Udvalget for Landdistrikter og Øer 2015-16
ULØ Alm.del Bilag 13
Offentligt
1556902_0001.png
Indikatorer for kvalitet på små udbud
Undersøgelse af små udbud på erhvervsakademier og
professionshøjskoler
ULØ, Alm.del - 2015-16 - Bilag 13: 'Indikatorer for kvalitet på små udbud' udgivet af Danmarks Evalueringsinstitut
1556902_0002.png
Indhold
Indledning
Konklusion og resumé
Akkrediteringsafgørelser
Beskæftigelse
Afgangsprojektkarakterer
Afbrudsestimater
Karakterer fra adgangsgivende eksamen
Fem små udbud med betinget akkreditering
Bilag
Akkrediteringsafgørelser
Beskæftigelse
Afgangsprojektkarakterer
Afbrudsestimater
Litteraturstudie
Dokumentation og metode
3
7
9
13
16
18
22
24
27
28
32
35
36
41
43
INDIKATORER FOR KVALITET PÅ SMÅ UDBUD
2
ULØ, Alm.del - 2015-16 - Bilag 13: 'Indikatorer for kvalitet på små udbud' udgivet af Danmarks Evalueringsinstitut
1556902_0003.png
Indledning
Indledning
Der findes hverken danske eller internationale studier af sammenhænge mellem udbudsstørrelse
og uddannelseskvalitet. Denne rapport beskriver det umiddelbare billede, som fremkommer, når
man sammenholder en række indikatorer for kvalitet med antallet af optagne studerende. Rent
metodisk tillader datagrundlaget ikke at pege på forklarende sammenhænge, og undersøgelsen
har derfor primært en eksplorativ og hypotesegenererende karakter.
Har erhvervsakademierne og professionshøjskolerne
kvalitetsudfordringer med hensyn til små uddannelses-
udbud? Det spørgsmål har Udvalg for Kvalitet og Rele-
vans i de Videregående Uddannelser (Kvalitetsudvalget)
bedt Danmarks Evalueringsinstitut (EVA) om at undersø-
ge.
FIRE INDIKATORER FOR KVALITET
miljøer med mulighed for bedre læring og mindre fra-
fald.
På den negative side kan undervisergruppen være så lille,
at underviserne samlet set ikke har mulighed for at dæk-
ke alle fagområder inden for en uddannelse til skade for
det faglige niveau og den løbende ajourføring af indhol-
det i undervisningen.
I denne rapport bliver kvalitetsudfordringerne på små
uddannelsesudbud belyst med udgangspunkt i fire indi-
katorer for kvalitet. Se boks. Man kan nemt forestille sig
andre indikatorer for kvalitet, og de giver samlet og hver
for sig netop kun en indikation på den faglige kvalitet af
et uddannelsesudbud. De ovennævnte indikatorer er
primært valgt ud fra, at der eksisterer tilgængelige regi-
sterdata om netop disse indikatorer.
Indikatorerne har hver især fokus på forskellige aspekter
af uddannelseskvalitet:
Undersøgelsen inddrager data om:
• Akkrediteringsafgørelser
• Dimittenders beskæftigelsesgrad
• Karakterer for afgangsprojekter
Afbrudsestimater.
Desuden inddrager undersøgelsen data om de stude-
rendes karakterer fra den adgangsgivende eksamen.
Man kan opstille hypoteser om både positive og negative
effekter af, at studerende bliver undervist på små ud-
dannelsesudbud med begrænset optag og få undervise-
re. På den positive side kan der være tættere kontakt
mellem underviserne og de studerende i små faglige
Akkrediteringsafgørelserne giver et indblik i, hvordan de
akkrediterede udbud er blevet vurderet i forhold til en
række kriterier for kvalitet og relevans, herunder hvorvidt
udbuddene formår at skabe rammerne for at sikre en høj
kvalitet og relevans.
INDIKATORER FOR KVALITET PÅ SMÅ UDBUD
3
ULØ, Alm.del - 2015-16 - Bilag 13: 'Indikatorer for kvalitet på små udbud' udgivet af Danmarks Evalueringsinstitut
1556902_0004.png
Indledning
Beskæftigelsesgraden for nyuddannede kan sige noget
om udbuddenes evne til at klæde deres dimittender på
til arbejdsmarkedet. Der er flere andre faktorer, der
spiller ind i forhold til beskæftigelsen, men det er fakto-
rer, der i mange tilfælde vil være ens for både små og
store udbud.
Afgangsprojektkarakteren kan sige noget om det faglige
niveau for dimittender på udbudsstedet, og forskellen på
karaktergennemsnittene på de enkelte udbud kan give
et indblik i, om der er niveauforskelle udbuddene imel-
lem. Det er vigtigt at bemærke, at vi udelukkende ser på
afgangsprojektkarakterer på professionsbacheloruddan-
nelser udbudt af professionshøjskolerne, og at data
udelukkende inkluderer karakterer for de beståede af-
gangsprojekter.
Studieafbrud kan være en vigtig indikator for kvalitet af
et uddannelsesudbud, da mange afbrud kan være udtryk
for problemer, fx med at levere en motiverende under-
visning, med at skabe faglige udfordringer og progressi-
on på et passende niveau og med i det hele taget at
etablere et attraktivt og fastholdende studiemiljø.
Karakterniveauet ved de studerendes adgangsgivende
eksamen er i sig selv ikke en indikator for kvalitet. De
studerendes niveau ved indgangen til uddannelsen er en
baggrundsfaktor, der kan være med til at forklare for-
skellene på, hvordan de enkelte uddannelsesudbud
placerer sig i analyserne af de fire kvalitetsindikatorer,
herunder om nogle af udbuddene i udgangspunktet har
vanskeligere vilkår for at skabe kvalitet og høj faglighed.
en akkreditering, men som nye udbud i forbindelse med
deres etablering.
Det kan lade sig gøre at nærme sig et forklarende niveau
med et bredere datagrundlag og mere avancerede stati-
stiske analyser, end det har været muligt inden for ram-
merne for denne undersøgelse. Se boks nedenfor.
For hver indikator bliver det undersøgt, om der er et
mønster i, hvordan resultater og nøgletal ser ud for hhv.
små og store uddannelsesudbud.
I 2012 havde erhvervsakademierne og professionshøjsko-
lerne samlet set 332 udbud
1
forstået som lokaliteter,
hvor studerende kan søge om optagelse på de forskellige
erhvervsakademi- og professionsbacheloruddannelser. I
analyserne er udbuddene blevet placeret i fire nogenlun-
de lige store grupper (kvartiler) ud fra optaget af stude-
rende i 2012:
1 Små udbud med op til 30 optagne
2 Mindre udbud med 31-70 optagne
3 Mellemstore udbud med 71-140 optagne
4 Store udbud med mere end 140 optagne.
Indplaceringen i grupper er sket uden skelen til erhvervs-
akademiernes og professionshøjskolernes faktiske orga-
nisering af uddannelsesudbuddene, fx når en professi-
onshøjskole betragter udbud af læreruddannelsen i to
forskellige byer som ét udbud med fælles ledelse og
underviserkorps. Der er heller ikke skelet til, om et ud-
dannelsesudbud er samlokaliseret med beslægtede ud-
dannelser, fx hvis et udbud af markedsføringsøkonom-
uddannelsen ligger sammen med udbud af andre mer-
kantile erhvervsakademiuddannelser. Både undervisere
og studerende på et lille uddannelsesudbud kan altså
opleve at være en del af et større fagligt miljø, end talle-
ne for det årlige studenteroptag umiddelbart giver ind-
tryk af.
Undersøgelsens statistiske data kommer oprindelig fra
Den Koordinerede Tilmelding (KOT), UNI•C’s databank
og institutionernes studieadministrative systemer. Data er
leveret af sekretariatet for Kvalitetsudvalget. Desuden
inddrages tal for akkrediteringsafgørelser samt kvalitativt
materiale fra akkrediteringsvurderinger.
Datagrundlag og analysedesign
Analyserne i rapporten bevæger sig på et deskriptivt
niveau. Det er vigtigt at være opmærksom på, at det
foreliggende datagrundlag ikke giver mulighed for at
pege på forklarende sammenhænge (kausalitet) mellem
udbudsstørrelse og uddannelseskvalitet. En tilsyneladen-
de sammenhæng mellem de to faktorer kan med andre
ord risikere at være udtryk for en tilfældighed.
Analyserne er blevet begrænset af et lille datagrundlag.
Der er især et problem med et lille datagrundlag i de
analyser, hvor data bliver opdelt i fx fagområder eller
uddannelsesretninger. Samtidig er der for enkelte af
indikatorerne manglende data om en del af udbuddene,
hvilket kun gør problemstillingen med et lille datagrund-
lag større. I forhold til akkrediteringerne er datagrundla-
get begrænset af, at der endnu samlet set kun er akkre-
diteret 105 udbud som eksisterende udbud, hvoraf kun
8 er små udbud. Reelt har langt flere udbud gennemgået
1
Der indgår 332 udbud med optag i 2012 i datamaterialet. Dette
inkluderer Danmarks Medie- og Journalisthøjskole samt tekniske sko-
ler, der udbyder erhvervsakademiuddannelser i samarbejde med et
erhvervsakademi.
