Energi-, Forsynings- og Klimaudvalget 2016-17
EFK Alm.del Bilag 251
Offentligt
1764212_0001.png
EFK, Alm.del - 2016-17 - Bilag 251: Resultater fra branchens benchmarking af affaldsforbrændings- og deponeringsanlæg
INDHOLD
BEATE BENCHMARKING AF AFFALDSSEKTOREN 2016 (DATA FRA 2015)
FORBRÆNDING
1
2
3
4
5
6
7
RESUMÉ
ANLÆG DER FORBRÆNDER AFFALD
ØKONOMI
RAMMEVILKÅR
ENERGI OG KLIMA
EMISSIONER
OM BEATE
1
3
5
10
14
21
24
29
2
EFK, Alm.del - 2016-17 - Bilag 251: Resultater fra branchens benchmarking af affaldsforbrændings- og deponeringsanlæg
1 Resumé
Denne benchmarking omfatter økonomi og miljø på anlæg i Danmark, der har
forbrændt og energiudnyttet affald i 2015. Benchmarkingen blev gennemført på
frivillig basis for årene 2007-2009, og fra 2010 er benchmarking blevet
obligatorisk for alle landets 28 forbrændingsanlæg. De deltagende anlæg er
dedikerede forbrændingsanlæg, hvor mindst 80% af den producerede energi
stammer fra affald, samt øvrige anlæg, der forbrænder mere end 20.000 tons
affald om året. Special- og multifyrede anlæg, der forbrænder mindre end
20.000 tons affald pr. år, er undtaget fra benchmarkingen.
Der er tre typer anlæg, der forbrænder affald:
Dedikerede forbrændingsanlæg, der primært forbrænder husholdnings- og
erhvervsaffald til energiproduktion (22 anlæg).
Multifyrede forbrændingsanlæg, der både forbrænder husholdnings- og
erhvervsaffald samt biomasse og/eller naturgas (fire anlæg).
Øvrige specielle anlæg, der medforbrænder affald eller primært forbrænder
farligt affald (to anlæg).
Det er typisk data for dedikerede forbrændingsanlæg, der indgår i tabeller og
figurer
i enkelte tilfælde også multifyrede anlæg, mens data for de to
specialanlæg alene er medtaget i forhold til kapacitet og affaldsmængder.
Samlet giver denne rapport et overordnet billede af
affaldsforbrændingsområdet i Danmark.
I 2015 forbrændte de 28 anlæg 3,9 mio. tons fra husholdninger og erhverv,
svarende til en stigning på godt 2% i forhold til 2014. Affaldsmængderne
varierer fra år til år. Siden 2010 er mængderne steget hvert år med en samlet
stigning på 420.000 tons i 2015 sammenlignet med år 2010. Det skal dog
bemærkes, at der i perioden er sket en stigning i importeret affald for de
dedikerede og multifyrede anlæg, således at import i 2015 udgjorde ca.
358.500 tons affald.
De 22 dedikerede anlæg modtog en samlet betaling for affaldsbehandling fra
husholdninger og virksomheder på ca. 1,4 mia. kr. Denne betaling har været
forholdsvis konstant siden 2007, hvor benchmarkingen blev foretaget første
gang.
Takster og omkostninger for de dedikerede forbrændingsanlæg har også været
relativt stabile siden 2007. Fra 2014-2015 har der været et fald i de totale
omkostninger hvilket drives af et omkostningsfald for fire anlæg.
3
EFK, Alm.del - 2016-17 - Bilag 251: Resultater fra branchens benchmarking af affaldsforbrændings- og deponeringsanlæg
Den gennemsnitlige takst er siden 2010 faldet med cirka 10%
svarende til 2%
pr. år. I 2009 var taksten for dedikerede forbrændingsanlæg dog af samme
størrelsesorden som i 2015.
De samlede omkostninger for dedikerede anlæg i perioden 2010-2015 er steget
fra 2.459 mio. kr. (2010-priser) til 2.689 i 2015 (2015-priser). I samme periode
har anlæggene dog forbrændt mere affald samt produceret 11% mere
fjernvarme.
Udledning af partikler, CO, svovl og NO
x
pr. ton forbrændt affald er faldet
markant fra 2010 til 2015, dog med en stigning for særligt partikler fra 2014-
2015.
4
EFK, Alm.del - 2016-17 - Bilag 251: Resultater fra branchens benchmarking af affaldsforbrændings- og deponeringsanlæg
1764212_0005.png
2 Anlæg der forbrænder affald
I 2015 var der 28 anlæg i Danmark, der forbrændte affald.
Anlæggene er lokaliseret i hele landet. De største anlæg ligger ved de største
byer. På kortet er anlæggene fordelt på type og skaleret i forhold til
forbrændingskapacitet.
Figur 1: Anlæg, der forbrænder affald i Danmark
5
EFK, Alm.del - 2016-17 - Bilag 251: Resultater fra branchens benchmarking af affaldsforbrændings- og deponeringsanlæg
1764212_0006.png
Figur 2 viser den miljøgodkendte kapacitet på alle anlæg, der forbrænder og
energiudnytter affald.
