Finansudvalget 2015-16
FIU Alm.del
Offentligt
1664448_0001.png
Folketingets Finansudvalg
Christiansborg
14. september 2016
Svar på Finansudvalgets spørgsmål nr. 500 (Alm. del) af 5.
september 2016 stillet efter ønske fra Lisbeth Bech Poulsen (SF)
Spørgsmål
Findes der empirisk belæg for de sammenhænge mellem erhvervsbeskatning
og realløn – især sammenhængen mellem beskatning og investeringer – der
beskrives på side 115-116 i DK2025, og hvordan stemmer det overens med
at investeringerne i Danmark ikke synes at være vokset i de senere år selvom
selskabsskattesatsen er sat betydelig ned?
Svar
Nedsættelsen af selskabsskattesatsen fra 25 pct. i 2013 til 22 pct. i 2016 forventes
isoleret set at øge investeringerne og derigennem arbejdsproduktiviteten og
lønningerne. Der er imidlertid en lang række forhold, der påvirker investeringerne
på kort sigt.
De seneste års lave niveau for erhvervsinvesteringerne i Danmark afspejler først
og fremmest, at mange virksomheder fortsat har ledig kapacitet som følge af den
moderate fremgang i produktionen og den forventede afsætning i kølvandet på
afmatningen efter 2008. Samtidig kan moderate lønstigninger have givet
virksomhederne en vis tilskyndelse til at udvide deres produktion gennem
ansættelse af flere medarbejdere frem for at investere i et større
produktionsapparat. Hertil kommer, at den fortsatte usikkerhed om udviklingen i
den internationale økonomi kan gøre virksomhederne mere tilbageholdende med
at foretage nye investeringer.
Der findes en omfattende empirisk litteratur, der påviser en tæt sammenhæng
mellem selskabsskat og investeringer, samt produktivitet og realløn.
Selskabsskattens effekt på tilskyndelsen til at investere kan opgøres på flere måder,
når virkningen på investeringer mv. søges estimeret empirisk. En tilgang er at tage
udgangspunkt i selskabsskattens virkning på virksomhedernes
kapitalomkostninger (den såkaldte usercost, der er et udtryk for virksomhedernes
samlede omkostninger ved at investere en lille smule mere). En anden tilgang er at
tage afsæt i effektive skattesatser, og estimere en direkte sammenhæng mellem
disse og investeringer og kapitalapparat.
FIU, Alm.del - 2015-16 - Endeligt svar på spørgsmål 500: Spm. om sammenhænge mellem erhvervsbeskatning og realløn, til finansministeren
1664448_0002.png
Side 2 af 4
I en gennemgang af den empiriske litteratur finder Hassett & Hubbard (2002), at
elasticiteten af virksomhedernes efterspørgsel efter kapital mht. prisen på kapital
(usercost) sandsynligvis er mellem 0,5 og 1,0.
1
Det indebærer, at virksomhederne
vil øge kapitalapparatet med mellem 0,5 og 1,0 pct., når usercost falder med 1 pct.
En nedsættelse af selskabsskatten (hvad enten der er tale om en nedsættelse af
satsen, lempeligere afskrivningsregler eller andre fradrag) vil reducere
kapitalomkostningerne (usercost).
Empirien indikerer endvidere, at investeringsomfanget påvirkes ad to forskellige
kanaler. Valget af, i hvilket land en ny virksomhed eller af et givent
investeringsprojekt placeres (den såkaldte ekstensive margin), afhænger af
skattebyrden på det gennemsnitlige afkast (inkl. evt. mobil overnormal profit) af
selskabets samlede investering i landet, som måles ved den gennemsnitlige
effektive skattesats (AETR). Når et selskab har valgt, i hvilket land det vil
investere, vil det optimale investeringsomfang (på den såkaldte intensive margin)
afhænge af den marginale effektive skattesats (METR), som er afgørende for
afkastet af at øge investeringerne en lille smule.
Et metastudie af de Mooij & Ederveen (2008) finder, at et fald i METR på 1 pct.-
point øger investeringerne på den intensive margin med 0,8 pct., mens et fald i
AETR på 1 pct.-point øger investeringerne på den ekstensive margin med 0,65
pct. De to effekter er additive for skatteændringer, der påvirker både METR og
AETR.
2
Selskabsskatten hæmmer altså investeringerne og reducerer den mængde
kapitalapparat, der er til rådighed per beskæftiget. Derigennem reducerer
selskabsskatten produktiviteten, og dermed lønningerne og velstandsniveauet.
Empiriske studier tyder på, at lønmodtagerne via investeringsforvridningen og
overvæltning af omkostningerne ved selskabsskatten i output-priserne i praksis
bærer mellem 50 og 75 pct. af byrden ved selskabsskatten.
Desai et al. (2007) estimerede på basis af data for 50 lande for perioden 1989-
2004, at mellem 45 og 75 pct. af byrden ved selskabsskatten bæres af
lønmodtagerne i form af lavere løn.
