Diskussionsoplæg. Økonomi og Miljø 2017
Øget formue
afspejler en
bæredygtig
udvikling
Ændringen i beholdningen af aktiver over en given periode
afspejler opsparingen i samfundet og de udefrakommende
begivenheder, der påvirker akkumulationen (f.eks. grænse-
overskridende forurening). Hvis nationalformuen i bred
forstand (værdien af samtlige relevante aktiver) vokser over
tid, vil de fremtidige forbrugsmuligheder også øges. En
stigning i vores nationalformue er dermed udtryk for et
bæredygtigt forløb.
Det er vigtigt at medregne alle aktiver, når det skal vurde-
res, hvorvidt udviklingen er bæredygtig. Hvis mængden af
hvert enkelt aktiv vokser over tid (eller i hvert fald ikke
aftager), er det udtryk for, at udviklingen er bæredygtig for
hvert aktiv. En sådan udvikling betegnes som
stærkt
bære-
dygtig. Hvis dette krav til udviklingen er opfyldt, kan man
være sikker på, at fremtidige generationers velfærd ikke
reduceres i forhold til de nuværende generationer. Et krav
om stærk bæredygtighed er altså tilstrækkeligt til at sikre, at
udviklingen er bæredygtig ifølge Brundtland-kommis-
sionens definition.
Hvis der er et enkelt aktiv, hvis beholdning reduceres over
tid, mens mængden af alle andre aktiver vokser, vil udvik-
lingen ikke være bæredygtig i stærk forstand. Udviklingen
vil imidlertid fortsat være bæredygtig ifølge Brundtland-
definitionen, hvis velfærdsvirkningen for de fremtidige
generationer af faldet i det ene aktiv opvejes af velfærds-
virkningen af stigningen i de øvrige aktiver. Et krav om
stærk bæredygtighed indebærer eksempelvis, at man aldrig
må bruge ikke-fornybare naturressourcer som f.eks. minera-
ler, olie, gas og kul. Afstår man permanent helt fra at udnyt-
te sådanne ressourcer, reduceres velfærden for såvel nuvæ-
rende som fremtidige generationer, hvilket ikke er en fordel
for nogen.
Hvis den samlede værdi af aktiverne afspejler deres nytte-
værdi for fremtidige generationer, og denne ikke er aftag-
ende, betegnes udviklingen som bæredygtig i
svag
forstand.
Et forløb er altså svagt bæredygtigt, selvom beholdningen af
nogle aktiver falder, hvis velfærdsforringelsen heraf opvejes
af velfærdsværdien af en øget beholdning af andre aktiver.
Dermed indikerer en ikke-faldende nationalformue svag
Stærk
bæredygtighed
er tilstrækkelig
… men ikke
nødvendig for at
sikre bæredygtig
udvikling
Svag
bæredygtighed
svarer til
Brundtland-
definitionen
164
SAU, Alm.del - 2016-17 - Bilag 133: Diskussionsoplæg 2017, fra Det Miljøøkonomiske Råd
1728070_0168.png
III.2 Bæredygtighed og ægte opsparing
bæredygtighed, hvilket svarer til Brundtland-kommis-
sionens bæredygtighedsdefinition.
Ægte opsparing
nemmere at
vurdere end
den samlede
nationalformue
Den ægte opsparing for en given periode opgør netop sum-
men af ændringer i beholdningerne af alle aktiver prissat til
den velfærdsværdi, de har. Dermed måler den ægte op-
sparing ændringen i nationalformuen over perioden, jf. boks
III.1, hvor opsparingens fortegn indikerer, om udviklingen
har været bæredygtig. Dette er en fordel, fordi det er nem-
mere at opgøre den ægte opsparing end at opgøre den sam-
lede værdi af nationalformuen. Der kan for eksempel være
usikkerhed om den samlede mængde af oliereserverne i
Nordsøen, fordi der kan være uopdagede reserver. Omvendt
kræver en opgørelse af ægte opsparing alene, at man opgør
den reduktion i oliereserverne, som olieindvinding har bety-
det over perioden, hvilket er lettere at vurdere. Det kan også
være vanskeligt at fastsætte priser, der afspejler velfærds-
værdien af den samlede mængde af et aktiv. For vand vil
markedsprisen således afspejle velfærdsværdien af den sid-
ste enhed af vandressourcen, der forbruges, mens værdien af
de første enheder formodentlig er væsentligt højere og van-
skelige at vurdere. De ændringer i vandressourcen, der op-
gøres i forbindelse med ægte opsparing, vedrører netop de
sidst forbrugte enheder, hvis værdi er tæt på markedsværdi-
en og derfor lettere at vurdere.
165
SAU, Alm.del - 2016-17 - Bilag 133: Diskussionsoplæg 2017, fra Det Miljøøkonomiske Råd
1728070_0169.png
Ægte opsparing. Diskussionsoplæg. Økonomi og Miljø 2017
Boks III.1
Nationalformue, bæredygtighed og ægte opsparing
Nationalformuen
i bred forstand kan defineres med udgangspunkt i følgende sam-
fundsvelfærdsfunktion, jf. Arrow mfl. (2012):
1
(1 + )
=
(
)
, ≥ 0,
hvor er den samfundsmæssige diskonteringsrente. Ligningen udtrykker sam-
fundsvelfærden,
på tidspunkt som den tilbagediskonterede fremtidige strøm
af nytteniveauer, . Nytten til tidspunkt er en funktion af forbrugsvektoren .
Den omfatter alle goder, som mennesker tillægger en positiv eller negativ værdi,
herunder materielt forbrug, naturoplevelser osv. Forbruget i periode
s
er betinget
af det kapitalapparat i bred forstand, der er til rådighed i periode
s,
. Kapital-
apparatet omfatter i princippet alle typer af kapital, herunder det egentlige fysiske
kapitalapparat i betydningen bygninger og maskiner samt naturressourcer, viden
og humankapital mv. Da kapitalapparatet på ethvert tidspunkt betinger kapital-
apparatet på senere tidspunkter, kan samfundsvelfærden på tidspunkt
t
også ud-
trykkes direkte som en funktion af vektoren af alle aktiver
på tidspunkt
t:
= (
).
En
bæredygtig
udvikling er en udvikling, hvor samfundsvelfærden ikke falder
over tid (hvor
). Betingelsen for, at udviklingen på tidspunkt
t
er bære-
dygtig, er derfor, at
=
≥ 0,
,
,
,
,
hvor
,
er beholdningen af aktiv
i
til tidspunkt
t,
og
d
/d
,
er velfærdsværdien
af den marginale enhed af aktiv
i
til tidspunkt
t.
Betingelsen betyder, at den sam-
lede velfærdsvirkning af, at mængden af nogle aktiver stiger, skal være mindst
lige så stor som den samlede velfærdsvirkning af, at mængden af andre aktiver
falder, hvis udviklingen skal være bæredygtig.
166
SAU, Alm.del - 2016-17 - Bilag 133: Diskussionsoplæg 2017, fra Det Miljøøkonomiske Råd
1728070_0170.png
III.2 Bæredygtighed og ægte opsparing
Boks III.1
Nationalformue, bæredygtighed og ægte opsparing, fortsat
Den
ægte opsparing
mellem tidspunkterne
t
og
t+1
er defineret som den tilsva-
rende opgørelse af velfærdsvirkningen af ændringen i nationalformuens kompo-
nenter mellem de to tidspunkter:
,
=
,
,
,
hvor
er velfærdsværdien per enhed af den ændring af mængden af det pågæl-
dende aktiv, der sker i tidsperioden mellem tidspunkt
t
og tidspunkt
t+1.
På sam-
me måde som ovenfor vil en ikke-negativ ægte opsparing indikere, at udviklingen
over perioden har været bæredygtig.
Dog betydelige
udfordringer i
opgørelsen
Af disse grunde benyttes den ægte opsparing som indikator
for, om udviklingen er bæredygtig. Der er imidlertid fortsat
betydelige metodiske og praktiske udfordringer ved at op-
gøre den ægte opsparing.
Metodiske udfordringer knyttet til substituerbarhed
Ringe
substitutions-
muligheder
en væsentlig
problemstilling
En korrekt prissætning af ændringen i de forskellige aktiver
er afgørende for, at opgørelsen af den ægte opsparing er
retvisende. Her udgør aktiver, der vanskeligt kan substitu-
eres med andre, en særlig udfordring. Det skyldes, at vel-
færdsværdien af den sidste (marginale) enhed af et sådant
aktiv kan være stærkt afhængig af den mængde af dette
aktiv, som er til rådighed.
Et eksempel herpå kunne være, at temperaturstigninger som
følge af CO
2
-udledninger over bestemte niveauer kan med-
føre uoprettelige og uoverskuelige skader. For klimakapi-
talen gælder således, at den potentielt kan nærme sig en
kritisk grænse. I nærheden af en sådan grænse vil der være
stor usikkerhed om den pris, hvormed ændringer i aktiv-
mængden bør indregnes i den ægte opsparing.
Ofte vil der være usikkerhed om, hvor den kritiske grænse
er. Her vil brug af forsigtighedsprincippet tilsige, at man bør
tillægge en høj værdi til reduktioner i det pågældende aktiv.
Hvis der er vigtige aktiver, hvis beholdning er på vej til at
blive reduceret ned mod deres kritiske grænse, kan der der-
167
Det gælder
eksempelvis
drivhusgasser
Forsigtigheds-
princip ved
kritiske grænser
SAU, Alm.del - 2016-17 - Bilag 133: Diskussionsoplæg 2017, fra Det Miljøøkonomiske Råd
1728070_0171.png
Ægte opsparing. Diskussionsoplæg. Økonomi og Miljø 2017
for sættes spørgsmålstegn ved, om en simpel beregning af
den ægte opsparing er tilstrækkelig til at vurdere bæredyg-
tigheden. Her kan det være relevant i tillæg at kræve en
ikke-faldende (bæredygtig) udvikling for hver enkelt af
disse aktiver.
Ægte opsparing
kan ikke stå alene
Derfor bør opgørelser af ægte opsparing suppleres med en
vurdering af, hvorvidt der er nogle typer naturkapital, som
er væsentligt reduceret, og om der i så fald er risiko for, at
pågældende naturkapital er på vej ned mod en kritisk grænse.
Øvrige metodiske udfordringer knyttet til priser
Udgangspunkt i
markedspriser
I prissætningen af udviklingen i de forskellige kapitalgoder
anvendes som udgangspunkt markedspriser, når disse find-
es. Dette er på linje med sædvanlige nationalregnskabs-
principper. Markedspriser er en indikator for værdien af
ændringer i beholdningen af et aktiv (marginalværdien). Det
er netop marginalværdien, som skal anvendes i forbindelse
med en opgørelse af ægte opsparing, jf. boks III.1. Mar-
kedspriser repræsenterer ikke nødvendigvis den sande sam-
fundsøkonomiske værdi på grund af afgifter, subsidier og
markedsfejl, men af praktiske grunde tages udgangspunkt i
markedspriser.
En række goder, herunder en stor del af naturkapitalen og
klimaet, er imidlertid ikke prissat på et marked. I disse til-
fælde er det nødvendigt særskilt at vurdere og så vidt muligt
medtage værdien af de ikke-markedsmæssige afkast. I nogle
tilfælde kan værdien af ændringer i et naturgode baseres på
observeret adfærd. Det gælder f.eks. for brugsværdien af
nye rekreative områder, som kan opgøres ud fra antallet af
besøgende og de besøgendes rejseomkostninger. Der kan
dog være stor usikkerhed knyttet til opgørelsen af prisen på
nogle typer naturkapital. Det gælder bl.a. for udledningen af
drivhusgasser, hvor de samlede effekter på klimaet og de
afledte økonomiske konsekvenser er behæftet med stor
usikkerhed. Som tidligere beskrevet gør det sig især gæld-
ende, hvis et aktiv kommer tæt på en kritisk grænse, hvor
omkostningen af en yderligere reduktion i beholdningen kan
være uendelig stor.
Naturkapital ofte
ikke prissat på et
marked
168
SAU, Alm.del - 2016-17 - Bilag 133: Diskussionsoplæg 2017, fra Det Miljøøkonomiske Råd
1728070_0172.png
III.2 Bæredygtighed og ægte opsparing
Af praktiske
grunde anvendes
faste priser
Værdien af ændringer i mængden af forskellige aktiver bliv-
er i kapitlet af praktiske grunde opgjort i faste priser (2010-
priser). Det skyldes, at det i praksis er meget ressource-
krævende at beregne ændringer i relative priser på alle kapi-
talgoder, vi er afhængige af – ikke blot med hensyn til var-
er, vi er nettoeksportører af som olie og gas fra Nordsøen,
men også eksempelvis alle mineraler, som vi er nettoimpor-
tører af. Anvendelsen af faste priser er i overensstemmelse
med den normale fremgangsmåde i litteraturen om ægte
opsparing, jf. blandt andet Arrow mfl. (2012).
Anvendelsen af faste priser kan imidlertid give en unøjagtig
sammenvejning af de forskellige kapitalgoder. Hvis prisen
på et gode stiger i forhold til de øvrige goder, f.eks. fordi
knapheden på det pågældende gode øges, vil betydningen af
ændringen i dette kapitalgode blive overvurderet i tiden før
basisåret og undervurderet i tiden efter. Det omvendte gør
sig gældende, hvis den relative pris på et kapitalgode falder.
Dette er ikke mindst vigtigt for et gode som klimaet, der er
blevet systematisk forringet i den betragtede periode. Miljø-
økonomer regner derfor også med, at den relative skades-
værdi ved udledningen af et ton CO
2
stiger systematisk over
tid – en effekt, der ikke indgår i beregningerne nedenfor. Jo
dårligere substitutionsmulighederne er mellem forskellige
kapitalgoder, jo større kan disse relative prisændringer for-
ventes at blive.
Udover værdisætningen af den løbende ændring i hvert
aktiv vil ændringer i relative priser på aktiverne også gene-
rere kapitalgevinster og -tab. Ejere af aktiver, hvis priser
stiger relativt til andre goder, vil få en gevinst. Danmark er
eksempelvis nettoeksportør af olie. En stigende oliepris vil
forøge værdien af olien, der findes i Nordsøen, hvilket vil
øge Danmarks samlede nationalformue. For lande, som er
nettoimportører af olie, vil en stigning i olieprisen til gen-
gæld give et tab i den samlede nationalformue. Tilsvarende
vil Danmarks fremtidige velfærd blive påvirket af eventuel-
le prisstigninger eller -fald på varer, som vi importerer som
eksempelvis jern og andre metaller. Disse kapitalgevinster
og -tab bliver ikke medregnet ved en opgørelse af den ægte
opsparing i faste priser.
Faste priser ikke
uproblematisk
Opgørelse i
faste priser
medtager ikke
kapitalgevinster
169
SAU, Alm.del - 2016-17 - Bilag 133: Diskussionsoplæg 2017, fra Det Miljøøkonomiske Råd
1728070_0173.png
Ægte opsparing. Diskussionsoplæg. Økonomi og Miljø 2017
Diskonteringsrate
på 3 pct.
Ved fastlæggelse af værdien af nogle aktiver er det nødven-
digt at beregne værdien af aktivet med udgangspunkt i skøn
for de fremtidige afkast af aktivet. Disse afkast tilbage-
diskonteres med en realrente på 3 pct. Denne rente bruges
normalt af De Økonomiske Råds formandskab i forbindelse
med langsigtede beregninger af f.eks. finanspolitisk hold-
barhed og i forbindelse med miljøøkonomiske analyser.
Metodiske udfordringer knyttet til at opgøre mængder
Ægte opsparing
omfatter i praksis
ikke alle aktiver
I princippet bør opgørelsen af ægte opsparing medtage æn-
dringer i alle aktiver, som påvirker den menneskelige vel-
færd. Der er imidlertid en række aktiver, der potentielt kan
være vigtige for vores fremtidige velfærd, men hvor man
ikke med rimelighed kan kvantificere ændringen i mængden
af aktivet (eller anslå en pris). Det er eksempelvis ikke fun-
det muligt i forbindelse med dette kapitel at opgøre de fulde
ændringer i omfanget af biodiversitet, som potentiel har stor
betydning for velfærden.
De ikke-kvantificerbare aktiver kan være lige så vigtige for
en bæredygtig samfundsudvikling, som de kvantificerbare
aktiver. Det er vigtigt at være opmærksom på i forbindelse
med tolkningen af konkrete opgørelser af ægte opsparing.
Nærværende opgørelse af den ægte opsparing har til formål
at måle, hvorvidt danskernes forbrugsmuligheder (i bred
forstand) er steget eller faldet over tid, uanset om årsagerne
til en ændring skyldes en udvikling i Danmark eller kan
henføres til den omgivende verden. Danskerne er i høj grad
selv herre over, om beholdningen af vigtige aktiver som
fysisk kapital (maskiner og bygninger) og humankapital
stiger eller falder. Vi bliver dog også påvirket af verden
omkring os. Det gælder f.eks. ved grænseoverskridende
forurening (klimaforandringer og luftforurening) og i for-
hold til den globale opbygning af viden, som øger vores
produktivitet. Disse forhold påvirker også den danske be-
folknings fremtidige velfærd og bør derfor også indregnes i
den ægte opsparing for Danmark.
Udeladte aktiver
kan være vigtige
Grænse-
overskridende
påvirkninger
170
SAU, Alm.del - 2016-17 - Bilag 133: Diskussionsoplæg 2017, fra Det Miljøøkonomiske Råd
1728070_0174.png
III.2 Bæredygtighed og ægte opsparing
Ægte opsparing
bør ideelt set
tage højde for
befolkningsvækst
I kapitlet opgøres den ægte opsparing for årene 1980 til
2015. I denne periode er befolkningen i Danmark steget fra
ca. 5,1 til 5,7 mio. indbyggere. Det ville derfor være rele-
vant at betragte udviklingen i den ægte opsparing pr. indi-
vid. Hvis vækstraten i nationalformuen (i bred forstand) er
lavere end vækstraten i befolkningen, vil de fremtidige ge-
nerationers forbrugsmuligheder pr. individ blive reduceret. I
kapitlet beregnes dog kun værdien af de
ændringer
i de
enkelte formuegoder, der har fundet sted i perioden, men
ikke
niveauet
for den samlede formue. Det er næppe muligt
at beregne et meningsfuldt skøn for den totale værdi af natu-
ren, og dermed er det i praksis umuligt at beregne den sam-
lede formue inklusive naturkapital. Dermed er det heller
ikke muligt at beregne vækstraten i formuen, og dermed
heller ikke hvordan formuen pr. capita har udviklet sig i
perioden.
Ægte opsparing og grønt nationalregnskab
Grønt
nationalregnskab
Ægte opsparing er et element, der naturligt indgår i det bre-
dere begreb “grønne nationalregnskaber”. Det betegner et
system af delregnskaber i tilknytning til det traditionelle
nationalregnskab, der supplerer dette og giver et mere dæk-
kende billede af såvel den økonomiske som den miljømæs-
sige udvikling, jf. Gravgård (2013). Grønne nationalregn-
skaber indeholder typisk en opgørelse af sammenhængen
mellem produktion/forbrug og en række miljøeffekter.
4
Grønne nationalregnskaber kan være et godt redskab til at
lave analyser af samspillet mellem økonomi og miljø. Dan-
marks Statistik har siden 2013 arbejdet med at opstille et
grønt nationalregnskab. Hvis man på et tidspunkt når frem
til at have et komplet monetariseret grønt nationalregnskab,
vil den ægte opsparing naturligt fremgå heraf som pendant-
en til den traditionelt opgjorte nationale opsparing i det
traditionelle nationalregnskab.
4)
Danmarks Statistiks grønne nationalregnskaber er beskrevet i
www.dst.dk/da/Statistik/dokumentation/groent-nationalregnskab.
171
SAU, Alm.del - 2016-17 - Bilag 133: Diskussionsoplæg 2017, fra Det Miljøøkonomiske Råd
1728070_0175.png
Ægte opsparing. Diskussionsoplæg. Økonomi og Miljø 2017
III.3 Miljøgoder
Indhold i afsnit
I dette afsnit vurderes betydningen for den ægte opsparing
af udviklingen i klimaproblemerne, anden luftforurening og
tilstanden af grundvandet i Danmark.
Klimakapital
Klimaændringer
nok det vigtigste
miljøproblem
Det vigtigste enkeltstående miljøproblem er sandsynligvis
klimaforandringerne. Der udledes hvert år på hele kloden
store mængder drivhusgasser, som akkumuleres i atmosfæ-
ren og medfører globale klimaændringer. Udledningen af
drivhusgasser i dag påvirker dermed den fremtidige sam-
fundsvelfærd og har potentielt stor betydning for den ægte
opsparing. Da drivhusproblemet er et globalt forurenings-
problem, er virkningen af et ton udledte drivhusgasser den
samme, uanset hvor i verden udledningen finder sted. Den
udledning, der finder sted i Danmark, er derfor af helt mar-
ginal betydning, når den formodede virkning for Danmark
af drivhuseffekten skal kvantificeres. Det, der betyder no-
get, er den samlede globale udledning af drivhusgasser og
betydningen heraf for danskernes økonomi og velfærd.
Drivhusgasserne i atmosfæren udgør en beholdning. Udled-
ning af eksempelvis et ton CO
2
i dag indebærer derfor ska-
desomkostninger i mange år fremover. Effekten formind-
skes dog gradvis over tid, idet CO
2
-molekylerne efterhånd-
en absorberes fra atmosfæren pga. forskellige biokemiske
processer (kulstofkredsløbet). Når udviklingen i den danske
“klimakapital” skal opgøres, bør man derfor tage udgangs-
punkt i ændringen i koncentrationen af drivhusgasser i at-
mosfæren (udledninger fratrukket “nedslidningen”), prissat
med en passende vurdering af omkostningen herved for
vores velfærd.
Den vigtigste drivhusgas er kuldioxid, men derudover ud-
ledes der også andre vigtige drivhusgasser. Blandt de vig-
tigste er metan og lattergas. I Verdensbankens opgørelse
over udledninger af drivhusgasser stod CO
2
for 66 pct. af
alle de målte drivhusgasser (omregnet til CO
2
-ækvivalenter)
i 2012, mens metan stod for 15 pct. og lattergas for 6 pct.
Derudover findes bl.a. CFC-gasser. Ifølge Verdensbanken
Afhænger af
koncentrationen
af drivhusgasser i
atmosfæren
CO
2
, metan og
lattergas er de
vigtigste
drivhusgasser
172
SAU, Alm.del - 2016-17 - Bilag 133: Diskussionsoplæg 2017, fra Det Miljøøkonomiske Råd
1728070_0176.png
III.3 Miljøgoder
udgjorde de samlede udledninger af drivhusgasser (opgjort i
CO
2
-ækvivalenter) godt 33 gigaton i 1980, stigende til godt
53 gigaton i 2012, jf. figur III.1. Koncentrationen af driv-
husgasser i atmosfæren omregnet til CO
2
-ækvivalenter vok-
sede fra 385 ppm i 1980 til 485 ppm (andele per million) i
2015 ifølge USA’s National Oceanic and Atmospheric Ad-
ministration. Det svarer til en gennemsnitlig vækst på godt
�½ pct. årligt i perioden eller en årlig stigning på 22 gigaton.
Figur III.1
Gigaton
60
50
40
30
20
10
0
1980
1985
Koncentration, ændringer heri og udlednin-
ger for drivhusgasser
ppm
600
500
400
300
200
100
1990
1995
2000
2005
2010
2015
0
Koncentration (h. akse)
Udledninger
Ændring i koncentration
Anm.:
Kilde:
Ppm står for andele per million (parts per million). Koncentra-
tionsændringerne antager kun 4 diskrete værdier i perioden,
svarende til enten 2, 3, 4 eller 5 ppm. 1 ppm svarer til 7,81 gi-
gaton. I 1988 overstiger den angivne ændring i koncentrationen
de angivne udledninger. Det kan skyldes afrunding, forskellige
opgørelsesmetoder eller ikke-lineariteter i de forskellige driv-
husgassers kredsløb. Verdensbankens opgørelse af udledninger
går til og med 2012.
Verdensbanken, Global Monitoring Division of the National
Oceanic and Atmospheric Administration og egne beregninger.
Meget stor
usikkerhed om
retvisende pris
Mens der er relativt sikre data for koncentrationen af driv-
husgasser, er der meget stor usikkerhed om, hvad en ret-
visende prissætning er. Det gælder både de gennemsnitlige
globale skader og de specifikt danske skadesvirkninger ved
en given klimaudvikling. Der findes enkelte studier for mu-
lige effekter i Danmark af ændrede klimaforhold på speci-
173
SAU, Alm.del - 2016-17 - Bilag 133: Diskussionsoplæg 2017, fra Det Miljøøkonomiske Råd
1728070_0177.png
Ægte opsparing. Diskussionsoplæg. Økonomi og Miljø 2017
fikke områder som landbrug, jf. f.eks. Olesen (2006), men
ikke nogen samlet økonomisk kvantificering af de mange
forhold, der kan tænkes at ændre sig.
Mange studier
giver et bud på
de globale
omkostninger
For de formodede globale skadesvirkninger er situationen
en anden. Der findes en omfattende økonomisk litteratur,
der forsøger at opgøre de globale omkostninger ved driv-
husproblemet. I oversigtsstudiet Tol (2013) henvises således
til 75 studier med i alt 588 estimater af de marginale om-
kostninger ved CO
2
-udledninger under forskellige forud-
sætninger. I gennemsnit giver de en omkostning på 268 kr.
for et ton CO
2
i 2010-priser (den såkaldte SCC –
social cost
of carbon).
Opgørelserne adskiller sig på mange måder,
men indregner typisk formodede konsekvenser af klima-
ændringer for landbrugs- og skovbrugsproduktion, vand-
ressourcer, kystområder, energiforbrug, luftkvalitet, betyd-
ningen af ekstreme vejrfænomener som storme samt direkte
helbredseffekter. En række af disse virkninger kan være
både positive og negative. Især for ret moderate stigninger i
temperaturen beregner nogle studier således, at visse områ-
der kan opleve en nettogevinst ved et varmere klima.
Fælles for de fleste af studierne er, at der er en række mu-
lige konsekvenser af klimaændringer, som ikke medtages i
beregningerne. Det gælder bl.a. indregning af muligheden
for ekstreme klimascenarier som ændringer i havstrømme
eller et massivt udslip af metan fra smeltende permafrost.
Her er tale om fænomener, som anses for at være usandsyn-
lige, men dog ikke helt kan udelukkes, og som kan have
store konsekvenser, hvis de indtræffer. Samtidig behandler
de fleste scenarier kun perioden frem til 2100, selvom na-
turvidenskabelige undersøgelser peger på, at klimaeffekt-
erne vil vokse over tid og måske endda accelerere efter
2100, jf. Tol (2013). Ved ikke at medtage konsekvenser
efter dette århundrede undervurderes omkostningerne, især
hvis diskonteringsraten er beskeden.
Der er mange forskellige årsager til de meget forskellige
skøn, og Tol opdeler derfor studierne i undergrupper efter
diverse kriterier. En af de vigtige forskelle går på, hvilken
tidspræferencerate de forskellige studier anvender. Da om-
kostningerne ved at udlede et ton CO
2
i eksempelvis 2015
Beregningerne
tager ikke højde
for alt
Tidspræference-
raten er én
afgørende faktor
174
SAU, Alm.del - 2016-17 - Bilag 133: Diskussionsoplæg 2017, fra Det Miljøøkonomiske Råd
1728070_0178.png
III.3 Miljøgoder
indfinder sig mange år ude i fremtiden, er det afgørende,
hvordan disse omkostninger tilbagediskonteres til udled-
ningsåret. Et af de vigtige elementer i diskonteringsraten er
tidspræferenceraten, altså hvor meget mindre vægt man
lægger på fremtidig velfærd i forhold til nutidig velfærd.
Mange af studierne i Tol (2013) anvender en tidspræferen-
cerate på tre procent, hvilket medfører en relativt høj samlet
diskonteringsrate, jf. De Økonomiske Råds formandskab
(2012). Det virker dog i modstrid med en målsætning om
bæredygtighed at lægge mindre vægt på fremtidige genera-
tioners velfærd, udelukkende fordi disse lever på et senere
tidspunkt. Derfor tages her udgangspunkt i den delmængde
af studierne, som anvender en tidspræferencerate på 0.
386 kr. anvendes
som centralt skøn
for SCC
En anden underopdeling, som Tol foretager, er i studier, der
har været underkastet en videnskabelig fagfællebedømmel-
se, og studier, der (endnu) ikke har. En sådan bedømmelse
anses normalt for at give en vis garanti for videnskabelig
kvalitet. I alt optræder 101 beregninger, der lever op til beg-
ge kriterier. Inden for denne undergruppe er den laveste pris
tæt ved 0 kr. pr. ton CO
2
, den højeste over 11.000 kr., og
gennemsnittet ligger på USD 69 eller 386 kr. pr. ton CO
2
(stadig i 2010-priser). Denne gennemsnitlige pris anvendes
som udgangspunkt for betydningen af klimaproblemerne i
beregningen af den ægte opsparing. Det bør imidlertid gen-
tages, at der er en ekstremt stor usikkerhed mht. størrelsen
af de formodede omkostninger ved drivhusproblemet.
I USA har den amerikanske regering i de seneste år anvendt
et officielt skøn for den (globale) marginale omkostning ved
udledning af et ton CO
2
. Den udarbejdes og opdateres jævn-
ligt af en tværministeriel arbejdsgruppe på baggrund af be-
regninger med tre af de førende klimaøkonomiske modeller
(såkaldte integrated assessment models eller IAM-modeller:
DICE, FUND og PAGE). I den senest opdaterede version
finder de en SCC på USD 31 (2007-priser) for udledninger
foretaget i 2010, jf. Interagency Working Group (2016). I
beregningen bag dette tal er anvendt en diskonteringsrate på
3 pct. I De Økonomiske Råds formandskab (2016) blev
anvendt data fra denne arbejdsgruppe, der har den fordel, at
de også beregner bud på SCC i fremtidige år frem til 2050.