Figur 2: Forbrændingskapacitet (alle anlæg)
Vestforbrænding
ARC
KARA/NOVEREN Roskilde Kraftvarmeværk
Fjernvarme Fyn Affaldsenergi A/S
Aalborg Portland
AffaldVarme Aarhus
Ekokem
MEC Bioheat & Power A/S
Energnist Esbjerg
I/S Reno Nord
Energnist Kolding
Norfors
REFA
Affaldplus Næstved
AVV - Energianlæg
Affaldplus Slagelse
Fjernvarme Horsens A/S
RENOSYD
Sønderborg Kraftvarmeværk
I/S Aars Varmeværk
IS Kraftvarmeværk Thisted
Svendborg Kraftvarme
Frederikshavn Affaldskraftvarmeværk
Hammel Fjernvarme
Energianlæg Hobro
Grenaa Forbrænding
BOFA
Skagen Forbrænding
0
100
200
300
400
500
600
700
Årlig kapacitet i 1.000 tons
Specielle
Multifyrede
Dedikerede
Note: Norfors hed frem til 30/5 2015 Nordforbrænding, Energianlæg Hobro har skiftet navn fra
Fælles Forbrænding, mens Ekokem tidligere hed NORD.
Hovedparten af de danske forbrændingsanlæg er kommunale eller
fælleskommunale anlæg, jf. figur 3. En række anlæg er ejet af
energiselskaber, mens de store specialanlæg, Ekokem (tidligere NORD) og
Aalborg Portland, er ejet af private virksomheder.
6
EFK, Alm.del - 2016-17 - Bilag 251: Resultater fra branchens benchmarking af affaldsforbrændings- og deponeringsanlæg
1764212_0007.png
Figur 3: Ejerskab af anlæg, opgjort efter forbrændte mængder affald, 2015 (alle
forbrændingsanlæg)
Andet
17%
Elværksejet (A/S)
7%
Fælles-kommunalt
ejet (I/S)
58%
Kommunalt ejet
18%
Note: Kategorien ”Andet” dækker over privatejede A/S, AMBA og kombinationer af de øvrige
kategorier.
De fleste danske forbrændingsanlæg er bygget som kraftvarmeanlæg for mere
end 20 år siden. I en række tilfælde er de dog senere moderniseret med nye
ovnlinjer.
Som det fremgår af figur 4, var den samlede kapacitet på alle 28 danske anlæg
i 2015 på 4,26 mio. tons.
De 26 dedikerede og multifyrede forbrændingsanlæg har en samlet godkendt
miljøkapacitet på behandling af 3,8 mio. tons affald, og de forbrændte i 2015 i
alt 3,6 mio. tons affald og få tons biomasse.
7
EFK, Alm.del - 2016-17 - Bilag 251: Resultater fra branchens benchmarking af affaldsforbrændings- og deponeringsanlæg
1764212_0008.png
Figur 4a: Affaldsmængder og kapacitet 2007-2015, alle anlæg
M io. tons
4,5
4,0
3,5
3,0
2,5
2,0
1,5
1,0
0,5
0,0
2007
2008
2009
2010
2011
2012
2013
2014
2015
Brændt affald
Kapacitet
Figur 4b: Affaldsmængder og kapacitet 2007-2015 for kun de dedikerede og multifyrede anlæg
M io. tons
4,5
4,0
3,5
3,0
2,5
2,0
1,5
1,0
0,5
0,0
2007
2008
2009
2010
2011
2012
2013
2014
2015
Brændt affald
Kapacitet
Note: Kapaciteten i figuren er anlæggenes miljøgodkendte kapacitet. Anlæggenes reelle
kapacitet afhænger af flere faktorer, bl.a. affaldets brændværdi. Kapaciteten er derfor angivet
som en fed streg i figuren. For anlæg, der ikke var med i 2007-2009, er værdierne for 2010 indsat
for disse år.
Tabel
1
viser udviklingen i brændselsmængder fordelt på direkte tilført affald,
affald fra mellemdeponi og biomasse. Affald deponeres midlertidigt, når der
8
EFK, Alm.del - 2016-17 - Bilag 251: Resultater fra branchens benchmarking af affaldsforbrændings- og deponeringsanlæg
1764212_0009.png
ikke er kapacitet til at energiudnytte affaldet
f.eks. pga. nedbrud eller
renoveringer. Desuden har flere anlæg indgået aftaler i tilfælde af nedbrud.
Mængden af affald til forbrænding er steget fra 2014 til 2015. Mængden af
biomasse til forbrænding er faldet i forhold til sidste år
1
.
Tabel 1a: Mængder for dedikerede og multifyrede anlæg, 2014 og 2015
Kilde til importtal: Anlæggenes egne indberetninger til BEATE
Tabel 1b: Mængder for dedikerede anlæg, 2014 og 2015
1
Bemærk, at enkelte multifyrede anlæg ikke har angivet deres mængde af biomasse, hvilket de
ikke er forpligtet til ifølge Affaldsbekendtgørelsen.
9
EFK, Alm.del - 2016-17 - Bilag 251: Resultater fra branchens benchmarking af affaldsforbrændings- og deponeringsanlæg
1764212_0010.png
3 Økonomi
Figur 5 nedenfor viser de takster, affaldsproducenterne betaler for behandling
af forbrændingsegnet affald på de dedikerede forbrændingsanlæg.
Figur 5: Affaldstakster inkl. afgifter totalt og kr. pr. ton 2007-2015 (dedikerede
forbrændingsanlæg, løbende priser)
M io. kr. i alt og kr. pr. ton
1.600
1.400
1.200
1.000
800
600
400
200
0
2007
2008
2009
2010
2011
2012
2013
2014
2015
Afgifter i alt (mio. kr.)
