Miljø- og Fødevareudvalget 2015-16
MOF Alm.del
Offentligt
1590165_0001.png
DCA – Nationalt Center for Fødevarer og Jordbrug
DCE – Nationalt Center for Miljø og Energi
11. november 2015
Notat om tilbagerulning af tre generelle krav, Normreduktion,
Obligatoriske efterafgrøder og Forbud mod jordbearbejdning i
efteråret
Christen Duus Børgesen
1)
, Ingrid K. Thomsen
1)
, Elly M. Hansen
1)
, Inge T. Kristensen
1)
, Gitte Blicher-
Mathiesen
2)
, Jonas Rolighed
2)
, Poul Nordemann Jensen
3)
, Jørgen E. Olesen
1)
og Jørgen Eriksen
1)
1)
Institut for Agroøkologi, Institut for Bioscience, DCE – Nationalt Center for Miljø og Energi.
2)
3)
NaturErhvervstyrelsen har i forbindelse med de økonomiske konsekvensberegninger af den ny målrettede
regulering behov for en beregning af, hvilken effekt tilbagerulning af de generelle krav vil have i forhold
udvaskningen af næringsstoffer.
NAER bad på den baggrund den 26. maj 2015 DCA - Nationalt Center for Fødevarer og Jordbrug (DCA) om en
effektberegning på kvælstofudvaskning ved tilbagerulning af de tre generelle virkemidler: Normreduktion,
Obligatoriske efterafgrøder og Forbud mod jordbearbejdning i efteråret.
Efterfølgende har NAER fremsendt yderligere to bestillinger til DCA vedr. effektberegningerne. De
supplerende bestillinger er modtaget hhv. den 9. september 2015 (om den ændrede vurdering af
marginaludvaskning medfører behov for ændringer af Virkemiddelkataloget fra december 2014) og den 11.
september 2015 (uddybning af baggrunden for NLES3 vs. NLES4).
Nærværende notat er udarbejdet i et samarbejde mellem DCA og DCE – Nationalt Center for Miljø og Energi
og udgør en samlet besvarelse af de tre nævnte bestillinger.
Bestillingen af 9. september 2015 er besvaret i form af notatets Bilag 1: ”Behov for opdatering af
Virkemiddelkataloget fra december 2014 hvor ændret NLES (marginaludvaskning) slår igennem”, mens
besvarelse på bestillingen af 11. september 2015 er integreret i notatets Afsnit 3 og 4 samt i Bilag 2.
1
MOF, Alm.del - 2015-16 - Endeligt svar på spørgsmål 377: Spm. om offentliggørelse af kvælstofudvalgets rapport, så der kan komme offentlighed og debat om den, til miljø- og fødevareministeren
Indholdsfortegnelse
Sammenfatning
................................................................................................................................................ 3
1. Introduktion
................................................................................................................................................... 5
2. Tilbagerulning af normreduktion
................................................................................................................ 6
2.1 Oversigt over økonomisk optimal gødskning og normreduktion
.................................................... 6
2.2 Tilbagerulning af reducerede kvælstofnormer ved anvendelse af NLES4 i to
modelopsætninger
....................................................................................................................................... 7
2.2.1 Redegørelse for forskelle mellem de to NLES4-modelopsætninger
...................................... 9
2.2.2 Anbefaling vedr. modelopsætning af NLES4
........................................................................... 10
2.3 Sammenligning af NLES3 og NLES4
............................................................................................... 11
2.3.1 Udvikling af NLES
........................................................................................................................ 11
2.3.2 Marginaludvaskning i NLES3 og NLES4
.................................................................................. 11
2.3.3 Estimering af typetal for marginaludvaskning
.......................................................................... 12
2.3.4 Ændring af typetallet for marginaludvaskning
.......................................................................... 14
2.3.5 Forventninger til NLES5
.............................................................................................................. 14
2.4 Marginaludvaskning i Landovervågningen (LOOP) estimeret ved de empiriske modeller
NLES3 og NLES4
...................................................................................................................................... 15
2.5 Perspektivering af størrelse på marginaludvaskningen
................................................................. 18
3. Tilbagerulning af obligatoriske efterafgrøder
......................................................................................... 19
4. Tilbagerulning af forbud mod jordbearbejdning i efteråret
.................................................................. 21
5. Referencer
.................................................................................................................................................. 28
Bilag 1. Behov for opdatering af Virkemiddelkataloget fra december 2014 hvor ændret NLES
(marginaludvaskning) slår igennem
............................................................................................................ 31
Bilag 2. Uddybning af Afsnit 2.4 om marginaludvaskning i Landovervågningen (LOOP) estimeret
ved de empiriske modeller NLES3 og NLES4
........................................................................................... 37
2
MOF, Alm.del - 2015-16 - Endeligt svar på spørgsmål 377: Spm. om offentliggørelse af kvælstofudvalgets rapport, så der kan komme offentlighed og debat om den, til miljø- og fødevareministeren
1590165_0003.png
Sammenfatning
Der er gennemført beregninger af de udvaskningsmæssige konsekvenser af tilbagerulning af
normreduktion, obligatoriske efterafgrøder og forbud mod jordbearbejdning i efteråret. Effekten af
tilbagerulningerne er beregnet på baggrund af landbrugsdata for høståret 2011. Effekt af tilbagerulning af
normreduktionen er beregnet med NLES4, mens effekten af tilbagerulning af obligatoriske efterafgrøder
samt forbud mod jordbearbejdning i efteråret er gennemført med typetal.
Beregning af effekt af tilbagerulning af normreduktion er gennemført ved anvendelse af to opsætninger af
NLES4. Den ene modelopsætning svarede til opsætningen anvendt i Grøn Vækst (GV), mens en alternativ
opsætning var ændret mht. arealanvendelsesdata, efterafgrødeeffekt i majs, klimadata og organogene
jorde. Modelberegningerne med GV-opsætningen af NLES4 resulterede i en kvælstofudvaskning på
landsplan på hhv. 165.000 t N mens udvaskningen med den alternative opsætning blev beregnet til 157.000
t N. Det anbefales, at den landsberegnede udvaskning på 165.000 t N baseret på GV-opsætningen af NLES4
fastholdes i fremtidige beregninger, da dette estimat anses for det mest robuste.
Tilbagerulning af virkemidlerne normreduktion, obligatoriske efterafgrøder og forbud mod jordbearbejdning
i efteråret er beregnet til potentielt at have følgende effekt på landsplan:
Tilbagerulning af
virkemiddel
Normreduktion
Forøget
udvaskning fra
rodzonen
(1.000 t)
Forøget
udledning til
havmiljøet
(1.000 t)
Metode
NLES4 (GV-
opsætning)
Kommentarer
Beregnet ud fra afgrødesammensætning samt
tilhørende normreduktion for konventionelt areal i
2011 ved fortsat anvendelse af obligatoriske
efterafgrøder (med dertil hørende eftervirkning)
samt forbud mod jordbearbejdning i efteråret.
Ved beregning ud fra typetal er der inkluderet effekt
af eftervirkning. Det er forudsat i beregningerne, at
al dyrkning af obligatoriske efterafgrøder ophører og
tilbagerulles til ubearbejdet, hovedsageligt ikke-
bevokset jord.
Det er forudsat i beregningerne, at fraktionen af
arealer, der vil blive jordbearbejdet før den
nuværende tidsfrist, vil svare til fraktionen i 2008-11
som anført i Børgesen et al. (2013).
12,6
3,6
Obligatoriske
efterafgrøder
Typetal
7,9
2,2
Forbud mod
jordbearbejdning
i efteråret
Typetal
1,2
0,3
Det skal pointeres, at der for den estimerede forøgede udvaskning ved tilbagerulning af obligatoriske
efterafgrøder er tale om et øvre estimat, dvs. hvor al dyrkning af obligatoriske efterafgrøder ophører. I
notatet diskuteres, hvilke faktorer, der spiller ind i forhold til, om dette estimat kan forventes opnået.
Usikkerheden er primært afhængig af, hvordan landmanden vil tilpasse sin markdrift til de nye
rammebetingelser mht. prisforhold og lovgivning (eksempelvis kravet om MFO arealer), hvilket vi ikke har
grundlag for at give konkrete skøn for.
I forbindelse med beregningen af effekt af tilbagerulning af normreduktionen blev den samlede
marginaludvaskning på landsplan beregnet til ca. 1/5. Marginaludvaskningen i de 91 deloplande baseret på
GV-opsætningen varierede mellem 11 og 28 % og opgjort på de 23 hovedoplande mellem 12 og 22 %. Det
3
MOF, Alm.del - 2015-16 - Endeligt svar på spørgsmål 377: Spm. om offentliggørelse af kvælstofudvalgets rapport, så der kan komme offentlighed og debat om den, til miljø- og fødevareministeren
skal understreges, at opgørelsen af udvaskningen på hovedoplande og kystdeloplande ikke tidligere er
foretaget, og at værdierne for disse er behæftet med betydelig større usikkerhed end på landsplan. Opdelt
på afgrøder for hele landet lå variationsbredden i marginaludvaskningen på mellem 1 % (vedvarende græs
og frøgræs) og 38 % for majs.
Marginaludvaskningen, dvs. den andel af kvælstof, der udvaskes ved tilførsel af en given mængde ekstra
kvælstof, blev i forbindelse med NLES4-beregningerne bestemt til en lavere værdi end tidligere antaget. I
nærværende notat redegøres for, at NLES4 generelt estimerer en lavere marginaludvaskning end den
tidligere anvendte NLES3, og at de landsdækkende beregninger, der i en årrække er gennemført med
NLES4, er baseret på denne lavere marginaludvaskning. Størrelsesordenen på marginaludvaskningen er
sammenlignet med målinger i danske og internationale studier.
Der er gennemført analyser af, hvordan NLES3 og NLES4 simulerer den målte kvælstofudvaskning og den
målte afstrømningsvægtede kvælstofkoncentration på basis af Landovervågningen (LOOP). NLES4 giver
generelt en lavere marginaludvaskning end NLES3, men begge modeller er i stand til at eftervise den årlige
udvikling i den målte udvaskning for den periode, de er sat op på, på nær 1991 og 1992, hvor den målte
udvaskning var meget høj.
I Bilag 1 beskrives, hvorvidt effekterne fastsat i Virkemiddelkataloget fra 2014 påvirkes af en lavere
marginaludvaskning end tidligere antaget. Det fremgår af bilaget, at effekterne i Virkemiddelkataloget
generelt fortsat kan anses for gældende, da de hovedsageligt er baseret på målte værdier fra markforsøg
eller på differencer til et NLES4-estimat. I Bilag 2 er marginaludvaskningen, belyst ud fra målinger i LOOP,
uddybet.
4
MOF, Alm.del - 2015-16 - Endeligt svar på spørgsmål 377: Spm. om offentliggørelse af kvælstofudvalgets rapport, så der kan komme offentlighed og debat om den, til miljø- og fødevareministeren
1590165_0005.png
1. Introduktion
Med henblik på at estimere de udvaskningsmæssige konsekvenser af tilbagerulning af normreduktion,
obligatoriske efterafgrøder samt forbud mod jordbearbejdning i efteråret er der gennemført beregninger på
baggrund af landbrugsdata for høståret 2011. Beregningerne er gennemført for landet som helhed samt på
hovedoplands- og kystdeloplandsniveau.
Den empiriske udvaskningsmodel NLES4 (Kristensen et al., 2008) er anvendt til estimering af
konsekvenserne af tilbagerulning af normreduktionen. Modellen er under opdatering
1
, og i den forbindelse
vil effekterne af en række dyrkningsparametre, herunder efterafgrøder samt forbud mod jordbearbejdning i
efteråret (nugældende virkemiddel ”Forbud mod jordbearbejdning forud for forårssåede afgrøder”,
Anonym, 2015a) blive søgt inddraget. Da dette arbejde pågår, er beregningerne af tilbagerulning af hhv.
obligatoriske efterafgrøder og forbud mod jordbearbejdning i efteråret gennemført med typetal baseret på
Virkemiddelkataloget (Hansen og Thomsen, 2014; Hansen et al., 2014). I modsætning til NLES4-
beregningerne inddrager typetallene ikke effekt af afstrømning, som varierer mellem oplande især pga.
forskelle i nedbørforhold.
I nærværende besvarelse præsenteres effekten af tilbagerulning alene på landsplan. Beregningerne af
effekten af tilbagerulning i de enkelte kystdeloplande fremgår af et tilhørende Excel-regneark. Det skal
understreges, at opgørelsen af udvaskningen på hovedoplande og kystdeloplande ikke tidligere er foretaget,
og at værdierne for disse er behæftet med betydelig større usikkerhed end på landsplan. Det skyldes bl.a.,
at nogle af deloplandene er meget små, og at beregningerne alene er gennemført for et enkelt høstår.
Herved får afgrødesammensætningen i dette år en stor betydning – især for små deloplande.
Generelt er det vanskeligt at adskille effekt af gødningsrelaterede virkemidler, fordi gødskningsadfærd og
effekt på udvaskning er koblet. Effekt af normreduktionen vil afhænge af de virkemidler, der allerede er
implementeret i det år, beregningen gennemføres. Rulles virkemidler tilbage, som f.eks. obligatoriske
efterafgrøder og forbud mod jordbearbejdning, vil effekten af tilbagerulning af normreduktionen kunne
være højere end ovenfor bestemt. Effekt af tilbagerulning af virkemidler kan opgøres enkeltvis, som i dette
notat, men effekterne kan vekselvirke og kan derfor ikke umiddelbart adderes. En mere detaljeret
beregning af effekt ved tilbagerulning af flere virkemidler samtidigt, har ikke været mulig inden for
besvarelsens tidsramme.
Marginaludvaskning undersøges og fastlægges mere præcist i forbindelse med igangværende opgave om opdatering af NLES
modellen. Opgaven er led i Aftale mellem Aarhus Universitet og Fødevareministeriet om udførelse af forskningsbaseret
myndighedsbetjening m.v. ved DCA – Nationalt Center for Fødevarer og Jordbrug 2015-2018 (Punkt FM-14 i Aftalens Bilag 2). Der er
desuden i GUDP-projektet VIRKN (2014-18) igangsat markforsøg med udvaskningsmålinger ved tilførsel af stigende mængder
kvælstof, hvilket vil kunne danne grundlag for et mere præcist estimat for udvaskningen.
1
5
MOF, Alm.del - 2015-16 - Endeligt svar på spørgsmål 377: Spm. om offentliggørelse af kvælstofudvalgets rapport, så der kan komme offentlighed og debat om den, til miljø- og fødevareministeren
1590165_0006.png
2. Tilbagerulning af normreduktion
Beregningerne af effekt af tilbagerulning af normreduktion, gennemført med NLES4 på baggrund af
normreduktionen i 2011, har resulteret i en lavere marginaludvaskning end tidligere antaget. I nærværende
notat er det derfor valgt at gennemgå de faktorer, der har og har haft betydning i forbindelse med
beregninger af udvaskning i de senere år.
2.1 Oversigt over økonomisk optimal gødskning og normreduktion
Den økonomiske optimale kvælstofnorm varierer i forhold til aktuelle priser på korn, gødning og protein.
Den kvælstofmængde, der skal tilbagerulles, er derfor ikke en fast kvælstofmængde, men varierer fra år til
år. Af samme grund kan det derfor være relevant at se på udviklingen i kvælstofkvoter og normreduktioner
gennem årene.
Der har været gennemført normreduktionsberegninger siden 1998, hvor VMPII-aftalen fastsatte
landekvoten til 10 % under niveauet i 1997/1998 med virkning fra planperioden 1998/1999 (Grant og
Waagepetersen, 2003). Fra 2001 skete der en stramning af kvælstofforbruget på baggrund af VMPII
midtvejsevalueringen (Grant et al., 2000). Fra 2005 blev en ny beregningsmodel anvendt som følge af
VMPIII, således at gødningsforbruget ikke kunne overstige landekvoten fra 2003/2004 reguleret for effekten
af afgrødeforskydninger (”kvælstofposen”). Den samlede kvote for 2003/2004 udgjorde ca. 363.000 t N
(Tabel 1).
Siden 2005/2006 er der hvert år beregnet økonomisk optimale kvælstofnormer ved det udbytteniveau, der
ville være, hvis der ikke var restriktioner i anvendelse af kvælstofgødning. De økonomisk optimale
kvælstofnormer fastsættes ud fra bl.a. dyrkningsforsøg og prisrelationer mellem afgrøder og kvælstof.
Normreduktionen er siden beregnet ud fra de økonomisk optimale kvælstofnormer, og indførelsen af dette
princip betød, at normreduktionen steg fra 9,4 % i 2004/2005 til 14,3 % i 2005/2006. I Tabel 1 er den
samlede kvælstofkvote vist for hvert år siden 1998/1999 inklusiv normreduktion angivet som total mængde
og i procent. Som det fremgår af Tabel 1, varierer den beregnede normreduktion mellem årene, og den
totale effekt af en tilbagerulning vil derfor afhænge af, hvilket år der anvendes som udgangspunkt.
Tabel 1. Oversigt over samlet økonomisk optimal kvælstofkvote i Danmark og den samlede mængde
kvælstof, der kan tilføres (”kvælstofposen”). Ligeledes vist er normreduktion i forhold til økonomisk optimale
kvælstofnormer i totale mængder og i procent. Under kommentarer er nævnt nogle af de faktorer, der har
haft indflydelse på kvælstofposens størrelse. Data er hentet og beregnet ud fra Anonym (2011) samt fra
NAER (2015).
Periode
1998/1999
1999/2000
2000/2001
2001/2002 10 % reduktion i forhold til 1997/1998-niveau, jf.
2002/2003 VMP II.
2003/2004
2004/2005
Kommentarer
Økonomisk
Samlet
Beregnet
Beregnet
optimal
kvælstofkvote
normreduktion normreduktion
kvælstofkvote (”kvælstofposen”)
(1.000 t N)
(%)
(1.000 t N)
(1.000 t N)
390
408
412
420
390
396
394
a
a
a
a
a
a
a
12,5
11,2
12,4
9,5
9,3
9,3
9,4
6
MOF, Alm.del - 2015-16 - Endeligt svar på spørgsmål 377: Spm. om offentliggørelse af kvælstofudvalgets rapport, så der kan komme offentlighed og debat om den, til miljø- og fødevareministeren
1590165_0007.png
2005/2006 Indstilling af økonomisk optimale normer inddrages.
2006/2007
2007/2008
2008/2009
Fra denne planperiode anvendes arealdata for 2007
mod tidligere 2004.
424
424
427
442
451
458
443
446
439
442
363
363
363
379
382
384
377
384
369
362
61
61
64
64
69
74
66
62
70
80
14,3
14,4
15,0
14,5
15,5
16,0
15,0
13,8
15,9
18,1
2009/2010 Arealdata for 2008 anvendes.
2010/2011 Inkl. teknisk ændring og ændring vedr. brakarealer.
2011/2012 Inkl. teknisk ændring.
2012/2013 Visse justeringer af beregningen af kvælstofposen.
2013/2014
a
Tilretning af den tekniske ændring så den omfatter
akkumuleret arealberegning.
2014/2015 Inkl. teknisk ændring.
Leif Knudsen, SEGES, pers. komm.
2.2 Tilbagerulning af reducerede kvælstofnormer ved anvendelse af NLES4 i to
modelopsætninger
Der er i de landsdækkende NLES4-beregninger anvendt landbrugsdata for høståret 2011. Det har ikke været
muligt at opstille nye datasæt for de seneste år inden for tidsrammen af besvarelsen. Datasættet for 2011
er derfor anvendt, da det er det nyeste datasæt, som var klar til brug i modelberegningerne. Der er antaget
samme arealanvendelse og forbrug af husdyrgødning som anvendt i Grøn Vækst (GV)-evalueringen
(Børgesen et al., 2013).
Effekten af tilbagerulning af normreduktion er gennemført med to modelopsætninger af NLES4. Den ene
opsætning (GV-opsætning) svarer til, hvad der blev anvendt i GV, hvor der blev anvendt klimadata fra 1990-
2009/10. Desuden er en alternativ opsætning (Al-opsætning) af NLES4 testet. I Al-opsætningen blev
beregningerne gennemført med en anden klimaserie, og der indgik desuden ændrede antagelser i forhold til
GV-opsætningen (se Afsnit 2.2.1).
Normreduktionen var i 2010/11 på i alt ca. 74.000 t N for både konventionelt og økologisk areal (Tabel 1).
Ca. 6 % af normen var relateret til økologiske arealer, hvorfor kvoten, der er beregnet tilbagerullet, svarer til
ca. 69.500 t N. Normreduktionen er tilbagerullet under antagelse af, at hele denne kvote vil blive udnyttet.
Den øgede kvælstofgødskning er anvendt på ikke-økologiske arealer, hvor den dyrkede afgrøde har en
gødningsnorm større end 0 kg N/ha. For at kunne angive en værdi for havbelastningen er der på id15
oplandsniveau anvendt lokale total-N retentionsprocenter (Redtot), der er den summerede N-retention
mellem rodzone og havet (Højberg et al., 2015).
Den totale udvaskning fra rodzonen i 2011 blev ved anvendelse af NLES4 i GV-opsætningen beregnet til ca.
165.000 t N før en tilbagerulning og til 178.000 t N efter en tilbagerulning af 69.500 t N svarende til en øget
udvaskning på ca. 12.600 t N (Tabel 2). Effekten af tilbagerulning på den samlede havbelastning udgjorde ca.