3
Hasset og Mathur (2010) fandt, at en stigning i selskabsskattesatsen på 1 pct.
reducerer timelønningerne med 0,5-0,6 pct. Hasset og Mathur (2006) fandt
desuden, at lønningerne påvirkes mere af selskabsskatten i små lande.
4
Det er i
overensstemmelse med Harberger (2006), der argumenterer, at i små lande,
Se Hassett, K., & R. G. Hubbard (2002), “Tax policy and business investment”, in M. Feldstein & A. Auerbach (Eds.),
Handbook of public economics
(Vol. 3, pp. 1293–1343), Amsterdam: North-Holland.
2
Se de Mooij, R.A., og S. Ederveen (2008), “Corporate tax elasticities: a reader’s guide to empirical findings”,
Oxford Review
of Economic Policy,
24(4).
3
Se Desai, M.A., F. Foley & J. Hines (2007). “Labor
and Capital Shares of the Corporate Tax Burden: International Evidence”,
paper
prepared for the International Tax Policy Forum and Urban-Brookings Tax Policy Center conference on Who Pays the
Corporate Tax in an Open Economy?, 18 December, 2007.
4
Se Hasset, K. & A. Mathur (2010), “Spatial
Tax Competition and Domestic Wages”,
Working Paper, december 2010 og
Hassett, K., & A. Mathur (2006), “Taxes
and wages”,
American Enterprise Institute Working Paper 128.
1
FIU, Alm.del - 2015-16 - Endeligt svar på spørgsmål 500: Spm. om sammenhænge mellem erhvervsbeskatning og realløn, til finansministeren
1664448_0003.png
Side 3 af 4
der er pristagere på kapital- og varermarkederne, bærer lønmodtagerne mere
end den fulde byrde af selskabsskatten.
5
Liu og Altshuler (2013) påviser, at variation i den marginale effektive
selskabsskat i USA over tid og på tværs af brancher påvirker timelønningerne.
Deres estimater viser, at en forøgelse af selskabsskatteprovenuet med 1$
reducerer lønningerne med omkring 60 cent.
6
I et nyere studie udnytter Fuest et al. (2015) variation i lokale
selskabsskattesatser i Tyskland til at estimere overvæltning af selskabsskatten i
lønningerne. De viser, at en stigning i selskabsskatten på 1 euro reducerer
lønningerne med 56 cent. For virksomheder med lokal lønfastsættelse, hvor
effekterne på lønningerne kan forventes at indtræffe hurtigere, fandt de en
markant større overvæltning; nemlig at en stigning i selskabsskatten på 1 euro
reducerer lønningerne med 1,21 euro. I et andet studie fandt Fuest et al.
(2013) med en lignende metode, at en stigning i selskabsskatten på 1 euro.
reducerer timelønningerne med 77 cent.
7
Arulampalam et al. (2012) viste på baggrund af mikrodata for selskaber i 9
europæiske lande, at 49 pct. af byrden ved selskabsskatten bliver overvæltet på
lønmodtagerne. Arulampalam et al. pointerer, at dette kun omfatter den
direkte effekt på lønninger, mens indirekte virkninger via priser og øget
produktivitet ikke er inkluderet i deres estimat.
8
En overvæltningsgrad på 50-75 pct. skal endvidere ses i lyset af, at en del af
selskabsskatteprovenuet vedrører immobil overnormal profit, hvor skatten ikke
forvrider investeringsbeslutningen. For den del af selskabsskatteprovenuet, der
udgøres af lokalitetsspecifik overnormal profit, må det forventes, at ejerne bærer
byrden. Det må derfor forventes, at lønmodtagerne bærer en større andel af
byrden fra den del af selskabsskatten, der ikke er profit (normalafkastet).
Et fradrag for normalafkastet af egenkapitalen (ACE), som foreslået i
Et stærkere
Danmark – Vækst 2016,
er målrettet den del af selskabsskatten, der påvirker
investeringsbeslutningen. Ved et normalafkastfradrag opnås derfor fortsat et
provenu fra beskatningen af lokalitetsspecifik overnormal profit (rents).
Et fradrag for normalafkastet af egenkapitalen (ACE) kan i princippet helt
eliminere forvridningen af selskabernes realinvesteringer og vil øge multinationale
selskabers tilskyndelse til at placere investeringer i Danmark.
9
Se Harberger, A. C. (2006), “Corporation Tax Incidence: Reflections on What is Known, Unknown and Unknowable”,
in: John W. Diamond and George R. Zodrow (eds.):
Fundamental Tax Reform: Issues, Choices, and Implications,
Cambridge: MIT
Press.
6
Se Liu, L. & R. Altshuler (2013), “Measuring the Burden of the Corporate Income Tax Under Imperfect Competition”,
National Tax Journal,
vol. 66(1), pp. 215-37.