Takster ekskl. gns. afgifter i alt (mio. kr.)
Gns. takst pr. ton forbrændt affald
Note: Afgiftsdelen af taksten er markeret med mørkegråt.
Tabel 2 nedenfor viser de gennemsnitlige takster for årene 2007-2015 og for
typer af forbrændingsanlæg.
Tabel 2: Vægtet gennemsnitlige takster for dedikerede og dedikerede + multifyrede
anlæg pr. ton, 2007-2015 (løbende priser)
2007
Gns. takst for dedikerede
anlæg
Gns. takst for dedikerede og
multifyrede anlæg
459
2008
452
2009
436
2010
481
2011
473
2012
455
2013
446
2014
437
2015
435
463
456
442
474
463
432
433
428
427
10
EFK, Alm.del - 2016-17 - Bilag 251: Resultater fra branchens benchmarking af affaldsforbrændings- og deponeringsanlæg
1764212_0011.png
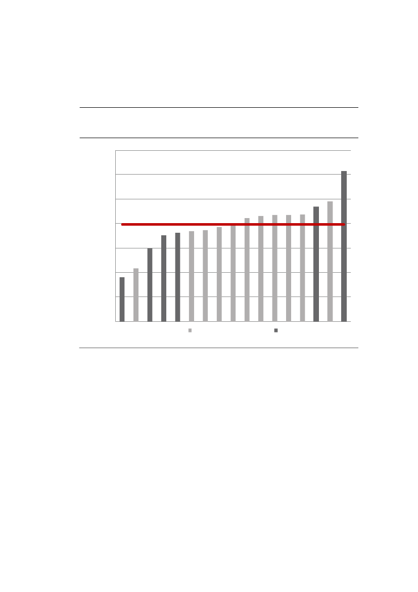
Figur 6 viser anlæggenes gennemsnitlige affaldstakst inkl. afgifter for hvert
enkelt anlæg. Der er stor spredning i den gennemsnitlige behandlingstakst på
de dedikerede og multifyrede forbrændingsanlæg, fra 303 kr. pr. ton til 992 kr.
pr. ton. Anlægget med den højeste behandlingstakst står dog, efter fusion med
et andet anlæg, overfor lukning og har som følge af fusionen haft et
usædvanligt driftsår i 2015.
Figur 6: Affaldstakster i kr. pr. ton affald i 2015 inkl. afgifter for affaldsproducenten
(dedikerede og multifyrede forbrændingsanlæg). Den røde streg angiver det vægtede
gennemsnit.
Kr. pr. ton inkl. afgifter
1200
1000
800
600
400
200
0
Anlæg
Både varme- og elproducerende
Kun varmeproducerende
Note: Det anlæg, der ligger højest, har haft en række ekstraordinære udgifter som følge af
fusion med et andet anlæg.
11
EFK, Alm.del - 2016-17 - Bilag 251: Resultater fra branchens benchmarking af affaldsforbrændings- og deponeringsanlæg
1764212_0012.png
Figur 7 viser de samlede omkostninger og omkostningerne i kr. pr. ton affald
(ekskl. afgifter). De gennemsnitlige omkostninger for dedikerede
forbrændingsanlæg var på 834 kr. pr. ton i 2015.
Figur 7: Omkostninger totalt og kr. pr. ton affald (dedikerede forbrændingsanlæg,
løbende priser), 2007-2015
M io. kr. i alt og kr. pr. ton
3.000
2.500
2.000
1.500
1.000
500
0
2007
2008
2009
2010
2011
2012
2013
2014
2015
Omkostninger i alt, mio. kr.
Omkostninger, kr. pr. ton
Note 1: Omkostninger = driftsomkostninger + afskrivninger + finansielle udgifter
ekstraordinære
omkostninger. I totale omkostninger indgår også udgifter til at forbrænde en andel biomasse,
mens biomassen ikke er medregnet i affaldsmængden. Bemærk, at der er skiftet
beregningsmetode i 2010, og derfor er tallene fra 2007-2009 justeret for at være
sammenlignelige med tallene i perioden 2010-2015. Priserne er ekskl. afgifter.
Note 2: En del af anlæggene har indregnet omkostninger til køb af CO
2
kvoter under
driftsomkostninger, men det er ikke muligt at opgøre omfanget heraf. Det betyder ikke noget for
det samlede billede.
Note 3: ARC har i deres regnskab for 2015 foretaget en ekstraordinær afskrivning, der ikke
vedrører det eksisterende anlæg. Denne afskrivning er ikke medregnet i de viste tal i denne
rapport.
Som det fremgår af tabel 3, var affaldsmængden i 2015 den samme som i 2007,
mens de samlede omkostninger i løbende priser er steget med 5,8% i perioden.
Omkostningerne pr. ton er steget 6,5%, men modsvares af en stigning i
varmeproduktionen pr. ton på 4% i perioden 2012-2015, jf
.
tabel 5
.
12
EFK, Alm.del - 2016-17 - Bilag 251: Resultater fra branchens benchmarking af affaldsforbrændings- og deponeringsanlæg
1764212_0013.png
Tabel 3: Omkostningsændringer, løbende priser, for dedikerede anlæg, 2007-2015
2007
Omkostninger i alt, mio. kr.