3.600 t N baseret på GV-opsætningen (Tabel 2).
7
MOF, Alm.del - 2015-16 - Endeligt svar på spørgsmål 377: Spm. om offentliggørelse af kvælstofudvalgets rapport, så der kan komme offentlighed og debat om den, til miljø- og fødevareministeren
1590165_0008.png
Ved anvendelse af Al-opsætningen blev den totale udvaskning beregnet til 157.000 t N før tilbagerulning og
169.000 t N efter en tilbagerulning svarende til en stigning på 11.800 t N fra rodzonen (Tabel 2). Ved
anvendelse af Al-opsætningen blev den øgede udvaskning beregnet til ca. 3.400 t N til havmiljøet (Tabel 2).
Tabel 2. Beregnet kvælstofudvaskning på landsplan før tilbagerulning samt forøget udvaskning fra rodzonen
og til havmiljøet efter tilbagerulning af normreduktion på 69.500 t N. Beregningerne er gennemført med
NLES4 i hhv. GV-opsætning som i Børgesen et al. (2013) og i Al-opsætning (se Afsnit 2.2.1). Ved begge
modelopsætninger er anvendt afgrødesammensætning samt tilhørende normreduktion i 2011 ved fortsat
anvendelse af obligatoriske efterafgrøder (med dertil hørende eftervirkning) samt forbud mod
jordbearbejdning i efteråret.
Metode
Udvaskning på
landsplan før
tilbagerulning
(1.000 t N)
Udvaskning på
landsplan
efter
tilbagerulning
(1.000 t N)
178
169
Forøget
udvaskning fra
rodzonen
(1.000 t N)
12,6
11,8
Forøget
udvaskning fra
rodzonen
(kg N/ha)
4,7
4,4
Forøget
udledning til
havmiljøet
a
(1.000 t N)
3,6
3,4
Forøget
udledning til
havmiljøet
a
(kg N/ha)
1,4
1,2
GV-opsætning af
NLES4 (Børgesen et
165
al., 2013).
Al-opsætning af
157
NLES4
a
Beregnet efter Højberg et al. (2015).
Marginaludvaskningen beregnet som det samlede vægtede gennemsnit af at hæve kvælstofgødskningen
med ca. 69.500 t N til alle ikke-økologiske marker med samme relative faktor, kan ud fra Tabel 2 beregnes til
at svare til ca. 1/5 uanset modelopsætning. Resultatet dækker over dels kornafgrøder med højere
marginaludvaskning end gennemsnittet dels græsmarker med mindre marginaludvaskning end
gennemsnittet. Desuden har jordtype og specielt afstrømning betydning, da lerjord med lav afstrømning
giver en lille marginaludvaskning, hvorimod sandjord i områder med høj afstrømning giver en stor
marginaludvaskning (Kristensen et al., 2008). Desuden er der mange marker, hvor der ikke ændres på
kvælstofgødskningen (økologiske marker og marker uden gødningsnorm). For disse marker vil udvaskningen
være ens med og uden tilbagerulning af normreduktion og vil derfor ikke bidrage til forskelle i udvaskningen
eller kvælstof tilført med handelsgødning. Som konsekvens af disse forskelle i marginaludvaskningen
betinget af jordtype, afgrøder og afstrømningsforhold vil der også være forskel i marginaludvaskningen
mellem forskellige landsdele/vandoplande.
Opgøres marginaludvaskningen med GV-opsætningen på lavere geografisk skala, såsom de 91 deloplande,
er variationen, udtrykt ved standardafvigelsen, på 3,3 % med minimum og maximum på henholdsvis 11 og
28 %. Opgøres marginaludvaskningen på de 23 hovedoplande (større geografisk skala) er
standardafvigelsen på 2,8 %, og minimum og maximum er henholdsvis 12 og 22 %. Opdelt på afgrøder for
hele landet fås en variationsbredde i marginaludvaskningen på mellem 1 % (vedvarende græs og frøgræs)
op til 38 % for majs. Således varierer marginaludvaskningen som forventet både geografisk og mellem
afgrøder, da der er vekselvirkninger mellem jordtype, klima (afstrømning), afgrøder og
husdyrgødningsmængder. Som tidligere nævnt er opgørelsen af udvaskningen på hovedoplande og
8
MOF, Alm.del - 2015-16 - Endeligt svar på spørgsmål 377: Spm. om offentliggørelse af kvælstofudvalgets rapport, så der kan komme offentlighed og debat om den, til miljø- og fødevareministeren
kystdeloplande ikke tidligere foretaget, og værdierne for disse er behæftet med betydelig større usikkerhed
end på landsplan.
Marginaludvaskningen på ca. 1/5 er beregnet ved et lavere gødningsniveau end 100 % økonomisk optimal
kvælstofnorm. Da hældningen på udvaskningskurven stiger ved stigende gødskningsniveau (Kristensen et
al., 2008), vil marginaludvaskningen på ca. 1/5 ikke være fuldt sammenlignelig med, hvad
marginaludvaskningen er ved økonomisk optimal N gødskning. Ved to modelberegninger med anvendelse af
GV-opsætningen af NLES4 med henholdsvis +/-4.000 t N ekstra tilført med handelsgødning i forhold til
økonomisk optimalt niveau, blev det fundet, at marginaludvaskningen omkring optimal gødningsnorm i
2011 steg ca. 1 procentpoint.
Hvis tilbagerulningen af normreduktionen medførte en anden fordeling af kvælstofgødningen end
antagelsen om en proportional stigning i forhold til normen, ville marginaludvaskningen også ændres.
Desuden er alle marker ikke gødet ved 100 % af bedriftens tilladelige kvælstofkvote. Årsagen hertil er, at der
i udgangspunktet for 2011-modelberegningerne er anvendt data for alle landbrug med indsendte
gødningsplaner i Danmark. Her forekommer bl.a. fritidslandbrug og andre landbrug, der ikke udnytter deres
fulde kvælstofkvote. For disse brug er kvælstofgødskningen øget med samme relative faktor som landbrug,
der gøder ved fuld kvote.
Effekten på udvaskningen af tilbagerulning af normreduktionen kan være undervurderet, da der ved en
reduceret kvælstofnorm kan forventes en mere optimal udnyttelse af både handels- og husdyrgødning.
Underoptimale gødningsnormer vil motivere landmanden til at få størst mulig effekt ved f.eks. at fordele
specielt husdyrgødningen mere jævnt på alle marker eller på marker med den størst opnåelige
virkningsgrad. I en situation med øgede kvælstofnormer vil der være en mindre motivation til optimering af
kvælstofvirkningen af husdyrgødningen. Modsat kan der argumenteres for, at der fortsat er de samme
udnyttelseskrav til kvælstof i husdyrgødning. Da vi ikke har fagligt grundlag for at inkludere en omfordeling,
har vi i modelberegningerne ikke ændret på fordelingen af husdyrgødningen i modelberegningerne.
Marginaludvaskningen på ca. 1/5 er forskellig fra tidligere estimater for marginaludvaskning på 25-35 %,
som er beregnet for kornrige, handelsgødede sædskifter uden plantedække om vinteren (Petersen og
Djurhuus, 2004). Det skal bemærkes, at 1/5 også er væsentlig forskellig fra tidligere antagelser om en
marginaludvaskning på 1/3 (se Afsnit 2.3.3) og at de faktorer, der påvirker marginaludvaskningen,
undersøges i forbindelse med en igangværende opgave for Miljø- og Fødevareministeriet samt i
igangværende markforsøg (se fodnote 1).
2.2.1 Redegørelse for forskelle mellem de to NLES4-modelopsætninger
Som det fremgår af Tabel 2, er der en forskel på ca. 8.000 t N i kvælstofudvaskningen på landsplan beregnet
med NLES4 i hhv. GV- og Al-opsætning. Baggrunden for denne differens er følgende:
Arealanvendelsesdata for forfrugt og vinterafgrødedække var i Al-opsætningen baseret på samkørsel af
aktuelle markkort for 2010 og 2011. I GV-opsætningen (Børgesen et al., 2013) var beregningerne
baseret på antagelser om typiske afgrødefølger og sædskiftet på bedriften. Det skyldtes, at
arealanvendelsesdata på markniveau alene forelå for de sidste år (2010-2011) af den samlede periode
2007-2011, og at der for at fastholde arealanvendelsens betydning for udvaskningen blev anvendt
samme metode i hele GV-evalueringen. Samlet betyder anvendelse af den faktiske afgrødefølge i Al-
9
MOF, Alm.del - 2015-16 - Endeligt svar på spørgsmål 377: Spm. om offentliggørelse af kvælstofudvalgets rapport, så der kan komme offentlighed og debat om den, til miljø- og fødevareministeren
opsætningen et fald i den beregnede udvaskning på ca. 6.100 t N i forhold til de typiske afgrødefølger,
der blev anvendt i GV-opsætningen.
I Virkemiddelkataloget (Eriksen et al., 2014) blev det anført, at efterafgrøder i majs virker på samme
niveau som efterafgrøder efter korn. I GV-evalueringen (Børgesen et al., 2013) blev efterafgrøder i majs
tillagt en ringere effekt, hvilket hænger sammen med, at der i forbindelse med udviklingen af NLES4
modellen kun var et meget sparsomt datamateriale for udvaskning fra majs. I Al-opsætningen kan
denne ændring tilskrives at give en reduktion i udvaskningen på ca. 1.600 t N i forhold til GV-
opsætningen.
For at opnå bedst mulig udnyttelse af tilgængelige klimadata blev der i Al-opsætningen af NLES4
anvendt klimadata fra 1990-2009/10. Årsafstrømningen som gennemsnit er beregnet til at stige med 13
mm/år, hvilket øger udvaskningen med ca. 300 t N i forhold GV-opsætningen.
I GV-opsætningen blev der for organogene jorde anvendt jordens gennemsnitlige humusindhold, mens
disse jorde i Al-opsætningen blev sat til et humusindhold på 4 %. NLES4 er ikke kalibreret på
udvaskningsdata fra tørvejorde med højt humusindhold. Antagelsen omkring humusindholdet på 4 %
som typetal for humusjorde i Al-opsætningen kan tilskrives mindre end 100 t N.
2.2.2 Anbefaling vedr. modelopsætning af NLES4
AU anbefaler at fastholde den landsberegning af udvaskningen, som blev gennemført med GV-opsætningen
af NLES4, og som resulterede i en landsudvaskning på 165.000 t N (Børgesen et al., 2013), frem for
landudvaskningen på 157.000 t N estimeret med NLES4 i Al-opsætningen (Tabel 2). Beregningen med GV-
opsætningen anses for mere robust, da den er baseret på et bredere datagrundlag (modelberegninger for
flere dyrkningsår med samme gødsknings- og udvaskningsniveau) sammenlignet med Al-opsætningen, som
er baseret på afgrødesammensætning m.m. for et enkelt år (2011). Beregningen med Al-opsætningen, som
altså resulterede i en lavere samlet udvaskning, blev i henhold til den oprindelige bestilling fra 26. maj 2015
fra NAER gennemført for at kunne give mere detaljerede beregninger på bedrifts-, jord- og afgrødetyper.
Dette skete med henblik på beregning af de økonomiske konsekvenser ved tilbagerulning af de reducerede
normer samt som grundlag for en miljø- og bedriftsøkonomisk optimal implementering af virkemidler i
deloplandene. Det oprindelige udgangspunkt for beregningerne var således ikke at opdatere de
landsberegninger, der er gennemført i GV-evalueringen.
Det skal tilføjes, at der i forbindelse med den 4-årige rapportering i henhold til Nitratdirektivet, skal laves en
ny beregning af landsudvaskningen baseret på bl.a. afgrødesammensætningen i årene 2011-14(15). Der vil
her blive estimeret en opdateret landsudvaskning ud fra en metode, som er mere sammenlignelig med Al-
opsætningen.
Usikkerheder på landsestimatet for kvælstofudvaskning kan principielt deles op på fire kilder: 1)
Repræsentativitet af data for udvaskningen, 2) NLES4 modellen, 3) Repræsentativitet af klima og jorddata
der indgår i opskaleringen samt 4) Sædskifter og managementdata og hvordan disse implementeres i
opskaleringen af NLES4 modelberegningerne. Det er pt. ikke muligt at kvantificere usikkerheden på de
forskellige elementer og dermed heller ikke på landsestimatet. Dette kræver, at der gennemføres
sensitivitetsanalyser på både NLES4-modellen og på opskalering af NLES4 udvaskningsberegningerne.
10
MOF, Alm.del - 2015-16 - Endeligt svar på spørgsmål 377: Spm. om offentliggørelse af kvælstofudvalgets rapport, så der kan komme offentlighed og debat om den, til miljø- og fødevareministeren
2.3 Sammenligning af NLES3 og NLES4
2.3.1 Udvikling af NLES
NLES er en forkortelse af Nitrate Leaching EStimator og er betegnelsen for en dansk, empirisk model, der er
baseret på statistisk behandling af målte data for udvaskning af nitrat fra landbrugsjord. Grundlaget for
NLES blev første gang beskrevet af Simmelsgaard (1991) i forbindelse med Handlingsplan for Bæredygtigt
Landbrug. Modellen blev siden genberegnet og udvidet (Simmelsgaard og Djurhuus, 1998; Simmelsgaard,
1998). Efter yderligere udbygning og modificering blev NLES1 i 2000 publiceret af Simmelsgaard et al.
(2000). En videreudvikling af NLES1 til NLES2 (Kristensen, 2002) blev hovedsagelig foretaget pga. opdatering
af beregning af vandbalancer (Plauborg et al., 2002). Efterfølgende blev NLES2 videreudviklet til NLES3 i
forbindelse med Vandmiljøplan II (Kristensen et al., 2003) og i 2008 blev NLES4 introduceret og beskrevet i
Kristensen et al. (2008).
De målte data, der indgår i NLES-versionerne, stammer dels fra markforsøg og drænvandsundersøgelser ved
det tidligere Jordbrugsvidenskabelige Fakultet, nu Institut for Agroøkologi, dels fra målinger på private
landbrugsbedrifter i Landovervågningsprogrammet (LOOP) under det tidligere Danmarks
Miljøundersøgelser, nu Institut for Bioscience. Begge institutter hører i dag under Aarhus Universitet.
I forsøg på at forbedre NLES-versionerne er datagrundlaget i tidens løb suppleret med nye observationer af
samme art som beskrevet ovenfor. Der indgår således 598, 596,1299 og 1467 observationer i henholdsvis
NLES1, NLES2, NLES3 og NLES4 (Simmelsgaard et al., 2000; Kristensen, 2002; Kristensen et al., 2003;
Kristensen et al., 2008).
2.3.2 Marginaludvaskning i NLES3 og NLES4
Ved marginaludvaskningen forstås den andel eller procentdel af kvælstof, der udvaskes ved tilførsel af en
given mængde ekstra kvælstof. Det er vigtigt at bemærke, at marginaludvaskningen ikke svarer til det
direkte forhold mellem kvælstoftilførsel og udvaskning, da dette forhold ikke inddrager den andel, der
udvaskes fra jordpuljen. Marginaludvaskningen er ikke en fast andel af den tilførte gødning, men afhænger
af bl.a. kvælstofniveauet for tilførsel af gødning. Desuden vil effekten være afhængig af jordtype,
afstrømning, afgrøde, forfrugt og andre kvælstofkilder end gødning. I Kristensen et al. (2008) er der
gennemført en sammenligning mellem NLES3 og NLES4. Heraf fremgår, at ved benyttelse af data fra LOOP
gav NLES4 mindre udvaskning end NLES3 i årene 1990 til ca. 1997, hvorimod udvaskningen ved anvendelse
af disse data var på samme niveau i de følgende år.
På baggrund af oplysninger om NLES3 i Kristensen et al. (2003) og oplysninger om NLES4 i Kristensen et al.
(2008) kan marginaludvaskningen beregnes for hver af modellerne i intervallet mellem f.eks. 100 – 200 kg
N/ha (Tabel 3). Det fremgår af Tabel 3, at marginaludvaskningen som simpelt gennemsnit for vårkorn på
sand og ler er 34 % for NLES3 og 19 % for NLES4. Det skal bemærkes, at ’Bar jord’ og ’Vinterkorn’ i Tabel 3
vedrører efterårsperioden efter høst af vårkornet. Den nugældende norm til vårbyg på forskellige jordtyper
varierer fra 114-133 kg N/ha (Anonym, 2015a), hvilket er i den nedre del af intervallet 100 – 200 kg N/ha.
Estimaterne i Tabel 3 vil derfor være lidt overestimerede i forhold til nugældende gødningspraksis.
Modelberegninger af marginaludvaskning med NLES3 og NLES4 for et kornrigt sædskifte viser for vinterkorn
omtrent samme store forskelle som for vårkorn i Tabel 3. Derimod udviser græs næsten ingen forskelle i
marginaludvaskning mellem de to modeller (Peter Sørensen, Institut for Agroøkologi, pers. medd.).
11
MOF, Alm.del - 2015-16 - Endeligt svar på spørgsmål 377: Spm. om offentliggørelse af kvælstofudvalgets rapport, så der kan komme offentlighed og debat om den, til miljø- og fødevareministeren
1590165_0012.png
Tabel 3. Gennemsnitlig marginaludvaskning (procent udvaskning for hvert kilo ekstra tilført kvælstof i
intervallet 100 – 200 kg N/ha) for vårbyg efterfulgt af henholdsvis bar jord og jord bevokset med vinterkorn i
det følgende efterår. Beregningerne er foretaget med hhv. NLES3 og NLES4.
NLES-model
NLES3
NLES4
Bevoksning efter vårkorn
Bar jord
Vinterkorn
Bar jord
Vinterkorn
Sand
41
40
32
22
Ler
27
27
15
12
Gennemsnit
34
34
24
17
Samlet gennemsnit (afrundet)
34
19
a
Aflæsning på Figur 2 i Kristensen et al. (2003).
b
Bestemt ud fra Figur 2 og Tabel ”Applied N-level, N spring application and predicted N leaching” i Appendix 1, side 23 i Kristensen
et al. (2008).
a
b
Kristensen et al. (2008) nævner de vigtigste ændringer, som er blevet foretaget i NLES4 i forhold til NLES3.
Hvilke ændringer, der har haft størst betydning for marginaludvaskningen er ikke beskrevet, men det
vurderes, at ændringer i effekt af afgrøder og forfrugter i NLES4 i forhold til tidligere NLES-modeller har
størst betydning for marginaludvaskningen. Af Kristensen et al. (2008) fremgår, at effekter af afgrøder og
forfrugter i NLES4 er delt op i effekter af sommerafgrøde og vinterafgrøde, hvor vinterafgrøden kan være en
efterafgrøde, flerårigt græs eller det kommende års sommerafgrøde, hvis denne er sået om efteråret (f.eks.
vinterhvede). Desuden er grupperingen af afgrøder ændret. En anden ændring i NLES4 i forhold til NLES3
består i, at afstrømningsperioden er blevet underopdelt i tre perioder, dvs. en sommerperiode (april-
august), en efterårsperiode (september-december) og en vinterperiode (januar-marts). Dette er sket for at
tage højde for, at der er forskellig effekt af afstrømning i de forskellige perioder (Kristensen et al., 2008).
Beregninger af marginaludvaskningen ved NLES3 og NLES4 på baggrund af tilført kvælstof med handels- og
husdyrgødning samt fra kvælstoffiksering viser, at marginaludvaskningen i NLES3 stemmer bedre overens
med målte data fra drænvandsundersøgelser ved Agervig og Sdr. Stenderup (referencer angivet i Petersen
og Djurhuus, 2004) end NLES4. I datagrundlaget bag NLES4 er der flere forsøg med varierende
kvælstofmængder end i NLES3, hvorfor NLES4 udvaskningen for dette større datasæt beregnes med større
sikkerhed end NLES3. Marginaludvaskningen, beregnet med NLES4, er desuden i bedre overensstemmelse
med resultater af nationale og internationale studier (se Afsnit 2.5).
2.3.3 Estimering af typetal for marginaludvaskning
Der er i nogle sammenhænge anvendt, hvad der kan betragtes som et typetal for marginaludvaskningen,
dvs. en fast andel, som udvaskes af hvert kilo kvælstof, der tilføres. Dette typetal har ofte været sat til 1/3,
altså 33 %. Typetallet relateres ofte til Petersen og Djurhuus (2004), som estimerede en
marginaludvaskning på 25-35 % for vårbyg i kornrige sædskifter, der er gødet omkring normalniveauet.