USA’s regering
anvender et
lavere skøn
175
SAU, Alm.del - 2016-17 - Bilag 133: Diskussionsoplæg 2017, fra Det Miljøøkonomiske Råd
1728070_0179.png
Ægte opsparing. Diskussionsoplæg. Økonomi og Miljø 2017
I klimamodellen
DICE er
skadesværdien
markant
oprevideret i 2016
Der er i de senere år kommet mange nye bud på SCC-
værdier, og ny forskning kan hurtigt ændre billedet af de
skønnede omkostninger ved klimaproblemet. I den seneste
version af den anerkendte amerikanske klimamodel DICE
foretages en relativt kraftig oprevision, jf. Nordhaus (2016).
Nordhaus’ centrale skøn ændres her fra USD 17 i den tidli-
gere DICE-version (fra 2013) til USD 31 for udledninger
foretaget i 2015, svarende til en stigning på 83 pct. Nord-
haus rapporterer også, hvad SCC ifølge DICE nu vil være
under den amerikanske regerings beregningsforudsætninger
inklusive en diskonteringsrate på 3 pct. Her fås i den nye
DICE en værdi på USD 87 mod tidligere USD 50 (2020-
udledninger).
I de senere år har adskillige bidrag fokuseret på, om de tra-
ditionelt anvendte klimamodeller i tilstrækkelig grad tager
højde for risikoen for mere ekstreme klimascenarier med
katastrofale konsekvenser. En række forskere argumenterer
for, at klimaproblemerne bør analyseres ved anvendelsen af
en samfundsvelfærdsfunktion, der udtrykkeligt tager højde
for, at graden af usikkerhed om et problems størrelse kan
have meget stor betydning for, hvor meget man rationelt vil
ønske at gøre for at forebygge problemet. Det kan bl.a. gø-
res med de såkaldte Epstein-Zin-præferencer, jf. bl.a. Barro
(2015) og diskussionen i De Økonomiske Råds formand-
skab (2015). Anvendelsen af sådanne præferencer kan føre
til markant højere vurderinger af de samfundsøkonomiske
omkostninger ved drivhusgasudledninger, jf. Daniel mfl.
(2016).
En anden tilgang til SCC foretages af den anerkendte øko-
nom Robert Pindyck i et nyligt studie. Han tager udgangs-
punkt i, at den helt afgørende potentielle klimaomkostning
er risikoen for en katastrofisk udvikling, defineret som ska-
desvirkninger på over 20 pct. af globalt BNP. Han foretager
derfor et rundspørge blandt mere end 500 videnskabsfolk og
eksperter, der har lang erfaring med klimaarbejde, om deres
vurdering af sådanne risici. Afhængigt af, om man ser bort
fra outliere (de mest ekstreme svar) eller ej, og om man
begrænser sig til svar fra eksperter, der udtrykker en høj
grad af tillid til deres egne svar, kommer Pindyck på bag-
grund heraf frem til forskellige SCC-vurderinger. Med en
Nye bidrag peger
på betydelig
højere
vurderinger
Rundspørge
blandt eksperter
leder til skøn på
op til ca. 200
dollar
176
SAU, Alm.del - 2016-17 - Bilag 133: Diskussionsoplæg 2017, fra Det Miljøøkonomiske Råd
1728070_0180.png
III.3 Miljøgoder
relativt snæver afgrænsning får han værdier på omkring
USD 80 og med en bredere afgrænsning værdier i størrel-
sesordenen USD 200, jf. Pindyck (2016).
Det anvendte
skøn kan være
konservativt
Der ser således ud til blandt klimaøkonomer at være en vis
bevægelse i retning af en større vægt på værdien af at redu-
cere risikoen for katastrofale klimascenarier – situationer,
der nok har en lav sandsynlighed for at indtræffe, men kan
få meget store velfærdskonsekvenser, hvis de indtræffer, jf.
Havranek mfl. (2015). Det er i modsætning til de tidligere
traditionelt anvendte klimamodeller og -beregninger, hvor
omkostningerne primært beregnes ud fra mere sikre, men
typisk mindre skadelige forventninger til de økonomiske
konsekvenser af ændrede klimaforhold. Da den her anvend-
te CO
2
-pris som nævnt bygger på et litteraturstudie fra
2013, indregner prisen ikke disse allernyeste vurderinger.
Selvom prisen er væsentligt højere end den anvendte i De
Økonomiske Råds formandskab (2012), kan den derfor
stadig tænkes at udgøre et konservativt skøn for den nuvæ-
rende klimaøkonomiske opfattelse af skadesvirkningerne
ved udledninger af drivhusgasser.
Anvendes den nævnte pris på 386 kr. pr. ton CO
2
, kan de
globale omkostninger ved et års udledning af drivhusgasser
og dermed nedgangen i den globale klimakapital beregnes.
Næste skridt er at give et skøn for, hvor stor en del af denne
omkostning der tilfalder Danmark. Det er valgt at antage, at
Danmarks andel af de samlede globale omkostninger svarer
til Danmarks andel af globalt BNP. De formodede skades-
virkninger af den globale opvarmning vil ofte være korre-
leret med velstandsniveauet i de enkelte lande; kapital-
apparatet, der kan blive udsat for skader, er således større i
rige lande, ligesom værdisætningen af et statistisk liv typisk
vil være højere.
5
Danmarks andel
af de samlede
globale
omkostninger
5)
Der er anvendt almindelige valutakurser til at beregne Danmarks
andel af globalt BNP i stedet for købekraftskorrigerede. Isoleret
set er det mere korrekt at købekraftskorrigere såvel denne som
den tidligere nævnte anvendte CO
2
-pris (SCC), hvorved man vil
få samme slutresultat, som hvis der ikke købekraftskorrigeres.
177
SAU, Alm.del - 2016-17 - Bilag 133: Diskussionsoplæg 2017, fra Det Miljøøkonomiske Råd
1728070_0181.png
Ægte opsparing. Diskussionsoplæg. Økonomi og Miljø 2017
Regionale
variationer i EU:
Hidtidige studier
bygger på
begrænset
grundlag
Der kan desuden være en række særlige forhold, der bevir-
ker, at et lands andel af de samlede globale skader er enten
større eller mindre end landets samlede velstandsandel.
Mængden af kyststrækninger og beliggenheden i forhold til
klimazoner er således to vigtige forhold. Ciscar mfl. (2011)
forsøger at dekomponere virkningerne for forskellige EU-
regioner af en generel stigning i temperaturen. De finder, at
mens de fleste EU-lande vil lide nettovelfærdstab ved de
undersøgte temperaturstigninger, vil “Nordeuropa” (som her
ikke omfatter Danmark, men Sverige, Finland og de baltiske
lande) som den eneste region få en økonomisk nettogevinst
af de effekter, undersøgelsen medtager. “Nordlige Central-
europa” (Tyskland, Polen, Belgien og Holland) vil opleve
nettotab, men i mindre omfang end de sydeuropæiske EU-
lande. En nylig rapport fra Det Europæiske Miljøagentur
konkluderer ligeledes, at omkostningerne for Europa gene-
relt vil være højest i de sydeuropæiske lande, jf. Det Euro-
pæiske Miljøagentur (2017). Rapporten påpeger dog også,
at der er stor usikkerhed i disse regionale vurderinger, og at
de bygger på en ret begrænset delmængde af de omkost-
ninger på mange forskellige områder, der kan blive resultat-
et af klimaforandringerne.
Mens der findes en række regionale beregninger af, hvordan
forskellige dele af verden og Europa kan tænkes at blive
ramt af en given temperaturstigning, eksisterer der så vidt
vides ikke nogen samlet økonomisk opgørelse på lande-
niveau for Danmark. Mens nogle undersøgelser tyder på, at
eksempelvis den danske landbrugsproduktion kan opleve et
forøget udbytte ved en moderat temperaturstigning, trækker
Danmarks meget kystnære territorium modsat i retning af
relativt høje klimaomkostninger. Da disse forhold er over-
ordentlig vanskelige at kvantificere, er der ikke foretaget
nogen korrektion herfor.
Med de anførte antagelser udgør nedsparingen i Danmarks
klimakapital i 1980-2015 i gennemsnit 3,2 pct. af BNP år-
ligt, jf. boks III.2 og figur III.2. Det ses, at omkostningerne
ved udledningerne udviser en faldende tendens over tid. Det
skyldes, at Danmarks BNP er steget, samtidig med at der er
anvendt en fast pris på omkostningen ved udledningerne i
alle årene.
Ikke oplagt,
hvordan
Danmark
rammes relativt
til andre
Samlet
nedsparing i
klimakapital på
godt 3 pct. årligt
178
SAU, Alm.del - 2016-17 - Bilag 133: Diskussionsoplæg 2017, fra Det Miljøøkonomiske Råd
1728070_0182.png
III.3 Miljøgoder
Boks III.2
Metode: Klima
Nedsparingen i klimakapital i pct. af BNP er beregnet på følgende måde:
=
,
∙ ∆
,
hvor
∆W
t
er formindskelsen af værdien af klimakapitalen i år
t,
,
er Danmarks
andel af de samlede globale omkostninger,
p
er omkostningen ved en forøgelse af
atmosfærens indhold af et ton CO
2
(SCC) i 2010, og
∆k
t
er ændringen i koncen-
trationen af drivhusgasser i atmosfæren i år
t,
målt i gigaton CO
2
-ækvivalenter.
FY
t
er BNP i 2010-priser.
Den danske andel af de samlede globale omkostninger antages at være lig med
Danmarks andel af globalt BNP i det pågældende år, beregnet ud fra tal fra Ver-
densbanken og opgjort ved almindelige valutakurser.
Omkostningen ved at udlede et ton CO
2
(SCC) i 2010 antages at være USD 68,7
eller DKK 386. Det er gennemsnittet af værdien i de 101 scenarier i oversigtsar-
tiklen af Tol (2013), som dels er fagfællebedømt og dels har en tidspræferencerate
på 0.
Ved opgørelsen af ændringen i den årlige koncentration af drivhusgasser i atmos-
færen omregnet til CO
2
-ækvivalenter anvendes data fra den amerikanske Global
Monitoring Division of the National Oceanic and Atmospheric Administration, en
videnskabelig institution under det amerikanske handelsministerium.
179
SAU, Alm.del - 2016-17 - Bilag 133: Diskussionsoplæg 2017, fra Det Miljøøkonomiske Råd
1728070_0183.png
Ægte opsparing. Diskussionsoplæg. Økonomi og Miljø 2017
Figur III.2
Opsparing i klimakapital
Pct. af BNP
0
Opsparing
-1
Gennemsnit
-2
-3
-4
-5
-6
-7
-8
1980
1985
1990
1995
2000
2005
2010
2015
Anm.:
Kilde:
I beregningen antages, at den reale CO
2
-pris på 386 kr. i 2010-
priser er konstant i alle år.
Global Monitoring Division of the National Oceanic and At-
mospheric Administration og egne beregninger.
Omkostningerne
ved udledninger
stiger realt over
tid
Beregningen tager dermed ikke hensyn til, at omkostningen
normalt forventes at være stigende over tid. En stor del af
skadesomkostningerne kan forventes at stige realt over tid i
takt med de generelle velstandsstigninger i økonomien.
Eksempelvis er værdisætningen af et statistisk liv klart kor-
releret med indkomstniveauet. Samtidig vil de marginale
skadesomkostninger generelt være stigende, når klima-
problemet vokser i takt med, at koncentrationen af drivhus-
gasser stiger.
Ofte vurderes det, at omkostningen ved at udlede et ton CO
2
stiger i omegnen af 2-3 pct. årligt ud over den almindelige
inflation. I den meget anvendte økonomiske klimamodel
DICE udviser velfærdsomkostningerne således en real pris-
stigning på CO
2
på 3 pct. årligt, jf. Nordhaus (2014). Antag-
es en sådan real prisstigning over tid, fås i stedet udvikling-
en i figur III.3. Her er omkostningerne målt som andel af
BNP lavere i perioden indtil 2010 og højere i perioden efter
2010. I gennemsnit over hele perioden er nedsparingen i
klimakapital nu lidt mindre, nemlig 2,2 pct.
Følsomhed med
real prisstigning
på 3 pct. årligt
180
SAU, Alm.del - 2016-17 - Bilag 133: Diskussionsoplæg 2017, fra Det Miljøøkonomiske Råd
1728070_0184.png
III.3 Miljøgoder
Figur III.3
Pct. af BNP
0.0
-0.5
-1.0
-1.5
-2.0
-2.5
-3.0
-3.5
-4.0
1980
Opsparing i klimakapital med real
prisstigning
Opsparing
Gennemsnit
1985
1990
1995
2000
2005
2010
2015
Anm.:
Kilde:
I beregningen er det antaget, at den reale omkostning ved at
udlede et ton CO
2
stiger med 3 pct. årligt.
Global Monitoring Division of the National Oceanic and At-
mospheric Administration og egne beregninger.
Sammenligning
med tidligere
analyse
I forhold til beregningen af nedsparingen i klimakapital i De
Økonomiske Råds formandskab (2012) er der foretaget flere
ændringer. Beregningerne tager nu udgangspunkt i en noget
højere global CO
2
-omkostning på 386 kr. pr. ton (i 2010-
priser) end den tidligere beregning, der anvendte 253 kr. pr.
ton (i 2005-priser). Forskellen skyldes, at der nu foreligger
et nyere sammenlignende studie af Tol, der resulterer i en
højere gennemsnitlig pris. En hovedårsag hertil er, at Tol
anvender en højere prisstigning i omregningen af CO
2
-
omkostninger end den anvendte i den tidligere undersøg-
else. Et væsentligt forhold, der trækker i modsat retning, er,
at der i nærværende beregning i modsætning til den tidligere
foretages et fradrag som følge af, at der også sker en løb-
ende absorbering af drivhusgasser fra atmosfæren. Endelig
antages i nærværende beregning modsat den tidligere, at
klimaskaderne for Danmark er proportionale med den dan-
ske andel af globalt BNP, hvilket også trækker i retning af,
at klimaet får mindre betydning for den samlede ægte op-
181
SAU, Alm.del - 2016-17 - Bilag 133: Diskussionsoplæg 2017, fra Det Miljøøkonomiske Råd
1728070_0185.png
Ægte opsparing. Diskussionsoplæg. Økonomi og Miljø 2017
sparing.
6
Samlet set medfører det en noget lavere værdi for
klimanedsparingen – godt 3 pct. af BNP årligt i stedet for
knap 6 pct., som var vurderingen i den tidligere opgørelse.
Lavere vurdering
end sidst trods
højere global
marginal
omkostning
Selvom den samlede omkostning for Danmarks ægte op-
sparing nu vurderes at være lavere end sidst, er det vigtigt at
være opmærksom på, at den nye beregning bygger på en
noget højere vurdering af den reale globale omkostning ved
ekstra udledning af CO
2
og andre drivhusgasser (SCC).
Udover den kendsgerning, at den marginale omkostning
stiger hvert år som følge af, at nye udledninger kommer
oveni en allerede ret høj koncentration i atmosfæren, er der
en tendens til, at nye klimaøkonomiske forskningsbidrag i
de seneste år har højere skadesvurderinger end tidligere
undersøgelser. Det betyder, at nationale og internationale
beregninger, der bygger på ældre priser, kan give et forkert
billede af den nuværende klimaøkonomiske state-of-the-art.
Det gælder også for beregningen i dette kapitel, der bygger
på en litteraturoversigt fra 2013. Verdensbankens bereg-
ninger af klimaskader, der er omtalt i afsnit III.1, anvender
priser fra Fankhauser (1994) på ca. USD 7 i 2005-priser, jf.
Verdensbanken (2011 og 2017) – et estimat, som Verdens-
banken ganske vist også selv betegner som “konservativt”. I
Verdensbankens beregninger har udledningen af klimagas-
ser derfor nærmest ingen nævneværdige konsekvenser for
de enkelte landes ægte opsparing.
Anden luftforurening
Fokus på
helbredseffekter
af luftforurening
Luftforurening påvirker menneskers helbred negativt og gør
skade på natur og bygninger. Luftforureningen stammer
primært fra menneskelige aktiviteter såsom landbrug, trans-
port, energiproduktion og boligopvarmning, men naturen er
også en kilde til luftforurening, eksempelvis gennem salt-
6)
I De Økonomiske Råds formandskab (2012) blev der anvendt en
korrektionsfaktor på 1,56 ved omregningen fra globale til danske
klimaomkostninger. Denne faktor stammer fra den regionale kli-
mamodel RICE, der giver et bud på klimaskaderne i Vesteuropa,
jf. Arrow mfl. (2012). Som nævnt er det denne gang vurderet, at
usikkerheden ved at vurdere de formodede fremtidige klima-
skader for Danmark relativt til resten af verden er for store til, at
det er fundet rimeligt at anvende en særlig faktor.
182
SAU, Alm.del - 2016-17 - Bilag 133: Diskussionsoplæg 2017, fra Det Miljøøkonomiske Råd
1728070_0186.png
III.3 Miljøgoder
partikler fra havet og skovbrande, jf. Brandt mfl. (2016a).
Da skaderne på natur og bygninger er svære at opgøre, und-
ersøges i den talmæssige opgørelse her kun helbredseffekter
af luftforurening.
7
Luftforurening
medfører tidlige
dødsfald
Grænse-
overskridende
problem
Luftforurening har betydelige negative effekter på hel-
bredet. Det skyldes primært øget dødelighed som følge af
langtidseksponering for partikler samt korttidseksponering
for ozon, jf. Brandt mfl. (2016b).
Koncentrationerne af forskellige typer luftforurening i
Danmark afhænger ikke kun af udledninger fra danske akti-
viteter, men i høj grad også af luftforurening fra udenland-
ske kilder. På samme måde forringer danske kilder til luft-
forurening også luftkvaliteten i landene omkring os. I 2013
blev de samlede helbredsomkostninger af luftforurenings-
koncentrationer i Danmark opgjort til ca. 39 mia. kr., jf. De
Økonomiske Råds formandskab (2016). Heraf skyldes 32
mia. kr. luftforurening fra udlandet, mens danske aktiviteter
skønnes at bidrage til en helbredsomkostning på 31 mia. kr.
i udlandet, jf. figur III.4.
Helbredsomkostningerne af luftforurening er beregnet af
DCE, Aarhus Universitet. Beregningerne er lavet i EVA-
modelsystemet (Economic Valuation of Air Pollution).
Denne model er baseret på den såkaldte “impact-pathway”-
metode. Denne metode estimerer de helbredsrelaterede eks-
terne omkostninger af luftforurening i en række beregnings-
led. Først beregnes koncentrationer af luftforurening på
baggrund af udledninger af forskellige stoffer. Herfra esti-
meres helbredseffekter af koncentrationerne på baggrund af
såkaldte eksponering-respons-funktioner baseret på epi-
demiologiske studier. Endelig værdisættes helbredsomkost-
ningen på baggrund af bl.a. en værdi af statistisk liv og le-
veår.
8
I opgørelsen af de afledte helbredsomkostninger ind-
går primære partikler, de sekundært dannede partikler sul-
7)
Omkostningerne forårsaget af luftforurening i form af nedslid-
ning af bygninger vil i princippet være medtaget i beregningen af
fysisk kapital, der netop omfatter værdien af bygningsmassen.
En nærmere gennemgang af modellen findes i Brandt mfl.
(2016a).
Model-
beregninger
af helbreds-
omkostninger
8)
183
SAU, Alm.del - 2016-17 - Bilag 133: Diskussionsoplæg 2017, fra Det Miljøøkonomiske Råd
1728070_0187.png
Ægte opsparing. Diskussionsoplæg. Økonomi og Miljø 2017
fat, nitrat og ammonium samt gasserne svovldioxid, kulmo-
noxid og ozon.
Figur III.4
Helbredsrelaterede omkostninger ved luft-
forurening til og fra Danmark
7 mia. kr.
32 mia. kr.
39 mia. kr.
31 mia. kr.
Anm.:
Kilde:
Beregningen bygger på udenlandske udledninger fra 2008 og
danske udledninger i 2013. Værdierne er opgjort i 2013-priser.
De Økonomiske Råds formandskab (2016).
Helbreds-
omkostning af
luftforurening
er faldet
Koncentrationerne af forurenende stoffer i luften er generelt
reduceret i perioden 1980-2015. Faldet har betydet, at antal-
let af dødsfald, der kan tilskrives danskernes eksponering
for luftforurening, er faldet i perioden. Det dækker over en
klar tilbagegang i antallet af dødsfald, primært blandt ældre
mennesker, som følge af en reduktion i udledningen af luft-
forurening i Danmark og det øvrige Europa. Omvendt har
antallet af dødsfald som følge af korttidseksponering af
ozon været svagt stigende i perioden på trods af en streng
regulering i EU siden 1990. Stigningen skyldes en øget
global udledning af de gasser, der bidrager til ozondannel-
sen, jf. Brandt mfl. (2016b). Faldet i antallet af dødsfald
som følge af luftforurening svarer til, at helbredsomkostnin-
184
SAU, Alm.del - 2016-17 - Bilag 133: Diskussionsoplæg 2017, fra Det Miljøøkonomiske Råd
1728070_0188.png
III.3 Miljøgoder
gen som følge af luftforurening er faldet fra ca. 80 mia. kr. i
1980 til 44 mia. kr. i 2015, jf. figur III.5.
9
Figur III.5
Eksterne helbredsomkostninger af luftforure-
ning i Danmark
Mia. kr. 2010-priser
100
90
80
70
60
50
40
30
20
10
0
1980
1985
1990
1995
2000
2005
2010
2015
Anm.:
Kilde:
Helbredsomkostningen er estimeret i EVA-modellen under
antagelse af en højere værdi af statistisk liv end anvendt i
Brandt mfl. (2016b). Udsvingene mellem de enkelte år skyldes
primært forskelle i vejret.
Ekstraberegning af Brandt mfl. (2016b).
Stor usikkerhed i
værdisætning af
helbreds-
omkostninger
Værdisætningen af helbredsomkostningerne af luftforu-
rening er ligesom for mange andre aktiver behæftet med
stor usikkerhed. Det gælder for beregningen af de præcise
effekter på sundhedstilstanden af luftforurening (de såkaldte
eksponering-respons-funktioner), ligesom den økonomiske
værdisætning af leveår også er usikker.
Det fremgår af ovenstående beregning, at de undersøgte
typer af luftforurening især tidligere har givet anledning til
9)
Helbredsomkostningerne præsenteret her er en ekstraberegning
med en højere værdi af statistisk liv end i resultaterne fremsat i
Brandt mfl. (2016b). I beregningen her anvendes en værdi af sta-
tistisk liv på 29 mio. kr. og en heraf afledt værdi af et tabt leveår
på ca. 800.000 kr. (2010-priser), jf. De Økonomiske Råds for-
mandskab (2016).
Påvirkning på
ægte opsparing
185
SAU, Alm.del - 2016-17 - Bilag 133: Diskussionsoplæg 2017, fra Det Miljøøkonomiske Råd
1728070_0189.png
Ægte opsparing. Diskussionsoplæg. Økonomi og Miljø 2017
meget betydelige helbredsomkostninger i Danmark. Det er
imidlertid ikke helt oplagt, hvordan disse omkostninger skal
indregnes i den ægte opsparing. Som forklaret i afsnit III.2
forsøger den ægte opsparing at indregne værdien af æn-
dringen i de beholdninger, der er relevante for vores frem-
tidige velfærd. Modsat klimaproblemet, hvor selve de ud-
ledte drivhusgasser akkumuleres i atmosfæren og dermed
udgør en mangeårig beholdning, har de luftforurenende
stoffer behandlet her en kort overlevelsestid i luften, typisk
på langt mindre end et år. Hvert års udledninger resulterer
dermed ikke i nogen egentlig fremtidig beholdning af “luft-
forureningskapital” i atmosfæren, som gør luften mere
usund at indånde i fremtidige år.
Reelt beregnes
påvirkningen af
sundhedskapital
Derimod akkumuleres partikler mv. i kroppen hos de per-
soner, der indånder dem, og kan forårsage skader i form af
sygdom og dødsfald mange år efter udledningen. I den for-
stand skader årets udledninger “sundhedskapitalen” i form
af befolkningens forventede fremtidige levealder. En given
dosis udledt luftforurening vil isoleret set reducere værdien
af sundhedskapitalen, fordi den formindsker befolkningens
levetid. Omkostningerne illustreret i figur III.5 kan ud fra
denne betragtning direkte opgøres som luftforureningens
(negative) bidrag til den ægte opsparing. Som andel af BNP
udgjorde det en nedsparing på godt 7 pct. i 1980 faldende til
godt 2 pct. i 2015, jf. figur III.6. Luftkvaliteten er forbedret i
perioden, og det negative bidrag fra luftforurening er derfor
reduceret meget betydeligt siden 1980. I gennemsnit over
hele perioden har bidraget beregnet på denne måde udgjort
en nedsparing på 4 pct. af BNP.
Dette resultat er noget højere end bidraget på -1,5 pct. af
BNP pr. år i perioden 1990-2010 fundet i De Økonomiske
Råds formandskab (2012). Det skyldes for det første en
højere anvendt værdi af statistisk liv (ca. dobbelt så høj); for
det andet er grundlaget for opgørelsen af koncentrationen af
luftforurening mere omfattende her.
10
Endelig forøger ind-
dragelsen af en længere årrække også den gennemsnitlige
10)
I De Økonomiske Råds formandskab (2012) foretoges kun bereg-
ninger for skader forårsaget af svovldioxid, kvælstofoxider og
ammoniak.
Større betydning
for ægte
opsparing end
tidligere beregnet
186
SAU, Alm.del - 2016-17 - Bilag 133: Diskussionsoplæg 2017, fra Det Miljøøkonomiske Råd
1728070_0190.png
III.3 Miljøgoder
nedsparing i hele perioden, da det negative bidrag var størst
i 1980-89.
Figur III.6
Opsparing i luftforurening
Pct. af BNP
0
Opsparing
-1
Gennemsnit
-2
-3
-4
-5
-6
-7
-8
-9
1980
1985
1990
1995
2000
2005
2010
2015
Anm.:
Kilde:
Helbredsomkostningerne som følge af eksponering af luftforu-
rening er beregnet i EVA-modellen med en højere værdi af sta-
tistisk liv og leveår i forhold til resultatet i Brandt mfl. (2016b).
Den anvendte værdi af statistisk liv og leveår er den samme
som beregnet i De Økonomiske Råds formandskab (2016).
Brandt mfl. (2016b), Danmarks Statistik, Statistikbanken og
egne beregninger
Beregningen
giver langtfra et
dækkende billede
af samlet
udvikling i
sundhedskapital
Det er vigtigt at være opmærksom på, at denne beregning
kun giver et meget partielt bidrag til vurderingen af udvik-
lingen i den samlede sundhedskapital. Sundhedskapitalen,
altså befolkningens størrelse, levealder og generelle sund-
hedstilstand, påvirkes af mange andre og mere betydnings-
fulde faktorer end luftforurening. Antallet af årlige fødsler
udgør således en overordentlig vigtig årlig nyinvestering i
sundhedskapitalen. I den betragtede periode er såvel befolk-
ningstallet som levealderen pr. person steget betydeligt, og
“opsparingen” i den samlede sundhedskapital har således
generelt været positiv i perioden og formodentlig af en meg-
et betydelig størrelsesorden. Det vil dermed alt andet lige
medføre en undervurdering af den samlede ægte opsparing,
hvis det her beregnede (negative) bidrag til sundhedskapi-
talen fra luftforurening indgår i det samlede regnestykke,
187
SAU, Alm.del - 2016-17 - Bilag 133: Diskussionsoplæg 2017, fra Det Miljøøkonomiske Råd
1728070_0191.png
Ægte opsparing. Diskussionsoplæg. Økonomi og Miljø 2017
men ikke de øvrige forhold, der påvirker sundhedskapitalen
og tilsammen giver et klart positivt bidrag. I afsnit III.5
foretages en illustrativ beregning, der demonstrerer, at den
samlede årlige udvikling i sundhedskapitalen kan udgøre et
meget stort positivt bidrag til den ægte opsparing.
En alternativ
betragtningsmåde
Som alternativ til den her foretagne beregning er det muligt
at anskue problemstillingen med luftforurening på en anden
måde, der ikke nødvendigvis medfører et negativt bidrag til
den ægte opsparing. Hvis man betragter den relevante kapi-
tal som den mængde skadelige affaldsstoffer fra luftforure-
ning, der er akkumuleret i kroppene hos den til ethvert tids-
punkt levende befolkning (”luftforureningskapital”), sker
der ikke blot en løbende tilgang som følge af ny forure-
ningsudledning, men også en løbende “nedslidning” som
følge af, at denne beholdning reduceres i takt med, at de
enkelte mennesker dør. Ud fra denne betragtning vil den
ægte opsparing fra luftforurening udgøre et positivt bidrag
til den samlede ægte opsparing, hvis tilgangen i form af
nyudledt forurening i et år er mindre end afgangen i form af
den akkumulerede tidligere forurening i kroppen hos årets
afdøde.
11
Dette kan tænkes at være tilfældet i den betragtede
periode, hvor luftforureningen generelt har været faldende.
Den først præsenterede tilgang, hvor bidraget til den ægte
opsparing fra luftforurening udelukkende beregnes som den
årlige udledte forurenings isolerede påvirkning af sund-
hedskapitalen, er dog den almindeligt anvendte metode til at
beregne bidraget til den ægte opsparing fra luftforurening.
Den følges således i Mota mfl. (2010), Verdensbanken
(2011), Ferreira og Moro (2011), Lindmark og Acar (2013),
De Økonomiske Råds formandskab (1998) og (2012) og
altså også i nærværende kapitel. Ifølge denne vil bidraget til
den ægte opsparing altid være negativt, men sker der en
mindskelse af forureningsproblemet, som det har været
tilfældet i den betragtede periode, slår det igennem i form af
Normalt
anvendes
sundhedskapital-
tilgangen
11)
Hvis virkningen af luftforureningen er øjeblikkelig og toksisk,
sådan at de forårsagede dødsfald finder sted samme år som ud-
ledningen, vil virkningen på den ægte opsparing under denne tan-
kegang pr. konstruktion være 0, idet der aldrig når at opstå en ak-
kumuleret “forureningskapital” i befolkningens kroppe.