Omkostninger pr. ton
Affaldsmængde mio. ton
2.542
783
3,2
2015
2.689
834
3,2
Absolut
ændring
147
51
0,0
Ændring i %
5,8%
6,5%
0,80%
Note 1: Andel af forbrændt mængde biomassebrændsel indgår ikke i affaldsmængden. Priserne
er ekskl. afgifter.
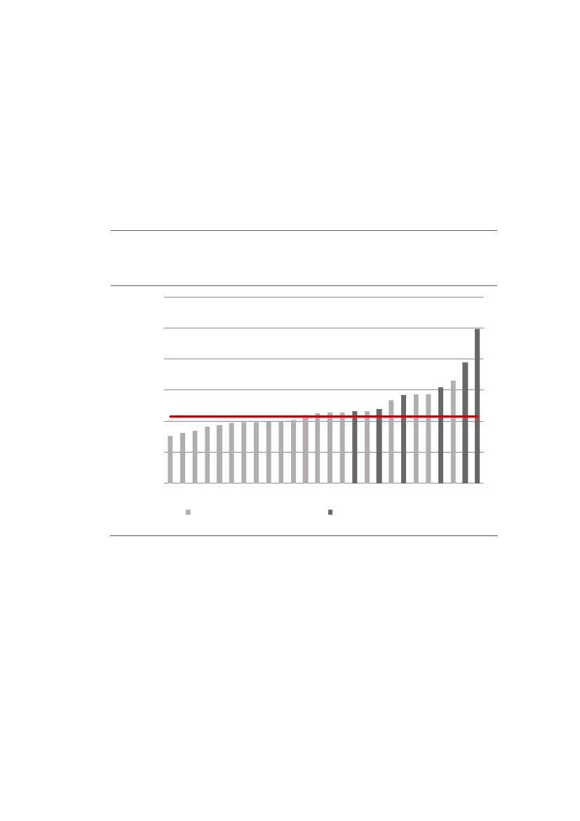
Figur 8 viser anlæggenes omkostninger i kr. pr. ton affald. Der er stor variation
i omkostningerne fra 465 kr. pr. ton til 1.254 kr. pr. ton. (Et enkelt anlæg har
en omkostning på over 1.800 kr. pr. ton, men det skyldes, at de er i
nedlukningsfasen). Forskellen skyldes blandt andet forskellige driftsstrategier,
faldende driftstimer på ældre ovnlinjer, effektivitet, neddeling,
mellemdeponering, omlastning og distribution af affaldsenergien.
Figur 8: Omkostninger for dedikerede forbrændingsanlæg i kr. pr. ton affald, ekskl.
afgifter. Den røde streg angiver det vægtede gennemsnit.
2.000
1.800
1.600
1.400
1.200
1.000
800
600
400
200
0
Både varme- og elproducerende
Kr. pr. ton affald, ekskl. afgifter
Anlæg
Kun varmeproducerende
Note: Andel af forbrændt mængde biomassebrændsel indgår ikke i affaldsmængden. Det anlæg,
der ligger højest, har haft en række ekstraordinære udgifter som følge af fusion med et andet
anlæg.
13
EFK, Alm.del - 2016-17 - Bilag 251: Resultater fra branchens benchmarking af affaldsforbrændings- og deponeringsanlæg
1764212_0014.png
4 Rammevilkår
Indtægter ved forbrænding består af indtægter fra salg af varme og for de
fleste anlægs vedkommende også el. De omkostninger, der ikke dækkes af
energiindtægter, opkræves som affaldstakst blandt affaldsproducenterne. Figur
9 viser, at gennemsnitligt 37% af anlæggenes indtægter stammer fra affald,
mens indtægterne fra varme udgør 49%. De resterende 14% er indtægter fra
salg af el. 53% af indtægten for affald består af afgifter til staten
(tillægsafgifter og CO
2
-afgiften). Tilsvarende udgør 26% af varmeindtægten
afgifter til staten (affaldsvarmeafgiften). Siden 2014 har hovedparten af alle
danske forbrændingsanlæg
2
været omfattet af det europæiske CO
2
-kvotesystem
(ETS), som har medført nye omkostninger og indtægter (fx køb og salg af kvoter
på markedsvilkår) for både affaldsproducenter og affaldsvarmekunder.
Figur 9: Fordeling af totale indtægter inkl. afgifter (dedikerede
affaldsforbrændingsanlæg), 2010-2015. Det stribede areal er afgifter til staten.
100%
Indtægtsandel (%)
El,
15%
80%
El,
15%
El,
13%
El,
13%
El,
13%
El,
14%
Affald,
40%
60%
Affald,
40%
Affald,
37%
Affald,
36%
Affald,
36%
Affald,
37%
40%
Varme,
46%
Varme,
45%
Varme,
50%
Varme,
51%
Varme,
52%
Varme,
49%
20%
0%
2010
2011
Varme
2012
2013
Affald
2014
El
2015
2
Energistyrelsen har oplyst, at 20 danske affaldsforbrændingsanlæg er omfattet af det fælles,
europæiske kvotehandelssystem (ETS).
14
EFK, Alm.del - 2016-17 - Bilag 251: Resultater fra branchens benchmarking af affaldsforbrændings- og deponeringsanlæg
1764212_0015.png
Tabel 4: Afgifter i alt 2015, mio. kr., kun dedikerede anlæg
Tillægsafgift
Mio. kr.
