Udlændinge-, Integrations- og Boligudvalget 2015-16
UUI Alm.del Bilag 141
Offentligt
1622926_0001.png
Notat
Den øgede flygtningetilstrømning lægger pres på de offentlige
finanser
Antallet af asylansøgere er steget markant siden sommeren 2014. I 2015 blev der givet ca.
19.000 opholdstilladelser til asylansøgere og familiesammenførte til herboende flygtninge. Forbli-
ver tilstrømningen på et højt niveau fremadrettet, svarende til forudsætningerne på finansloven for
2016, vil det indebære en befolkningsforøgelse fra og med 2015 til 2020, som er ca. 100.000
personer større end tidligere ventet. Det er næsten en fordobling af befolkningstilvæksten sammen-
lignet med den tidligere befolkningsprognose fra maj 2015.
Befolkningsforøgelsen vil øge udgiftspresset på de offentlige finanser. Det kommer til udtryk ved
stigende udgifter til indkomstoverførsler, øgede udgifter til fx indkvartering og integrationspro-
grammet samt en generel højere efterspørgsel efter almindelige offentlige serviceydelser som sundhed
og undervisning.
Asyltilstrømningen skønnes imidlertid at være omtrent neutral for råderummet i finanspolitik-
ken frem mod 2020 set i forhold til den seneste mellemfristede fremskrivning fra september. Det
skyldes, at selve størrelsen af råderummet kun påvirkes af de stigende udgifter til indkomstover-
førsler. Disse bliver omtrent modsvaret af de øgede skatteindtægter fra de nytilkomne, som kom-
mer i beskæftigelse frem mod 2020. Udgifterne til fx integrationsprogram samt det øgede udgifts-
træk på offentlige serviceydelser skal derimod finansieres inden for råderummet. Målt ved det
demografiske træk er udgiftstrækket på offentligt forbrug i perioden 2016-2020 opjusteret til ca.
0,8 pct. fra ca. 0,5 pct. i den mellemfristede fremskrivning fra september. Det skaber samtidig et
betydeligt, underliggende pres på den offentlige økonomi, hvor rammerne frem mod 2020 i forve-
jen er stramme. Det skærper yderligere kravene til løbende at effektivisere og prioritere driften i
den offentlige sektor.
Der er stor usikkerhed forbundet med de kommende års asyltilstrømning, og regeringen har
indført en række initiativer for at reducere tilstrømningen og gøre det mindre attraktivt at søge
asyl i Danmark. Samtidig har regeringen indgået toparts- og trepartsaftaler for at understøtte en
beskæftigelsesrettet integrationsindsats samt skabe mere fleksible rammer for kommunerne til at
håndtere integrationen af de nytilkomne flygtninge.
Asyltilstrømningen i de seneste år og fremover
19. april 2016
Der har de seneste år været en markant stigning i antallet af asylansøgere i Dan-
mark. Siden 2011 er antallet af asylansøgere steget støt, og i 2015 nåede antallet et
historisk højt niveau på ca. 21.200 asylansøgere,
jf. figur 1.
I takt med det stigende antal asylansøgere er antallet af opholdstilladelser til flygt-
ninge og familiesammenførte til flygtninge ligeledes steget markant de seneste år. I
2011 blev der meddelt ca. 2.800 opholdstilladelser til asylansøgere og familiesam-
menførte til flygtninge, mens dette steg til knap 19.000 opholdstilladelser i 2015.
UUI, Alm.del - 2015-16 - Bilag 141: Kopi af notat fra finansministeren af 19/4 2016 om, at den øgede flygtningetilstrømning lægger pres på de offentlige finanser
1622926_0002.png
Side 2 af 9
Stigningen i antallet af opholdstilladelse kan udover den øgede asyltilstrømning
også henføres til en stigende anerkendelsesprocent – dvs. den andel af asylansøge-
re, som opnår opholdstilladelse.