INDIKATORER FOR KVALITET PÅ SMÅ UDBUD
4
ULØ, Alm.del - 2015-16 - Bilag 13: 'Indikatorer for kvalitet på små udbud' udgivet af Danmarks Evalueringsinstitut
1556902_0005.png
Indledning
HVORDAN KAN MAN TESTE, OM UDBUDSSTØR-
RELSE HAR BETYDNING FOR KVALITET?
Kvasi-eksperimentelle design kommer tættere på
at teste kausale sammenhænge
Rapporten indeholder en deskriptiv analyse af små
udbudssteder. En deskriptiv analyse som denne kan
udelukkende være hypotesegenererende i forhold til at
pege på, om udbudsstørrelsen har en betydning for
kvalitet. Hvis man vil have mere sikker viden om ud-
budsstørrelsens betydning for kvalitet, kan man anven-
de et kvasi-eksperimentelt design. Ved et kvasi-
eksperimentelt design forsøger man ad statistisk vej at
gøre små udbud sammenlignelige med store udbud
med hensyn til alle andre faktorer end selve udbuddets
størrelse. Det kunne fx være, at der er systematisk
forskel på elevgrundlaget for store og små udbud, eller
at der er systematisk forskel på, hvilke jobmuligheder
dimittender fra hhv. store og små udbud har. Ved at
tage højde for disse forskelle kan man med større
sikkerhed konkludere, om det faktisk er udbuddets
størrelse, der har betydning for kvalitet.
udbudssteder. Det gælder for erhvervsakademiuddannel-
serne til procesteknolog, automationsteknolog og Danish
Addiction Counselor. For professionsbacheloruddannel-
serne gælder det samme for uddannelserne laboratorie-,
fødevare- og procesteknologi, produktudvikling og tek-
nisk integration, kristendom, kultur og kommunikation,
billedjournalist, medie- og sonokommunikation samt
jordbrugsvirksomhed.
Der er også uddannelser, hvor der ikke eksisterer små
udbud. For erhvervsakademiuddannelserne drejer det sig
om 6 uddannelser, mens det for professionsbachelorud-
dannelserne gælder 23 forskellige uddannelser.
Det er vigtigt at bemærke, at 24 ud af de 35 professi-
onsbacheloruddannelser, der falder inden for kategorien
små udbud, bliver udbudt af erhvervsakademier. Hoved-
parten af disse uddannelser er overbygningsuddannelser
(top-up) på en erhvervsakademiuddannelse. Se i øvrigt
tabel 1 på næste side.
Rapportens opbygning
Konklusionen tegner et samlet billede af kvalitetsudfor-
dringerne på små uddannelsesudbud, mens de enkelte
indikatorer samt data om karakterer fra den adgangsgi-
vende eksamen behandles i individuelle afsnit. Rapporten
indeholder afslutningsvis et kvalitativt afsnit, som beskri-
ver udfordringer for små uddannelsesudbud baseret på
en tværlæsning af akkrediteringsvurderinger.
Metodisk har det været nødvendigt at træffe en række
valg i analyseprocessen. De vigtigste valg præsenteres
løbende i analyseafsnittene, og et appendiks sidst i rap-
porten redegør samlet for undersøgelsens metode.
Som led i undersøgelsen har EVA i samarbejde med Det
Administrative Bibliotek gennemført en omfattende
søgning efter forskningslitteratur om sammenhænge
mellem udbudsstørrelse og uddannelseskvalitet på
dansk, svensk, norsk, tysk og engelsk. Det lykkedes ikke
at identificere relevante titler trods en bred søgestrategi.
Enkelte titler har omhandlet relaterede problemstillinger,
fx betydningen af holdstørrelser og kritisk masse i forsk-
ningsmiljøer, men ikke uddannelses- eller udbudsstørrel-
se. Det har med andre ord ikke været muligt at stå på
skuldrene af tidligere undersøgelsers metoder og resulta-
ter. Metodeappendikset redegør for fremgangsmåden i
litteratursøgningen.
Undersøgelsen er gennemført i februar 2014 af konsu-
lenterne Tue Vinther-Jørgensen og Frederik Mühldorff
Sigurd med bistand fra metodekonsulent Thomas Hem
Pedersen og evaluerings- og metodemedarbejderne
Andreas Terp og Maria Havgry.
Karakteristik af små udbud
De små udbud er for lige over halvdelens vedkommende
(54 %) erhvervsakademiuddannelser, og de resterende
(46 %) er professionsbacheloruddannelser. Knap en
tredjedel (30 %) af samtlige erhvervsakademiuddannel-
ser er små udbud. Det samme gør sig gældende for knap
en femtedel (18 %) af udbuddene af professionsbache-
loruddannelser.
For begge typer uddannelser er det især uddannelsesud-
bud på det tekniske område, der falder inden for katego-
rien små udbud. For erhvervsakademiuddannelserne er
det ligeledes det bio- og laboratorietekniske område og
det sundhedsfaglige område, der har mange små udbud.
For professionsbacheloruddannelserne gælder det – ud
over som nævnt det tekniske område – også for det
medie- og kommunikationsfaglige område og det øko-
nomisk-merkantile område.
De 332 udbud, der indgår i nærværende undersøgelse,
dækker over 65 forskellige uddannelser på erhvervsaka-
demi- og professionsbachelorniveau. Uddannelserne
udbydes hver især på et antal udbudssteder. Fx udbydes
pædagoguddannelsen 27 steder i landet, mens der er 3
udbud af jordemoderuddannelsen.
36 ud af i alt 65 uddannelser har små udbud. Der er
enkelte uddannelser, der udelukkende udbydes på små
INDIKATORER FOR KVALITET PÅ SMÅ UDBUD
5
ULØ, Alm.del - 2015-16 - Bilag 13: 'Indikatorer for kvalitet på små udbud' udgivet af Danmarks Evalueringsinstitut
1556902_0006.png
Indledning
TABEL 1: OVERSIGT OVER UDDANNELSESUDBUD I UNDERSØGELSEN
Erhvervsakademi-
uddannelser
Udbud
Små udbud
Optagne
Udbud
Mindre udbud
Optagne
Udbud
Mellemstore udbud
Optagne
Udbud
Store udbud
Optagne
Udbud
Total
Optagne
Kilde:UNI•C, 2014.
Professionsbachelor-
uddannelser
35
687
52
2.675
52
5.181
58
15.386
197
23.929
Total
76
1.529
89
4.395
84
8.316
83
21.501
332
35.741
41
842
37
1.720
32
3.135
25
6.115
135
11.812
INDIKATORER FOR KVALITET PÅ SMÅ UDBUD
6
ULØ, Alm.del - 2015-16 - Bilag 13: 'Indikatorer for kvalitet på små udbud' udgivet af Danmarks Evalueringsinstitut
1556902_0007.png
Konklusion og resumé
Konklusion og resumé
Undersøgelsen hverken bestyrker eller svækker en antagelse om, at erhvervsakademier og pro-
fessionshøjskoler har problemer med at opretholde et tilfredsstillende kvalitetsniveau på små
udbudssteder. Analyserne af fire kvalitetsindikatorer peger i forskellige retninger.
Har små udbud kvalitetsudfordringer?
Kvalitetsudvalget har bedt EVA om at undersøge, om
erhvervsakademierne og professionshøjskolerne har
kvalitetsudfordringer for små uddannelsesudbud. Nær-
værende undersøgelse kaster lys over kvaliteten af hhv.
små og større udbud ved at analysere fire indikatorer for
uddannelseskvalitet.
Analyserne tager blandt andet afsæt i registerdata, der
omfatter 332 udbud, hvoraf de 76 er små udbud. 54 %
af de små udbud er erhvervsakademiuddannelser. De
resterende udbud af professionsbacheloruddannelser er
for en stor dels vedkommende overbygningsuddannelser
(top-up) på erhvervsakademiuddannelser.
Når konklusion og resultater læses, er det vigtigt at have
for øje, at undersøgelsen har en deskriptiv og eksplorativ
karakter. Det hænger sammen med det begrænsede
datagrundlag og en kort tidsramme for undersøgelsen.
For at få mere solid viden om eventuelle sammenhænge
mellem udbudsstørrelse og uddannelseskvalitet er der
behov for et mere omfattende undersøgelsesdesign.
retholde et tilfredsstillende kvalitetsniveau på de små
udbud med et årligt optag på op til 30 studerende.
I det følgende uddybes resultaterne fra analyserne af de
fire kvalitetsindikatorer:
1 Akkrediteringsafgørelserne
Akkrediteringsafgørelserne er den indikator, der mest
tydeligt peger på, at små udbud er mere udfordrede end
de større udbud. Fem ud af otte vurderede små udbud
opnåede kun en betinget positiv akkreditering i første
omgang, mens det samme var tilfældet for en mindre
andel af de større udbud, nemlig 14 ud af 97. Det kan
muligvis indikere, at små uddannelsesudbud har sværere
ved at sikre høj kvalitet og relevans end større udbud.
