Beskæftigelsesudvalget 2015-16
BEU Alm.del
Offentligt
1591353_0001.png
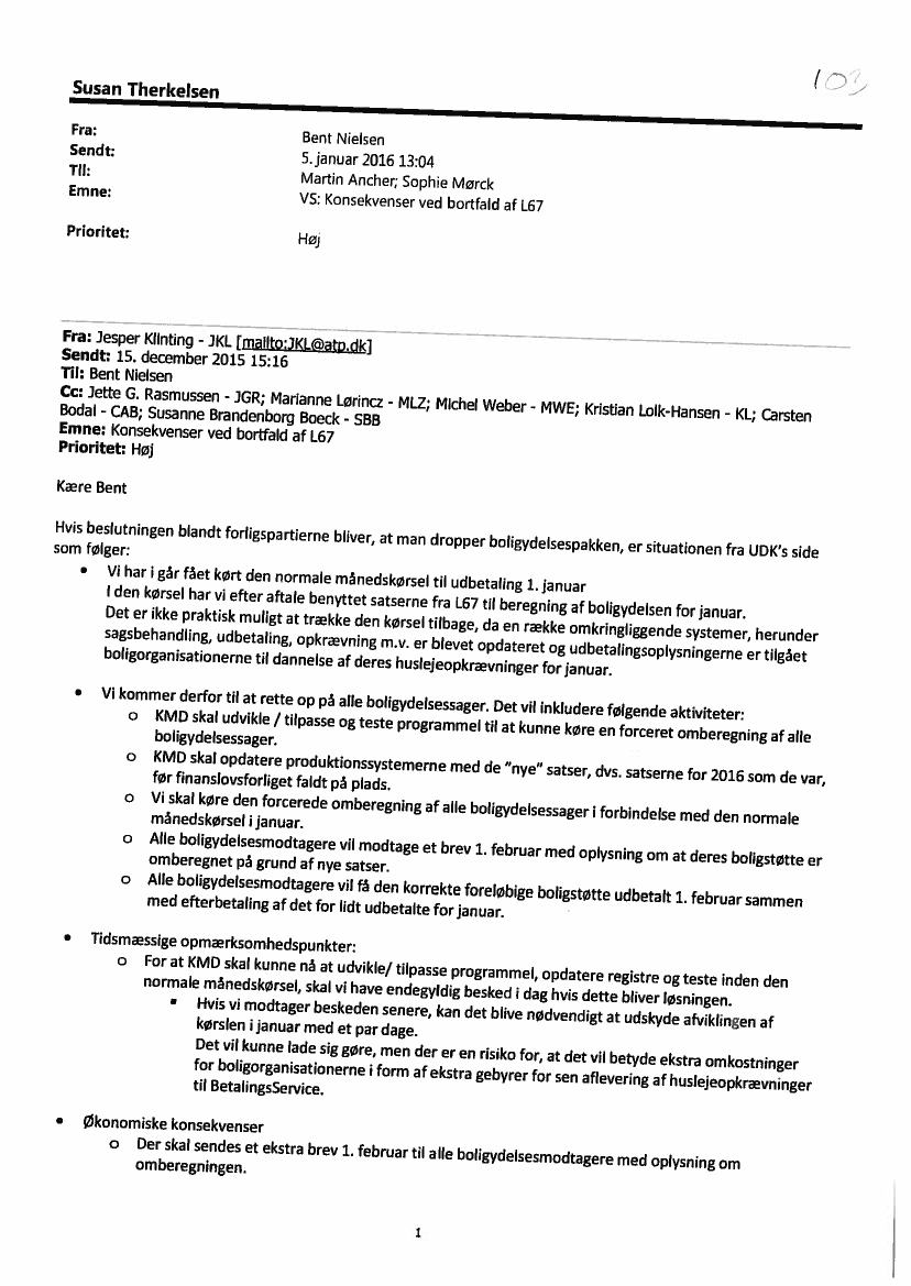
BEU, Alm.del - 2015-16 - Endeligt svar på spørgsmål 147: Spm. om fremlæggelse af dokumentation for enhver form for kommunikation imellem ministerierne og Udbetaling Danmark vedrørende forhandling og gennemførelse af boligydelsespakken, til beskæftigelsesministeren og finansministeren
1591353_0002.png
BEU, Alm.del - 2015-16 - Endeligt svar på spørgsmål 147: Spm. om fremlæggelse af dokumentation for enhver form for kommunikation imellem ministerierne og Udbetaling Danmark vedrørende forhandling og gennemførelse af boligydelsespakken, til beskæftigelsesministeren og finansministeren
1591353_0003.png
BEU, Alm.del - 2015-16 - Endeligt svar på spørgsmål 147: Spm. om fremlæggelse af dokumentation for enhver form for kommunikation imellem ministerierne og Udbetaling Danmark vedrørende forhandling og gennemførelse af boligydelsespakken, til beskæftigelsesministeren og finansministeren
1591353_0004.png
BEU, Alm.del - 2015-16 - Endeligt svar på spørgsmål 147: Spm. om fremlæggelse af dokumentation for enhver form for kommunikation imellem ministerierne og Udbetaling Danmark vedrørende forhandling og gennemførelse af boligydelsespakken, til beskæftigelsesministeren og finansministeren
1591353_0005.png
BEU, Alm.del - 2015-16 - Endeligt svar på spørgsmål 147: Spm. om fremlæggelse af dokumentation for enhver form for kommunikation imellem ministerierne og Udbetaling Danmark vedrørende forhandling og gennemførelse af boligydelsespakken, til beskæftigelsesministeren og finansministeren
1591353_0006.png
BEU, Alm.del - 2015-16 - Endeligt svar på spørgsmål 147: Spm. om fremlæggelse af dokumentation for enhver form for kommunikation imellem ministerierne og Udbetaling Danmark vedrørende forhandling og gennemførelse af boligydelsespakken, til beskæftigelsesministeren og finansministeren
1591353_0007.png
BEU, Alm.del - 2015-16 - Endeligt svar på spørgsmål 147: Spm. om fremlæggelse af dokumentation for enhver form for kommunikation imellem ministerierne og Udbetaling Danmark vedrørende forhandling og gennemførelse af boligydelsespakken, til beskæftigelsesministeren og finansministeren
1591353_0008.png
BEU, Alm.del - 2015-16 - Endeligt svar på spørgsmål 147: Spm. om fremlæggelse af dokumentation for enhver form for kommunikation imellem ministerierne og Udbetaling Danmark vedrørende forhandling og gennemførelse af boligydelsespakken, til beskæftigelsesministeren og finansministeren
1591353_0009.png
BEU, Alm.del - 2015-16 - Endeligt svar på spørgsmål 147: Spm. om fremlæggelse af dokumentation for enhver form for kommunikation imellem ministerierne og Udbetaling Danmark vedrørende forhandling og gennemførelse af boligydelsespakken, til beskæftigelsesministeren og finansministeren
1591353_0010.png