1
Figur 1
Asyltilstrømningen siden 2011
1.000 personer
6
5
4
3
2
1
0
11
12
13
14
15
16
Asyltilstrømning pr. måned
Samlet tilstrømning for året (h. akse)
1.000 personer
30
25
20
15
15
15
10
5
0
11
12
13
14
15
16
17
18
19
Antallet af familiesammenføringer til flygtninge
Antallet af opholdstilladelser på asylområdet
Figur 2
Opholdstilladelser afledt af asyltilstrømningen
1.000 personer
35
30
25
20
1.000 personer
FL16 forudsætninger
35
30
25
20
10
5
0
10
5
0
Kilde: Udlændinge, Integrations- og Boligministeriet (UIBM), Nyidanmark.dk, finansloven for 2016 og egne
beregninger.
I den kommende 2020-fremskrivning af dansk økonomi, som offentliggøres i
Danmarks Konvergensprogram 2016
i april, indarbejdes en justeret befolkningsprog-
nose med en opjustering af antallet af ikke-vestlige indvandrere. Det afspejler æn-
dringen i antallet af opholdstilladelser til asylansøgere og familiesammenførte til
herboende flygtninge i perioden fra 2015-2019, således at antallet matcher forud-
sætningerne fra finansloven for 2016.
I den opdaterede befolkningsprognose øges befolkningen med knap 100.000 per-
soner frem mod 2020 i forhold til den seneste befolkningsprognose fra maj 2015,
jf. tabel 1.
Det er især antallet af personer i den erhvervsaktive alder og børn, der
stiger. Andelen af ældre blandt de nytilkomne er meget begrænset.
Tabel 1
Udviklingen i befolkningen siden 2014 som følge af den øgede tilstrømning
2015
1.000 personer
Merindvandring i den justerede
befolkningsprognose
8
25
47
67
83
97
2016
2017
2018
2019
2020
Anm.: Befolkningen er medioficeret. Der tages højde for genudvandring, dødelighed, fertilitet mv. Tabellen afviger
fra data for tilkendte opholdstilladelser, der opgøres ultimo året.
Kilde: DREAM på baggrund af data fra UIBM og egne beregninger.
1
I 2011 var anerkendelsesprocenten 33 pct., mens den i 2015 er steget til 85 pct. Ændringen i anerkendelses-
procenten kan både henføres til en ændret nationalitetssammensætning blandt asylansøgerne og ændrede
anerkendelsesprocenter inden for hver nationalitet. Anerkendelsesprocenten er opgjort på basis af de afgørel-
ser, som Udlændingestyrelsen træffer i løbet af det angivne år.
UUI, Alm.del - 2015-16 - Bilag 141: Kopi af notat fra finansministeren af 19/4 2016 om, at den øgede flygtningetilstrømning lægger pres på de offentlige finanser
1622926_0003.png
Side 3 af 9
Der er betydelig usikkerhed om de kommende års asyltilstrømning, og der er gen-
nemført en række initiativer for at reducere tilstrømningen af asylansøgere,
jf. boks
1.
Boks 1
Initiativer vedrørende asylansøgere og migranter
I lyset af den ekstraordinært store tilstrømning af flygtninge og migranter til mange europæiske lande, herunder
Danmark, er der vedtaget lovgivning, der gør det mindre attraktivt at søge asyl i Danmark.
Konkret drejer det sig bl.a. om følgende initiativer:
Indførelse af integrationsydelse til herboende og nytilkomne flygtninge.
Begrænsning af varigheden af midlertidige opholdstilladelser til flygtninge til to år for flygtninge med
konventionsstatus og ét år for flygtninge med beskyttelsesstatus.
Udskydelse af retten til familiesammenføring for flygtninge med midlertidig beskyttelse til tre år.
Skærpelse af adgangen til at opnå permanent opholdstilladelse.
Stramning af reglerne om inddragelse af flygtninges opholdstilladelse mv.
Gebyrbetaling, så der genindføres gebyrer på familiesammenføringsområdet, og der indføres gebyrbetaling for
ansøgning om permanent opholdstilladelse fra flygtninge mv.
Øget egenbetaling for asylansøgeres ophold i Danmark.
Nedsættelse af de økonomiske ydelser til asylansøgere med 10 pct.
Tilbagerulning af ekstraordinær asylrådgivning.
Afskaffelse af asylansøgeres mulighed for at blive indkvarteret i selvstændige og særlige boliger uden for
centrene mv.
Genindførelse af ”integrationspotentialekriteriet” ved udvælgelse af kvoteflygtninge.