590
CO
2
152
No
x
69
Affaldsvarme
434
Note: Ud over tillægs-, CO
2-
, NOx- og affaldsvarmeafgiften udgør svovlafgiften 0,1 mio. kr.
De dedikerede forbrændingsanlægs samlede betaling af afgifter (ekskl.
svovlafgifter) til staten er i 2015 opgjort til 1,25 mia. kroner, hvilket er 216
mio. kroner lavere end i 2014 (15%). Faldet i afgiftsbetalingen skyldes, at
forsyningssikkerhedsafgiften blev ophævet i 2015
3
.
Indtægten fra salg af el er baseret på markedsprisen, som er afhængig af, om
det enkelte anlæg er berettiget til det såkaldte grundbeløb (garanteret
mindstepris)
4
. Den gennemsnitlige elindtægt på et dedikeret
affaldsforbrændingsanlæg med elproduktion udgør 174 kr. pr. ton affald.
Andelen af indtægter fra de forskellige indtægtskilder svinger fra år til år. Der
er dog en tendens til, at andelen fra affald falder, mens den stiger fra varme i
perioden. Ser man på de enkelte anlæg, svinger indtægten fra affaldstakster
inkl. affaldsafgifter fra 29% til 57% af de totale indtægter inkl. afgifter.
Indtægter fra salg af varme varierer mellem 37 og 100 kr. pr. GJ med et vægtet
gennemsnit på ca. 69 kr. pr. solgt GJ varme. I 2010 var tallet ca. 73 kr. pr. GJ
(2010-priser). Variationerne mellem anlæggene ses i figur 10.
3
Jf. http://www.ft.dk/samling/20141/lovforslag/l4/index.htm
4
Anlæg, omfattet af grundbeløbet (pristillæg), er garanteret en mindstepris for afregning med
el, der i nogle tilfælde kan være højere end markedsprisen. Se også Energistyrelsens
hjemmeside:
www.ens.dk/sites/ens.dk/files/supply/renewable-energy/wind-power/facts-about-
wind-power/key-figures-statistics/oversigt_over_stoette_til_elproduktion_juni_2015.pdf
15
EFK, Alm.del - 2016-17 - Bilag 251: Resultater fra branchens benchmarking af affaldsforbrændings- og deponeringsanlæg
1764212_0016.png
Figur 10: Variation i varmepris inkl. afgifter i 2015 (dedikerede
affaldsforbrændingsanlæg). Den røde streg angiver det vægtede gennemsnit.
Kr. pr. GJ
120
100
80
60
40
20
0
Anlæg
Note: Den del af varmeproduktionen, som er baseret på affaldsforbrænding, er underlagt et
prisloft på 96 kr. pr. GJ (jf. Energitilsynet, ”Prislofter for 2015”, 2014).
Figur 10 viser, at der er stor variation i den faktiske afregningspris for varmen
inkl. afgifter. Der gælder særlige regler for at fastsætte affaldsvarmeprisen.
Princippet er, at prisen på affaldsvarmen kun må dække de nødvendige
omkostninger
5
, dog sådan at prisen heller ikke må overstige det mulige
alternativ i varmeforsyningsområdet eller et loft for maksimalprisen for
affaldsvarmen, som Energitilsynet har udmeldt
6
. En ny prisloftsbekendtgørelse
trådte i kraft den 1. januar 2013, og for anlæg, der enten har genforhandlet
Varmepriserne påvirkes også af, at omkostninger lokalt fordeles forskelligt mellem affald og
varme.
I forbindelse med etablering af røggaskondensering kan der være indgået nye aftaler mellem
affalds- og varmesiden om fordelingen af omkostningerne herved.
6
5
16
EFK, Alm.del - 2016-17 - Bilag 251: Resultater fra branchens benchmarking af affaldsforbrændings- og deponeringsanlæg
1764212_0017.png
eller indgået leveringsaftaler efter denne dato,
gælder ’det nye prisloft’,
hvor
prisen i 2015 var 96 kr. pr, GJ
7
.
Figur 11: Variation i elafregningspris i 2015 (elproducerende, dedikerede
forbrændingsanlæg). Den røde streg angiver det vægtede gennemsnit.
Kr. pr. M Wh
700
600
500
400
300
200
100
0
Anlæg vest
Anlæg øst
Note: Et anlæg har konverteret en del af sin elproduktion til varmeproduktion. Det er der
korrigeret for i figurens tal.
Den gennemsnitlige indtægt fra elsalg udgør 401 kr. pr. MWh, hvilket er en
stigning på 8% fra 2014 til 2015. Indtægter fra elsalg varierer ikke så meget som
varmeindtægten mellem de enkelte anlæg. Der er dog variationer, der bl.a.
kan skyldes forskellige elpriser i Øst- og Vestdanmark, samt anlæggenes
forskellige muligheder for at indgå som balancekraft, regulerkraft og/eller
reservekraft i elmarkedet. Desuden oppebærer nye forbrændingsanlæg,
godkendt efter år 2004, ikke længere det såkaldte grundbeløb (garanti for
mindste elpriser).
7
Øvrige affaldsforbrændingsanlæg er omfattet af prisloft i henhold til overgangsbestemmelserne.
Fra den 1. januar 2016 er alle anlæg omfattet af det nye prisloft.
17
EFK, Alm.del - 2016-17 - Bilag 251: Resultater fra branchens benchmarking af affaldsforbrændings- og deponeringsanlæg
1764212_0018.png
Energiproduktion
Gennem de seneste fem år har listeprisen for el i kr./kWh været faldende, jf.
figur 12.