Når resultatet af analysen alligevel skal tages med et
gran salt, skyldes det, at der er tale om et ret begrænset
datagrundlag. En tværlæsning af vurderingerne af de
fem små udbud med betinget akkreditering viser yderli-
gere, at der kun i to af rapporterne bliver henvist til
udbuddenes størrelse som begrundelse for den betinge-
de positive akkreditering. Med til billedet hører også, at
alle de opfølgende vurderinger er endt med en positiv
vurdering af de små udbud. Derfor har det været interes-
sant at se, om analyserne af de øvrige indikatorer også
ville tyde på, at der kunne være særlige udfordringer for
de små udbud.
Overordnet konklusion
De fire indikatorer for kvalitet peger i forskellige retnin-
ger, og derfor kan undersøgelsen hverken understøtte
eller afkræfte en hypotese om, at erhvervsakademier og
professionshøjskoler skulle have problemer med at op-
INDIKATORER FOR KVALITET PÅ SMÅ UDBUD
7
ULØ, Alm.del - 2015-16 - Bilag 13: 'Indikatorer for kvalitet på små udbud' udgivet af Danmarks Evalueringsinstitut
1556902_0008.png
Konklusion og resumé
2 Beskæftigelse
Analysen af beskæftigelse som indikator for kvalitet viser
et mere uklart billede. Dimittender fra de små udbud har
en bedre beskæftigelsesgrad end dimittender fra de lidt
større udbud med 30-70 nye studerende om året, men
dårligere end de mellemstore og store udbud med optag
på mere end 70 studerende om året. Forskelle med
hensyn til beskæftigelsesgrad synes dog mere at være
knyttet til forskelle mellem fagområder end forskelle
mellem små og store udbud.
3 Afgangsprojektkarakterer
Afgangsprojektkaraktererne viser et tredje mønster, hvor
de små udbud klarer sig bedre end de større udbud.
Analysen viser, at dimittender fra de små udbud af pro-
fessionsbacheloruddannelserne opnår næsten en halvt
point højere karakter i forbindelse med deres afgangs-
projekt end dimittenderne fra de større udbud. Også her
svækkes analysen dog af, at datagrundlaget er meget
begrænset – især når det gælder de små udbud.
4 Afbrudsestimater
Estimater på studieafbrud er den fjerde indikator for
kvalitet, og her viser analyserne ikke noget tydeligt møn-
ster.
Der er tilsyneladende en større andel af de små udbud,
der ligger i gruppen med mange afbrud, end det er
tilfældet for de helt store udbud, men ikke nødvendigvis
for de mindre og mellemstore udbud. Det gennemsnitli-
ge afbrudsestimat ligger højere for de små udbud, men
efter én beregningsmodel er det kun en lille forskel,
hvorimod forskellen er tydeligere efter en anden bereg-
ningsmodel. Analysen viser først og fremmest, at der er
en stor spredning i de beregnede afbrudsestimater inden
for gruppen af små udbud. Undersøgelsen giver ikke
mulighed for at fastslå, om spredningen skyldes reelle
svingninger i kvaliteten af de små udbud, eller om der er
tale om et statistisk fænomen. Desuden er der ret store
forskelle mellem udbud af erhvervsakademi- og professi-
onsbacheloruddannelser.
Adgangskarakterer
Adgangskarakterer er ikke i sig selv en indikator for
kvalitet, men en analyse af karaktergennemsnittet fra de
nye studerendes adgangsgivende eksamen kan alligevel
give et fingerpeg om, hvorvidt de små udbud generelt
har vanskeligere vilkår for at opretholde en høj faglig
kvalitet end de større. Analysen giver ikke umiddelbart
anledning til en sådan antagelse. De små udbud optager
ikke en større andel af deres studerende blandt gruppen
med lave karakterer end de større. Til gengæld er der en
mindre del af de studerende, der kommer ind med et
højt karaktergennemsnit, end det er tilfældet for de
store udbud. De små udbud optager desuden en større
andel af deres studerende uden et gennemsnit fra en
adgangsgivende eksamen, men det er ikke umiddelbart
muligt at sige, om det udgør en særlig kvalitetsudfor-
dring eller skyldes særlige forhold, fx det faktum, at en
relativt stor gruppe blandt de små udbud udgøres af de
et-to-årige overbygningsuddannelser (top-up) på er-
hvervsakademiuddannelser.
Behov for yderligere undersøgelser
Nærværende undersøgelse besvarer ikke endeligt
spørgsmålet om, hvorvidt der knytter sig særlige kvali-
tetsudfordringer til små udbud af erhvervsakademi- og
professionsbacheloruddannelser, men giver snarere
anledning til at iværksætte flere og mere omfattende
undersøgelser og analyser af problemstillingen.
Et bud på en fremtidig undersøgelse, der kan præsentere
mere solid viden om problemstillingen, er et kvantitativt
forløbsstudie med en statistisk etableret kontrolgruppe –
et såkaldt matchet kontrolgruppestudie. Undersøgelsen
kan eventuelt også omfatte et kvalitativt studie.
Det kvantitative studie kan designes, så personer, der
uddannes fra et lille uddannelsesudbud (den såkaldte
indsatsgruppe), sammenlignes med personer, der ud-
dannes fra større udbud (kontrolgruppen). Her forsøger
man ad statistisk vej at gøre små udbud sammenlignelige
med store udbud på alle andre faktorer end selve ud-
buddets størrelse. Det kunne fx være, at der er systema-
tisk forskel på elevgrundlaget for store og små udbud,
eller at der er systematisk forskel på, hvilke jobmulighe-
der dimittender fra hhv. store og små udbud har. Ved at
tage højde for disse forskelle kan man med større sikker-
hed konkludere, om det faktisk er udbuddets størrelse,
der har betydning for kvalitet.
Konkret kan man følge en indsats- og kontrolgruppe af
studerende, der bliver optaget på en erhvervsakademi-
eller professionsbacheloruddannelse fx i 2009 og fire år
frem. Ved at se på forskellen i fx frafald, afgangsprojekt-
karakterer og beskæftigelse mellem den gruppe, der blev
optaget på et lille udbud, og kontrolgruppen, der blev
optaget på et større udbud, bliver det muligt at under-
søge udbudsstørrelsens betydning for kvalitet.
Man kan overveje at supplere med et kvalitativt studie,
som i forlængelse af det kvantitative effektstudie forsø-
ger at skabe en nuanceret forståelse af, hvorfor udbuds-
størrelsen har en betydning for kvalitet, hvis det viser sig
at være resultatet af det matchede kontrolgruppestudie.
INDIKATORER FOR KVALITET PÅ SMÅ UDBUD
8
ULØ, Alm.del - 2015-16 - Bilag 13: 'Indikatorer for kvalitet på små udbud' udgivet af Danmarks Evalueringsinstitut
1556902_0009.png
Akkrediteringsafgørelser
Akkrediteringsafgørelser
Analysen af akkrediteringsafgørelserne peger på, at flere af de små udbud end af de større ud-
bud får en betinget positiv godkendelse. Det kan muligvis indikere, at små uddannelsesudbud
har sværere ved at sikre høj kvalitet og relevans end større udbud.
Tværgående analyse af akkrediteringerne
EVA har gennemført akkrediteringsvurderinger af en
række eksisterende udbud af erhvervsakademi- og pro-
fessionsbacheloruddannelser. I vurderingerne er praksis
og resultater på de enkelte udbudssteder blevet vurderet
med udgangspunkt i 17 kriterier for kvalitet og relevans.
Se bilag for en beskrivelse af kriterierne.
Som led i undersøgelsen har vi gennemført en tværgå-
ende analyse af akkrediteringsrapporterne med henblik
på at undersøge to ting:
1 Har små uddannelsesudbud i højere grad end store
fået en ”betinget positiv akkreditering” som samlet
vurdering i akkrediteringsprocessen?
2 Er der enkelte kriterier, hvor små uddannelsessteder i
højere grad end store har fået vurderingen ”ikke op-
fyldt” eller ”delvist opfyldt” i akkrediteringsproces-
sen?
I analysen har vi ligeledes undersøgt de specifikke kvali-
tetsudfordringer for små uddannelsesudbud, som har
fået en betinget positiv vurdering, med det formål at
afdække karakteren af kvalitetsudfordringerne og vurde-
re, om udfordringerne kan siges at have forbindelse med
udbuddets størrelse. I nærværende afsnit fremhæver vi
de kriterier, hvor små og større udbud overordnet set
adskiller sig, mens vi i det senere afsnit om kvalitetsud-
fordringer for små udbudssteder går mere i dybden med
denne problemstilling.
I analysen af akkrediteringsafgørelserne opdeler vi ud-
buddene i fire grupper på baggrund af det årlige optag
på akkrediteringstidspunktet. Opdelingen er den samme
som i analysen af registerdata. Se figur 1 på næste side.
Det er vigtigt at bemærke, at analysen tager udgangs-
punkt i kvalitetsudfordringerne på akkrediteringstids-
punktet og derfor ikke nødvendigvis giver et aktuelt
indblik i kvalitetsudfordringerne på de forskellige ud-
budssteder. Det er ligeledes vigtigt at bemærke, at samt-
lige udbud, der har gennemgået genakkreditering, har
opnået en positiv akkreditering på baggrund af genak-
krediteringen. Genakkrediteringerne er ikke inddraget i
nærværende analyse.