Marginaludvaskningen blev her estimeret for vedvarende ændringer i kvælstoftilførslen på middellangt sigt
(5-15 år) på baggrund af udvaskningsdata fra fem lysimeterforsøg og to markforsøg (et forsøg med
drænvandsundersøgelser og et forsøg med sugeceller). Der blev i Petersen og Djurhuus (2004) taget
udgangspunkt i dels den relative udvaskningsfunktion fra Simmelsgaard og Djurhuus (1998), som var
baseret på drænvandsundersøgelser, og dels i typetal for kvælstofudvaskningen fra kornafgrøder ved
normalgødskningsniveauet. De anvendte typetal for kvælstofudvaskning ved normal gødskning (ligeledes
baseret på Simmelsgaard og Djurhuus, 1998) er i Petersen og Djurhuus (2004) angivet til 68 og 55 kg
N/ha/år for ensidig vårbyg på henholdsvis sandjord (JB1-4) og lerjord (JB5-7), og normalgødskningsniveauet
12
MOF, Alm.del - 2015-16 - Endeligt svar på spørgsmål 377: Spm. om offentliggørelse af kvælstofudvalgets rapport, så der kan komme offentlighed og debat om den, til miljø- og fødevareministeren
1590165_0013.png
er angivet til 130 kg N/ha for vårbyg. Under de nuværende gødningsnormer er det udelukkende vårbyg på
lerjord (JB7-9) og vandet sandjord (JB1-4), der har en gødningsnorm på dette niveau, mens vårbyg på
uvandet sandjord (JB1- JB4) og sandblandet lerjord (JB5-6) har gødningsnormer på 114 -120 kg N/ha
(Anonym, 2015a). De nuværende normer for disse jordtyper ligger altså 10-16 kg N/ha under det
normalgødningsniveau, der indgik i Petersen og Djurhuus (2004), som pointerede, at marginaludvaskningen
vil være mindre ved lavere gødskningsniveauer.
Typetal for marginaludvaskning er hovedsageligt anvendt ved beregninger af effekt af en fremtidig
normreduktion eller ophævelse af en eksisterende normreduktion. Ligeledes har der været anvendt typetal
til estimering af effekter af fremtidige potentielle virkemidler samt til at fordele en modelberegnet
udvaskningsreduktion på enkeltkomponenter. For eksempel er der benyttet et estimat på 30 % ved en
normreduktion på 10 % i Petersen og Sørensen (2004), og i Schou et al. (2007) er der benyttet 30 % ved
beregning af effekt af virkemidler til realisering af EU's Vandrammedirektiv. Endelig er der benyttet 33 % i
Anonym (2011) til beregning af effekter af forskellige virkemidler i forbindelse med Grøn Vækst.
I landsdækkende opgørelser er udvaskningen generelt ikke beregnet med typetal men hovedsageligt
baseret på modelberegninger f.eks. med NLES eller Daisy (Hansen et al., 2012). Ved anvendelse af disse
modeller benyttes modellernes marginaludvaskning, som varierer i forhold til bl.a. klimaforhold, afgrøde og
jordtype. I Tabel 4 er vist en række publikationer med angivelse af, hvilke modeller eller typetal, der er
anvendt. I Blicher-Mathiesen et al. (2003) blev f.eks. benyttet en gennemsnitlig marginaludvaskning på 33 %
til evaluering af forskellige virkemidler i VMP II. Valget af 33 % blev begrundet i en samlet vurdering af
estimater og beregninger i Iversen et al. (1998), Petersen og Djurhuus (2004) samt beregninger med NLES
og SKEP-DAISY samt Daisy modelberegninger med data fra LOOP. Iversen et al. (1998) beregnede i
forbindelse med en vurdering af VMP II en marginaludvaskning på ca. 25 % på baggrund af beregninger med
forløberen til NLES (Simmelsgaard, 1991).
Tabel 4. Publikationer hvori der er foretaget prædiktioner af effekt af reduktioner i kvælstofgødning på
nitratudvaskningen fra rodzonen. Listen skal ikke betragtes som fuldstændig.
Publikation (reference)
Vandmiljøplan II. Faglig
vurdering (Iversen et al., 1998).
Vandmiljøplan II.
Midtvejsevaluering (Grant et al.,
2000).
Vandmiljøplan II
– slutevaluering (Grant og
Waagepetersen, 2003)
Vandmiljøplan II – slutevaluering
af de enkelte virkemidler
(Blicher-Mathiesen et al., 2003)
Muligheder for forbedret
kvælstofudnyttelse i
marken og for reduktion af
kvælstoftab (Petersen og
Sørensen, 2004)
Ved benyttelse af en ’forløber’ for NLES (Simmelsgaard, 1991) er marginaludvaskningen
estimeret til ca. 25 % til brug for beregning af reduktion i kvælstofudvaskning som følge af
nedsatte gødningsnormer.
Den empiriske model NLES1 (Model B, Simmelsgaard et al., 2000) er anvendt til prædiktion af
effekt af nedsat handelsgødningsforbrug på landsplan. Marginaludvaskningen estimeres af
modellen til 25 %.
Modelberegninger af kvælstofudvaskning på landsplan fra midt 1980’erne til 2002 ved
anvendelse af SKEP/DAISY, NLES3 og NLES3 baseret på LOOP. Reduktion i udvaskning af
kvælstof ved nedsat handelsgødningsforbrug fra 1998 til 2002 er fordelt ved benyttelse af 33
% marginaludvaskning.
Til vurdering af gødningsrelaterede tiltag er anvendt en marginaludvaskning på 33 %.
Beregning af effekt ved reduktion af kvælstofnorm. Der benyttes 30 % for de første 10 %
reduktion i kvælstofnormen i forhold til VMP II’s 90 %-norm og 27 % for yderligere 10%
reduktion.
13
MOF, Alm.del - 2015-16 - Endeligt svar på spørgsmål 377: Spm. om offentliggørelse af kvælstofudvalgets rapport, så der kan komme offentlighed og debat om den, til miljø- og fødevareministeren
1590165_0014.png
Virkemidler til
realisering af målene i EU's
Vandramme-direktiv. (Schou et
al., 2007).
Midtvejsevaluering af
Vandmiljøplan III.
(Waagepetersen et al., 2008)
Midtvejsevaluering af
Vandmiljøplan III. Hoved- og
baggrundsnotater (Børgesen et
al., 2009).
Baseline. Notat nr. 2 vedrørende
effekter af forskellige tiltag i
forbindelse med Grøn Vækst
(Anonym, 2011)
Virkemidler til N-reduktion –
potentialer og effekter
(Andersen et al., 2012)
Udviklingen i kvælstofudvaskning
og næringsstofoverskud fra
dansk landbrug for perioden
2007-2011 (Børgesen et al.,
2013)
Beregning af effekt ved reduktion af kvælstofnormen. Der benyttes en marginaludvaskning på
30 % for de første 10 % reduktion i normen i forhold til VMP II’s 90 %-norm og 27 % for
yderligere 10 % reduktion.
Beregning af udvaskningen for hvert af årene 2003-07 med SKEP/DAISY og NLES4.
Samme som i Midtvejsevaluering af Vandmiljøplan III (Waagepetersen et al., 2008). Flere
afsnit med forskellige forfattere, der alle antager 33 % som marginaludvaskning.
Den øgede udvaskning ved gødskning på økonomisk optimalt niveau er beregnet ud fra en
marginaludvaskning på 33 %.
Der benyttes en marginaludvaskning på 22 % og 32 % for henholdsvis ler og sand for
reduceret gødningsnorm udover 10 % til 20 %.
Modelberegninger foretaget på landsplan med SKEP/DAISY og NLES4. NLES4 er ligeledes
anvendt på data fra Landovervågningen (LOOP).
2.3.4 Ændring af typetallet for marginaludvaskning
Da typetal for marginaludvaskning er et resultat af afgrødefordeling, gødningsniveau, tidspunkt for
gødskning mm., som ændres over tid (bl.a. pga. lovgivning), må typetallet for marginaludvaskningen
nødvendigvis også ændre sig over tid. En vurdering af marginaludvaskning er en del af en igangværende
opgave om opdatering af NLES4 under Aftale mellem Aarhus Universitet og Fødevareministeriet om
udførelse af forskningsbaseret myndighedsbetjening m.v. ved DCA – Nationalt Center for Fødevarer og
Jordbrug 2015-2018 (Punkt FM-14 i Aftalens Bilag 2). I opdateringen indgår bl.a. et litteraturstudium til
vurdering af marginaludvaskningens størrelse under forskellige betingelser i både danske og udenlandske
forsøg.
Ud over opdatering af NLES4 er der igangsat et GUDP-projekt VIRKN (2014-2018), hvor
marginaludvaskningen i kornrige sædskifter skal bestemmes i markforsøg på to lokaliteter med forskellig
bevoksning om efteråret. Derudover er der netop indsendt en GUDP-ansøgning (GræsN), som indeholder
forsøg til bestemmelse af marginaludvaskning i grovfodersædskifter med kløvergræs. Denne ansøgning er
indsendt blandt andet i erkendelse af, at der også er behov for opdateret viden om marginaludvaskning i
grovfodersædskifter.
2.3.5 Forventninger til NLES5
Med en løbende ændring af dyrkningspraksis som følge af ændrede rammevilkår samt ny viden gennem
forskning er det afgørende, at det empiriske grundlag for udvaskningsmodellen NLES fortsat opdateres, så
modellen afspejler gældende praksis. Dette er gennem tiden sket med opdateringen af de forskellige
versioner af NLES. I forhold til den nuværende NLES4 vil NLES5 blive suppleret med nye data, der
repræsenterer nuværende dyrkningspraksis (se fodnote 1). Desuden gennemføres udvikling/kalibrering af
14
MOF, Alm.del - 2015-16 - Endeligt svar på spørgsmål 377: Spm. om offentliggørelse af kvælstofudvalgets rapport, så der kan komme offentlighed og debat om den, til miljø- og fødevareministeren
1590165_0015.png
delkomponenter i modellen. Herunder udvikles modellens marginaludvaskning på både kort og lang sigt for
både mineralsk- og husdyrgødning, hvor flere forsøg med varierende kvælstofgødningsniveau vil blive
inddraget. Hvorvidt der vil være behov for at ændre i modellens opbygning eller marginaludvaskning kan
ikke afklares, før den samlede analyse af modellen er gennemført.
2.4 Marginaludvaskning i Landovervågningen (LOOP) estimeret ved de
empiriske modeller NLES3 og NLES4
Aarhus Universitet har undersøgt marginaludvaskningen i de to empiriske modeller NLES3 og NLES4 ud fra
målinger i de 5 landovervågningsoplande, hvor landbrugspraksis kortlægges ud fra interviewdata.
Marginaludvaskningen er den andel af ændringer i kvælstoftilførslen til landbrugsafgrøder, der resulterer i
en ændret kvælstofudvaskning. Beregninger med NLES3 viser, at marginaludvaskningen i forhold til
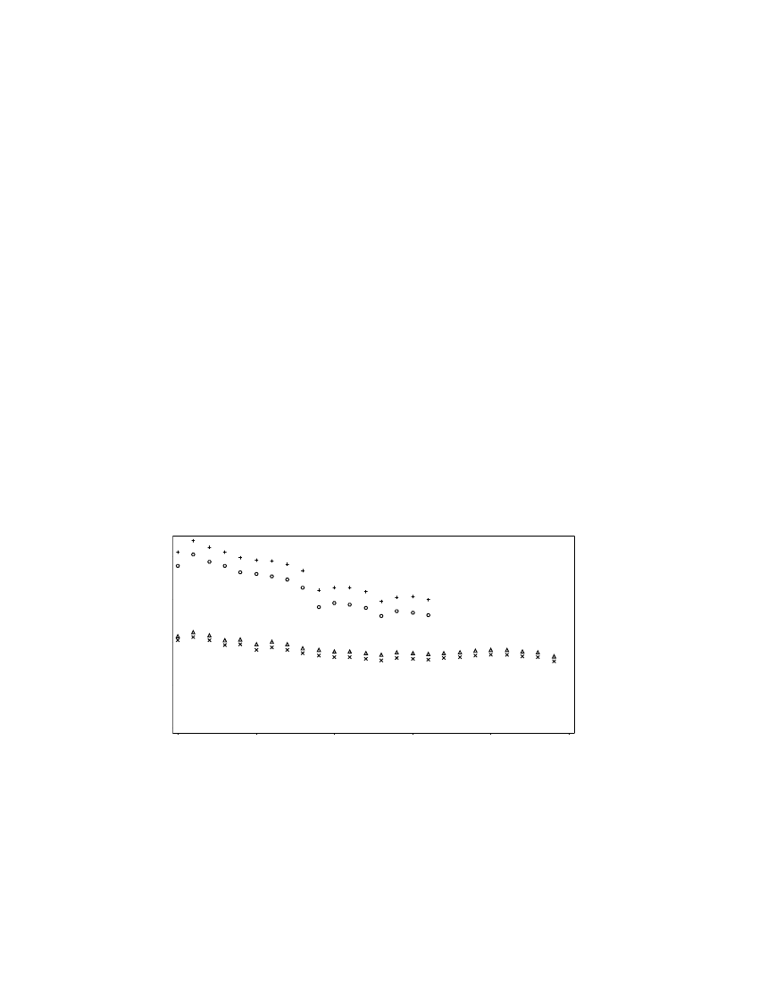
gødningsinput og landbrugspraksis er ændret fra omkring 40-44 % i 1991 til 26-30 % i 2006 (Figur 1, Tabel
5). NLES4 har en lavere marginaludvaskning, som er ændret fra 21-22 % i 1991 til 16-17 % i 2014. Forskellen
i de to modellers beregnede marginaludvaskning er antageligt et produkt af forskelligheder i de to
modellers struktur. Dette kommer bl.a. til udtryk i forhold til, hvordan forfrugt, sommer- og vinterafgrøder
defineres, samt at høstet kvælstof ikke indgår som en forklaringsvariabel i NLES4. Yderligere er
afstrømningen i NLES4 sæsonopdelt, hvor der i NLES3 benyttes den årlige afstrømning. De to modeller er
desuden baseret på forskellige afstrømningsberegninger, idet afstrømningen primært blev beregnet med
EVACROP i inputdata til NLES3, mens de seneste afstrømningsberegninger for alle målinger, som ligger til
grund for NLES4 er beregnet med Daisy.
Figur 1. Marginaludvaskning beregnet med NLES3 og NLES4 for det dyrkede areal i
Landovervågningsoplandene for perioden 1990-2006 (NLES3) og 1990-2014 (NLES4).
Signaturforklaringen angiver den anvendte model samt størrelsen af den justerede mængde tildelte
15
Marginaludvaskning
MOF, Alm.del - 2015-16 - Endeligt svar på spørgsmål 377: Spm. om offentliggørelse af kvælstofudvalgets rapport, så der kan komme offentlighed og debat om den, til miljø- og fødevareministeren
1590165_0016.png
gødning (kg N/ha/år).
Tabel 5. Marginaludvaskning for udvalgte år beregnet med NLES3 og NLES4 for det dyrkede areal i
Landovervågningsoplandene for perioden 1990-2006 (NLES3) og 1990-2014 (NLES4) ved to niveauer
af ændret tildeling af mineralsk gødning. Linjen efter 1998 angiver, at perioden herefter er med 10 %
normreduktion i udgangspunktet. Hvert opland vægter 1/5.
NLES3
1991
1998
2003
2006
2010
2014
-40 kg N/ha/år
0,40
0,33
0,26
0,26
-
-
+40 kg N/ha/år
0,44
0,37
0,30
0,30
-
-
-40 kg N/ha/år
0,21
0,18
0,16
0,16
0,17
0,16
NLES4
+40 kg N/ha/år
0,22
0,19
0,17
0,17
0,18
0,17
En analyse af hvordan de to modeller, NLES3 og NLES4, prædikterer den målte kvælstofudvaskning fra
jordvandsstationer i Landovervågningen viser, at både NLES3 og NLES4 nogenlunde er i stand til at beregne
et gennemsnitligt årligt udvaskningsniveau for den periode, de er sat op på (Figur 2).
150
NLES beregnet udvaskning
(kg N/ha/år)
125
100
75
50
25
0
0
25
50
75
y = 0,686x + 12,9
R² = 0,825
100
125
150
Målt udvaskning (kg N/ha/år)
NLES4 1991-2000
NLES3 1991-2000
y = 0,739x + 11,8
R² = 0,687
150
NLES beregnet udvaskning
(kg N/ha/år)
125
100
75
50
25
0
0
25
50
75
y = 0,798x + 7,0
R² = 0,902
y = 1,033x - 1,6
R² = 0,908
100
125
150
Målt udvaskning (kg N/ha/år)
NLES4 1993-2000
NLES3 1993-2000
Figur 2. Sammenhæng mellem den gennemsnitlige årlige målte og NLES beregnede udvaskning for perioden
1991-2000 (tv.) og for perioden 1993-2000 (th.). Hvert punkt angiver den gennemsnitlige årlige udvaskning
for 29 jordvandsstationer.
Begge modeller er desuden i stand til at eftervise trend i den årlige udvikling i den målte udvaskning for den
periode, de er sat op på, idet der for den viste periode ikke kan påvises særlig udvikling i residualer mellem
målt og prædikteret udvaskning, når de to første år 1991 og 1992, hvor den målte udvaskning var særlig høj,
ikke medtages i analysen (Figur 3).
16
MOF, Alm.del - 2015-16 - Endeligt svar på spørgsmål 377: Spm. om offentliggørelse af kvælstofudvalgets rapport, så der kan komme offentlighed og debat om den, til miljø- og fødevareministeren
1590165_0017.png
Y = -1,489x + 2980
Y= -1,493x + 2980
NLES3
NLES4
Figur 3. Residualplot for afvigelsen mellem målte og prædikterede værdier af udvaskning (kg N/ha/år) for
NLES3 (data fra 29 jordvandsstationer i perioden 1993-2003) og NLES4 (data fra 29 jordvandsstationer i
perioden 1993-2004).
Begge modeller har en tendens til at prædiktere for højt, når de målte udvaskninger er lave, mens
udvaskning prædikteres for lavt ved høje målte observationer (Figur 4). Denne tendens er almindeligt kendt
for empiriske modeller. Tendensen er mest udpræget for NLES4.
Y = 0,59x + 26,8
Y= 0,45x + 33,9
NLES3
NLES4
Figur 4. Sammenhæng mellem målte (x-akse) og prædikterede (y-akse) værdier af udvaskning (kg N/ha/år)
for NLES3 (data fra 29 jordvandsstationer i perioden 1991-2000) og NLES4 (data fra 29 jordvandsstationer i
perioden 1991-2004).
Det konkluderes, at begge modeller viser relativ god overensstemmelse med målinger i LOOP-oplandene
men prædikterer for høj udvaskning, når de målte udvaskninger er lave og prædikterer for lav udvaskning
ved høje målte observationer. Hvor det er muligt at sammenligne de to modeller, viser NLES3 generelt
højere marginaludvaskning end NLES4 ved den pågældende landbrugspraksis. Det har ikke været muligt at
foretage NLES3 beregninger ved den nuværende landbrugspraksis.
17
MOF, Alm.del - 2015-16 - Endeligt svar på spørgsmål 377: Spm. om offentliggørelse af kvælstofudvalgets rapport, så der kan komme offentlighed og debat om den, til miljø- og fødevareministeren
2.5 Perspektivering af størrelse på marginaludvaskningen
Generelt vil marginaludvaskningen afhænge af afgrøde, jordtype og afstrømning, og den vil generelt stige
med stigende gødningsniveau. De her gennemførte beregninger, som resulterede i en
marginaludvaskningen på ca. 1/5 er baseret på et kvælstofniveau 16 % under det økonomisk optimale i
2011, mens marginaludvaskningen ved økonomisk optimum er lidt højere (se Afsnit 2.2).
Gødningsniveauets betydning for udvaskning af kvælstof fremgår f.eks. af Wachendorf et al. (2004), som i
nordtyske forsøg med majs på grovsandet jord (JB1) fandt stor effekt på udvaskningen ved øget tildeling af
handels- og husdyrgødning. I forsøget var der desuden en markant øget effekt ved overgødskning.
Marginaludvaskningen blev dog ikke særskilt opgjort i forsøget.
Under danske forhold har Manevski et al. (2015) belyst effekten af forskellige gødningsniveauer for
grovsandet jord (JB1) og fin lerblandet sandjord (JB4) ved dyrkning af majs med efterafgrøde.
Marginaludvaskningen var høj ved gødningsniveau over gældende kvælstofnormen, og der blev fundet
store vekselvirkninger mellem forfrugt, efterafgrøder og udvaskning. Marginaludvaskningen var mindre end
20 % ved gødningsniveau under gældende kvælstofnormer. For ubevokset jord efter majs på specielt JB1
ved høje gødningsniveauer (150 % af kvælstofnormen) blev der fundet marginaludvaskninger på mere end
30 %.
Engström et al. (2010) undersøgte udvaskningen fra kornsædskifter ved varierende kvælstofniveauer under
sydsvenske forhold. Marginaludvaskningen blev estimeret til at ligge mellem 0 og 20 % ved en
kvælstoftilførsel mellem 0 og fuld gødningstildeling. Ligeledes under svenske forhold fandt Dehlin og
Stenberg (2014), at der ved gødskning under eller ved økonomisk optimum ikke var statistisk sikker forskel
på kvælstofudvaskningen. Ved tilførsel af kvælstof over det økonomisk optimale steg marginaludvaskningen
eksponentielt.
Wachendorf et al. (2004) har i en sammenstilling af forsøg ved varierende kvælstoftilførsel til græsmarker
opstillet en generel sammenhæng (empirisk baseret) mellem tilførsel af både handels- og husdyrgødning for
forskellige afgræsningssystemer. Marginaludvaskningen steg fra 10 % ved tilførsel af 100 kg N/ha til 23 %
ved tilførsel af 400 kg N/ha til afgræsningsmarker. Disse marker har pga. den inhomogene fordeling af afsat
urin og gødningsklatter generelt større marginaludvaskning med græsmarker til slæt. En lavere effekt af
slætgræs blev således også fundet i denne undersøgelse, hvor marginaludvaskningen var mindre end 5 %
ved tilførsel af kvælstof mellem 150 og 400 kg N/ha.
