Uddannelses- og Forskningsudvalget 2015-16
UFU Alm.del
Offentligt
1647750_0001.png
Analysis of the Industrial PhD Programme
UFU, Alm.del - 2015-16 - Endeligt svar på spørgsmål 168: Spm. om ministeren vil fremsende relevante evalueringer af Globaliseringspuljen 2007-12, til Uddannelses- og forskningsministeren
1647750_0002.png
>
Analysis of the Industrial PhD
Programme
Published by :
The Danish Agency for Science, Technology and Innovation
Bredgade 40
1260 København K
Tlf: 35446200
Fax: 35446201
The report is produced by Iris Group for the Danish Agency for
Science, Technology and Innovation
Text: CEBR – Centre for Economic and Business
Research - Johan M. Kuhn, Ph.D.
ISBN: 978-87-92372-65-9 (web)
Design: Formidabel Aps
UFU, Alm.del - 2015-16 - Endeligt svar på spørgsmål 168: Spm. om ministeren vil fremsende relevante evalueringer af Globaliseringspuljen 2007-12, til Uddannelses- og forskningsministeren
1647750_0003.png
CoNTENTS
>
CoNTENTS
3
ExECuTIvE SuMMARy
5
SAMMENFATNING (DANISh SuMMARy)
7
1
INTRoDuCTIoN
9
2
DESCRIPTIoN oF ThE INDuSTRIAl PhD PRoGRAMME
11
3
INDIvIDuAl lEvEl ANAlySIS
13
3.1 Results of the individual level analysis
14
4
CoMPANy lEvEl ANAlySIS
23
4.1 Data and methodology of the company level analysis
23
4.2 Results of the company level analysis
27
5
SuMMARy AND CoNCluSIoNS
41
6
APPENDIx 1: SElECTIoN oF CoNTRolS
42
UFU, Alm.del - 2015-16 - Endeligt svar på spørgsmål 168: Spm. om ministeren vil fremsende relevante evalueringer af Globaliseringspuljen 2007-12, til Uddannelses- og forskningsministeren
1647750_0004.png
>
UFU, Alm.del - 2015-16 - Endeligt svar på spørgsmål 168: Spm. om ministeren vil fremsende relevante evalueringer af Globaliseringspuljen 2007-12, til Uddannelses- og forskningsministeren
1647750_0005.png
ExECuTIvE SuMMARy
This report has been prepared by the Centre for Economic and Business
Research (CEBR). It presents an analysis of the economic impact of the Danish
Industrial PhD Programme on participating companies and on wage and career
characteristics of Industrial PhD graduates.
The Industrial PhD Programme is funded by the Danish Council for Technology
and Innovation and is administered by the Danish Agency for Science,
Technology and Innovation (DASTI). The programme subsidises PhD studies
where the student is employed in a private sector company and simultaneously
enrolled as a PhD student at a university.
The analysis follows approx. 430 individuals and approx. 270 companies that
have participated in the programme and for whom relevant data is available in
the selected registers.
On the individual level, we compare wage income and occupation of Industrial
PhDs with regular PhDs and other university level graduates.
On the company level, we analyse company level developments within four
success parameters:
the number of patents applications,
gross profit growth,
total factor productivity, and
employment growth.
For a sample of companies which have hosted a maximum of three Industrial
PhD projects, we identify a control group of highly similar companies which
have not hosted any Industrial PhD projects. We then compare developments in
the success parameters in these two groups. Under identifying assumptions, the
difference between the sample group and the control group isolate the causal
impact of the programme on companies hosting Industrial PhD projects.
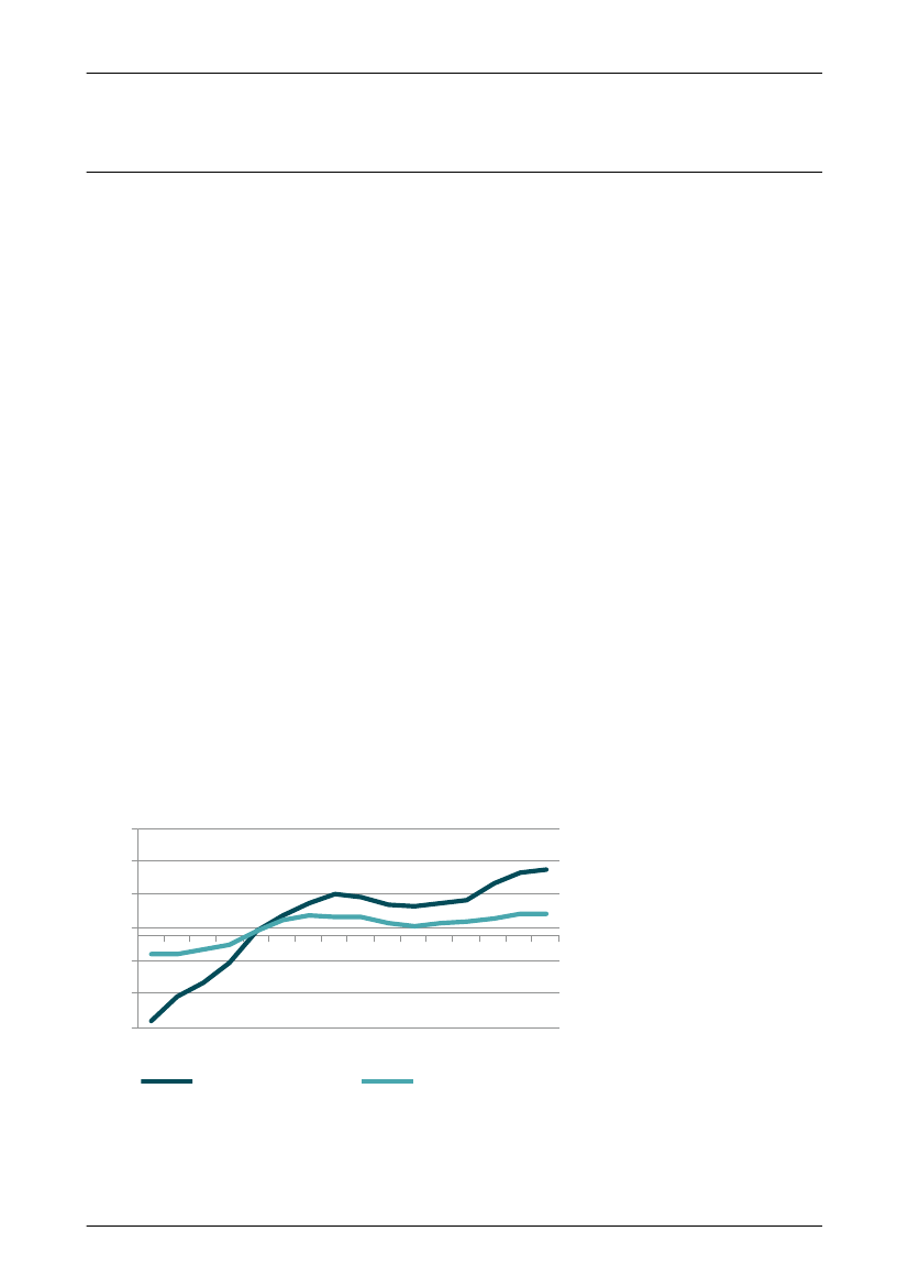
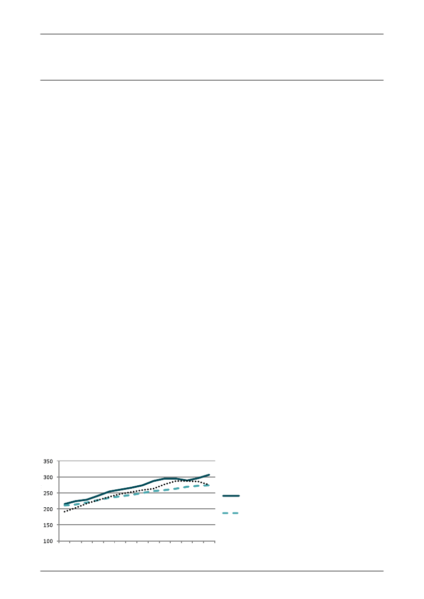
The results of the analysis can be summarised as follows: Industrial PhDs earn
approx. 7-10 percent higher wages than both regular PhDs and comparable
university graduates. This comparison is illustrated in FIGURE 1.
FIGuRE 1: hourly wage (DKK) in 2006, by Individual age
>
Industrial PhD Graduates
Regular PhD Graduates
31 32 33 34 35 36 37 38 39 40 41 42 43 44
Age (in years)
Analysis of Danish innovation policy - The Industrial PhD Programme and the Innovation Consortium Scheme
5
UFU, Alm.del - 2015-16 - Endeligt svar på spørgsmål 168: Spm. om ministeren vil fremsende relevante evalueringer af Globaliseringspuljen 2007-12, til Uddannelses- og forskningsministeren
1647750_0006.png
>
They are also more likely to be found at the top levels of their organisations’
hierarchies compared to normal PhDs and more likely to be found in positions
requiring high-level specialist knowledge than regular university graduates.
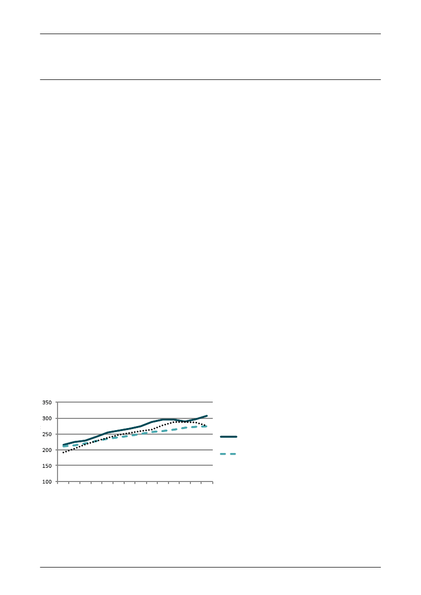
Companies that host Industrial PhDs see on average increasing patenting
activity, illustrated by FIGURE 2. They are characterised by high growth in
gross profit, and more positive developments in gross profit and employment
growth than companies in the control group. We are not able to identify
robust relationships between hosting Industrial PhD projects and total factor
productivity developments.
FIGuRE 2: Number of patent applications, high-quality matches.