Afskaffelse af statens betaling for transport til familiesammenførte til herboende flygtninge.
Danmark har taget imod relativt mange flygtninge i forhold til landets størrelse, også sammenlignet med en række
europæiske lande. Regeringen har med to- og trepartsaftalerne med henholdsvis Kommunernes Landsforening og
arbejdsmarkedets parter skabt rammerne for en bedre integration af de flygtninge, der får opholdstilladelse, i det
danske samfund.
Direkte udgifter knyttet til tilstrømningen af flygtninge
De direkte udgifter forbundet med asylansøgere og flygtninge kan overordnet set
inddeles i asyl- og integrationsfasen.
Asylfasen
vedrører tiden, fra en person søger
asyl i Danmark, til vedkommende får opholdstilladelse eller bliver afvist/udrejser.
Udgifterne i denne fase afholdes af staten og vedrører indkvartering på asylcentre,
økonomiske ydelser til og aktivering af asylansøgere, sagsbehandling i udlændin-
gemyndighederne og håndtering af afviste asylansøgere.
Integrationsfasen
vedrører tiden, efter en asylansøger har fået opholdstilladelse i
Danmark og visiteres til en kommune, der har ansvaret for integrationen. Udgif-
terne i denne fase vedrører integrationsydelse, integrationsprogram, sociale ydelser
mv. Udgifterne i denne fase afholdes af kommunerne, hvor det gælder, at kom-
munernes direkte udgifter til flygtninge og familiesammenførte til flygtninge under
er ét fuldt ud finansieret via statsrefusion, resultattilskud, bloktilskud (budgetga-
ranti) mv.
Asyltilstrømningen har medført, at udgifterne til asyl og integration er steget mar-
kant i de seneste år, og på finansloven for 2016 er der budgetteret med samlede
UUI, Alm.del - 2015-16 - Bilag 141: Kopi af notat fra finansministeren af 19/4 2016 om, at den øgede flygtningetilstrømning lægger pres på de offentlige finanser
1622926_0004.png
Side 4 af 9
offentlige udgifter på knap 11 mia. kr. i 2016, heraf udgør asylfasen 4,4 mia. kr.
2
Udgifterne skønnes at stige til ca. 12�½ mia. kr. i 2020,
jf. figur 3.
Stigningen i de
direkte udgifter frem mod 2020 kan først og fremmest tilskrives udgifter til inte-
grationsydelse.
Figur 3
Direkte offentlige udgifter til asyl og integration
Mia. kr.
14
12
10
8
6
4,6
4
2
0
2013
2014
2015
Integrationsfasen
2016
2017
2018
Asylfasen
2019
2020
3,6
4
2
0
9,2
11,9
10,9
12,5
12,5
12,6
12
10
8
6
Mia. kr.
14
Anm.: Det er lagt til grund, at antalsforudsætningerne i 2020 er identiske med 2019. Tallene er baseret på UIBM’s
prognoser for asylansøgere og opholdstillader på finansloven for 2016. For 2017-2020 anvendes dog
Finansministeriets opdaterede skøn for personer på integrationsydelse. I udgiftsskønnene for integrations-
fasen indgår også udgifter til familiesammenførte til flygtninge.
Kilde: UIBM og egne beregninger.
Det skal bemærkes, at flygtningetilstrømningen i mindre omfang også påvirker
andre overførselsordninger end integrationsydelsen. Det gælder fx SU, børnefami-
lieydelse og boligstøtte.
Skønnene er blandt andet baseret på finanslovens forudsætning om, at der kom-
mer 25.000 asylansøgere til Danmark i 2016 og 15.000 årligt i 2017-2019. Ændrin-
ger i denne forudsætning og forudsætningerne for antallet af opholdstilladelser
kan selvsagt medføre ændringer af udgiftsskønnene.
Øget demografisk træk som følge af flygtningetilstrømningen
Frem mod 2020 øges befolkningen betydeligt som følge af de nytilkomne flygt-
ninge og familiesammenførte, og det medfører et større træk på de offentlige ser-
viceydelser. Det gælder fx udgifter til undervisning, sundhedsydelser og sociale
indsatser.