I nye danske opgørelser af udvaskningen fra længerevarende forsøg (10 års observationer) under konstante
kvælstofniveauer for kornsædskifter (både konventionelle og økologiske) er marginaludvaskningen bestemt
på baggrund af tilførsel af gødning og afgrøderester (Pandey et al., 2015). I analysen er kvælstofniveauet
defineret som tilførsel af kvælstof i både gødning og afgrøderester, da disse afgrøderester kan være
afgørende for udvaskningen i økologiske systemer. En separat statistisk analyse viste en lidt højere
marginaludvaskning af kvælstof tilført med gødning sammenlignet med planterester. I forsøget varierede
marginaludvaskningen fra 1 til 27 %. Størst marginaludvaskning blev fundet på grovsandet jord (JB1,
Jyndevad) og mindst på lerjord (JB6, Flakkebjerg). Marginaludvaskningen fra lerblandet sandjord (JB4,
Foulum) blev bestemt til 8 %.
18
MOF, Alm.del - 2015-16 - Endeligt svar på spørgsmål 377: Spm. om offentliggørelse af kvælstofudvalgets rapport, så der kan komme offentlighed og debat om den, til miljø- og fødevareministeren
Der foreligger relativt få internationale forsøg, der ud fra stigende tilførsel af kvælstof i handelsgødning
direkte belyser marginaludvaskningen fra forskellige afgrødetyper. Ud fra det ovenstående vurderes det
imidlertid, at niveauet for marginaludvaskning beregnet med NLES4 er i overensstemmelse med det niveau,
der er fundet i nationale og internationale studier, hvor der er gødet under økonomisk optimum.
3. Tilbagerulning af obligatoriske efterafgrøder
Effekten af tilbagerulning af obligatoriske efterafgrøder er beregnet på baggrund af det indberettede areal
med obligatoriske efterafgrøder i gødningsplanerne til NAER i 2011. Det samlede krav til obligatoriske
efterafgrøder var her opgjort til ca. 239.000 ha. Der er i beregningerne tilbagerullet ca. 231.000 ha svarende
til 97 % af det samlede krav. Som anført i Børgesen et al. (2013) er der en forskel mellem oplyste
alternativer til obligatoriske efterafgrøder og det areal, disse alternativer substituerer. Forskellen på ca.
7.000 ha indgår ikke i beregningen af tilbagerulningen af obligatoriske efterafgrøder.
Tilbagerulning af alternativer til obligatoriske efterafgrøder såsom mellemafgrøder, flerårig energipil og
separation af husdyrgødning, indregnes som for obligatoriske efterafgrøder. Alternativet ”Overdragelse af
efterafgrøder til anden virksomhed” indgår ved, at modtageren af efterafgrøder har haft flere efterafgrøder
end de obligatoriske.
Ændringen i havbelastningen er opgjort efter samme principper som for tilbagerulning af normreduktionen
(se Afsnit 2). Således er der taget højde for, hvor efterafgrøderne er placeret i landet (id 15 oplandene) og
effekten på ændringen af havbelastningen er opgjort her ud fra. Som det også er anført for tilbagerulning af
normreduktion, er effekten af tilbagerulning opdelt på kystdeloplande behæftet med betydelig større
usikkerhed end på landsplan, hvilket yderligere forstærkes af, at perkolation og jordtype gør
efterafgrødeeffekten mere usikker på lerjord end på sandjord (Hansen og Thomsen, 2014).
Effekten af tilbagerulning af obligatoriske efterafgrøder er opgjort ved at anvende den revurderede effekt
for efterafgrøder fra Virkemiddelkataloget (Hansen og Thomsen, 2014). For jordtyperne JB1-4 (mindre end
10 % ler i pløjelaget) er sandjordsestimaterne anvendt (32 kg N/ha for <0.8 DE/ha og 45 kg N/ha for
bedrifter >0.8 DE/ha). For jorde med mere end 10 % ler i pløjelaget er lerjordsestimaterne anvendt (12 kg
N/ha for <0.8 DE/ha og 24 kg N/ha for bedrifter >0.8 DE/ha). Oplysning om hvorvidt bedriften udbringer
over 0,8 DE/ha fremgår af afkrydsningsfelt i gødningsregnskabet. Bedriften er klassificeret som lerjords-
eller sandjordsbedrift ud fra den dominerende jordtype på bedriften.
Det skal bemærkes, at det ved at anvende de nævnte typetal antages, at de obligatoriske efterafgrøder
tilbagerulles til ubearbejdet, hovedsageligt ikke-bevokset jord. Der er således tale om et øvre estimat for
effekt af tilbagerulningen. Såfremt der i stedet tilbagerulles til jord med ukrudt og spildfrø eller til en
vinterafgrøde, vil effekten af tilbagerulningen af efterafgrøderne være mindre som vist i f.eks. Askegaard et
al. (2011). Ligeledes er det en forudsætning for beregningerne, at al dyrkning af obligatoriske efterafgrøder
ophører ved tilbagerulning af kravet om obligatoriske efterafgrøder.
Den udvaskningsreducerende effekt af efterafgrøder er baseret på forsøg med varierende kvælstoftildeling i
handels- og husdyrgødning (Hansen og Thomsen, 2014). Efterafgrøder vil ofte have kapacitet til at øge
kvælstofoptaget ved øget kvælstoftilgængelighed i jorden, og med den usikkerhed der er forbundet med
effekten i øvrigt, forventes deres udvaskningsreducerende effekt at være gældende både med og uden
19
MOF, Alm.del - 2015-16 - Endeligt svar på spørgsmål 377: Spm. om offentliggørelse af kvælstofudvalgets rapport, så der kan komme offentlighed og debat om den, til miljø- og fødevareministeren
1590165_0020.png
forudgående normreduktion. For arealer med efterafgrøder skal der i gødningsregnskabet indregnes en
eftervirkning dvs. krav om reduktion i gødningstilførslen det efterfølgende år svarende til 17 (<0,8 DE/ha)
eller 25 kg N/ha (>0,8 DE/ha) (Anonym, 2015a). Denne effekt indgår implicit i typetallene for
udvaskningsreduktion, da det er forudsætningen for typetallenes størrelse.
Beregninger af tilbagerulning af obligatoriske efterafgrøder viser en maksimal forøgelse af udvaskningen fra
rodzonen på ca. 7.900 t N svarende til en gennemsnitlig ændring i rodzoneudvaskningen på 2,9 kg N/ha
(Tabel 6). Effekten på havbelastningen udgør ca. 2.200 t N svarende til en ændring på ca. 0,8 kg N/ha.
Tabel 6. Potentiel forøget udvaskning fra rodzonen og udledning til havmiljøet ved tilbagerulning af
obligatoriske efterafgrøder beregnet vha. typetal (Hansen og Thomsen, 2014). Det er forudsat i
beregningerne, at al dyrkning af obligatoriske efterafgrøder ophører og tilbagerulles til sort jord.
Forøget udvaskning
fra rodzonen
(1.000 t N)
a
Forøget udvaskning
fra rodzonen
(kg N/ha)
7,9
2,9
Beregnet efter Højberg et al. (2015).
Forøget
udledning til
havmiljøet
a
(1.000 t N)
2,2
Forøget
udledning til
havmiljøet
a
(kg N/ha)
0,8
Det er vanskeligt at vurdere, i hvor stor udstrækning efterafgrøder stadig vil blive dyrket efter en
tilbagerulning af de obligatoriske efterafgrøder, idet dette bl.a. kan afhænge af den enkelte landmands
erfaringer med efterafgrøder samt andre incitamenter til dyrkning af efterafgrøder. Indførelsen af
Miljøfokusområder (MFO, Anonym, 2015b) på 5 % af omdriftsarealet fra 2015 kan have betydelig
indflydelse på, hvor mange efterafgrøder, der vil blive dyrket fremover, hvis reglerne for fremtidige MFO
fortsat vil inkludere de nuværende efterafgrøder. Som reglerne er nu, kan efterafgrøder og græsudlæg
benyttes til at opfylde kravet om MFO. Derudover kan kravet opfyldes af randzoner og 2-m-bræmmer, GLM-
landskabselementer samt brak og lavskov. De forskellige typer MFO vægtes dog forskelligt. For eksempel
vægtes efterafgrøder og græsudlæg med en faktor 0,3, mens brak vægtes med en faktor 1,0 og randzoner
og 2 m-bræmmer med en faktor 1,5. Det betyder for en bedrift med 100 ha omdriftsareal, at kravet om
MFO f.eks. kan opfyldes af 3,3 ha randzone, 5 ha brak eller 16,6 ha efterafgrøder. De nuværende krav til
obligatoriske efterafgrøder er på hhv. 10 og 14 % af efterafgrødegrundarealet (Anonym, 2015a), så hvis
hovedparten af landmændene vælger at opfylde MFO-kravet med efterafgrøder, kan den lave vægtning
betyde, at arealet med efterafgrøder forbliver uforandet selv efter en tilbagerulning. En sådan situation vil
betyde, at effekten af tilbagerulning af efterafgrøder alene ville svare til den øgede udvaskning, der
forventes ud fra den større mængde kvælstofgødning, der må tilføres, da MFO ikke har nogen eftervirkning.
Eftervirkningen på 17 (<0,8 DE/ha) og 25 kg N/ha (>0,8 DE/ha) vil med de her beregnede 231.000 ha
efterafgrøder, fordelt med 33 % under og 67 % over 0,8 DE/ha (Børgesen et al., 2013), svare til ca. 5.000 t N
i øget kvælstoftilførsel. Ved en marginaludvaskning på 18 %, som beregnet af NLES ved tilbagerulning af
normreduktionen, ville dette give anledning til en forøget udvaskning på 900 t N fra rodzonen.
Hvilken type MFO, der vælges på den enkelte ejendom, vil afhænge af ejendommens jordtyper,
arrondering, økonomiske beregninger og den enkelt landmands erfaringer med efterafgrøder - herunder
evt. en frygt for ikke at kunne etablere MFO-efterafgrøder, således at de fremstår som veletablerede og
dækkende på arealet, hvilket er et krav for godkendelse. Opnåelse af en veletableret efterafgrøde kan være
afhængig af gunstige vejrforhold. Anonym (2015b) gør desuden opmærksom på, at det kan være
20
MOF, Alm.del - 2015-16 - Endeligt svar på spørgsmål 377: Spm. om offentliggørelse af kvælstofudvalgets rapport, så der kan komme offentlighed og debat om den, til miljø- og fødevareministeren
problematisk at opnå en dækkende efterafgrøde allerede i september-oktober specielt i sent høstede
afgrøder som f.eks. majs.
4. Tilbagerulning af forbud mod jordbearbejdning i efteråret
Beregning af effekten af tilbagerulning af forbud mod jordbearbejdning i efteråret indbefatter ikke
tilbagerulning af forbud mod omlægning af fodergræs. Effekten er beregnet på baggrund af de opgivne
afgrøder indberettet til NAER i forbindelse med enkeltbetalingsordningen for årene 2010 og 2011.
Beregningerne vedrører således det areal, hvor regelsættet omkring forbud mod jordbearbejdning har
været aktuelt i efteråret 2010 til foråret 2011.
Forbud mod jordbearbejdning betyder generelt, at hvis det planlægges at så en vårafgrøde på en mark, må
der ikke jordbearbejdes fra høst af afgrøden dyrket året før (her 2010) og indtil den 1. november på ler- og
humusjord (JB5-11) og indtil den 1. februar på sandjord (JB1-4). Arealer, der er autoriseret til økologisk
produktion, er ikke omfattet af forbuddet. Til forbuddet er derudover knyttet en række undtagelser, som
beskrives nedenfor. Hvor forbuddet gælder, må der nedvisnes spildfrø og ukrudt fra 1. oktober. Effekten af
forbuddet er under de givne betingelser vurderet til at reducere udvaskningen med 10 kg N/ha (Hansen et
al., 2014) på baggrund af Hansen og Thomsen (2013).
I de foretagne beregninger er der taget udgangspunkt i den enkelte konventionelle bedrifts markarealer i
2010 og 2011 samt arealet med obligatoriske efterafgrøder på disse i 2010. Beregningen af arealet, hvor
forbuddet gælder, er vist i Tabel 7. I beregningen indgår arealer med de vårsåede afgrøder i 2011, som
fremgår af Tabel 8, men disse medregnes kun, såfremt afgrøden i 2010 (forfrugten) ikke er en af de
undtagelser, der indgår i Tabel 9. Arealet med vårafgrøder (Tabel 8) minus undtagelser (Tabel 9) kaldes i det
efterfølgende ’bruttoareal’. Undtagelserne omfatter gartneriafgrøder, flerårige vedplanter, kartofler, roer,
kolbe- og kernemajs, samt arealer, der er omfattet af forbud mod omlægning af fodergræs (Anonym,
2015a). Helsæd er medtaget som undtagelse i Tabel 9, da det formodes, at der dyrkes udlæg af græs forud
for vårafgrøden 2011.
For 15 % af de vårsåede arealer i 2011 (Tabel 7) var det ikke muligt at bestemme, om der kunne foretages
jordbearbejdning i efteråret 2010. Arealet af undtagelser er derfor forhøjet med et areal svarende til samme
fordeling af undtagelser som fundet på de 85 % af arealet, hvor der forelå oplysning om afgrøden i både
2010 og 2011.
Ud over arealer med afgrøder, der er undtaget fra forbuddet på grund af forfrugten (Tabel 9), er arealer
med efterafgrøder i 2010 undtaget, da disse er omfattet af et andet regelsæt omkring jordbearbejdning
(Anonym, 2015a). Areal med udlagte efterafgrøder er kun angivet på bedriftsniveau og kan derfor ikke
direkte relateres til den enkelte mark. Det etablerede efterafgrødeareal (minus arealet der udgøres af
alternativer til efterafgrøder) på den enkelte bedrift er derfor trukket fra det beregnede bruttoareal på
denne (resultatet benævnes herefter nettoareal). Hvis efterafgrødearealet var større end det beregnede
bruttoareal, er nettoarealet sat til 0. Arealer, hvorpå der ifølge skriftlig aftale med en offentlig myndighed
ikke må anvendes sprøjtemidler, er undtaget af forbuddet, men det har i beregningerne ikke været muligt at
se bort fra disse arealer.
21
MOF, Alm.del - 2015-16 - Endeligt svar på spørgsmål 377: Spm. om offentliggørelse af kvælstofudvalgets rapport, så der kan komme offentlighed og debat om den, til miljø- og fødevareministeren
1590165_0022.png
For bedrifter med marker i flere hovedoplande er det samlede areal med forbud mod jordbearbejdning
fordelt relativt på hovedoplande i forhold til, hvor stort et markareal bedriften har i det enkelte
hovedopland. Som omtalt for tilbagerulning af normreduktion og obligatoriske efterafgrøder, er effekten af
tilbagerulning af forbud mod jordbearbejdning behæftet med større usikkerhed på kystdeloplandene end
på landsplan. Det skyldes bl.a., at der alene er taget udgangspunkt i afgrødefordelingen i et enkelt
dyrkningsår.
Ved en tilbagerulning af hele nettoarealet er der ud fra antagelserne omkring virkningen på 10 kg N/ha
beregnet en øvre effekt på 5.000 t N ud af rodzonen svarende til 1,8 kg N/ha i rodzonen og en effekt ud i
havet på 1.400 tons N svarende til 0,5 kg N/ha (Tabel 7). Af dette areal forventes kun en fraktion at ville
blive jordbearbejdet før de nugældende tidsfrister. I Børgesen et al. (2013) er det ud fra en
interviewundersøgelse i seks LOOP-oplande opgjort, hvor stort et areal der i 2008-11, dvs. før forbuddets
indførelse, blev bearbejdet før de nuværende tidsfrister. På baggrund af interviewundersøgelsen blev
arealet beregnet til 14 % af det potentielle areal før forårssåede afgrøder. Ved anvendelse af samme
fraktion kan det estimeres, at tilbagerulning af forbud mod jordbearbejdning vil øge udvaskningen fra
rodzonen med 1.200 tons N (Tabel 7).
Det er usikkert, hvorvidt antagelserne for 2008-11 gælder under fremtidige rammebetingelser. En tidlig
jordbearbejdning kan være ønskelig ud fra et behov for ikke-kemisk ukrudtsbekæmpelse, mens en sen
jordbearbejdning kan mindske risikoen for jordfygning på lette jorde. Ligeledes vil det arealmæssigt spille
ind, i hvor høj grad MFO dækkes af efterafgrøder, idet et mindre areal med efterafgrøder vil øge det areal,
der kan jordbearbejdes efter høst.
Tabel 7. Samlet konventionelt areal i 2011, hvor virkemidlet forbud mod jordbearbejdning i efteråret er
beregnet til at have været gældende i 2010-2011, samt potentielt øget udvaskning fra rodzonen og
udledning til havmiljøet ved tilbagerulning. Beregningerne har taget udgangspunkt i den enkelte bedrift og
dens geografiske placering og er beregnet med typetal (Hansen et al., 2014). Beregningerne er gennemført
dels under forudsætning om, at alle arealer, hvor forbuddet har været gældende, vil blive jordbearbejdet
efter høst efter en tilbagerulning dels ud fra Børgesen et al. (2013).
Konventionelt
areal
(1.000 ha)
Vårsåede afgrøder fra Tabel 8
Fradrag pga. undtagelser i Tabel 9
Bruttoareal
Fradrag for udlagte efterafgrøder
a
Potentielt øget
udvaskning
(1.000 t N)
Potentielt øget
udvaskning
(kg N/ha)
799
-122
677
-182
495
-10
485
5,0
c
b
Nettoareal omfattet af forbud mod jordbearbejdning
Heraf uden stedfæstelse til vandopland
Nettoareal i udtræk fordelt på vandoplande
Maksimal forøget udvaskning fra rodzonen
Forventet forøget udvaskning fra rodzonen
d
1,8
0,4
0,1
1,2
Forventet forøget udledning til havmiljøet
0,3
a
Efterafgrøder indbefatter kun de udlagte arealer (se forklaring i teksten).
b
Arealer, som ikke kan knyttes til et hovedopland f.eks. på grund af manglende oplysninger.
c
Udvaskning fra arealer der forventes at tilbagerulles til efterårsjordbearbejdning (Børgesen et al., 2013).
d
Beregnet efter Højberg et al. (2015).
22
MOF, Alm.del - 2015-16 - Endeligt svar på spørgsmål 377: Spm. om offentliggørelse af kvælstofudvalgets rapport, så der kan komme offentlighed og debat om den, til miljø- og fødevareministeren
1590165_0023.png
Tabel 8. Areal af vårsåede afgrøder (ha) i 2011 som indberettet i forbindelse med enkeltbetalingsordningen.
Type
Afgrødekode
Afgrøde
Konventionel
460.280
10.325
31.584
265
10.511
2.554
243
515.762
21 Vårraps
23 Rybs
24 Solsikke
25 Sojabønner
180 Gul sennep
181 Anden oliefrøart
Bælgsæd
30 Ærter
31 Hestebønner
32 Sødlupin Ikke bitterlupin.
35 Flerårig bælgsæd
36 Anden bælgsæd til modenhed
215 Ærtehelsæd
Kartofler
151 Stivelseskartofler
153 Kartofler, andre
Fabriksproduktion
160 Roer til fabrik
161 Cikorierødder
162 Andre industriafgrøder/rodfrugter
Helsæd og grønkorn
210 Vårbyg, helsæd
211 Vårhvede, helsæd
212 Havre, helsæd
213 Blandkorn, vårsået, helsæd
214 Korn+bælgsæd, helsæd max 50 % bælgsæd
216 Silomajs
230 Vårkorn, grønkorn
234 Korn+bælgsæd, grønkorn max 50 % bælgsæd
Andre foderafgrøder
280 Fodersukkerroer
281 Kålroer Turnips, kålrabi
282 Fodermarvkål
283 Fodergulerødder
Øvrige
3.946
10
37
2
37
4
0
0
3.983
13
38
2
10.626
58
259
380
3.992
169.704
20.490
1.138
1.701
0
113
72
4.470
6.112
2.402
498
12.327
58
372
452
8.462
175.816
22.892
1.636
39.953
19
2
0
0
4
39.953
19
6
19.413
3.487
58
9
19.472
3.496
4.431
684
111
0
22
2.292
1.365
762
347
0
71
2.279
5.796
1.445
458
0
94
4.571
1.826
6
52
10
260
128
Økologisk
12.612
6.164
10.059
3.855
39
653
4.063
37.445
27
0
3
2
14
65
I alt
472.892
16.489
41.643
4.120
10.550
3.207
4.306
553.207
1.853
6
55
12
274
193
Vårsæd til modenhed
1 Vårbyg
2 Vårhvede
3 Havre
4 Andre kornarter, vårsået
5 Majs til høst ved modenhed
6 Vårhvede, brødhvede
7 Korn+bælgsæd, vårsået maks 50 % bælgsæd
Oliefrø m.v.