Average number of patent applications per company, change relative to year before
first initiating an Industrial PhD project
0,20
0,12
0,10
0,05
0,00
-0,05
-0,10
Age (in years)
-5 - 4 -3 -2 -1 0
1 2 3
4
5 6 7 8 9 10
Companies with Industrial PhD projects
Companies without Industrial PhD projects
Analysis of Danish innovation policy - The Industrial PhD Programme and the Innovation Consortium Scheme
6
UFU, Alm.del - 2015-16 - Endeligt svar på spørgsmål 168: Spm. om ministeren vil fremsende relevante evalueringer af Globaliseringspuljen 2007-12, til Uddannelses- og forskningsministeren
1647750_0007.png
SAMMENFATNING (DANISh SuMMARy)
Denne rapport er skrevet af Centre for Economic and Business Research
(CEBR). Den beskriver en analyse af ErhvervsPhD-ordningens potentielle
effekter på udviklingen i de deltagende virksomheder og løn- og
karrieremønstre for personer, som har erhvervet deres ph.d.-grad gennem
ordningen.
Et ErhvervsPhD-projekt er et treårigt erhvervsrettet ph.d.-projekt, hvor den
studerende ansættes i en privat virksomhed og samtidig indskrives på et
universitet.
Ved hjælp af registerdata følger analysen ca. 430 individer og 270
virksomheder, som har deltaget i ordningen. På individniveau studeres
væksten i ErhvervsPhD’ernes lønindkomst i forhold til almindelige ph.d.’ere og
sammenlignelige kandidater.
For virksomheder studeres udviklingen i patentering, bruttofortjeneste,
totalfaktorproduktivitet og beskæftigelse. Hertil identificerer vi en gruppe af
kontrolvirksomheder, som ikke ansætter en ErhvervsPhD, men som ellers ligner
de ansættende virksomheder i størrelse, branche, alder og region.
Dermed kan vi besvare spørgsmålet om, hvorvidt de virksomheder, som ansatte
en ErhvervsPhD, har haft en mere positiv udvikling i succesparametrene, end
man ville have forventet på basis af udviklingen for kontrolvirksomhederne.
Analysens resultater kan sammenfattes som følger:
Efter uddannelsens afslutning har ErhvervsPhD’er i gennemsnit mellem 7 og 10
procent højere lønindkomst end normale ph.d.’er og personer med en afsluttet
universitetsuddannelse. Dette er illustreret i FIGUR 1.
FIGuRE 1: Timeløn (i kr.) in 2006, efter alder
>
ErhvervsPhD
Normal PhD
31 32 33 34 35 36 37 38 39 40 41 42 43 44
Alder
Analysis of Danish innovation policy - The Industrial PhD Programme and the Innovation Consortium Scheme
7
UFU, Alm.del - 2015-16 - Endeligt svar på spørgsmål 168: Spm. om ministeren vil fremsende relevante evalueringer af Globaliseringspuljen 2007-12, til Uddannelses- og forskningsministeren
1647750_0008.png
>
>
ErhvervsPhD’ere har endvidere en væsentligt højere sandsynlighed for at blive
ansat i lederstillinger end almindelige ph.d.’ere og er stærkere repræsenteret
i gruppen af medarbejdere med jobfunktioner, som kræver specialviden på
højeste niveau. Virksomheder, som ansætter ErhvervsPhD’ere, har i gennemsnit
højere patenteringsaktivitet efter ansættelsen end før. Dette er illustreret i
FIGUR 2.
FIGuRE 2: Antal patentansøgniner, højkvalitetssammenligning
Gennemsnitlig antal patentansøgninger pr. virksomhed
(i afvigelser ift. året før første ErhvervsPhD-projekt)
0,20
0,12
0,10
0,05
0,00
-0,05
-0,10
År før/efter første
Erhvervs PhD
-5 - 4 -3 -2 -1 0
1 2 3
4
5 6 7 8 9 10
virksomheder med ErhvervsPhD-projekter
virksomheder uden ErhvervsPhD-projekter
De er også kendetegnet ved højere vækst i bruttofortjenesten/værdiskabelsen
og har en mere positiv udvikling i væksten i bruttofortjenesten og
medarbejderantallet end virksomhederne i kontrolgruppen.
Det er på nuværende tidspunkt ikke muligt at påvise, at ErhvervsPhD-ordningen
bidrager til højere vækst i virksomhedernes totalfaktorproduktivitet.
Analysis of Danish innovation policy - The Industrial PhD Programme and the Innovation Consortium Scheme
8
Performanceregnskab 2010
8
UFU, Alm.del - 2015-16 - Endeligt svar på spørgsmål 168: Spm. om ministeren vil fremsende relevante evalueringer af Globaliseringspuljen 2007-12, til Uddannelses- og forskningsministeren
1647750_0009.png
1
INTRoDuCTIoN
>
This report has been prepared by the Centre for Economic and Business
Research (CEBR). It presents an analysis of the economic impact of companies
participating in the Danish Industrial PhD Programme in terms of growth
and value creation, and on wage income and career patterns of Industrial PhD
graduates.
Even though this analysis is an evaluation of a specific Industrial PhD subsidy
programme, its results might be of general interest, as programmes similar to the
Danish Industrial PhD Programme have been implemented or are considered for
implementation in a number of countries. However, general knowledge of their
effects which can be integrated into cost-benefit analyses of these programmes is
still rare.
The Industrial PhD Programme aims at increasing knowledge sharing between
universities and private sector companies, promoting research with commercial
perspectives, and taking advantage of competences and research facilities in
private business to increase the number of PhDs.
For this purpose, the Industrial PhD students typically spend 50 percent of their
time in a company and 50 percent of their time at a university while taking the
degree. The Danish Agency for Science, Technology and Innovation (DASTI)
subsidises the Industrial PhD’s salary with a fixed monthly amount, roughly
corresponding to 30-50 percent of the Industrial PhD’s total salary.
The Industrial PhD programme was initiated in 1971 under the name “The
Industrial Researcher Programme”. In 1988 it was made possible to qualify for
a PhD degree when graduating. The programme was subsequently reformed
to comply with Danish PhD regulations, making every graduate a formal
PhD graduate. Until 2009, approx. 1,200 projects have been started. As part
of its evaluation policy, DASTI has asked CEBR to analyse the company and
individual level effects of the Industrial PhD Programme. The main questions
of the evaluation are whether and how participating in the Industrial PhD
Programme is associated with company performance and, with regard to
individuals, to what extent an Industrial PhD degree is associated with future
career developments, measured by wage income and occupation.
To answer the questions outlined above, this analysis considers 430 individuals
and approx. 270 companies that have participated in the programme using a
matched employer-employer register dataset.
On the individual level, we compare wage income developments of Industrial
PhD graduates with regular PhD graduates and individuals with a university
level degree (and who have graduated at approximately the same time as the
Industrial PhD graduates).
Analysis of Danish innovation policy - The Industrial PhD Programme and the Innovation Consortium Scheme
9
UFU, Alm.del - 2015-16 - Endeligt svar på spørgsmål 168: Spm. om ministeren vil fremsende relevante evalueringer af Globaliseringspuljen 2007-12, til Uddannelses- og forskningsministeren
1647750_0010.png
>
On the company level, we analyse company level developments within four
success parameters:
number of patent applications,
gross profit growth,
total factor productivity (TFP), and
employment growth
Gross profit is defined as annual net sales subtracted annual costs of variable
inputs (raw materials, energy, intermediate goods purchases, etc.), except labour
costs. Thus, gross profit is a measure of the company’s value creation.
1
Total factor productivity is gross profit corrected for the company’s use of capital
and the number of employees. It is measured as the percentage-wise deviation of
a company’s gross profit from the gross profit that would have been expected on
basis of the company’s number of employees and its capital stock.
2
To identify innovation, growth and productivity effects of hosting an Industrial
PhD, we analyse increases in the number of patent applications, gross profit
growth, total factor productivity and employment growth for a sample of
companies which have participated in the Industrial PhD Programme. By using
a control group of highly similar companies which have not participated in the
programme, we can compare the developments of the success parameters of the
two groups of companies to each other.
1 Gross profit is the most precise measure of the company’s value creation, but one should, of course,
keep in mind that a part of the company’s total value creation may be passed on to consumers, may be
retained in the company and increase its value (for which there is no data available for this analysis), or
may take the form of positive externalities, such as knowledge and/or innovations which benefit other
companies or society in general.
2 For this analysis, we measure TFP as the residuals of a Cobb-Douglas-production function estimation
with total assets and the number of employees as right hand side variables.
10
Analysis of Danish innovation policy - The Industrial PhD Programme and the Innovation Consortium Scheme
UFU, Alm.del - 2015-16 - Endeligt svar på spørgsmål 168: Spm. om ministeren vil fremsende relevante evalueringer af Globaliseringspuljen 2007-12, til Uddannelses- og forskningsministeren
1647750_0011.png
2
DESCRIPTIoN oF ThE INDuSTRIAl PhD PRoGRAMME
>
An Industrial PhD project is a three-year industrially focused PhD project where
the student is hired by a company and enrolled in a university at the same time.
3
The company receives a monthly wage subsidy of (currently) DKK 14,500
(approx. €2,000) while the university has its expenses for supervising etc.
covered. The PhD student works full time on the project and divides his or her
time equally between the company and the university. There are additional
subsidies available for project-relevant stays abroad.
Currently, there are allocated annually approx. DKK 100-150 million (€15-20
million) for new projects. Approval rates for applications are currently above 60
percent.
Different aspects of the Danish Industrial PhD programme were addressed
in earlier evaluations. DASTI (2007a)
4
concludes that Industrial PhDs are
characterised by earning higher wages and are more likely to be a part of their
organisation’s management compared to regular PhDs. Companies hosting
Industrial PhD projects expect increased patenting activity and growth.
DASTI (2007b)
5
lists several positive benefits for the participating companies.
Among other things, companies may gain new knowledge, patents and licenses,
growth and new market opportunities, and an increased network inside the
academic world.
A similar conclusion is reached in a report by Right, Kjaer and Kjerulf from
2003. Based on interviews with participating candidates and companies in 2002,
they find that a majority of companies expect the Industrial PhD to contribute to
patents, while close to half of all companies expect increased earnings.
International evaluations include a report from the European University
Association,
6
which concludes that participating candidates enjoy better
employment opportunities due to improved skills. Two studies for the Swedish
agency KK-stiftelsen
7
have also been carried out. These conclude (a) that certain
conditions need to be met for projects to be successful, and (b) that the different
stakeholders of Industrial PhD projects report that the programme is achieving
its goals.
3 This section draws extensively on the information published by DASTI.
4DASTI, 2007a: ”ErhvervsPhD - Et effektivt redskab for innovation og vidensspredning”.
5DASTI, 2007b: ”ErhvervsPhD - Ny viden til erhvervslivet og universiteterne”.
6European university Association, 2009: “Collaborative Doctoral Education - university-Industry partners-
hips for enhancing knowledge exchange”.
7(a) KK-stiftelsen, 2003: ”KK-stiftelsens företagsforskarskolor - utvärdering av ett koncept för ökat sam-
arbete mellan akademi och näringsliv”.