188
SAU, Alm.del - 2016-17 - Bilag 133: Diskussionsoplæg 2017, fra Det Miljøøkonomiske Råd
1728070_0192.png
III.3 Miljøgoder
et lavere nedsparingsbidrag over tid. Det giver dermed an-
ledning til en positiv
udvikling
i den ægte opsparing.
Bidrag er et
underkantskøn
Beregningen af luftforureningens bidrag til ægte opsparing
omfatter udelukkende de helbredsrelaterede omkostninger
af luftforurening. Luftforurenende stoffer har også en om-
kostning i form af skader på naturen, miljøet og bygninger.
Det er imidlertid ikke fundet muligt at beregne omkostning-
er herfor, hvorfor resultatet ovenfor må ses som et under-
kantskøn af luftforureningens samlede påvirkning af ægte
opsparing.
Forurening af grundvand
Grundvand
har værdi
Grundvandet bidrager til samfundsvelfærden på mange
måder. En ren grundvandsressource er blandt andet vigtig
for en sikker forsyning af drikkevand, markvanding samt
økosystemerne i åer og søer. Grundvandet påvirker således
den nuværende og fremtidige velfærd, hvorfor udviklingen i
grundvandsressourcen er relevant for den ægte opsparing.
I forbindelse med opgørelsen af den ægte opsparing er både
mængden og kvaliteten af grundvandet relevant. Begge dele
påvirkes af indvindingen. Indvindes der mere vand, end der
tilføres, forringes grundvandsmagasinerne med faldende
grundvandsspejl til følge. Det medfører mindre afvanding til
søer, åer og vandløb såvel som iltning af blotlagte jordlag,
som frigiver skadelige stoffer til grundvandet. Kvaliteten af
grundvandet påvirkes udover indvindingen også af regn-
vand, der siver ned gennem jorden og transporterer pestici-
der, nitrater og andre forurenende stoffer ned i grundvands-
magasinerne. Afhængigt af, hvordan forureningsniveauet
udvikler sig på overfladen, forbedres eller forringes grund-
vandskvaliteten, med en tidsmæssig forsinkelse.
Hvad angår mængden af grundvand, er det tidligere anslået,
at den bæredygtige udnyttelige grundvandsressource for
hele Danmark er omkring 1 mia. m
3
pr. år, jf. Henriksen og
Sonnenborg (2003).
12
Indvindingen har vist en faldende
12)
Den bæredygtige udnyttelige grundvandsressource er den vand-
mængde, der “… med bibeholdelse af en god vandkvalitet og op-
retholdelse af recipienthensyn, maksimalt kan indvindes fra et
Både indvinding
og forurening
kan forringe
grundvandet
Indvinding
bæredygtig på
nationalt
niveau…
189
SAU, Alm.del - 2016-17 - Bilag 133: Diskussionsoplæg 2017, fra Det Miljøøkonomiske Råd
1728070_0193.png
Ægte opsparing. Diskussionsoplæg. Økonomi og Miljø 2017
tendens i perioden 1990-2015 og ligger nu på omkring 600-
700 mio. m
3
pr. år, jf. Thorling mfl. (2016). På landsplan er
der derfor ikke tegn på, at niveauet af grundvands-
indvinding er problematisk.
…men enkelte
lokale
forekomster
overudnyttes
Grundvand er imidlertid en lokal ressource, og i visse om-
råder er tilstanden i grundvandsmagasinerne ringe som føl-
ge af for høj indvinding.
13
Ud af de godt 400 grundvandsfo-
rekomster i Danmark er der kun tre, der er i en ringe tilstand
(alle beliggende på Sjælland), jf. Miljø- og Fødevaremini-
steriet (2016a, 2016b, 2016c, 2016d). Der fokuseres derfor
på udviklingen i kvaliteten af grundvandet i det følgende.
Kvaliteten af grundvandsressourcen kan måles på, hvor
meget af grundvandet der er forurenet. Grundvandet forure-
nes af mange stoffer, men den mest udbredte forurenings-
type er pesticidforurening. Forureningen overvåges primært
gennem to kanaler: den landsdækkende grundvandsover-
vågning, der dækker omkring 1.000 overvågningsboringer,
og den såkaldte boringskontrol af de ca. 8.000 indvindings-
boringer i vandværkerne.
Det er imidlertid ikke ligetil at vurdere på baggrund af de to
overvågningskanaler, hvor meget af grundvandet der er
forurenet. For boringskontrollen gælder, at vandværks-
boringer, hvor der findes koncentrationer af pesticider over
grænseværdien på 0,1
μg/l.,
normalt bliver lukket.
14
De
lukkede boringer kontrolleres ikke igen og forsvinder der-
med ud af statistikken. Data fra boringskontrollen viser med
grundvandsmagasin, og som gendannes naturligt uden uønskede
følger”, jf. Miljø- og Energiministeriet (1995).
13)
Tilstanden i et grundvandsområde er ringe, hvis vandbalancen
(den mængde grundvand, der kan indvindes uden uacceptable
følgevirkninger på grundvandets kvalitet sammenlignet med den
upåvirkede forekomst) overskrider 30 pct. af den langsigtede
grundvandsdannelse, jf. Miljø- og Fødevareministeriet (2016a).
Grænseværdien for pesticider i Danmark er fastsat ud fra en
målsætning om, at der slet ikke må være pesticider i drikkevan-
det, og tager udgangspunkt i den laveste koncentration, der kunne
måles i slutningen af 1970’erne, da målsætningen oprindelig blev
formuleret. Grænseværdien er således ikke fastlagt ud fra en vur-
dering af farligheden ved pesticider.
Forurening
overvåges
gennem to
kanaler
Boringskontrol
undervurderer
forureningen
14)
190
SAU, Alm.del - 2016-17 - Bilag 133: Diskussionsoplæg 2017, fra Det Miljøøkonomiske Råd
1728070_0194.png
III.3 Miljøgoder
andre ord, hvor gode vandværkerne er til at levere rent drik-
kevand, og ikke hvor meget af drikkevandsressourcen der er
forurenet. I beregningen af bidraget fra grundvandsres-
sourcen til den ægte opsparing er det derfor valgt at tage
udgangspunkt i data fra grundvandsovervågningen.
15
Stigning i andelen
af forurenede
prøver
Andelen af kontrollerede prøver fra boringerne i grund-
vandsovervågningen, hvor der er fundet pesticider over
grænseværdien, er steget i perioden 1990-2015, jf. figur
III.7.
Figur III.7
Andel af kontrollerede indtag med fund af
pesticider over grænseværdien
Pct. af indtag
16
14
12
10
8
6
4
2
0
1990
1995
2000
2005
2010
2015
Anm.:
Kilde:
Grænseværdien er på 0,1
μg/l.
I grundvandsovervågningen er
der i perioden blevet analyseret for et varierende antal pestici-
der og nedbrydningsprodukter.
Thorling mfl. (2007, 2008, 2015 og 2016).
Grundvands-
overvågning giver
overkantskøn for
forurening
Der kan imidlertid argumenteres for, at stigningen i andelen
af prøver med pesticider over grænseværdien i grundvands-
overvågningen er overvurderet. Det skyldes, at der over tid
er blevet testet for flere stoffer, hvilket isoleret set medfører
en stigning i andelen af prøver med pesticider over grænse-
værdien. Dette er især gældende for perioden 1990-2003.
Det indikerer, at stigningen er overvurderet i denne periode.
Endelig er der de seneste år etableret flere dybe indtag, hvor
15)
I De Økonomiske Råds formandskab (2012) tog man udgangs-
punkt i data fra vandværkerne.
191
SAU, Alm.del - 2016-17 - Bilag 133: Diskussionsoplæg 2017, fra Det Miljøøkonomiske Råd
1728070_0195.png
Ægte opsparing. Diskussionsoplæg. Økonomi og Miljø 2017
forekomsten af pesticider er lavere. Dette kan have bidraget
til den stabilisering, der er sket de seneste år. Derudover
afspejler kurven ikke, at de øverste, yngre lag af grundvand-
et bliver stadig renere. Dette kan tolkes som, at udviklingen
går den rigtige vej, og at reguleringen af pesticider de sene-
ste årtier har haft en effekt, jf. Thorling mfl. (2016).
Værdien af rent
grundvand er 190
mia. kr.
Opgørelsen af bidraget til den ægte opsparing fra grundvand
tager udgangspunkt i grundvandsovervågningens tal for
andelen af grundvandet, der ikke er forurenet med pestici-
der, jf. boks III.3. Denne andel ganges med værdien af “rent
og naturligt” drikkevand, skønnet til at udgøre 190 mia. kr.
(2010-priser) på baggrund af et studie af Hasler mfl.
(2005).
16
Ændringen i andelen af forurenet grundvand fra år
til år bestemmer således bidraget fra grundvandsressourcen
til den ægte opsparing.
Med udgangspunkt i metoden beskrevet i boks III.3 bereg-
nes bidraget fra grundvandsressourcen til den ægte opspar-
ing i perioden til at udgøre i gennemsnit -0,03 pct. af BNP
pr. år, jf. figur III.8.
I De Økonomiske Råds formandskab (2012) fandt man, at
bidraget fra grundvandsressourcen til den ægte opsparing i
perioden 1990-2010 i gennemsnit var svagt positiv (0,04
pct. af BNP pr. år). Beregningen var den gang baseret på
data fra boringskontrollen, som giver et underkantskøn for
andelen af forurenet grundvand.
Lille årlig
nedsparing
i grundvand
Tidligere analyse
bygger på andre
data
16)
Værdien fra Hasler mfl. (2005) anvendes som værdien for grund-
vandsressourcen som helhed, selvom værdisætningsscenariet er
for en ren og naturlig drikkevandsressource.
192
SAU, Alm.del - 2016-17 - Bilag 133: Diskussionsoplæg 2017, fra Det Miljøøkonomiske Råd
1728070_0196.png
III.3 Miljøgoder
Boks III.3
Metode: Grundvand
Opsparingen i grundvandsressourcen beregnes ved følgende formel:
=
∙ ∆
Hvor
∆W
t
er ændringen i værdien af grundvandet i år
t, W*
er nutidsværdien af en
“ren og naturlig” drikkevandsressource, og
∆k
t
er ændringen i andelen af grund-
vandet, der ikke er forurenet med pesticider i år
t. FY
t
er BNP i faste 2010-priser.
Værdien af en ren og naturlig grundvandsressource,
W*,
er beregnet på baggrund
af en undersøgelse af Hasler mfl. (2005). De finder, at husstande i gennemsnit er
villige til at betale 2.200 kr. ekstra om året for “rent og naturligt” drikkevand
(2010-priser). Denne værdi ganges op med antallet af husstande, hvilket giver en
årlig ekstra betalingsvilje på 5,7 mia. kr. Denne betalingsvilje antages at gælde i al
fremtid, og beløbet tilbagediskonteres med en diskonteringsrate på 3 pct., hvilket
giver en nutidsværdi af en “ren og naturlig” grundvandsressource,
W*,
på 190
mia. kr. i 2010-priser.
Andelen af grundvandet, der ikke er forurenet,
∆k
t
, stammer fra grundvandsover-
vågningen, jf. figur III.7.
Figur III.8
Opsparing i grundvandsressourcen
Pct. af BNP
0.6
Opsparing
0.5
Gennemsnit
0.4
0.3
0.2
0.1
0.0
-0.1
-0.2
-0.3
-0.4
-0.5
1990
1995
2000
2005
2010
2015
Kilde:
Egne beregninger på baggrund af Thorling mfl. (2007, 2008,
2015 og 2016) og Hasler mfl. (2005).
193
SAU, Alm.del - 2016-17 - Bilag 133: Diskussionsoplæg 2017, fra Det Miljøøkonomiske Råd
1728070_0197.png
Ægte opsparing. Diskussionsoplæg. Økonomi og Miljø 2017
III.4 Naturressourcer
Naturressourcer
vigtige for
velfærd og
velstand
Naturressourcer bidrager til befolkningens velfærd og vel-
stand på mange måder, eksempelvis som indtægter fra salg
af Nordsøolie og rekreative værdier af skove. I dette under-
afsnit opgøres bidraget til den ægte opsparing fra centrale
fornybare og ikke-fornybare naturressourcer. Bidraget fra
de ikke-fornybare ressourcer kommer i Danmark primært
fra de fossile brændsler i Nordsøen, mens bidraget fra for-
nybare ressourcer omfatter ændringer i bestanden af fisk og
skovbeplantninger. Derudover er der også en drøftelse af
udviklingen i den danske biodiversitet og værdisætningen
heraf. Det har ikke været muligt at opgøre bidraget herfra til
den ægte opsparing, grundet usikkerhed omkring størrelsen
af ændringen i biodiversiteten.
Nordsøen og andre ikke-fornybare naturressourcer
Nordsøen
dominerer
aktiviteten
i udvindings-
erhverv
Et af de potentielt væsentlige elementer i beregningen af
den ægte opsparing er det negative bidrag til opsparingen,
der stammer fra udvindingen af ikke-fornybare naturres-
sourcer som mineraler og fossile brændsler. I Danmark
udgøres den vigtigste aktivitet på dette felt af udvindingen
af olie og gas i Nordsøen. Der udvindes dog også andre
ikke-fornybare naturressourcer som grus og sten. I 2013
udgjorde udvindingen af olie og gas ca. 95 pct. af den sam-
lede bruttoværditilvækst (BVT) på ca. 47 mia. kr. i råstof-
indvindingserhvervet. I begyndelsen af den undersøgte pe-
riode (i 1980) var andelen imidlertid kun 25 pct., da udvind-
ingen i Nordsøen først tog fart omkring dette tidspunkt.
Allerede året efter udgjorde BVT fra Nordsøen dog ca. to
tredjedele af udvindingserhvervets samlede bruttoværdi-
tilvækst, jf. figur III.9.
194
SAU, Alm.del - 2016-17 - Bilag 133: Diskussionsoplæg 2017, fra Det Miljøøkonomiske Råd
1728070_0198.png
III.4 Naturressourcer
Figur III.9
1.00
0.80
0.60
0.40
0.20
0.00
Andel af BVT i råstofudvindingen
Grus og sten
Olie og gas
Andet
1980
1985
1990
1995
2000
2005
2010
Anm.:
Kilde:
Kategorien “Andet” dækker over serviceleverancer til råstofud-
vinding.
Danmarks Statistik, Statistikbanken og egne beregninger.
Ressourcerenten
central for
beregning af
ægte nedsparing
Produktionsværdien i råstoferhvervet – dvs. salgsværdien af
de udvundne ressourcer – er generelt steget over perioden
indtil 2008, hvor værdien målt i løbende priser toppede med
74 mia. kr. Nedsparingen er dog ikke lig med værdien af de
udvundne ressourcer, men den ressourcerente, der er for-
bundet med dem. Ressourcerenten er lig med indtjeningen
ved salget af ressourcen fratrukket de samlede omkostning-
er, der er forbundet med udvindingen, jf. boks III.4. Dermed
udtrykker ressourcerenten nedgangen i nettokapitalen ved at
udnytte ressourcen.
Beregningen anvender data for det danske råstofudvin-
dingserhverv fra nationalregnskabet. Ved beregningen af
normalforrentningen af den investerede kapital er anvendt
en realrentesats på 8 pct., hvilket er i overensstemmelse
med fremgangsmåden i Danmarks Statistik (2010). Størrel-
sesordenen er blandt andet baseret på ældre udenlandske
vurderinger af nettoafkastraten for fremstillingsvirksomhed,
jf. Eurostat (2003). Beregningen af ressourcerenten er selv-
sagt følsom overfor denne antagelse – var i stedet anvendt
en lavere rentesats, ville den beregnede ressourcerente være
tilsvarende højere.
Beregning
afhænger
kritisk af
anvendt normal-
forrentning
195
SAU, Alm.del - 2016-17 - Bilag 133: Diskussionsoplæg 2017, fra Det Miljøøkonomiske Råd
1728070_0199.png
Ægte opsparing. Diskussionsoplæg. Økonomi og Miljø 2017
Boks III.4
Ressourcerente
Ressourcerenten (også kaldet overnormal profit eller knaphedsrente) betegner den
indtjening ved udnyttelse af en naturressource, som ligger ud over den normale
aflønning af arbejdskraft og normalforrentning af investeret kapital, herunder et
passende risikotillæg. Mens et højt investeringsafkast i en branche normalt vil til-
trække flere investeringer, indtil forrentningen igen er blevet presset ned til et
normalt niveau, vil det samme ikke være tilfældet, når indtjeningen er knyttet til
en naturressource, som kun findes i en givet mængde på det pågældende tidspunkt.
Ressourcerente eksisterer både i forbindelse med ikke-fornybare ressourcer som
olie, gas, kul og mineraler og i forbindelse med fornybare ressourcer som fisk og
vildt. Størrelsen af ressourcerenten vil afhænge af, hvordan ressourcen forvaltes,
og dermed bl.a. af den offentlige regulering. Overfiskning eller støtte til sam-
fundsøkonomisk urentable investeringer i olieudvinding vil eksempelvis begge
medføre en lavere ressourcerente.
Beregningen af ressourcerenten i en virksomhed, der udnytter en naturressource,
kan sammenfattes ud fra virksomhedens indkomstopgørelse:
Produktionsværdi (omsætning)
- forbrug af råvarer
= bruttoværditilvækst
- løn
= bruttorestindkomst (overskud)
- afskrivninger på kapitalapparatet
= nettorestindkomst
- normalforrentning af investeret kapital
= ressourcerente.
Der er anvendt faste priser i beregningen.
Nedsparingen har
udgjort godt 1�½
pct. af BNP årligt
Ressourcerenten og dermed den nedsparing, der har fundet
sted som følge af råstofudvinding, har i gennemsnit udgjort
1,6 pct. af BNP i den betragtede periode. Den årlige ned-
sparing har ændret sig en del over tid, i alt væsentligt svar-
ende til udviklingen i udvindingen i Nordsøen, jf. figur
196
SAU, Alm.del - 2016-17 - Bilag 133: Diskussionsoplæg 2017, fra Det Miljøøkonomiske Råd
1728070_0200.png
III.4 Naturressourcer
III.10. Fra starten af 1980’erne indtil starten af 2000’erne
har der været en stigende produktion af olie og gas, hvor-
efter den igen er faldet. I årene 2000-06 udgjorde ressource-
renten og dermed den ægte nedsparing over 3 pct. af BNP.
Figur III.10 Opsparing i ikke-fornybare naturressourcer
Pct. af BNP
1.5
Opsparing
1.0
Gennemsnit
0.5
0.0
-0.5
-1.0
-1.5
-2.0
-2.5
-3.0
-3.5
-4.0
1980
1985
1990
1995
2000
2005
2010
2015
Anm.:
Kilde:
Bidraget til den ægte opsparing er lig med ressourcerenten
(opgjort i faste priser) med negativt fortegn. Der er en negativ
ressourcerente i de første år. Det er naturligt i en investerings-
periode, hvor der er omkostninger, men endnu ingen indvinding
af betydning.
Danmarks Statistik, Statistikbanken og egne beregninger.
Omtrent på
niveau med
tidligere
beregning
Sammenlignet med beregningen af ægte opsparing i De
Økonomiske Råds formandskab (2012) udgjorde den gen-
nemsnitlige nedsparing fra udvinding af ikke-fornybare
naturressourcer nogenlunde samme andel af BNP. I den
tidligere opgørelse beregnedes nedsparingen til 1,8 pct. af
BNP i gennemsnit over årene 1990-2010. Der er to væsent-
lige modsatrettede ændringer i beregningerne. For det første
anvendes i nærværende beregning faste 2010-priser i stedet
for faste 2005-priser. Netop for Nordsø-udvindingen har
dette væsentlig betydning, da olieprisen steg relativt kraftigt
fra 2005 til 2010. Det har i sig selv medført en stigning på
knap 50 pct. i forhold til den tidligere beregning. For det
andet er den beregnede periode nu noget længere, hvilket
trækker ned i det samlede gennemsnit, da produktionen og
197
SAU, Alm.del - 2016-17 - Bilag 133: Diskussionsoplæg 2017, fra Det Miljøøkonomiske Råd
1728070_0201.png
Ægte opsparing. Diskussionsoplæg. Økonomi og Miljø 2017
dermed ressourcerenten i både 1980’erne og perioden efter
2010 har været mindre end i de mellemliggende år. I starten
af 1980’erne, hvor der blev brugt en del ressourcer på at
sætte udvindingen i Nordsøen i gang, var den beregnede
ressourcerente endda svagt negativ.
Anvendelse af
faste priser særlig
kritisk her
Sammenligningen med den tilsvarende beregning i De
Økonomiske Råds formandskab (2012) illustrerer, at det
specielt for udvindingen i Nordsøen spiller en ret stor rolle,
hvilke års relative priser der tages udgangspunkt i. Den
beskrevne beregning er foretaget i faste priser, ligesom det
gælder beregningen af de øvrige opsparingselementer, der
behandles i dette kapitel. Dermed tages ikke højde for even-
tuelle udsving i de relative priser mellem de forskellige
kapitalgoder. Netop for olie- og gasforekomsternes ved-
kommende svinger priserne meget i forhold til den alminde-
lige prisudvikling. Hvis man gennemførte den samme be-
regning i løbende priser, ville ressourcerenten relativt til
BNP generelt være mindre før basisåret 2010 og i gennem-
snit udgøre 0,9 pct. af BNP over hele perioden, jf. figur
III.11.
198
SAU, Alm.del - 2016-17 - Bilag 133: Diskussionsoplæg 2017, fra Det Miljøøkonomiske Råd
1728070_0202.png
III.4 Naturressourcer
Figur III.11 Opsparing i ikke-fornybare naturressourcer i
faste og løbende priser
Pct. af BNP
2.50
2.00
1.50
1.00
0.50
0.00
-0.50
-1.00
-1.50
-2.00
-2.50
-3.00
-3.50
-4.00
1980
Faste priser
Gennemsnit (faste priser)
Løbende priser
Gennemsnit (løbende priser)
1985
1990
1995
2000
2005
2010
2015
Anm.:
Kilde:
Figuren viser bidraget til den ægte opsparing fra udvindingen af
ikke-fornybare ressourcer målt i henholdsvis faste (2010-) og
løbende priser.
Danmarks Statistik, Statistikbanken og egne beregninger.
Kapitalgevinster
og -tab relevante,
men meget
ressource-
krævende
at opgøre
Relative prisændringer på olie og gas påvirker ikke bare
værdien af den løbende ressourceudvinding, men også vær-
dien af de tilbageværende reserver i Nordsøen. Hvis olie-
prisen stiger over tid, vil der være systematiske kapitalge-
vinster, som også påvirker den samlede nationalformue i
bred forstand (“den ægte formue”), og som derfor også na-
turligt bør indgå i beregningen af den ægte opsparing. Som
følge af antagelsen om faste priser optræder der imidlertid
ingen kapitalgevinster og -tab i beregningerne. Det ville af
praktiske grunde være overordentlig omstændeligt at bereg-
ne kapitalgevinster og -tab for alle de kapitalgoder, som
Danmark er afhængig af. Disse omfatter ikke blot de natur-
ressourcer, som vi eksporterer, men også alle dem, som vi
importerer, eksempelvis mineraler og udenlandske fødeva-
rer. Princippet skal desuden udstrækkes til alle andre kapi-
talgoder, der også kan opleve skift i de relative priser; hvis
værdien af de færdigheder, den danske befolkning især er
uddannet i, falder på globalt plan relativt til andre former
for
know-how,
vil det således implicere et kapitaltab for
værdien af vores humankapital, som i princippet også på-
virker den ægte opsparing.
199
SAU, Alm.del - 2016-17 - Bilag 133: Diskussionsoplæg 2017, fra Det Miljøøkonomiske Råd
1728070_0203.png
Ægte opsparing. Diskussionsoplæg. Økonomi og Miljø 2017
Historisk er skøn
for værdien af
reserverne
jævnligt
opjusteret
Vurderingen af, hvor mange endnu ikke-udvundne mængd-
er af fossile brændsler der findes under havbunden i Nord-
søen, har ændret sig over tid som følge af nye fund. Samti-
dig har vurderingen af, hvor mange af de kendte reserver
det vil kunne betale sig at udvinde, også varieret over tid
som følge af forventninger om olieprisens udvikling og de
forbundne udvindingsomkostninger. De sidste er i høj grad
afhængige af den teknologiske udvikling på området. I det
meste af den undersøgte periode er Energistyrelsens skøn
for den samlede energiudvinding i Nordsøen (den allerede
stedfundne udvinding tillagt den forventede realistiske
fremtidige udvinding) systematisk blevet opjusteret med
tiden, jf. De Økonomiske Råds formandskab (2012). Da de
nye og typisk forbedrede vurderinger i høj grad er et resultat
af, at man har gjort en indsats for at blive klogere, kan man
argumentere for, at stigningen i den forventede naturkapital
bør indgå i den ægte opsparing. Investeringerne i denne
værdistigning medregnes under videnskapital, jf. afsnit III.5.
Beskatning i Nordsøen
Hensigtsmæssig
beskatning i
Nordsøen er
vigtig
Der er i øjeblikket fornyet opmærksomhed om skatte-
forholdene i Nordsøen i forbindelse med forhandlinger mel-
lem regeringen og olieselskaber om rammevilkårene for den
fortsatte udvinding. Da der er tale om potentielt store værdi-
er, er det også et vigtigt samfundsøkonomisk spørgsmål, om
forholdene her er indrettet hensigtsmæssigt. Overordnet bør
beskatningen være indrettet sådan, at den fordeler gevinsten
rimeligt mellem staten og de private selskaber, der står for
selve eftersøgningen og udvindingen af ressourcerne, og
den samtidig ikke påvirker tilskyndelsen til eftersøgning og
udvinding i en uheldig retning.
Det er den danske stat, og dermed i princippet hele den dan-
ske befolkning, der har selve ejendomsretten til værdierne i
undergrunden, mens de private selskaber har til opgave at
lokalisere ressourcerne og hente dem op til videresalg. Et
naturligt udgangspunkt for en fordeling vil derfor være, at
den del af ressourcens værdi, der er tilbage, når udvindings-
selskaberne har fået en rimelig forrentning af deres investe-
ringer, bør tilfalde staten, jf. Det Økonomiske Råds for-
mandskab (1999, 2001a, 2001b, 2003) og De Økonomiske
Naturligt
udgangspunkt:
Normal-
forrentning
til selskaberne,
ressourcerente til
staten
200
SAU, Alm.del - 2016-17 - Bilag 133: Diskussionsoplæg 2017, fra Det Miljøøkonomiske Råd
1728070_0204.png
III.4 Naturressourcer
Råds formandskab (2008, 2012, 2013). Dette princip er
ensbetydende med, at den egentlige ressourcerente som
udgangspunkt bør tilfalde staten.
17
Man kan sammenligne
forholdet med andre områder, hvor statslige institutioner
køber tjenesteydelser fra private. Staten har her også en
forpligtelse til at sikre, at den ikke betaler unødigt meget for
de givne ydelser.
Skat på den rene
ressourcerente vil
ikke medføre
forvridninger
Samtidig er det i princippet muligt at indrette beskatningen
af en sådan ressourcerente på en måde, så den ikke forvrider
tilskyndelsen til at udvinde ressourcerne på en hensigts-
mæssig måde – en såkaldt neutral beskatning. Det vil være
tilfældet, hvis selskaberne kan fratrække alle relevante om-
kostninger for deres drift og investeringer – herunder en
normalforrentning af deres investerede kapital – inden skat-
tegrundlaget beregnes. Samtidig skal positiv og evt. negativ
ressourcerente behandles symmetrisk, sådan at staten dæk-
ker en andel af en evt. negativ ressourcerente. På denne
måde vil en neutral beskatning automatisk medføre, at stat-
en overtager en del af selskabernes risiko. Jo højere skatte-
satsen er, jo større andel af usikkerheden ved investeringen
vil blive båret af staten.
Den nuværende beskatning afviger på flere måder fra en
neutral beskatning af ressourcerenten. Der er således ikke
noget fradrag for den investerede egenkapital i grundlaget
for kulbrinteskatten, men til gengæld et ekstrafradrag på 5
pct. i seks år for nyinvesteringer. Samtidig kan underskud
ikke fremføres med rente, og deres skatteværdi kan ikke
handles og udbetales. Disse afvigelser skævvrider incita-
menterne til investeringer. Desuden forvrider forskels-
behandlingen af egen- og fremmedkapital virksomhedernes
finansieringsbeslutninger. Det eksisterende system inde-
17)
De samlede indtægter fra aktiviteterne i Nordsøen kan opdeles i
en normalforrentning af den investerede kapital samt den over-
normale profit (ressourcerenten), der skyldes udnyttelsen af den
knappe naturressource. En beskatning baseret på ressourcerenten
indebærer, at der tillades et fradrag for normalforrentningen af
såvel fremmedkapital som egenkapital. I modsætning hertil inde-
bærer den sædvanlige selskabsbeskatning baseret på den skatte-
pligtige selskabsindkomst, at der er fradrag for betalte renteudgif-
ter (og dermed normalforrentningen af fremmedkapital), mens
normalforrentningen af egenkapital ikke kan fradrages.
Eksisterende
skatteregler
følger ikke
anbefalinger om
neutral skat
201
SAU, Alm.del - 2016-17 - Bilag 133: Diskussionsoplæg 2017, fra Det Miljøøkonomiske Råd
1728070_0205.png
Ægte opsparing. Diskussionsoplæg. Økonomi og Miljø 2017
holder således flere uhensigtsmæssige elementer i forhold
til et neutralt system.
Ekstraordinært
investerings-
fradrag medfører
subsidiering
Hvis det manglende fradrag for forrentningen af egen-
kapitalen i praksis modsvares af det ekstraordinære investe-
ringsfradrag, kan kulbrinteskatten dog ses som en tillempet
skat på ressourcerenten. Hvorvidt de to afvigelser fra den
neutrale beskatning ophæver hinanden, afhænger af flere
forskellige forhold. Skatteministeriet viste i forbindelse med
serviceeftersynet af Nordsøbeskatningen i 2013 ved en ræk-
ke regneeksempler, at de to forhold tilsammen normalt giv-
er virksomhederne en nettosubsidiering i forhold til et neu-
tralt skattesystem og dermed tilskynder til investeringer, der
er samfundsøkonomisk urentable. Kun for investeringer i
aktiver med meget lang levetid og med en meget høj andel
af egenkapitalfinansiering vil situationen være den modsat-
te, jf. Skatteministeriet (2013).