23
MOF, Alm.del - 2015-16 - Endeligt svar på spørgsmål 377: Spm. om offentliggørelse af kvælstofudvalgets rapport, så der kan komme offentlighed og debat om den, til miljø- og fødevareministeren
1590165_0024.png
Type
Afgrødekode
Afgrøde
Konventionel
19
0
4
0
90
18
1
799.232
Økologisk
4
20
11
1
8
15
24
57.945
I alt
24
20
15
1
98
34
25
857.177
430 Bladpersille
448 Medicinplanter, en- og toårige
449 Medicinplanter, stauder og vedpanter
510 Melon
511 Græskar
40 Oliehør. Alle former for hør undtagen spindhør
42 Hamp
I alt
24
MOF, Alm.del - 2015-16 - Endeligt svar på spørgsmål 377: Spm. om offentliggørelse af kvælstofudvalgets rapport, så der kan komme offentlighed og debat om den, til miljø- og fødevareministeren
1590165_0025.png
Tabel 9. Afgrøder der ved dyrkning i 2010 medfører, at jordbearbejdning før den vårsåede afgrøde i 2011
ikke er omfattet af forbud mod jordbearbejdning (Anonym, 2015a).
Årsag til
undtagelse
Afgrødekode
Afgrøde
Flerårige vedplanter
311 Skovrejsning på tidligere landbrugsjord 1
520 Kirsebær og blomme uden undervækst af græs
521 Kirsebær og blomme med undervækst af græs
522 Blomme, uden undervækst
523 Blomme, undervækst
526 Hyld
527 Hassel
528 Æble
529 Pærer
530 Druer
531 Anden træfrugt
533 Rønnebær
534 Hyben
536 Spisedruer
539 Blandet støtteberettiget frugt
580 Skovdrift, alm.
581 Nyplantning i skov med træhøjde
582 Skovrejsning på tidligere landbrugsjord
583 Juletræer
584 Juletræer i fredskov
586 Skovrejsning på tidligere landbrugsjord 2
587 Skovrejsning på tidligere landbrugsjord 3
588 Statslig skovrejsning
589 Bæredygtig skovdrift
591 Lavskov
592 Pil
593 Poppel
594 El
Fodergræs omfattet af andet regelsæt
173 Kløver til slæt
255 Perm. græs under 50 % kløver omlagt mindst hvert 5. år
256 Perm. græs over 50 % kløver omlagt mindst hvert 5. år
257 Perm. græs uden kløver omlagt mindst hvert 5. år
258 Perm. græs, ø-støtte
260 Kløver- og lucernegræs under 50 % kløver (omdrift)
261 Kløvergræs over 50 % kløver (omdrift)
262 Lucerne og lucernegræs m. over 50 % lucerne (omdrift)
263 Græs uden kløver (omdrift)
Helsæd
210 Vårbyg, helsæd
211 Vårhvede, helsæd
25
MOF, Alm.del - 2015-16 - Endeligt svar på spørgsmål 377: Spm. om offentliggørelse af kvælstofudvalgets rapport, så der kan komme offentlighed og debat om den, til miljø- og fødevareministeren
1590165_0026.png
Årsag til
undtagelse
Afgrødekode
Afgrøde
212 Havre, helsæd
213 Blandkorn, vårsået, helsæd
214 Korn+bælgsæd, helsæd max 50 % bælgsæd
220 Vinterbyg, helsæd
221 Vinterhvede, helsæd
222 Vinterrug, helsæd
223 Triticale, helsæd
224 Blandkorn, efterårssået, helsæd
Kartofler
150 Læggekartofler
151 Stivelseskartofler
152 Spisekartofler
153 Kartofler, andre
Kolbe- og kernemajs
5 Majs til høst ved modenhed
Roer
160 Roer til fabrik
280 Fodersukkerroer
281 Kålroer Turnips, kålrabi
Gatneriafgrøde
122 Kommenfrø
123 Valmuefrø
124 Spinatfrø
125 Bederoerfrø
126 Andet markfrø til udsæd
400 Asier
401 Asparges
402 Bladselleri
403 Blomkål
404 Broccoli
405 Courgette, squash
406 Grønkål
407 Gulerod
408 Hvidkål
409 Kinakål
410 Knoldselleri
411 Løg
412 Pastinak
413 Rodpersille
415 Porre
416 Rosenkål
417 Rødbede
418 Rødkål
420 Salat
26
MOF, Alm.del - 2015-16 - Endeligt svar på spørgsmål 377: Spm. om offentliggørelse af kvælstofudvalgets rapport, så der kan komme offentlighed og debat om den, til miljø- og fødevareministeren
1590165_0027.png
Årsag til
undtagelse
Afgrødekode
Afgrøde
421 Savoykål, spidskål
422 Spinat
423 Sukkermajs
424 Ærter, konsum
429 Jordskok, konsum
431 Purløg
432 Krydderurter, andre
433 Krydderurt
450 Grøntsager, andre
501 Stauder
503 En- og toårige planter
513 Jordbær
544 Snitblomster og snitgrønt
651 Dildfrø
652 Kinesisk kålfrø
653 Karsefrø
655 Radisfrø
656 Bladbedefrø, rødbedefrø
657 Grønkålfrø
658 Gulerodsfrø
659 Kålfrø (hvid- og rødkål)
660 Persillefrø
661 Kørvelfrø
662 Majroefrø
664 Skorsonerrodfrø
665 Havrerodfrø
666 Purløgfrø
667 Timianfrø
668 Blomsterfrø
669 Andet havefrø
27
MOF, Alm.del - 2015-16 - Endeligt svar på spørgsmål 377: Spm. om offentliggørelse af kvælstofudvalgets rapport, så der kan komme offentlighed og debat om den, til miljø- og fødevareministeren
5. Referencer
Andersen, H.A., Grant, R., Blicher-Mathiesen, G., Jensen, P.N., Vinther, F,P., Sørensen, P., Hansen, E.M.,
Thomsen, I.K., Jørgensen, U., Jacobsen, B. 2012. Virkemidler til N-reduktion - potentialer og
effekter. Notat fra DCE - Nationalt Center for Miljø og Energi 27. februar 2012. 35
pp.http://dca.au.dk/fileadmin/DJF/Nyheder_nov_2011/Virkemidler_til_N_reduktion___potentiale
r_og_effekter.pdf
Anonym 2011. Bidragsydere: Børgesen, C.D., Grant, R., Gyldenkærne, S., Jensen, P.N., Hansen, E.M.,
Jørgensen, U., Olesen, J.E., Petersen, B.M., Rubæk, G.H., Sørensen, P., Vinther, F.P. Notat nr. 2
vedrørende effekter af forskellige tiltag i forbindelse med Grøn Vækst. Aarhus Universitet. 50 pp.
http://pure.au.dk/portal/files/38211855/010511_DJF_DMU_notat_2_inkl_Baselinegruppens_kom
mentarer_og_sp_rgsm_l.pdf
Anonym 2015a. Vejledning om gødsknings- og harmoniregler. Planperioden 1. august til 31. juli 2015.
Revideret 10. februar 2015.
http://naturerhverv.dk/fileadmin/user_upload/NaturErhverv/Filer/Landbrug/Goedningsregnskab/
Vejledning_om_goedsknings-_og_harmoniregler_nyeste.pdf
Anonym 2015b. Vejledning om direkte arealstøtte 2015. Grundbetaling, grønne krav, ø-støtte og støtte til
unge nyetablerede landbrugere. NaturErhvervstyrelsen.
http://naturerhverv.dk/fileadmin/user_upload/NaturErhverv/Filer/Tilskud/Arealtilskud/Direkte_st
oette_-_grundbetaling_mm/2015/Vejledning__endelig_udgave_januar_2015.pdf
Askegaard, M., Olesen, J.E., Rasmussen, I.A., Kristensen, K. 2011. Nitrate leaching from organic arable crop
rotations is mostly determined by autumn field management. Agriculture, Ecosystems and
Environment 142, 149-160.
Blicher-Mathiesen, G., Grant, R., Jørgensen, U., Poulsen, H.D. 2003. Vandmiljøplan II – Slutevaluering af de
enkelte virkemidler. Status 2002, prognose for 2003. Baggrundsnotat til Vandmiljøplan II –
slutevaluering. Miljøministeriet, Danmarks Miljøundersøgelser. 35 pp.
htt
p://www2.dmu.dk/1_viden/2_Publikationer/3_Ovrige/rapporter/VMPII/Slutevaluering_af_de_enk
elte_virkemidler.pdf
Børgesen, C.D., Jensen, P.N., Blicher-Mathiesen, G., Schelde, K. 2013. Udvikling i kvælstofudvaskning og
næringsstofoverskud fra dansk landbrug for perioden 2007-2011. DCA – Nationalt Center for
Fødevarer og Jordbrug, DCA Rapport nr. 31, 154 pp.
http://pure.au.dk/portal/files/68362856/dcarapporten31.pdf
Børgesen, C.D., Waagepetersn, J., Iversen, T.M., Grant, R., Jacobsen, B., Elmholt, S. (redaktører), 2009.
Midtvejsevaluering af Vandmiljøplan III – DJF-rapport Markbrug nr. 142. 238 pp.
http://pure.agrsci.dk:8080/fbspretrieve/2841678/djfma142.pdf.pdf
Delin, S., Stenberg, M. 2014. Effect of nitrogen fertilization on nitrate leaching in relation to grain yield
response on loamy sand in Sweden. European Journal of Agronomy 52, 291-296.
Engström, L., Stenberg, M., Aronsson, H., Lindén, B. 2010. Reducing nitrate leaching after winter oilseed
rape and peas in mild and cold winters. Agronomy for Sustainable Development. Available online
at: www.agronomy-journal.org.
28
MOF, Alm.del - 2015-16 - Endeligt svar på spørgsmål 377: Spm. om offentliggørelse af kvælstofudvalgets rapport, så der kan komme offentlighed og debat om den, til miljø- og fødevareministeren
Eriksen, J., Jensen, P. N., Jacobsen, B.H. 2014. Virkemidler til realisering af 2. generations vandplaner og
målrettet arealregulering. Tjele: DCA - Nationalt Center for Fødevarer og Jordbrug. DCA Rapport
052.
Grant, R., Blicher-Mathiesen, G., Jørgensen, V., Kyllingsbæk, A., Poulsen, H.D., Børsting, C., Jørgensen, J.O.,
Schou, J.S., Kristensen, E.S., Waagepetersen, J., Mikkelsen, H.E. 2000. Vandmiljøplan II –
midtvejsevaluering. Miljø- og Energiministeriet & Danmarks Miljøundersøgelser. 65 pp.
http://www2.dmu.dk/1_viden/2_Publikationer/3_Ovrige/rapporter/VMPII_midtvejs_web.pdf
Grant, R., Waagepetersen, J. 2003. Vandmiljøplan II – slutevaluering. Danmarks Miljøundersøgelser og
Danmarks Jordbrugsforskning. 36 pp.
http://www.vmp3.dk/Files/Filer/Slutrapporter/VMPII_Slutevaluering_web.pdf
Hansen, E.M., Thomsen, I.K. 2013. Baggrundsnotat 2. Jordbearbejdning. I Børgesen, C.D., Jensen, P.N.,
Blicher-Mathiesen, G., Schelde, K. Udviklingen i kvælstofudvaskning og næringsstofoverskud fra
dansk landbrug for perioden 2007-2011. DCA rapport nr. 31, side 101-106.
Hansen, E.M., Thomsen, I.K. 2014. Bilag 3. Efterafgrøder: Revurdering af udvaskningsreducerende effekt. I
Eriksen, J., Jensen, P.N., Jacobsen, B.H. (redaktører). Virkemidler til realisering af 2. generations
vandplaner og målrettet arealregulering. DCA rapport nr. 52, side 241-254.
Hansen, E.M., Thomsen, I.K., Rubæk, G.H., Kudsk, P., Jørgensen, L.N., Schelde, K., Olesen, J.E., Strandberg,
M.T., Jacobsen, B.H., Eberhardt, J.M. 2014. Forbud mod jordbearbejdning i visse perioder. I
Eriksen, J., Jensen, P.N., Jacobsen, B.H. (redaktører). Virkemidler til realisering af 2. generations
vandplaner og målrettet arealregulering. DCA rapport nr. 52, side 125-130.
Hansen, S., Abrahamsen, P., Petersen, C.T., Styczen, M. 2012. Daisy: Model use, calibration, and validation.
American Society of Agricultural and Biological Engineers 55, 1315-1333.
Højberg, A.L., Windolf, J., Børgesen, C.D., Troldborg, L., Tornbjerg, H., Blicher-Mathiesen, G., Kronvang B.,
Thodsen, H., Ernstsen, V. 2015. National kvælstofmodel, Oplandsmodel til belastning og
virkemidler – Metode Rapport, Revideret udgave september 2015. GEUS. Under udarbejdelse.
Iversen, T.M., Grant, R., Blicher-Mathiesen, G., Andersen, H.E., Skop, E., Jensen, J.J., Hasler, B., Andersen, J.,
Hoffmann, C.C., Kronvang, B., Mikkelsen, H.E., Waagepetersen, J., Kyllingsbæk, A., Poulsen, H.D.,
Kristensen, V.F. 1998. Vandmiljøplan II – faglig vurdering. Miljø- og Energiministeriet, Danmarks
Miljøundersøgelser. 44 pp.
Kristensen, K. 2002. N-LES2. Kort notat om genberegning af N -LES (givet som en modificering af tidligere
beskrivelse efterfulgt af ændringer og kommentarer). 11 pp.
Kristensen, K., Jørgensen, U., Grant, R. 2003. Genberegning af modellen N-LES. Baggrundsnotat til
Vandmiljøplan II - slutevaluering. Danmarks Miljøundersøgelser, Miljøministeriet. 12 pp.
http://www2.dmu.dk/1_viden/2_Publikationer/3_Ovrige/rapporter/VMPII/Genberegning_af_mod
ellen_NLES.pdf
Kristensen, K., Waagepetersen, J., Børgesen, C.D., Vinther, F.P., Grant, R., Blicher-Mathiesen, G. 2008.
Reestimation and further development in the model N-LES – N-LES3 to N-LES4. DJF Plant Science
139. 25 pp.
http://www.dmu.dk/fileadmin/Resources/DMU/Vand/3_%20NLES.pdf
29
MOF, Alm.del - 2015-16 - Endeligt svar på spørgsmål 377: Spm. om offentliggørelse af kvælstofudvalgets rapport, så der kan komme offentlighed og debat om den, til miljø- og fødevareministeren
Manevski, K., Børgesen, C.D., Andersen, M.N., Kristensen, I.S. 2015. Reduced nitrogen leaching by
intercropping maize red fescue on sandy soils in Northern Europe: a combined field and modeling
study. Plant and Soil 388, 67-85.
NAER 2015. Generelt om de danske kvælstofregler. Historisk gennemgang af kvælstofnormerne.
http://naturerhverv.dk/landbrug/goedning/generelt-om-de-danske-kvaelstofregler/#c33442
Pandey, A., Li, F., Askegaard, M., Rasmussen, I.A., Olesen, J.E. 2015. Nitrogen balances in organic and
conventional arable crop rotations and their relations to nitrogen yield and leaching losses.
Agriculture, Ecosystems and Environment. Accepted.
Petersen, J. Sørensen, P. 2004. 4.3. Ændringer i regelsættet for gødskning, harmoni m.m. I: Jørgensen, U.
(redaktør). Muligheder for forbedret kvælstofudnyttelse i marken og for reduktion i kvælstof –
Faglig udredning i forbindelse med forberedelsen af Vandmiljøplan III – DJF-rapport Markbrug nr.
103. 233 pp.
http://pure.agrsci.dk:8080/fbspretrieve/458408/djfma103.pdf
Petersen, J., Djurhuus, J. 2004. Sammenhæng mellem tilførsel, udvaskning og optagelse af kvælstof I
handelsgødede, kornrige sædskifter. DJF rapport, Markbrug 102.
Plauborg, F., Refsgaard, J.C., Henriksen, H.J., Blicher-Mathiesen, G. og Kern-Hansen, C. 2002. Vandbalance
på mark - og oplandsskala. DJF rapport, Markbrug nr. 70. Aarhus Universitet, 45 pp.
Schou, J.S., Kronvang, B., Birr-Pedersen, K., Jensen, P.L., Rubæk, G.H., Jørgensen, U., Jacobsen, B.H. 2007.
Virkemidler til realisering af målene i EU's Vandrammedirektiv. Danmarks Miljøundersøgelser –
Aarhus Universitet – Faglig rapport nr. 625. 128 pp.
http://www2.dmu.dk/Pub/FR625_Final.pdf
Simmelsgaard, S. E. 1998. The effect of crop, N -level, soil type and drainage on nitrate leaching as affected
by crop type and long -term N fertilizer rate. Soil Use and Management, 14, 30-36.
Simmelsgaard, S. E., Djurhuus, J. 1998. An empirical model for estimating nitrate leaching from Danish soil.
Soil Use and Management, 14, 37-43.
Simmelsgaard, S.E. 1991. Estimering af funktioner for kvælstofudvaskning. I Rude, S. (redaktør),
Kvælstofgødning i landbruget - behov og udvaskning nu og i fremtiden. Statens
Jordbrugsøkonomiske Institut. Rapport nr. 62, side 135-150.
Simmelsgaard, S.E., Kristensen, K., Andersen, H.E., Grant, R., Jørgensen, J.O., Østergaard, H.S. 2000. Empirisk
model til beregning af kvælstofudvaskning fra rodzonen. Danmarks JordbrugsForskning. - DJF
rapport Markbrug nr. 32.
http://pure.au.dk/portal/files/458538/djfm32.pdf
Wachendorf, M., Büchter, M., Trott, H., Taube, F. 2004. Performance and environmental effects of forage
production on sandy soils. II. Impact of defoliation system and nitrogen input on nitrate leaching
losses. Grass and Forage Science, 59, 56-68.
Waagepetersen, J., Grant, R., Børgesen, C.D., Iversen, T.M. 2008. Midtvejsevaluering af Vandmiljøplan III.
Det Jordbrugsvidenskabelige Fakultet og Danmarks Miljøundersøgelser, Aarhus Universitet. 36 pp.
http://pure.agrsci.dk:8080/fbspretrieve/2617161/VMPIII_midtvejs_2008.pdf
30
MOF, Alm.del - 2015-16 - Endeligt svar på spørgsmål 377: Spm. om offentliggørelse af kvælstofudvalgets rapport, så der kan komme offentlighed og debat om den, til miljø- og fødevareministeren
Bilag 1. Behov for opdatering af Virkemiddelkataloget fra december 2014
hvor ændret NLES (marginaludvaskning) slår igennem
Da der ved opgørelse af effekten af tilbagerulning af normreduktionen er beregnet en marginaludvaskning
af kvælstof, som ligger noget lavere end tidligere anvendt i en række sammenhænge (se Afsnit 2.2), har
NAER ønsket en gennemgang af Virkemiddelkataloget fra december 2014 (Eriksen et al., 2014a) med
henblik på at identificere, om der er virkemidler, hvor der er behov for at opdatere effekterne samt deres
omkostningseffektivitet. Gennemgangen skal bruges i forbindelse med arbejdet på en landbrugs- og
fødevarepakke, ny arealregulering samt vandplanarbejdet. Bestillingen er opdelt i tre faser, hvor 1. og 2.
fase gennemføres af AU (DCA/DCE) og 3. fase gennemføres af IFRO. De skitserede tre faser er:
Fase 1: Identificere virkemidler
Alle virkemidler i kataloget gennemgås med henblik på at vurdere hvilke, der vil være påvirket af en ændret
marginaludvaskning.
Fase 2: Kvantificere ændringen i effektvurderingen
Opgøre den ny effekt på baggrund af ændret marginaludvaskning for de i fase 1 udpegede virkemidler.
Fase 3: Økonomiberegne omkostningseffektiviteten
Genberegning af de økonomiske omkostninger på baggrund af ændret effektvurdering i fase 2.
Besvarelse
I Afsnit 2, 3 og 4 er der gennemført en effektberegning på tilbagerulning af tre generelle virkemidler:
normreduktion, obligatoriske efterafgrøder samt forbud mod jordbearbejdning i efteråret. Effekten af
tilbagerulning af normreduktionen blev gennemført med NLES4 på baggrund af landbrugsdata fra høståret
2011, som var et af de år, som også indgik i Grøn Vækst evalueringen (Børgesen et al., 2013).
Tilbagerulningen af obligatoriske efterafgrøder og forbud mod jordbearbejdning i efteråret blev beregnet
med typetal fra Virkemiddelkataloget (Eriksen et al., 2014a) ligeledes ved anvendelse af arealdata fra 2011.
De gennemførte beregninger ved NLES4 af en tilbagerulning af normreduktion resulterede i en
marginaludvaskning fra rodzonen på ca. 1/5 (Afsnit 2.2), som skal betragtes som et arealvægtet
middelresultat for hele landbrugsarealet i Danmark i 2011. Marginaludvaskningen på 1/5 dækker dels
kornafgrøder med højere marginaludvaskning end gennemsnittet dels græsmarker med mindre
marginaludvaskning end gennemsnittet. Denne marginaludvaskning er som påpeget i Afsnit 2.2 lavere end
generelt antaget ud fra bl.a. Petersen og Djurhuus (2004) samt tidligere opgørelser, hvor
marginaludvaskningen har været sat til 1/3.