Figur 12: Listepris øre/kWh, januar 2011-december 2015
Øre/kWh
60
50
40
30
20
10
0
2011
2012
2013
2014
2015
Vestdanmark
Kilde: Elprisstatistikken.
Østdanmark
Som årets tema er det undersøgt, hvordan den faldende elpris påvirker
elproduktionen på de danske forbrændingsanlæg.
Data består af indberetninger for de dedikerede, elproducerende
affaldsforbrændingsanlæg for perioden 2011-2015, i alt 17 anlæg.
I figur 13 ses det, at der i perioden har været en faldende elproduktion som
andel af den samlede energiproduktion.
18
EFK, Alm.del - 2016-17 - Bilag 251: Resultater fra branchens benchmarking af affaldsforbrændings- og deponeringsanlæg
1764212_0019.png
Figur 13: Udvikling i elproduktion som andel af samlet energiproduktion, 2011-2015
19,4%
18,8%
18,7%
18,3%
17,9%
2011
2012
2013
2014
2015
Figur 14 viser, at den faldende elproduktion som andel af den samlede
energiproduktion skyldes, at stigningen i varmeproduktion har været højere
end elproduktionen.
Det ses, at den %-vise stigning i varmeproduktionen har været 11% for perioden
2011-2015, mens der kun har været en stigning i elproduktion på ca. 1% i
perioden. Stigningen i varmeproduktionen skyldes, at anlæggene har investeret
i øget røggaskondensering. Røggaskondensering gør det muligt at nyttiggøre den
ekstra energi, der kan trækkes ud af røggassen, når denne køles endnu mere
ned. Investeringer i røggaskondensering vil fortsætte ind i 2016 og frem,
hvorfor det må forventes, at det i fremtiden vil være muligt at få endnu mere
energi ud af det enkelte ton affald. Øget røggaskondensering kan ske uden at
have effekt på anlæggets elproduktion.
19
EFK, Alm.del - 2016-17 - Bilag 251: Resultater fra branchens benchmarking af affaldsforbrændings- og deponeringsanlæg
1764212_0020.png
EFK, Alm.del - 2016-17 - Bilag 251: Resultater fra branchens benchmarking af affaldsforbrændings- og deponeringsanlæg
1764212_0021.png
5 Energi og klima
Som det fremgår af figur 15, har forbrændingsanlæggene produceret 20 -24% af
fjernvarmeforbruget i Danmark og leveret ca. 5% af den danskproducerede el i
Danmark i perioden 2010-2015.
Figur 15: Forbrændingsanlæggenes produktion af varme og el, 2010-2015
(%-tallet i parentes angiver, hvor stor en andel forbrænding anlæggenes samlede
produktion udgør af Danmarks fjernvarme og elforbrug)
30
(24%) (20%) (22%) (22%) (24%) (23%)
1.800
1.600
Elproduktion, solgt (GWh)
(5%) (4%) (4%) (4%) (4%) (4%)
Varmeproduktion, solgt (mio. GJ)
25
20
1.400
1.200
1.000
15
10
800
600
400
200
5
0
0
2010 2011 2012 2013 2014 2015
2010 2011 2012 2013 2014 2015
Figur 16 viser netto el- og varmeproduktion pr. ton affald og biomasse. Enkelte
mindre dedikerede forbrændingsanlæg, fem af de 22, producerer alene varme,
mens de øvrige 17 anlæg producerer både el og varme. Nogle anlæg, der både
har kraftvarmeovne og rene varmeproducerende ovnlinjer, har en relativt lav
samlet elproduktion, når det måles i forhold til anlæg, der udelukkede har
kraftvarmeovne. Forskellen på energieffektiviteten kan desuden findes i
anlæggets alder, konstruktionen af anlægget samt i brændværdien i det
tilførte brændbare affald.
21
EFK, Alm.del - 2016-17 - Bilag 251: Resultater fra branchens benchmarking af affaldsforbrændings- og deponeringsanlæg
1764212_0022.png
Figur 16: El- og varmeproduktion pr. ton affald og biomasse (dedikerede
forbrændingsanlæg)
Den røde firkant angiver gennemsnittet.
MWh el pr. ton affald og biomasse
0,7
0,6
0,5
0,4
0,3
0,2
0,1
0,0
0
2
4
6
8
10
12
GJ varme pr. ton affald og biomasse
Note: Anlæg, der alene producerer varme, er markeret på x-aksen. I nogle anlægs
energiproduktion indgår også energi fra forbrænding af en andel biomasse.
Den gennemsnitlige mængde af produceret energi pr. ton affald i perioden
2012-2015 er vist i tabel 5. Alle danske forbrændingsanlæg har en
energieffektivitet, der ligger over EU's effektivitetskrav.
Tabel 5: Gennemsnitlig produceret energi pr. ton affald, 2012-2015
2012
GJ varme pr. ton affald og
biomasse
MWh el pr. ton affald og
biomasse
7,56
0,43
2013
7,54
0,52
2014
7,63
0,40
2015
7,87
0,40
Tilsvarende viser
figur 17
den producerede energi pr. ton affald for hvert af de
dedikerede forbrændingsanlæg. Produktionen varierer fra ca. 8 GJ til ca. 10 GJ
pr. ton affald. Det skyldes bl.a. en variation i ovnenes alder, hvor nye ovne
typisk vil være mere energieffektive end ældre ovne.