(b) KK-stiftelsen, 2006: ”Småföretags- och institutsdoktorander för kunskaps- och kompetensutveckling”.
Analysis of Danish innovation policy - The Industrial PhD Programme and the Innovation Consortium Scheme
11
UFU, Alm.del - 2015-16 - Endeligt svar på spørgsmål 168: Spm. om ministeren vil fremsende relevante evalueringer af Globaliseringspuljen 2007-12, til Uddannelses- og forskningsministeren
1647750_0012.png
UFU, Alm.del - 2015-16 - Endeligt svar på spørgsmål 168: Spm. om ministeren vil fremsende relevante evalueringer af Globaliseringspuljen 2007-12, til Uddannelses- og forskningsministeren
1647750_0013.png
3
INDIvIDuAl lEvEl ANAlySIS
>
For the individual level analysis, information gathered by DASTI on participating
individuals was merged with public register information typically referred to as
the “Integrated Database of Labour Market Research (IDA)”. These data cover the
period from 1980 onward and contain information on a multitude of individual
demographic background characteristics, like education, gender and age.
The IDA data have – for the period 1997 to 2006 – been merged with information
from the ”Wage Statistics Database”, which includes detailed information on
wages and occupation, including hierarchical levels.
Also, information from education-related registers has been added to the data, to
make it possible to control for inherent human capital endowments – pproximat-
ed by the grades of secondary education certificates – in the regressions.
The following analysis compares wages and careers of Industrial PhD graduates with:
(a) individuals with a university degree, but no PhD degree, and
(b) regular PhD graduates.
The validity of these comparisons depends on how similar the two groups are
with the Industrial PhD graduates and the potential to control for observable
factors presumably related to educational choices and, later, income and career
developments. Both objectives raise some issues regarding the optimal sampling
strategy, which is presented in the following:
When selecting the sample for the analysis, we obviously include all individuals
who have completed an Industrial PhD education. Individuals who have completed
a regular PhD education form the first control group.
With regard to university graduates, who form the second control group of
individuals for comparison, there is an issue which needs to be resolved: There is
a large number of secondary educations where it is not entirely clear whether they
should be defined as university level educations or not.
We choose to address this issue by identifying the highest educational degrees of
the Industrial PhD graduates before obtaining their Industrial PhD degrees. As a
first step in the sampling procedure, we only select individuals with the same set
of educations for the control group.
But without further conditions on sampling, the educational fields of the Industrial
PhDs and the university graduates would be very different. For example, there
would be a large share of individuals with university degrees in arts and Humanities
in the control group, while these degrees are relatively uncommon in the group of
Industrial PhDs. This would bias any comparison between the two groups.
For this reason, we also align the composition of the educational fields of
Industrial PhDs prior to obtaining the Industrial PhD degree and the educational
fields of the control group by selecting a fixed number of individuals into the
control group for each Industrial PhD graduate.
Analysis of Danish innovation policy - The Industrial PhD Programme and the Innovation Consortium Scheme
13
UFU, Alm.del - 2015-16 - Endeligt svar på spørgsmål 168: Spm. om ministeren vil fremsende relevante evalueringer af Globaliseringspuljen 2007-12, til Uddannelses- og forskningsministeren
1647750_0014.png
>
Specifically, we select ten individuals into the control group for each Industrial
PhD. The number ten is a compromise between being able to find individuals
with the same educational degrees and a sample size large enough to isolate
relationships in the data.
These individuals, referred to as the group of ‘university graduates’ are
randomly selected, but must correspond to the educational field of the given
Industrial PhD graduate (before he/she obtains her PhD degree). In the selection
process, we also prefer persons of the same gender and origin (Danish vs. non-
Danish), and persons who are of similar age. This way, we base the comparisons
on groups of individuals similar not only in terms of their educational field, but
also age, gender and origin.
The individual level analysis is based primarily on information for the year
2006, which is the last year where the data provides detailed information on
wages and occupation.
3.1
Results of the individual level analysis
At present there are approx. 1,200 individuals who have participated or are
participating in the Industrial PhD Programme. In year 2006, which is the
last year for which all relevant data is available, 999 Industrial PhDs can be
identified in the register data.
Of these, the register data shows 442 completed their projects, i.e. obtained their
Industrial PhD degree, before 2006.
Additionally, there is wage information for 430 of these 442 individuals.
The wage concept used in the following analysis is Statistics Denmark’s ‘nw’-
variable of the Wage Statistics Database. This variable is a description of the
person’s hourly wage income excluding pension contributions and cleaned for
peculiarities such as overtime, dirty work premiums, etc.
Career developments are measured by Statistics Denmark’s ‘disco’-variable,
also from the Wage Statistics Database. This variable categorises occupation by
different hierarchical levels and work functions. The question to be considered
is whether Industrial PhDs are over- or underrepresented in leadership positions
(disco code 1000-1999) or positions which require high-skilled specialist
knowledge – these will be denoted as specialist positions in the following (disco
code 2000-2999).
Descriptive statistics
In this subsection, we describe the gross sample of all individuals associated
with the Industrial PhD Programme – with or without completed Industrial PhD
degrees - and of all individuals with a PhD degree in the last year in which they
are observed, and all individuals selected for the group of university graduates.
This ensures the most comprehensive description of these groups. However,
Analysis of Danish innovation policy - The Industrial PhD Programme and the Innovation Consortium Scheme
14
UFU, Alm.del - 2015-16 - Endeligt svar på spørgsmål 168: Spm. om ministeren vil fremsende relevante evalueringer af Globaliseringspuljen 2007-12, til Uddannelses- og forskningsministeren
1647750_0015.png
>
when we turn to the comparison of wages and career patterns, we will concentrate
on those individuals with completed educations (either university or PhD) in 2006.
When taking a first look at the data (TABLE 3.2.1), we find that in 2006, the last
year for which data is available for this analysis, Industrial PhDs earn approx.
10 percent lower wages than regular PhDs, but are, in the current sample, almost
eight years younger on average.
Industrial PhDs have slightly lower grades than normal PhDs in their secondary
education examinations, but this difference is negligible relative to this variable’s
variation.
About four percent of the Industrial PhDs are represented at the top of their
organisation’s hierarchy, which is very similar to the two control groups.
Approx. 60 percent of Industrial PhDs work in specialist positions, a share which
locates them between regular PhDs and university graduates, where this is the
case for 74 and 44 percent, respectively. Obviously, we can expect differences
in both wages and positions to increase when focusing only on individuals with
completed educations in the next subsection.
TABlE 3.2.1: Descriptive statistics of the individual level data (2006), mean values
Industrial PhD
students and
graduates
hourly wage (DKK)
Female
Age (year)
Grade of university-
entrance diploma
(standard deviation: 8.9)
Non-Danish origin
leadership position
Specialist position
Number of
observations
228,61
0,35
34,55
91,83
0,06
0,04
0,58
999
Regular PhD
students and
graduates
223,44
0,34
42,66
92,63
0,08
0,04
0,74
12369
university
graduates
223,44
0,35
34,72
87,33
0,05
0,03
0,44
9625
All
243,06
0,34
38,98
90,07
0,07
0,04
0,61
22993
Cf. TABLE 3.2.2, we find that approx. 38 percent of all Industrial PhDs had a degree in engineering, and
another approx. 23 percent had degrees in chemistry or electronics engineering before receiving their
Industrial PhD degree.
8
8
obviously, the group of university graduates is supposed to only consist of individuals who actually have
graduated. Thus, when we formally compare the different groups of individuals in the results subsection,
please note that we will not consider individuals registered as having a university-entrance diploma as
their highest educational degree in 2006.
Analysis of Danish innovation policy - The Industrial PhD Programme and the Innovation Consortium Scheme
15
UFU, Alm.del - 2015-16 - Endeligt svar på spørgsmål 168: Spm. om ministeren vil fremsende relevante evalueringer af Globaliseringspuljen 2007-12, til Uddannelses- og forskningsministeren
1647750_0016.png
>
TABlE 3.2.2: highest educational degree in 2006 (for Industrial PhD and regular
PhD graduates: highest degree before receiving the PhD degree), in percent
Industrial PhDs
Regular PhDs
university
Graduates
32,95
0,08
4,01
11,16
11,42
All
Master's in engineering
unknown
Master's in medical science
Master's in biology
Master's in chemical
engineering
Master's in electronics
engineering
university-entrance diploma
Master's in pharmaceutics
Master's in biochemistry
37,99
3,89
2,52
9,84
10,53
12,38
30,24
25,42
14,26
5,3
20,99
18,08
16,61
12,94
7,76
12,81
3,46
12,02
6,99
9,38
6,41
6,64
0,6
4,04
4,3
15,79
6,73
5,84
6,54
5,13
4,96
Before turning to wage and career comparisons, we take a brief look at the
kind of PhD degrees of Industrial and regular PhDs - see TABLE 3.2.3 for the
most popular subjects. We find these two groups to be quite different in their
compositions of the specific degrees. Consequentially, later comparisons of
wages and careers between Industrial and regular PhDs will have to take these
differences into account.
Interestingly, there are a number of Industrial PhDs in medical sciences, yet
only relatively few of these individuals had medical science university degrees
before taking their PhD.
Analysis of Danish innovation policy - The Industrial PhD Programme and the Innovation Consortium Scheme
16
UFU, Alm.del - 2015-16 - Endeligt svar på spørgsmål 168: Spm. om ministeren vil fremsende relevante evalueringer af Globaliseringspuljen 2007-12, til Uddannelses- og forskningsministeren
1647750_0017.png
>
TABlE 3.2.3: Type of PhD degrees, in percent
Industrial PhDs
Technical sciences
Natural sciences
other disciplines
Medical sciences
veterinarian/agricultural
Pharmaceutical sciences
Social sciences
59,5
10,6
3,4
14,3
6,3
3,2
2,7
Regular PhDs
24,5
22,5
20,8
19,3
8,9
2,0
1,9
All
25,9
22,0
20,1
19,1
8,8
2,1
2,0
Results
As a first step, we compare average hourly wages of the different groups of
individuals under consideration in 2006 and graph the averages as a function of
age in FIGURE 3.2.1.
FIGuRE 3.2.1: hourly wage (DKK) in 2006, by Individual age
Industrial PhD Graduates
Regular PhD Graduates
31 32 33 34 35 36 37 38 39 40 41 42 43 44
Age (in years)
Analysis of Danish innovation policy - The Industrial PhD Programme and the Innovation Consortium Scheme
17
UFU, Alm.del - 2015-16 - Endeligt svar på spørgsmål 168: Spm. om ministeren vil fremsende relevante evalueringer af Globaliseringspuljen 2007-12, til Uddannelses- og forskningsministeren
1647750_0018.png
>
We find that wages of Industrial PhD graduates are higher than those of both
regular PhD graduates and university graduates. Differences are largest in the
early and mid-forties. Regular PhDs have lower wages relative to both Industrial
PhDs and university graduates.