I Virkemiddelkataloget (Eriksen et al., 2014a) er den udvaskningsreducerende effekt præsenteret i en tabel
(Tabel o.1.) indeholdende samtlige foreslåede virkemidler. I Tabel 1 er denne tabel gentaget mht. den
estimerede udvaskningsreducerende effekt i rodzonen. I tabellen er desuden tilføjet en kolonne, hvori det
anføres, om en ændret marginaludvaskning vil påvirke den oprindeligt fastsatte udvaskningsreducerende
effekt. Der er tilføjet en kommentar for samtlige virkemidler, uanset om de i Virkemiddelkataloget (Eriksen
et al., 2014a) blev vurderet egnede som virkemidler eller ej.
31
MOF, Alm.del - 2015-16 - Endeligt svar på spørgsmål 377: Spm. om offentliggørelse af kvælstofudvalgets rapport, så der kan komme offentlighed og debat om den, til miljø- og fødevareministeren
Som det fremgår af Tabel 1, er der ingen af de i Eriksen et al. (2014a) angivne effekter, der påvirkes af de
beregninger, der er gennemført i Afsnit 2.2 og som altså resulterede i en marginaludvaskning på ca. 1/5. Det
betyder, at Fase 2 og Fase 3 i nærværende bestilling ikke vil være aktuelle.
Når marginaludvaskningen, beregnet ud fra NLES4, ikke påvirker den oprindeligt fastsatte
udvaskningsreducerende effekt har det flere årsager, som afhænger af det enkelte virkemiddel. For en del
af virkemidlerne, som er baseret på markforsøg, er resultaterne direkte målt og altså uafhængige af
marginaludvaskningen. Det gælder f.eks. efter- og mellemafgrøder. I andre tilfælde, som f.eks. randzoner og
brak, er estimatet for den udvaskningsreducerende effekt fundet som differencen mellem en forventet
udvaskning fra sådanne arealer og en gennemsnitlig udvaskning baseret på NLES4. Disse modelberegninger
er altså baseret på samme opsætning af NLES4 som anvendt i Afsnit 2.2, hvorfor den beregnede effekt i
Virkemiddelkataloget (Eriksen et al., 2014a) ikke påvirkes (se dog note 6 under Tabel 1). Hvis den
igangværende opdatering af NLES4 (se fodnote 1) måtte bevirke en væsentlig ændring i beregningen af den
generelle udvaskning, vil effekten af de virkemidler, der er baseret på en differens, også ændres.
Den egentlige udvaskningsreducerende effekt af efterafgrøder påvirkes ikke af en ændring i
marginaludvaskningen, da effekten er baseret på markforsøg (Tabel 1). De obligatoriske efterafgrøder er
pålagt en eftervirkning - dvs. en efterfølgende reduktion i gødningskvoten - på hhv. 17 kg N/ha (under 0,8
DE/ha) og 25 kg N/ha (over 0,8 DE/ha) (Anonym, 2015). Denne eftervirkning blev fastlagt af Normudvalget i
2005 på baggrund af modelberegninger med FASSET (Berntsen et al., 2005). Indtil en anden
beregningsmetode eventuelt vedtages, anses det for mest hensigtsmæssigt at fastholde den nuværende
eftervirkning, som også indgik i de økonomiske beregninger i Virkemiddelkataloget (Eriksen et al., 2014a).
Det skal bemærkes, at den forøgede kvælstofkvote i forbindelse med udlægning af frivillige efterafgrøder
(Anonym, 2015) er baseret på en højere marginaludvaskning end estimeret i Børgesen et al. (2015), og at
tillægget til kvoten derfor vil skulle ændres ved anvendelse af den lavere marginaludvaskning. Der er ikke
gennemført økonomiske beregninger omkring frivillige efterafgrøder i Virkemiddelkataloget (Eriksen et al.,
2014a), hvorfor Fase 2 og Fase 3 for frivillige efterafgrøder ikke anses for relevante i nærværende
besvarelse.
Den generelle udvaskning fra husdyrgødning blev nyberegnet i Sørensen og Børgesen (2015) på basis af
NLES4 modellen. I samme forbindelse blev effekten af afbrænding af husdyrgødning også genberegnet med
det samme modelgrundlag. I Virkemiddelkataloget (Eriksen et al., 2014a) var der for virkemidlet afbrænding
af husdyrgødning benyttet en langsigtet udvaskningsfaktor på 30 % for uorganisk kvælstof og 45 % for
organisk kvælstof. I Sørensen og Børgesen (2015) blev anvendt en marginaludvaskning for uorganisk
kvælstof på 13 % på lerjord og 23 % på sandjord, dvs. 18 % som et simpelt gennemsnit. Sørensen og
Børgesen (2015) vurderede ud fra forsøg, modelberegninger og ekspertskøn, at udvaskningen fra tilført
organisk kvælstof i tilførselsåret er den samme som for uorganisk kvælstof, mens den langsigtede
udvaskning fra resterende organisk kvælstof, mineraliseret efter første år, er dobbelt så høj, svarende til 26
% på lerjord og 46 % på sandjord, dvs. 36 % i simpelt, ikke-vægtet gennemsnit. Der forventes en
gennemsnitlig mineralisering af organisk kvælstof i husdyrgødning i første år på 22 %. Med disse
revurderede udvaskningsfaktorer er der nu beregnet en gennemsnitlig langsigtet nettoeffekt af afbrænding
af fiber fra afgasset svinegylle på 4,4 kg N/DE (før: 5,0) og for afgasset kvæggylle på 8,4 kg N/DE (før 8,0).
32
MOF, Alm.del - 2015-16 - Endeligt svar på spørgsmål 377: Spm. om offentliggørelse af kvælstofudvalgets rapport, så der kan komme offentlighed og debat om den, til miljø- og fødevareministeren
1590165_0033.png
Ved afbrænding af fjerkrædybstrøelse beregnes en reduktion i kvælstofudvaskningen på 19,3 kg N/DE (før
20). Den nyberegnede nettoeffekt giver ikke anledning til at ændre på den beregnede effekt i
Virkemiddelkataloget (Eriksen et al., 2014a), idet usikkerheden på beregningen vurderes at være større end
ændringen.
Som det fremgår af ovenstående og Tabel 1 ændres effekten af virkemidlerne i Eriksen et al. (2014a) ikke af,
at marginaludvaskningen i Afsnit 2.2 er beregnet til ca. 1/5.
Tabel 1. Estimeret reduceret kvælstofudvaskning af virkemidler fra Virkemiddelkataloget (Eriksen et al.,
2014a) samt en vurdering af, om en ændret marginaludvaskning påvirker estimatet. IV og IR angiver, at
værdien er henholdsvis ”Ikke Vurderet” eller ”Ikke Relevant”.
Virkemiddel
Reference-
praksis/
kommentar
Jord uden
efterafgrøde
Årlig N-effekt
1)
Vurdering af hvorvidt en ændret
marginaludvaskning påvirker den
estimerede årlige N-effekt
Er baseret på målinger gennemført under
markforhold, hvorfor den udvaskningsreducerende
effekt ikke påvirkes af en ændret
marginaludvaskning.
Er hovedsageligt baseret på målinger gennemført
under markforhold, hvorfor den
udvaskningsreducerende effekt ikke påvirkes af en
ændret marginaludvaskning.
Er hovedsageligt baseret på sammenligninger
mellem efterafgrøder og afgrøder med høj N-
optagelse. Den udvaskningsreducerende effekt
påvirkes ikke af en ændret marginaludvaskning.
Efterafgrøder
12-45 kg N ha
2)
-1
Mellemafgrøder
Vintersæd uden
mellemafgrøder
9-13 kg N ha
-1
Afgrøder med høj
kvælstofoptagelse:
Sukkerroer
Afgrøder med høj
kvælstofoptagelse:
Græs og frøgræs
Afgrøder med høj
kvælstofoptagelse:
Foderroer
Tidlig såning af
vinterhvede
(7. september)
Jord uden
efterafgrøde
Jord uden
efterafgrøde
12-45 kg N ha
2)
-1
>12-45 kg N ha
2)
-1
Data mangler
Pt. ikke datagrundlag
Der kan ikke angives en kvantificerbar
kvælstofeffekt for foderroer.
Er baseret på målinger gennemført under
markforhold, hvorfor den udvaskningsreducerende
effekt ikke påvirkes af en ændret
marginaludvaskning.
Er baseret på forskellen mellem udvaskningen fra
energiafgrøder og et modelberegnet interval for
udvaskning fra kornrige sædskifter. Påvirkes ikke af
en ændret marginaludvaskning. Se dog 6)
Er baseret på forskellen mellem udvaskningen fra
energiafgrøder og et modelberegnet interval for
udvaskning fra kornrige sædskifter. Påvirkes ikke af
en ændret marginaludvaskning. Se dog 6)
Er baseret på et gennemsnitligt landsestimat af
udvaskning fra landbrugsjord, der permanent
Normal såning af
vinterhvede (23.
september)
Kornrige sædskifter
under den
nuværende
regulering
5-8 kg N ha
-1
Flerårige
energiafgrøder
34-51 kg N ha
2)
-1
Brak (ikke permanent
udtagning
Jord i omdrift
35-58 kg N ha
2)
-1
Permanent udtagning
Jord i omdrift
50 kg N ha
-1
33
MOF, Alm.del - 2015-16 - Endeligt svar på spørgsmål 377: Spm. om offentliggørelse af kvælstofudvalgets rapport, så der kan komme offentlighed og debat om den, til miljø- og fødevareministeren
1590165_0034.png
udtages af landbrugsdrift. Effekten er forskellen
mellem denne effekt og den gennemsnitlige NLES4
beregnede udvaskning. Påvirkes ikke af
marginaludvaskning.
Er baseret på et gennemsnitligt landsestimat af
udvaskning fra landbrugsjord, der permanent
udtages af landbrugsdrift. Effekten er forskellen
mellem denne effekt og den gennemsnitlige NLES4
beregnede udvaskning opdelt på fem afgrøde-
grupper. Påvirkes ikke af marginaludvaskning.
Der kan ikke angives en kvantificerbar kvælstofeffekt
for fjernelse af biomasse.
Er baseret på et gennemsnitligt landsestimat af
udvaskning fra landbrugsjord, hvorpå der rejses
skov. Effekten er forskellen mellem denne effekt og
den gennemsnitlige NLES4 beregnede udvaskning.
Påvirkes ikke af marginaludvaskning.
Er hovedsageligt baseret på målinger gennemført
under markforhold, hvorfor den
udvaskningsreducerende effekt ikke påvirkes af en
ændret marginaludvaskning.
Er hovedsageligt baseret på målinger gennemført
under markforhold, hvorfor den
udvaskningsreducerende effekt ikke påvirkes af en
ændret marginaludvaskning.
Er hovedsageligt baseret på målinger gennemført
under markforhold, hvorfor den
udvaskningsreducerende effekt ikke påvirkes af en
ændret marginaludvaskning.
Er hovedsageligt baseret på målinger gennemført
under markforhold, hvorfor den
udvaskningsreducerende effekt ikke påvirkes af en
ændret marginaludvaskning.
Der kan ikke angives en kvantificerbar
kvælstofeffekt for biochar.
-1
Randzoner
Jord i omdrift
og varig græs
37-74 kg N ha
-1
Fjernelse af biomasse i
Ingen fjernelse af
randzoner og
biomasse
engarealer
Pt. ikke datagrundlag
Skovrejsning
Jord i omdrift
50 kg N ha
-1
Forbud mod
jordbearbejdning i
efteråret
Forbud mod
omlægning af
fodergræs om
efteråret
Reduceret
jordbearbejdning
Jord der
bearbejdes
10 kg N ha
-1
Intet forbud mod
omlægning om
efteråret
36 kg N ha
-1
Konventionel
jordbearbejdning
0
3)
Nedmuldning af halm
før vintersæd
Fjernelse af halm
før vintersæd
Ingen biochar
produktion og
tilsætning
Bredspredning af
handelsgødning
Husdyrgødningen
kan gemmes til
næste forår,
alternativt
udbringes inden 1.
september
Antages kun at
være aktuelt for
0
3)
Biochar
Positionsbestemt
tilførsel af gødning
Ændret udbringnings-
periode for
husdyrgødning om
efteråret
Afbrænding af
husdyrgødning
0
3)
1-2 kg N ha
Effekten er skønnet og påvirkes ikke af en ændret
marginaludvaskning.
Samlet effekt:
1.850 t N
Den samlede effekt er uændret, da den er
uafhængig af marginaludvaskning.
Svinegylle:
-1
5 kg N DE
Der er foretaget nye beregninger i Sørensen og
Børgesen (2015), hvilket ikke giver ikke anledning til
34
MOF, Alm.del - 2015-16 - Endeligt svar på spørgsmål 377: Spm. om offentliggørelse af kvælstofudvalgets rapport, så der kan komme offentlighed og debat om den, til miljø- og fødevareministeren
1590165_0035.png
biogasbehandlet
gylle
Kvæggylle:
-1
8 kg N DE
Fjerkrædybstrøelse:
-1
20 kg N DE
at ændre på den beregnede effekt i Eriksen et al
(2014a), idet usikkerheden på beregningen er
betydeligt større end ændringen.
Kontrolleret dræning
Almindelig dræning
Pt. ikke datagrundlag
Er baseret på målinger gennemført under
markforhold, hvorfor den udvaskningsreducerende
effekt ikke påvirkes af en ændret
marginaludvaskning.
Er baseret på målinger gennemført under
markforhold, hvorfor den udvaskningsreducerende
effekt ikke påvirkes af en ændret
marginaludvaskning.
Er baseret på målinger gennemført under
markforhold, hvorfor den udvaskningsreducerende
effekt ikke påvirkes af en ændret
marginaludvaskning.
Påvirkes ikke af en ændret marginaludvaskning.
Konstruerede mini-
vådområder med
overfladisk
afstrømning
Konstruerede mini-
vådområder med
filtermatrice
Vådområder
Er målrettet
dræntransport;
virker uden for
markfladen
Er målrettet
dræntransport;
virker uden for
markfladen
Jord i omdrift
5-20 kg N ha opland;
-1
500-3.500 kg N ha
anlæg
5-35 kg N ha opland;
-1
500-7.000 kg N ha
anlæg
120-190 kg N ha
-1 4)
-1
-1
Marine virkemidler:
Muslingeopdræt
Tangdyrkning
Udplantning af ålegræs
Stenrev
1)
2)
3)
4)
5)
6)
IR
IR
IR
IR
600-900 kg N ha
16 kg N ha
IV
IV
-1
-1 5)
Påvirkes ikke af en ændret marginaludvaskning.
Påvirkes ikke af en ændret marginaludvaskning.
En evt. effekt påvirkes ikke af en ændret
marginaludvaskning.
5)
En evt. effekt påvirkes ikke af en ændret
marginaludvaskning.
For alle virkemidler – bortset fra de forskellige typer af vådområder, muslingeopdræt og tang-dyrkning – er effekterne
beregnet i rodzonen.
Intervallet afspejler ler-sand effekter.
Vurderes ikke egnet som kvælstofvirkemiddel.
Effekten er pr. hektar vådområdeanlæg. Den angivne effekt på kvælstof kan anvendes til overslagsberegninger i planlægningen.
Der bør laves en konkret beregning i forbindelse med projektering af vådområder.
Arealet gælder produktionsareal (dvs. pr. ha anlæg). For marine virkemidler er de angivne effekter til brug i forbindelse med
planlægningen. Ved konkrete anlæg af marine virkemidler anbefales det at gennemføre en specifik effektberegning med
indregning af lokale forhold.
I forbindelse med Virkemiddelkataloget (Eriksen et al., 2014a) blev der udarbejdet to notater (Eriksen et al., 2014b; Eriksen et
al., 2015). I disse notater blev effekten af virkemidlerne anvendt til at beregne en relativ reduktion af nitratudvaskningen på
sand og ler, opdelt på hhv. <0,8 DE/ha, 0,8-1,4 DE/ha og >1,4 DE/ha. Den relative reduktion blev beregnet ud fra en NLES4-
beregnet udvaskning inden for hver kombination af jordtype og dyretæthed. Disse kombinationer indgik ikke generelt i
Virkemiddelkataloget. For visse virkemidler, f.eks. energiafgrøder og brak, blev den udvaskningsreducerende effekt angivet
som en reduktion til en fast værdi (10 eller 20 kg N/ha), dvs. deres udvaskningsreducerende effekt skal beregnes som en
differens i forhold til en referenceværdi for udvaskningen. Idet der i Eriksen et al. (2014b) og Eriksen et al. (2015) for alle
virkemidler er taget udgangspunkt i de samme NLES4-beregnede værdier for udvaskningen, ændres effekterne af de
virkemidler, der i Virkemiddelkataloget er baseret på differens. Det betyder, at hvis der i forbindelse med beregninger af
miljømæssige eller økonomiske konsekvenser tages udgangspunkt i kombinationer af jordtype og dyretæthed, skal effekten
baseres på den effekt, der kan beregnes ud fra Eriksen et al. (2014b) og Eriksen et al. (2015).
35
MOF, Alm.del - 2015-16 - Endeligt svar på spørgsmål 377: Spm. om offentliggørelse af kvælstofudvalgets rapport, så der kan komme offentlighed og debat om den, til miljø- og fødevareministeren
Referencer
Anonym 2015. Vejledning om gødsknings- og harmoniregler. Planperioden 1. august 2015 til 31. juli 2016.
http://naturerhverv.dk/fileadmin/user_upload/NaturErhverv/Filer/Landbrug/Goedningsregnskab/Vejledning_om_goeds
knings-_og_harmoniregler_nyeste.pdf
Berntsen, J., Petersen, B.M., Hansen, E.M., Jørgensen, U., 2005. Eftervirkning efterafgrøder. Notat til N-
normudvalget. Notat til Planteavlsorientering 07-550.
https://www.landbrugsinfo.dk/Planteavl/Afgroeder/Efterafgroeder/Sider/Notat_til_Planteavlsorientering_nr_07550.asp
x
Børgesen, C.D., Jensen, P.N., Blicher-Mathiesen, G., Schelde, K. 2013. Udviklingen i kvælstofudvaskning og
næringsstofoverskud fra dansk landbrug for perioden 2007-2011. DCA rapport nr. 31.
Eriksen, J. (red.), Jensen, P.N. (red.), Jacobsen, B.H. (red.) 2014a. Virkemidler til realisering af 2. generations
vandplaner og målrettet arealregulering. DCA rapport nr. 52.
Eriksen, J., Børgesen, C.D., Schelde, K., Hansen, E.M., Thomsen, I.K., Jørgensen, U., Søegaard, K., Olesen, J.E.
2014b. Notat vedrørende bestillingen ”Opfølgning på svar angående virkemidler i forhold til Ny
Arealregulering”: Procentvis reduktion af kvælstofudvaskningen ved anvendelse af virkemidler.
Notat til NaturErhvervstyrelsen 31. oktober 2014.
Eriksen, J., Børgesen, C.D., Schelde, K., Hansen, E.M., Thomsen, I.K., Kristensen, I.T., 2015. Notat vedrørende
bestillingen ”yderligere opfølgning på svar angående virkemidler i forhold til Ny Arealregulering”.
Notat til NaturErhvervstyrelsen 30. januar 2015.
Petersen, J., Djurhuus, J. 2004. Sammenhæng mellem tilførsel, udvaskning og optagelse af kvælstof i
handelsgødede, kornrige sædskifter. DJF rapport, Markbrug nr. 102.
Sørensen, P., Børgesen, C.D. 2015. Kvælstofudvaskning og gødningsvirkning ved anvendelse af afgasset
biomasse. (Effects of anaerobic digestion of organic manures on nitrogen leaching and manure
fertilizing effects). DCA rapport nr. 65.
36
MOF, Alm.del - 2015-16 - Endeligt svar på spørgsmål 377: Spm. om offentliggørelse af kvælstofudvalgets rapport, så der kan komme offentlighed og debat om den, til miljø- og fødevareministeren
Bilag 2. Uddybning af Afsnit 2.4 om marginaludvaskning i
Landovervågningen (LOOP) estimeret ved de empiriske modeller NLES3 og
NLES4
Sammenfatning
Aarhus Universitet har undersøgt marginaludvaskningen i de to empiriske modeller NLES3 og NLES4 ved at
ændre tilførslen af mineralsk kvælstof. Marginaludvaskningen er den andel af ændringer i kvælstoftilførsel
til landbrugsafgrøder, der resulterer i en ændret kvælstofudvaskning. Ved at anvende interviewdata for
landbrugspraksis i landovervågningen viser NLES3 modellen, at marginaludvaskningen i forhold til
gødningsinput og landbrugspraksis ændres fra omkring 40-44 % i 1991 til 26-30 % i 2006. NLES4 har en
noget lavere marginaludvaskning, som ændrer sig fra 21-22 % i 1991 til 16-17 % i 2014. Forskellen i de to
modellers marginaludvaskning er formentlig ændringer i de to modellers struktur bl.a. hvordan forfrugt,
sommer og vinterafgrøder defineres og at høstet kvælstof ikke indgår som en forklaringsvariabel i NLES4.
Den anvendte marginaludvaskning i de forskellige redegørelser og evalueringer fra før Vandmiljøplan II
(VMPII) og til midtvejsevalueringen af Vandmiljøplan III (VMPIII) er gennemgået. Marginaludvaskningen har
ændret sig fra omkring 25 % i det faglige grundlag fra før VMPII til omkring 33 % i slutevalueringen af VMPII
og midtvejsevalueringen af VMPIII. Stigningen skyldes bl.a. en øget vinternedbør, da en ny dansk korrektion
for sne og hagl blev lagt til vinternedbøren.
