Skatteudvalget 2015-16
SAU Alm.del
Offentligt
1635868_0001.png
Folketingets Skatteudvalg
Christiansborg
20. maj 2016
Svar på Skatteudvalgets spørgsmål nr. 406 (Alm. del) af 28. april
stillet efter ønske fra Peter Hummelgaard Thomsen (S)
Spørgsmål
Vil ministeren oplyse, hvad produktivitetsniveauet var i Danmark og de øvrige
OECD-lande i 2015 eller senest sammenlignelige år? I svaret bedes produktivi-
tetsniveauet oplyst ved BNP per arbejdstime (USD, løbende priser, løbende PPP).
Svar
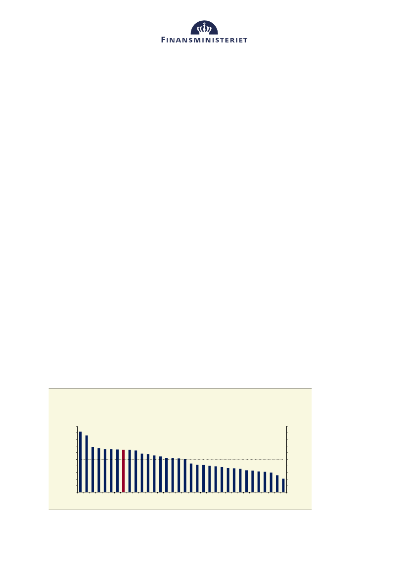
I
figur 1
er vist produktivitetsniveauet – opgjort som BNP pr. arbejdstime i løben-
de priser og løbende PPP - på tværs af OECD-landene i 2014. De mere velståen-
de OECD-lande har generelt også et højere produktivitetsniveau end de mindre
velstående OECD-lande. Produktivitetsniveauet i Danmark er på niveau med fx
Tyskland og Frankrig.
Det skal dog bemærkes, at metoderne til opgørelse af arbejdstiden i nationalregn-
skabet ikke er fuldt sammenlignelig på tværs af lande. Samtidig kan antallet af ar-
bejdstimer for de enkelte lande løbende blive revideret. Ved den seneste revision
fra Danmarks Statistik – hvor timeopgørelsen blev ændret til registeropgørelse
baseret på arbejdsgivernes indberetning, i modsætning til andre lande – blev pro-
duktivitetsniveauet i Danmark eksempelvis opjusteret med 7-8 pct. i 2012,
jf. Fi-
nansredegørelse 2014.
Figur 1
Produktivitet - BNP per arbejdstime - i 2014
USD, løbende priser, løbende PPP
100
90
80
70
60
50
USD, løbende priser, løbende PPP
100
90
80
70
60
50
40
30
20
10
0
40
30
20
10
0
Anm.: Den stiplede vandrette streg indikerer OECD-gennemsnittet.
Kilde: OECD
LUX
NOR
Finansministeriet · Christiansborg Slotsplads 1 · 1218 København K · T 33 92 33 33 · E [email protected] · www.fm.dk
BEL
USA
NLD
IRL
FRA
DNK
DEU
CHE
AUT
SWE
AUS
FIN
CAN
ITA
ESP
GBR
ISL
NZL
JPN
SVN
SVK
ISR
GRC
CZE
PRT
HUN
EST
TUR
KOR
POL
CHL
MEX
SAU, Alm.del - 2015-16 - Endeligt svar på spørgsmål 406: Spm. om, hvad produktivitetsniveauet var i Danmark og de øvrige OECD-lande i 2015 eller senest sammenlignelige år, til finansministeren, kopi til skatteministeren
Side 2 af 2
Det skal endvidere bemærkes, at arbejdstiden i Danmark er lav sammenlignet med
de øvrige OECD-lande. Det gør sig ikke blot gældende målt ved arbejdstimer pr.
beskæftiget, men også målt ved udbud af arbejdstimer pr. 15-64 årig.
Med venlig hilsen
Claus Hjort Frederiksen
Finansminister