Som nævnt ovenfor ville et naturligt udgangspunkt, når
staten har ejendomsretten til selve ressourcerne, umiddel-
bart være at bortbeskatte ressourcerenten helt. I praksis vil
det imidlertid give problemer at beskatte den overnormale
profit med en skat, der er alt for høj. Det ville fjerne virk-
somhedernes incitament til effektiv drift og tilskynde til
transformation af indkomst fra kulbrinteskattegrundlaget til
anden indkomst. Samtidig kan man næppe i praksis opgøre
skattegrundlaget, så det netop svarer til 100 pct. af ressour-
cerenten, og der bør være luft til at imødekomme de prak-
tiske afvigelser. Det vil derfor næppe være hensigtsmæssigt
at beskatte en beregnet overnormal profit med en sats på
f.eks. 99 (eller 100) pct.
Der lader dog til at være et betydeligt spillerum for højere
beskatning i forhold til det nuværende niveau uden at ram-
me en urealistisk høj skattesats. Det danske Kulbrinte-
skatteudvalg fremlagde således sin rapport baseret på en
effektiv skat på ressourcerenten på 84 pct., jf. Kulbrinte-
skatteudvalget (2001). I Norge er hovedprincippet i oliebe-
skatningen, at staten har et direkte økonomisk engagement
(SDØE) svarende til en statsdeltagelse i de forskellige felt-
er. Af de private indtægter betales en skat på den beregnede
ressourcerente på 78 pct. (ordinær selskabsskat på 25 pct.
Hvor høj skal
beskatningen
være?
Spillerum for
højere beskatning
202
SAU, Alm.del - 2016-17 - Bilag 133: Diskussionsoplæg 2017, fra Det Miljøøkonomiske Råd
1728070_0206.png
III.4 Naturressourcer
plus særskat på 53 pct.). SDØE fastsættes særskilt for hvert
felt, men vurderedes i 2016 samlet at udgøre ca. 27 pct., jf.
Rystad Energy (2016). Ved et direkte engagement på 27
pct. udgør statens marginale andel af ressourcerenten ca. 84
pct. (= 0,27 + (1-0,27)*0,78).
18
I Norge er
statens andel af
ressourcerenten
betydeligt højere
end i Danmark
Hvis man antager, at grundlaget for hhv. den danske kul-
brinteskat og den norske særskat svarer til den faktiske res-
sourcerente, vil den effektive samlede statslige andel af
ressourcerenten i Norge også svare til 84 pct. I Danmark er
den tilsvarende effektive statslige andel af ressourcerenten i
fremadrettede udvindingsprojekter beregnet til at være på
godt 71 pct., jf. De Økonomiske Råds formandskab (2012).
Den nævnte antagelse svarer til at antage, at værdien af det
ekstra investeringsfradrag på 30 pct. netop er lig med det
økonomisk korrekte egenkapitalfradrag, som en neutral
beskatning ville tilsige. Som nævnt ovenfor vil denne antag-
else dog normalt overvurdere den faktisk betalte skat af
ressourcerenten, da investeringsfradraget typisk vil medføre
en nettosubsidiering.
I den nuværende situation fremfører nogle, at højere inve-
steringsfradrag vil medføre større aktivitet og dermed en
større bruttoværditilvækst i Nordsøen. Det er naturligt, at en
skattemæssig subsidiering vil føre til et større engagement i
en branche. Det betyder imidlertid ikke, at samfundets sam-
lede økonomiske velstand vil stige som følge heraf. Hvis de
pågældende aktiviteter kun vil blive gennemført, hvis de
modtager et skattemæssigt subsidium, tyder det på, at der i
udgangspunktet er tale om investeringer, der ikke er rentab-
le. I den situation vil en subsidiering nok føre til større BVT
i Nordsøen, men kun fordi man kunstigt allokerer ressourcer
hertil, som kunne have skabt et større samfundsøkonomisk
afkast andetsteds.
18)
I Norge kan underskud fremføres med renter modsat i Danmark.
En såkaldt friindtægt bestående af 5�½ pct. af investeringerne i fire
år (i alt 2 pct.) kan fratrækkes i grundlaget for særskatten, jf. Ol-
jeskattekontoret (2016). I Norge får staten desuden også mere be-
skedne indtægter fra afgifter i petroleumssektoren og udbytte fra
Statoil. SDØE forventes at falde til ca. 23 pct. frem mod 2025, jf.
Rystad Energy (2016), hvilket i så fald vil resultere i en effektiv
skattesats på 83 pct.
Dårlig ide
at subsidiere
urentabel
produktion
203
SAU, Alm.del - 2016-17 - Bilag 133: Diskussionsoplæg 2017, fra Det Miljøøkonomiske Råd
1728070_0207.png
Ægte opsparing. Diskussionsoplæg. Økonomi og Miljø 2017
Fisk
Fisk har værdi
Fisk bidrager til samfundsvelfærden på flere måder, først og
fremmest gennem forbrugsværdien som fødevare. I opgør-
elsen af bidraget fra fiskebestande til den ægte opsparing er
fokus på denne værdi.
19
Fisk er en fornybar ressource, hvor udnyttelsen under de
rette reguleringsmæssige rammer giver anledning til en
overnormal profit, en såkaldt ressourcerente. Ressource-
renten er den indtjening ved udnyttelse af en naturressource,
som ligger ud over den normale aflønning af arbejdskraft og
normalforrentning af investeret kapital i fiskeriet, jf. boks
III.4. Ressourcerenten angiver dermed den ekstraordinære
gevinst, der kan tjenes ved at fiske i forhold til alternative
investeringer.
På et ureguleret marked vil fiskeflåden og dermed fiskeri-
indsatsen vokse, så længe der er overnormal profit at hente,
indtil den marginale omkostning er lig med den marginale
indtjening. Et ureguleret fiskeri giver sig udslag i økono-
misk overfiskning og potentielt udryddelse af arter. Det er
denne situation, der kendetegner mange af verdens fiskerier.
De overfiskede bestande samt mangel på relevante data er
blandt grundene til, at Verdensbanken ikke medregner vær-
dien af fisk i deres opgørelser af den ægte opsparing, jf.
Verdensbanken (2011).
Ved at begrænse fiskeriet, f.eks. gennem kvoter, kan man
sikre en større fiskebestand, end hvis ressourcen er frit til-
gængelig. En økonomisk hensigtsmæssig regulering kan
både sikre arternes overlevelse og en overnormal profit
(ressourcerente).
Det er naturligt at tænke på de danske fiskeriressourcer med
udgangspunkt i bestandene af forskellige fiskearter i far-
vandene omkring os. Danmark deler imidlertid disse be-
stande med nabolande, der også har rettigheder til at fiske i
de relevante farvande. I forhold til opsparingen i fisk er det
19)
Derudover er der også en rekreativ værdi forbundet med lystfi-
skeri samt biodiversitets- og eksistensværdier.
Fisk kan give
anledning til
ressourcerente
Markedsfejl
er udbredt
Regulering
muliggør
ressourcerente
Danmark deler
fiskebestande
med andre lande
204
SAU, Alm.del - 2016-17 - Bilag 133: Diskussionsoplæg 2017, fra Det Miljøøkonomiske Råd
1728070_0208.png
III.4 Naturressourcer
derfor relevant både at vurdere udviklingen i bestandene og
Danmarks andel af disse bestande.
Dansk fiskeri
reguleres af
EU-kvoter
Bestandene er forvaltet på europæisk niveau gennem EU's
fælles fiskeripolitik og i samarbejde med en række ikke-EU-
lande, som EU deler bestandene med. EU-Kommissionen
fastsætter hvert år kvoter for fiskeriet for medlemslandene.
Dette sker på baggrund af rådgivning fra Det Internationale
Havforskningsråd (ICES), som udarbejder skøn for det bæ-
redygtige niveau af fiskeri for hver art. Kvoterne fordeles
derefter mellem EU's medlemslande på baggrund af histo-
risk fastsatte kvoteandele. Den samlede EU-kvote for en art
kan variere en del fra år til år, men de forskellige landes
andel af den totale kvote for en art varierer kun lidt. Hoved-
parten af det danske fiskeri er omfattet af kvoter.
Under en optimal regulering kan kvoterne betragtes som
den andel af bestanden, der kan fiskes i tråd med en bære-
dygtig forvaltning af ressourcen. I denne situation kan det
forventes, at kvoterne udvikler sig i tråd med bestandene.
Dette er imidlertid ikke altid tilfældet. For eksempel kan
kvoten af politiske grunde sættes op, selvom bestanden ikke
er vokset. Det fremgår af figur III.12, at udviklingen i de
danske kvoter ikke har fulgt udviklingen i bestandene for to
af de kommercielt vigtigste arter, torsk og tobis, i perioden
1990-2015. Figuren viser også den danske andel af bestand-
ene. Denne andel er beregnet som Danmarks gennemsnit-
lige andel af de totale kvoter for hver art i perioden 1990-
2015, ganget med bestanden i de relevante farvande. I mod-
sætning til de danske kvoter følger denne andel udviklingen
i bestandene.
Bidraget fra fisk til den ægte opsparing opgøres som æn-
dringen i værdien af ressourcerenten fra år til år. I bereg-
ningerne tages udgangspunkt i den ressourcerente, erhvervet
indtjener under de aktuelle forhold. Ressourcerenten ganges
med ændringen i den danske fiskeriressource, opgjort som
den gennemsnitlige danske kvoteandel af hver art i perio-
den, ganget med den respektive bestand, jf. boks III.5.
Ideelt set følger
kvoter bestand
Ressourcerenten
svarer til værdien
af fiskeressourcen
205
SAU, Alm.del - 2016-17 - Bilag 133: Diskussionsoplæg 2017, fra Det Miljøøkonomiske Råd
1728070_0209.png
Ægte opsparing. Diskussionsoplæg. Økonomi og Miljø 2017
Figur III.12 Bestand, dansk andel og danske kvoter for torsk og tobis i relevante
farvande
Torsk
Tusind ton
1400
1200
1000
800
600
400
200
0
1990
1995
2000
2005
2010
2015
Bestand
Dansk andel
Dansk kvote
Tobis
Tusind ton
7000
6000
5000
4000
3000
2000
1000
0
1990
1995
2000
2005
2010
2015
Bestand
Dansk andel
Dansk kvote
Anm.:
Kilde:
De relevante farvande er der, hvor Danmark har kvoter. For de viste arter omfatter det Katte-
gat, Skagerrak, Østersøen og Nordsøen. Kvoterne for tobis er frem til 1998 antaget at være de
samme som i 1998. I årene omkring 2003 oversteg den danske kvote bestanden af tobis, hvil-
ket skyldtes uforudsete naturlige ændringer i bestanden. Den danske kvote blev derfor ikke
fuldt udnyttet i disse år. I de relevante farvande var den danske kvoteandel i gennemsnit 0,3
for torsk og 0,9 for tobis.
ICES, EU-Kommissionen og Landbrugs- og fiskeristyrelsen.
206
SAU, Alm.del - 2016-17 - Bilag 133: Diskussionsoplæg 2017, fra Det Miljøøkonomiske Råd
1728070_0210.png
III.4 Naturressourcer
Boks III.5
Metode: Fisk
Opsparingen i fisk i pct. af BNP er beregnet ved følgende formel:
∙∑
( − )
=
,
,
hvor
W
t
er værdien af fiskeressourcerne i år
t
målt i 2010-priser,
R
er ressource-
renten, beregnet som den overnormale profit i pct. af omsætningen,
p
i
er gennem-
snitsprisen pr. ton af fiskeart
i
i basisåret 2010, er Danmarks gennemsnitlige
kvoteandel af fiskeart
i
i perioden,
∆B
i,t
er ændringen i bestanden af fiskeart
i
fra
år
t-1
til år
t,
og
FY
t
er BNP i faste 2010-priser. Der benyttes en diskonteringsrate,
r,
på 3 pct. og der forudsættes en produktivitetsvækst i erhvervet,
g,
på 1,5 pct.
Ved at dividere med (r-g) beregnes nutidsværdien af ressourcerenten, korrigeret
for en fremtidig vækst i produktiviteten. Den fremtidige produktivitetsvækst gør,
at man kan fange samme mængde fisk med en mindre indsats, hvilket medfører,
at
R
bliver større. Fordi
R
er konstant i formlen, korrigeres der for produktivitets-
væksten i nævneren.
Ressourcerenten er beregnet på baggrund af regnskabstal fra Danmarks Statistik
(2011) og Institut for Fødevare- og Ressourceøkonomi (2011). Der forudsættes en
alternativ forrentning på kapital på 7 pct. og en afskrivningsrate på kapital på 4
pct.
a
Ressourcerenten er beregnet på baggrund af tal for perioden 2008-14, da
reguleringen af fiskeriet blev omlagt til omsættelige kvoter i 2007. Med udgangs-
punkt i disse forudsætninger skønnes den overnormale profit i fiskerierhvervet at
være 16,2 pct. af omsætningen.
I opgørelsen af fiskeressourcerne tages der udgangspunkt i den danske andel af
bestandene af de ti kommercielt mest betydningsfulde arter.
b
Data for kvoterne og
bestandene kommer fra Landbrugs- og fiskeristyrelsen, EU-Kommissionen og
ICES. Til prisen (p
i
) benyttes 2010-priser for de forskellige fiskearter, som er
hentet fra Landbrugs- og fiskeristyrelsens afregningsregister. Beregningen er
nærmere beskrevet i et dokumentationsnotat tilgængeligt via www.dors.dk.
a)
Den alternative forrentning på kapital på 7 pct. er den, der ofte benyttes på området, jf. Insti-
tut for Fødevare- og Ressourceøkonomi (2011). Denne adskiller sig fra den alternative for-
rentning, der benyttes i opgørelsen af ressourcerenten for Nordsøen.
De ti omsætningsmæssigt vigtigste arter for dansk fiskeri i 2014 var: tobis, torsk, makrel,
hesterejer, jomfruhummer, sild, rødspætte, brisling, grønlandsrejer og mørksej, jf. Frost og
Ståhl (2016). For jomfruhummer, hesterejer og grønlandsrejer tager beregningen udgangs-
punkt i danske landinger.
b)
207
SAU, Alm.del - 2016-17 - Bilag 133: Diskussionsoplæg 2017, fra Det Miljøøkonomiske Råd
1728070_0211.png
Ægte opsparing. Diskussionsoplæg. Økonomi og Miljø 2017
Boks III.5
Metode: Fisk, fortsat
I beregningen antages, at ressourcerenten i pct. af omsætningen er konstant.
Teoretisk set stiger ressourcerenten, hvis bestanden vokser, og fiskeriet holdes
uændret. Det skyldes, at den samme mængde fisk kan fanges med en mindre
indsats. Af praktiske årsager ses der bort fra denne effekt, der kræver mere om-
fattende modellering at fastlægge.
Lille positivt
bidrag til den
ægte opsparing
Den gennemsnitlige opsparing i fiskeriressourcen i perioden
1991-2015 var 0,08 pct. af BNP pr. år. Opsparingen har
svinget mellem positiv og negativ, i tråd med at bestandene
af fiskearterne har ændret sig i perioden, jf. figur III.13.
20
Figur III.13 Opsparing i fiskeressourcen
Pct. af BNP
4.0
3.0
2.0
1.0
0.0
-1.0
-2.0
-3.0
-4.0
-5.0
-6.0
1990
1995
2000
2005
2010
2015
Gennemsnit
Opsparing
Kilde:
ICES, EU-Kommissionen, Landbrugs- og fiskeristyrelsen,
Danmarks Statistik (2011), Institut for fødevare og ressource-
økonomi (2011) og egne beregninger.
20)
Følsomhedsberegninger viser, at opsparingen kun ændres lidt, når
ressourcerenten ændres. Detaljer kan ses i et dokumentationsnotat
tilgængeligt på www.dors.dk.
208
SAU, Alm.del - 2016-17 - Bilag 133: Diskussionsoplæg 2017, fra Det Miljøøkonomiske Råd
1728070_0212.png
III.4 Naturressourcer
Forskel fra
tidligere analyse
skyldes
metodeændring
I De Økonomiske Råds formandskab (2012) fandt man en
gennemsnitlig opsparing i fiskeressourcen på -0,01 pct. af
BNP pr. år for perioden 1991-2010. Forskellen fra den tid-
ligere analyse skyldes dels, at man i 2012 beregnede opspar-
ingen med udgangspunkt i kvoter i stedet for andelen af
bestandene, og dels, at der blev benyttet en lavere ressour-
cerente på 2,5 pct. af omsætningen i fiskeriet. Det er valgt at
tage udgangspunkt i bestande i stedet for kvoter, da først-
nævnte giver et mere retmæssigt billede af udviklingen i
den danske fiskeressource. Stigningen i ressourcerenten til
16,2 pct. af omsætningen afspejler en større rentabilitet i
fiskeriet i årene 2008-14 i forhold til 1997-2009 (som var
den periode, ressourcerenten i De Økonomiske Råds for-
mandskab (2012) var beregnet på baggrund af). Den øgede
rentabilitet kan tyde på, at fiskeressourcerne med udpræget
anvendelse af individuelle omsættelige kvoter forvaltes
bedre. Der overlades dermed en bestand, der giver en større
ressourcerente til kommende generationer. Det bidrag til
opsparingen, som den bedre forvaltning har medført, er
afspejlet i ressourcerenten. Da ressourcerenten inden 2007
var markant lavere, er den beregnede opsparing i fisk over-
vurderet for årene 1991-2007.
Jord og arealanvendelse
Jord er en knap
ressource
Mange aktiviteter kræver anvendelse af jord. Det gælder
især for landbrugs- og skovdrift, men også andre erhverv,
infrastruktur og boliger lægger beslag på areal. Jord er såle-
des en begrænset ressource.
Den samlede mængde af jord i Danmark har været konstant
siden 1980 bortset fra mindre eroderinger ved kysterne. Der
er således ingen ændringer i mængden af jord, som påvirker
den ægte opsparing.
21
Uændret mængde
af jord
21)
Da prisen på jord er steget, kan der argumenteres for, at den
nationale formue (og dermed den ægte opsparing) også har været
stigende. Da der generelt anvendes faste priser i opgørelsen, ind-
går denne effekt imidlertid ikke, jf. afsnit III.2.
209
SAU, Alm.del - 2016-17 - Bilag 133: Diskussionsoplæg 2017, fra Det Miljøøkonomiske Råd
1728070_0213.png
Ægte opsparing. Diskussionsoplæg. Økonomi og Miljø 2017
Ændringer i
arealanvendelse
og ægte
opsparing
Ændringer i anvendelsen af jorden kan imidlertid påvirke
den samlede mængde kapital og dermed den ægte opspar-
ing. Når der bygges boliger eller infrastruktur på landbrugs-
jord, vokser den fysiske kapital. Stigningen i den fysiske
kapital indgår direkte i nationalregnskabets opgørelse af
kapital og formue.
Der er dog andre ændringer i arealanvendelse, der påvirker
nationalformuen, men som ikke indgår i nationalregnskabet.
Hvis et åbent naturområde som en eng eller en randzone
overgår til intensiv landbrugsdrift, vil det mindske biodiver-
siteten og dermed det fremtidige afkast af økosystem-
ydelser. Hvis der rejses skov på landbrugsjord, vil det øge
de rekreative muligheder samt medføre en opbygning i
vedmasse. Udover ændringer i arealanvendelse kan kvalitet-
en af eksisterende naturområder også forandres af andre
årsager. Det kan bl.a. medføre ændringer i den rekreative
værdi af området. En nylig undersøgelse af udviklingen i
danske naturområder viser eksempelvis, at tilstanden i klit-
hederne og anden lysåben natur er forværret i de seneste 10
år, jf. Nygaard mfl. (2017). Ændringer i rekreative mulighe-
der, vedmasse og andre økosystemydelser er ikke markeds-
omsat og indgår ikke i nationalregnskabets formueopgørelser.
Den mest markante ændring i arealanvendelsen siden 1980
er en omfattende omlægning af landbrugsjord mv. til skov-
areal. Der fokuseres derfor i det følgende på betydningen af
stigningen i skovarealet for den ægte opsparing.
Skov
Ikke-markeds-
omsatte afkast af
arealanvendelse
Ændring i
arealanvendelsen
Skov og ægte
opsparing
Det øgede skovareal genererer en række afkast, som ikke
allerede indgår i værdifastsættelsen af aktiver i national-
regnskabet. Ud over rekreative værdier vil en omlægning
fra landbrugsdrift til skovdrift bidrage til øget biodiversitet
og lagring af CO
2
. Når landbrugsjord omlægges til skov, vil
det også kunne bidrage til at sikre grundvandet mod pesti-
cidforurening ved konventionel landbrugsproduktion. Når
ny skov vokser op, skabes løbende en opsparing, fordi træet
på sigt kan sælges. Denne værdi indgår ikke i kapitalbe-
holdningen i nationalregnskabet. Jagtmulighederne er også
210
SAU, Alm.del - 2016-17 - Bilag 133: Diskussionsoplæg 2017, fra Det Miljøøkonomiske Råd
1728070_0214.png
III.4 Naturressourcer
bedre for skove end for landbrugsarealer. Ved skovrejsning
opnås derfor også et øget afkast i form af højere jagtleje.
Meget mere skov
Skovarealet er vokset fra at udgøre knap 500.000 hektar
(ha) i 1980 til knap 620.000 i 2015. Det svarer til, at skov-
ene er vokset fra at udgøre 11,6 pct. til 14,4 pct. af Dan-
marks samlede areal i perioden. Med undtagelse af et lille
fald i 2012 har skovarealet været stigende i perioden, jf.
Nielsen mfl. (2015) og Nord-Larsen mfl.(2016).
Nogle af gevinsterne ved øget skovareal indgår særskilt i
andre bidrag til den ægte opsparing. Det gælder f.eks.
grundvandsbeskyttelse og CO
2
-lagring. Det ville derfor
være dobbeltregning at medtage disse værdier også under
skov. Udviklingen i biodiversiteten beskrives i næste under-
afsnit. Eventuelle afledte sundhedsgevinster ved flere rekre-
ative områder er omfattet af beregningerne i afsnit III.5.
Ved opgørelsen af bidraget til den ægte opsparing fokuseres
derfor alene på ændringen i den rekreative værdi, op-
sparingen i træmassen og det øgede jagtafkast. Beregningen
af det øgede skovareals bidrag til ægte opsparing er nærme-
re beskrevet i boks III.6.
Værdier af skov
211
SAU, Alm.del - 2016-17 - Bilag 133: Diskussionsoplæg 2017, fra Det Miljøøkonomiske Råd
1728070_0215.png
Ægte opsparing. Diskussionsoplæg. Økonomi og Miljø 2017
Boks III.6
Metode: skov
Opsparingen i skov i pct. af BNP er beregnet på følgende måde:
=
(
+
)∙∆
,
hvor
∆W
t
er opsparingen i skov i år ,
p
r
og
p
k
er hhv. den rekreative og kommer-
cielle nutidsværdi pr. ha skov i 2010-priser.
∆k
t
er ændringen i det danske skov-
areal fra år
t-1
til
t
målt i ha.
FY
t
er BNP i faste 2010-priser i periode
t.
Rekreativ værdi (p
r
)
Den rekreative værdi er baseret på en opgørelse af værdien af rekreative områder
ud fra rejseomkostningsmetoden præsenteret i De Økonomiske Råds formandskab
(2014). Her findes en gennemsnitlig årlig rekreativ værdi af skove og andre na-
turområder på ca. 4.800 kr. pr. ha pr. år (2010-priser). Dette svarer til en rekreativ
nutidsværdi på ca. 159.000 kr. pr. ha (3 pct. diskonteringsrate). Den rekreative
værdi vil være lavere for en nyplantet skov end en ældre, mere tilvokset skov. Nu-
tidsværdien af den rekreative værdi skal således afspejle, at den fulde rekreative
værdi først opnås, når træerne har vokset tilpas længe. I De Økonomiske Råds
Sekretariat (2015) blev det opgjort, at den annuiserede rekreative værdi af en ny
skov svarer til 82 pct. af den (endelige) rekreative værdi for skov. Den rekreative
nutidsværdi for ny skov antages således at være 130.000 kr. pr. ha (2010-priser).
Kommerciel værdi (p
k
)
Den kommercielle værdi består af to dele: værdien af vedmasse og værdien af
jagtleje. I en ny skov vil der i en årrække være en stigning i træmassen (vedmas-
sen), som har karakter af en løbende opsparing, indtil træerne fældes og træet
sælges. Det antages på baggrund af beregningsmodellen anvendt i Petersen mfl.
(2016), at nutidsværdien af denne opsparing er på 20.000 kr. pr. ha. Ved opgørel-
sen af nutidsværdien af træmassen er ikke medregnet etableringsomkostninger
ved plantning. Det er endvidere antaget, at skovrejsning genererer øgede jagtind-
tægter svarende til en nutidsværdi på 10.000 kr. pr. ha. Ved en 3 pct. diskon-
teringsrate svarer dette til en årlig jagtindtægt på 300 kr. pr. ha, som er på niveau
med opgørelser af jagtindtægter i Lundhede mfl. (2010 og 2015). Den kommerci-
elle værdi antages således at være på 30.000 kr. pr. ha.
Beregningen er beskrevet i et dokumentationsnotat tilgængelig på www.dors.dk.
212
SAU, Alm.del - 2016-17 - Bilag 133: Diskussionsoplæg 2017, fra Det Miljøøkonomiske Råd
1728070_0216.png
III.4 Naturressourcer
Rekreativ værdi
Opgørelsen af den rekreative værdi er baseret på opgørelsen
af den rekreative værdi af knap 2.500 forskellige skove og
naturområder i Danmark præsenteret i De Økonomiske
Råds formandskab (2014). Her blev fundet en gennemsnit-
lig rekreativ værdi på 4.800 kr. pr. ha pr. år (2010-priser).
Dette beløb skal tolkes som den gennemsnitlige værdi af
hvert enkelt skovområde (og andre naturområder) givet
eksistensen af alle øvrige rekreative områder. Værdien kan
således tolkes som en marginal værdi. Der findes en række
andre opgørelser af den rekreative værdi af skov. Nogle
opgørelser finder lavere værdier, mens andre har højere
værdier end anvendt her, jf. boks III.7.
Baseret på antagelserne beskrevet i boks III.6 kan den årlige
opsparing i skov i perioden 1980-2015 opgøres til 0,04 pct.
af BNP pr. år, jf. figur III.14.
22
Bidraget har bortset fra et
enkelt år været positiv i alle årene, men bidraget har været
aftagende over tid.
Lille, positiv
opsparing i skov
22)
Det bemærkes, at bidraget til den ægte opsparing i pct. af BNP
har været aftagende, selvom der har været en forholdsvis jævn
stigning i skovarealet. Dette skyldes, at vækstraten i BNP har væ-
ret større end vækstraten i skovarealet.
213
SAU, Alm.del - 2016-17 - Bilag 133: Diskussionsoplæg 2017, fra Det Miljøøkonomiske Råd
1728070_0217.png
Ægte opsparing. Diskussionsoplæg. Økonomi og Miljø 2017
Boks III.7
Opgørelser af den rekreative værdi af skov
Der findes flere undersøgelser af den rekreative værdi af danske skove, jf. tabel A.
Tre studier opgør den rekreative værdi af skove og andre rekreative områder på
landsplan. Det nyeste af disse studier (De Økonomiske Råds formandskab (2014))
finder en noget højere gennemsnitlig værdi end Dubgaard (1998), som blev an-
vendt til at opgøre den rekreative værdi af skov i opgørelsen af den ægte opspa-
ring i De Økonomiske Råds formandskab (2012).
Foruden de landsdækkende opgørelser af rekreative værdier er der opgørelser af
den rekreative værdi af enkeltstående skove, tæt på byer eller i områder med høj
befolkningstæthed. Det fremgår af tabel A, at man i disse studier finder rekreative
værdier, der er højere end den gennemsnitlige værdi fra De Økonomiske Råds
formandskab (2014). Dette afspejler formentlig bynærhed og den høje befolk-
ningstæthed.
Tabel A Rekreative værdier fra danske værdisætningsstudier
Kr. pr. ha pr. år (2010-priser)
Hele Danmark
Dubgaard (1998)
Termansen mfl. (2013)
De Økonomiske Råds formandskab (2014)
Skove i Nordsjælland
Bjørner mfl. (2000)
c)
Hasler mfl. (2002)
c)
Zandersen mfl. (2007)
Andre danske skove
Dubgaard (2000)
d)
Hasler mfl. (2002)
e)
22.800
41.600
5.700
9.700
16.300
1.600
150-55.300
a)
4.800
b)
Anm: Værdierne er afrundet.
a) I tabellen er vist rekreativ værdi for skov med lavest og højest værdi.
b) Gennemsnit af marginalværdien af alle rekreative naturområder i Danmark over 50 ha.
c) Tokkekøb Hegn nær Allerød
d) Vestskoven vest for København.
e) Gjesing Plantage udenfor Esbjerg.
214
SAU, Alm.del - 2016-17 - Bilag 133: Diskussionsoplæg 2017, fra Det Miljøøkonomiske Råd
1728070_0218.png
III.4 Naturressourcer
Figur III.14 Opsparing i skov
Pct. af BNP
0.07
Opsparing
Gennemsnit
0.06
0.05
0.04
0.03
0.02
0.01
0.00
-0.01
1980
1985
1990
1995
2000
2005
2010
2015
Anm.:
Kilde:
Figuren viser det udglattede bidrag fra skov til den ægte opspa-
ring. Det er valgt at udglatte af to grunde. Dels bygger kurven i
årene 1980-2005 kun på data fra årene 1980, 1990, 2000 og
2005. For mellemliggende år antages en lineær udvikling. Dels
var der et lille fald i skovarealet i 2012, der ville give et stort
udslag i figuren. Pga. usikkerhed i opgørelsen af skovarealet er
det dog usikkert, om der faktisk var et fald dette år. Den gen-
nemsnitlige opsparing for kurven i figuren og i beregningen er
det samme.
