Finansudvalget 2015-16
FIU Alm.del
Offentligt
1628469_0001.png
Folketingets Finansudvalg
Christiansborg
3. maj 2016
Vedrørende besvarelse af FIU spm. 110
Spørgsmålets ordlyd
Vil ministeren vurdere, hvor meget beskæftigelsen vil stige/falde hvis arbejdsmar-
kedets parter sænker/øger den reelle mindsteløn med 10 pct.?
Svar
I Danmark er der ikke nogen lovfastsat mindsteløn.
Der er derimod en række mindstelønssatser, der fastsættes af arbejdsmarkedets
parter og som afhænger af sektor og branche.
Den nyeste danske undersøgelse af beskæftigelseseffekten af ændringer i overens-
komsternes mindstelønssatser er fra 1994
1
. Undersøgelsen kom bl.a. frem til, at
beskæftigelsen vil stige med 23.000 personer, hvis mindstelønnen nedsættes med
10 pct. Resultater fra denne undersøgelse er imidlertid baseret på arbejdsmarkeds-
situationen i begyndelsen af halvfemserne, der er væsentlig forskellig fra det dan-
ske arbejdsmarked anno 2016, hvor den strukturelle ledighed er mere end halve-
ret. Der kan derfor ikke udledes noget fra resultaterne om effekten af at reducere
mindstelønnen i dag.
Den nyere internationale litteratur på området, herunder for Tyskland, peger ge-
nerelt på, at minimumsløn har en negativ effekt på beskæftigelsen, men der er
mindre enighed om effektens størrelsesorden. Forskelle i strukturer og regler på
arbejdsmarkedet gør det samtidig vanskeligt at overføre internationale erfaringer
til Danmark.
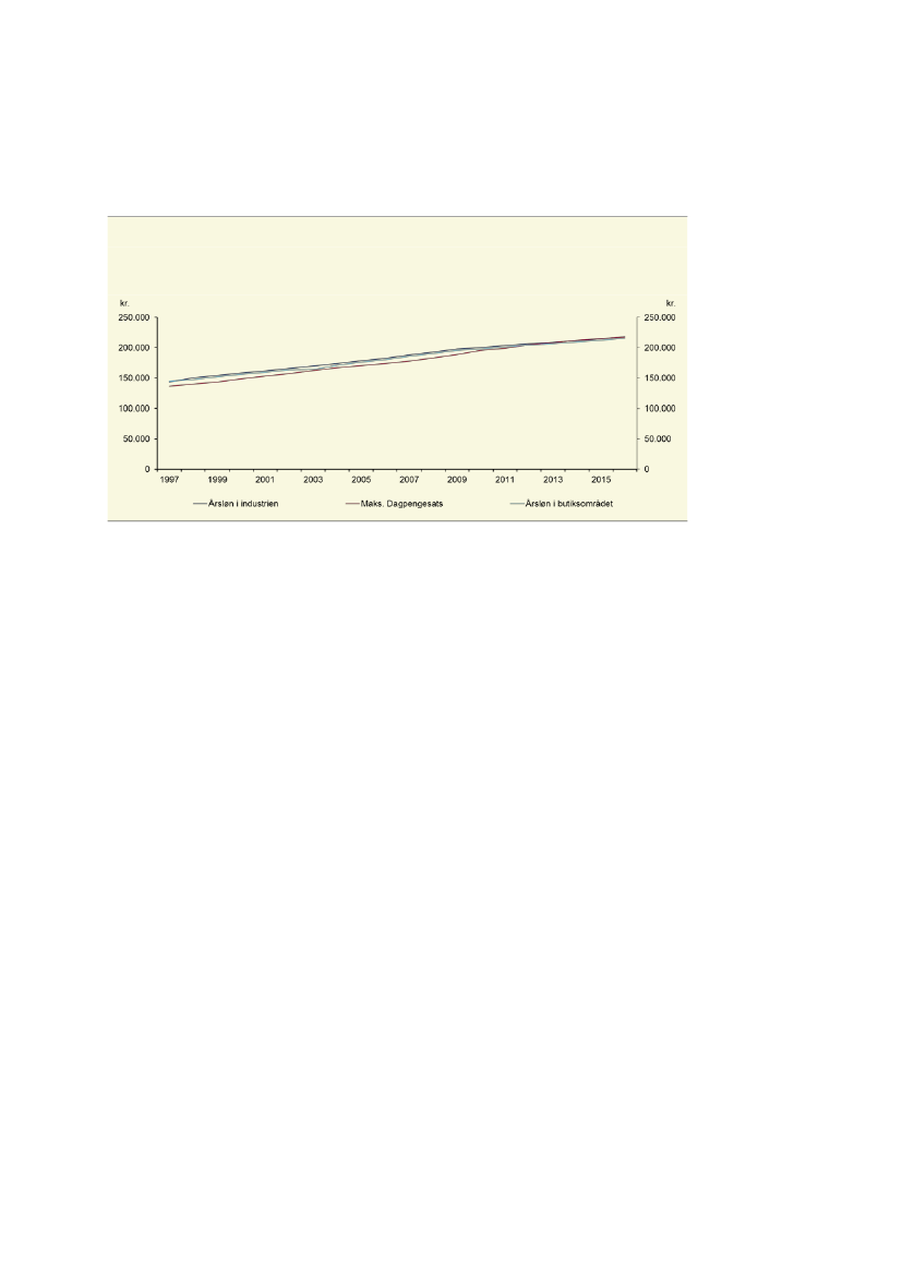
Over de sidste 20 år har udviklingen i mindstelønssatserne på toneangivende om-
råder i det store og hele udviklet sig på linje med den maksimale dagpengesats.
Det gælder fx mindstelønssatserne inden for industri- og butiksområdet, som om-