Det er desuden vigtigt at være opmærksom på, at det
begrænsede antal af akkrediteringer i sig selv begrænser
styrken af analysens resultat. Det gør sig især gældende
for gruppen af små udbud.
INDIKATORER FOR KVALITET PÅ SMÅ UDBUD
9
ULØ, Alm.del - 2015-16 - Bilag 13: 'Indikatorer for kvalitet på små udbud' udgivet af Danmarks Evalueringsinstitut
1556902_0010.png
Akkrediteringsafgørelser
FAKTA OM AKKREDITERINGERNE
Kvalitetsudfordringer for de
akkrediterede udbud
Ved gennemgangen af akkrediteringsafgørelserne tegner
der sig et billede af, at små såvel som større udbudsste-
der har en række kvalitetsudfordringer. Nogle af disse
kvalitetsudfordringer er særlige for de små udbud, mens
andre udfordringer går igen blandt de større udbud.
Blandt de akkrediterede udbud er andelen af små udbud
med en betinget positiv akkreditering større, end hvad
angår de større udbud. Det kan muligvis indikere, at små
udbudssteder har sværere ved at sikre høj kvalitet og
relevans end større udbudssteder. Som nævnt ovenfor er
analysegrundlaget for de små udbud imidlertid ringe,
hvilket svækker konklusionen.
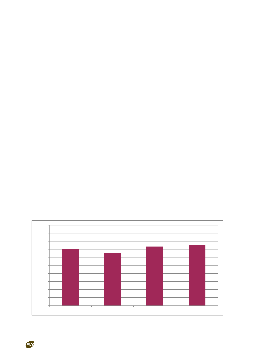
Som det fremgår af figur 1 nedenfor, falder 8 af de
akkrediterede udbud inden for kategorien små udbud.
Af de 8 små udbud har 5 udbud fået en betinget positiv
akkreditering. Til forskel herfra har 6 ud af 20 mindre
udbud fået en betinget positiv akkreditering, 4 ud af 37
mellemstore udbud har fået en betinget positiv akkredi-
tering, og endelig har 4 ud af 40 store udbud fået en
betinget positiv akkreditering.
I perioden 2008-13 er der samlet foretaget ak-
krediteringer af 105 eksisterende udbud af er-
hvervsakademi- og professionsbacheloruddannel-
ser. 86 af de akkrediterede udbud har opnået en
positiv akkreditering, 19 har opnået en betinget
positiv akkreditering, mens ingen af de eksiste-
rende udbud har fået afslag på akkreditering.
En betinget positiv akkreditering gives, når et
udbud samlet set ikke lever op til kriterierne for
relevans og kvalitet, men forventes at kunne
opfylde disse inden for en 12-måneders periode.
En betinget positiv akkreditering følges op af en
genakkreditering efter et år.
Det er vigtigt at bemærke, at en lang række af de
udbud, der er en del af analysegrundlaget i rap-
portens øvrige analyser, ikke er en del af nærvæ-
rende analyse af akkrediteringerne. Det skyldes,
dels at det ikke er alle udbud, der har gennem-
gået akkreditering, dels at en del af udbuddene
er blevet akkrediteret som nye udbud.
Figur 1
Positive og betinget positive akkrediteringer
105.
N = 105.
Positiv akkreditering
45
40
35
30
25
20
15
10
5
0
5
3
Små udbud
Mindre udbud
14
6
Betinget positiv akkreditering
4
4
33
36
Mellemstore udbud
Store udbud
Det faktiske antal udbud er angivet i hver søjle. Bemærk, at datagrundlaget er beskedent, især for de små udbud.
Kilde: EVA og Akkrediteringsrådet, 2014.
INDIKATORER FOR KVALITET PÅ SMÅ UDBUD 10
ULØ, Alm.del - 2015-16 - Bilag 13: 'Indikatorer for kvalitet på små udbud' udgivet af Danmarks Evalueringsinstitut
1556902_0011.png
Akkrediteringsafgørelser
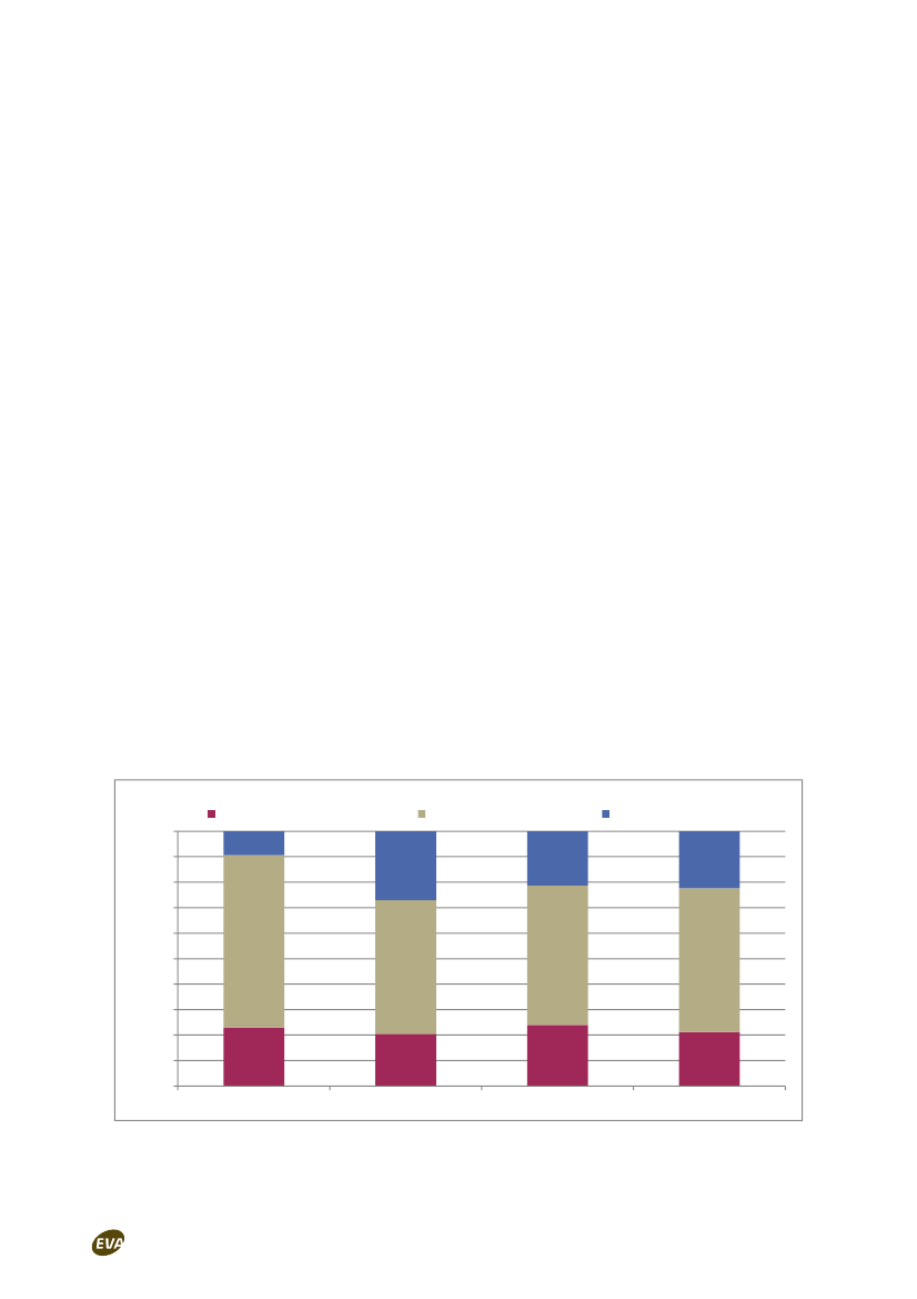
Figur 2
Vurderinger af udvalgte kriterier
udvalgte kriterier
Opfyldt
45
40
35
30
25
20
15
10
5
0
Kriterium 4
Kriterium 5
Kriterium 8
Kriterium 4
Kriterium 5
Delvist opfyldt
Ikke opfyldt
Kriterium 8
Kriterium 4
Kriterium 5
Kriterium 8
Kriterium 4
Kriterium 5
Små udbud
Mindre udbud
Mellemstore udbud
Store udbud
Bemærk, at vi i figuren har udvalgt de kriterier, hvor de små udbud skiller sig ud fra de større udbud. De udeladte kriterier tegner et an-
derledes billede som beskrevet i teksten ovenfor. Bemærk i øvrigt, at datagrundlaget er beskedent, især for de små udbud.
Kilde: EVA og Akkrediteringsrådet, 2014.
Ikke opfyldte og delvist opfyldte kriterier
Akkrediteringsafgørelserne er udtryk for et
helhedsindtryk af det enkelte udbud, og som led i
akkrediteringen kan et udbud have et eller flere kriterier,
der ikke er opfyldt, uden at det derfor leder til en
betinget akkreditering. Det er derfor relevant at se på,
hvilke kriterier der udfordrer udbuddene. En gennem-
gang af akkrediteringsrapporterne viser, at det er mange
af de samme udfordringer, der gør sig gældende for de
enkelte udbud på tværs af udbudsstørrelse.