22
EFK, Alm.del - 2016-17 - Bilag 251: Resultater fra branchens benchmarking af affaldsforbrændings- og deponeringsanlæg
1764212_0023.png
Figur 17: El- og varmeproduktion (GJ) pr. ton affald og biomasse (dedikerede
forbrændingsanlæg)
Den røde streg angiver det vægtede gennemsnit for 2015.
GJ pr. ton affald og biomasse
12
10
8
6
4
2
0
Anlæg
Langt det meste af varmen fra forbrændingsanlæggene udnyttes i
fjernvarmesystemet. Siden 2007 er andelen af bortkølet varme reduceret fra
5,5% til 1,7%.
23
EFK, Alm.del - 2016-17 - Bilag 251: Resultater fra branchens benchmarking af affaldsforbrændings- og deponeringsanlæg
6 Emissioner
Der er fastsat miljømæssige minimumskrav til forbrænding i EU.
Når affald forbrændes, opstår der en aske- og slaggedel, som ikke kan
forbrændes og dermed ikke omsættes i forbrændingsprocessen. Slaggen udgør
typisk 17% af den samlede indfyrede affaldsmængde og består især af
uorganiske stoffer og mineraler samt metaller.
En stadig større andel af metallerne i forbrændingsslaggen genanvendes. Den
største andel af slaggen anvendes i forbindelse med vejbyggeri,
havneudvidelser og andre bygningskonstruktioner.
Forbrænding af affald medfører desuden en mængde restprodukter fra
røggasrensningen. Mængden svarer til ca. 3% af affaldet og sendes i dag til
Norge og Tyskland.
Endelig giver forbrændingsanlæggene anledning til en række luftemissioner,
der typisk måles kontinuerligt. Således måles SO
2
, HCl, TOC, CO, NO
X
og
totalstøv (partikler) kontinuerligt. Emissioner af HF, dioxin og tungmetaller
måles ved stikprøver.
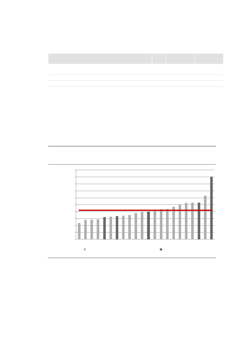
Figur 18 viser de samlede emissioner pr. ton affald for nogle af de parametre,
der skal måles kontinuerligt for ved forbrænding
vist fra mindste til største
emission for hvert stof.
De prikkede linjer viser udledningen (g pr. ton affald), hvis koncentrationen af
stoffet i røggassen var lig EU-grænseværdien (mg/Nm
3
)
8
.
De stiplede linjer viser
den faktiske udledning (g pr. ton affald).
8
Grænseværdierne er af EU fastsat efter røggasmængde (g/Nm
3
). Da røggasmængden pr. ton
affald varierer fra anlæg til anlæg, vil udledningen (g pr. ton affald) også variere, når
udledningen beregnes på baggrund af EU-grænseværdierne. For NO
X
er der to forskellige
grænseværdier, idet der er en højere grænseværdi for ovnlinjer, der var i drift den 28.
december 2002, og som har en kapacitet på højst 6 ton/time. I figuren er angivet den høje
grænseværdi for et anlæg, hvis mindst én af ovnlinjerne på anlægget har denne grænseværdi.
24
EFK, Alm.del - 2016-17 - Bilag 251: Resultater fra branchens benchmarking af affaldsforbrændings- og deponeringsanlæg
1764212_0025.png
Figur 18: Gennemsnitlige udledninger af forskellige emissioner, der måles
kontinuerligt (g pr. ton affald) (dedikerede affaldsforbrændingsanlæg)
g pr. ton brændt affald (bemærk logaritmisk skala)
10.000
1.000
100
10
1
0
Partikler
CO
SO2
NOX_lav
NOX_høj
Anlæg
Note: Visse anlæg har ikke oplyst tal for alle værdierne. For at få et overskueligt billede er data
for hver emission sorteret i størrelsesorden. Man kan således ikke finde samtlige emissioner på
grafen for ét forbrændingsanlæg, men snarere se niveau og variation i udledningerne.
Forbrændingsanlæggene er udstyret med rensningsudstyr, der under normal
drift er optimeret til at overholde disse grænseværdier. Der ses dog variationer
anlæggene imellem.
Figur 19 viser den indekserede udvikling i den gennemsnitlige udledning af
partikler, CO, SO
2
og NOx. Udledningen i dag er ca. 30-60% mindre end i 2010.
Udledningen af emissioner stammer direkte fra affaldet. I boksen nedenfor
uddybes dette for SO
2
.
Svovl i affald til forbrænding kan stamme fra en lang række af forskellige
kilder i både husholdningsaffald og industriaffald, hvor nogle af de mest
betydelige kilder vurderes at være gipsplader, bildæk og andre produkter
med vulkaniseringsmiddel samt motor- og gearolie. Samlet set indeholder
affald til forbrænding omkring 2-2,5 g S pr. kg.