En analyse af hvordan de to modeller, NLES3 og NLES4, kan simulere den målte kvælstofudvaskning og den
målte afstrømningsvægtede kvælstofkoncentration for jordvandsstationer i Landovervågningen viser, at
begge modeller er i stand til at beregne udviklingen i udvaskningen i den periode, de to modeller er sat op
for på nær de to første år, 1991 og 1992, hvor der er målt meget høj kvælstofudvaskning. Begge modeller
giver for disse to år en lavere modelberegnet kvælstofudvaskning. NLES3 giver dog en lidt bedre beskrivelse
af den tidslige udvikling i kvælstofkoncentration i perioden 1993-2000.
37
MOF, Alm.del - 2015-16 - Endeligt svar på spørgsmål 377: Spm. om offentliggørelse af kvælstofudvalgets rapport, så der kan komme offentlighed og debat om den, til miljø- og fødevareministeren
1. Indledning
I forbindelse med bestillingen fra NaturErhvervstyrelsen af 11. september 2015 omkring uddybning af
baggrunden for NLES3 vs. NLES4 og den ændrede vurdering af marginaludvaskning har Aarhus Universitet
undersøgt marginaludvaskningen i de to empiriske modeller NLES3 og NLES4 på baggrund af data fra
Landovervågningsoplandene (LOOP).
Med vedtagelse af Vandmiljøplan II (VMP II) i 1998 blev kvælstoftilførslen til landbrugsafgrøder reduceret
med 10 % af den økonomisk optimale kvælstofnorm. Selve normreduktionen blev iværksat med virkning fra
gødskningsåret 1998/99. I perioden før vedtagelsen af VMPII og til i dag har marginaludvaskningen været
anvendt til at vurdere virkemidlers reducerende effekt på udvaskningen. Marginaludvaskningen har
igennem denne periode været estimeret og vurderet ved bl.a. at anvende forskellige versioner af den
empiriske udvaskningsmodel NLES og forløberen til denne model (Simmelsgaard, 1991). I dette notat
gennemgås forudsætninger for og niveauet af anvendt marginaludvaskning før vedtagelsen af VMPII, i midt-
og slutevaluering af virkemidlers effekt på udvaskning i VMPII og i midtvejsevalueringen af Vandmiljøplan III.
For at vurdere de to empiriske modellers evne til at simulere den målte kvælstofudvaskning fra aktuel
landbrugspraksis er der gennemført en analyse af NLES3- og NLES4-modelleret udvaskning og
afstrømningsvægtet nitratkoncentration på marker med målte koncentrationer i jordvand fra 29
jordvandsstationer i landovervågningen.
2. Baggrund: Anvendelse af faktor for marginaludvaskning
Som en del af forarbejdet til Vandmiljøplan II blev der gennemført en faglig vurdering af forskellige
virkemidlers reducerende effekt på kvælstofudvaskningen (Iversen et al., 1998). Heri blev der foretaget to
beregninger af reduktionen i kvælstofudvaskning som følge af at nedsætte gødningsnormer til
landbrugsafgrøder (10, 20 og 30 % sænkning af normerne). Beregningerne blev udført dels med
udgangspunkt i data fra landovervågningen, dels på landsdækkende data, begge for dyrkningsåret 1995/96
(beregning nr. 1 i Tabel 1). I de to beregninger blev der anvendt samme empiriske model for
sammenhængen mellem tilført gødning og udvaskning (Simmelsgaard, 1991). I beregningen blev det
forudsat, at kravene i Handlingsplanen for Bæredygtigt landbrug var opfyldt, og at krav om 10 % øget
udnyttelse af husdyrgødning blev efterlevet. Ved sænkning af afgrødernes kvælstofnormer på markniveau
blev det antaget, at en sænkning af gødningsnormen medførte bedst mulig udnyttelse af husdyrgødning, og
at der derfor først skæres ned i forbruget af handelsgødning på de marker, der får mest gødning i forhold til
normen. Dvs. at overgødskning på markniveau reduceres. Ved en sænkning af gødningsnormen på 10 %
faldt forbruget af handelsgødning med 43.000 t N, og udvaskningen blev reduceret med 10.900 t N. I
beregningen blev resultaterne fra landovervågningsoplandene opskaleret til det dyrkede areal for hele
landet. Dette gav en beregnet marginaludvaskning på 25 %.
38
MOF, Alm.del - 2015-16 - Endeligt svar på spørgsmål 377: Spm. om offentliggørelse af kvælstofudvalgets rapport, så der kan komme offentlighed og debat om den, til miljø- og fødevareministeren
1590165_0039.png
Tabel 1. Anvendt marginaludvaskning i faglig vurdering og evaluering af VMPII samt i midtvejsevaluering af
VMPIII.
Område
Anvendt
marginaludvaskning
(%)
26
(25-27)
25
29
(27-34)
33
Beregningsmetode
Data grundlag
Reference
1: Vandmiljøplan II –
faglig vurdering
2: VMPII -
midtvejsevaluering
3: Genberegning af
VMPI og II*
4: Slutevaluering af
VMPII
Udvaskningsmodel,
(Simmelsgaard, 1991)
NLES1
NLES2
NLES3 samt
Petersen og Djurhuus
(2003)
LOOP data og hele
landet 1996
LOOP data
1998/99
LOOP data
1998/99
LOOP data
1998/99
Iversen et al. (1998)
Grant et al. (2000)
Grant (2002)
Grant et al., (2003)
Blicher-Mathiesen
et al. (2003)
Waagepetersen et
al. (2008)
5: Mitvejsevaluering
33
LOOP data
af VMPIII
1998/99
*Højere marginaludvaskning pga. af et højere udvaskningsniveau og mere vinternedbør
Anden beregning anvendte data for hele landet i 1996 og byggede på, at gødningsnormen for 1995/96
udgjorde 370.000 t N for dette år (uden kvælstofprognosen). En sænkning af normen på 10 % medførte en
tilsvarende sænkning i forbruget af handelsgødning på 37.000 t N. Det var forudsat, at gødningen var jævnt
fordelt, og der blev ikke taget højde for evt. overgødskning. Sænkning af gødningsnormerne indebar, at
husdyrgødningen skulle omfordeles. Ved en sænkning af kvælstofbehovet på 10 % faldt forbruget af
handelsgødning med 37.000 t N, og udvaskningen blev reduceret med 10.000 t N. Dette gav en
marginaludvaskning på 27 %. I Vandmiljøplan II - faglig vurdering (Iversen et al., 1998) blev der anvendt et
gennemsnit at de to beregninger, hvilket gav en reduceret udvaskning på 10.500 t N for hele landet ved at
sænke gødningsnormerne med 10 %, svarende til en reduktion i det årlige forbrug af handelsgødning på
40.000 t N. Disse beregninger af udvaskningseffekt ved at reducere normerne med 10 % blev indarbejdet i
den politiske aftale om VMPII.
I midtvejsevalueringen af VMP II (beregning nr. 2 i Tabel 1) blev der anvendt en marginaludvaskning på 25 %
ved mindre gødningstilførsel ift. afgrødernes optimale gødningsnorm (Grant et al., 2000).
Marginaludvaskningen blev vurderet ved at anvende data for gødningstilførsel og landbrugspraksis for
1998/1999 samt den empiriske model NLES1 (Simmelsgaard et al., 2000) på landovervågningsdata for
1998/99 (Grant et al., 2000).
Effekterne af virkemidler i VMPI og II i midtvejsevalueringen blev genberegnet pga. ny viden om
nedbørskorrektioner og fordampning (Grant, 2002) (beregning nr. 3 i Tabel 1). I genberegningen blev der
anvendt en højere marginaludvaskning på gennemsnitlig 29 %, opgjort som et gennemsnit af 27-34 %.
Marginaludvaskningen blev her opgjort ved at anvende NLES2 på LOOP-data for 1998/99. Den større
marginaludvaskning i genberegningen skyldtes et højere udvaskningsniveau – bl.a. fordi nedbør og
39
MOF, Alm.del - 2015-16 - Endeligt svar på spørgsmål 377: Spm. om offentliggørelse af kvælstofudvalgets rapport, så der kan komme offentlighed og debat om den, til miljø- og fødevareministeren
fordampning tidligere havde været undervurderet. NLES2 gav gennemsnitlig en højere udvaskning for
afgrøder efterfulgt af bar jord end de tidligere anvendte NLES-modeller, idet vinternedbøren blev højere
som følge af at vinternedbøren nu blev korrigeret for sne og hagl.
I slutevalueringen af VMPII blev der anvendt en marginaludvaskning på 33 % opgjort med
udvaskningsmodellen NLES3 på data fra Landovervågningsoplandene (beregning nr. 4 i Tabel 1). Den fundne
marginaludvaskning svarede til størrelsen fundet ved balancebetragtninger på data fra forsøg i Petersen og
Djurhuus (2004) som for kornrige sædskifter konkluderede, at en ændring i tilførsel med handelsgødning på
1 kg N/ha ville ændre udvaskningen med 0,25-0,35 kg N/ha. I slutevalueringen af VMPII (Grant et al., 2003;
Blicher-Mathiesen et al., 2003) blev der anvendt en højere marginaludvaskning på 40 - 50 %, når en
reduktion i tilførsel omfattede organisk kvælstof i husdyrgødning.
I midtvejsevaluering af VMPIII blev udvaskningen beregnet med NLES4 og SKEP/DAISY og som
marginaludvaskning for virkemidler blev anvendt 33 % (Waagepetersen et al., 2008). Sidstnævnte er en
fortsættelse af antagelserne for marginaludvaskningen i VMPII slutevalueringen, idet den i NLES4 dengang
blev vurderet til at være for lav.
3.1 Beskrivelse af NLES modeller
Alle NLES-modellerne bygger på de erfaringer, der blev opnået i de første empiriske udvaskningsmodeller,
der blev udviklet af Simmelsgaard i 1991 (Simmelsgaard, 1991; Simmelsgaard, 1998) og hvoraf et udvidet
arbejde er publiceret internationalt i Simmelsgaard og Djurhuus (1998). Data fra Simmelsgaard og Djurhuus
(1998) ligger desuden til grund for den relative udvaskningsfunktion, der indgår i Petersen og Djurhuus
(2004).
NLES-modellen er empirisk, hvilket betyder, at den bygger på de måledata, modellen er opsat på. Modellen
er derfor kun gyldig for forhold svarende til de eksperimenter, den er funderet på. Det vil sige, at hvis der
sker store ændringer i sædskifte eller dyrkningspraksis, vil modellen ikke nødvendigvis beregne en troværdig
udvaskning. Derfor er NLES-modellerne gennem tiden gradvist blevet opdateret.
NLES3 er en videreudvikling af NLES2 (Kristensen, 2002) og den oprindelige NLES1, som blev til i et
samarbejde mellem Danmarks JordbrugsForskning (DJF), Dansk Landbrugsrådgivning og Danmarks
Miljøundersøgelser (DMU) (Simmelsgaard et al., 2000). Videreudviklingen var i første omgang
nødvendiggjort af ændringer i de tilgrundliggende data forårsaget af ændringer i den måde,
nedbørskorrektion og fordampning hidtil havde været beregnet på (Plauborg et al., 2002). Der er siden
arbejdet videre med modellen, idet der i grundlaget for NLES3 er inkluderet en lang række yderligere
forsøgsdata. Endvidere er der i forhold til tidligere versioner af modellen medtaget en effekt af fjernet
kvælstof og en årseffekt – også kaldet en teknologieffekt (Kristensen et al., 2003). Årseffekten er en samlet
effekt af den teknologiske udvikling i landbruget, som ikke er beskrevet gennem gødningstildelingen og ved
sædskiftet.
NLES2, NLES3 og NLES4 blev alle udviklet med det formål, at modellerne skulle kunne anvendes til at
beregne et landsdækkende udvaskningsniveau. Derfor har der i modeludviklingen været fokus på at
modellerne gennemsnitligt har været i stand til at simulere den målte udvaskning. Modellerne har
40
MOF, Alm.del - 2015-16 - Endeligt svar på spørgsmål 377: Spm. om offentliggørelse af kvælstofudvalgets rapport, så der kan komme offentlighed og debat om den, til miljø- og fødevareministeren
efterfølgende været anvendt på data for gødnings- og landbrugspraksis for hele landet og for
landovervågningsoplandene. Det har ikke været et formål, at modellerne skal kunne beregne et
udvaskningsniveau på lokalt skala eller oplande, hvorved test og validring af modelles evne til dette ikke har
været et specifikt arbejdsområde.
3.1.1 NLES3
Modellens datagrundlag består af 1299 observationer af årlig kvælstofudvaskning - heraf udgør data fra
Landovervågningsoplandene de 338 observationer (26 %). De resterende observationer stammer fra
markforsøg og drænvandsundersøgelser foretaget af det tidligere Institut for Jordbrugsvidenskab, nu
Institut for Agroøkologi, Aarhus Universitet.
Perkolationen fra rodzonen, der blev anvendt til at simulere udvaskningen, blev beregnet med Daisy-
modellen for to lerjordsoplande: Højvads Rende på Lolland (LOOP 1) og Lillebæk (LOOP 4). Perkolation til de
resterende LOOP-oplande og forsøgsdata blev beregnet med EVACROP (Olesen og Heidmann, 2002).
Modellen omfatter additive effekter af kvælstofniveau, tilført kvælstof i foråret, kvælstof fjernet med
høstede afgrøder, tilført kvælstof i efteråret, kvælstof i udbinding samt afgrøde og effekter af
arealanvendelse året før den voksende afgrøde. De multiplikative effekter omfatter jordtype og
afstrømning.
Som en parameter indgår desuden kvælstof fjernet med høstede afgrøder i NLES3. Det betyder, at modellen
inddrager det aktuelle udbytte det enkelte år, hvor udvaskningen er målt.
3.1.2 NLES4
Modellen er en videreudvikling af NLES3 og er udviklet på baggrund af 1467 observationer for årlig
kvælstofudvaskning - heraf udgør data fra Landovervågningsoplandene 409 observationer (28 %).
Perkolation til NLES4 er beregnet med Daisy-modellen.
Modellen består af en række multiplikative effekter for:
Vandafstrømning (opdelt i 3 perioder for henholdsvis det aktuelle år samt året før)
Jordens lerindhold
Jordens humusindhold
Tilgængelighed af kvælstof bestående af følgende additive effekter:
Kvælstofniveau (gennemsnit af 5 foregående år)
Kvælstof i handelsgødning opdelt på forårs- og efterårstilførsel
Husdyrgødningens NH
4
-indhold opdelt på forårs- og efterårstilførsel
Kvælstoffiksering og kvælstof afsat ved afgræsning
Effekt af afgrøden (årets hovedafgrøde, efterårsbevoksning i året samt sommerforfrugt og
vinterforfrugt)
Jordens kulstofindhold som udtryk for jorden kvælstofindhold
Teknologieffekt
41
MOF, Alm.del - 2015-16 - Endeligt svar på spørgsmål 377: Spm. om offentliggørelse af kvælstofudvalgets rapport, så der kan komme offentlighed og debat om den, til miljø- og fødevareministeren
Desuden inkluderes der i modellen en additiv effekt af, om data stammer fra henholdsvis en forsøgsmark
eller fra marker tilhørende private ejendomme i Landovervågningsoplandene. Således estimeres det, at
kvælstofudvaskningen fra privatejede arealer er højere end udvaskningen fra et tilsvarende areal i et
kontrolleret forsøg. Ved opsætning af modellen blev der ikke fundet nogen signifikant effekt af
lufttemperaturen, husdyrgødningens organiske indhold, samt afgrødeudbyttet. Jordbearbejdning indgår
ikke som en specifik effekt, men er delvist indeholdt i teknologieffekten. Kvælstof fjernet med høstede
afgrøder indgår ikke i modellens forklaringsvariable, da effekten ikke var signifikant. Det betyder, at NLES4
modellen beregner udvaskning ved et gennemsnitligt udbytteniveau.
3.1.3 Usikkerhedsvurdering af NLES-modellerne
Der er ikke foretaget en egentlig validering og usikkerhedsvurdering af NLES4-modellen. En analyse af
usikkerhed og validering af NLES3 er beskrevet i Larsen and Kristensen (2007). Her blev valideringen
foretaget ved at estimere modellens parametre på en delmængde af observationer. Det blev fundet, at
udvaskningsfunktionen var forholdsvis stabil og at usikkerheden på en enkelt prædiktion mellem estimeret
og målt værdi lå mellem 20 og 40 %, men faldt til mellem 10 og 30 % hvis beregningen blev foretaget på
flere år eller mange marker.
4. Marginaludvaskning
De vigtigste faktorer, som påvirker kvælstofudvaskningen på et givent areal er jordtype, klima, gødskning
(handels- og husdyrgødning), afgrøder samt jordbearbejdning. Holdes alle faktorer konstante med
undtagelse af tilført kvælstof, vil den teoretiske sammenhæng mellem tilført kvælstof og
kvælstofudvaskning fra rodzonen antage form som en eksponentiel voksende kurve. Dvs. at andelen af
udvasket kvælstof fra rodzonen stiger i forhold til stigende kvælstoftilførsel. Altså udvaskes en større andel
af det tilførte kvælstof ved et højt niveau af kvælstoftildeling. Det er særdeles vanskeligt præcist at estimere
den faktiske respons under naturlige forhold (dvs. under forskellige sædskifter og år til år ændringer i
nedbør). I de efterfølgende afsnit er den gennemsnitlige marginaludvaskning beregnet for
Landovervågningsoplandene med NLES3 og NLES4.
4.1 Metode til beregning af marginaludvaskning
Modelberegningen er gennemført på baggrund af interviewdata for henholdsvis 16 (NLES3: 1990/1991-
2005/2006) og 24 (NLES4: 1990/1991-2013/2014) driftsår. Hvert driftsår er gennemregnet med klimadata
for henholdsvis 10 (NLES3: 1990/1991-1999/2000) og 20 (NLES4: 1990/1991-2009/2010) agrohydrologiske
år. Denne fremgangsmåde er valgt for at neutralisere effekten af det enkelte års klima samt for i
modelsimuleringerne at inkorporere den klimatiske variation, idet udvaskningen ikke responderer lineært
på ændringer i perkolationen. Det generelle kvælstofniveau antages for marker at være lig bedriftens
gennemsnitlige gødningsforbrug. Herved antages, at årets gødskningspraksis har været gældende for de 5
tidligere år, som var grundlaget for kvælstofniveauet i modelopsætningen.
Perkolation til udvaskningsmålinger i NLES3 har det daværende Danmarks Miljøundersøgelser, afdeling for
Vandløbsøkologi beregnet vha. en afstrømningsmodel EVACROP på LOOP 2,3 og 6 og Daisy på LOOP 1 og 4
(Grant et al., 2002). Nedbøren blev korrigeret til jordoverfladen med faste månedskorrektioner (Allerup et
al., 1998), og den potentielle fordampning blev beregnet efter Makkink med afgrødefaktorer (Plauborg et
al., 2002).
42
MOF, Alm.del - 2015-16 - Endeligt svar på spørgsmål 377: Spm. om offentliggørelse af kvælstofudvalgets rapport, så der kan komme offentlighed og debat om den, til miljø- og fødevareministeren
1590165_0043.png
Til NLES4 har Institut for Bioscience beregnet perkolationen på hver jordvandsstation med Daisy-modellen
(version 4.01), hvor nedbøren er døgndynamisk korrigeret og den potentielle fordampning er beregnet efter
Makkink.
For at illustrere hvordan beregning af kvælstofudvaskning fra rodzonen i NLES3 og NLES4 responderer på
ændret gødningstildeling, er der udført en række simuleringer, hvor gødningstildeling i foråret samt
gødskningsniveau er justeret med henholdsvis -40 og +40 kg N/ha. Den gennemsnitlige, årlige
marginaludvaskning er herefter beregnet for hvert landovervågningsopland ved ligning 1:
������������������������������������������������������������������������������������������������������������������������������������������������ =
������������������������
0
−������������������������
1
��������
0
−��������
1
hvor
��������
0
er gødningstildeling i udgangspunktet og
��������
1
er den justerede gødningstildeling.
������������������������
0
er N udvaskning fra rodzonen i udgangspunktet og
������������������������
1
er udvaskning med justeret
gødningstildeling. Den gennemsnitlige marginaludvaskning for de fem landovervågningsoplande er herefter
midlet så hvert LOOP opland vægter 1/5. Herved er den gennemsnitlige marginaludvaskning for alle
landovervågningsoplande uafhængig af det enkelte oplands størrelse. Det må dog understreges, at den
gennemsnitlige marginaludvaskning for begge modeller vil dække over betydelig variation, som vil variere
fra sted til sted og imellem de enkelte oplande.
5. Resultater
5.1 Marginaludvaskning beregnet ved NLES3 og NLES4
Marginaludvaskning beregnet med NLES3 for perioden 1991-2006 og for NLES4 for perioden 1991-2014 er
vist i Figur 1. For begge modeller ses en nedadgående tendens, som kan skyldes ændringer i
landsbrugspraksis, eksempelvis gennem lavere niveauer af gødningstildeling, et ændret tidspunkt for
udspredning af husdyrgødning samt ændrede sædskifter (efterafgrøder). For NLES3 falder
marginaludvaskningen fra 0,44 til 0,30 i perioden 1991-2006 for en ændret gødningstildeling på +40 kg N ha
-
1
år (Tabel 2). For NLES4 ses et fald fra 0,22 til 0,17 i samme periode under samme betingelser. Denne
nedadgående tendens er mere udpræget i NLES3 end i NLES4. Desuden responderer NLES3 også kraftigere
på ændringer i gødningstildelingen, som det kan ses af den større forskel i marginaludvaskning ved de to
niveauer af gødningstildeling (Figur 1).