Den overordnede tendens i akkrediteringsafgørelserne
er, at tre eller flere kriterier, der er delvist opfyldt, leder
til en betinget positiv akkreditering, ligesom ét eller flere
ikke opfyldte kriterier leder til en betinget positiv
akkreditering. Mens de delvist opfyldte kriterier optræder
hos 59 af alle akkrediterede udbud (både de godkendte
og de betinget godkendte), har kun 13 udbud ét eller to
ikke opfyldte kriterier. Udbuddene med ikke opfyldte
kriterier fordeler sig på 3 små, 5 mindre, 4 mellemstore
og 1 stort udbud.
Fælles for både små og store udbud er blandt andet, at
en del af udbuddene har problemer med aftager- og
dimittendkontakten (kriterium 2). 2 af de små udbud har
enten ikke opfyldt eller kun delvist opfyldt dette
kriterium. Det samme gør sig gældende for 5 mindre og
5 mellemstore udbud, mens 9 store udbud ikke har
opfyldt kriteriet.
Andre udfordringer, der går igen, er kvalitetssikring af
praktik (kriterium 10) og systematisk og kontinuerligt
kvalitetsarbejde (kriterium 14), hvor der ligeledes er flere
udbud, på tværs af udbudsstørrelse, der enten ikke
opfylder eller kun delvist opfylder kriterierne. Dog stadig
med en lidt større andel blandt de små udbudssteder (se
bilag for de præcise tal).
Et andet kriterium, hvor der er forskel på udbuddene, er i
forhold til internationalisering (kriterium 12). For de små
udbud gælder det, at 1 udbud kun delvist opfylder
kriteriet, mens det samme gælder for 2 af de mindre
udbud. Hvad angår gruppen af mellemstore og store
udbud, har 1 mellemstort udbud ikke opfyldt kriteriet,
og 1 stort udbud har delvist opfyldt kriteriet.
Der er imidlertid også kriterier, hvor de små udbud skiller
sig ud. Det gælder blandt andet kriterierne om
udviklingsbasering i relation til erhverv og profession
(kriterium 4) og udviklingsbasering i relation til
forskningsviden (kriterium 5). Der er 3 små udbud, der
enten ikke opfylder eller kun delvist opfylder kriterium 4,
og 4 udbud, der enten ikke opfylder eller kun delvist
opfylder kriterium 5. Et lignende billede tegner sig med
hensyn til de mindre udbud, hvor 6 udbud enten ikke
opfylder eller kun delvist opfylder kriterium 4, og 3
INDIKATORER FOR KVALITET PÅ SMÅ UDBUD 11
Kriterium 8
ULØ, Alm.del - 2015-16 - Bilag 13: 'Indikatorer for kvalitet på små udbud' udgivet af Danmarks Evalueringsinstitut
1556902_0012.png
Akkrediteringsafgørelser
udbud enten ikke opfylder eller kun delvist opfylder
kriterium 5.
Der er 1 mellemstort udbud, der delvist opfylder
kriterium 4 og 5, mens 0 udbud slet ikke opfylder
kriteriet. Blandt de store udbud er der 1, der delvist
opfylder kriterium 4, mens 0 udbud slet ikke opfylder
kriteriet. Alle store udbud opfylder kriterium 5.
Endnu et kriterium, hvor de små udbud skiller sig ud,
handler om undervisernes kvalifikationer og
kompetencer (kriterium 8). 3 af de små og 3 af de
mindre udbud opfylder kun delvist dette kriterium, mens
det samme gælder for 0 mellemstore og 1 stort udbud.
I figur 2 på forrige side illustrerer vi fordelingen af
udbud, der har opfyldt, delvist har opfyldt eller ikke har
opfyldt kriterierne 4, 5 og 8.
De mellemstore og store udbud skiller sig derimod ud i
forhold til kriteriet om indhold i og tilrettelæggelse af
uddannelsesudbuddets elementer (kriterium 7). 2
mellemstore og 1 stort udbud har ikke opfyldt dette
kriterie, mens alle små og mindre udbud har opfyldt
kriteriet.
I afsnittet om kvalitetsudfordringer for små udbudssteder
går vi i dybden med de ovennævnte kriterier, og i
rapportens bilag findes en samlet oversigt over de
akkrediterede udbud fordelt på størrelseskategorier, der
enten ikke har opfyldt eller kun delvist har opfyldt de
enkelte kriterier.
INDIKATORER FOR KVALITET PÅ SMÅ UDBUD 12
ULØ, Alm.del - 2015-16 - Bilag 13: 'Indikatorer for kvalitet på små udbud' udgivet af Danmarks Evalueringsinstitut
1556902_0013.png
Beskæftigelse
Beskæftigelse
Der er markante forskelle på beskæftigelsesgraden mellem udbuddene. Forskellen på beskæfti-
gelsesgraden knytter sig ikke umiddelbart til udbudsstørrelse, men nærmere til forskellene mel-
lem fagområderne og forskellen mellem erhvervsakademi- og professionsbacheloruddannelser.
Analyse af dimittendernes
beskæftigelsesgrad
Det er et hovedformål med erhvervsakademi- og profes-
sionsbacheloruddannelser at uddanne dimittender til det
private og offentlige arbejdsmarked. Nogle udbudssteder
er givetvis bedre til at klæde dimittenderne på til ar-
bejdsmarkedet end andre, hvilket kommer til udtryk i
dimittendernes beskæftigelsesgrad. Det er vores forvent-
ning, at der er en sammenhæng mellem den faglige
kvalitet på udbudsstedet og dimittendernes beskæftigel-
sesgrad. Det er derfor relevant at se på, om der er en
forskel på beskæftigelsesgraden for dimittender fra hhv.
små og store udbudssteder. Der er flere andre faktorer,
der spiller ind i forhold til beskæftigelsesgraden, herun-
der geografiske forskelle på arbejdsudbuddet inden for
forskellige brancher. Det er vigtigt at have for øje, når
analysens resultater præsenteres.
Analysen af udbudsstedernes beskæftigelsesgrad bygger
på registerdata om beskæftigelsen i 2012 for dimitten-
der, der er dimitteret ét år forinden, altså i 2011. Når vi
vælger at se på beskæftigelsen kort tid efter dimission,
er det ud fra en forestilling om, at sammenhængen
mellem den faglige kvalitet og beskæftigelsen er stærke-
re, end hvis vi ser på beskæftigelsen flere år efter dimis-
sion.
BESKÆFTIGELSESGRADEN
Dimittendernes beskæftigelsesgrad er et udtryk for
andelen af dimittender, der er i beskæftigelse. Dimit-
tendernes beskæftigelsesgrad for 2012 udregnes ved at
se på, hvor stor en del af de personer, der er dimitteret i
2011, der er i beskæftigelse pr. 31. november 2011.
Andelen i beskæftigelse dækker over personer, der er
lønmodtagere, selvstændige eller medhjælpende ægte-
fæller. Andelen, der
ikke
er i beskæftigelse, dækker
over personer, der er arbejdsløse, samt personer uden
for arbejdsstyrken. Sidstnævnte gruppe omfatter blandt
andet personer under uddannelse.
Beskæftigelse og udbudsstørrelse
Analysen viser ikke et mønster i forholdet mellem ud-
budsstørrelse og beskæftigelsesgrad. Beskæftigelsesgra-
den for samtlige udbud var i 2012 på 72 % i gennem-
snit. Som figur 3 på næste side viser, er beskæftigelses-
graden for de små udbud 70 %, for de mindre udbud 65
%, for de mellemstore udbud 74 % og for de store
INDIKATORER FOR KVALITET PÅ SMÅ UDBUD 13
ULØ, Alm.del - 2015-16 - Bilag 13: 'Indikatorer for kvalitet på små udbud' udgivet af Danmarks Evalueringsinstitut
1556902_0014.png
Beskæftigelse
udbud 75 %. Tallene dækker over en stor spredning de
enkelte udbud imellem, og enkelte udbud har en be-
skæftigelsesgrad på 0 %, mens enkelte andre har en
beskæftigelsesgrad på 100 %.
Dimittender, der påbegynder uddannelse inden for et år
efter dimission, påvirker beskæftigelsesgraden negativt.
Som nævnt ovenfor inkluderer andelen af dimittender,
der ikke er i beskæftigelse, dimittender, der er under
uddannelse. Det kan fx være dimittender med en er-
hvervsakademiuddannelse, der tager en top-up-
uddannelse på et-to år og derigennem opnår en bache-
lorgrad, eller dimittender med en professionsbachelor-
uddannelse, der videreuddanner sig med en kandidat-
eller masteruddannelse. Det har ikke været inden for
rammerne af nærværende undersøgelse at undersøge
omfanget og fordelingen af dimittender, der videreud-
danner sig.
skæftigelsesgrad i samtlige udbudskategorier end dimit-
tender med en professionsbacheloruddannelse.