fatter hhv. ca. 240.000 og 45.000 beskæftigede,
jf. figur 1.
1
Det Økonomiske Råds forårsrapport, 1994.
Finansministeriet · Christiansborg Slotsplads 1 · 1218 København K · T 33 92 33 33 · E [email protected] · www.fm.dk
FIU, Alm.del - 2015-16 - Endeligt svar på spørgsmål 110: MFU spm. om, hvor meget beskæftigelsen vil stige/falde hvis arbejdsmarkedets parter sænker/øger den reelle mindsteløn, til finansministeren
1628469_0002.png
Side 2 af 2
Figur 1
Udviklingen i årslønnen svarende til mindstelønssatsen i hhv. industrien og på butiksområdet
sammenholdt med udvilkingen i dagpengesatsen, 1997-2016.
Anm.: For industriens område multipliceres timelønnen med antallet af arbejdstimer i et år (1.924) for at få en
årsløn, der er sammenlignelig med dagpengesatsen. Alle beløb er i løbende priser.
Kilde: Dansk Arbejdsgiverforeningen’s lønstatistik, Familietypemodellen, samt egne beregninger.
Dagpengekommissionen fandt tilsvarende, at forholdet mellem dagpengeydelsen
og lønniveauet, herunder for lavere lønnede, har været relativt konstant i en læn-
gere årrække, når der ses bort fra pensionsindbetalinger,
jf. Dagpengekommissionen,
Samlede anbefalinger 2015, s. 44.
På baggrund af sammenhængen mellem løn- og dagpengeniveau er det tvivlsomt,
om eventuelle aftaler om at sænke de aftalte mindstelønninger med 10 pct. kan
forventes at have en varig positiv virkning på beskæftigelsen, hvis ikke dagpenge-
satsen sænkes tilsvarende. En forøgelse af de aftalte mindstelønninger med 10 pct.
vil have negative effekter på beskæftigelsen for især lavtuddannede og yng-
re/uerfarne medarbejdere, ligesom det kan reducere tilskyndelsen til uddannelse
og opkvalificering.
Med venlig hilsen
Claus Hjort Frederiksen