BEU, Alm.del - 2015-16 - Endeligt svar på spørgsmål 147: Spm. om fremlæggelse af dokumentation for enhver form for kommunikation imellem ministerierne og Udbetaling Danmark vedrørende forhandling og gennemførelse af boligydelsespakken, til beskæftigelsesministeren og finansministeren
1591353_0011.png
BEU, Alm.del - 2015-16 - Endeligt svar på spørgsmål 147: Spm. om fremlæggelse af dokumentation for enhver form for kommunikation imellem ministerierne og Udbetaling Danmark vedrørende forhandling og gennemførelse af boligydelsespakken, til beskæftigelsesministeren og finansministeren
1591353_0012.png
BEU, Alm.del - 2015-16 - Endeligt svar på spørgsmål 147: Spm. om fremlæggelse af dokumentation for enhver form for kommunikation imellem ministerierne og Udbetaling Danmark vedrørende forhandling og gennemførelse af boligydelsespakken, til beskæftigelsesministeren og finansministeren
1591353_0013.png
BEU, Alm.del - 2015-16 - Endeligt svar på spørgsmål 147: Spm. om fremlæggelse af dokumentation for enhver form for kommunikation imellem ministerierne og Udbetaling Danmark vedrørende forhandling og gennemførelse af boligydelsespakken, til beskæftigelsesministeren og finansministeren
1591353_0014.png
BEU, Alm.del - 2015-16 - Endeligt svar på spørgsmål 147: Spm. om fremlæggelse af dokumentation for enhver form for kommunikation imellem ministerierne og Udbetaling Danmark vedrørende forhandling og gennemførelse af boligydelsespakken, til beskæftigelsesministeren og finansministeren
1591353_0015.png
BEU, Alm.del - 2015-16 - Endeligt svar på spørgsmål 147: Spm. om fremlæggelse af dokumentation for enhver form for kommunikation imellem ministerierne og Udbetaling Danmark vedrørende forhandling og gennemførelse af boligydelsespakken, til beskæftigelsesministeren og finansministeren
1591353_0016.png
BEU, Alm.del - 2015-16 - Endeligt svar på spørgsmål 147: Spm. om fremlæggelse af dokumentation for enhver form for kommunikation imellem ministerierne og Udbetaling Danmark vedrørende forhandling og gennemførelse af boligydelsespakken, til beskæftigelsesministeren og finansministeren
1591353_0017.png
BEU, Alm.del - 2015-16 - Endeligt svar på spørgsmål 147: Spm. om fremlæggelse af dokumentation for enhver form for kommunikation imellem ministerierne og Udbetaling Danmark vedrørende forhandling og gennemførelse af boligydelsespakken, til beskæftigelsesministeren og finansministeren
1591353_0018.png
BEU, Alm.del - 2015-16 - Endeligt svar på spørgsmål 147: Spm. om fremlæggelse af dokumentation for enhver form for kommunikation imellem ministerierne og Udbetaling Danmark vedrørende forhandling og gennemførelse af boligydelsespakken, til beskæftigelsesministeren og finansministeren
1591353_0019.png
BEU, Alm.del - 2015-16 - Endeligt svar på spørgsmål 147: Spm. om fremlæggelse af dokumentation for enhver form for kommunikation imellem ministerierne og Udbetaling Danmark vedrørende forhandling og gennemførelse af boligydelsespakken, til beskæftigelsesministeren og finansministeren
