Finansudvalget 2015-16
FIU Alm.del
Offentligt
1567554_0001.png
Folketingets Finansudvalg
Christiansborg
13. november 2015
Svar på Finansudvalgets spørgsmål nr. 25 (Alm. del) af 21.
oktober 2015 stillet efter ønske fra Pelle Dragsted (EL)
Spørgsmål
Vil ministeren beregne virkningen på arbejdsudbuddet af, at antallet af lønforsik-
ringer i følge en artikel i Ugebrevet A4 (http://www.ugebreveta4.dk/dagpenge-er-
ikke-nok-private-loenforsikringer-har-bid_20223.aspx)
er steget med omkring
100.000, og at kompensationsgraden for en stor gruppe lønmodtagere dermed er
steget? Ministeren bedes ligeledes oplyse, om der i regeringens fremskrivninger af
arbejdsudbuddet er taget højde for stigningen i lønforsikringer.
Svar
Private arbejdsløshedsforsikringer til dækning af indkomsttab ved ledighed har
eksisteret i Danmark siden 1970’erne. Forsikringstypen er dog først for alvor ble-
vet udbredt op igennem 2000’erne, som følge af stigende formidling via a-kasser
og etablering af kollektive forsikringsordninger for medlemmer i en række større
fagforbund.
Private arbejdsløshedsforsikringer er – med enkelte undtagelser – udformet som
tillægsforsikringer til dagpengeforsikringen og er dermed knyttet til den offentligt
subsidierede arbejdsløshedsforsikring.
Private tillægsforsikringer kan indebære afledte offentlige udgifter til dagpenge
som følge af at forsikringerne forhøjer den økonomiske kompensation ved ledig-
hed, hvilket kan have negative konsekvenser for lediges søgeadfærd og dermed
ledighedsperiodens varighed. Forlængelse af ledighedsperioden vil ligeledes kunne
medføre øgede udgifter til administration og indsatser i regi af den aktive ar-
bejdsmarkedspolitik, som udelukkende bæres af det offentlige.
I forbindelse med dagpengekommissionens arbejde viste en opgørelsen foretaget
på baggrund af eIndkomst, at mere end 207.000 personer indbetalte forsikrings-
præmie til en fradragsberettiget privat arbejdsløshedsforsikring i 2014 svarende til
godt 10 pct. af de kontingentbetalende dagpengeforsikrede. De fradragsberettige-
de præmieindbetalinger udgjorde ca. 492 mio. kr. i 2014.
1
Arbejdspapir om privat forsikring, supplerende ydelser og fratrædelsesgodtgørelser, Dagpengekommissionen, oktober
2015. Til sammenligning viser opgørelsen fra Forsikring og Pension at ca. 188.000 personer indbetalte til en privat arbejds-
løshedsforsikring i 2014.
1
Finansministeriet · Christiansborg Slotsplads 1 · 1218 København K · T 33 92 33 33 · E [email protected] · www.fm.dk
FIU, Alm.del - 2015-16 - Endeligt svar på spørgsmål 25: Spm. om at beregne virkningen på arbejdsudbuddet af, at antallet af lønforsikringer i følge en artikel i Ugebrevet A4 er steget med omkring 100.000, til finansministeren
1567554_0002.png
Side 2 af 3
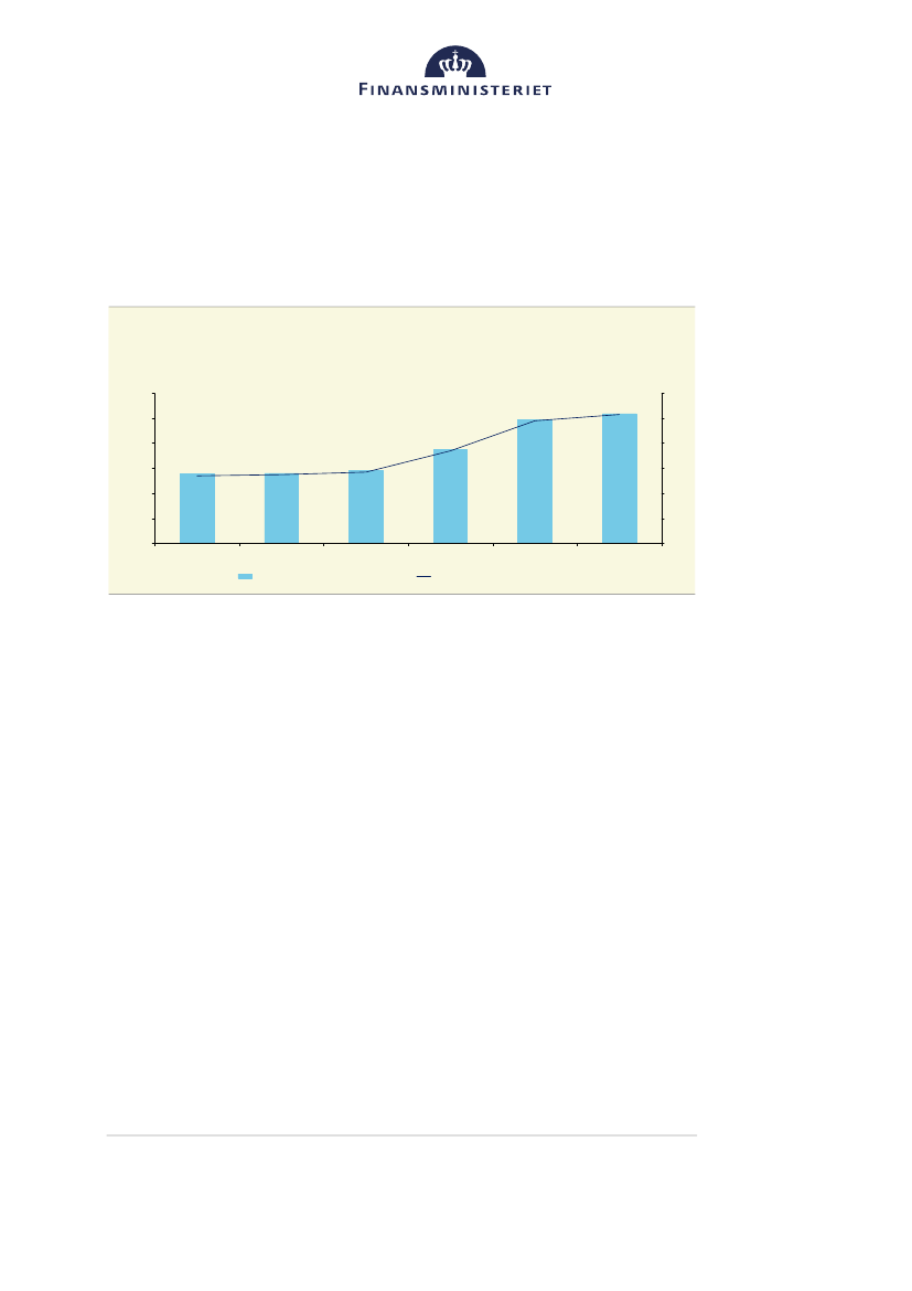
Antallet af personer, som indbetaler til en privat arbejdsløshedsforsikring er steget
fra ca. 111.000 personer i 2009 til godt 207.000 personer i 2014,
jf. figur 1.
Udvik-
lingen kan særligt henføres til at en række større fagforbund har tegnet kollektive
forsikringer for deres medlemmer.
Figur 1
Forsikrede i private arbejdsløshedsforsikringsordninger som andel af dagpengeforsikrede, 2009-2014