DCE, Danmarks Statistisk, Statistikbanken, De Økonomiske
Råds formandskab (2014, 2015), Nielsen mfl. (2015), Nord-
Larsen mfl. (2016) og egne beregninger.
Højere rekreativ
værdi giver
højere opsparing
end tidligere
Bidraget til ægte opsparing på i gennemsnit 0,04 pct. af
BNP pr. år er ca. tre gange større end den seneste opgørelse
af opsparingen i skov, jf. De Økonomiske Råds formand-
skab (2012). Forskellen skyldes især, at der dengang blev
anvendt en noget lavere rekreativ værdi pr. ha baseret på
Dubgaard (1998), jf. boks III.7.
Biodiversitet
Biodiversitet
omfatter arter,
gener og
økosystemer
Biodiversitet betegner den mangfoldighed af liv, der findes i
naturen. Denne mangfoldighed findes på mange niveauer,
fra gener til arter og økosystemer. Man kender i dag ca. 1,6
mio. forskellige arter af planter, dyr, svampe og mikroorga-
nismer, jf. Catalogue of Life (2016). Det vurderes imidler-
tid, at det virkelige antal arter er mange gange større, måske
215
SAU, Alm.del - 2016-17 - Bilag 133: Diskussionsoplæg 2017, fra Det Miljøøkonomiske Råd
1728070_0219.png
Ægte opsparing. Diskussionsoplæg. Økonomi og Miljø 2017
i omegnen af 8,7 mio., jf. Mora mfl. (2011). I Danmark er
der registreret godt 35.000 arter i databasen Allearter.dk.
Ikke muligt at
beregne
opsparingen i
biodiversitet
Udviklingen i biodiversitet er relevant for opgørelsen af den
ægte opsparing, fordi samfundet er helt afhængigt af øko-
systemers funktioner. Mangel på data om udviklingen i
biodiversiteten gør det imidlertid svært at beregne bidraget
fra biodiversitet til den ægte opsparing. Der er også flere af
de afledte ydelser fra biodiversitet, som er vanskelige at
opgøre værdien af. Biodiversitet er dermed et af de aktiver,
der ikke indgår i opgørelsen af den ægte opsparing, men
hvis udvikling kan have en væsentlig betydning for den
menneskelige velfærd.
Biodiversiteten kan kategoriseres på mange måder, både
rent fysisk og i forhold til de værdier, den er ophav til, jf.
boks III.8. I det følgende drøftes kort forskellige ydelser
forbundet med biodiversitet. Derefter skitseres udviklingen i
den globale og den danske biodiversitet på baggrund af
forskellige indikatorer. Afslutningsvist præsenteres udvalgte
eksempler på økonomisk værdisætning af biodiversitet.
Indhold i afsnit
216
SAU, Alm.del - 2016-17 - Bilag 133: Diskussionsoplæg 2017, fra Det Miljøøkonomiske Råd
1728070_0220.png
III.4 Naturressourcer
Boks III.8
Biodiversitet
I boksen præsenteres kort fysiske mål for biodiversitet, samt de afledte værdier
forbundet med biodiversitet, som bidrager til den menneskelige velfærd.
Fysiske indikatorer for biodiversitet
Biodiversitet betegner den mangfoldighed af økosystemer, arter og gener, der
findes i naturen. Når biodiversitet skal opgøres fysisk, tages der ofte udgangs-
punkt i indikatorer for arter (antallet af arter og deres populationer), levesteder
(som skove, dødt ved) og processer i naturen, som er vigtige for biodiversiteten
(som skovbrande, græsning), jf. Ejrnæs mfl. (2011). De forskellige indikatorer
måles i forskellige enheder (f.eks. antal fugle, hyppighed af skovbrande, skovare-
al), hvorfor det er svært at lave en samlet indikator for udviklingen i biodiversitet.
For at opgøre udviklingen i biodiversitet er det derfor nødvendigt at vurdere en
række forskellige indikatorer.
Økosystemtjenester
Biodiversitet danner grundlag for velfærd gennem en række goder og tjenester,
mennesker får fra naturen. Disse såkaldte økosystemtjenester opdeles ofte i fire
overordnede kategorier, jf. Millennium Ecosystem Assessment (2005):
Forsynende økosystemtjenester,
som omfatter de produkter, vi får fra na-
turen (f.eks. fødevarer, råmaterialer, ferskvand, vandkraft og biomasse
mv.).
Regulerende økosystemtjenester,
der betegner goderne ved reguleringen af
økosystemprocesser (f.eks. luftkvalitets- og klimaregulering, naturlig re-
gulering af vandløb, nedbrydning af organisk materiale samt sygdoms- og
pestkontrol mv.).
Kulturelle økosystemtjenester,
som er de ikke-materielle goder, som men-
nesker får fra naturen (f.eks. rekreation, kundskab, æstetiske værdier mv.).
Støttende økosystemtjenester,
der er nødvendige for produktionen af alle
andre økosystemtjenester (f.eks. fotosyntese, jorddannelse samt nærings-
stoffers og vandets kredsløb mv.).
Økosystem-
tjenester bidrager
til velfærden
En vigtig kilde til værdi er de goder og tjenester, mennesker
får fra naturen. Disse omtales ofte ved samlebetegnelsen
økosystemtjenester. Eksempler på vigtige økosystemtjenes-
ter i Danmark, der er understøttet af biodiversitet, er be-
støvning, fiskeri og friluftsliv. Økosystemtjenester omfatter
også eksistensværdier, som er den nytte, man får af at vide,
217
SAU, Alm.del - 2016-17 - Bilag 133: Diskussionsoplæg 2017, fra Det Miljøøkonomiske Råd
1728070_0221.png
Ægte opsparing. Diskussionsoplæg. Økonomi og Miljø 2017
at noget (en art, et sted el.lign.) eksisterer, uden at man selv
har en brugsværdi af det.
23
Tab af
biodiversitet gør
velfærden mere
sårbar
Biodiversiteten er en forudsætning for udviklingen og til-
pasningen af økosystemer til forskellige geografiske og
klimatiske forhold gennem naturlig selektion. En nedgang i
biodiversitet kan derfor ikke kun medføre en nedgang i
produktionen af økosystemtjenester (f.eks. færre fisk, min-
dre CO
2
-lagring i træer osv.), men forringer også mulighed-
en for, at økosystemerne kan modstå ændringer som f.eks.
klimaforandringer, pest- og sygdomsudbrud. Tab af arter
gør økosystemer mere sårbare overfor potentielt irreversible
ændringer. Det skyldes, at modstandsdygtigheden i et øko-
system generelt stiger med antallet af arter, jf. Rockström
mfl. (2009) og UK NEA (2011). Dette gælder ikke kun i
“naturlige” økosystemer som skov og søer, men også men-
neskeskabte økosystemer som kornmarker og plantager.
24
Biodiversitet har derfor en potentielt vigtig forsikringsværdi
(eller optionsværdi) i forhold til at imødekomme fremtidige
ændringer i f.eks. klima.
Et andet aspekt ved biodiversitetens forsikringsværdi ved-
rører muligheden for at udvikle mediciner mod kendte og
ukendte sygdomme. Det gælder både for arter, der ikke er
opdaget endnu, og kendte arter, der endnu ikke er forsket i.
Mange af verdens mest brugte lægemidler er baseret på
naturligt forekommende stoffer i dyr og planter. Verdens-
sundhedsorganisationen skønner således, at 60 pct. af ver-
dens befolkning får dækket deres grundlæggende lægemid-
delbehov af naturmedicin, jf. Robinson og Zhang (2011).
En rigere biodiversitet giver større muligheder for at udvikle
morgendagens mediciner.
Biodiversitet
potentielt vigtig
kilde til
mediciner
23)
Der tales også om biodiversitetens iboende værdi, som alle øko-
systemer, arter mv. har, i kraft af at de eksisterer, jf. Redford mfl.
(2009) og Davidson (2013). Den iboende værdi er således uaf-
hængig af den menneskelige nytte og er derfor ikke relevant for
den ægte opsparing.
Gendiversitet giver eksempelvis større muligheder for at tilpasse
kommercielt vigtige arter som hvede og majs til klima-
forandringer, skadedyr og sygdomme.
24)
218
SAU, Alm.del - 2016-17 - Bilag 133: Diskussionsoplæg 2017, fra Det Miljøøkonomiske Råd
1728070_0222.png
III.4 Naturressourcer
Forsikringsværdi,
kritiske grænser
og forsigtigheds-
princippet
Biodiversitetens forsikringsværdi grunder i, at man ikke
ved, hvor mange økosystemer, arter og gendiversitet der kan
forsvinde, uden at det medfører en kollaps med katastrofale
følger. Begrebet kritiske grænser er derfor helt centralt, når
det gælder biodiversitet. De ovenfornævnte aspekter ved
biodiversitetens forsikringsværdi tilsiger en forvaltning af
den biologiske mangfoldighed i tråd med et forsigtigheds-
princip. Dette skyldes grundlæggende, at biodiversitet i
praksis er en ikke-fornybar ressource, da arternes udvikling
tager tusindvis af år. Der er derfor tale om irreversible æn-
dringer og stor usikkerhed omkring konsekvenserne ved tab
af biodiversitet.
Biodiversitet har i lighed med klimakapital karakter af et
globalt gode. Ydelser som CO
2
-lagring i Brasiliens regn-
skove kommer eksempelvis alle verdens lande til gode.
Samtidig er biodiversiteten uløseligt forbundet med de loka-
le omgivelser og klima. For sjældne og udsatte naturtyper
og arter betyder det, at et nationalt tab af biodiversitet kan
have global betydning. Det samme vil ikke være tilfældet
for en globalt meget udbredt art (f.eks. tyrkerduen), da den-
ne i princippet kan genindvandre. Der kan imidlertid være
andre grunde til national beskyttelse af almindelige arter,
f.eks. rekreative værdier.
Udviklingen i biodiversitet
Biodiversitet er
både globalt og
lokalt gode
Biodiversiteten er
i tilbagegang
globalt
På trods af de mange måder, biodiversitet bidrager til vel-
færden, er den globale biodiversitet i tilbagegang, og presset
forventes at vokse frem mod 2020. De vigtigste årsager til
denne tilbagegang er tab og forringelse af levesteder, over-
udnyttelse af arter (f.eks. overfiskning), forurening, invasive
arter og sygdomme samt klimaforandringer, jf. Global Bio-
diversity Outlook (2014) og WWF (2016). Nogle vurderer,
at den nuværende hastighed for tab af biodiversitet ikke kan
fortsætte, uden at det medfører en udbredt kollaps i øko-
systemers funktion, jf. Steffen mfl. (2015).
25
25)
Steffen mfl. (2015) er en opdatering af Rockström mfl. (2009),
hvor udviklingen i biodiversitet blev vurderet på antallet af arter,
der uddør hvert år. Denne indikator blev bl.a. kritiseret for ikke at
fange udviklingen i størrelsen af arternes populationer, jf. Mace
mfl. (2014). I Steffen mfl. (2015) vurderes biodiversitetens ud-
219
SAU, Alm.del - 2016-17 - Bilag 133: Diskussionsoplæg 2017, fra Det Miljøøkonomiske Råd
1728070_0223.png
Ægte opsparing. Diskussionsoplæg. Økonomi og Miljø 2017
Internationale
aftaler søger at
standse tab af
biodiversitet
Biodiversiteten
også i tilbagegang
i Danmark
Internationalt har man i en årrække arbejdet for at vende
denne trend, primært gennem FN’s Biodiversitetskonven-
tion fra 1992. Under konventionen har EU, og herunder
Danmark, vedtaget en målsætning om at standse tabet af
biodiversitet inden 2020.
26
På trods af denne målsætning er der bred enighed om, at der
er tilbagegang i den danske biodiversitet, jf. Agger mfl.
(2012), Ejrnæs mfl. (2011), Meltofte mfl. (2010), Nygaard
mfl. (2017) og Termansen mfl. (2015). Den præcise udvik-
ling i Danmarks biodiversitet er imidlertid svær at opgøre,
grundet et utilstrækkeligt datagrundlag og mangel på et
aggregeret mål for biodiversitet.
27
Det har derfor ikke været
muligt at angive ændringen i den samlede biodiversitet i
perioden.
Den undersøgelse, der kommer tættest på at opgøre ud-
viklingen i den totale biodiversitet i Danmark, er Ejrnæs
mfl. (2011). Studiet vurderer på baggrund af tilgængelige
data og ekspertvurderinger udviklingen i arter, levesteder og
processer for de ni overordnede naturtyper i Danmark, jf.
figur III.15. For hver naturtype er udvalgt arter, levesteder
og processer, som tilsammen repræsenterer naturtypens
samlede biodiversitet. De underliggende data for Ejrnæs
mfl. (2011) dækker forskellige tidsperioder og bygger
blandt andet på rødlisten fra 2010, jf. Wind og Ejrnæs
(2014).
28
For to tredjedele af elementerne er tidsserier ikke
tilgængelige, hvorfor udviklingen er baseret på ekspert-
vurderinger for de seneste 5-10 år.
Omfattende
dansk studie af
biodiversitetens
tilstand
vikling derfor også på, hvor meget af naturen der er i den samme
tilstand, som den var inden den industrielle udvikling.
26)
Målsætningen var oprindeligt at standse tabet af biodiversitet i
EU inden 2010, men dette mål blev ikke nået. Det er også
usikkert, om man vil nå målet i 2020, jf. Tucker mfl. (2016).
Selv når man vurderer alle tilgængelige kilder, er der betydelige
huller i viden om særlige arter og artsgrupper i Danmark. Der er
derfor en betydelig usikkerhed ved vurderingen af størrelsen og
hastigheden i ændringerne i biodiversiteten, jf. Ejrnæs (2011).
Rødlisten er en måde at klassificere arter efter deres status, f.eks.
uddød, kritisk truet osv.
27)
28)
220
SAU, Alm.del - 2016-17 - Bilag 133: Diskussionsoplæg 2017, fra Det Miljøøkonomiske Råd
1728070_0224.png
III.4 Naturressourcer
Tilbagegang i
mere end 70 pct.
af arterne
Figuren viser, at der overordnet set er tilbagegang i den
danske biodiversitet (markeret med rødt). Af alle de ele-
menter, der indgik i Ejrnæs mfl. (2011), var 47 pct. i til-
bagegang, herunder hele 72 pct. af arterne.
29
Tilbagegangen
er mest markant ved kysterne, græsland og heder, moser og
enge samt agerland og urbane områder. Det går dog også
fremad for nogle arter og økosystemer, f.eks. søer og vand-
løb. Denne fremgang skyldes bl.a., at udledningen af næ-
ringsstoffer fra landbruget er faldet i perioden, jf. Jensen
mfl. (2016).
Figur III.15 Udvikling i Danmarks ni vigtigste naturtyper
Anm.:
Kilde:
De røde områder indikerer tilbagegang, de grønne stabilitet
eller fremgang og de grå en usikker udvikling.
Ejrnæs mfl. (2011).
29)
Ejrnæs mfl. (2011) analyserede tilsammen 139 forskellige ele-
menter, fordelt på 65 arter eller artsgrupper (i alt mere end 600
arter), 43 levesteder og 31 processer.
221
SAU, Alm.del - 2016-17 - Bilag 133: Diskussionsoplæg 2017, fra Det Miljøøkonomiske Råd
1728070_0225.png
Ægte opsparing. Diskussionsoplæg. Økonomi og Miljø 2017
Danske
ynglefugle i
tilbagegang
Et stort problem ved at opgøre udviklingen i biodiversiteten
over tid er, at der ikke findes tidsserier for særlig mange
arter og økosystemer. En vigtig undtagelse i Danmark er
fugle, hvor Dansk Ornitologisk Forening siden 1975 har
indsamlet data ved hjælp af punkttællinger for mere end 100
fuglearter. Der har været en negativ trend i antallet af al-
mindelige danske ynglefugle i perioden 1980-2015, jf. figur
III.16 Indikatoren dækker over, at omtrent halvdelen af de
110 arter, der indgår, er i tilbagegang, mens omtrent hver
fjerde art er i fremgang, jf. Fenger mfl. (2016).
Figur III.16 Indeks for alle almindelige danske ynglefugle
Indeks
150
140
130
120
110
100
90
80
70
60
50
1980
1985
1990
1995
2000
2005
2010
2015
Anm.:
Kilde:
Indekset for alle almindelige danske ynglefugle er baseret på
punkttællinger af 110 fuglearter i perioden 1980-2015. Basis-
året er 2010.
Fenger mfl. (2016).
Rødlister opgør
antal af truede og
uddøde arter
En anden indikator for udviklingen i biodiversiteten er de
danske rødlister over truede arter. Den første samlede, na-
tionale rødliste udkom i 1990, og er siden blevet opdateret i
1997 og 2010.
30
Den seneste rødliste viser, at der er 303
arter, der er forvundet fra Danmark siden 1850, mens hhv.
369 og 496 arter blev vurderet som kritisk truede og truede i
30)
Der har imidlertid været metodemæssige ændringer undervejs,
som gør det svært at bruge ændringen i antallet af truede og ud-
døde arter som indikator for biodiversitetens udvikling.
222
SAU, Alm.del - 2016-17 - Bilag 133: Diskussionsoplæg 2017, fra Det Miljøøkonomiske Råd
1728070_0226.png
III.4 Naturressourcer
2010, jf. Wind og Ejrnæs (2014). Rødlisten behandler godt
10.500 arter, som svarer til ca. en tredjedel af de kendte
arter i Danmark.
31
Naturindeks
samlet mål for
kvantitet og
kvalitet
Udviklingen i antal arter og deres levesteder kan siges at
være en indikator for kvaliteten af den biologiske mang-
foldighed, mens udbredelsen (arealet) af en bestemt type
økosystem er en indikator for biodiversitetens kvantitet. I
enkelte lande har man forsøgt at udarbejde en samlet indi-
kator for biodiversitetens kvantitet og kvalitet i et såkaldt
naturindeks.
32
Denne form for indeks er beskrevet i Nor-
mander mfl. (2009), hvor naturindeks for forskellige dele af
biodiversiteten i de nordiske lande er konstrueret. Norman-
der mfl. (2009) finder i lighed med Ejrnæs mfl. (2011), at
det primære problem i Danmark er forringelser i kvaliteten
af biodiversiteten, mens kvantiteten (arealerne) er rimelig
stabile.
Værdisætning af biodiversitet
Den samlede
værdi af
biodiversitet er
uendelig
Usikkerheden omkring udviklingen i den samlede bio-
diversitet er afspejlet i den litteratur, der forsøger at værdi-
sætte biodiversitetens bidrag til velfærden. Den samlede
værdi af biodiversiteten kan siges at være uendelig stor,
eftersom en verden uden biodiversitet er ensbetydende med
en planet uden liv. Der kan derfor stilles spørgsmålstegn
ved, om det er meningsfyldt at opgøre den samlede værdi af
biodiversitet.
33
Værdien af ændringer i biodiversiteten er
derimod relevant for at kunne vurdere omkostningen ved
det tab af biodiversitet, der finder sted. Der er udført et stort
antal studier, der belyser værdien af forskellige aspekter ved
biodiversitet. I disse studier værdisættes typisk rekreative og
31)
32)
Rødlisten vurderer kun arter, der er hjemmehørende i Danmark.
Nyindvandrede og indførte arter er ikke vurderet.
Der er for nylig udarbejdet et naturkapitalindeks over de danske
kommuner, jf. Skov mfl. (2017). Indekset viser den nuværende
tilstand af naturen, men ikke dennes udvikling over tid.
Costanza mfl. (1997) opgjorde den samlede værdi af verdens
økosystemtjenester og naturkapital til ca. det dobbelte af verdens
daværende BNP. Opgørelsen blev stærkt kritiseret både for belø-
bets størrelse og for at opgøre den totale værdi baseret på margi-
nale priser, jf. Bockstael mfl. (2000) og Pearce (1998).
33)
223
SAU, Alm.del - 2016-17 - Bilag 133: Diskussionsoplæg 2017, fra Det Miljøøkonomiske Råd
1728070_0227.png
Ægte opsparing. Diskussionsoplæg. Økonomi og Miljø 2017
eksistensværdier samt enkelte regulerende økosystemtjene-
ster som bestøvning. Biodiversitetens rolle i naturens mod-
standsdygtighed overfor f.eks. klimaforandringer og om-
kostningerne ved at overskride kritiske grænser for biolog-
isk mangfoldighed er i meget mindre omfang værdisat.
Udenlandske
værdisætnings-
studier
Blandt de mest omfattende studier af biodiversitetens værdi
kan nævnes UK NEA (2011) og Bateman mfl. (2014). UK
NEA opgjorde den årlige værdi af biodiversitetens bidrag til
en række økosystemtjenester i Storbritannien til ca. 0,3 pct.
af BNP.
34
The Economics of Ecosystems and Biodiversity
(TEEB) (2010) er et globalt initiativ, der har som mål at
bevidstgøre og demonstrere værdien af økosystemtjenester
og biodiversitet for beslutningstagere på det lokale, natio-
nale og globale niveau.
35
UK NEA og TEEB har i høj grad
bidraget til at sætte værdien af biodiversitet og økosystem-
tjenester på den internationale dagsorden, jf. Atkinson mfl.
(2012).
På EU-niveau har man forsøgt at opgøre en aggregeret vær-
di af Natura 2000-netværket, jf. EU-Kommissionen
(2013).
36
Undersøgelsen viser, at den samlede årlige værdi
af netværket er i omegnen af 2-3 pct. af EU's BNP. Gevin-
sterne ved Natura 2000-netværket omfatter primært den
rekreative værdi ved de forskellige områder, men enkelte
markedsgoder og forsynende økosystemtjenester indgår
også.
Værdien af
Natura 2000-
netværket
34)
De 0,3 pct. af BNP inkluderer betalingsvilje for bl.a. beskyttelse
af arter, værdien af levesteder samt værdien af bestøvning for
landbrugsproduktionen. Den samlede årlige værdi af alle økosy-
stemtjenester værdisat i UK NEA blev opgjort til omkring 2,3
pct. af BNP (ekskl. fødevareproduktion i landbrug og til havs).
I TEEB er ikke opgjort et samlet beløb for værdien af økosystem-
tjenester, men snarere præsenteret illustrative case-beregninger.
Natura 2000-områder har som formål at beskytte biodiversitet, og
dækker godt 26.000 områder over hele EU (18 pct. af EU's areal).
35)
36)
224
SAU, Alm.del - 2016-17 - Bilag 133: Diskussionsoplæg 2017, fra Det Miljøøkonomiske Råd
1728070_0228.png
III.4 Naturressourcer
Danske værdi-
sætningsstudier
fokuserer på
kulturelle
værdier
I Danmark er der også lavet en række værdisætningsstudier
af forskellige økosystemtjenester relateret til biodiversitet.
De fleste af studierne fokuserer på de kulturelle værdier af
biodiversitet, især rekreation og eksistensværdier, jf. Ter-
mansen mfl. (2015).
37
Generelt finder studierne en betydelig
betalingsvilje for beskyttelse af naturområder og arter.
Blandt de nyere studier kan nævnes Campbell mfl. (2014),
som finder en positiv betalingsvilje for at bevare truede
arter såvel som for plads til naturlige processer (dødt ved) i
skove. I boks III.9 præsenteres et simpelt regneeksempel for
værdien af tab af arter med udgangspunkt i danske værdi-
sætningsstudier. I eksemplet beregnes det årlige tab af to
danske arter til at udgøre mellem 0,16 og 3,8 pct. af BNP.
Udover værdisætningsstudier er der også lavet konsekvens-
analyser af et potentielt tab af biodiversitet. Axelsen mfl.
(2011) beregner værdien af bestøvning for dansk landbrug
til 0,4-0,7 mia. kr. årligt (ca. 0,03 pct. af BNP ). Denne vær-
di er opgjort som andelen af landbrugsproduktion, der er
afhængig af insektbestøvning. Der ses imidlertid bort fra
andre indsatsfaktorer i produktion af f.eks. frugt (arbejds-
kraft mv.), hvorfor den beregnede værdi er et klart over-
kantskøn.
Der findes således en del opgørelser af værdien af forskel-
lige dele af den danske biodiversitet, men der er også mange
værdier, der ikke er opgjort. Det gælder især værdien af de
regulerende økosystemtjenester (f.eks. regulering af over-
svømmelser) og forsikringsværdien af biodiversitetens mod-
standsdygtighed overfor fremtidige ændringer i f.eks. klima,
sygdomme og forurening. Derudover er der også et poten-
tielt tab for danskere ved, at arter i andre lande uddør.
38
Værdien af
bestøvning
Store dele af
biodiversiteten er
ikke værdisat
37)
En oversigt over forskellige danske undersøgelser af rekreative
værdier ved naturområder er beskrevet i boks III.7. En større
gennemgang af danske værdisætningsstudier af biodiversitet er
præsenteret i De Økonomiske Råds formandskab (2012).
Denne værdi giver sig delvist til udtryk bl.a. gennem kampagner
for at redde såkaldt karismatiske arter (f.eks. pandaer og isbjørne).
38)
225
SAU, Alm.del - 2016-17 - Bilag 133: Diskussionsoplæg 2017, fra Det Miljøøkonomiske Råd
1728070_0229.png
Ægte opsparing. Diskussionsoplæg. Økonomi og Miljø 2017
Boks III.9
Regneeksempel for værdien af tabet af arter i Danmark
I det følgende foretages en illustrativ beregning af det tab, der er forbundet med,
at arter er forsvundet fra Danmark i perioden 1980-2015. Beregningen bygger på
den antagelse, at betalingsviljen for at beskytte en art fra at uddø svarer til tabet
ved, at en art forsvinder. Det kan dog godt tænkes, at værdien af tabet af en art er
højere end betalingsviljen for at beskytte en art (willingness
to accept
er højere
end
willingness to pay),
jf. Pearce mfl. (2006). Følgende udtryk beregnes:
=
,
hvor
V
T
er nutidsværdien af tab af arter pr. år,
A
er antallet af arter, der er uddøde i
løbet af året,
WTP
h
er betalingsviljen pr. art pr. husholdning,
H
er antallet af hus-
holdninger, og
r
er diskonteringsraten.
Ifølge rødlisten fra 2010 er der forsvundet 303 arter i Danmark siden 1850, jf.
Wind og Ejrnæs (2014). Antages, at disse arter er forsvundet med jævnt tempo,
svarer det til ca. 2 arter om året.
Betalingsviljen for at sikre overlevelsen til navngivne og ikke-navngivne arter i
danske heder er undersøgt i Jacobsen mfl. (2008). De finder, at betalingsviljen er
meget højere for en identificeret art end for en gruppe på 25 ikke-navngivne arter.
Den gennemsnitlige betalingsvilje for at bevare en art varierer mellem ca. 10-350
kr. (2010-priser). I et andet studie finder Campbell mfl. (2014) betalingsviljen for
at sikre overlevelsen af hhv. 50 og 100 truede arter i Danmark. Betalingsviljen
varierer mellem 15-25 kr. pr. art (2010-priser).
Der beregnes en nutidsværdi af det årlige tab af to arter baseret på en gennemsnit-
lig årlig betalingsvilje pr. husstand på 15 kr. pr. art, og en diskonteringsrate på 3
pct. Det giver et årligt tab på ca. 2,2 mia. kr., svarende til -0,16 pct. af BNP i peri-
oden 1980-2015 i gennemsnit. Anvendes i stedet en betalingsvilje på 350 kr.,
giver det et årligt tab på ca. 52 mia. kr., svarende til i gennemsnit -3,8 pct. af
BNP.
I regneeksempelet er ikke taget højde for at der i perioden også er indvandret nye
arter til Danmark, eller den eventuelle nedgang i bestande af forskellige arter. I
nogle tilfælde vil en art, der er uddøet i Danmark, leve i bedste velgående andre
steder i verden. I dette regneeksempel er der ikke taget højde for, hvordan det evt.
påvirker betalingsviljen i befolkningen.
226
SAU, Alm.del - 2016-17 - Bilag 133: Diskussionsoplæg 2017, fra Det Miljøøkonomiske Råd
1728070_0230.png
III.5 Menneskeskabte formuegoder
Den samlede ægte
opsparing er
sandsynligvis
overvurderet
I dette underafsnit har biodiversitetens bidrag til velfærden
og økonomiske værdi samt udviklingen i global og national
biodiversitet været i fokus. På trods af manglende viden om
størrelsen af de konkrete ændringer i den samlede bio-
diversitet og værdien heraf, er der meget der tyder på, at der
har været en nedsparing i biodiversitet i perioden 1980-
2015. Fordi denne ændring ikke kan kvantificeres, kan den
ikke medregnes i den samlede ægte opsparing. Det trækker
isoleret set i retning af, at den samlede ægte opsparing er
overvurderet.
III.5 Menneskeskabte formuegoder
Menneskeskabt
kapital i bred
forstand
Traditionelt bruges begrebet den nationale opsparing om
ændringerne i de dele af nationalformuen, der opgøres i
nationalregnskabet. Det omfatter dels det fysiske inden-
landske kapitalapparat som bygninger og maskiner og dels
de finansielle nettofordringer på udlandet (nettoudlands-
formuen). Siden 2014 har det danske nationalregnskab også
beregnet en særlig beholdning af intellektuelle rettigheder,
primært værdien af de afholdte investeringer i forskning og
udvikling i Danmark. I det følgende gennemgås udviklingen
i fysisk, videns- og finansiel kapital (hvor videnskapitalen
er identisk med nationalregnskabets opgørelse af intellek-
tuelle rettigheder). Udover de traditionelle kapitaltyper er
der flere menneskeskabte kapitaltyper, der kan bidrage til
den ægte opsparing. I dette afsnit behandles tre af dem,
nemlig humankapital, sundhedskapital og social kapital.