An obvious explanation of these differences may be sought in different
employment patterns of the different groups of employees, with regular PhDs
being overrepresented in public sector research institutions, which are generally
characterised by lower wages than private sector employers.
Comparisons between Industrial PhDs and regular PhDs
In this section, we compare wages between Industrial and regular PhD
graduates by using a linear regression, holding constant a set of (pre-
determined) background characteristics (age, gender, etc.).
These comparisons are based on the 430 Industrial and approx. 5,850 regular
PhD graduates. We choose a logarithmic specification of the wage variable,
implying that regression coefficients are the expected (approximately)
percentage-wise changes in the wage when the condition of the associated
explanatory variable is fulfilled.
TABlE 3.2.4: hourly wage of Industrial and regular PhD graduates, linear regression results,
dependent variable: log (hourly wage), sample: Industrial and regular PhD graduates (2006)
variables
The person is an Industrial PhD graduate
The person is female
Coefficient
0.090
-0.060
***
***
Standard
error
0.014
0.007
Coefficient
0.063
-0.065
***
***
Standard
error
0.014
0.007
The person is an immigrant (or descendant)
Grade of secondary education diploma (normalised)
Age (in years)
0.028
0.026
0.016
***
***
0.027
0.004
0.001
0.005
0.019
0.021
0.027
0.003
0.001
***
***
Additional controls
Secondary education: elective
courses (7 categories)
Secondary education: elective
courses (7 categories); specific
PhD degree (10 categories); age
when receiving the PhD degree
6.283
Number of observations
6.283
Notes: ***: significant at the 1% level. Heteroscedasticity-consistent standard errors.
Analysis of Danish innovation policy - The Industrial PhD Programme and the Innovation Consortium Scheme
18
UFU, Alm.del - 2015-16 - Endeligt svar på spørgsmål 168: Spm. om ministeren vil fremsende relevante evalueringer af Globaliseringspuljen 2007-12, til Uddannelses- og forskningsministeren
1647750_0019.png
>
The regression results confirm the findings of FIGURE 3.2.1: Industrial PhDs
earn approx. (exp(0.090)=1.094) 9 percent higher hourly wages compared to their
counterparts who have taken a regular PhD degree. When including additional
variables in the regressions (which control for the different compositions of the
subjects of the PhD projects and for age differences when obtaining the PhD degree),
the difference drops to approx. 6 percent, but remains statistically highly significant.
Here, it might be noted that the result of positive wage income differences is
robust when considering gross hourly wages (i.e. total wage income including
pensions divided by the number of working hours) or annual income instead of the
current wage concept. In the first case, the relevant coefficient dropped to approx.
5 percent (instead of approx. 9 percent). In the second case, when considering
annual income without correcting for working hours, the coefficient increased
to between 10 (in the specification with additional controls) and 15 percent (in
the more simple specification). This indicates that Industrial PhDs register more
working hours than regular PhDs.
Comparing the career developments between the two types of PhDs, we first note
that 6.3 percent of Industrial PhD graduates are employed in leadership positions,
as opposed to 3.9 percent of regular PhD graduates. The formal comparison is by
estimating a so-called binary choice model (assuming a logistic distribution). The
coefficients of this model are displayed in TABLE 3.2.5.
TABlE 3.2.5: occupation of Industrial and regular PhD graduates, binary choice (logit) model,
sample: Industrial and regular PhD graduates (2006)
Dependent variable:
The person has a
leadership position
variables
The person is an Indu-
strial PhD graduate
The person is female
The person is an immi-
grant (or descendant)
Grade of secondary
education diploma
(normalised)
Age (in years)
Additional controls
Number of observations
Coefficient
1.087
-0.577
0.985
***
***
**
Standard
error
0.217
0.178
0.403
Dependent variable:
The person has a
specialist position
Coefficient
-0.738
0.268
-0.344
***
***
Standard
error
0.112
0.064
0.227
0.108
0.103
***
0.078
0.020
0.077
0.010
**
0.033
0.009
Secondary education: elective courses (7
categories)
7,214
Secondary education: elective courses
(7 categories)
7,214
Notes: ***: significant at the 1% level, ** significant at the 5% level.
Analysis of Danish innovation policy - The Industrial PhD Programme and the Innovation Consortium Scheme
19
UFU, Alm.del - 2015-16 - Endeligt svar på spørgsmål 168: Spm. om ministeren vil fremsende relevante evalueringer af Globaliseringspuljen 2007-12, til Uddannelses- og forskningsministeren
1647750_0020.png
>
The exponents of the model’s coefficients equal the increases in the probability
that the individual is a leader or a specialist when the logical conditions of the
corresponding variables are true. We find that Industrial PhDs are almost three
times more likely (exp(1.087)=2.95) to hold a leadership position than regular
PhDs when holding constant the set of background characteristics included in
the regression.
Industrial PhDs have an approx. (exp(-0.738)=0.48) 50 percent lower probability
of being employed in a specialist position than regular PhDs. We conclude
that, while regular PhDs are almost entirely employed in specialist positions,
Industrial PhDs are more evenly distributed across the different occupational
levels.
Comparisons between Industrial PhDs and university graduates
In the following, we compare wages between Industrial PhD graduates and
university graduates.
TABLE 3.2.6 summarises the results of the comparison of hourly wages.
They suggest that Industrial PhDs earn a wage premium of approx. 7 percent
relative to university graduates in similar fields of study while controlling for
demographic factors, secondary education grades and course specialisation.
TABlE 3.2.6: hourly wage of Industrial PhD and university graduates, linear regression results, de-
pendent variable: log (hourly wage), sample: Industrial PhD graduates and university graduates (2006)
variables
The person is an Industrial PhD graduate
The person is female
Coefficient
0.066
-0.129
***
***
Standard error
0.014
0.009
The person is an immigrant (or descendant)
Grade of secondary education diploma (normalised)
Age (in years)
-0.053
0.043
0.028
***
***
0.034
0.005
0.001
Additional controls
Secondary education: elective courses (7 categories)
Number of observations
5,246
Notes: ***: significant at the 1% level. Heteroscedasticity-consistent standard errors.
Analysis of Danish innovation policy - The Industrial PhD Programme and the Innovation Consortium Scheme
20
UFU, Alm.del - 2015-16 - Endeligt svar på spørgsmål 168: Spm. om ministeren vil fremsende relevante evalueringer af Globaliseringspuljen 2007-12, til Uddannelses- og forskningsministeren
1647750_0021.png
>
Again, it may be noted that the result of positive wage income differences is
unaffected by considering gross hourly wages (i.e. total wage income including
pensions divided by the number of working hours) or annual income instead of
the current wage concept. In the first case, the relevant coefficient dropped to
0.056 (instead of 0.066). In the second case, when considering annual income
without correcting for working hours, the coefficient increased to 0.11 -
again indicating that Industrial PhDs register more working hours than other
graduates.
The results of the career development comparisons are found in TABLE 3.2.7.
In comparison with university graduates, Industrial PhDs are overrepresented in
leadership positions and specialist positions. However, the difference regarding
leadership positions is not statistically significant and must be regarded as
tentative.
For specialist positions, the coefficient 0.397 corresponds to an approx. 50
percent higher probability that Industrial PhDs are employed in specialist
positions than university graduates.
TABlE 3.2.7: occupation of Industrial PhD graduates and university graduates, binary choice (logit)
model, sample: Industrial PhD graduates and university graduates (2006)
Dependent variable: The person
has a leadership position
variables
The person is an Industrial PhD graduate
The person is female
Coefficient
0.182
-0.741
***
Standard
error
0.217
0.156
Dependent variable: The
person has a specialist position
Coefficient
0.397
0.105
***
**
Standard
error
0.113
0.051
The person is immigrant (or descendant)
Grade of secondary education diploma (normalised)
Age (in years)
-0.572
0.139
0.095
**
***
0.710
0.064
0.015
-0.120
0.151
0.072
***
***
0.217
0.025
0.006
Additional controls
Secondary education: elective
courses (7 categories)
7,465
Secondary education: elective
courses (7 categories)
7,465
Number of observations
Notes: ***: significant at the 1% level, ** significant at the 5% level.
Analysis of Danish innovation policy - The Industrial PhD Programme and the Innovation Consortium Scheme
21
UFU, Alm.del - 2015-16 - Endeligt svar på spørgsmål 168: Spm. om ministeren vil fremsende relevante evalueringer af Globaliseringspuljen 2007-12, til Uddannelses- og forskningsministeren
1647750_0022.png
UFU, Alm.del - 2015-16 - Endeligt svar på spørgsmål 168: Spm. om ministeren vil fremsende relevante evalueringer af Globaliseringspuljen 2007-12, til Uddannelses- og forskningsministeren
1647750_0023.png
4
4.1
Data
CoMPANy lEvEl ANAlySIS
Data and methodology of the company level analysis
>
The data used for the company level analysis is from three sources:
First, data from DASTI on the participation of companies and individuals
in the Industrial PhD Programme.
Second, information on financial reports that companies above certain
size thresholds must file to a public authority.
Third, information on patenting activity from the European patent office.
The data from DASTI on the participation of companies and individuals in the
Industrial PhD Programme contain information on the year an individual was
employed as an Industrial PhD student, and in many cases also the employing
company’s registration number (‘cvr-number’), which is filed at the public
authorities and which is also available in the other datasets used in this study.
Data on financial reports is from the private information provider company
Købmandsstandens Oplysningsbureau, now Experian A/S. This dataset, henceforth
denoted as the KOB data, contains information from the financial reports that com-
panies with a certain size and ownership structure must file to the public authorities.
Data on patenting is from the CEBR patent database, which has information on
all patent applications at the European Patent Office by at least one applicant
residing in Denmark.
The sample
In the original data from DASTI, there are 1,224 Industrial PhD projects in 536
different companies; 47 projects are registered as abandoned. Excluding these
projects from the sample (including one project which lacks information on when
the project was started) leaves us with 1,177 projects and 514 different companies.
However, it should be noted that in the original sample, the 514 different
companies are defined by their names. This number is partly due to registering
the same company under slightly different names in the DASTI data.
For the following performance analysis, we have to merge the sample of 1,177
projects in 514 companies with the information from the KOB database.
To accomplish this, we first had to find company registration numbers (‘cvr’-
numbers) of companies with missing or erroneous registration numbers in the
original DASTI data. We managed to find these registration numbers for 509
different companies as defined by their names (hosting 1,161 projects). These
509 different company names in the DASTI data correspond to 445 different
companies as defined by their company registration numbers. This is the
definition of companies we will use henceforth.