Analysen af beskæftigelsesgraden opdelt i hhv. erhvervs-
akademier og professionshøjskoler viser, at forklaringen
på forskellen med hensyn til beskæftigelsesgrad måske
nærmere skal findes i institutionstypen end i udbudsstør-
relsen. Rapportens bilag indeholder en tabel, der viser
beskæftigelsesgraden fordelt på erhvervsakademi- og
professionsbacheloruddannelser.
Fagområder
Hvis vi opdeler udbuddene i fagområder, viser analysen
ikke noget klart mønster i forholdet mellem udbudsstør-
relser og beskæftigelsesgrad. Det skal i den forbindelse
bemærkes, at når data opdeles i så mange kategorier,
som det er tilfældet i denne analyse, bliver datagrundla-
get svagt.
Analysen viser nærmere, at der er forskel i beskæftigel-
sesgraden mellem forskellige fagområder. Rapportens
bilag indeholder en tabel, der viser beskæftigelsesgraden
på de forskellige fagområder.
Erhvervsakademi- og professionsbachelor-
uddannelser
Hvis vi ser på beskæftigelsesgraden for dimittender med
hhv. en erhvervsakademi- eller en professionsbachelor-
uddannelse, tegner der sig et entydigt billede af, at
beskæftigelsesgraden for dimittender med en erhvervs-
akademiuddannelse ligger lavere end for dimittender
med en professionsbacheloruddannelse. Dimittender
med en erhvervsakademiuddannelse har en lavere be-
Uddannelsesretninger
Som led i analysen har vi ligeledes opdelt udbuddene i
de tre uddannelsesretninger med flest udbud i 2012 for
hhv. erhvervsakademierne og professionshøjskolerne. Vi
har foretaget denne opdeling for at se, om der fremstår
Figur 3
nul-
Beskæftigelsesgrad for dimittender nul-et år efter dimission
N = 251. Det faktiske antal udbud er angivet i hver søjle.
søjle.
100 %
90 %
80 %
70 %
60 %
50 %
40 %
46
30 %
20 %
10 %
0%
Små udbud
Kilde: UNI•C, 2014.
57
71
77
Mindre udbud
Mellemstore udbud
Store udbud
INDIKATORER FOR KVALITET PÅ SMÅ UDBUD 14
ULØ, Alm.del - 2015-16 - Bilag 13: 'Indikatorer for kvalitet på små udbud' udgivet af Danmarks Evalueringsinstitut
1556902_0015.png
Beskæftigelse
et mønster i forholdet mellem udbudsstørrelse og be-
skæftigelsesgrad, når vi anskuer problemstillingen fra
enkelte uddannelsesretninger.
De udvalgte uddannelsesretninger er for erhvervsakade-
mierne: markedsføringsøkonom (16 udbud), datamatiker
(13 udbud) og finansøkonom (12 udbud). Og for profes-
sionshøjskolerne: pædagog (25 udbud), sygeplejerske
(22 udbud) og folkeskolelærer (17 udbud).
Som det var tilfældet i analysen af beskæftigelsesgraden
opdelt i fagområder, viser analysen af beskæftigelses-
graden for udvalgte uddannelsesretninger ikke noget
mønster, når man relaterer tallene til udbuddenes stør-
relse.
Analysen viser godt nok, at der er forskelle på beskæfti-
gelsesgraderne for små, mindre, mellemstore og store
udbud inden for de enkelte uddannelsesretninger. Der er
imidlertid intet mønster i forskellene, og som det var
tilfældet i analysen opdelt i fagområder, giver det ikke
anledning til at konkludere, at forskellen i beskæftigel-
sesgrad er knyttet til udbudsstørrelse. Rapportens bilag
indeholder en tabel, der viser beskæftigelsesgraden for
de udvalgte uddannelsesretninger.
INDIKATORER FOR KVALITET PÅ SMÅ UDBUD 15
ULØ, Alm.del - 2015-16 - Bilag 13: 'Indikatorer for kvalitet på små udbud' udgivet af Danmarks Evalueringsinstitut
1556902_0016.png
Afgangsprojektkarakterer
Afgangsprojektkarakterer
Der er en forskel med hensyn til karaktergennemsnit mellem små og større uddannelsesudbud.
Analysen viser, at karaktergennemsnittet på de små udbud er omkring et halvt karakterpoint
højere end på de større udbud. Datagrundlaget for de små udbud er imidlertid ringe, hvilket
gør, at resultatet bør tages med forbehold.
Afgangsprojektkarakterer og faglig
kvalitet
I undersøgelsen af den faglige kvalitet på små udbuds-
steder inddrager vi kun afgangsprojektkarakterer fra
professionsbacheloruddannelserne. Det har ikke været
muligt at indhente oplysninger om afgangsprojektkarak-
terer for erhvervsakademiuddannelserne.
Afgangsprojektkarakterer er inddraget i analysen ud fra
en forestilling om, at den faglige kvalitet på det enkelte
udbudssted afspejles i de karakterer, de studerende
opnår i forbindelse med deres afgangsprojekter. Af-
gangsprojektkaraktererne giver på den måde et indblik i
det faglige niveau.
Analysen viser, at karaktergennemsnittet for alle udbud-
dene er 8,4. Se tabel 2 på næste side. Der er forskel
udbuddene imellem, og det laveste karaktergennemsnit
for et udbud er 5,2, mens det højeste karaktergennem-
snit for et udbud er 10,79.
For gruppen af små udbud er karaktergennemsnittet 8,8,
for gruppen af mindre udbud er karaktergennemsnittet
8,6, for gruppen af mellemstore udbud er karaktergen-
nemsnittet 8,4, og for gruppen af de store udbud er
karaktergennemsnittet 8,4. Karaktergennemsnittet for
de små udbud ligger 0,3-0,4 karakterpoint højere end
for de øvrige grupper. Det tegner et billede af, at stude-
rende fra de små udbud af professionsbacheloruddan-
nelser opnår en højere karakter for deres afgangsprojekt.
Resultatet svækkes imidlertid af, at datagrundlaget er
begrænset, og for gruppen af små udbud bygger analy-
sen kun på data fra 6 udbud, svarende til 17 % af den
samlede gruppe af små udbud. Derfor bør resultatet
tages med forbehold. For de større udbud er datagrund-
laget bedre med data for 36 % af de mindre udbud, 77
% af de mellemstore udbud og 76 % af de store udbud.
Det ringe datagrundlag for de små udbud hænger sand-
synligvis sammen med, at karakterdata er hentet fra
professionshøjskolernes studieadministrative system SIS.
KARAKTERGENNEMSNIT
I analysen inddrager vi data om karaktergennemsnittet
for alle afgangsprojekter på professionsbacheloruddan-
nelserne. Karaktergennemsnittet er beregnet for stude-
rende, der har afsluttet deres uddannelse i 2012, og
omfatter data fra ca. 10.000 studerende.
Det har kun været muligt at få data fra professionshøj-
skolerne, og professionsbacheloruddannelser, der er
udbudt af fx erhvervsakademier, er derfor ikke inddra-
get.
INDIKATORER FOR KVALITET PÅ SMÅ UDBUD 16
ULØ, Alm.del - 2015-16 - Bilag 13: 'Indikatorer for kvalitet på små udbud' udgivet af Danmarks Evalueringsinstitut
1556902_0017.png
Afgangsprojektkarakterer
TABEL 2: KARAKTERGENNEMSNIT FOR AFGANGSPROJEKT FRA PROFESSIONSBACHELORUDDANNELSER
Små
udbud
Karaktergennemsnit
Antal udbud
Antal studerende
Kilde: SIS, FIVU, 2014.
Mindre
udbud
8,6
17
607
Mellemstore
udbud
8,3
40
2.263
Store
udbud
8,4
46
7.020
Total
8,4
109
9.975
8,8
6
85
En væsentlig andel af udbuddene af professionsbache-
loruddannelser i denne kategori udbydes af erhvervsaka-
demierne, der anvender et andet studieadministrativt
system, som det ikke har været muligt at få data fra.
Fagområder
Hvis vi ser på karaktergennemsnittet fordelt på fagområ-
der, viser analysen, at karaktergennemsnittet for de små
udbud er lavere for ét fagområde (det medie- og kom-
munikationsfaglige område), mens det er højere for to
andre fagområder (hhv. det pædagogiske og det sund-
hedsfaglige område). Fra det samfundsfaglige område
mangler der karakterdata fra de små udbud, og det
tekniske og økonomisk-merkantile område er helt ude-
ladt på grund af manglende karakterdata.
På baggrund af det ringe datagrundlag for især de små
udbud er det svært at lave en meningsfuld analyse af
fordelingen af karaktergennemsnit på tværs af fagområ-
derne.
Uddannelsesretninger
I analysen ser vi ligeledes på karaktergennemsnittet
fordelt på de tre professionsbacheloruddannelser med
flest udbud i 2012 (pædagog, sygeplejerske og folkesko-
lelærer). Analysen viser, at der er en højere gennemsnits-
karakter på de små udbud på både lærer- og pædagog-
uddannelsen. Som nævnt ovenfor bygger analysen på
ganske få observationer, især fra de små udbud, hvor
der kun er data om et enkelt udbud for hver af uddan-
nelsesretningerne. Det er derfor svært at konkludere
noget på den baggrund.
