Udlændinge-, Integrations- og Boligudvalget 2015-16
UUI Alm.del
Offentligt
1638776_0001.png
Ministeren
Udlændinge-, Integrations- og Boligudvalget
Folketinget
Christiansborg
1240 København K
Udlændinge-, Integrations- og Boligudvalget har den 28. april 2016 stillet følgende
spørgsmål nr. 535 (alm. del) efter ønske fra Dan Jørgensen (S) til udlændinge-,
integrations- og boligministeren, som hermed besvares.
Spørgsmål nr. 535:
Ministeren bedes opstille en tabel og en graf, der viser Danmarks andel af de
samlede asylansøgere i EU fra juli til december 2015. I forhold til disse tal, bedes
ministeren forholde sig til, hvordan det går med regeringens såkaldte
straksopbremsning?
Svar:
Indledningsvis skal det bemærkes, at Udlændinge- Integrations- og
Boligministeriet til brug for udarbejdelsen af besvarelsen har anvendt data fra
Eurostat.
I nedenstående tabel og graf fremgår Danmarks andel af de samlede asylansøgere
i EU i perioden 1. juli til 31. december 2015.
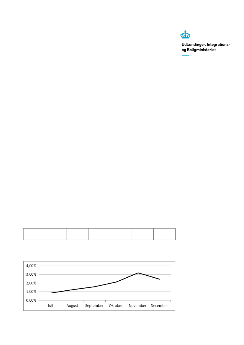
Tabel - Danmarks andel af de samlede asylansøgere i EU fra 1. juli til 31.
december 2015
Periode
Jul.
Aug.
Sep.
Okt.
Nov.
Dec.
Andel
0,85 %
1,23 %
1,58 %
2,12 %
3,17 %
2,46 %
Kilde: Eurostat opgjort pr. 29. april 2016.
Dato: 26. Maj 2016
Koncernøkonomi
Slotsholmsgade 10
1216 København K
Tel.
Mail
Web
CVR-nr.
Sags nr.
Akt-id
6198 4000
[email protected]
www.uibm.dk
36977191
2016 - 3801
67501
Graf - Danmarks andel af de samlede asylansøgere i EU fra 1. juli til 31.
december 2015
Kilde: Eurostat opgjort pr. 29. april 2016.
Side
1/2
UUI, Alm.del - 2015-16 - Endeligt svar på spørgsmål 535: Spm. om en tabel og en graf, der viser Danmarks andel af de samlede asylansøgere i EU fra juli til december 2015, til udlændinge-, integrations- og boligministeren
Som det fremgår af tabellen og grafen, har Danmarks andel af det samlede antal
asylansøgere i EU været stigende i perioden juli til november 2015, hvor Danmark
modtog 3,17 pct. af asylansøgerne i EU.
Det skal i forlængelse heraf bemærkes, at vi i de seneste år har oplevet en
historisk stor tilstrømning af flygtninge og migranter til Europa. I 2015 modtog EU
ca. 1,3 millioner asylansøgere. Dette er mere end dobbelt så mange som i 2014.
Det presser mange europæiske lande, herunder også Danmark, som i efteråret
2015 oplevede en markant stigning i antallet af asylansøgere. Alene i november
måned modtog Danmark mere end 5.000 asylansøgere.
Regeringen har gennemført en række initiativer, der har gjort det mindre
attraktivt at søge asyl i Danmark. Desuden har omfanget af grænsekontrollen
langs Schengens ydre grænse samt antallet af grænsekontroller internt i Europa
betydning for udviklingen i antallet af asylansøgere, der kommer til EU og
Danmark. Der henvises i den forbindelse til den samtidige besvarelse af spørgsmål
nr. 537 (Alm. del) stillet af Udlændinge-, Integrations- og Boligudvalget den 28.
april 2016.
Det kan supplerende oplyses, at antallet af asylansøgere har været faldende i EU i
perioden november 2015 til januar 2016. Antallet af asylansøgere i EU er således
faldet betydeligt fra ca. 158.600 i november 2015 til ca. 92.900 i januar 2016,
svarende til et fald på ca. 40 procent. Samtidig er Danmarks andel af det samlede
antal asylansøgere faldet fra 3,17 pct. i november 2015 til 1,78 pct. i januar 2016.
Det bemærkes, at andelen af asylansøgere i januar 2016 er opgjort eksklusiv
Spanien, som endnu ikke har indgivet tal til Eurostat for denne periode. Desuden
bemærkes det, at en stor andel af de asylansøgere, der indrejste i Tyskland i 2015,
først er registreret i 2016.
Det bemærkes generelt, at de statistiske oplysninger er behæftet med usikkerhed.
Inger Støjberg
/
Anette Görtz
Side
2/2