For at vise omfanget af det underliggende udgiftstræk kan det såkaldte demografi-
ske træk beregnes. Det demografiske træk illustrerer groft sagt udgiftstrækket på
En del af de offentlige udgifter til asyl og integration kan opgøres som udviklingsbistand (DAC-finan-
siering). Det følger OECD’s regler om, at udgifter forbundet med asylansøgeres og flygtninges første år i
modtagerlandet kan opgøres som udviklingsbistand. I takt med stigende offentlige udgifter til asyl og integra-
tion er de udgifter, der DAC-finansieres, ligeledes steget. På finansloven for 2016 er der budgetteret med, at
ca. 4,4 mia. kr. kan finansieres via udviklingsbistand i 2016. Udgifter til asyl og integration, der ikke kan DAC-
finansieres, finansieres på almindelig vis på finansloven.
2
UUI, Alm.del - 2015-16 - Bilag 141: Kopi af notat fra finansministeren af 19/4 2016 om, at den øgede flygtningetilstrømning lægger pres på de offentlige finanser
1622926_0005.png
Side 5 af 9
det offentlige forbrug, som befolkningsudviklingen isoleret set medfører, såfremt
den reale udgift pr. bruger fastholdes uændret.
3
Den øgede tilstrømning betyder, at det beregnede demografiske træk opjusteres
fra 0,5 pct. årligt til ca. 0,8 pct. i perioden 2016-2020,
jf. figur 4.
Beregningen byg-
ger på den justerede befolkningsprognose, hvor befolkningen øges med knap
100.000 personer frem mod 2020 i forhold til den befolkningsprognose, som lå til
grund for 2020-fremskrivingen fra september,
jf. figur 5.
Figur 4
Demografisk træk på offentlige serviceydelser
i perioden 2016-2020
Pct.
1,0
0,8 pct.
Pct.
1,0
Figur 5
Befolkningsudviklingen med øget
flygtningetilstrømning frem mod 2020
1.000 personer
6.000
5.900
1.000 personer
6.000
5.900
5.800
5.700
5.600
5.500
5.400
5.300
05 06 07 08 09 10 11 12 13 14 15 16 17 18 19 20
Befolkningsprognose i septemberfremskrivning
Justeret befolkningsprognose med merindvandring
0,8
0,8
5.800
0,6
0,5 pct.
0,6
5.700
5.600
5.500
0,4
0,4
0,2
0,2
5.400
0,0
Demografisk træk i
septemberfremskrivning
Demografisk træk med øget
tilstrømning
0,0
5.300
Anm.: Se anmærkning til tabel 1.
Kilde: DREAM, Danmarks Statistik og egne beregninger.
Opjusteringen af det demografiske træk svarer for perioden 2017-2020 til samlet
set en forøgelse af det mekanisk beregnede træk på ca. 6�½ mia. kr., hvoraf trækket
på de individuelle offentlige serviceydelser, som sundhed, undervisning og social
beskyttelse, stiger med ca. 4�½ mia. kr.,
jf. tabel 2 og figur 6.
Den resterende del ud-
gøres af trækket på det kollektive offentlige forbrug, så som forsvar, politi, admi-
nistration mv.
Beregningen af det demografiske træk er af ren mekanisk karakter. Der er en ræk-
ke forbehold, som skal holdes for øje i forbindelse med fortolkningen af det de-
mografiske træk. Fx tager beregningen ikke højde for faldende marginalomkost-
ninger for nye brugere af den offentlige service
4
,
jf. boks 2.
Navnlig hvad angår det
kollektive forbrug, vil en stigning i befolkningen ikke automatisk afstedkomme en
proportional stigning i disse udgifter.
I beregningen korrigeres der delvis for sund aldring. Det betyder, at der for blandt andet sundhedsudgifterne
indregnes en lavere vækst i takt med bedre helbred og lavere dødelighed i den enkelte aldersgruppe. I bereg-
ningen tages der endvidere højde for forskelle på tværs af herkomst, alder og køn.
4
I beregningen tages der som nævnt højde for, at de gennemsnitlige offentlige udgifter er forskellige på tværs
af køn, alder og herkomst.