The first Industrial PhD projects were initiated in 1988. Up to 2003, the number of
projects initiated each year was relatively stable at approx. 30 to 50. However, in
recent years the number of projects initiated per year has increased steadily and is
Analysis of Danish innovation policy - The Industrial PhD Programme and the Innovation Consortium Scheme
23
UFU, Alm.del - 2015-16 - Endeligt svar på spørgsmål 168: Spm. om ministeren vil fremsende relevante evalueringer af Globaliseringspuljen 2007-12, til Uddannelses- og forskningsministeren
1647750_0024.png
>
now in the range of 80 to 120 projects. It should be noted that approx. 30 percent
of the companies in the sample have hosted more than one project, and that some
companies have hosted a considerable number of projects (e.g. more than 20).
1,053 out of the 1,161 projects and 387 out of the 445 companies can be identified
in the KOB database. A large share of the attrition is related to companies which
have either been established too recently to be covered by the KOB database or
closed down before the KOB database assumed full coverage.
For 383 companies, there is financial report information in the KOB data. These
companies are observed on average for 15.6 years, which implies that there are a
total of 5,018 annual financial reports for companies that have hosted at least one
Industrial PhD project. However, it should be noted that any potential bottom-
line effects of Industrial PhD projects may take a couple of years to materialise,
and that a considerable share of Industrial PhD projects was initiated at the end
of the observation period.
Of the 383 companies in the KOB data, 72 companies are not observed after
first initiating an Industrial PhD project. These obviously cannot be used for the
following analysis, leaving us with 311 different companies have hosted a total of
851 Industrial PhD projects. Out of these, 195 companies have hosted only one
Industrial PhD project, 48 percent have hosted two projects, 27 companies three
projects, 9 companies four projects, and 32 (approx. 10 percent) companies more
than five projects. There are also a few companies which have hosted more than 20
projects.
The companies with many projects are typically large companies for which it
is difficult, if not impossible, to find similar companies for the comparisons in
the statistical analyses to follow. Also, the statistical model which is preferred
by the precision of its estimates requires fixing a year before a company first
participates in the Industrial PhD Programme. For companies with many
projects, this year is not well-defined, and the year before hosting the first
Industrial PhD is often before the KOB database assumes full coverage.
Accordingly, we will only consider companies that have hosted a maximum of
three projects for the following analysis. These represent approx. 85 percent of
all companies participating in the Industrial PhD Programme, which leaves us
with 270 companies for the company level analysis.
Of the 270 companies, approx. 120 are observed five years before first initiating
an Industrial PhD project, approx. 160 are observed five years after, and 86 are
observed ten years after first initiating a project.
9
The characteristics of the companies in the sample used for analysis are
however, it should be noted that missing information for a number of observations means that the
number of records which can be used for the analysis is reduced. For example, total factor productivity
figures are available for 91 companies five years after first initiating an Industrial PhD project, and for 46
companies ten years after first initiating a project.
9
Analysis of Danish innovation policy - The Industrial PhD Programme and the Innovation Consortium Scheme
24
UFU, Alm.del - 2015-16 - Endeligt svar på spørgsmål 168: Spm. om ministeren vil fremsende relevante evalueringer af Globaliseringspuljen 2007-12, til Uddannelses- og forskningsministeren
1647750_0025.png
TABlE 4.2.1: Descriptive statistics of the matched treatment-control samples
All companies with a maximum
of three projects
high-quality matches
Companies that have
hosted at least one
Industrial
table,
PhD project
129
0.090
Control
companies
All
companies
described in greater detail in the
TABLE 4.2.1. In this
we also
of companies
the characteristics of two control groups of companies,
Number
summarise
270
539
809
which are identified by a matching procedure briefly presented in the next
Total factor
-0.056
-0.023
section and explained in greater detail in Appendix 1.
-0.006
productivity
Gross profit per
employee (DKK1,000)
1529.4
689.5
971.9
Companies that have
hosted at least one
Industrial PhD project
leftmost column of
Control
companies
All
companies
283
0.016
412
0.039
445.5
466.6
460.0
Patent applications
Number of employees
Gross profit (DKK1,000)
Total assets (DKK1,000)
Establishment year
Industries
Business services
Research and
development
IT
Medical equipment,
instruments
manufacturing
Finance
Wholesale trade
Chemicals,
pharmaceuticals
Food production
Manufacturing
other
Zip-codes
1000-1999
2000-2999
3000-3999
4000-4999
5000-5999
6000-6999
7000-7999
8000-8999
9000-9999
2.4
520.0
651460.8
18800000
1978.8
0.7
212.0
154181.9
951008
1977.8
1.3
314.8
320482.4
6894683
1978.2
0.8
28.8
14828.6
22515.98
1988.6
0.3
31.8
15841.2
22661.74
1988.2
0.5
30.9
15522.5
22616.1
1988.4
18.52
9.26
8.89
18.55
9.09
8.91
18.54
9.15
8.90
26.87
14.93
11.94
24.09
12.54
11.22
24.94
13.27
11.44
8.52
8.53
8.53
7.46
7.92
7.78
8.52
7.78
8.53
7.79
8.53
7.79
5.97
5.97
6.60
4.95
6.41
5.26
4.81
4.82
4.82
3.73
3.96
3.89
4.44
3.33
25.93
4.45
3.34
25.97
4.45
3.34
25.96
0.00
2.99
0.00
2.97
2.31
0.00
2.06
2.52
0.00
11.85
41.85
10.00
4.07
7.41
3.33
4.81
9.63
7.04
11.13
39.89
9.83
4.27
7.98
5.38
3.53
11.13
6.86
11.37
40.54
9.89
4.20
7.79
4.70
3.96
10.63
6.92
12.69
44.03
11.19
3.73
8.21
1.49
0.75
8.96
5.22
11.55
38.61
10.89
4.62
6.93
4.29
1.98
10.23
4.29
11.90
40.27
10.98
4.35
7.32
3.43
1.60
9.84
4.58
Analysis of Danish innovation policy - The Industrial PhD Programme and the Innovation Consortium Scheme
25
UFU, Alm.del - 2015-16 - Endeligt svar på spørgsmål 168: Spm. om ministeren vil fremsende relevante evalueringer af Globaliseringspuljen 2007-12, til Uddannelses- og forskningsministeren
1647750_0026.png
>
Unsurprisingly, we find that Industrial PhDs are typically hosted by companies
in knowledge-intensive industries. Also, hosting companies are geographically
concentrated in the Copenhagen area (zip-codes below 3000).
Companies hosting Industrial PhD projects are, on average, relatively large
companies with sometimes very high capital intensities (which is mostly due to
the presence of large financial sector companies).
Methodology of the company level analysis
Our statistical model compares two groups of companies:
(a) companies that have hosted at least one Industrial PhD project, and
(b) companies that have not hosted any Industrial PhD projects.
In accordance with the academic project evaluation literature, the group of
companies which have hosted Industrial PhD projects will henceforth be called
the ‘treatment group’, while the comparison group of companies which have not
hosted any Industrial PhD projects will be denoted as the ‘control group’.
When interpreting the results of the statistical comparisons, one must take into
account the fact that it is not possible to include all relevant factors in the models
because they are unobservable in the data. Examples include different kinds of
company competences and other immeasurable company characteristics.
This implies that interpreting any systematic treatment-control differences in
company performance developments as genuine causal effects of hosting an
Industrial PhD project will have to rest on an ‘all-else-equal’ assumption, i.e.
the assumption that factors omitted from the model are either irrelevant or, on
average, equal for treatments and controls.
To maximise the validity of this ‘all-else-equal’ assumption, we identify the
control group using a matching procedure which ensures that we compare the
treatment group companies with a control group of highly similar companies.
The identification procedure is described in greater detail in Appendix 1. Here,
it may be sufficient to note that in the analysis to follow, we will compare
developments in the success parameters over time of two groups of companies
highly similar in a number of observable characteristics.
Of interest in the following analysis is whether treatment group companies
experience more positive developments in the success parameters in association
with hosting Industrial PhD projects compared to control group companies.
The modelling setup was chosen to generate the most precise estimates possible.
However, it should be noted that the associated before/after comparisons imply
that this procedure is only applicable to analysing companies that have hosted
one or very few projects, as otherwise the timing issue cannot be resolved.
As a compromise between the precision of the before/after time period definition
and having a sufficient number of observations for the analysis, we consider
Analysis of Danish innovation policy - The Industrial PhD Programme and the Innovation Consortium Scheme
26
UFU, Alm.del - 2015-16 - Endeligt svar på spørgsmål 168: Spm. om ministeren vil fremsende relevante evalueringer af Globaliseringspuljen 2007-12, til Uddannelses- og forskningsministeren
1647750_0027.png
>
companies with a maximum of three Industrial PhD projects. As noted earlier,
these companies represent approx. 85 percent of the participating companies.
The year that separates a company’s pre-participation period from its post-
participation period will be denoted as “year 0” or the “base year”. For
companies hosting an Industrial PhD project, year 0 is defined as the year
before initiating the first Industrial PhD project. For a company in the control
group, year 0 is the year in which it most resembled one of the project hosting
companies in its base year.
Using this method, we can measure participating companies’ developments
in the success parameters before and after their base year - the year before
initiating the first Industrial PhD project - and compare these developments to
the developments of the control group companies.
4.2
Results of the company level analysis
In the following sections, the results of the company level analysis will be
described. Here, two introductory remarks should be made:
Firstly, it must be assumed that it is practically impossible to isolate any
performance effects of hosting Industrial PhD projects on large companies,
as any contribution of an Industrial PhD project on aggregate company
performance would be small relative to the companies’ considerable
heterogeneity in the success measures. For this reason, we will also present
results for an alternative sample where companies with more than 300
employees or total assets of at least DKK 100 million in year 0 are not
considered. This sample will be denoted the ‘sample of small companies’.
Secondly, it proved to be difficult to find highly similar control companies for
a number of treatment companies. For this reason, we also consider a separate
sample of companies with less than 300 employees and total assets of less than
DKK 100 million where these low-quality matches are excluded. This results in
a sample of highly similar treatment and control group companies, denoted as
the sample of ‘high-quality matches’.
Before turning to the comparisons of the company performance parameters,
we will address the question of how successful the matching procedure is in
finding highly similar groups of treatment and control companies. Turning back
to TABLE 4.2.1, which is a snapshot of the companies in year 0, we can compare
the observable characteristics of the treatment and control group companies –
both for the sample of all companies with a maximum of three Industrial PhD
projects and their corresponding control companies, and for the sample of high
quality matches.
10
Note that the sampling procedure implies that the base years of the two groups of companies is distri-
buted highly similarly over time.