Fysisk kapital
Fysisk kapital
domineres af
bygningsmassen
Det fysiske kapitalapparat udgjorde primo 2016 ca. 5.900
mia. kr. eller ca. 3 gange BNP. Langt hovedparten heraf,
nemlig ca. 85 pct., består af bygninger og anlæg. Private
boliger udgjorde alene halvdelen af det fysiske kapital-
apparat, mens erhvervsbygninger stod for 22 pct. og anlæg
for 13 pct. Maskiner og inventar udgør ca. 10 pct. og trans-
portmidler ca. 5 pct. Endelig opgøres værdien af land-
brugets stambesætninger for sig, men udgjorde “kun” en
værdi på knap 9 mia. kr. eller ca. 1�½ promille af det samle-
227
SAU, Alm.del - 2016-17 - Bilag 133: Diskussionsoplæg 2017, fra Det Miljøøkonomiske Råd
1728070_0231.png
Ægte opsparing. Diskussionsoplæg. Økonomi og Miljø 2017
de kapitalapparat. Værdien af det samlede jordareal her-
hjemme indgår ikke i kapitalapparatet.
Nettoopsparing i
fysisk kapital
udgør ca. 2 pct.
af BNP
Den årlige nettoopsparing i fysisk kapital er lig med æn-
dringen i det fysiske kapitalapparat herhjemme, som igen er
lig med årets bruttoinvesteringer fratrukket nedslidningen af
det eksisterende kapitalapparat (afskrivningerne). Nedslid-
ningen udgør knap 13 pct. af BNP i gennemsnit i perioden,
jf. figur III.17. Udviklingen i nedslidningen er ret jævn med
en ganske svagt stigende tendens, i hvert fald frem til krisen
i slutningen af 00’erne. Bruttoinvesteringerne svinger i
modsætning til nedslidningen betydeligt mere over tid, da
de er meget konjunkturfølsomme. I gennemsnit har de ud-
gjort knap 15 pct. af BNP i hele perioden. Som for afskriv-
ningerne har bruttoinvesteringerne som andel af BNP udvist
en svag tendens til stigning. Nettoopsparingen i fysisk kapi-
tal har dermed udgjort ca. 2 pct. af BNP i gennemsnit i alle
årene 1980-2015, men med store udsving i de enkelte år. I
lavkonjunkturårene i starten af 1980’erne, i starten af
1990’erne og under finanskrisen omkring 2010 var op-
sparingen i fysisk kapital således direkte negativ.
228
SAU, Alm.del - 2016-17 - Bilag 133: Diskussionsoplæg 2017, fra Det Miljøøkonomiske Råd
1728070_0232.png
III.5 Menneskeskabte formuegoder
Figur III.17 Opsparing i fysisk kapital
Pct. af BNP
30
Opsparing
Gennemsnit (opsparing)
25
Bruttoinvesteringer
Nedslidning
20
15
10
5
0
-5
1980
1985
1990
1995
2000
2005
2010
2015
Anm.:
Kilde:
Ændringer i fysisk kapital udgør bidraget til den ægte opspa-
ring. De er i al væsentlighed lig med bruttoinvesteringer fra-
trukket kapitalnedslidning. Pga. opgørelsen i faste priser gælder
sammenhængen dog ikke 100 pct.
Danmarks Statistik, Statistikbanken og egne beregninger.
Videnskapital
Videnskapital
domineres af
investeringer
i forskning
Værdien af intellektuelle rettigheder udgjorde ifølge natio-
nalregnskabet primo 2016 478 mia. kr. eller ca. en fjerdedel
af BNP. Knap tre fjerdedele heraf bestod af den akkumu-
lerede værdi af tidligere investeringer i forskning og udvik-
ling (F&U); andre 20 pct. udgjordes af computer-software.
Den akkumulerede kapital mht. olie-, gas- og mineral-
efterforskning (eksempelvis afholdte omkostninger ved at
lede efter nye fund) og originalværker indenfor kunst og
underholdning mv. hver udgjorde ca. 4 pct. af værdien af
den samlede videnskapital.
39
39)
Nationalregnskabet inkluderer dog fortsat kun en delmængde af
de investeringer i såkaldte “intangible assets”, som foretages for
at øge produkters og virksomheders værdi. Disse inkluderer også
omkostninger til bl.a. organisatoriske ændringer og reklame, jf.
OECD (2009).
229
SAU, Alm.del - 2016-17 - Bilag 133: Diskussionsoplæg 2017, fra Det Miljøøkonomiske Råd
1728070_0233.png
Ægte opsparing. Diskussionsoplæg. Økonomi og Miljø 2017
Væsentlig
stigning i brutto-
investeringer i
videnskapital
Der er sket en meget betydelig stigning i bruttoinvestering-
erne i videnskapital siden 1980, jf. figur III.18. Den bereg-
nede nedslidning af videnskapitalen er imidlertid steget
næsten lige så meget, og den årlige stigning i kapitalgodet
har derfor været beskeden, nemlig 0,4 pct. af BNP i gen-
nemsnit i hele perioden. Ses udelukkende på årene 1980-99,
har stigningen været på 0,3 pct. af BNP, mens den har ud-
gjort 0,6 pct. af BNP i gennemsnit siden årtusindskiftet. Der
har således været en positiv trend i denne ægte opsparings-
komponent.
Figur III.18 Opsparing i videnskapital
Pct. af BNP
6
Opsparing
Gennemsnit (opsparing)
5
Bruttoinvesteringer
Nedslidning
4
3
1
0
-1
1980
1985
1990
1995
2000
2005
2010
2015
Kilde:
Danmarks Statistik, Statistikbanken og egne beregninger.
Beregning
kommer nu
direkte fra
nationalregnskab
I forhold til De Økonomiske Råds formandskabs seneste
opgørelse af den ægte opsparing i
Økonomi og Miljø, 2012
er beregningsgrundlaget for videnskapital grundlæggende
ændret. Da nationalregnskabet tidligere ikke har offentlig-
gjort tal for den danske forsknings- og udviklingskapital,
byggede den foregående opgørelse på en beregning baseret
på tal fra Eurostat suppleret med selvstændige antagelser
om nedslidningsrater mv. Det grundlæggende princip bag
beregningen var dog den samme som den, nationalregn-
skabet i dag anvender. I begge tilfælde er kapitalens udvik-
ling over tid beregnet ud fra oplysninger om den årlige til-
gang (bruttoinvesteringerne), en antaget nedslidningsrate og
230
SAU, Alm.del - 2016-17 - Bilag 133: Diskussionsoplæg 2017, fra Det Miljøøkonomiske Råd
1728070_0234.png
III.5 Menneskeskabte formuegoder
antagelser om det initiale niveau for kapitalens størrelse.
Nationalregnskabets nedslidningsrater bygger på antagelser
om en levetid for grundforskning på 12 år, anvendt forsk-
ning på 10 år og udviklingsarbejde på 8 år, jf. Danmarks
Statistik (2014). I De Økonomiske Råds formandskab
(2012) anvendtes en generel nedslidningsrate på 15 pct.,
baseret på Hall mfl. (2010).
Positive og
grænse-
overskridende
eksternaliteter
En meget væsentlig forskel på traditionel fysisk kapital og
forsknings- og udviklingskapital er, at sidstnævnte er præget
af potentielt væsentlige positive eksternaliteter. Viden kan
benyttes af flere personer og/eller virksomheder på samme
tidspunkt, og ofte er det omkostningsfuldt eller direkte umu-
ligt for producenten af ny viden at udelukke andre fra at
erhverve og benytte sig af den pågældende viden. Forsk-
nings- og udviklingskapital har dermed elementer af et of-
fentligt gode. Disse positive eksterne effekter er grænse-
overskridende. Danmark må derfor formodes også at have
betydelig gavn af de investeringer i forskning og udvikling,
der har fundet sted globalt i perioden siden 1980. Da stig-
ningen i det globale vidensniveau også har betydning for
Danmarks fremtidige forbrugsmuligheder, bør virkningen
heraf i princippet også medregnes i den ægte opsparing.
Den globale forsknings- og udviklingskapital opgjort ud fra
nationale F&U-investeringer er steget markant i perioden
1980-2015, jf. figur III.19. Danmarks forskningskapital som
opgjort af Danmarks Statistik udgør kun ca. �½ pct. af den
samlede globale F&U-kapital med en faldende tendens. Den
årlige stigning i den globale F&U-kapital har gennemsnit-
ligt udgjort tæt ved 100 pct. af Danmarks BNP.
Danmarks F&U-
kapital udgør ca.
�½ pct. af den
globale kapital
231
SAU, Alm.del - 2016-17 - Bilag 133: Diskussionsoplæg 2017, fra Det Miljøøkonomiske Råd
1728070_0235.png
Ægte opsparing. Diskussionsoplæg. Økonomi og Miljø 2017
Figur III.19 Global F&U-kapital
Pct. af Danmarks BNP
4000
3500
3000
2500
2000
1500
1000
500
0
1980
1985
1990
1995
2000
2005
2010
2015
Anm.:
Kilde:
Figuren viser udenlandsk forsknings- og udviklingskapital i pct.
af dansk BNP.
OECD, UNESCO, Danmarks Statistik, Statistikbanken og egne
beregninger.
Overordentlig
stor usikkerhed
om spillover-
effekten
Det er imidlertid forbundet med overordentlig stor usikker-
hed at vurdere effekten af denne udenlandske F&U på den
danske “ægte formue”. Ikke al den udenlandskproducerede
viden er relevant for Danmark. Nye produktionsprocesser
og varer vil være mere relevante for nogle lande end for
andre. En række undersøgelser af de såkaldte spillover-
effekter mellem lande peger på, at det investerende land får
mere ud af en investering i F&U, end omverdenen gør. Iføl-
ge Bottazzi og Peri (2007) er der en elasticitet mellem front-
linjeforskerlandenes (defineret som G7-landenes) videns-
kapital og mængden af teknologiske innovationer i mindre
lande på 0,75. Dermed er en stigning i F&U-kapitalen i G7-
landene på 1 pct. associeret med en stigning på ¾ pct. i de
mindre landes innovationsmængde.
På grund af den store usikkerhed er der afstået fra at kvanti-
ficere betydningen af væksten i den globale forsknings-
kapital for Danmarks ægte opsparing.
40
40)
I De Økonomiske Råds formandskab (2012) blev det vurderet, at
et centralt skøn for udlandets bidrag til den danske videnskapital
udgjorde ca. 0,2 pct. af BNP årligt i perioden 1990-2010. Det
International
spillover ikke
opgjort
232
SAU, Alm.del - 2016-17 - Bilag 133: Diskussionsoplæg 2017, fra Det Miljøøkonomiske Råd
1728070_0236.png
III.5 Menneskeskabte formuegoder
Finansiel kapital
Finansiel
opsparing er
lig med
nettofordrings-
erhvervelsen
Danmarks finansielle nettoopsparing er lig med netto-
fordringserhvervelsen overfor udlandet. Den består af den
opsparing, der finder sted i form af danskernes køb af uden-
landske værdipapirer fratrukket udenlandske køb af danske
værdipapirer. Nettofordringserhvervelsen opgøres af natio-
nalregnskabet i løbende priser. Da beregningen af den ægte
opsparing som tidligere nævnt af praktiske grunde foretages
i faste priser, er det valgt at deflatere nettofordrings-
erhvervelsen med BNP-deflatoren. Den finansielle opspar-
ing som andel af BNP, har dermed samme deflator i tæller
og nævner.
Udviklingen i den finansielle opsparing har været meget
iøjnefaldende i perioden: Den er gået fra at udgøre -2,5 til
8,7 pct. af BNP fra 1980 til 2015, altså en stigning på over
11 pct. af BNP, jf. figur III.20. I gennemsnit over alle årene
udgør opsparingsbidraget fra den finansielle kapital godt 2
pct. af BNP og er dermed langtfra den største komponent i
den ægte opsparing, men den udviser den klareste trend-
mæssige ændring af alle de undersøgte delmængder.
Der kan umiddelbart peges på to væsentlige samfunds-
ændringer, som har understøttet en større opsparing i den
betragtede periode. For det første har en række skatte-
reformer i 1987, 1993, 1998 og 2009 systematisk reduceret
rentefradraget, der reelt virker som et subsidium til gæld-
sætning. Det har stimuleret den private opsparing. Samtidig
må den store stigning i obligatoriske arbejdsmarkeds-
pensionsordninger formodes at have medført større privat
netto-opsparing. Den stigende opsparingskvote har ikke
medført en nævneværdig stigning i de indenlandske netto-
investeringskvoter i fysisk og videnskapital, (jf. figur III.17
og figur III.18), men er i stedet slået ud i opbygningen af en
finansiel udlandsformue.
Stigning på over
11 pct. af BNP
Obligatorisk
opsparing og
reduceret
rentefradrag
vigtige årsager
samlede bidrag til den ægte opsparing fra videnskapital blev be-
regnet til 0,8 pct. af BNP årligt.
233
SAU, Alm.del - 2016-17 - Bilag 133: Diskussionsoplæg 2017, fra Det Miljøøkonomiske Råd
1728070_0237.png
Ægte opsparing. Diskussionsoplæg. Økonomi og Miljø 2017
Figur III.20 Opsparing i finansiel kapital
Pct. af BNP
10
Opsparing
Gennemsnit
8
6
4
2
0
-2
-4
-6
1980
1985
1990
1995
2000
2005
2010
2015
Kilde:
Danmarks Statistik, Statistikbanken og egne beregninger.
Samlet kapital
er steget noget
hurtigere end
BNP
I Den samlede kapitalbeholdning, (summen af værdien af
fysisk, videns- og finansiel kapital), var faldende i starten af
1980’erne, men er siden i de allerfleste år steget hurtigere
end BNP, jf. figur III.21. Ved slutningen af 2015 udgjorde
kapitalen ca. 550 pct. af BNP mod ca. 400 pct. i 1980. Mens
det fysiske kapitalapparat er faldet relativt til BNP, er vi-
denskapitalen steget kraftigt, og den finansielle kapital er
gået fra at være en nettogæld til at udgøre et tilgodehavende
på ca. 50 pct. af BNP.
234
SAU, Alm.del - 2016-17 - Bilag 133: Diskussionsoplæg 2017, fra Det Miljøøkonomiske Råd
1728070_0238.png
III.5 Menneskeskabte formuegoder
Figur III.21 Udviklingen i samlet kapitalbeholdning
Pct. af BNP
700
600
500
400
300
200
100
0
-100
1980
1985
1990
1995
2000
2005
2010
2015
Samlet
Fysisk
Viden
Finansiel
Anm.:
Kilde:
I figuren ses dels udviklingen i den samlede kapitalbeholdning,
altså de dele af nationalformuen, som opgøres i det traditionelle
nationalregnskab, og dels udviklingen i de tre delkomponenter
hver for sig. Opgørelsen er foretaget i faste priser.
Danmarks Statistik, Statistikbanken og egne beregninger.
Humankapital
Humankapital
vigtig for velstand
og velfærd
Humankapitalen omfatter alle de færdigheder, som menne-
sker enten er født med eller udvikler i løbet af livet, f.eks.
uddannelse, viden og evner. Den samlede humankapital i
befolkningen kan på samme måde som den fysiske kapital
betragtes som et aktiv, der bidrager til produktionen og øger
produktiviteten i samfundet. Derudover kan humankapitalen
også bidrage til en større glæde af fritid. Humankapital er
derfor en vigtig faktor i den ægte opsparing.
Der er mange måder at opbygge humankapital på, hvoraf
den mest grundlæggende er uddannelse. I løbet af perioden
1980-2015 er danskerne blevet mere uddannet. Den gen-
nemsnitlige uddannelseslængde er således steget med ca.
1,4 år i perioden, fra 10,9 år til 12,2 år, jf. figur III.22.
Der er umiddelbart to metoder til at beregne humankapita-
lens bidrag til den ægte opsparing, som begge forsøger at
opgøre den samfundsmæssige værdi af uddannelse. Om-
kostningsmetoden bygger på de omkostninger, der er brugt
235
Uddannelse
central i
opbygning af
humankapital
To metoder til
at opgøre
humankapital
SAU, Alm.del - 2016-17 - Bilag 133: Diskussionsoplæg 2017, fra Det Miljøøkonomiske Råd
1728070_0239.png
Ægte opsparing. Diskussionsoplæg. Økonomi og Miljø 2017
til at skabe humankapitalen, herunder direkte udgifter til
undervisning og et skøn for tabt arbejdsfortjeneste, mens
man er under uddannelse.
41
Indkomstmetoden tager ud-
gangspunkt i det afkast, uddannelse giver, i form af højere
livsindkomst. I det følgende præsenteres beregninger af
bidraget fra humankapital til den ægte opsparing opgjort
ved de to metoder.
Figur III.22 Gennemsnitlig uddannelseslængde
År
12.5
12.0
11.5
11.0
10.5
10.0
1980
1985
1990
1995
2000
2005
2010
2015
Anm.:
Kilde:
Figuren angiver den gennemsnitlige uddannelseslængde for
befolkningen i alderen 16-66 år.
DREAM.
Omkostnings-
metoden:
Opsparingen i humankapital beregnet fra omkostningssiden
består af de afholdte udgifter til undervisning og et skøn for
den tabte arbejdsfortjeneste i forbindelse med uddannelse.
42
For at fange værdien af hele befolkningens humankapital og
ikke kun dem, der er uddannet mellem 1980-2015, indgår
også tidligere års omkostninger i beregningen. Befolkning-
ens humankapital afskrives løbende, svarende til en antagel-
se om, at viden gradvist forældes over tid. Omkostnings-
metoden er nærmere beskrevet i boks III.10.
41)
Den tabte arbejdsfortjeneste kan betragtes som en alternativom-
kostning for samfundet som følge af, at en del af befolkningen
sidder på skolebænken i stedet for at være i arbejde.
Undervisningsudgifter dækker over undervisning fra folkeskole-
niveau til og med videregående uddannelser.
42)
236
SAU, Alm.del - 2016-17 - Bilag 133: Diskussionsoplæg 2017, fra Det Miljøøkonomiske Råd
1728070_0240.png
III.5 Menneskeskabte formuegoder
Boks III.10 Metode: Humankapital, omkostningsmetoden
Bidraget fra humankapitalen til den ægte opsparing kan opgøres med udgangs-
punkt i de omkostninger, der er forbundet med at skabe den. Bidraget beregnes
ved følgende formel:
=
,
hvor
∆W
t
er ændringen i værdien af humankapitalen pr. år,
FY
t
er BNP i faste
2010-priser, K
t
er humankapital i år t, og K
t-1
er humankapital i det foregående
år. K
t
er opgjort som:
= (1 − )
+
,
hvor
δ
er afskrivningsraten på humankapital,
O
t
er omkostninger forbundet med
uddannelse i år
t,
bestående af offentlige undervisningsudgifter og et skøn for
den tabte arbejdsfortjeneste. Der antages en lineær afskrivning over restlevetiden
for en 16-årig (64 år), således at humankapitalen er nul, når man dør.
For at kunne beregne opsparingen i perioden 1980-2015 er det nødvendig at
kende værdien af humankapitalen tilbage til 1915. En restlevetid for en 16-årig
på 64 år tilsiger, at humankapitalinvesteringer tilbage til 1915 påvirker niveauet
for humankapitalen i hele perioden indtil 1980. De offentlige udgifter til folke-
skoler, ungdomsuddannelser, videregående uddannelser og ph.d.-uddannelser
(ekskl. SU) kommer fra Danmarks Statistik og strækker sig tilbage til 1971. Der
er skønnet over udgifterne tilbage til 1915 på baggrund af udviklingen i antal
dimittender fra de almene gymnasier.
Skønnet for tabt arbejdsfortjeneste tager udgangspunkt i antallet af personer over
16 år under uddannelse og årslønnen for en ufaglært. Antallet af personer under
uddannelse i årene 1991 til 2015 kommer fra Danmarks Statistik, mens antallet
af elever tilbage til 1915 er tilbageskrevet med de offentlige udgifter til under-
visning. Den tabte arbejdsfortjeneste for personer under uddannelse er skønnet
som den gennemsnitlige årsløn for en privatansat i alderen 20-30 år med grund-
skoleuddannelse. I basisåret 2010 beregnes denne årsløn til ca. 300.000 kr. før
skat på baggrund af data fra Danmarks Statistik.
Beregningen er nærmere beskrevet i et dokumentationsnotat tilgængeligt på
www.dørs.dk.
237
SAU, Alm.del - 2016-17 - Bilag 133: Diskussionsoplæg 2017, fra Det Miljøøkonomiske Råd
1728070_0241.png
Ægte opsparing. Diskussionsoplæg. Økonomi og Miljø 2017
Omkostnings-
metode:
Opsparing på 8,3
pct. af BNP
Bidraget fra humankapitalen til den ægte opsparing opgjort
ved omkostningsmetoden udgjorde i gennemsnit 8,3 pct. af
BNP pr. år i perioden 1980-2015, jf. figur III.23. Opsparing-
en var højest i starten af perioden, hvorefter den har ligget
stabilt. Det bemærkes, at det ikke har været muligt at ind-
drage udviklingen i andre faktorer, der kan bidrage til hu-
mankapitalen. Disse omfatter blandt andet praktisk erfaring
samt kurser og uddannelser udenfor det regulære uddannel-
sessystem. Hvis omkostningerne forbundet hermed er steget
i perioden, er den præsenterede beregning et underkantskøn.
Det omvendte gælder, hvis udviklingen har været faldende.
Figur III.23 Opsparing i humankapital, omkostningsme-
toden
Pct. af BNP
14
Opsparing
Gennemsnit
12
10
8
6
4
2
0
1980
1985
1990
1995
2000
2005
2010
2015
Kilde:
Danmarks Statistik, Statistikbanken og egne beregninger.
Metodeforskel
giver lavere
opsparing end
tidligere analyse
Opsparingen ligger noget lavere end de 10 pct. af BNP, man
fandt ved samme metode i opgørelsen af den ægte op-
sparing i De Økonomiske Råds formandskab (2012). For-
skellen skyldes dels, at der i den tidligere analyse indgik
udgifter til SU, dels blev der benyttet en højere løn i bereg-
ningen af tabt arbejdsfortjeneste.
Bidraget fra humankapital opgjort ved indkomstmetoden
tager udgangspunkt i det afkast, uddannelse medfører i form
af højere livsindkomst. Metoden bygger på Arrow mfl.
(2012). Opgørelsen af opsparingen tager udgangspunkt i
Indkomst-
metoden:
238
SAU, Alm.del - 2016-17 - Bilag 133: Diskussionsoplæg 2017, fra Det Miljøøkonomiske Råd
1728070_0242.png
III.5 Menneskeskabte formuegoder
udviklingen i befolkningens gennemsnitlige uddannelses-
længde (som også ligger til grund for figur III.22). Tanken
er her, at hvert ekstra års uddannelse giver et fremtidigt
afkast i form af højere løn. Dette afkast afspejles i den for-
ventede livsindkomst, der bl.a. afhænger af det forventede
resterende antal år på arbejdsmarkedet. Metoden er nærmere
beskrevet i boks III.11.
Afkastet af
uddannelse
En central antagelse i beregningen vedrører afkastet af et
ekstra års uddannelse. Arrow mfl. (2012) benytter en afkast-
rate på 8,5 pct., mens man i De Økonomiske Råds formand-
skab (2012) brugte en afkastrate på 4,3 pct., baseret på
Christensen og Westergård-Nielsen (2001). I et nyligt studie
finder Bhuller mfl. (2014), at et års ekstra uddannelse i gen-
nemsnit øger livsindkomsten med 10 pct. Dette afkast esti-
meres på baggrund af norske paneldata ved hjælp af nyere
økonometriske metoder.
43
I beregningen af bidraget fra
humankapital opgjort ved indkomstmetoden tages udgangs-
punkt i en afkastrate på 10 pct. Det bemærkes, at denne
antagelse er behæftet med usikkerhed, og at en afkastrate på
10 pct. ligger i den høje ende i forhold til litteraturen på
området.
Med de givne antagelser og på baggrund af metoden be-
skrevet i boks III.11 beregnes den gennemsnitlige opsparing
i humankapital ved indkomstmetoden i perioden 1980-2015
til 12 pct. af BNP. I lighed med omkostningsmetoden ind-
drager indkomstmetoden heller ikke eksplicit udviklingen i
erfaring og uddannelse udenfor det formelle uddannelses-
system. Det er usikkert, i hvilken retning dette påvirker
opsparingen i humankapital.
Indkomstmetode:
Opsparing på 12
pct. af BNP
43)
Bhuller mfl. (2014) benytter både udrulningen af en uddannelses-
reform, tvillingestudier samt færdighedstest i estimationen af af-
kastet af et års ekstra uddannelse.
239
SAU, Alm.del - 2016-17 - Bilag 133: Diskussionsoplæg 2017, fra Det Miljøøkonomiske Råd
1728070_0243.png
Ægte opsparing. Diskussionsoplæg. Økonomi og Miljø 2017
Boks III.11 Metode: Humankapital, indkomstmetoden
Humankapitalens bidrag til den ægte opsparing kan opgøres med udgangspunkt i
det afkast, uddannelse giver i form af højere livsindkomst, jf. Arrow mfl. (2012).
Konkret beregnes følgende formel:
∙ ∆ ∙ ∆ℎ
(1)
=
,
hvor
∆W
t
er ændringen i værdien af humankapitalen pr. år,
FY
t
er BNP i faste
2010-priser,
P
h
er prisen på en enhed humankapital,
∆B
t
er ændringen i befolknin-
gen over 16 år og
∆h
t
er ændringen i humankapital pr. person.
P
h
beregnes som:
(2)
=
(
)
,
hvor
w
2010
er lønindkomsten pr. enhed humankapital i basisåret,
r
er realrenten,
g
er produktivitetsvæksten og
er
befolkningens gennemsnitlige forventede reste-
rende tid på arbejdsmarkedet i perioden. beregnes på baggrund af beskæftigel-
sesfrekvenser, befolkningstal og dødeligheder i de enkelte år. Humankapital pr.
person i et givet år er beregnet som:
ℎ =
,
(3)
hvor
a
er afkastet af et års ekstra uddannelse,
u
t
er den gennemsnitlige uddannel-
seslængde for folk i den erhvervsaktive alder (16-66 år), og
e
er Eulers tal. I be-
regningen antages, at afkastraten af et ekstra års uddannelse er 10 pct., jf. Bhuller
mfl. (2014). Der antages også en realrente på 3 pct. og en produktivitetsvækst på
1,5 pct. Den gennemsnitlige uddannelseslængde i befolkningen kommer fra
DREAM og fremgår af figur III.22.
Humankapital (målt som den fremtidige lønsum) afhænger udover uddannelse af
praktisk erfaring i arbejdslivet, da mere erfarne medarbejdere typisk får en højere
løn. Erfaring er implicit indeholdt i
w
2010
i ligning (2). Antages, at det gennemsnit-
lige antal års erfaring har været konstant i perioden 1980-2015, tager beregningen
derfor højde for effekten af erfaring på opsparingen i humankapital. Er det gen-
nemsnitlige antal års erfaring derimod ændret i perioden, over- eller undervurde-
rer beregningen værdien af den samlede humankapital.
Beregningen er nærmere beskrevet i et dokumentationsnotat tilgængelig på
www.dørs.dk.
240
SAU, Alm.del - 2016-17 - Bilag 133: Diskussionsoplæg 2017, fra Det Miljøøkonomiske Råd
1728070_0244.png
III.5 Menneskeskabte formuegoder
Større opsparing
end i tidligere
analyse
Opsparingen har været positiv i hele perioden, jf. figur
III.24. Opsparingen på 12 pct. af BNP er højere end den
opsparing på 6,6 pct., der blev beregnet ved samme metode
i De Økonomiske Råds formandskab (2012). Forskellen
skyldes hovedsageligt, at der er anvendt en højere afkastrate
af uddannelse samt et større antal resterende antal år på
arbejdsmarkedet i den nærværende beregning.
44
Benyttes
den samme afkastrate som i den tidligere opgørelse, bereg-
nes opsparingen i humankapital til i gennemsnit 9,2 pct. af
BNP pr. år i perioden 1980-2015.
Figur III.24 Opsparing i humankapital, indkomstmetoden
Pct. af BNP
22
Opsparing
20
Gennemsnit
18
16
14
12
10
8
6
4
2
0
1980
1985
1990
1995
2000
2005
2010
2015
Anm.:
Kilde:
Den negative trend i halvfemserne skyldes en lavere befolk-
ningsvækst i disse år.
Danmarks Statistik, Statistikbanken, DREAM og egne bereg-
ninger.
Begge metoder
giver stort bidrag
Afslutningsvis bemærkes, at opsparingen opgjort ved ind-
komstmetoden er noget større end ved omkostningsmeto-
den. I den samlede opgørelse af den ægte opsparing er valgt
at anvende opsparingen beregnet ved omkostningsmetoden.
Dette valg grunder dels i usikkerheden forbundet med afka-
44)
Det gennemsnitlige antal forventede resterende år på arbejdsmar-
kedet i perioden 1980-2015 var ca. 16 år. I De Økonomiske Råds
formandskab (2012) benyttede man 14,8 år svarende til basisåret
2005.
241
SAU, Alm.del - 2016-17 - Bilag 133: Diskussionsoplæg 2017, fra Det Miljøøkonomiske Råd
1728070_0245.png
Ægte opsparing. Diskussionsoplæg. Økonomi og Miljø 2017
stet af et års ekstra uddannelse i indkomstmetoden, dels at
omkostningsmetoden er parallel til opgørelsen af andre
aktiver i nationalregnskabet. Det var også denne metode,
som blev brugt til at beregne bidraget fra humankapital til
den ægte opsparing i De Økonomiske Råds formandskab
(2012). Ved indkomstmetoden kan der endvidere være pro-
blemer med dobbeltregning, fordi man implicit fanger vær-
dien af f.eks. videnskapital og fysisk kapital gennem deres
påvirkning på lønnen. Humankapitalen udgør det største
enkeltstående bidrag til den ægte opsparing. Det understre-
ger humankapitalens centrale rolle for samfundsvelfærden i
bred forstand, som ikke afspejles i det traditionelle national-
regnskab.
Sundhedskapital
Sundhed
bidrager til
velfærd og
velstand
Sundhed er i lighed med humankapital en kilde til både
velfærd og velstand. En stigning i den forventede levealder
vil således forøge velfærden, samtidig med at forbedringer i
befolkningens sundhed påvirker produktiviteten positivt.