(��������������������������������. 1)
43
MOF, Alm.del - 2015-16 - Endeligt svar på spørgsmål 377: Spm. om offentliggørelse af kvælstofudvalgets rapport, så der kan komme offentlighed og debat om den, til miljø- og fødevareministeren
1590165_0044.png
Figur 1. Marginaludvaskning beregnet med NLES3 og NLES3 for det dyrkede areal i
Landovervågningsoplandene for perioden 1990-2006 (NLES3) og 1990-2014 (NLES4).
Signaturforklaringen angiver den anvendte model samt størrelsen af den justerede mængde tildelte
gødning.
Tabel 2. Marginaludvaskning for udvalgte år beregnet med NLES3 og NLES3 for det dyrkede areal i
Landovervågningsoplandene for perioden 1991-2006 (NLES3) og 1991-2014 (NLES4) ved to niveauer
af ændret gødningstildeling. Linjen efter 1998 angiver at perioden herefter er med 10 %
normreduktion i udgangspunktet. Hvert opland vægter 1/5 i gennemsnittet.
NLES3
1991
1998
2003
2006
2010
2014
-40 kg N ha
-1
0,40
0,33
0,26
0,26
-
-
+40 kg N ha
-1
0,44
0,37
0,30
0,30
-
-
-40 kg N ha
-1
0,21
0,18
0,16
0,16
0,17
0,16
NLES4
+40 kg N ha
-1
0,22
0,19
0,17
0,17
0,18
0,17
Marginaludvaskning
44
MOF, Alm.del - 2015-16 - Endeligt svar på spørgsmål 377: Spm. om offentliggørelse af kvælstofudvalgets rapport, så der kan komme offentlighed og debat om den, til miljø- og fødevareministeren
1590165_0045.png
5.2 Sammenligning af målt og NLES3/NLES4 beregnet udvaskning og afstrømningsvægtet
nitratkoncentration
Sammenhæng mellem den målte og modelberegnede afstrømningsvægtede nitratkoncentration er vist for
alle observationer i Figur 2. NLES3-modellen er sammenholdt med målt udvaskning for perioden 1991-2000,
da afstrømningen ikke er beregnet med samme forudsætninger efter dette år. NLES4-modellen er
sammenholdt med målt afstrømningsvægtet nitratkoncentration for perioden 1991-2004. Af den viste
sammenstilling ses, at de målte data dækker over et meget bredt koncentrationsinterval. Den bedste
lineære sammenhæng mellem modelleret og målt nitratkoncentration viser en hældning på 0,92 for NLES3
og 0,24 for NLES4. Begge estimerede lineære sammenhænge mellem modelleret og målt
nitratkoncentration har en lav forklaringsgrad (R
2
) som er under 0,3. I simuleringerne med NLES3 ses ret
høje afvigelser (outliers) med høje modelestimerede afstrømningsvægtede nitratkoncentrationer, hvor de
målte er lave. Disse eksempler er fra år, med meget lav perkolation og derfor blev den målte udvaskning i kg
N/ha også lille.
125
100
75
50
25
0
0
50
y = 0,238x + 14,9
R² = 0,225
100
Målt afstr.vægtet N-konc. (mg NO
3
-N/l)
Målt vs NLES4 91-04
125
100
75
50
25
0
0
25
50
75
100
125
Målt afstr. vægtet N-konc. (mg NO
3
-N/l)
Målt vs NLES3 91-00
y = 0,923x + 5,3
R² = 0,263
NLES4 afstr.vægtete N-konc.
(mg NO
3
-N/l)
Figur 2. Sammenhæng mellem målt og NLES4 (tv) og NLES3 (th) beregnet afstrømningsvægtede
nitratkoncentrationer (mg NO
3-
-N/l) for marker med jordvandsstationer (n=29) i Landovervågningen. NLES3
dækker data for perioden 1991-2000 og NLES4 for peroden 1991-2004. Marker med brak er ikke med.
Her er der altså tale om tilfælde, hvor modellen reelt har svært ved at beregne disse lave og ekstreme
udvaskningsniveauer. Grunden til at nogle af de afstrømningsvægtede nitratkoncentrationer er højere i
NLES4 end i NLES3 er, at perkolationen er lavere, når den beregnes med Daisy, end da den blev beregnet
med EVACROP i inputdata til NLES3.
Opgøres data for de 29 jordvandsstationer som et gennemsnit for hvert enkelt år, er det muligt at se, om de
to modeller nogenlunde rammer den tidslige udvikling i den gennemsnitlige målte nitratudvaskning og de
afstrømningsvægtede nitratkoncentrationer. Data er afgrænset, så sammenstillingen viser, hvor godt de to
modeller rammer de målte LOOP-data, som har været en del af datagrundlaget i modelopsætningen.
45
NLES3 afstr. vægtet N-konc.
(mg NO
3
-N/l)
MOF, Alm.del - 2015-16 - Endeligt svar på spørgsmål 377: Spm. om offentliggørelse af kvælstofudvalgets rapport, så der kan komme offentlighed og debat om den, til miljø- og fødevareministeren
Dette er vist for den målte periode 1991-2004 for NLES4 og 1991-2000 for NLES3 i Figur 3 (øverst).
Udvikling i gødningsinput er opgjort som et kvælstofniveau og udgør det gennemsnitlige input af kvælstof
med gødning og fiksering for de foregående 5 år (vist som den mørkegrønne linje øverst i Figur 3). Af figuren
ses, at hverken NLES4 og NLES3 kan simulere de høje udvaskningsniveauer i 1991 og 1992. Samme billede
ses for de aftrømningsvægtede nitratkoncentrationer i 1991 og 1992 (Figur 3 midt). De to modeller, NLES3
og NLES4, er i stand til at eftervise trend i den årlige målte udvaskning for den periode, de er sat op på, med
en god relation, R
2
er ca. 0,90 (Figur 3 nederst), når de to første år 1991 og 1992 med meget høje målte
udvaskning ikke indgår i analysen.
Sammenhængen i de årlige målte og modelberegnede afstrømningsvægtede nitratkoncentrationer er ikke
tilsvarende god (Figur 4), formentlig fordi de to NLES-modeller primært er kalibreret på årlig udvaskning i kg
N/ha og ikke i forhold til den afstrømningsvægtede nitratkoncentration. I Figur 5 (tv) vises sammenhæng
mellem den målte og NLES4 beregnede udvaskning for hele den periode, denne model er opsat på. Også for
denne periode ses en fin relation (R
2
= 0, 88) og hældning på 1,01, mens sammenhæng og hældning er knap
så pæn, R
2
= 0,62 og hældning udgør 0,71, når perioden også inddrager perioden efter, her frem til 2013.
Dette kan skyldes, at nye virkemidler, såsom sen jordbearbejdning og sen ompløjning af græs er
introduceret efter modellernes udvikling. Det er således ikke forventeligt, at en model kan eftervise effekter
af en landbrugspraksis, som ikke indgår i det datasæt, som den pågældende model er udviklet på. Dette
viser som nævnt i introduktionen af de empiriske NLES modeller, at modellerne er bedst egnede for den
periode, modellens inputdata er funderet på.
46
MOF, Alm.del - 2015-16 - Endeligt svar på spørgsmål 377: Spm. om offentliggørelse af kvælstofudvalgets rapport, så der kan komme offentlighed og debat om den, til miljø- og fødevareministeren
1590165_0047.png
150
Udvaskning (kg N/ha/år)
300
N niveau (kg N/ha/år)
150
Udvaskning (kg N/ha/år)
300
N niveau (kg N/ha/år)
150
125
100
75
50
25
0
1990
1995
2000
250
200
150
100
50
0
2005
125
100
75
50
25
0
1990
1995
2000
250
200
150
100
50
0
2005
Målt udvaskning
N-LES4 beregnet
N niveau
40
35
30
25
20
15
10
5
0
1990
1995
2000
2005
40
35
30
25
20
15
10
5
0
1990
Målt udvaskning
N-LES3 beregnet
N niveau
Afstr. Vægtet N-konc. (mg NO3-N/l)
Afstr. Vægtet N-konc. (mg NO3-N/l)
1995
2000
2005
Målt afstvægtet N-konc
N-LES4 afstvægtet N-konc.
150
NLES beregnet udvaskning
(kg N/ha/år)
Målt afstvægtet N-konc
N-LES3 afstvægtet N-konc.
150
NLES beregnet udvaskning
(kg N/ha/år)
125
100
75
50
25
0
0
y = 0,739x + 11,8
R² = 0,687
125
100
75
50
25
0
0
y = 1,033x - 1,6
R² = 0,908
y = 0,686x + 12,9
R² = 0,825
25
50
75
100
125
150
Målt udvaskning (kg N/ha/år)
NLES4 1991-2000
NLES3 1991-2000
y = 0,798x + 7,0
R² = 0,902
25
50
75
100
125
Udvaskning (kg N/ha/år)
NLES4 1993-2000
NLES3 1993-2000
Figur 3. Øverst: Den gennemsnitlige årlige målte og NLES4 (1991-2004)(tv)/NLES3 (1991-2000)(th)
udvaskning for 29 jordvandsstationer. Desuden kvælstofniveau for kvælstof er grøn linje (øverst). Hver
markør er et gennemsnit af 29 jordvandsstationer et enkelt år. Midt: Samme princip for den målte
afstrømningsvægtede nitratkoncentration og NLES4 (tv)/NLES3(th). Nederst: Sammenhæng mellem målt og
NLES3/NLES4 beregnet udvaskning for perioden 1991-2000 (tv). Samme sammenhæng uden de to første år
1991 og 1992, hvor der er målt meget høj udvaskning (th).
47
MOF, Alm.del - 2015-16 - Endeligt svar på spørgsmål 377: Spm. om offentliggørelse af kvælstofudvalgets rapport, så der kan komme offentlighed og debat om den, til miljø- og fødevareministeren
1590165_0048.png
NLES beregnet afstr. vægtet N-konc
(mg NO
3
-N/l)
35
30
25
20
15
10
5
0
0
y = 0,26x + 13,4
R² = 0,514
NLES beregnet afstr. vægtete N-konc
(mg NO
3
-N/l)
40
30
25
20
15
10
5
0
0
y = 0,447x + 9,53
R² = 0,549
y = 0,508x + 7,6
R² = 0,731
10
20
30
40
Målt afstr. vægtet N konc (mg NO
3
-N/L)
NLES4 1991-2004
NLES3 1991-2000
y = 0,737x + 3,1
R² = 0,751
10
20
30
Målt afstr. vægtet N konc (mg NO
3
-N/L)
NLES4 1993-2000
NLES3 1993-2000
1:1 linje
Figur 4. Sammenhæng mellem den gennemsnitlige årlige målte og NLES4 (rød)/NLES3 (blå)
afstrømningsvægtede nitratkoncentrationer for perioden 1991-2000 (tv) og samme sammenhæng for
perioden 1993-2000.
150
NLES beregnet udvaskning
(kg N/ha/år)
125
100
75
50
25
0
0
NLES beregnet udvaskning
(kg N/ha/år)
y = 1,01x + 3,6
R² = 0,88
150
125
100
75
50
25
0
y = 0,708x + 18,9
R² = 0,622
25
50
75
100
125
150
0
25
50
75
100
125
150
Målt udvaskning (kg N/ha/år)
NLES4 1993-2004
1:1 linje
Lineær (NLES4 1993-2004)
Målt udvaskning (kg N/ha/år)
NLES4 1993-2013
1:1 linje
Lineær (NLES4 1993-2013)
Figur 5. Sammenhæng mellem den gennemsnitlige årlige målte og NLES4 beregnet udvaskning uden de to
første år 1991 og 1992 med høj målt nitratudvaskning, perioden 1993-2004 (tv), perioden 1993-2013 (th).
Yderligere ses, at de to modeller kan beregne udvaskning og den afstrømningsvægtede
nitratkoncentrationer for perioden efter 1993 og frem til slutåret for de data der indgår i modellen, da der
for begge modeller ikke ses nogen trend i residualer, opgjort som forskellen mellem målt og modelberegnet
for hver observation (Figur 6).
48
MOF, Alm.del - 2015-16 - Endeligt svar på spørgsmål 377: Spm. om offentliggørelse af kvælstofudvalgets rapport, så der kan komme offentlighed og debat om den, til miljø- og fødevareministeren
1590165_0049.png
Y = -1,489x + 2980
Y= -1,493x + 2980
NLES3
NLES4
Figur 6. Residualplot for afvigelsen mellem målte og prædikterede værdier af udvaskning (kg/N/ha
/
år) for
NLES3 og NLES4 (data fra 29 jordvandsstationer i perioden 1993-2003) og NLES4 (data fra 29
jordvandsstationer i perioden 1993-2004).
Begge modeller har en tendens til at prædiktere for højt, når de målte udvaskninger er lave, mens udvaskning
prædikteres for lavt ved høje målte observationer (Figur 7). Denne tendens er almindeligt kendt for empiriske
modeller. Tendensen er mest udpræget for NLES4.
Y = 0,59x + 26,8
Y= 0,45x + 33,9
NLES3
NLES4
Figur 7. Sammenhæng mellem målte (x-akse) og prædikterede (y-akse) værdier af udvaskning (kg/N/ha
/
år) for
NLES3 (data fra 29 jordvandsstationer i perioden 1991-2000) og NLES4 (data fra 29 jordvandsstationer i
perioden 1991-2004).
Det konkluderes, at begge modeller viser relativ god overensstemmelse med målinger i LOOP-oplandene
men prædikterer for høj udvaskning, når de målte udvaskninger er lave og prædikterer for lav udvaskning
ved høje målte observationer. Hvor det er muligt at sammenligne de to modeller, viser NLES3 generelt
49
MOF, Alm.del - 2015-16 - Endeligt svar på spørgsmål 377: Spm. om offentliggørelse af kvælstofudvalgets rapport, så der kan komme offentlighed og debat om den, til miljø- og fødevareministeren
højere marginaludvaskning end NLES4 ved den pågældende landbrugspraksis. Det har ikke været muligt at
foretage NLES3 beregninger ved den nuværende landbrugspraksis.
Referencer
Blicher-Mathiesen, G., Grant, R., Jørgensen, U., Poulsen, H.D., 2003. Vandmiljøplan II – Slutevaluering af de
enkelte virkemidler. Status 2002, prognose for 2003. Baggrundsnotat til Vandmiljøplan II –
slutevaluering. Miljøministeriet, Danmarks Miljøundersøgelser. 35 pp.
http://www2.dmu.dk/1_viden/2_Publikationer/3_Ovrige/rapporter/VMPII/Slutevaluering_af_de_
enkelte_virkemidler.pdf
Blicher-Mathiesen, G., Rasmussen, A., Andersen, H.E., Timmermann, A., Jensen, P.G., Wienke, J., Hansen, B.
& Thorling, L., 2015. Landovervågningsoplande 2013. NOVANA. Aarhus Universitet, DCE –
Nationalt Center for Miljø og Energi, 158 s. - Videnskabelig rapport fra DCE - Nationalt Center for
Miljø og Energi nr. 120.
http://dce2.au.dk/pub/SR120.pdf
Børgesen, C.D., Jensen, P.N., Blicher-Mathiesen, G., Schelde, K., 2013. Udvikling i kvælstofudvaskning og
næringsstofoverskud fra dansk landbrug for perioden 2007-2011. DCA – Nationalt Center for
Fødevarer og Jordbrug, DCA Rapport nr. 31, 154 pp.
http://pure.au.dk/portal/files/68362856/dcarapporten31.pdf
Grant, R., 2002. Landovervågning: Opskalering af modelberegnet kvælstofudvaskning til hele landet. Notat
fra Danmarks Miljøundersøgelser. 3 pp.
Grant, R., 2002. Genberegning af effekten af Vandmiljøplan I og II. Notat fra Danmarks Miljøundersøgelser.
15 pp.
Grant, R., Blicher-Mathiesen, G., Jørgensen, V., Kyllingsbæk, A., Poulsen, H.D., Børsting, C., Jørgensen, J.O.,
Schou, J.S., Kristensen, E.S., Waagepetersen, J., Mikkelsen, H.E., 2000. Vandmiljøplan II –
midtvejsevaluering. Miljø- og Energiministeriet & Danmarks Miljøundersøgelser. 65 pp.
http://www2.dmu.dk/1_viden/2_Publikationer/3_Ovrige/rapporter/VMPII_midtvejs_web.pdf
Grant , R. og Waagepetersen, J. (2003): Vandmiljøplan II - slutevaluering, Danmarks Miljøundersøgelser og
Danmarks JordbrugsForskning. 32 pp.
www.dmu.dk-publikation-øvrigepublikationer.
Iversen, T.M., Grant, R., Blicher-Mathiesen, G., Andersen, H.E., Skop, E., Jensen, J.J., Hasler, B., Andersen, J.,
Hoffmann, C.C., Kronvang, B., Mikkelsen, H.E., Waagepetersen, J., Kyllingsbæk, A., Poulsen, H.D.,
Kristensen, V.F., 1998. Vandmiljøplan II – faglig vurdering. Miljø- og Energiministeriet, Danmarks
Miljøundersøgelser. 44 pp.
Kristensen, K., 2002. N-LES2. Kort notat om genberegning af N -LES (givet som en modificering af tidligere
beskrivelse efterfulgt af ændringer og kommentarer). 11 pp.
Kristensen, K., Jørgensen, U., Grant, R., 2003. Genberegning af modellen N-LES. Baggrundsnotat til
Vandmiljøplan II - slutevaluering. Danmarks Miljøundersøgelser, Miljøministeriet. 12 pp.
http://www2.dmu.dk/1_viden/2_Publikationer/3_Ovrige/rapporter/VMPII/Genberegning_af_mod
ellen_NLES.pdf
Kristensen, K., Waagepetersen, J., Børgesen, C.D., Vinther, F.P., Grant, R., Blicher-Mathiesen, G., 2008.
Reestimation and further development in the model N-LES – N-LES3 to N-LES4. DJF Plant Science
139. 25 pp.
50
MOF, Alm.del - 2015-16 - Endeligt svar på spørgsmål 377: Spm. om offentliggørelse af kvælstofudvalgets rapport, så der kan komme offentlighed og debat om den, til miljø- og fødevareministeren
Larsen, S., Kristensen, K., 2007. Udvaskningsmodellen N-LES3 – usikkerhed og validering. Aarhus Universitet,
DJF rapport, Markbrug 132.
Olesen, J.E., Heidmann, T., 2002. EVACROP. Et program til beregning af aktuel fordampning og afstrømning
fra rodzonen. Forskningscenter Foulum. 51 pp.
Petersen, J., Djurhuus, J., 2004. Sammenhæng mellem tilførsel, udvaskning og optagelse af kvælstof i
handelsgødede, kornrige sædskifter. DJF rapport, Markbrug nr. 102.
Plauborg, F., Refsgaard, J.C., Henriksen, H.J., Blicher-Mathiesen, G., Kern-Hansen, C., 2002. Vandbalance på
mark- og oplandsskala. DJF rapport, Markbrug 70, 45 sider.
Refsgaard J. C., Stisen, S., Højberg, A.L., Olsen, M., Henriksen, H.J., Børgesen, C.D., Vejen, F., Kern-Hansen,
C., Blicher-Mathiesen, G., 2011. Vandbalance i Danmark. Vejledning i opgørelse af vandbalance ud
fra hydrologiske data for perioden 1990-2010. Danmarks og Grønlands Geologiske Undersøgelse
Rapport 2011/77.
Simmelsgaard, S.E., 1991. Estimering af funktioner for kvælstofudvaskning. I Rude, S, (red.).
Kvælstofgødning i landbruget – behov og udvaskning nu og i fremtiden. Statens
Jordbrugsøkonomiske Institut. Rapport nr. 62.
Simmelsgaard, S. E., 1998. The effect of crop, N -level, soil type and drainage on nitrate leaching as affected
by crop type and long-term N fertilizer rate. Soil Use and Management, 14, 30-36.
Simmelsgaard, S. E., Djurhuus, J., 1998. An empirical model for estimating nitrate leaching from Danish soil.
Soil Use and Management, 14, 37-43.
Simmelsgaard, S.E., Kristensen, K., Andersen, H.E., Grant, R., Jørgensen, J.O., Østergaard, H.S., 2000.
Empirisk model til beregning af kvælstofudvaskning fra rodzonen. Danmarks JordbrugsForskning. -
DJF rapport Markbrug nr. 32.
http://pure.au.dk/portal/files/458538/djfm32.pdf
Waagepetersen, J., Grant, R., Børgesen, C.D., Iversen, T.M., 2008. Midtvejsevaluering af Vandmiljøplan III.
Det Jordbrugsvidenskabelige Fakultet og Danmarks Miljøundersøgelser, Aarhus Universitet. 36 pp.
http://pure.agrsci.dk:8080/fbspretrieve/2617161/VMPIII_midtvejs_2008.pdf
.
51