10
Analysis of Danish innovation policy - The Industrial PhD Programme and the Innovation Consortium Scheme
27
UFU, Alm.del - 2015-16 - Endeligt svar på spørgsmål 168: Spm. om ministeren vil fremsende relevante evalueringer af Globaliseringspuljen 2007-12, til Uddannelses- og forskningsministeren
1647750_0028.png
>
While industry and geographical distributions are almost identical for treatment
and control group companies in the two samples (implied by the matching
procedure), some of the very large Industrial PhD companies in the sample
of all companies lack counterparts in the control group. In this sample of all
companies, treatment group companies have a lower total factor productivity
and a higher gross profit (which is consistent with a higher capital intensity) than
the control group companies. However, the large heterogeneity in these variables
implies that these differences are not statistically significant.
Companies in the high quality match sample are on average considerably
smaller, younger and, of course, generally more similar in their observable
characteristics.
We conclude that it was possible to find highly similar matches in terms of
geographic location and company age. For the sample of high-quality matches,
controls are also highly similar in company size.
Patenting activity
Patenting activity is measured by the company’s number of patent applications
per year.
11
To isolate any Industrial PhD programme participation effects, we calculate for
every company and year the difference between the number of patent applications
in the given year and the number of patent applications filed in year 0.
FIGURES 4.2.1-3 display developments of these differences, i.e. current
patenting activity relative to activity in year 0 for treatment and control group
companies, respectively.
We find large movements over time for companies that host Industrial PhD
projects relative to companies in the control group. This is likely to be a result of
generally higher absolute patenting activity in treatment companies.
FIGuRE 4.2.1: Number of patent applications, all companies
1,00
0,08
0,06
0,04
0,02
0
-0,02
-0,04
-0,06
-5
-3
-1
1
3
5
7
9
years before/after
year o
Companies with
Industrial PhD projects
Companies without
Industrial PhD projects
11
An alternative measure would have been to consider granted patents. however, the long patent ap-
proval process renders it difficult to associate this variable to current innovation output.
28
Analysis of Danish innovation policy - The Industrial PhD Programme and the Innovation Consortium Scheme
UFU, Alm.del - 2015-16 - Endeligt svar på spørgsmål 168: Spm. om ministeren vil fremsende relevante evalueringer af Globaliseringspuljen 2007-12, til Uddannelses- og forskningsministeren
1647750_0029.png
>
FIGuRE 4.2.2: Number of patent applications, small companies
Average number of patent applications per company relative to year 0
0,15
0,1
0,05
0
-0,05
-0,1
years before/after
year o
-5
-4
-3
-2
-1
0
1
2
3
4
5
6
7
8
9
10
Companies with
Industrial PhD projects
Companies without
Industrial PhD projects
FIGuRE 2: Number of patent applications, high-quality matches
Average number of patent applications per company, change relative to year before
first initiating an Industrial PhD project
0,20
0,15
0,10
0,05
0
-0,05
-0,10
years before/after
year o
-5
-4
-3
-2
-1
0
1
2
3
4
5
6
7
8
9
10
Companies with
Industrial PhD projects
Companies without
Industrial PhD projects
All graphs indicate that after year 0, the developments over time for treatment
companies are equal to or larger than developments for control companies,
indicating greater increases in patenting activity for the group of treatment
companies compared to the group of control companies.
One could note that there are also differences between pre-base year trends in
patenting activity depending on the sample under consideration, indicating the
difficulties of finding control companies with patenting activities similar to the
companies hiring Industrial PhDs.
Analysis of Danish innovation policy - The Industrial PhD Programme and the Innovation Consortium Scheme
29
UFU, Alm.del - 2015-16 - Endeligt svar på spørgsmål 168: Spm. om ministeren vil fremsende relevante evalueringer af Globaliseringspuljen 2007-12, til Uddannelses- og forskningsministeren
1647750_0030.png
>
Whether or not one is willing to interpret the graphs as evidence of positive
effects of hosting Industrial PhD projects depends on one’s underlying
assumptions. E.g. in FIGURE 4.2.1, there is a positive trend of increasing
patenting activity before hosting the first Industrial PhD project, but not in the
years after. But over a longer time horizon, activity is higher after year 0 than
before. So the interpretation of the results depends on whether one assumes that:
(a) trends would continue in the absence of programme participation, or,
(b) activity would stay at the same level in the long run in the absence of the
programme.
The estimates of the statistical model presented below will be based on a pre-
participation period specified as the five years up to year zero, and the post-
participation period as the ten years after year zero. Obviously, the lengths of
these time periods are computed are arbitrary, and the robustness of later results
when choosing different before/after time intervals needs to be checked in the
numerical analysis.
A look at the raw data reveals that participant firms in the sample of high-
quality matches apply for on average 0.07 patents per year before year zero,
and 0.18 after year zero (i.e., an increase of 0.11). Control firms have almost the
same patenting activity both before and after year zero. Under the assumption
that both groups of firms would have experienced the same developments
in their patenting activity in the absence of the programme, the programme
increases patenting activity with 0.11 patent applications per year.
To address the robustness of the graphs’ suggestions and to quantify the strength
of these associations in the data, we apply a model that estimates the expected
percentage-point changes in the number of patent applications in a given year
depending on whether the company is a treatment or a control company, and on
whether the year under consideration is before or after the base year.
The results of this model are presented in TABLE 4.2.2. Of particular interest
are the coefficients for the variable “The observation is after the base year and
belongs to an Industrial PhD company”. Under the assumption that patenting
of treatments and controls would develop in similar ways in the absence of
the programme, this variable identifies the genuine causal effect of hosting an
Industrial PhD project on patenting activity.
Analysis of Danish innovation policy - The Industrial PhD Programme and the Innovation Consortium Scheme
30
UFU, Alm.del - 2015-16 - Endeligt svar på spørgsmål 168: Spm. om ministeren vil fremsende relevante evalueringer af Globaliseringspuljen 2007-12, til Uddannelses- og forskningsministeren
1647750_0031.png
>
TABlE 4.2.2: Count data regression results, dependent variable: number of patent applications in
a given year. The table presents exponentiated coefficients, i.e. multiples of the number of patent
applications when the logical conditions of the associated variable are fulfilled.
Sample: all compa-nies with a
maximum of three Industrial PhD
projects
Sample: small
companies
Sample: high-
quality matches
variable
The observation is
after year 0
The observation
belongs to an
Industrial PhD
company
4,13
***
4,17
***
4,36
***
0,88
0,76
0,84
The observation is after
year 0 and belongs to an
Industrial PhD company
1,70
**
2,19
**
1,94
*
Constant term
0,06
***
0,04
***
0,04
***
Notes: ***: significant at the 1% level; **: significant at the 5% level; *: significant at the 10% level. All regressions based on STATA
Corp.’s ’xtpoisson’ routine.
Findings of the statistical analysis of patenting activity can be summarised as
follows: We find positive potential effects of hosting an Industrial PhD project
for the sample of all companies with a maximum of three Industrial PhD
projects. According to the estimates, hosting an Industrial PhD almost doubles
(1.70) the number of patents per year in the years after year 0.
For the other samples, associations between hosting Industrial PhD projects
and changes in patenting activity are also positive, and stay significant the
ten-percent significance level also for the considerable reduced sample of high-
quality matches.
In sum, one can conclude that there is evidence of positive associations between
hosting Industrial PhD projects and changes in patenting activity in the data.
12
These relationships were robust when changing the lengths of the before- and after-base year periods
considered for the estimations. Also, computing average numbers of patents of both participants and
controls both before and after year zero, and estimating a linear model of the pre-post base-year dif-
ferences revealed very similar (and also statistically significant) results.
12
Analysis of Danish innovation policy - The Industrial PhD Programme and the Innovation Consortium Scheme
31
UFU, Alm.del - 2015-16 - Endeligt svar på spørgsmål 168: Spm. om ministeren vil fremsende relevante evalueringer af Globaliseringspuljen 2007-12, til Uddannelses- og forskningsministeren
1647750_0032.png
>
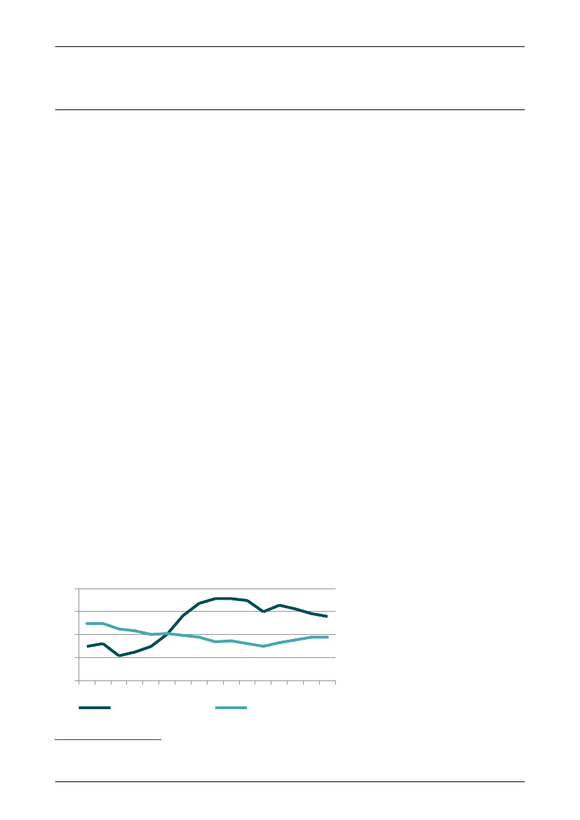
Gross profit growth
The analyses of gross profit and TFP in the next subsection follow the same
blueprint as the previous look at patenting activity. Recall that gross profit is
the surplus of annual revenues over costs (excluding wages), and accordingly
measures the value creation of a company in a given year.
First, for every year we calculate the difference between the year’s gross profit
and the gross profit in the base year (the year before the company first initiated
an Industrial PhD project). Next, we calculate the average of these differences
for both the group of treatment companies (which have hosted Industrial PhD
projects) and the group of control companies (which have not hosted any
Industrial PhD project).
FIGURES 4.2.4-6 show these averages for the treatment and control companies
for the three different samples. They suggest that companies which host
Industrial PhD projects are characterised by high growth in gross profit. While
FIGURE 4.2.4, which compares all sampled companies both with and without
Industrial PhD projects, show a decrease in the growth trend in association
with hosting the first Industrial PhD project, FIGURE 4.2.5 and FIGURE 4.2.6,
respectively comparing small companies and high quality matches, show a
consistent gross profit growth which has no equivalent in the corresponding
control group’s gross profit growth pattern.