Udviklingen i sundhedskapitalen er derfor relevant for den
ægte opsparing.
Ændringer i befolkningens sundhedskapital kan forstås som
værdien af ændringer i levealderen, befolkningstallet og den
gennemsnitlige sundhed i befolkningen. Det gennemsnitlige
forventede antal leveår i befolkningen er en indikator for
disse ændringer. Den værdi, der er forbundet med en æn-
dring i det gennemsnitlige antal leveår, kan dermed ses som
opsparingen i sundhedskapital.
I perioden 1980-2015 er den forventede levealder for en
nyfødt dansker steget. Hvor en nyfødt dreng kunne forven-
tes at leve ca. 71 år i 1980, var restlevetiden for nyfødte
drenge i 2015 steget til ca. 79 år. For piger er restlevetiden
steget fra ca. 77 år til 83 år i samme periode. De forventede
restlevetider er ikke kun steget for nyfødte i perioden, der
har været en generel stigning for alle aldersgrupper, jf.
DREAM (2016). De stigende restlevetider vil alt andet lige
bidrage positivt til ægte opsparing, da det øger nytten i sam-
fundet, at befolkningen kan forvente at leve længere. Denne
værdi er afspejlet i, at samfundet bruger mange ressourcer
Leveår indikator
for sundheds-
kapital
Danskere lever
længere end
tidligere
242
SAU, Alm.del - 2016-17 - Bilag 133: Diskussionsoplæg 2017, fra Det Miljøøkonomiske Råd
1728070_0246.png
III.5 Menneskeskabte formuegoder
på at forlænge levetiden, ligesom vi som individer forsøger
at leve sundt.
Illustrativ
beregning baseret
på leveår
I det følgende foretages en illustrativ beregning af bidraget
fra sundhedskapitalen til den ægte opsparing, med afsæt i
Arrow mfl. (2012).
45
I bidraget til ægte opsparing fra æn-
dringer i sundhedskapital kvantificeres mængden af forven-
tede kommende leveår for hele befolkningen. Herfra bereg-
nes ændringen i antallet af leveår i befolkningen fra år til år.
Der tages i opgørelsen højde for, at ekstra leveår nu og her
giver højere nytte end leveår langt ude i fremtiden.
Ændringen i det samlede antal forventede leveår værdisæt-
tes med en værdi af leveår på ca. 1,4 mio. kr. (2010-
priser).
46
Denne værdi er beregnet med udgangspunkt i en
værdi af statistisk liv på 29 mio. kr. (stadig 2010-priser), jf.
De Økonomiske Råds formandskab (2016).
47
Omregningen
fra værdien af et statistisk liv til værdien af leveår er behæf-
tet med usikkerhed.
Beregnet med udgangspunkt i ændringen i antal leveår i
befolkningen er opsparing i sundhedskapital overordentlig
stor og udgør i gennemsnit 31,3 pct. af BNP pr. år i perio-
den 1980-2015, jf. figur III.25. Dette gennemsnit dækker
over en negativ opsparing i starten af perioden og en meget
stor opsparing midt i halvfemserne. De kraftige udsving
skyldes både ændringer i den forventede levealder og i be-
Værdi af leveår
ca. 1,4 mio. kr.
Betydelig
opsparing i
sundhedskapital
45)
Det lader ikke til, at der er andre opgørelser, der har forsøgt at
medregne sundhedskapital i den ægte opsparing, jf. Hanley mfl.
(2015).
Denne værdi af leveår er højere end den, der ligger til grund for
beregningen af helbredsomkostninger forbundet med luftforure-
ning i afsnit III.3. Forskellen skyldes, at der kan gå mange år fra
eksponering for luftforurening til dødsfald, hvorfor værdien af le-
veår diskonteres for perioden mellem eksponering og død, jf. De
Økonomiske Råds formandskab (2016).
Her tages udgangspunkt i en gennemsnitlig dansker på 41 år og
dennes forventede tilbagediskontorede antal leveår (tilbage-
diskonteret med en rente på 3 pct.). Værdien af statistisk liv for-
deles ud på de diskonterede antal leveår, den gennemsnitlige dan-
sker kan forventes at leve.
46)
47)
243
SAU, Alm.del - 2016-17 - Bilag 133: Diskussionsoplæg 2017, fra Det Miljøøkonomiske Råd
1728070_0247.png
Ægte opsparing. Diskussionsoplæg. Økonomi og Miljø 2017
folkningens størrelse. I 1996 udgjorde opsparingen i sund-
hedskapital nærmest 100 pct. af BNP.
Tidligere analyse
med lavere værdi
af leveår
I De Økonomiske Råds formandskab (2012) blev der fore-
taget den samme illustrative beregning af opsparingen i
sundhedskapital. Man fandt dengang, at den årlige op-
sparing i sundhedskapital udgjorde 23,5 pct. af BNP i peri-
oden 1990-2009. Forskellen mellem de to resultater skyldes
bl.a., at man anvendte en lavere værdi af leveår i den tid-
ligere analyse. Derudover beregnede man ikke opsparingen
tilbage til 1980, og fik dermed ikke den negative opsparing i
starten af perioden med.
Figur III.25 Opsparing i sundhedskapital
Pct. af BNP
120
Opsparing
Gennemsnit
100
80
60
40
20
0
-20
-40
1980
1985
1990
1995
2000
2005
2010
2015
Anm.:
Kilde:
Den negative opsparing i 1982-85 skyldes en nedgang i befolk-
ningstallet, ligesom det store udsving i 1996 skyldes en befolk-
ningsstigning det år.
DREAM’s befolkningsfremskrivning og egne beregninger.
Alene ændringer i
dødelighed giver
opsparing på 17,3
pct. af BNP
Ændringer i sundhedskapital skyldes både ændringer i be-
folkningsstørrelsen som følge af nettoindvandring samt
fødselsrater og ændringer i dødeligheden. Fokuserer man
udelukkende på påvirkningen fra ændringer i dødeligheden,
reduceres opsparingen i sundhedskapital til i gennemsnit
17,3 pct. af BNP pr. år.
244
SAU, Alm.del - 2016-17 - Bilag 133: Diskussionsoplæg 2017, fra Det Miljøøkonomiske Råd
1728070_0248.png
III.5 Menneskeskabte formuegoder
Sundhedskapital
behæftet med
usikkerhed og
dobbeltregning
Opsparingen i sundhedskapital indgår ikke i den samlede
opgørelse af den ægte opsparing. Det skyldes bl.a., at vær-
dien af leveår er beregnet på baggrund af en reduktion i
dødsrisici, som den enkelte kun i begrænset grad kan på-
virke, f.eks. trafikulykker og luftforurening. Dette er ikke
nødvendigvis den rette værdi forbundet med reduktioner i
dødsrisiko af andre årsager, inklusive individers egne hand-
linger (f.eks. motion, rygestop mv.). Derudover er værdien
af sundhedskapitalen delvist fanget i bidraget fra andre akti-
ver (især luftforurening, humankapital samt videnskapital).
Det vil derfor være dobbeltregning at medtage den beregne-
de værdi af sundhedskapital i den samlede opgørelse.
Social kapital
Social kapital
er bl.a. tillid
og normer
Begrebet social kapital er svært at definere præcist, men
betegner typisk en række formelle eller uformelle institu-
tioner, som sætter rammerne for de forskellige økonomiske
aktørers adfærd. Det er bl.a. normer for, hvilken adfærd der
anses for passende og almindelig. Graden af tillid til andre
mennesker nævnes ofte som en indikator for den sociale
kapital.
Lever man eksempelvist i et samfund, hvor man i alminde-
lighed kan regne med, at de fleste andre mennesker vil for-
søge at overholde de aftaler, de indgår, er det et eksempel
på positiv social kapital. Det gør det mindre omkostnings-
fuldt at indgå forretningsaftaler og kan dermed stimulere
den økonomiske velstand. En sådan tillid til andre menne-
sker kan bygge på formelle institutioner som bevidsthed
om, at man har et politi- og retssystem, som effektivt straf-
fer bedrageri. Den kan også bygge på uformelle kulturelle
vaner, hvor folk enten har internaliseret normer om ord-
holdende adfærd eller afskrækkes af, at de frygter stærke
sanktioner fra andre medborgere i tilfælde af løftebrud, jf.
Dasgupta (2008).
Social kapital kan på mange forskellige måder have en
gavnlig effekt på andre økonomiske variable som produk-
tivitet og indkomst. Eksempler på udtryk for den sociale
kapital kan være forekomsten af uformelle omgangsformer
og netværk, engagement i civilsamfundet som eksempelvis
Social kapital er
både formel og
uformel
Betydningsfuldt
for vækst og
velfærd
245
SAU, Alm.del - 2016-17 - Bilag 133: Diskussionsoplæg 2017, fra Det Miljøøkonomiske Råd
1728070_0249.png
Ægte opsparing. Diskussionsoplæg. Økonomi og Miljø 2017
frivilligt arbejde, graden af fælles tankegang og samhørig-
hed og andre forhold, som stimulerer til gensidigt samarbej-
de hos indbyggerne i et samfund. Den sociale kapital vurde-
res ofte at være en betydningsfuld faktor for økonomisk
vækst og den generelle velfærd, men er for diffust et begreb
til, at den kan opgøres præcist. Endnu vanskeligere vil det
være at forsøge at værdisætte den.
Danskernes tillid
er steget siden
1980’erne
Det er derfor heller ikke forsøgt at kvantificere betydningen
af ændringer i den sociale kapital for den ægte opsparing i
Danmark. Det er imidlertid muligt at se på udviklingen i
enkelte indikatorer, som hver på deres måde kan belyse
udviklingen i kapitalen. Et eksempel er udbredelsen af tillid
til andre mennesker. Forskningsprogrammet European Va-
lues Study har med mellemrum stillet befolkningen i en
række lande forskellige spørgsmål, herunder også om deres
tillid til andre. I De Økonomiske Råds formandskab (2012)
præsenteredes data for såvel Danmark som forskellige andre
europæiske lande for andelen af personer, der generelt stoler
på deres omgivelser. Andelen steg mærkbart i Danmark fra
starten af 1980’erne til 2009, hvor den foreløbig sidste
spørgerunde fra Danmark fandt sted. Næste opdatering af
forskningsprogrammet vil blive påbegyndt i 2017.
246
SAU, Alm.del - 2016-17 - Bilag 133: Diskussionsoplæg 2017, fra Det Miljøøkonomiske Råd
1728070_0250.png
III.6 Sammenfatning
III.6 Sammenfatning
Ægte opsparing
mål for
bæredygtig
udvikling
Nulevende og kommende generationers velfærd afhænger af
nationalformuen i bred forstand, inklusive menneskeskabte
såvel som natur- og miljømæssige aktiver. For at leve op til
målsætningen om en bæredygtig udvikling, må den samlede
værdi af aktiverne ikke aftage. Et operationelt mål for æn-
dringen i denne værdi er den ægte opsparing. Kriteriet for,
om samfundsudviklingen er bæredygtig i svag forstand, er,
at den ægte opsparing ikke må være negativ.
I dette kapitel er den ægte opsparing opgjort med det formål
at belyse, om Danmark de seneste 35 år samlet set har for-
øget eller formindsket grundlaget for samfundsvelfærden. I
dette afsnit beskrives den samlede udvikling i bidragene fra
en række centrale aktiver, præsenteret i kapitlets forudgåen-
de afsnit. Den her præsenterede opgørelse dækker en længe-
re tidsperiode end tidligere danske opgørelser af den ægte
opsparing. Det giver et forbedret grundlag for at vurdere,
om der er en trend i forløbet i perioden 1980-2015, og om
denne har bidraget til en mere eller mindre bæredygtig ud-
vikling i perioden.
Den samlede opgørelse omfatter flere aktiver end sammen-
lignelige opgørelser i den internationale litteratur. Det har
alligevel ikke været muligt at inddrage alle aktiver, der po-
tentielt påvirker samfundsvelfærden. Det gælder f.eks. bio-
diversitet og social kapital. Tabel III.2 giver et overblik over
de medtagne aktiver samt en ikke-udtømmende liste over
udeladte aktiver. Det er ikke muligt at afgøre, om den sam-
lede påvirkning på den ægte opsparing fra ændringer i de
udeladte aktiver har været positiv eller negativ.
Afsnit
præsenterer
samlet opgørelse
Vigtige aktiver
ikke mulige at
opgøre
247
SAU, Alm.del - 2016-17 - Bilag 133: Diskussionsoplæg 2017, fra Det Miljøøkonomiske Råd
1728070_0251.png
Ægte opsparing. Diskussionsoplæg. Økonomi og Miljø 2017
Tabel III.2
Overblik over medtagne og udeladte aktiver
Medtaget
Forventet fortegn
Indgår i opgørelsen
Miljøgoder
a
Naturressourcer
b
Menneskeskabt kapital
c
Indgår ikke i opgørelsen
Biodiversitet
Sundhedskapital
Globalt spillover af viden
Social kapital
Rekreative værdier ekskl. skove
Forurening af jord og overfladevand
a)
b)
c)
Klimakapital, luftforurening og forurening af grundvand.
Nordsøen, fisk og skov.
Fysisk, finansiel, videns- og humankapital.
-
+
+
?
?
?
Flere kilder til
usikkerhed
Udover usikkerheden forbundet med de udeladte aktiver er
opgørelsen af bidragene fra de medtagne aktiver også be-
hæftet med usikkerhed, selv baseret på den nyeste viden og
metoder til opgørelse. Det drejer sig især om usikkerhed om
størrelsesordner, priser og underliggende antagelser. Denne
usikkerhed er diskuteret i de pågældende underafsnit.
I det følgende omtales summen af de opgjorte bidrag som
den samlede ægte opsparing, selvom der i virkeligheden er
tale om en partiel opgørelse. På trods af, at det ikke er mu-
ligt at afgøre, om udviklingen har været bæredygtig på bag-
grund af den præsenterede opgørelse, kan det konstateres,
om de opgjorte bidrag har gjort udviklingen mere eller min-
dre bæredygtig i perioden.
Resultater
Samlet opgørelse
viser bidrag til
bæredygtighed
Samlet opsparing
på 4�½ pct. af BNP
Den samlede ægte opsparing opgjort som summen af en-
keltbidragene fra de forskellige aktiver udgjorde i gennem-
snit 4�½ pct. af BNP pr. år i perioden 1980-2015., jf. figur
248
SAU, Alm.del - 2016-17 - Bilag 133: Diskussionsoplæg 2017, fra Det Miljøøkonomiske Råd
1728070_0252.png
III.6 Sammenfatning
III.26. Opsparingen var negativ i starten af perioden, men
har siden ca. 1990 været positiv og voksende. Den foretagne
opgørelse tyder således på, at forløbet har udviklet sig i en
mere bæredygtig retning i løbet af den betragtede periode.
Figur III.26 Ægte opsparing
Pct. af BNP
25
20
15
10
5
0
-5
-10
-15
-20
1980
1985
1990
1995
2000
2005
2010
2015
Samlet opsparing
Natur- og miljøkapital
Menneskeskabt kapital
Anm.:
Kilde:
Aktiverne, der indgår i “Menneskeskabt kapital”, fremgår af
tabel III.2. “Natur- og miljøkapital” omfatter kategorierne
Mil-
jøgoder
og
Naturressourcer
i samme tabel. Udsvinget i natur-
og miljøkapital i 1997-98 skyldes ændringer i klimakapitalen
og fiskebestandene, der ikke skal tillægges for meget vægt.
Egne beregninger.
Både miljø- og
menneskeskabt
kapital bidrager
til positiv trend
Den samlede opsparing kan dekomponeres i bidrag fra hen-
holdsvis natur- og miljøkapital samt menneskeskabt kapital.
Natur- og miljøkapital omfatter klimakapital, luft- og
grundvandsforurening, ressourcerne i Nordsøen, fisk- og
skovbestande. Bidraget herfra til den ægte opsparing har
været negativt i hele perioden. De menneskeskabte kapital-
typer omfatter det fysiske kapitalapparat, finansiel op-
sparing, videnskapital samt humankapital. Bidraget herfra
har været positivt i hele perioden. Den positive trend i den
samlede opsparing afspejler en stigende opsparing i både
natur- og miljøkapital såvel som menneskeskabt kapital.
Flere detaljer fremgår af tabel III.3, som viser den gennem-
snitlige opsparing for de forskellige aktiver i hele og dele af
perioden 1980-2015.
249
SAU, Alm.del - 2016-17 - Bilag 133: Diskussionsoplæg 2017, fra Det Miljøøkonomiske Råd
1728070_0253.png
Ægte opsparing. Diskussionsoplæg. Økonomi og Miljø 2017
Tabel III.3
Ændringer i ægte opsparing over perioden 1980-2015
1980-89
1990-99
2000-09
2010-15
1980-2015
----------------------------- Pct. af BNP ------------------------------
-4,6
-3,0
-2,4
-2,5
-3,2
-6,1
-4,0
-2,8
-2,3
-4,0
0,0
-0,1
0,0
-0,0
-0,3
-2,0
-2,9
-1,1
-1,6
-0,4
0,2
0,6
0,1
0,1
0,0
0,0
0,0
0,0
1,7
2,0
3,7
1,5
2,3
-2,2
2,2
3,3
7,5
2,2
0,0
0,6
0,6
0,5
0,4
9,4
8,0
7,5
8,1
8,3
-2,0
3,4
7,1
12,3
4,5
Klima
Luft
Grundvand
a
Nordsø
Fisk
a
Skov
Fysisk
Finansiel
Viden
Human
I alt
a)
Anm.:
Kilde:
Grundet datamangel har det ikke været muligt at opgøre bidraget fra grundvand og fisk i
perioden 1980-1990.
På grund af afrunding summerer tallene ikke altid. I den præsenterede opgørelse indgår ikke
bidrag fra biodiversitet, sundhedskapital og social kapital. Der er flere aktiver, der potentielt
kan påvirke den ægte opsparing, som det ikke har været muligt at inddrage, så som forurening
af overfladevand, rekreative værdier af andre områder end skov, jordforurening mv.
Egne beregninger.
Det største bidrag
kommer fra
humankapital
De mest betydningsfulde bidrag i perioden kommer fra hu-
mankapital, luftforurening, klimakapital samt fysisk og
finansiel kapital og Nordsø-ressourcerne, jf. sidste søjle i
tabel III.3. Humankapitalen stod for det største enkeltbidrag,
hvilket afspejler betydningen af uddannelse for nuværende
såvel som fremtidig velfærd. Det er værd at bemærke, at
hverken humankapital eller de tre nævnte typer af miljø- og
naturkapital indgår i det traditionelle nationalregnskab. Det
illustrerer behovet for den ægte opsparing som et alternativt
mål for den nationale opsparing. Tabellen viser også, at
betydningen af skov, fisk og grundvand for den samlede
ægte opsparing er relativt lille.
Tabellens øvrige søjler viser, at den overordnede vækst i
den ægte opsparing især er drevet af en stigning i den finan-
sielle kapital og en reduktion i det negative bidrag fra luft-
Politikændringer
har bidraget til
øget opsparing
250
SAU, Alm.del - 2016-17 - Bilag 133: Diskussionsoplæg 2017, fra Det Miljøøkonomiske Råd
1728070_0254.png
III.6 Sammenfatning
forurening. Det er værd at bemærke, at politikændringer i
begge tilfælde har haft stor betydning. Den stigende finan-
sielle opsparing skal ses på baggrund af den delvise udfas-
ning af rentefradrag samt indføring af obligatorisk pen-
sionsopsparing. Reduktionen i luftforurening kan primært
tilskrives ratificeringen af en række europæiske konven-
tioner på området, hvoraf den første, Geneveprotokollen,
trådte i kraft i 1983.
Potentielt vigtige
aktiver ikke med
i opgørelsen
Udeladelsen af potentielt betydningsfulde aktiver fra opgø-
relsen kan påvirke størrelsen såvel som fortegnet af den
ægte opsparing. For nogle af disse aktiver er fortegnet på
bidraget ukendt. Det gælder f.eks. social kapital og forure-
ning af jord. For andre aktiver er det mere oplagt, om bidra-
get i perioden har været positivt eller negativt. For eksempel
er der meget der tyder på, at der har været en negativ udvik-
ling i biodiversitet i perioden. Det modsatte er tilfældet for
befolkningens sundhedskapital, hvor der er meget, der taler
for et (betydeligt) positivt bidrag i perioden.
At befolkningen lever længere, må forventes at forøge sam-
fundsvelfærden betydeligt. Stigningen i den forventede
levealder i perioden 1980-2015 er derfor sandsynligvis det
største udeladte bidrag fra opgørelsen af den ægte op-
sparing. En del af stigningen i levealderen skyldes reduktio-
nen i luftforurening. Mens bidraget fra luftforurening opgør
det stadig mindskende tab forbundet hermed, er gevinsten i
form af forlænget levetid ikke med i den samlede opgørelse.
Illustrative beregninger tyder på, at bidraget fra ændringer i
befolkningens forventede levealder er i størrelsesordenen
17-31 pct. af BNP.
Diskussion
Opgørelse bygger
på svag
bæredygtighed
Opgørelsen af den ægte opsparing bygger på en antagelse
om, at bidraget fra de enkelte aktiver kan aggregeres til en
samlet sum. Denne antagelse forudsætter fuld substituer-
barhed mellem forskellige typer af aktiver. Givet at alle
aktiver, der har betydning for samfundsvelfærden, er med-
taget i opgørelsen, er en ikke-negativ ægte opsparing i tråd
med princippet om svag bæredygtighed, jf. afsnit III.2. Svag
bæredygtighed forudsætter, at beholdningen af nogle aktiver
Stor gevinst af
forlænget
levealder udeladt
251
SAU, Alm.del - 2016-17 - Bilag 133: Diskussionsoplæg 2017, fra Det Miljøøkonomiske Råd
1728070_0255.png
Ægte opsparing. Diskussionsoplæg. Økonomi og Miljø 2017
kan falde (f.eks. olie og gas), såfremt velfærdsforringelsen
heraf opvejes af en stigning i andre aktiver (f.eks. human-
kapital).
Faste priser ikke
optimalt…
Der er imidlertid en række problemer forbundet med at
trække slutningen fra ikke-negativ ægte opsparing til svag
bæredygtighed. Det største problem er, at det i praksis ikke
er muligt at opgøre bidraget fra alle betydningsfulde aktiver.
Et andet centralt problem vedrører brugen af faste priser og
antagelsen om fuld substituerbarhed mellem de forskellige
aktiver. Det skyldes, at den marginale pris på et aktiv kan
tænkes at stige, efterhånden som aktivet bliver mere knapt,
hvorfor der skal mere til af andre aktiver for at holde den
ægte opsparing uændret.
48
Det er imidlertid ikke praktisk
muligt at tage højde for alle relative prisændringer i op-
gørelsen af den ægte opsparing. Af denne grund benyttes
faste priser i opgørelsen. Dette medfører, at de absolutte og
relative bidrag fra de forskellige aktiver til den ægte op-
sparing kan være misvisende.
Problemstillingen med faste priser er især relevant for bi-
draget fra Nordsøen og klimakapitalen. For Nordsø-
ressourcerne gælder, at der i perioden 1985-2015 har været
store udsving i olieprisen. Afhængigt af, hvilket år der er
basisår for analysen, kan bidraget herfra til den ægte op-
sparing variere meget. For klimakapitalens vedkommende
har der de seneste år været en tendens til, at prisen på at
udlede et ekstra ton CO
2
(SCC,
the social cost of carbon),
er
steget. Denne prisstigning vil reelt påvirke opsparingen i
negativ retning, men indgår ikke i opgørelsen, når der be-
nyttes faste priser. For klimakapitalen gælder også, at den
potentielt kan nærme sig en kritisk grænse. En opgørelse i
faste priser afspejler ikke, at SCC vil stige kraftigt og måske
blive uendelig høj i nærheden af en sådan grænse.
… især ikke for
olie og gas samt
klimakapital
48)
De marginale priser er relevante i prissætning af små ændringer i
aktiverne fra år til år. Marginale priser kan ikke benyttes til at op-
gøre værdien af større ændringer i fremtiden, som f.eks. over-
skridelsen af en kritisk grænse i udledningen af CO
2.
252
SAU, Alm.del - 2016-17 - Bilag 133: Diskussionsoplæg 2017, fra Det Miljøøkonomiske Råd
1728070_0256.png
III.6 Sammenfatning
Seksdobles SCC,
vil den ægte
opsparing i 2010-
15 blive negativ
For at undersøge den ægte opsparings følsomhed overfor
betydningen af klimaproblemet kan man beregne, ved hvil-
ken værdisætning af den faldende klimakapital den ægte
opsparing i perioden 2010-15 vil blive negativ. Det vil ske,
hvis man seksdobler den anvendte pris, dvs. regner med en
SCC på godt 2.300 kr. (eller USD 412). Selvom der findes
scenarier i litteraturen og i den tidligere omtalte oversigt af
Tol (2013), der resulterer i en tilsvarende høj eller endnu
højere SCC, må de betegnes som ret ekstreme i forhold til
de fleste vurderinger.
Opgørelsen af den ægte opsparing viser, at Danmark de
seneste 35 år for de medtagne aktiver har forøget de sam-
lede forbrugsmuligheder i bred forstand, herunder både
menneskeskabte og naturlige goder og tjenester. I samme
periode har der imidlertid været en betydelig befolknings-
vækst. Det er derfor ikke oplagt, hvordan forbrugsmulig-
hederne pr. person har udviklet sig i perioden.
Sammenligning med tidligere opgørelser
Effekt af
befolkningsvækst
ikke entydig
Udvidelse og
opdatering af
tidligere analyse
Det er ikke første gang, at Formandskabet for Det Miljø-
økonomiske Råd opgør den ægte opsparing. Denne opgørel-
se kan således ses som en udvidelse og opdatering af De
Økonomiske Råds formandskab (2012), som opgjorde den
ægte opsparing for perioden 1990-2009. Herværende ana-
lyse er en udvidelse i den forstand, at den strækker sig over
en længere årrække, og en opdatering i den forstand, at både
datagrundlag og beregningsmetoder for en række aktiver er
revideret i tråd med den nyeste viden på området. I tabel
III.4 sammenlignes resultaterne af de to opgørelser for peri-
oden 1990-2009.
253
SAU, Alm.del - 2016-17 - Bilag 133: Diskussionsoplæg 2017, fra Det Miljøøkonomiske Råd
1728070_0257.png
Ægte opsparing. Diskussionsoplæg. Økonomi og Miljø 2017
Sammenligning med tidligere analyse for
perioden 1990-2009
De Økonomiske De Økonomiske Forskel
a)
Råds formand- Råds formand-
skab 2012
skab 2017
------------------- Pct. af BNP -------------------
Klima
-5,8
-2,7
3,1
Luft
-1,5
-3,4
-1,9
Grundvand
0,0
-0,1
0,0
Nordsø
-1,8
-2,5
-0,6
Fisk
0,0
-0,1
-0,1
Skov
0,0
0,0
0,0
Fysisk
3,3
2,8
-0,5
Finansiel
2,1
2,8
0,7
Viden
0,8
0,6
-0,2
Human
10,3
7,7
-2,6
I alt
7,4
5,3
-2,1
a)
Søjlen angiver ændring i opsparing fra De Økonomiske Råds
formandskab (2012) til De Økonomiske Råds formandskab
(2017) i perioden 1990-2009.
Egne beregninger.
Tabel III.4
Kilde:
Lavere opsparing
end tidligere
skyldes luft og
humankapital
Det fremgår af tabellen, at den gennemsnitlige ægte opspa-
ring opgjort i 2012 var godt 2 pct.point højere end den op-
sparing, der er beregnet i dette kapitel. Forskellen fra opgø-
relsen i 2012 skyldes især et større negativt bidrag fra luft-
forurening og et lavere bidrag fra humankapital. Det større
negative bidrag fra luftforurening grunder i både en ændring
af metode og i, at der er benyttet et højere nøgletal i bereg-
ningen af helbredsomkostningerne ved luftforurening. For-
skellen i bidraget fra humankapital skyldes ændringer i be-
regningens antagelser, jf. afsnit III.5.
Det negative bidrag fra klimakapitalen er mere end halveret
i forhold til opgørelsen fra 2012. Ændringen sker på trods
af, at der er benyttet en SCC, der er mere end 50 pct. højere
i herværende beregning. Det skyldes dels, at der nu er taget
højde for nedslidningen af drivhusgasser i atmosfæren, dels
en ændring i antagelsen om, hvordan omkostningerne ved
klimaforandringer fordeles mellem verdens lande.
Halveret
klimabidrag på
trods af højere
SCC
254
SAU, Alm.del - 2016-17 - Bilag 133: Diskussionsoplæg 2017, fra Det Miljøøkonomiske Råd
1728070_0258.png
III.6 Sammenfatning
Verdensbanken
benytter lavere
tal for de negative
bidrag
Verdensbanken opgør også den ægte opsparing for Dan-
mark, jf. Verdensbanken (2016). De finder, at den gennem-
snitlige opsparing i perioden 1990-2013 var 13,5 pct. af
BNP. For den samme periode er opsparingen opgjort til 6,1
pct. i den præsenterede analyse. At Verdensbanken finder
en opsparing, der er godt dobbelt så stor, skyldes især, at de
anvender lavere nøgletal for helbredsomkostninger i forbin-
delse med luftforurening samt en meget lav værdi for SCC.
Derudover opgøres bidraget fra klimakapitalen på baggrund
af det enkelte lands udledninger, ikke de samlede globale
koncentrationer, som i denne opgørelse. I den herværende
beregning stod luftforurening og klimakapital tilsammen for
et bidrag på ca. -6 pct. af BNP i perioden 1990-2013.
49
Opdateret vidensgrundlag afgørende
Behov for mere
viden om især
biodiversitet
og klima
Den præsenterede opgørelse af den ægte opsparing indi-
kerer, at det samlede forbrug af forskellige aktiver i perio-
den 1980-2015 er blevet mere bæredygtigt i løbet af perio-
den. Det er imidlertid ikke muligt at afgøre, om Danmarks
udvikling samlet set har været bæredygtig. Det skyldes både
mangel på viden om den konkrete udvikling i flere af akti-
verne (især biodiversitet) såvel som usikkerhed om prisen
på en række aktiver (især klimakapital). Dette taler for, at et
bedre vidensgrundlag både nationalt og internationalt vil
bidrage til at reducere usikkerheden omkring, hvorvidt
Danmark lever op til målet om bæredygtig udvikling.
