Sundheds- og Ældreudvalget 2015-16
SUU Alm.del
Offentligt
1672482_0001.png
Holbergsgade 6
DK-1057 København K
T +45 7226 9000
F +45 7226 9001
M [email protected]
W sum.dk
Folketingets Sundheds- og Ældreudvalg
Dato: 06-10-2016
Enhed: Psykiatri og Lægemiddel-
politik
Sagsbeh.: DEPCRV
Sagsnr.: 1609059
Dok. nr.: 186286
Folketingets Sundheds- og Ældreudvalg har den 9. september 2016 stillet følgende
spørgsmål nr. 938 (Alm. del) til sundheds- og ældreministeren, som hermed besvares.
Spørgsmålet er stillet efter ønske fra Yildiz Akdogan (S).
Spørgsmål nr. 938:
”Ministeren bedes redegøre for udviklingen i udskrivningen af antidepressiv
medicin til børn og unge i Danmark? Opgørelsen bedes opgjort efter antallet
af nye udskrivninger årligt de sidste 10 år.”
Svar:
Jeg har til brug for besvarelsen af spørgsmålet anmodet Sundhedsdatastyrelsen om
en udtalelse. Sundhedsdatastyrelsen oplyser følgende, hvortil jeg kan henholde mig:
”Antallet af børn (0-17 år) og unge (18-24 år), der har indløst første recept
1
på anti-
depressiv medicin i perioden 2006-2015, fremgår af figur 1.
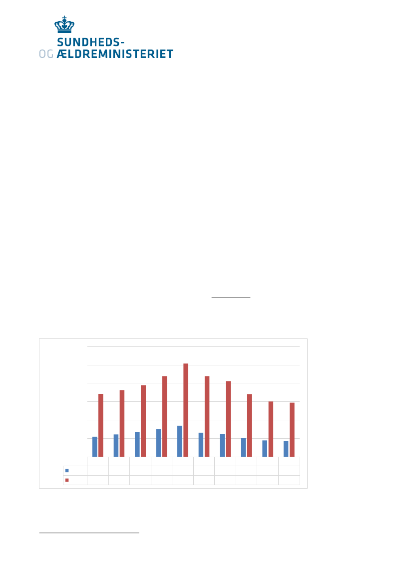
Figur 1. Udvikling i antallet af børn og unge i alderen 0-24 år med første receptindløsning
på antidepressiv medicin i perioden 2006-2015 fordelt på aldersgrupper
Antal børn og unge med første
receptindløsning på antidepressiv medicin
12.000
10.000
8.000
6.000
4.000
2.000
0
0-17
2006
2007
2008
2009
2010
2011
2012
2013
2014
2015
2.190 2.432 2.718 2.989 3.385 2.619 2.465 2.020 1.776 1.743
18-24 6.844 7.252 7.759 8.777 10.145 8.766 8.228 6.817 6.012 5.900
Kilde: Sundhedsdatastyrelsen, Lægemiddelstatistikregistret.
Anm.: Antidepressiv medicin er i nærværende opgørelse afgrænset som lægemidler i ATC-
gruppen N06A (undtagen bupropion (N06AX12)), og alder er tildelt ud fra den pågældendes al-
der ved første receptindløsning på antidepressiv medicin.
1
Disse børn og unge har aldrig tidligere haft nogen receptindløsninger på antidepressive læ-
gemidler.
SUU, Alm.del - 2015-16 - Endeligt svar på spørgsmål 938: Spm. om redegørelse for udviklingen i udskrivningen af antidepressiv medicin til børn og unge, til sundheds- og ældreministeren
1672482_0002.png
Det ses, at der frem til 2010 er en stigning i antallet af børn og unge med første re-
ceptindløsning på antidepressiv medicin, hvorefter der er et fald i begge aldersgrup-
per. Faldet kan skyldes, at Sundhedsstyrelsen i 2011 indskærpede reglerne, så både
opstarts- og vedligeholdelsesbehandlingen hos børn og unge i alderen 0-17 år med
psykiske lidelser skal varetages af en speciallæge i børne- og ungdomspsykiatri
2
, jf.
Sundhedsstyrelsens vejledning om behandling af børn med antidepressive lægemid-
ler.”
Med venlig hilsen
Sophie Løhde
/
Camilla Rosengaard Villumsen
2
I akutte tilfælde kan andre læger end speciallæger i børne- og ungdomspsykiatri starte be-
handlingen. Dette må dog kun ske efter konference med en speciallæge i børne- eller ung-
domspsykiatri. Lægen skal samtidig henvise barnet eller den unge til en vurdering af en special-
læge i børne- og ungdomspsykiatri.
Side 2