FIGuRE 4.2.4: Gross profit developments (in DKK1,000), all companies
Average values relative to year 0
150.000
100.000
50.000
0
-50.000
-100.000
-150.000
years before/after
year o
-5
-4
-3
-2
-1
0
1
2
3
4
5
6
7
8
9
10
Companies with
Industrial PhD projects
Companies without
Industrial PhD projects
Analysis of Danish innovation policy - The Industrial PhD Programme and the Innovation Consortium Scheme
32
UFU, Alm.del - 2015-16 - Endeligt svar på spørgsmål 168: Spm. om ministeren vil fremsende relevante evalueringer af Globaliseringspuljen 2007-12, til Uddannelses- og forskningsministeren
1647750_0033.png
>
FIGuRE 4.2.5: Gross profit developments (in DKK1,000), small companies
Average values relative to year 0
200.000
150.000
100.000
50.000
0
-50.000
-100.000
-150.000
-5
-4
-3
-2
-1
0
1
2
3
4
5
6
7
8
9
10
years before/after
year o
Companies with
Industrial PhD projects
Companies without
Industrial PhD projects
FIGuRE 4.2.6: Gross profit developments (in DKK1,000), high-quality matches
Average values relative to year 0
200.000
150.000
100.000
50.000
0
-50.000
-100.000
-150.000
-5
-4
-3
-2
-1
0
1
2
3
4
5
6
7
8
9
10
years before/after
year o
Companies with
Industrial PhD projects
Companies without
Industrial PhD projects
Thus, assuming that treatment group companies in the absence of the
programme would experience similar gross profit growth (or in this case: a
similar decline in growth) as control group companies, the vertical distance
between the graphs shows a considerable genuine (causal) effect on the gross
profit growth of companies hosting Industrial PhD projects.
We turn now to formally estimating before/after year 0 differences in gross profit
growth for treatment and control groups respectively.
13
Accordingly, we divide
13
We consider before/after differences in growth rather than levels, since gross profit levels show clear
time trends which need to be taken into consideration in the estimations to avoid generating biased
estimates.
33
Analysis of Danish innovation policy - The Industrial PhD Programme and the Innovation Consortium Scheme
UFU, Alm.del - 2015-16 - Endeligt svar på spørgsmål 168: Spm. om ministeren vil fremsende relevante evalueringer af Globaliseringspuljen 2007-12, til Uddannelses- og forskningsministeren
1647750_0034.png
>
each company’s observation period into two periods: one period before year 0, and
one period after year 0. For every company and for both two periods, gross profit
growth is measured by the average of the annual (absolute) increases in gross profit.
We can now compare these averages both over time and between treatment and
control group companies. In the statistical model, we use the same variables as in
the count data regression used of the patenting analysis as right-hand-side variables.
Hence, the difference between the developments in gross profit growth before/
after year 0 for treatment group companies and the gross profit growth
developments before/after year 0 for control group companies is measured by the
coefficient associated with the variable: “The
observation is after the base year
and belongs to an Industrial PhD company”
14.
The results of this comparison, which is again carried out by using a simple
linear regression model, are summarised in TABLE 4.2.3. The table shows the
results for high-quality matches, i.e. the treatment and control group companies
most similar to each other with regard to their observable characteristics, and for
which the comparison accordingly has the highest validity.
TABlE 4.2.3: linear regression results, dependent variable: annual increase in gross profit (in
DKK1,000, in prices of 2007), sample: high-quality matches.
observation period: three years
before to five years after year 0
observation period: three years
before to ten years after year 0
Coefficient
-1422,68
*
Standard
error
797,83
variable
The observation
is after year 0
The observation
belongs to an
Industrial PhD
company
The observation is after year 0 and
belongs to an Industrial PhD company
Constant term
Number of
observations
Coefficient
-1792,35
**
Standard
error
764,36
-458,33
905,19
-458,33
906,09
2267,23
*
1259,42
1458,82
1457,88
1488,27
381
**
607,25
1488,27
321
**
607,86
Notes: ***: significant at the 1% level; **: significant at the 5% level; *: significant at the 10% level. Estimated with heteroscedasticity-
consistent standard errors.
14
E.g., if the increase in annual gross profit of treatment companies is on average DKK 5m before the
base year and DKK 7m after year 0, and if gross profit for control firms increases on average DKK 3m
before and DKK 4m after year 0, the coefficient associated with “The observation is after the base year
and belongs to an Industrial PhD company”, measured in DKK, is equal to (7m-5m)-(4m-3m)= 1m.
34
Analysis of Danish innovation policy - The Industrial PhD Programme and the Innovation Consortium Scheme
UFU, Alm.del - 2015-16 - Endeligt svar på spørgsmål 168: Spm. om ministeren vil fremsende relevante evalueringer af Globaliseringspuljen 2007-12, til Uddannelses- og forskningsministeren
1647750_0035.png
>
In the first model, which compares growth trends in the three-year period before
and the five-year period after year 0, the coefficient of “The
observation is after
year 0” (-1,792.35) suggests that gross profit growth has slowed down by almost
DKK 2m per year.
But the estimate of the coefficient for the variable “The
observation is after the
base year and belongs to an Industrial PhD company”
of 2,267.23 implies that
gross profit growth of Industrial PhD companies maintains its positive trend.
So, for Industrial PhD companies, growth after first initiating an Industrial PhD
project is approx. DKK 2m higher per year than would otherwise be expected
if they had experienced a similar decline in gross profit growth as the control
group companies.
So the approx. DKK 2m growth difference per year, implying an additional
gross profit of (2+4+6+8+10) DKK 30m in the first five years of programme
participation, is the genuine causal effect of programme participation, assuming
that Industrial PhD companies’ growth in gross profit would otherwise have
followed the exact same pattern of the control companies if they had not
participated.
It becomes clear that the programme might be considered successful even if only
a part of this difference is because of a genuine causal effect of the Industrial
PhD Programme.
When we compare the growth patterns of the two groups of companies between
both the three-year time period before and the ten-year time period after year
0, the difference still suggests higher growth for participating companies, but
becomes statistically insignificant (i.e. it becomes more likely that the finding is
coincidental).
Total factor productivity
For this analysis, total factor productivity (TFP) was calculated on an annual
basis for all companies in the entire KOB database in the given year.
Total factor productivity is gross profit ‘corrected for’ the number of employees
and total assets. It is calculated as the residuals of a Cobb-Douglas-production
function regression. In other words, TFP is the share of the company’s value
creation which cannot be explained by its number of employees or its capital
stock.
Thus defined, TFP approximates the percentage-wise deviation in gross
profit from the gross profit that we would have expected to observe, given the
company’s number of employees and its stock of assets.
For the analysis, we first take a look at the developments using a graphical
depiction of the data. FIGURES 4.2.7-9 summarise.
Analysis of Danish innovation policy - The Industrial PhD Programme and the Innovation Consortium Scheme
35
UFU, Alm.del - 2015-16 - Endeligt svar på spørgsmål 168: Spm. om ministeren vil fremsende relevante evalueringer af Globaliseringspuljen 2007-12, til Uddannelses- og forskningsministeren
1647750_0036.png
>
FIGuRE 4.2.7: Total factor productivity developments, all companies.
Average values relative to year 0
0,15
0,10
0,05
0
-0,05
-0,10
-0,15
-0,20
-5
-4
-3
-2
-1
0
1
2
3
4
5
6
7
8
9
10
years before/after
year o
Companies with
Industrial PhD projects
Companies without
Industrial PhD projects
FIGuRE 4.2.8: Total factor productivity developments, small companies
Average values relative to year 0
0,15
0,10
0,05
0
-0,05
-0,10
-0,15
-5
-4
-3
-2
-1
0
1
2
3
4
5
6
7
8
9
10
years before/after
year o
Companies with
Industrial PhD projects
Companies without
Industrial PhD projects
FIGuRE 4.2.9: Total factor productivity developments, high-quality matches
Average values relative to year 0
0,10
0,05
0.00
-0,05
-0,10
-0,15
0,20
-5
-4
-3
-2
-1
0
1
2
3
4
5
6
7
8
9
10
years before/after
year o
Companies with
Industrial PhD projects
Companies without
Industrial PhD projects
Analysis of Danish innovation policy - The Industrial PhD Programme and the Innovation Consortium Scheme
36
UFU, Alm.del - 2015-16 - Endeligt svar på spørgsmål 168: Spm. om ministeren vil fremsende relevante evalueringer af Globaliseringspuljen 2007-12, til Uddannelses- og forskningsministeren
1647750_0037.png
>
The figures illustrate that developments are very different depending on whether or
not large companies are excluded from the sample observed.
While there is a negative trend in TFP for the sample of all companies, there are
no such trends for the subsamples. The erratic movements in the graphs (in spite of
smoothing) suggest large heterogeneity in TFP over time and between companies.
For the subsamples, which are unaffected by the presence of very large companies,
TFP is between 5 to 10 percentage points higher approx. two to six years after year
0 in the subsamples.
Again, we qualify the suggestions of the graphs by use of linear regression, the
results of which are depicted in TABLE 4.2.4.
TABlE 4.2.4: linear regression results, dependent variable:
(TFP in a given year) - (TFP in year 0)
Sample: all companies
with a maximum of three
Industrial PhD projects
variable
The
observation
is after
year 0
The
observation
belongs to
an Industrial
PhD
company
The
observation
is after
year 0 and
belongs to
an Industrial
PhD
company
Constant
term
-0,002
0,040
0,042
0,064
0,068
0,067
0,057
0,028
0,008
0,043
-0,027
0,043
-0,084
***
0,023
-0,050
0,036
-0,066
*
0,038
Coefficient
Standard
error
Sample: small
companies
Coefficient
Standard
error
Sample: high-quality
matches
Coefficient
Standard
error
0,003
0,014
0,013
0,019
0,019
0,020
Notes: ***: significant at the 1% level; **: significant at the 5% level; *: significant at the 10% level.
Estimated with heteroscedasticity-consistent standard errors
Analysis of Danish innovation policy - The Industrial PhD Programme and the Innovation Consortium Scheme
37
UFU, Alm.del - 2015-16 - Endeligt svar på spørgsmål 168: Spm. om ministeren vil fremsende relevante evalueringer af Globaliseringspuljen 2007-12, til Uddannelses- og forskningsministeren
1647750_0038.png
>
We see the negative TFP trends of companies hosting Industrial PhD projects and
their counterparts in the high-quality match control group corroborated by the
negative coefficients associated with the variable “the
observation is after year 0”.
Also, TFP has increased more (or decreased less) in the treatment group
companies compared to the control group the samples of small companies and
that of the high-quality matches.
This is indicated by the positive coefficients of the variable “the
observation is
after year 0 and belongs to an Industrial PhD company”,
which, for high-quality
matches, show that companies which have hosted Industrial PhD projects have on
average approx. 7 percentage points higher TFP than would otherwise be expected
if they had experienced a TFP development similar to the control group companies.
