Skatteudvalget 2015-16
SAU Alm.del
Offentligt
1611798_0001.png
Folketingets Skatteudvalg
Christiansborg
17. marts 2016
Svar på Skatteudvalgets spørgsmål nr. 256 (alm. del) af 18.
februar 2016 stillet efter ønske fra Brian Mikkelsen (C)
Spørgsmål
Ministeren bedes oplyse det finanspolitiske råderum korrigeret for pris- og lønud-
viklingen i årene 2020, 2025, 2030 og 2035, hvis der i perioden indføres nulvækst i
det offentlige forbrug.
Svar
De nedenfor viste beregninger er baseret på den seneste mellemfristede frem-
skrivning fra september 2015, som lå til grund for udgiftslofterne frem mod 2019.
Siden er der kommet nye oplysninger, herunder om flygtningetilstrømningen og
olieprisudviklingen, jf. notat på
www.fm.dk
om olieprisernes betydning for det
finanspolitiske råderum frem til 2020. En samlet opdateret fremskrivning vil blive
offentliggjort i Danmarks Konvergensprogram 2016, der udkommer i april.
I forhold til den forudsatte udvikling i det offentlige forbrug i det opdaterede
2020-forløb fra september 2015 vil real nulvækst i det offentlige forbrug fra 2017
til 2035 forbedre den primære offentlige saldo med ca. 15 mia. kr. i 2020 stigende
til 99 mia. kr. i 2035 (2015-niveau),
jf. tabel 1.
Tabel 1
Effekt på den primære saldo ved nulvækst fra 2017 til 2035
2020
Mia. kr. (2015-niveau)
Ændring af primær saldo
15
46�½
75
99
2025
2030
2035
Anm.: Beregningerne er baseret på fremskrivningen fra
Opdateret 2020-forløb, september 2015: Grundlag for udgiftslofter
2019.
De offentlige investeringer falder også fra 2020 og frem, således at det offentlige kapitalapparat følger
udviklingen i et vægtet BVT, hvor det offentlige BVT udgør 70 pct. og det private BVT 30 pct.
Kilde: Danmarks Statistik og egne beregninger
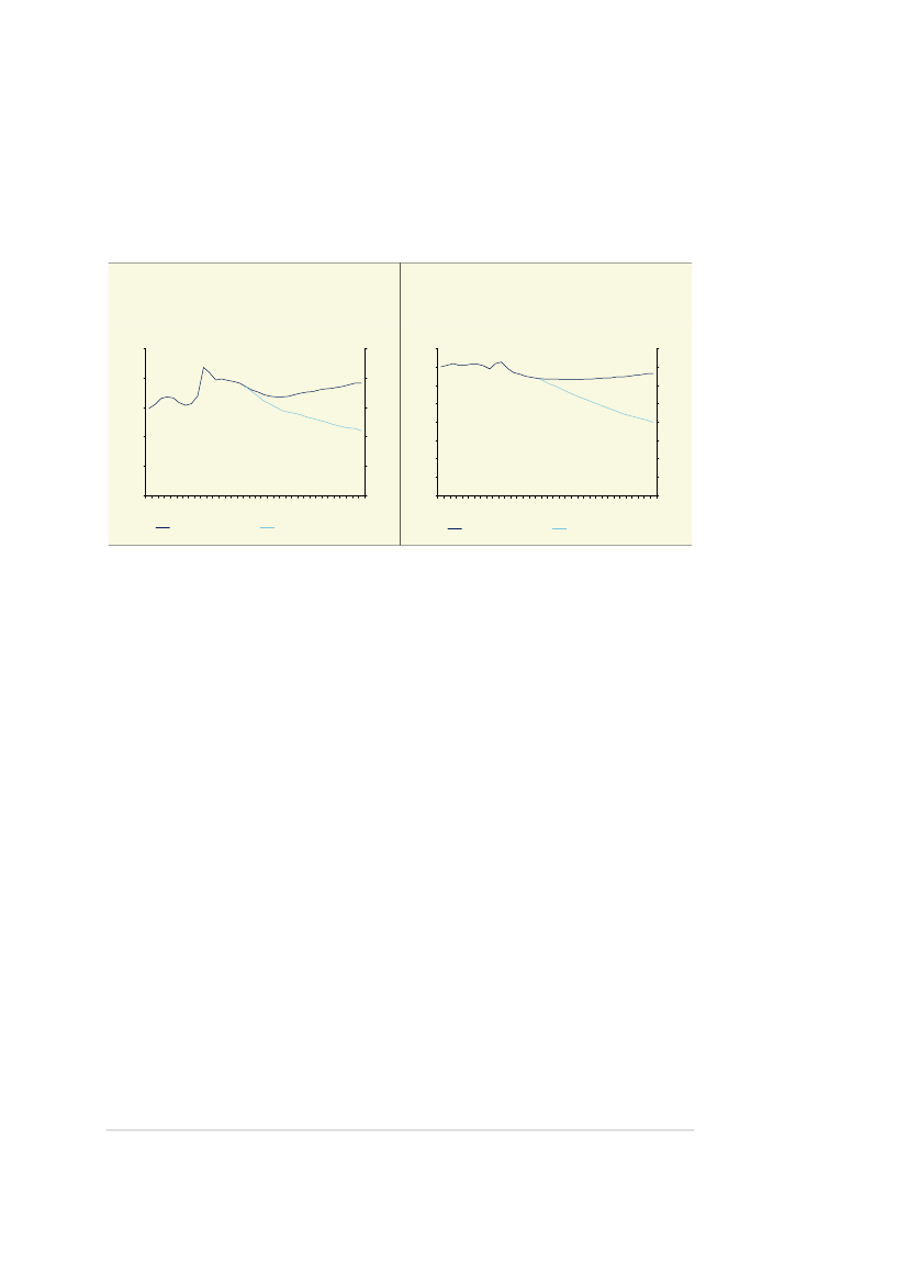
Den store stigning i beløbet, når man ser mange år frem, skal ses i lyset af, at real
nulvækst i serviceudgifterne over hele perioden vil betyde, at det offentlige for-
brugs andel af økonomien falder fra ca. 26 pct. af BNP i dag til under 21 pct. af
BNP i 2035,
jf. figur 1.
Den offentlige beskæftigelse, som i den beregningstekniske
2020-fremskrivning vokser nogenlunde i takt med befolkningstallet (svarende til et
Finansministeriet · Christiansborg Slotsplads 1 · 1218 København K · T 33 92 33 33 · E [email protected] · www.fm.dk