3
UUI, Alm.del - 2015-16 - Bilag 141: Kopi af notat fra finansministeren af 19/4 2016 om, at den øgede flygtningetilstrømning lægger pres på de offentlige finanser
1622926_0006.png
Side 6 af 9
Tabel 2
Opjustering af det demografiske træk som
følge af merindvandring
Figur 6
Opjustering af det demografiske træk fordelt
på underposter
Mia. kr. (2016-priser)
Mia. kr. (2016-priser)
7
6
5
Individuelt
offentligt
forbrug
4
3
2
1
0
Ændring i det demografiske træk
Kultur, fritid mv.
Undervisning
Sundhed
Kollektivt forbrug
Social beskyttelse
Ændring
Mia. kr. (2016-priser)
Individuelt offentligt forbrug
Kollektivt offentligt forbrug
Samlet
4,5
1,9
6,4
7
6
5
4
3
2
1
0
Anm.: Ændringen er opgjort med udgangspunkt i niveauet for 2016.
Kilde: DREAM, Danmarks Statistik og egne beregninger.
Boks 2
Det demografiske træk er et beregningsteknisk mål, som ikke kan oversættes direkte til merudgifter
Det demografiske træk er et beregningsteknisk mål for størrelsen af det træk på offentligt forbrug, som befolknings-
udviklingen isoleret set medfører, når den reale udgift pr. bruger fastholdes, og når antallet af brugere i hver alders-
gruppe følger befolkningsudviklingen (korrigeret for delvis sund aldring).
Det demografiske træk anvendes primært som et element i en langsigtet holdbarhedsberegning og er således ikke
møntet på at foretage beregninger af fx det præcise udgiftstræk for de offentlige delsektorer. Der er således en ræk-
ke forbehold, man skal holde sig for øje, når det demografiske træk fortolkes:
Der tages ikke højde for, at omkostningen ved en ekstra bruger kan adskille sig fra de gennemsnitlige omkost-
ninger pr. bruger.
Der tages ikke højde for eventuelle offentlige produktivitetsforbedringer som følge af ny teknologi, bedre organi-
sering af arbejdet mv.
Der indregnes ikke adfærdsændringer som fx øget uddannelsestilbøjelighed eller ændret træk på sundhedsvæ-
senet som følge af nye mere effektive behandlingsmuligheder.
Set i lyset af disse forbehold indgår det demografiske træk kun som ét blandt mange inputs i grundlaget for udgifts-
politikken.
Flygtningetilstrømningens betydning for råderummet i finanspolitikken
De øgede udgifter i forbindelse med tilstrømningen kan i et vist omfang modgås
af, at de nytilkomne flygtninge efterhånden forventes at komme i beskæftigelse.
Samlet set skønnes asyltilstrømningen isoleret set at øge beskæftigelsen med ca.
23.000 personer i 2020,
jf. figur 7.
I beregningen er de seneste års erfaringer med arbejdsmarkedstilknytningen for
flygtninge og familiesammenførte til flygtninge lagt til grund. Det er blot ca. 30
pct. af flygtninge og familiesammenførte til flygtninge i den erhvervsaktive alder,
som er i beskæftigelse efter tre år i Danmark. Det er væsentligt lavere end for ik-
ke-vestlige indvandrere set under ét, hvor beskæftigelsesfrekvensen er ca. 50 pct.,
jf. figur 8.
UUI, Alm.del - 2015-16 - Bilag 141: Kopi af notat fra finansministeren af 19/4 2016 om, at den øgede flygtningetilstrømning lægger pres på de offentlige finanser
1622926_0007.png
Side 7 af 9
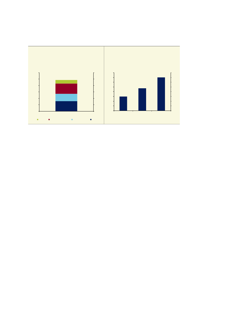
Figur 7
Befolkningsstigningen fordelt på aktivitet
Figur 8
Beskæftigelsesfrekvenser på tværs af
herkomst for 15-64 årige
Pct.
80
70
60
Pct.