Under the assumption that treatment group companies would experience TFP
developments similar to those for control group companies in the absence of
initiating Industrial PhD projects, this 7 percentage point difference is the most
qualified assumption of the Industrial PhD Programme’s causal total factor
productivity effect. However, although positive, the TFP differences between
treatment and control groups are too small compared to the large variations
in TFP to interpret them as statistically significant, and must accordingly be
interpreted tentatively. In conclusion, one cannot claim any strong association
between hosting Industrial PhD projects and TFP development.
15
Employment growth
We conclude the company level analysis by taking a look at employment growth.
The finding of high growth in gross profit but not in total factor productivity
might be an indication that companies hosting Industrial Phd projects are
high-growth companies. This is strongly supported by a closer look at the data,
illustrated by FIGURE 4.2.10, with companies hosting Industrial PhD projects
being characterised by high growth in their number of employees both before
and after first initiating a project.
To establish the statistical significance of this result, we formally test the growth
difference by means of linear regression, the results of which (for high-quality
matches) are presented in TABLE 4.2.5. The results of these regressions suggest
that companies participating in the programme sustain an annual employment
growth of approximately (-3.48-1.33+3.44+2.95=) 1.58 employees per year in the
first five years after first initiating an Industrial PhD project, while companies
in the control group decrease their number of employees by approximately
-(2.95-3.48=) 0.5 employees per year. Qualitatively, this finding is independent
of whether one follows the firms for five or ten years after the base year, and is
statistically highly significant.
15
This finding was robust to changes of the lengths of the time periods before and after the base year
which were considered in the regressions. The findings was also robust to changing the regression
model, e.g. using each firm’s average total factor productivity in the time periods before and after the
base year as the dependent variable, or using different specifications of the production function which
was employed for the calculation of TFP.
38
Analysis of Danish innovation policy - The Industrial PhD Programme and the Innovation Consortium Scheme
UFU, Alm.del - 2015-16 - Endeligt svar på spørgsmål 168: Spm. om ministeren vil fremsende relevante evalueringer af Globaliseringspuljen 2007-12, til Uddannelses- og forskningsministeren
1647750_0039.png
>
FIGuRE 4.2.10: Number of employees developments, high-quality matches
Average values relative to year 0
0,15
0,10
a0,05
0.00
-5
-0,05
-4
-3
-2
-1
0
1
2
3
4
5
6
7
8
9
10
-0,10
years before/after
year o
Companies with
Industrial PhD projects
Companies without
Industrial PhD projects
TABlE 4.2.5: linear regression results, dependent variable: annual increase in number of employees.
Sample: high-quality matches
observation period: three years before to five
years after year 0
variable
Coefficient
Standard error
observation period: three years
before to ten years after year 0
Coefficient
Standard error
The observation is after year 0
The observation belongs to an Industrial
PhD company
The observation is after year 0 and belongs
to an Industrial PhD company
Constant term
Number of observations
Notes: ***: significant at the 1% level; **:
significant at the 5% level; *: significant at the
10% level. Estimated with heteroscedasticity-
consistent standard errors.
-3.48
***
0.77
-3.13
***
0.73
-1.33
1.00
-1.33
1.00
3.44
2.95
349
***
***
1.18
0.65
2.73
2.95
267
**
***
1.19
0.65
Notes: ***: significant at the 1% level; **: significant at the 5% level; *: significant at the 10% level.
Estimated with heteroscedasticity-consistent standard errors
Analysis of Danish innovation policy - The Industrial PhD Programme and the Innovation Consortium Scheme
39
UFU, Alm.del - 2015-16 - Endeligt svar på spørgsmål 168: Spm. om ministeren vil fremsende relevante evalueringer af Globaliseringspuljen 2007-12, til Uddannelses- og forskningsministeren
1647750_0040.png
UFU, Alm.del - 2015-16 - Endeligt svar på spørgsmål 168: Spm. om ministeren vil fremsende relevante evalueringer af Globaliseringspuljen 2007-12, til Uddannelses- og forskningsministeren
1647750_0041.png
5
SuMMARy AND CoNCluSIoNS
>
>
This analysis considers approx. 430 individuals and 270 companies which have
participated in the Industrial PhD Programme and can be found in register
data. On the individual level, we compare wage income and the occupations of
Industrial PhD graduates with regular PhDs and individuals who have a university
degree (and who are similar in terms of their fields of study, gender, etc.).
In the analysis, we take into account a set of demographic background
characteristics, like age and gender, but also the average grade of the school-
leaving examination, which to some extent controls for individual abilities.
On the company level, we analyse developments across four success parameters:
the number of patents, gross profit and employment growth and total factor
productivity. For a sample of companies which have hosted a maximum of
three Industrial PhD projects before 2009, we identify a control group of highly
similar companies which have not hosted any Industrial PhD projects, and
compare developments in the success parameters between these two groups.
Under identifying assumptions, these models isolate the causal impact of the
programme on companies hosting Industrial PhD projects.
The results of the analysis can be summarised as follows: Industrial PhD earn
approx. 7-10 percent higher wages than both regular PhDs and university
graduates. They are more likely to be found at the top levels of their
organisations’ hierarchies compared to regular PhDs and more likely to be found
in positions requiring high-level specialist knowledge than regular university
graduates. Companies which host Industrial PhD projects see on average
increasing patenting activity in association with hosting the projects. They are
characterised by high growth in gross profit (value creation) and employment.
The comparison with a control group of highly similar control companies
suggests that companies hosting Industrial PhD projects would have
considerably less positive gross profit and employment developments if they did
not participate in the programme.
We cannot find robust differences in total factor productivity developments
between companies which have hosted Industrial PhD projects and companies
which have not. This finding might be due to firm growth being negatively
associated with productivity developments.
16
The relative high wages of
Industrial PhD graduates, on the other hand, indicate that they have high
individual productivity.
Summing up, earlier studies which found that Industrial PhDs are characterised
by positive labour market outcomes have been corroborated. Findings on
the company level indicate that the Danish Industrial PhD Programme also
has positive effects for participating companies in terms of firm growth and
patenting activity.
This would be the case if there are decreasing returns to labour, which is one of economic theory’s
most standard arguments. Empirical support for this argument can be found in: Bingley, P., Westerga-
ard-Nielsen N., 2004, “Personnel policy and profit.” Journal of Business Research 2004; 57: 557-563.
16
Analysis of Danish innovation policy - The Industrial PhD Programme and the Innovation Consortium Scheme
41
UFU, Alm.del - 2015-16 - Endeligt svar på spørgsmål 168: Spm. om ministeren vil fremsende relevante evalueringer af Globaliseringspuljen 2007-12, til Uddannelses- og forskningsministeren
1647750_0042.png
6
APPENDIx 1: SElECTIoN oF CoNTRolS
>
The KOB dataset is a panel dataset which has repeated observations for most
of the companies - one for each annual account filed to the authorities. So for
every company, there are typically multiple company-year observations (where
a company-year observation refers to a record, i.e. a data-point of a given
company in a given year). In the following, we will use the expression ‘control
observation’ to describe a single company-year observation (record) of a control
company.
Control companies are selected in the year in which they most closely resemble
one of the companies participating in the programme, based on the participating
company’s characteristics in the year before hosting its first Industrial PhD
project.
Note that the similarity between participating companies and potential control
companies is determined by (a) the companies’ region, size, age and industry,
and (b) the expected probability of participation, which is derived as follows:
We run an auxiliary regression on the universe of approx. 370,000 company-year
observations in KOB in the period from 1994 to 2008 which roughly resemble
the group of participants (for example, we do not consider industries in which
there is no single participating company).
The auxiliary regression is formulated as a simple probit model where the
dependent variable is initiating an Industrial PhD project the following year, and
company size, industry, region, productivity, total assets and time period as the
model’s right-hand-side variables. The regression’s pseudo R squared, which is a
measure of the model’s goodness-of-fit, is 0.29, which we consider to be high.
The probit regression predicts how likely programme participation is for a given
company. This allows us to find pairs or groups of companies for which this
predicted probability is very similar. For two companies, A and B, with similar
participation probability, the fact of company A participating and company B not
participating can accordingly be interpreted as coincidental.
Under this interpretation, the identification setup resembles an experiment where
programme participation is random, which would allow systematic differences
in outcome variables between participants and controls to be interpreted as the
programme’s causal effect on participating companies.
Yet, even companies with similar predicted participation probabilities can
be quite different, and to avoid systematic differences in industry affiliation,
size, etc. between participants and controls, we also require that a number of
observable characteristics are equal for a given participant and its matched
control company(s).
To do this, we divide the total number of company-year observations into groups
with the same industry affiliation, same geographic location, of similar size and
observed in the same year.
Analysis of Danish innovation policy - The Industrial PhD Programme and the Innovation Consortium Scheme
42
UFU, Alm.del - 2015-16 - Endeligt svar på spørgsmål 168: Spm. om ministeren vil fremsende relevante evalueringer af Globaliseringspuljen 2007-12, til Uddannelses- og forskningsministeren
1647750_0043.png
>
For each participating company, we select the company-year observation of
a non-participating company within the same group and with a participation
probability closest to the participating company’s participation probability.
This selected company-year observation defines the participating company’s
control company, and the control company’s ‘base year’ (or ‘year 0’) – which
is the year in which it is most similar to one of the participating companies in
its base year, and in which it is selected as a control company. For each of the
control companies found by this procedure, the base year forms the basis for
comparisons of given success parameters over time.
By repeating the matching procedure, we can find an arbitrary number of control
observations for each participant. Here, a greater number of control observations
increases the robustness of later results. However, increasing this number also
makes it increasingly difficult to find highly similar control observations for
some of the participants.
As a compromise between these two considerations, we choose to find two
control observations (company-year observations of non-participants) for
each participating company. The selection of the two control observations per
participating company is made in two rounds. In each of the rounds we select
one control observation for each participating company.
In the first round, we find 270 control observations of non-participating
companies. In the second, we find another 269 control observations of non-
participating companies (the reason for only 269 instead of 270 is that in a single
case, one company-year observation is chosen as a control observation for two
participants).
In each of the two rounds, we first require that many factors are highly similar
when selecting control observations. This leaves a number of participating
companies for which no control observations could be found. In subsequent
steps, we reduce the number of factors and start choosing control observations
which are increasingly less similar, until each round has identified one control
observation for every participating company.
When control observations are equal in terms of industry (when distinguishing
between at least 36 different categories), number of employees (at least 11
different categories), gross profit (at least 7 categories), time period (at least 7
different categories) and company age (at least 3 different categories), they are
regarded as ‘high-quality matches’ in the analysis.
Note that in each of the rounds, we select only one control observation per
participating company. This does not rule out selecting different control
observations (belonging to different years) of the same control company. This
implies that there are a number of control observations that occur more than
once in the data forming the basis
Analysis of Danish innovation policy - The Industrial PhD Programme and the Innovation Consortium Scheme
43