SAU, Alm.del - 2015-16 - Endeligt svar på spørgsmål 256: Spm. om at oplyse det finanspolitiske råderum korrigeret for pris- og lønudviklingen i årene 2020, 2025, 2030 og 2035, hvis der i perioden indføres nulvækst i det offentlige forbrug, til finansministeren, kopi til skatteministeren
1611798_0002.png
Side 2 af 2
forhold på ca. 14�½ pct. af befolkningen) vil ved real nulvækst aftage i forhold til
befolkningen under gængse beregningsprincipper om uændret varekøbskvote mv.
(til ca. 12 pct. i 2035, jf. figur 2).
Figur 1
Offentligt forbrug som andel af BNP
Pct. af BNP
30
Pct. af BNP
30
Figur 2
Offentlig beskæftigelse som andel af befolkningen
Pct. af befolkningen
16
15
Pct. af befolkningen
16
15
14
13
12
27
27
14
13
12
24
24
21
21
11
10
9
11
10
9
8
18
18
15
15
8
00 02 04 06 08 10 12 14 16 18 20 22 24 26 28 30 32 34
Septemberforløb
Med nulvækst til 2035
00 02 04 06 08 10 12 14 16 18 20 22 24 26 28 30 32 34
Septemberforløb
Med nulvækst til 2035
Anm.: Offentlig beskæftigelse er inklusiv orlovspersoner.
Kilde: Danmarks Statistik, Opdateret 2020-forløb, september 2015 og egne beregninger
Der kan desuden ikke disponeres over det fulde beløb, som den mekaniske be-
regning med nulvækst i det offentlige forbrug frigiver i 2030 og 2035. Det skyldes,
at beregningen tager udgangspunkt i et forløb, der efter 2020 er baseret på bereg-
ningstekniske principper for blandt andet at vurdere om finanspolitikken er hold-
bar
1
. I det begningstekniske forløb er der i en lang periode fra ca. 2030 til 2060
udsigt til strukturelle underskud som overstiger budgetlovens grænse på �½ pct. af
BNP. Fremskrivningen efter 2020 er ikke udtryk for planlagt politik, da den aktu-
elle mellemfristede planlægningsperiode alene går frem til 2020.
De store beregningstekniske underskud fra 2030 til 2060 er således udtryk for, at
der – i fravær af andre tiltag – vil skulle føres en strammere finanspolitik end med
de beregningstekniske principper, sådan at kravene i budgetloven overholdes.
Der er tale om en mekanisk beregning og der er således ikke lavet en konkret vur-
dering af de afledte effekter på resten af økonomien af real nulvækst.
Med venlig hilsen
Claus Hjort Frederiksen
Efter 2020 er forløbet blandt andet baseret på beregningstekniske forudsætninger om skatte- og udgiftspolitikken, der
indebærer, at skatte- og afgiftsbelastningen fastholdes uændret fremadrettet, og at de nominelle udgifter til offentligt for-
brug per bruger følger lønudviklingen og brugergrundlaget følger det beregnede demografiske træk på de offentlige ydelser.
1