Uddannelses- og Forskningsudvalget 2016-17
UFU Alm.del
Offentligt
1696621_0001.png
Ministeren
Uddannelses- og Forskningsudvalget
Folketinget
Christiansborg
1240 København K
I brev af 6. juli 2016 har udvalget stillet mig følgende spørgsmål:
Spørgsmål nr. 220 (Alm. del - bilag)
Vil ministeren oplyse, hvor stor en andel af de samlede udgifter til SU, der gives til
henholdsvis unge fra familier med de 10 pct. højeste indkomster
og til unge fra
familier med de 10 pct. laveste indkomster?
Svar
Den samlede udbetalte SU til studerende afhænger bl.a. af længden af uddannel-
sen. Tager den studerende en universitetsuddannelse vil den studerende typisk få
mere i SU, end hvis den studerende tager en kortere uddannelse som f.eks. en er-
hvervsakademiuddannelse. Endvidere afhænger den samlede udbetalte SU bl.a. af,
om den studerende har en indkomst ved siden af studierne, som overstiger fribe-
løbsgrænserne, eller om de studerende eksempelvis er hjemme- eller udeboende.
For at tage højde for disse forhold vurderes det mest retvisende at opgøre andelen
af de samlede SU-stipendier, der gives til unge fra familier fra forskellige ind-
komstbaggrunde, ved at anlægge et livsperspektiv. Konkret er dette gjort ved at
opgøre de samlede SU-udbetalinger til fødselsårgangen 1980, indtil de er fyldt 34
år. Dermed opgøres hvor meget SU, der er blevet udbetalt til SU-modtagere fra
denne årgang fra 1998 til 2014.
Det skal bemærkes, at metoden er tilbageskuende, fordi den baserer sig på perso-
ner, der var studerende for år tilbage. Den giver derfor et billede af den støtte, unge
studerende fra årgang 1980 med forskellige forældrebaggrunde har fået i løbet af
deres studietid.
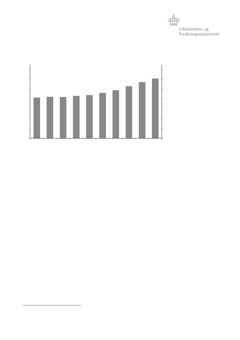
Opgørelsen viser, at der er en stigende sammenhæng mellem SU-udbetalingerne og
forældreindkomsten. Des højere indkomstdecil forældrene ligger i, des større an-
del af de samlede SU-udbetalinger får den unge i gennemsnit,
jf. figur 1.
Figuren
viser forældrenes indkomstdecil på den vandrette akse og andelen af SU-
udbetalingerne for den unge (fra årgang 1980) i procent på den lodrette akse. Ind-
komstdecil 1 er de 10 pct. laveste indkomster, og indkomstdecil 10 er de 10 pct.
højeste indkomster.
Unge fra familier med de 10 pct. højeste indkomster modtager ca. 12 pct. af de sam-
lede SU-udbetalinger. Unge fra familier med de 10 pct. laveste indkomster modta-
ger ca. 8 pct. af de samlede SU-udbetalinger.
2. december 2016
Uddannelses- og
Forskningsministeriet
Børsgade 4
Post
Postboks 2135
1015 København K
Tel.
3392 9700
Fax
3332 3501
Mail
[email protected]
Web
www.ufm.dk
CVR-nr.
Ref.-nr.
1680 5408
16/026138-08
Side
1/2
UFU, Alm.del - 2015-16 - Endeligt svar på spørgsmål 220: Spm. om ministeren vil oplyse, hvor stor en andel af de samlede udgifter til SU, der gives til henholdsvis unge fra familier med de 10 pct. højeste indkomster - og til unge fra familier med de 10 pct. laveste indkomster?, til uddannelses- og forskningsministeren
1696621_0002.png
Figur 1: Samlet udbetalt SU-stipendie for årgang 1980 fordelt efter for-
ældres gennemsnitlige indkomst i alderen 18-34 år, pct.
pct.
pct.
14
14
12
12
10
10
8
8
6
6
4
4
Uddannelses- og
Forskningsministeriet
2
2
0
1
2
3
4
5
6
7
8
9
10
0
Anm.: De samlede SU-stipendier er opgjort på baggrund af SU-modtagere fra årgang 1980 i alderen 18-34 år.
Familieindkomst er opgjort som den gennemsnitlige bruttoindkomst for én forælder i barnets 13. leveår, og
både stipendier og forældreindkomster er inflationskorrigeret med forbrugerprisindekset. Personer med mang-
lende data for begge forældre indgår ikke i figuren (2536 observationer), men de indgår i de beregnede andele.
Kilde: Uddannelses- og Forskningsministeriets beregninger på baggrund af SU-data kombineret med data fra
Danmarks Statistik.
Det kan nævnes, at publikationen
’Fordeling
og incitamenter’ fra 2013 udarbejdet
af Økonomi- og Indenrigsministeriet
viser, at SU’en i et livsperspektiv ikke er
en
omfordelende social ydelse, og at den del af SU’en, der udbetales til personer med
en lang videregående uddannelse isoleret set øger indkomstforskellene i et livsper-
spektiv en smule
.
1
Det skal ses i sammenhæng med, at SU i højere grad udbetales til
personer, som i gennemsnit oppebærer en større indkomst set over et liv.
Med venlig hilsen
Søren Pind
1
Økonomi- og Indenrigsministeriet: Fordeling og incitamenter 2013, s. 108
Side
2/2