INDIKATORER FOR KVALITET PÅ SMÅ UDBUD 17
ULØ, Alm.del - 2015-16 - Bilag 13: 'Indikatorer for kvalitet på små udbud' udgivet af Danmarks Evalueringsinstitut
1556902_0018.png
Afbrudsestimater
Afbrudsestimater
Analyser af afbrudsestimater for uddannelsesudbuddene viser ikke noget tydeligt mønster. Der
er tilsyneladende en større andel af de små udbud, der ligger i gruppen med mange afbrud, end
det er tilfældet for de helt store udbud. Det gennemsnitlige afbrudsestimat ligger højere for de
små udbud, men efter én beregningsmodel er det kun en lille forskel, mens forskellen er tydeli-
gere efter en anden beregningsmodel. Analysen viser først og fremmest, at der er en stor spred-
ning i de beregnede afbrudsestimater inden for gruppen af små udbud.
Studieafbrud og små udbud
Studieafbrud kan være en vigtig indikator for kvalitet af
et uddannelsesudbud, da mange afbrud kan være udtryk
for problemer, fx med at levere en motiverende under-
visning, med at skabe faglige udfordringer og progressi-
on på et passende niveau og med i det hele taget at
etablere et attraktivt og fastholdende studiemiljø.
Studieafbrud indgår derfor i institutionernes udviklings-
kontrakter, og antallet af afbrudte studier bliver brugt
som kvalitetsindikator i uddannelsesakkrediteringer, hvor
de enkelte udbud skal opgive nøgletal herfor. På er-
hvervsakademier og professionshøjskoler har der været
mere fokus på det relative antal studieafbrud som kvali-
tetsindikator, altså om et udbud har væsentlig flere
studerende, der afbryder uddannelsen, end landets
andre udbud af den samme uddannelse.
Man kan opstille hypoteser om, at små uddannelsesud-
bud har dårligere forudsætninger end store for at fore-
bygge studieafbrud og sikre en høj gennemførelsesgrad
for de optagne studerende. Små udbud kan fx have
færre undervisere tilknyttet, hvilket kan skabe vanske-
ligheder med at fastholde det faglige niveau og den
faglige bredde på uddannelsen. De dygtigste studerende
kan derfor måske have tendens til at skifte til større
udbud af samme uddannelse med mere stimulerende
fagmiljø eller til helt at falde fra. Små udbud kan også
have mindre administrativ og ledelsesmæssig kapacitet til
at analysere årsagerne til studieafbrud og til at følge op
med initiativer, som adresserer de identificerede udfor-
dringer.
Omvendt kan man også have hypoteser om, at det net-
op i et lille fagligt miljø er muligt at fastholde studeren-
de, og at afbrudsprocenten derfor kan forventes at være
mindre her end på store udbud. Et begrænset studiemil-
jø kan betyde mere nærhed og identifikation for den
enkelte studerende, der ikke risikerer at forsvinde i
mængden. Underviserne kan også have bedre kendskab
til den enkelte studerende og mulighed for at følge op,
hvis den studerende oplever faglige eller personlige
udfordringer, der kunne føre til studieafbrud på et sene-
re tidspunkt.
Der er med andre ord mange mulige sammenhænge
mellem udbudsstørrelse og studieafbrud. I det følgende
undersøger vi, om der er et særligt mønster i antallet af
studieafbrud på små uddannelsesudbud sammenlignet
med større uddannelsesudbud.
INDIKATORER FOR KVALITET PÅ SMÅ UDBUD 18
ULØ, Alm.del - 2015-16 - Bilag 13: 'Indikatorer for kvalitet på små udbud' udgivet af Danmarks Evalueringsinstitut
1556902_0019.png
Afbrudsestimater
Data om afbrud
Data om studieafbrud kan opgøres på en række måder,
når man ønsker en procentangivelse af, hvor mange
studerende der falder fra eller gennemfører en uddan-
nelse. I den følgende analyse benyttes to forskellige
afbrudsestimater for de enkelte udbud:
Model 1: Dels udregnes en procent ved at forholde
antallet af afbrudte studerende til den samlede be-
stand af studerende det pågældende år.
Model 2: Dels anvendes en modelberegnet procent,
hvor det forventede antal afbrudte studier beregnes
ud fra både faktiske studieafbrud og forventede stu-
dieafbrud.
Begge opgørelsesmåder har klare svagheder, og de
konkrete afbrudsestimater bliver markant lavere efter
model 1 end model 2. Af samme grund er der også
anvendt forskellige grænseværdier i analyserne af talle-
ne. I det følgende er det derfor vigtigt ikke at hæfte sig
ved størrelsen af det beregnede afbrudsestimat, men
udelukkende ved forskellene mellem estimaterne på små
og store uddannelsesudbud.
BEREGNING AF AFBRUDSPROCENT
Forløbsdata til beregning af præcis procent
Den mest gængse måde at opgøre afbrudsprocenter på
er at følge en årgang studerende på en uddannelse.
Efter en periode, fx den normerede studietid plus et
eller to år, opdeles de studerende i tre grupper:
• Studerende med afsluttet uddannelse
• Studerende, som fortsat er indskrevet på uddannelsen
• Studerende med afbrudt uddannelse (uden bevis).
Afbrudsprocenten beregnes ved at forholde antallet af
studerende med afbrudt uddannelse med det oprinde-
lige antal optagne studerende. Det har ikke været
muligt at indhente denne type registerdata inden for
rammerne af denne undersøgelse. Derfor benytter vi
termen afbrudsestimat i stedet for afbrudsprocent.
Studieafbrud benyttes i øvrigt synonymt med frafald.
Figur 4
Andele af udbud med afbrudsestimater på hhv. 0 til 10, 10,1 til 20 og over 20. Beregnet efter model 1.
Små udbud
70 %
60 %
50 %
40 %
30 %
20 %
10 %
25
0%
0-10 %
31
37
40
Mindre udbud
Mellemstore udbud
Store udbud
17
32
36
38
17
18
11
5
10,1-20 %
over 20 %
Det faktiske antal udbud er nævnt i hver søjle.
Kilde: UNI•C, 2014.
INDIKATORER FOR KVALITET PÅ SMÅ UDBUD 19
ULØ, Alm.del - 2015-16 - Bilag 13: 'Indikatorer for kvalitet på små udbud' udgivet af Danmarks Evalueringsinstitut
1556902_0020.png
Afbrudsestimater
Figurer og tabeller er baseret på model 1. Bilaget inde-
holder ligeledes illustrationer efter model 2. Analysen
bygger på modelberegnede tal samt registertal for antal-
let af afbrud på de enkelte uddannelsesudbud i 2012.
Der er kun inddraget tal fra udbud, som har haft optag i
alle årene fra 2010 til 2012, for at undgå, at studerende
fra nedlagte eller fusionerede udbud kommer til at tælle
med som studieafbrud.
Små udbud med rigtig mange eller få
studieafbrud
Beregnet efter model 1 er der blandt de små udbud en
større andel med et stort antal afbrud blandt de stude-
rende (over 20 %) end blandt de større udbud. 29 % af
de små udbud har en estimeret afbrudsprocent på over
20, mens det samme gælder for 6 % af de store udbud.
Tilsvarende er der en mindre andel af de små udbud, der
har et estimeret lille antal afbrud, end tilfældet er for de
store udbud, selvom tendensen her ikke er helt så mar-
kant. Se figur 4.
Mønsteret ændrer sig noget, når afbrudsestimaterne for
udbuddene beregnes efter model 2. Det er fortsat en
relativt lille andel af de små udbud, der har estimeret få
studieafbrud (her defineret som afbrudsestimater op til
25 %), og en relativt stor gruppe med mange studieaf-
brud (her defineret som afbrudsestimater på over 35 %)
– men kun, hvis de små udbud sammenlignes med de
helt store udbud med årligt optag på over 140 studeren-
de. De mindre og mellemstore udbud (optag mellem 30
og 140 studerende) adskiller sig ikke nævneværdigt fra
de små, når det gælder gruppen med et estimeret lille
antal studieafbrud, og relativt mange af de mindre og
mellemstore udbud har høje afbrudsestimater.
Billedet af større udfordringer med studieafbrud på de
små uddannelsesudbud fortoner sig også, når man efter
model 1 udregner et samlet gennemsnit for antallet af
studieafbrud på udbuddene inden for hver af de fire
størrelseskategorier. Forskellen med hensyn til afbruds-
estimatet bliver her under 3 procentpoint fra de små til
de store udbud. Se tabel 3. Beregnet efter model 2 ligger
afbrudsestimaterne på de små udbud dog over estima-
terne for de større udbud med en forskel på 8 procent-
point fra de små til de store udbud.
I begge beregningsmodeller dækker tallene over en stor
spredning i afbrudsestimaterne blandt de små udbud,
hvor nogle har et meget stort og andre et meget lille
antal studerende, der har afbrudt uddannelsen.