1.000 Personer
240
200
160
Pct.
12
10
8
120
80
40
0
2009
2010
Antal forsikrede
2011
2012
2013
2014
6
4
2
0
Andel af dagpengeforsikrede (h. akse)
Kilde: Arbejdspapir om privat forsikring, supplerende ydelser og fratrædelsesgodtgørelser, Dagpengekommissio-
nen, oktober 2015, figur 7.
Omfanget af ledige, som modtager erstatninger fra private arbejdsløshedsforsik-
ringer, er dog beskedent. I 2014 modtog knap 5.000 personer erstatning svarende
til 1,7 pct. af dagpengemodtagerne, mens erstatningsudbetalingerne udgjorde ca.
150 mio. kr., hvilket svarer til 0,9 pct. af de offentlige udgifter til dagpenge.
Dette forhold kan afspejle, at forsikringsordningerne er relativt nyetablerede og
derfor endnu ikke er fuldt modnede. På sigt må det formodes, at erstatningsudbe-
talingerne fra de private arbejdsløshedsforsikringer og præmieindbetalinger til
ordningerne omtrent vil svare til hinanden, bortset fra administrationsomkostnin-
ger.
Dagpengekommissionen har undersøgt, om de potentielle negative effekter af
tillægsforsikringer kan påvises empirisk i dansk sammenhæng. Dette har ikke har
været muligt givet det tilgængelige datagrundlag på området. Den videnskabelige
litteratur på området er endvidere meget begrænset
2
.
Et svensk studie peger dog på, at den forhøjede kompensation ved ledighed som
følger af tillægsforsikringer leder til lavere afgang fra ledighed til beskæftigelse og i
det svenske tilfælde forlænger ledighedsperioden med en uge i gennemsnit. Resul-
tatet er i tråd med evidensen for virkningen af højere ydelser i offentlige arbejds-
løshedsforsikringsordninger. Studiets resultater skal ses i sammenhæng med at
2
Andersen, Svarer og Vejlin (2015),
Litteraturreview af effekter af indretning af arbejdsløshedsunderstøttelsessystemer, Litte-
raturgennemgang til dagpenge-kommissionens udredning, oktober 2015
FIU, Alm.del - 2015-16 - Endeligt svar på spørgsmål 25: Spm. om at beregne virkningen på arbejdsudbuddet af, at antallet af lønforsikringer i følge en artikel i Ugebrevet A4 er steget med omkring 100.000, til finansministeren
1567554_0003.png
Side 3 af 3
nettokompensationsgraden er lavere i det svenske dagpengesystem, samt at ud-
bredelsen af tillægsforsikringer er større i Sverige.
Overført til danske forhold peger de svenske erfaringer på, at de negative virknin-
ger af de private tillægsforsikringer på arbejdsudbuddet i Danmark på nuværende
tidspunkt er små. Det er dog på baggrund af det foreliggende empiriske grundlag
ikke muligt at foretage konkrete skøn for betydningen af private tillægsforsikringer
på arbejdsudbuddet – herunder i lyset af den forventede modning af ordningerne
fremadrettet.
For så vidt angår Finansministeriets mellemfristede fremskrivninger tager disse
udgangspunkt i tal for beskæftigelse, ledighed og dagpengeudgifter mv. i 2014. De
virkninger, som private tillægsforsikringer har på disse størrelser i 2014, er derfor
en integreret del af fremskrivningerne. Eventuelle virkninger af ændret udbredelse
vil løbende indgå i fremtidige opdateringer af de mellemfristede fremskrivninger.
Med venlig hilsen
Claus Hjort Frederiksen