Kilde: SO
2
-emissioner ved affaldsforbrænding, 2007, Dansk Affaldsforening
25
EFK, Alm.del - 2016-17 - Bilag 251: Resultater fra branchens benchmarking af affaldsforbrændings- og deponeringsanlæg
1764212_0026.png
Figur 19: Indekseret udvikling i gennemsnitlig udledning, 2010-2015, 2010=100
140
index
120
100
80
60
40
20
0
2010
2011
Partikler
2012
CO
2013
SO2
2014
Nox
2015
Figur 20 viser antal overskridelser af døgnmiddelværdier af luftemissionerne.
De grå søjler markerer antallet af overskridelser opdelt på overskridelse af CO
og overskridelser af øvrige luftemissioner. Den sorte linjer viser gennemsnittet i
2015.
26
EFK, Alm.del - 2016-17 - Bilag 251: Resultater fra branchens benchmarking af affaldsforbrændings- og deponeringsanlæg
1764212_0027.png
Figur 20: Antal enkeltoverskridelser af luftemissioner (dedikerede
forbrændingsanlæg)
50
Antal overskridelser
40
30
20
10
0
Anlæg
CO overskridelser
2010-gennemsnit
Andre overskridelser
2015-gennemsnit
Niveauet for overskridelser i 2015 er det samme som i 2014 og 2013.
Flere af de 22 dedikerede forbrændingsanlæg har haft overskridelser af vilkår
for døgnmiddelværdier i deres miljøgodkendelse. Der er en generel tendens til,
at stadig flere forbrændingsanlæg ingen overskridelser har eller kun ganske få
(1-2). Der er fortsat enkelte
især anlæg med gamle ovnlinjer fra før 2000
som har mange overskridelser. Flere af disse ovnlinjer er under udfasning,
hvorfor der er forventning om, at antal overskridelser fortsat vil falde.
27
EFK, Alm.del - 2016-17 - Bilag 251: Resultater fra branchens benchmarking af affaldsforbrændings- og deponeringsanlæg
1764212_0028.png
Figur 21 viser, hvilke vilkårsoverskridelser af døgnmiddelværdier anlæggene i
øvrigt har haft i 2015.
Figur 21: Vilkårsoverskridelser, 2015 (dedikerede forbrændingsanlæg)
s
Har anlægget haft vilkårsoverskridelser i forhold til…
emissioner?
uheld ydre miljø?
QA af målende systemer?
indhold af TOC/glødetab i slagge?
støj?
støv?
spildevandsudledninger til recipient?
spildevandsudledninger til kloak?
0
Ja
2
4
Nej
6
8
10
12
14
16
18
20
22
Ikke relevant
Antal anlæg
Der er især vilkårsoverskridelser for luftemissioner og spildevandsudledninger.
28
EFK, Alm.del - 2016-17 - Bilag 251: Resultater fra branchens benchmarking af affaldsforbrændings- og deponeringsanlæg
7 Om BEATE
I BEATE indsamles de data, som fremgår af affaldsbekendtgørelsen. De
indsamlede data gennemgår en kvalitetssikring, men det kan ikke udelukkes, at
der er enkelte dataset, der ikke er opgjort på samme grundlag. Det giver en
usikkerhed i anvendelsen af data. BEATE er en resultatbenchmarking, der
beskriver de enkelte anlægs udvikling og branchen som helhed i det enkelte år
og over flere år. BEATE forklarer ikke årsagerne til præstationerne for de
enkelte anlæg og branchen. Ønsker man at undersøge og forklare de mere
specifikke grunde til en given udvikling, kan man supplere med andre typer
benchmarking, herunder matematiske modeller (DEA/SFA) eller
procesbenchmarking, hvor man analyserer og sammenligner arbejdsprocesser.
Ønsker man herudover at forklare, hvordan anlæggenes forskellige rammevilkår
eller ændring af generelle rammebetingelser påvirker de enkelte anlæg, vil
dette forudsætte yderligere analyser.
Kriteriet for at indgå i BEATE (BEnchmarking Affaldsmodel Til Effektivisering)
er, at anlægget kan modtage affald efter kravene i direktivet om industrielle
emissioner/den danske forbrændingsbekendtgørelse. Følgende typer af anlæg
er blevet bedt om at indrapportere:
Dedikerede forbrændingsanlæg, hvor mindst 80% af den producerede
energi stammer fra affald.
Øvrige anlæg, der forbrænder mere end 20.000 tons affald om året.
Redskabet til indsamling af data er stillet til rådighed af Energistyrelsen (i
perioden 2007-2013 blev redskabet stillet til rådighed af Miljøstyrelsen)
9
.
Incentive har udarbejdet redskabet i samarbejde med foreningerne, samt
indsamlet, kvalitetssikret og behandlet data. Foreningerne har haft adgang til
data fra de anlæg, der er medlem af de respektive foreninger, og har bistået
med kvalitetssikringen af data.
9
I regeringsgrundlaget, Sammen for fremtiden, blev det besluttet at samle alle forsyningsområder i Energi-,
Forsynings- og Klimaministeriet, herunder affaldsforsyningen. Det betyder, at affaldsreguleringen er blevet
delt i mellem Miljø- og Fødevareministeriet og Energi-, Forsynings- og Klimaministeriet. Forsyningsdelen af
affaldsområdet blev flyttet ved kongelig resolution af 28. juni 2015. Benchmarking af forbrændingsanlæg og
deponeringsanlæg er dermed flyttet til Energi-, Forsynings- og Klimaministeriet og administreres af
Energistyrelsen. Der ligger yderligere materiale om ressortomlægningen på både Miljøstyrelsens og
Energistyrelsens hjemmeside.
29