1591353_0020.png
BEU, Alm.del - 2015-16 - Endeligt svar på spørgsmål 147: Spm. om fremlæggelse af dokumentation for enhver form for kommunikation imellem ministerierne og Udbetaling Danmark vedrørende forhandling og gennemførelse af boligydelsespakken, til beskæftigelsesministeren og finansministeren
1591353_0021.png
BEU, Alm.del - 2015-16 - Endeligt svar på spørgsmål 147: Spm. om fremlæggelse af dokumentation for enhver form for kommunikation imellem ministerierne og Udbetaling Danmark vedrørende forhandling og gennemførelse af boligydelsespakken, til beskæftigelsesministeren og finansministeren
1591353_0022.png
BEU, Alm.del - 2015-16 - Endeligt svar på spørgsmål 147: Spm. om fremlæggelse af dokumentation for enhver form for kommunikation imellem ministerierne og Udbetaling Danmark vedrørende forhandling og gennemførelse af boligydelsespakken, til beskæftigelsesministeren og finansministeren
1591353_0023.png
BEU, Alm.del - 2015-16 - Endeligt svar på spørgsmål 147: Spm. om fremlæggelse af dokumentation for enhver form for kommunikation imellem ministerierne og Udbetaling Danmark vedrørende forhandling og gennemførelse af boligydelsespakken, til beskæftigelsesministeren og finansministeren
1591353_0024.png
BEU, Alm.del - 2015-16 - Endeligt svar på spørgsmål 147: Spm. om fremlæggelse af dokumentation for enhver form for kommunikation imellem ministerierne og Udbetaling Danmark vedrørende forhandling og gennemførelse af boligydelsespakken, til beskæftigelsesministeren og finansministeren
1591353_0025.png
BEU, Alm.del - 2015-16 - Endeligt svar på spørgsmål 147: Spm. om fremlæggelse af dokumentation for enhver form for kommunikation imellem ministerierne og Udbetaling Danmark vedrørende forhandling og gennemførelse af boligydelsespakken, til beskæftigelsesministeren og finansministeren
1591353_0026.png
BEU, Alm.del - 2015-16 - Endeligt svar på spørgsmål 147: Spm. om fremlæggelse af dokumentation for enhver form for kommunikation imellem ministerierne og Udbetaling Danmark vedrørende forhandling og gennemførelse af boligydelsespakken, til beskæftigelsesministeren og finansministeren
1591353_0027.png
BEU, Alm.del - 2015-16 - Endeligt svar på spørgsmål 147: Spm. om fremlæggelse af dokumentation for enhver form for kommunikation imellem ministerierne og Udbetaling Danmark vedrørende forhandling og gennemførelse af boligydelsespakken, til beskæftigelsesministeren og finansministeren
1591353_0028.png
BEU, Alm.del - 2015-16 - Endeligt svar på spørgsmål 147: Spm. om fremlæggelse af dokumentation for enhver form for kommunikation imellem ministerierne og Udbetaling Danmark vedrørende forhandling og gennemførelse af boligydelsespakken, til beskæftigelsesministeren og finansministeren
1591353_0029.png