7
Se Fuest, C., A. Peichl & S. Siegloch (2015), “Do
higher corporate taxes reduce wages? Micro Evidence from Germany”,
IZA
Discussion Paper No. 9609 og Fuest, C., A. Peichl & S. Siegloch (2013), “Do
higher corporate taxes reduce wages? Micro Evidence
from Germany”,
IZA Discussion Paper No. 7390.
8
Se Arulampalam, W., M. P. Devereux, & G. Maffini (2012), “The direct incidence of corporate income tax on wages”,
European Economic Review,
vol. 56(6), pp. 1038-1054.
9
Se fx de Mooij, R.A. (2012), “Tax Biases to Debt Finance: Assessing the Problem, Finding Solutions”,
Fiscal Studies,
vol.
33(4), pp. 489–512 og Griffith, R., J. Hines, og P.B. Sørensen (2010), “International Capital Taxation”,
Dimensions of Tax
5
FIU, Alm.del - 2015-16 - Endeligt svar på spørgsmål 500: Spm. om sammenhænge mellem erhvervsbeskatning og realløn, til finansministeren
1664448_0004.png
Side 4 af 4
Indførelse af et ACE-fradrag vil således føre til et markant løft i investeringerne i
Danmark. Når investeringerne stiger permanent, stiger kapitalapparatet også.
10
Det større kapitalapparat vil øge arbejdsproduktiviteten og dermed
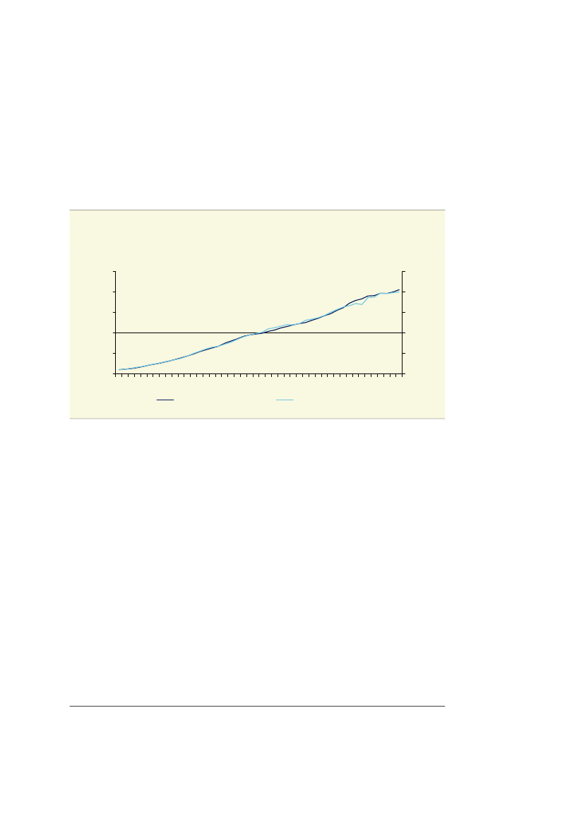
timelønningerne i den private sektor. Der er en meget tæt sammenhæng mellem
produktivitet og timelønningerne i den private sektor,
jf. figur 1.
Figur 1
Produktiviteten bestemmer lønudviklingen
Indeks (gns.=100)
250
Indeks (gns.=100)
250
200
150
100
50
0
200
150
100
50
0
70
75
80
85
Timeløn
90
95
00
05
10
Timeproduktivitet
15
Anm.: Timelønnen er beregnet som lønsum pr. præsteret arbejdstime i den private sektor. Timeproduktiviteten er
beregnet som BVT i løbende priser pr. præsteret arbejdstime i den private sektor.
Kilde: Danmarks Statistik og egne beregninger.
Via reguleringen af lønningerne for offentligt ansatte og satsreguleringen af
overførselsindkomsterne, kommer velstandsstigningen alle i samfundet til gode.
Det vurderes, at ACE-fradraget øger investeringerne markant frem mod 2025.
Den afledte stigning i arbejdsproduktiviteten vurderes at øge lønsummen i den
private sektor med knap 8 mia. kr. (2017-niveau) frem mod 2025. Det svarer til en
lønstigning på godt 3.600 kr. før skat pr. beskæftiget. En typisk LO-familie
skønnes at opnå en fremgang i rådighedsbeløbet på 3.800 kr.
Med venlig hilsen
Claus Hjort Frederiksen
Finansminister
Design: the Mirrlees Review,
J. Mirrlees, S. Adam, T. Besley, R. Blundell, S. Bond, R. Chote, M. Gammie, P. Johnson, G. Myles
and J. Poterba (eds), ISBN: 978-0-19-955375-4, Oxford University Press, April 2010,
for en gennemgang af virkningerne af ACE.
10
Når kapitalapparatet øges, stiger afskrivningerne også. Kapitalapparatet når et nyt langsigtet niveau, når afskrivningerne
igen svarer til det højere investeringsniveau.