Finansudvalget 2015-16
FIU Alm.del
Offentligt
1568951_0001.png
Folketingets Finansudvalg
Christiansborg
17. november 2015
Svar på Finansudvalgets spørgsmål nr. 26 (Alm. del) af 21.
oktober 2015 stillet efter ønske fra Pelle Dragsted (EL)
Spørgsmål
Hvilke initiativer vil regeringen tage for at sikre, at Danmarks økonomi lever op
til mål 10 i FNs nye 2030-mål, om at indkomstfremgangen for de 40 pct. med
de laveste indkomster skal være større end indkomstfremgangen for hele befolk-
ningen?
Svar
På FN’s generalforsamling i september 2015 har Danmark sammen med de øvrige
medlemslande tilsluttet sig FN’s 2030 dagsorden for bæredygtig udvikling, herun-
der 17 verdensmål, der skal opfyldes frem mod 2030.
Det påpeges, at opfyldelsen af de 17 verdensmål skal ske i overensstemmelse med
hvert enkelt medlemslands nationale tilgang og prioriteter, herunder med ud-
gangspunkt i de nationale omstændigheder, der er gældende i hvert land. Dan-
marks opfyldelse af FN’s verdensmål skal derfor ses i lyset af, at Danmark i forve-
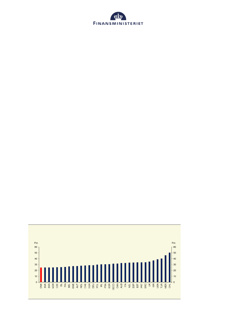
jen er et af de allermest lige lande i verden. Målt ved Gini-koefficienten er Dan-
mark det mest indkomstlige land i OECD,
jf. figur 1.
Danmark har opbygget en
samfundsstruktur, der kombinerer lave indkomstforskelle, og høj indkomstmobili-
tet med høj velstand.
Figur 1
Indkomstforskelle i OECD målt ved Gini-koefficienten, 2012
Kilde: OECD.
Finansministeriet · Christiansborg Slotsplads 1 · 1218 København K · T 33 92 33 33 · E [email protected] · www.fm.dk
FIU, Alm.del - 2015-16 - Endeligt svar på spørgsmål 26: Spm. om, hvilke initiativer regeringen vil tage for at sikre, at Danmarks økonomi lever op til mål 10 i FNs nye 2030-mål, til finansministeren
1568951_0002.png
Side 2 af 2
Danmark ligger dermed i front på mange af 2030 dagordenens områder. Danmark
starter derfor simpelthen på et helt andet niveau end mange andre lande.
I den forbindelse er det væsentligt at huske, at der er tale om en global dagsorden,
hvis mål skal oversættes til den nationale kontekst. Det betyder også, at arbejdet
med fattigdom og ulighed ikke kan ventes at være det samme i Danmark som i
mange andre lande.
Med venlig hilsen
Claus Hjort Frederiksen
Finansminister