BEU, Alm.del - 2015-16 - Endeligt svar på spørgsmål 147: Spm. om fremlæggelse af dokumentation for enhver form for kommunikation imellem ministerierne og Udbetaling Danmark vedrørende forhandling og gennemførelse af boligydelsespakken, til beskæftigelsesministeren og finansministeren
1591353_0030.png
BEU, Alm.del - 2015-16 - Endeligt svar på spørgsmål 147: Spm. om fremlæggelse af dokumentation for enhver form for kommunikation imellem ministerierne og Udbetaling Danmark vedrørende forhandling og gennemførelse af boligydelsespakken, til beskæftigelsesministeren og finansministeren
1591353_0031.png
BEU, Alm.del - 2015-16 - Endeligt svar på spørgsmål 147: Spm. om fremlæggelse af dokumentation for enhver form for kommunikation imellem ministerierne og Udbetaling Danmark vedrørende forhandling og gennemførelse af boligydelsespakken, til beskæftigelsesministeren og finansministeren
1591353_0032.png
BEU, Alm.del - 2015-16 - Endeligt svar på spørgsmål 147: Spm. om fremlæggelse af dokumentation for enhver form for kommunikation imellem ministerierne og Udbetaling Danmark vedrørende forhandling og gennemførelse af boligydelsespakken, til beskæftigelsesministeren og finansministeren
1591353_0033.png
BEU, Alm.del - 2015-16 - Endeligt svar på spørgsmål 147: Spm. om fremlæggelse af dokumentation for enhver form for kommunikation imellem ministerierne og Udbetaling Danmark vedrørende forhandling og gennemførelse af boligydelsespakken, til beskæftigelsesministeren og finansministeren
1591353_0034.png
BEU, Alm.del - 2015-16 - Endeligt svar på spørgsmål 147: Spm. om fremlæggelse af dokumentation for enhver form for kommunikation imellem ministerierne og Udbetaling Danmark vedrørende forhandling og gennemførelse af boligydelsespakken, til beskæftigelsesministeren og finansministeren
1591353_0035.png
BEU, Alm.del - 2015-16 - Endeligt svar på spørgsmål 147: Spm. om fremlæggelse af dokumentation for enhver form for kommunikation imellem ministerierne og Udbetaling Danmark vedrørende forhandling og gennemførelse af boligydelsespakken, til beskæftigelsesministeren og finansministeren
1591353_0036.png
BEU, Alm.del - 2015-16 - Endeligt svar på spørgsmål 147: Spm. om fremlæggelse af dokumentation for enhver form for kommunikation imellem ministerierne og Udbetaling Danmark vedrørende forhandling og gennemførelse af boligydelsespakken, til beskæftigelsesministeren og finansministeren
1591353_0037.png
BEU, Alm.del - 2015-16 - Endeligt svar på spørgsmål 147: Spm. om fremlæggelse af dokumentation for enhver form for kommunikation imellem ministerierne og Udbetaling Danmark vedrørende forhandling og gennemførelse af boligydelsespakken, til beskæftigelsesministeren og finansministeren
1591353_0038.png
BEU, Alm.del - 2015-16 - Endeligt svar på spørgsmål 147: Spm. om fremlæggelse af dokumentation for enhver form for kommunikation imellem ministerierne og Udbetaling Danmark vedrørende forhandling og gennemførelse af boligydelsespakken, til beskæftigelsesministeren og finansministeren
1591353_0039.png