80
70
60
50
40
30
20
10
0
Flygtninge og
familiesammenførte
til flygtninge
(efter 3 år)
Ikke-vestlige
indvandrere
Personer med dansk
oprindelse
1.000 personer
120
100
80
60
40
20
0
Ændring i befolkningen
Øvrige
Integrationsydelse
97.000 personer
1.000 personer
120
100
80
60
40
20
0
50
40
30
20
10
0
Beskæftigelse
Børn
Anm.: Figur 7 viser forskellen mellem den justerede befolkningsprognose og befolkningsprognosen fra maj 2015
fordelt på socioøkonmiske grupper. I figur 8 er beskæftigelsesfrekvensen for ikke-vestlige indvandrere og
personer med dansk oprindelse opgjort for den samlede gruppe (og ikke efter opholdstid). Beskæftigelses-
frekvensen er opgjort som et gennemsnit for 15-64 årige i perioden 2010-2013.
Kilde: DREAM, Danmarks Statistik og egne beregninger.
Hovedparten af indvandrerne i den erhvervsaktive alder vurderes således at være
på passiv forsørgelse – herunder først og fremmest den nye integrationsydelse til
herboende og nytilkomne flygtninge.
Med de aktuelle forudsætninger for blandt andet beskæftigelsesfrekvensen mod-
svarer skattebetalingerne fra de personer, der antages at komme i arbejde, omtrent
de forventede udgifter til overførsler for dem, som ikke forventes at komme i
arbejde. Dem, der kommer i beskæftigelse kan så at sige lige betale integrations-
ydelsen og andre overførsler til dem, der ikke kommer i beskæftigelse. Det bety-
der, at asyltilstrømningen skønnes at være omtrent neutral for det finanspolitiske
råderum.
Denne beregning tager imidlertid ikke højde for de øgede direkte driftsudgifter
knyttet til flygtningetilstrømningen, fx indkvartering i asylfasen, danskundervis-
ning i integrationsprogrammet mv. Disse udgifter skal afholdes inden for råde-
rummet,
jf. boks 3.
Hertil kommer det øgede udgiftstræk på almindelige offentlige
serviceydelser, som undervisning og sundhed, som følge af den øgede befolkning.
Udfordringen for de offentlige finanser af den øgede asyltilstrømning er således, at
dem, der kommer i beskæftigelse alene kan betale integrationsydelsen og andre
overførsler for dem, der ikke kommer i arbejde, og så skal alle øvrige udgifter rela-
teret til integrationen – og øvrige offentlige serviceudgifter relateret til den for-
øgede befolkning håndteres inden for råderummet.
For at sikre at kommunerne har de rette, fleksible rammer til at modtage og inte-
grere det betydelige antal af flygtninge, har regeringen indgået en topartsaftale
med Kommunernes Landsforening. Med aftalen er der blandt andet enighed om
en række tiltag, som samlet set lemper de krav, der stilles til kommunerne på inte-
UUI, Alm.del - 2015-16 - Bilag 141: Kopi af notat fra finansministeren af 19/4 2016 om, at den øgede flygtningetilstrømning lægger pres på de offentlige finanser
1622926_0008.png
Side 8 af 9
grationsområdet. Samtidig styrkes kommunernes muligheder for at boligplacere
flygtninge, idet at det blandt andet er aftalt, at kommunerne ydes statslige økono-
miske tilskud til etablering af midlertidige indkvarteringsmuligheder såvel som nye,
små almene boliger.
Boks 3
Flygtningetilstrømningens betydning for det finanspolitiske råderum
Det finanspolitiske råderum opgøres efter, hvad der er råd til inden for målet om strukturel balance i 2020 og er op-
gjort i forhold til en situation med real nulvækst i det samlede offentlige forbrug. Øgede udgifter til offentligt forbrug
vil teknisk set skulle afholdes inden for råderummet. Når effekten på råderum skal opgøres, er det derfor alene de
øgede udgifter til indkomstoverførsler (integrationsydelse, børnefamilieydelse og SU) og de øgede indtægter fra
stigningen i beskæftigelsen, som indregnes. Udgifter til integrationsprogram, grundtilskud til kommuner, indkvar-
tering mv., der indgår i det offentlige forbrug, vil skulle finansieres inden for det pågældende råderum. Flygtninge-
tilstrømningen vurderes isoleret set at være omtrent neutral for råderummet.