I opgørelsen af den ægte opsparing er det vigtigt, at priserne
på de forskellige aktiver er så retvisende som muligt, givet
de usikkerheder, der er forbundet hermed. I denne opgørelse
benyttes derfor en værdi af statistisk liv (VSL), der er i tråd
med nyeste viden på området. Rigtig prissætning er nød-
vendig for at sikre, at både det absolutte og relative bidrag
fra hvert aktiv opgøres korrekt. Anvendelsen af nøgletal
som VSL strækker sig imidlertid udover opgørelsen af den
ægte opsparing til bredere samfundsøkonomiske analyser,
ikke mindst i offentlige institutioner. På grund af nøgletal-
lenes betydning er det vigtigt, at samfundsøkonomiske ana-
49)
Derudover medregner Verdensbanken ikke værdien af fiskebe-
stande, grundvandsforurening samt rekreative værdier af skove.
Priser bør
afspejle nyeste
viden
255
SAU, Alm.del - 2016-17 - Bilag 133: Diskussionsoplæg 2017, fra Det Miljøøkonomiske Råd
1728070_0259.png
Ægte opsparing. Diskussionsoplæg. Økonomi og Miljø 2017
lyser er baseret på den nyeste viden om f.eks. helbreds-
omkostninger ved luftforurening, nationalt såvel som inter-
nationalt. Dette vil understøtte de prioriteringer og beslut-
ninger, der fra en samfundsøkonomisk vinkel er mest hen-
sigtsmæssige.
Højere pris på
udledning af CO
2
Den vurderede skadesvirkning af udledning af et ton CO
2
i
atmosfæren, SCC, er et tilsvarende vigtigt nøgletal. I denne
opgørelse er benyttet en højere SCC end i den tidligere ana-
lyse af den ægte opsparing. Forskellen afspejler nyere vur-
deringer af omkostningerne ved drivhuseffekten. I inter-
nationale undersøgelser af den ægte opsparing fra eksem-
pelvis Verdensbanken anvendes betydeligt ældre og lavere
priser, hvilket bidrager til at undervurdere klimaproblemets
konsekvenser. I de danske diskussioner af klimaproblemets
betydning er det vigtigt at være opmærksom på at anvende
opdaterede SCC-priser.
Beskatning i Nordsøen
Nordsøskattens
to problemer:
For lav og
ikke neutral
Der er i øjeblikket fornyet opmærksomhed om skattefor-
holdene i Nordsøen. Nogle har fremført, at en lempelse af
skatteforholdene i form af eksempelvis et højere skattefra-
drag for investeringer vil føre til et forøget økonomisk en-
gagement i Nordsøen. Overordnet er beskatningen i Nord-
søen karakteriseret af to problemer. Dels er der argumenter
for, at den samlede beskatning er for lav, og dels afviger
den fra principperne om en neutral beskatning af ressource-
renten, der sikrer den mest hensigtsmæssige udvinding.
Det er den danske stat, og dermed hele den danske befolk-
ning, der har ejendomsretten til værdierne i undergrunden,
mens de private virksomheders opgave er at lokalisere res-
sourcerne og hente dem op til videresalg. Et naturligt ud-
gangspunkt for en fordeling er derfor, at den del af ressour-
cens værdi, der er tilbage, når udvindingsselskaberne har
fået en rimelig forrentningen af deres investeringer, bør
tilfalde staten. Det svarer til, at den egentlige ressourcerente
bør tilfalde staten. Man kan sammenligne forholdet med
andre områder, hvor staten køber tjenesteydelser fra private.
Staten har også her en forpligtelse til at sikre, at den ikke
betaler unødigt mange penge for de givne ydelser.
Ressourcerenten
bør tilfalde staten
256
SAU, Alm.del - 2016-17 - Bilag 133: Diskussionsoplæg 2017, fra Det Miljøøkonomiske Råd
1728070_0260.png
III.6 Sammenfatning
Beskatning bør
ikke være lavere
end i Norge
I praksis vil det næppe være hensigtsmæssigt at beskatte
ressourcerenten med en sats på 100 pct., da det bl.a. vil
fjerne virksomhedernes incitament til effektiv drift. Der
lader dog til at være et betydeligt spillerum for højere be-
skatning i forhold til det nuværende niveau uden at ramme
en urealistisk høj skattesats. Kulbrinteskatteudvalget (2001)
regnede således i sin tid med en effektiv skat på ressource-
renten på 84 pct., hvilket også svarer til det nuværende be-
skatningsniveau i Norge. Den tilsvarende skattesats i Dan-
mark er betydeligt lavere, idet den ligger på ca. 71 pct.
Samtidig afviger de danske skatteregler fra en neutral skat
på flere måder. Der gives ikke noget skattefradrag fra for-
rentningen af egenkapital, men til gengæld et ekstra investe-
ringsfradrag på 5 pct. i seks år. Samtidig kan underskud
ikke fremføres med renter og ikke udbetales i forbindelse
med ophør af aktiviteter. Disse afvigelser kan i sig selv både
tilskynde til for høj og for lav udvindingsaktivitet.
Eventuelle ændringer i beskatningen bør derfor kun overve-
jes, hvis de bringer beskatningen tættere på et neutralt sy-
stem. Samtidig er der meget, som tyder på, at den effektive
beskatning af ressourcerenten bør være højere. En samlet
aftale, der sikrer begge dele, vil derfor være et fremskridt.
Derimod bør man ikke generelt give udvindingsvirksom-
hederne mere favorable vilkår, selvom dette kunne medføre
større aktivitet i Nordsøen. Det er ikke noget mål i sig selv
at opretholde den størst mulige indtjening i Nordsøen.
Tværtimod vil det reducere samfundets samlede velstand,
hvis man via subsidier forsøger at stimulere udvindings-
aktiviteter i Nordsøen, der ikke er rentable i sig selv.
Uhensigtsmæssige
afvigelser fra
neutral skat
Uhensigtsmæssigt
at tilskynde til
urentabelt stor
udvinding
257
SAU, Alm.del - 2016-17 - Bilag 133: Diskussionsoplæg 2017, fra Det Miljøøkonomiske Råd
1728070_0261.png
Ægte opsparing. Diskussionsoplæg. Økonomi og Miljø 2017
Litteratur
Agger, P., mfl. (2012): Danmarks natur frem mod 2020 –
om at stoppe tabet af biologisk mangfoldighed. Det Grønne
Kontaktudvalg.
Arrow, K.J., P. Dasgupta, H.L. Goulder, K.J. Mumford og
K. Oleson (2012): Sustainability and the measurement of
wealth.
Environment and Development Economics.
17(3), s.
317-353.
Atkinson, G., Bateman, I., og Mourato, S. (2012): Recent
advances in the valuation of ecosystem services and biodi-
versity.
Oxford Review of Economic Policy, 28(1),
s. 22-47.
Axelsen, J., A. Enkegaard, B. Strandberg, P. Kryger og P.B.
Sørensen (2011): Bestøvningsforhold og -behov i dyrkede
afgrøder. Danmarks Miljøundersøgelser, Aarhus Universi-
tet.
Barro, R. (2015): Environmental Protection, Rare Disasters
and Discount Rates.
Economica,
Volume 82, Issue 325, s.
1–23.
Bateman, I. J. mfl. (2014): Economic analysis for the UK
national ecosystem assessment: synthesis and scenario valu-
ation of changes in ecosystem services.
Environmental and
Resource Economics,
57(2), 273-297.
Bhuller, M., Mogstad, M., & Salvanes, K. G. (2014): Life
cycle earnings, education premiums and internal rates of
return (No. w20250). National Bureau of Economic Re-
search.
Bjørner, T.B., C.S. Russell, A. Dubgaard og L.M. Andersen
(2000):
Public and private preferences for environmental
quality in Denmark.
AKF-Forlaget.
Bockstael, N.E., A.M. Freeman III, R.J. Kopp, P.R. Portney
og K. Smith (2000): On Measuring Economic Values for
258
SAU, Alm.del - 2016-17 - Bilag 133: Diskussionsoplæg 2017, fra Det Miljøøkonomiske Råd
1728070_0262.png
III Litteratur
Nauture.
Environment Science & Technology,
34, s. 1384-
1389.
Bottazzi, L. og G. Peri (2007): The international dynamics
of R&D and innovation in the long run and in the short run.
The Economic Journal,
117 (518), s. 486-511.
Brandt, J., S.S. Jensen, M. Andersen, M. Plejdrup og O.-K.
Nielsen (2016a):
Helbredseffekter og helbredsomkostninger
fra emissionssektorer i Danmark.
Videnskabelig rapport fra
DCE – Nationalt Center for Miljø og Energi, nr. 182. Aar-
hus Universitet, Institut for Miljøvidenskab.
Brandt, J., M.S. Andersen, J.H. Bønløkke, J.H. Christensen,
T. Ellermann, K.M. Hansen, O. Hertel, U. Im, A. Jensen,
S.S. Jensen, M. Ketzel, O.-K. Nielsen, M.S. Plejdrup, T.
Sigsgaard og C. Geels (2016b): Helbredseffekter og ekster-
ne omkostninger fra luftforurening i Danmark over 37 år
(1979-2015).
Miljø og sundhed,
22(1), s. 25-33.
Campbell, D., Vedel, S.E., Thorsen, B.J. og Jacobsen, J.B.
(2014): Heterogeneity in the WTP for recreational access –
distributional aspects.
Journal of Environmental Planning
and Management,
57, s. 1200-1219.
Catalogue of Life (2016): www.catalogueoflife.org
Christensen, J.J. og N. Westergård-Nielsen (2001): Afkast
til human kapital i Danmark, 1981-1995.
Na-
tionaløkonomisk Tidsskrift,
139(2), s. 117-130.
Ciscar, J., A. Iglesias, L. Feyen, L. Szabó, D. Van Rege-
morter, B. Amelung, R. Nicholls, P. Watkiss, O. B. Chris-
tensen, R. Dankers, L. Garrote, C. M. Goodess, A. Hunt, A.
Moreno, J. Richards, A. Soria og H.-J. Schellnhuber (2011):
Physical and economic consequences of climate change in
Europe.
Proceedings of the National Academy of Sciences
of the United States of America,108(7),
s. 2678-2683.
Costanza, R., D'Arge, R., de Groot, R., Farber, S., Grasso,
M., Hannon, B. og Raskin, R. G. (1997): The value of the
259
SAU, Alm.del - 2016-17 - Bilag 133: Diskussionsoplæg 2017, fra Det Miljøøkonomiske Råd
1728070_0263.png
Ægte opsparing. Diskussionsoplæg. Økonomi og Miljø 2017
world's ecosystem services and natural capital.
Nature, 387,
s. 253-260.
Daniel, K.D., R. B. Litterman og G. Wagner (2016): Apply-
ing Asset Pricing Theory to Calibrate the Price of Climate
Risk. National Bureau of Economic Research Working Pa-
per no. 22795.
Davidson, M. D. (2013): On the relation between ecosystem
services, intrinsic value, existence value and economic val-
uation.
Ecological Economics, 95,
s. 171-177.
Danmarks Statistik (2010): Miljøøkonomisk regnskab for
Danmark 2008.
Statistiske Efterretninger, Miljø og Energi,
2010:1. København.
Danmarks Statistik (2011): Regnskabsstatistik for fiskeri
2011.
Danmarks Statistik (2014): Nationalregnskab og offentlige
finanser ESA 2010 – Hovedrevision 2014.
Dasgupta, P. (2008):
Social Capital.
The New Palgrave
Dictionary of Economics, Second Edition.
Det Europæiske Miljøagentur (2017): Climate change, im-
pacts and vulnerability in Europe 2016. An indicator-based
report.
EEA Report No 1/2017.
Det Økonomiske Råds formandskab (1998):
Dansk Økono-
mi, efterår 1998.
Det Økonomiske Råds formandskab (1999):
Dansk Økono-
mi, efterår 1999.
Det Økonomiske Råds formandskab (2001a):
Dansk Øko-
nomi, forår 2001.
Det Økonomiske Råds formandskab (2001b):
Dansk Øko-
nomi, efterår 2001.
260
SAU, Alm.del - 2016-17 - Bilag 133: Diskussionsoplæg 2017, fra Det Miljøøkonomiske Råd
1728070_0264.png
III Litteratur
Det Økonomiske Råds formandskab (2003):
Dansk Økono-
mi, efterår 2003.
De Økonomiske Råds formandskab (2008):
Dansk Økono-
mi, efterår 2008.
De Økonomiske Råds formandskab (2012):
Økonomi og
miljø, 2012.
De Økonomiske Råds formandskab (2013):
Dansk Økono-
mi, forår 2013.
De Økonomiske Råds formandskab (2014):
Økonomi og
miljø, 2014.
De Økonomiske Råds formandskab (2015):
Økonomi og
miljø, 2015.
De Økonomiske Råds formandskab (2016):
Økonomi og
miljø, 2016.
De Økonomiske Råds sekretariat (2015):
Analyse af om-
kostninger ved tiltag til beskyttelse af grund- og drikkevand
i forskellige områder i Danmark.
Baggrundsnotat til De
Økonomiske Råds formandskab (2015).
DREAM (2016):
DSTs og DREAMs samordnede befolk-
ningsfremskrivning af maj 2016.
(revision 1a, 11. august
2016).
Dubgaard, A. (1998):
Economic valuation of recreational
benefits from Danish forests.
I Dabbert, S., A. Dubgaard, L.
Slangen og M. Whitby (red.): The Economics of Landscape
and Wildlife Conservation. CAB International.
Dubgaard, A. (2000):
Willingness to pay for recreational
use for a new urban forest – the West Forest survey.
AKF-
Forlaget. Refereret til i Det Økonomiske Råds formandskab
(2000):
Dansk
økonomi,
Efterår 2000.
261
SAU, Alm.del - 2016-17 - Bilag 133: Diskussionsoplæg 2017, fra Det Miljøøkonomiske Råd
1728070_0265.png
Ægte opsparing. Diskussionsoplæg. Økonomi og Miljø 2017
Ejrnæs, R., mfl. (2011): Danmarks biodiversitet 2010 –
status, udvikling og trusler. Danmarks Miljøundersøgelser,
Aarhus Universitet. Faglig rapport fra DMU nr. 815.
EU-Kommissionen, www.ec.europa.eu/fisheries
EU-Kommissionen (2013):
The Economic Benefits of the
Natura 2000 Network.
Publication Office of the European
Union, Luxemburg.
Eurostat (2003): Subsoil asset accounts for oil and gas –
Guidelines for the set of standard tables. Luxemburg.
Fankhauser, S.(1994): The social costs of greenhouse gas
emissions: an expected value approach.
The Energy Jour-
nal,
157-184.
Fenger, M., Nyegaard, T., og Jørgensen, M. F. (2016):
Overvågning af de almindelige fuglearter i Danmark 1975-
2015. Årsrapport for Punkttællingsprogrammet. Dansk Or-
nitologisk Forening.
Ferreira, S., & Moro, M. (2011): Constructing genuine
savings indicators for Ireland, 1995–2005.
Journal of en-
vironmental management,
92(3), 542-553.
Frost, H. S. og Ståhl, L. (2016): Beskrivelse af strukturen i
dansk fiskeri 2012-14 med henblik på en økonomisk vurde-
ring af landingsforpligtelsen. Institut for Fødevare- og Res-
sourceøkonomi, Københavns Universitet. (IFRO Dokumen-
tation; Nr. 2016/4).
Global Biodiversity Outlook (2014): A mid-term assess-
ment of progress towards the implementation of the Strate-
gic Plan for Biodiversity 2011-2020. Montreal.
Gravgård, O. (2013): Grønne nationalregnskaber og det
grønne BNP – metoder og muligheder. Udgivet af Dan-
marks Statistik.
Greasley, D., Hanley, N., Kunnas, J., McLaughlin, E., Ox-
ley, L., & Warde, P. (2014). Testing genuine savings as a
forward-looking indicator of future well-being over the
262
SAU, Alm.del - 2016-17 - Bilag 133: Diskussionsoplæg 2017, fra Det Miljøøkonomiske Råd
1728070_0266.png
III Litteratur
(very) long-run.
Journal of Environmental Economics and
Management,
67(2), 171-188.
Hall, B.H., J. Mairesse og P. Mohnen (2010): Measuring the
Returns to R&D. UNU-MERIT Working Paper Series 006,
United Nations University.
Hamilton, K. (1994): Green adjustments to GDP.
Resource
Policy,
20, s. 155-168.
Hanley, N., L. Dupuy og E. McLaughlin (2015): Genuine
savings and sustainability.
Journal of Economic Surveys.
29(4), s. 779-806.
Hansen, A. C. (1995): Bæredygtig opsparing og dansk øko-
nomi. I: Lübcke, P., red.:
Miljøet, markedet og velfærdssta-
ten.
Fremad/AIF, København.
Hasler, B., C.K. Damgaard, E.H. Erichsen, J.J. Jørgensen og
H.E. Kristoffersen (2002):
De rekreative værdier af skov, sø
og naturgenopretning – værdisætning af naturgoder med
husprismetoden.
AKF-Forlaget.
Hasler, B., T. Lundhede, L. Martinsen, S. Neye og J.S.
Schou (2005): Værdisætning af beskyttelse og rensning af
grundvand. Miljøstyrelsen, Miljøprojekt 1030 2005.
Havranek, T., Z. Irsova, K. Janda og D. Zilberman (2015):
Selective reporting and the social cost of carbon.
Energy
Economics
(51), s. 394–406.
Henriksen, H.J. og A. Sonnenborg (2003):
Ferskvandets
Kredsløb.
GEUS.
ICES Stock Assessment Graphs, www.ices.dk.
Institut for fødevare- og ressourceøkonomi (IFRO) (2011):
Fiskeriets Økonomi 2011.
København.
Interagency Working Group on Social Cost of Greenhouse
Gases, United States Government (2016):
Technical Sup-
port Document: Technical Update of the Social Cost of
263
SAU, Alm.del - 2016-17 - Bilag 133: Diskussionsoplæg 2017, fra Det Miljøøkonomiske Råd
1728070_0267.png
Ægte opsparing. Diskussionsoplæg. Økonomi og Miljø 2017
Carbon for Regulatory Impact Analysis Under Executive
Order 12866.
Jacobsen, J.B., Boiesen, J.H., Thorsen, B.J., og Strange, N.,
(2008): What's in a name? The use of quantitative measures
versus 'Iconised' species when valuing biodiversity.
En-
vironmental and Resource Economics,
39(3), s. 247-263.
Jensen, P.N. mfl. (2016): Vandmiljø og Natur 2015. NO-
VANA. Tilstand og udvikling - faglig sammenfatning. Vi-
denskabelig rapport fra DCE - Nationalt Center for Miljø og
Energi nr. 211.
Kulbrinteskatteudvalget (2001): Rapport fra Kulbrinte-
skatteudvalget , oktober 2001.
Landbrugs- og Fiskeristyrelsen, www.lfst.dk.
Lindmark, M., & Acar, S. (2013). Sustainability in the mak-
ing? A historical estimate of Swedish sustainable and unsus-
tainable development 1850–2000.
Ecological Economics,
86, 176-187.
Lundhede, T.H., J.B. Jacobsen og B.J. Thorsen (2015): A
hedonic analysis of the complex hunting experience.
Jour-
nal of Forest Economics.
21(2), s. 51-66.
Mace, G. M., mfl. (2014): Approaches to defining a plane-
tary boundary for biodiversity.
Global Environmental
Change,
28, 289-297.
Meltofte, H. (red.) (2010): Danmarks natur 2010 – om tabet
af biologisk mangfoldighed. – Det Grønne Kontaktudvalg.
Miljø- og Energiministeriet (1995):
Projekt om jord og
grundvand fra Miljøstyrelsen.
Miljøstyrelsen.
Miljø- og Fødevareministeriet (2016a): Styrelsen for Vand
og Naturforvaltning, Vandområdeplan 2015-2021 for
Vandområdedistrikt Jylland og Fyn.
264
SAU, Alm.del - 2016-17 - Bilag 133: Diskussionsoplæg 2017, fra Det Miljøøkonomiske Råd
1728070_0268.png
III Litteratur
Miljø- og Fødevareministeriet (2016b): Styrelsen for Vand
og Naturforvaltning, Vandområdeplan 2015-2021 for
Vandområdedistrikt Sjælland.
Miljø- og Fødevareministeriet (2016c): Styrelsen for Vand
og Naturforvaltning, Vandområdeplan 2015-2021 for
Vandområdedistrikt Bornholm.
Miljø- og Fødevareministeriet (2016d): Styrelsen for Vand
og Naturforvaltning, Vandområdeplan 2015-2021 for Inter-
nationalt Vandområdedistrikt.
Millennium Ecosystem Assessment (2005): Ecosystems and
Human Wellbeing: Synthesis. Island Press, Washington.
Mora, C., Tittensor, D. P., Adl, S., Simpson, A. G., og
Worm, B. (2011): How many species are there on Earth and
in the ocean?
PLoS Biology,
9(8), e1001127.
Mota, P. M., T Domingos og V. Martins (2010): Analysis of
genuine saving and potential green net national income:
Portugal, 1990-2005.
Ecological Economics,
69, s. 1934-
1942.
Nielsen, O.K. mfl. (2015):
Denmark's National Inventory
Report 2015. Emission Inventories 1990-2013 - Submitted
under the United Nations Framework Convention on Cli-
mate Change and the Kyoto Protocol.
Danish Centre for
Environment and Energy, Aarhus University.
Nordhaus, W. (2014): Estimates of the Social Cost of Car-
bon: Concepts and Results from the DICE-2013R Model
and Alternative Approaches.
Journal of the Association of
Environmental
and
Resource
Economists,1(1/2)
(Spring/Summer 2014), s. 273-312.
Nordhaus, W. (2016): Projections and Uncertainties about
Climate Change in an Era of Minimal Climate Policies.
NBER WP 22933.
Nord-Larsen, T. mfl.(2016):
Bevarelsen af biodiversiteten i
de danske skove. En analyse af den nødvendige indsats, og
265
SAU, Alm.del - 2016-17 - Bilag 133: Diskussionsoplæg 2017, fra Det Miljøøkonomiske Råd
1728070_0269.png
Ægte opsparing. Diskussionsoplæg. Økonomi og Miljø 2017
hvad den betyder for skovens andre samfundsgoder.
Center
for Makroøkologi, Københavns Universitet.
Normander, B., Levin, G., Auvinen, A. P., Bratli, H., Stab-
betorp, O., Hedblom, M., Glinskär, A. og Gudmundsson, G.
A. (2009):
State of biodiversity in the Nordic countries.
TemaNord 2009,
Nordic Council of Ministers, København.
Nygaard, B., Damgaard, C., Nielsen, K.E., Bladt J. og Ejr-
næs, R. (2017):
Terrestriske naturtyper 2004-2015.
NO-
VANA. Netpublikation fra DCE - Nationalt Center for Mil-
jø og Energi.
OECD (2009):
Measuring Capital.
OECD Manual. Second
Edition.
Olesen, J. E., B. H. Jacobsen, K. Thorup-Kristensen, N.
Andersson, P. Kudsk, L. N. Jørgensen, L. M. Hansen, B. L.
Nielsen og B. Boelt (2006):
Tilpasning til klimaændringer i
landbrug og havebrug.
Rapport, Danmarks Jordbrugs-
Forskning.
Oljeskattekontoret (2016): Petroleumssektoren og petrole-
umsskatten i tall og trender.
Pearce, D.W. og Atkinson, G. (1993): Capital theory and
the measurement of sustainable development: an indicator
of weak sustainability.
Ecological Economics,
8, s. 103-108.
Pearce, D., Atkinson, G., og Mourato, S. (2006):
Cost-
benefit analysis and the environment: recent developments.
Organisation for Economic Co-operation and development.
Pearce, D. (1998): Auditing the Earth (The Value of the
World’s Ecosystem Services and Natural Capital, reviewed
by David Pearce).
Environment.
40(2), s. 23-28.
Petersen, A.H., T.H. Lundhede, H.H. Bruun, J. Heilmann-
Clausen, B.J. Thorsen, N. Strange og C. Rahbek (2016):
Bevarelse af biodiversiteten i de danske skove. En analyse
af den nødvendige indsats, og hvad den betyder for skovens
andre samfundsgoder. Center for Makroøkologi, Køben-
havns Universitet.
266
SAU, Alm.del - 2016-17 - Bilag 133: Diskussionsoplæg 2017, fra Det Miljøøkonomiske Råd
1728070_0270.png
III Litteratur
Pezzey, J. C., Hanley, N., Turner, K., & Tinch, D. (2006):
Comparing augmented sustainability measures for Scotland:
Is there a mismatch?.
Ecological Economics,
57(1), 60-74.
Pindyck, R.S. (2016): The Social Cost of Carbon Revisited.
NBER WP 22807.
Randall, A. (2008): Is Australia on a sustainability path?
Interpreting the clues.
Australian Journal of Agricultural
and Resource Economics,
52, s. 77-92.
Redford, K. H., og Adams, W. M. (2009): Payment for eco-
system services and the challenge of saving nature.
Conser-
vation biology,
23(4), s. 785-787.
Regeringen (2014): Et bæredygtigt Danmark – Udvikling i
balance.
Robinson, M. M., og Zhang, X. (2011): The World Medi-
cines Situation 2011 – Traditional medicines: Global situa-
tion, issues and challenges. World Health Organization,
Geneva.
Rockström, J., Steffen, W., Noone, K., Persson, Å., Chapin,
F. S., Lambin, E. F., Lenton, T. M., Scheffer, M., Folke, C.,
Schellnhuber, J., Nykvist, B., de Wit, C.A., Hughes, T., van
der Leeuw, S., Rodhe, H., Sörlin, S., Snyder, P.K.,
Costanza, R., Svedin, U., Falkenmark, M., Karlberg, L.,
Corell, R.W., Fabry, V.J., Hansen, J., Walker, B., Liverman,
D., Richardson, K., Crutzen, P. og Foley, J.A. (2009): A
safe operating space for humanity.
Nature,
461(7263), 472-
475.
Rystad Energy (2016): Verdivurdering av Statens Direkte
Økonomiske Engasjement (SDØE), 2016. Offentlig rapport,
9. juni 2016.
Skatteministeriet (2013):
Serviceeftersynet af vilkårene for
kulbrinteindvinding.
Skov, F. mfl. (2017): Naturkapitalindeks for danske kom-
muner. Metodebeskrivelse og guide. Teknisk rapport fra
DCE - Nationalt Center for Miljø og Energi nr. 92.
267
SAU, Alm.del - 2016-17 - Bilag 133: Diskussionsoplæg 2017, fra Det Miljøøkonomiske Råd
1728070_0271.png
Ægte opsparing. Diskussionsoplæg. Økonomi og Miljø 2017
Steffen, W., Richardson, K., Rockström, J., Cornell, S. E.,
Fetzer, I., Bennett, E. M., og Folke, C. (2015): Planetary
boundaries: Guiding human development on a changing
planet.
Science,
347(6223), 1259855.
Stiglitz, J., Sen, A. og Fitoussi, J. (2009):
Report by the
commission on the measurement of economic performance
and social progress.
www.stiglitz-sen-fitoussi.fr.
TEEB (2010) Mainstreaming the Economics of Nature: A
Synthesis of the Approach, Conclusions and Recommenda-
tions of TEEB.
Termansen, M., McClean, C.J. og Jensen, F.S. (2013):
Modelling and mapping spatial heterogeneity in forest rec-
reation services.
Ecological Economics.
92, s. 48-57.
Termansen, M., Levin, G., Hasler, B., Jacobsen, J., Lundhe-
de, T., og Thorsen, B. J. (2015): Status for kortlægning af
økosystemer, økosystemtjenester og deres værdier i Dan-
mark. Videnskabelig rapport fra DCE - Nationalt Center for
Miljø og Energi nr. 147.
Thorling, L. mfl. (2007):
Grundvand: Status og udvikling
1989 – 2006,
GEUS.
Thorling, L. mfl. (2008):
Grundvand: Status og udvikling
1989 – 2007,
GEUS.
Thorling, L. mfl. (2015):
Grundvand: Status og udvikling
1989 – 2014,
GEUS.
Thorling, L. mfl. (2016):
Grundvand: Status og udvikling
1989 – 2015,
GEUS.
Tol, R.S.J. (2013): Targets for global climate policy: An
overview.
Journal of Economic Dynamics & Control
(37),
s. 911-928.
Tucker, G. M., I. Dickie, D. McNeil, M. Rayment, P. ten
Brink og E. Underwood (2016): Supporting the Elaboration
of the Impact Assessment for a Future EU Initiative on No
Net Loss of Biodiversity and Ecosystem Services. Report to
268
SAU, Alm.del - 2016-17 - Bilag 133: Diskussionsoplæg 2017, fra Det Miljøøkonomiske Råd
1728070_0272.png
III Litteratur
the European Commission. Institute for European Environ-
mental Policy, London.
UK NEA (2011): The UK National Ecosystem Assessment
Technical Report. UNEP-WCMC, Cambridge.
Verdensbanken (2011): The changing wealth of nations.
Measuring sustainable development in the new millennium.
Verdensbanken (2016):
Little Green Data Book 16,
World
Bank Group. Washington.
Verdensbanken (2017): Calculating Adjusted Net Savings.
https://siteresources.worldbank.org/ENVIRONMENT/Reso
urces/Calculating_Adjusted_Net_Saving.pdf
Wind, P., og Ejrnæs, R. (2014):
Danmarks truede arter.
Aarhus Universitetsforlag.
World Commission on Environment and Development
(1987):
Our common future.
WWF (2016): Living Planet Report 2016 - Risk and resili-
ence in a new era. WWF International, Gland, Schweitz.
Zandersen, M., M. Termansen og F.S. Jensen (2007): Eval-
uating approaches to predict recreation values of new forest
sites.
Journal of Forest Economics,
13(2), s. 103-128.
269