Effekten på de offentlige finanser er følsom over for den forudsatte asyltilstrømning i de kommende år og kan blive
revideret, efterhånden som forudsætningerne for indvandringen opdateres. Hertil kommer, at effekten afhænger af
de underliggende forudsætninger, fx antagelserne for beskæftigelsesfrekvensen og lønindkomst ved beskæftigelse.
På grund af flygtningenes lave tilknytning til arbejdsmarkedet er der et betydeligt
forbedringspotentiale for de offentlige finanser ved, at flygtninge i højere grad kan
forsørge sig selv. For at fremme en beskæftigelsesrettet integration har regeringen,
kommunerne og arbejdsmarkedets parter med toparts- og trepartsaftaler skabt en
ramme for den fremtidige indsats. Initiativerne understøtter samtidig regeringens
sigtelinje, hvor hver anden nytilkommen flygtning skal være i beskæftigelse efter 3
år. Indfrielse af sigtelinjen vil kunne øge det finanspolitiske råderum med i størrel-
sesordenen 2�½ mia. kr. i 2020,
jf. boks 4.
UUI, Alm.del - 2015-16 - Bilag 141: Kopi af notat fra finansministeren af 19/4 2016 om, at den øgede flygtningetilstrømning lægger pres på de offentlige finanser
1622926_0009.png
Side 9 af 9
Boks 4
Flere flygtninge i arbejde vil øge det finanspolitiske råderum
Regeringen har opstillet en sigtelinje, hvor hver anden flygtning og familiesammenførte skal være i arbejde senest
efter tre år i Danmark,
jf. figur a.
Det skal ses i lyset af, at der er en betydelig gevinst for den enkelte og den offentli-
ge økonomi, når flygtninge i højere grad kan forsørge sig selv. Hver flygtning, som overgår fra integrationsydelse til
fuldtidsbeskæftigelse på en gennemsnitlig mindsteløn, vil forbedre de offentlige finanser med ca. 200.000 kr. årligt.
Med indfrielse af regeringens sigtelinje vil beskæftigelsen stige med op mod 15.000 personer i 2020, og det finans-
politiske råderum øges med i størrelsesordenen 2�½ mia. kr. i 2020,
jf. tabel a.
Det skal bemærkes, at forbedringen af råderummet kun vil indtræde, hvis der er tale om et strukturelt løft af beskæf-
tigelsesfrekvensen. Konjunkturfremgangen i de kommende år, som i sig selv må forventes at give et positivt bidrag
til beskæftigelsen for flygtninge og familiesammenførte, vil således ikke medgå til at indfri sigtelinjen.
Det er efter Finansministeriets normale regneprincipper lagt til grund, at den stigning i arbejdsudbuddet, som følger
fra den øgede indvandring, over årerne slår i en omtrent tilsvarende stigning i beskæftigelsen – uden at det på læn-
gere sigt fortrænger anden beskæftigelse, herunder fx beskæftigelsen hos andre grupper af indvandrere og græn-
searbejdere.
Figur a
Sigtelinje for beskæftigelsesfrekvensen for
15-64 årige efter opholdstid
Pct.
60
50
40
30
20
10
0
0
1
2
3
4
5
6
7
8
9
10
Opholdstid, år
Sigtelinje for beskæftigelsesprofil
Pct.
60
50
40
30
20
10
0
Tabel a
Effekt af indfrielse af regeringens sigtelinje i
2020
Effekt i 2020
Beskæftigelse
(1.000 personer)
Råderum
(mia. kr.)
14,5
2�½
Flygtninge og familiesammenførte til flygtninge
Alternativ beskæftigelsesprofil
Anm.: I beregningen anvendes en årsløn baseret på mindstelønnen inden for overenskomstområderne: butik (ufag-
lært), industri, restauration (ufaglært) og rengøring, svarende til ca. 235.000 kr. (ekskl. pension) for en
fuldtidsbeskæftiget. I effektberegningen i tabel a tages der højde for, at nogle flygtninge ikke arbejder fuldtid.
Det er forudsat, at sigtepunktet også gælder for de flygtninge og familiesammenførte, der er kommet til lan-
det før 2015. Der er således også indregnet en effekt af at øge beskæftigelsesfrekvensen til 50 pct. for allere-
de herboende flygtninge og familiesammenførte.
Kilde: DREAM og egne beregninger.