Spredningen kan i princippet skyldes, at de små udbud
enten er rigtig gode eller rigtig dårlige til at fastholde
deres studerende. Ud fra et statistisk synspunkt er det
imidlertid ikke umiddelbart overraskende, at små udbud
har større spredning end store, fordi den enkelte stude-
rende vægter mere, og adfærden hos få studerende
derfor kan skabe store udsving. Der er med andre ord
behov for yderligere analyser, hvis det skal sandsynliggø-
res, at spredningen blandt de små udbud har forbindelse
til kvalitetsudfordringer på nogle af udbuddene og tilsva-
rende styrker på andre.
Erhvervsakademi- og professionsbachelor-
uddannelser
Hvis man ser på udbuddene af erhvervsakademi- og
professionsbacheloruddannelser hver for sig, tegner der
sig to ret forskellige billeder af studieafbruddene. Der er
med andre ord tilsyneladende forskel på afbrudsmønste-
ret de to uddannelsestyper imellem.
Efter model 1 er der for professionsbacheloruddannel-
serne færre små udbud end større, som har få studieaf-
brud (afbrudsestimat 0-10 %), og forholdsvis mange
små udbud med mange afbrud (afbrudsestimat over 20
%). De små udbud har i gennemsnit et højere afbruds-
estimat end de større udbud. Billedet med mange små
udbud med mange studieafbrud kan genfindes i bereg-
ningerne efter model 2, hvorimod de små udbud ikke
adskiller sig tydeligt fra de større, når det gælder grup-
pen med lave afbrudsestimater.
For erhvervsakademiuddannelserne brydes mønsteret
ved, at forholdsvis mange af de små udbud faktisk har et
lille antal studieafbrud beregnet efter model 1. Det er
bemærkelsesværdigt, i lyset af at det samlet set kun er
en mindre andel af udbuddene af erhvervsakademiud-
dannelserne, som har få studieafbrud (afbrudsestimat 0-
10 %). Se figur 5. Andelen af små udbud af erhvervs-
akademiuddannelser med mange afbrud (afbrudsestimat
over 20 %) adskiller sig ikke væsentlig fra de større
udbud. De store udbud med årligt optag på over 140
studerende har dog en mindre andel af udbuddene i
gruppen med mange studieafbrud. Det gennemsnitlige
afbrudsestimat for de små udbud ender samlet set med
at være lavere end for de større udbud, når det beregnes
efter model 1. Se tabel 3. Afbrudsestimater beregnet
efter model 2 viser ikke noget mønster med tydelige
forskelle mellem små og større udbud af erhvervsakade-
miuddannelserne.
INDIKATORER FOR KVALITET PÅ SMÅ UDBUD 20
ULØ, Alm.del - 2015-16 - Bilag 13: 'Indikatorer for kvalitet på små udbud' udgivet af Danmarks Evalueringsinstitut
1556902_0021.png
Afbrudsestimater
TABEL 3: DE GENNEMSNITLIGE AFBRUDSESTIMATER FOR UDBUDDENE INDEN FOR HVER STØRRELSESKATEGORI
Små
Udbud
Alle udbud
Udbud af erhvervsakademiuddannelser
Udbud af professionsbacheloruddannelser
Kilde: UNI•C, 2014. Beregnet efter model 1.
Mindre
udbud
14
(n = 81)
19
(n = 36)
10
(n = 45)
Mellemstore
udbud
12
(n = 84)
17
(n = 32)
10
(n = 52)
Store
udbud
11
(n = 83)
17
(n = 25)
9
(n = 58)
14
(n = 59)
14
(n = 35)
14
(n = 24)
Fagområder og uddannelser med mange
udbud
Der tegner sig ikke et mønster, når man ser på afbruds-
estimater på de store og små udbud af de tre største
hhv. erhvervsakademi- og professionsbacheloruddannel-
ser. På nogle uddannelser, fx til sygeplejerske og folke-
skolelærer, er der tendens til, at en større andel af de
små udbud har høje afbrudsestimater, mens det modsat-
te gør sig gældende på andre, fx datamatikeruddannel-
sen. I begge tilfælde er der dog tale om et meget lille
datagrundlag. Det samme er tilfældet, når man ser på
tværs af fagområder. Se illustrationer i bilaget.
Figur 5
0-
10,1-
Andele af alle udbud med afbrudsestimater på hhv. 0-10, 10,1-20 og over 20. Det faktiske antal udbud er nævnt i hver søjle.
Beregnet efter model 1
Erhvervsakademiuddannelser
70 %
60 %
50 %
40 %
30 %
20 %
10 %
27
0%
0-10 %
106
64
Professionsbacherloruddannesler
59
37
14
10,1-20 %
over 20 %
Bemærk, at udbudsstørrelse ikke indgår i figuren. Det faktiske antal udbud er nævnt i hver søjle.
Kilde: UNI•C, 2014.
INDIKATORER FOR KVALITET PÅ SMÅ UDBUD 21
ULØ, Alm.del - 2015-16 - Bilag 13: 'Indikatorer for kvalitet på små udbud' udgivet af Danmarks Evalueringsinstitut
1556902_0022.png
Karakterer fra adgangsgivende eksamen
Karakterer fra adgangsgivende eksamen
De små uddannelsesudbud har ikke en særlig byrde i form af mange studerende med lavt gen-
nemsnit fra deres adgangsgivende eksamen. Analysen viser dog, at de små udbud optager færre
studerende med topkarakterer end større udbud. Relativt få af de små udbuds nye studerende er
registreret med en karakter fra en adgangsgivende eksamen.
Indgangsniveau som kvalitetsindikator
Karakterniveauet fra de studerendes adgangsgivende
eksamen er ikke en indikator for kvalitet. De studerendes
niveau ved påbegyndelse af uddannelsen er mere en
baggrundsfaktor, der kan være med til at forklare for-
skellene på, hvordan de enkelte uddannelsesudbud
placerer sig i analyserne af de fire kvalitetsindikatorer.
Indgangsniveauet må betragtes som en input-variabel i
forhold til kvalitet, mens indikatorer som akkrediterings-
afgørelse, karakterer for afgangsprojekt, beskæftigelses-
grad og studieafbrud alle kan betragtes som output-
eller outcome-variable.
Karaktererne fra de studerendes adgangsgivende eksa-
men er alligevel inddraget her for at vise, om der er
forskelle på, hvilket rekrutteringsgrundlag små og store
uddannelsesudbud har. Analysen kan bidrage til at nu-
ancere forståelsen af resultaterne for de forskellige ud-
budsstørrelser i analyserne af kvalitetsindikatorerne i de
foregående afsnit. Og den kan også give et billede af,
om de små udbud i udgangspunktet har en større ud-
fordring med at skabe kvalitet og høj faglighed end de
større udbud.
og over 7. Vi har taget udgangspunkt i optaget i 2012,
hvor der i materialet er registreret i alt 23.389 nye stude-
rende med en adgangsgivende karakter. Langt størstede-
len er optaget på store udbud med over 140 optagne
studerende om året. Kun 2 % af de studerende med en
registreret adgangskarakter (383 studerende) er optaget
på små udbud med under 30 optagne om året. De gene-
relle optagstal viser dog, at de små udbud optog lidt
over 4 % af de studerende i 2012.
ADGANGSKRAV TIL UDDANNELSERNE
Data om adgangskarakterer
Analysen af karaktererne bygger på registerdata, hvor
det for hvert udbud fremgår, hvor mange studerende
der er optaget med en karakter i intervallerne 0-4, 4-7
Studerende kommer også uden
et karaktergennemsnit
Datamaterialet omfatter en række optagne studerende
uden en karakter fra en adgangsgivende eksamen.
Tilsyneladende er det kun studerende med en gymnasi-
al baggrund, der er registreret med en karakter. Man
behøver dog ikke at have en studentereksamen for at
blive optaget på en erhvervsakademi- eller professions-
bacheloruddannelse. Man kan fx også blive optaget på
baggrund af en erhvervsuddannelse eller – for professi-
onsbacheloruddannelsernes vedkommende – på bag-
grund af en erhvervsakademiuddannelse.
INDIKATORER FOR KVALITET PÅ SMÅ UDBUD 22
ULØ, Alm.del - 2015-16 - Bilag 13: 'Indikatorer for kvalitet på små udbud' udgivet af Danmarks Evalueringsinstitut
1556902_0023.png
Karakterer fra adgangsgivende eksamen
Færre med topkarakterer på små udbud
Hvis man udelukkende ser på fordelingen af studerende
med en adgangsgivende karakter, tegner der sig et
interessant mønster.
De små udbud modtager nogenlunde samme andel af
studerende med en lav adgangskarakter (0-4) som de
større udbud. For både små, mindre, mellemstore og
store udbud drejer det sig om ca. en femtedel af de
optagne studerende (20-24 %). De små udbud er altså
ikke mere udfordrede af en større gruppe studerende
med et dårligt gennemsnit fra deres adgangsgivende
eksamen end de større udbud.
Mellemgruppen af studerende (4-7) fylder lidt mere på
de små udbud (68 %) end på de større (52-56 %), men
mest markant er det, at de små udbud har færre med
topkarakterer end de større udbud. De små udbud optog
i 2012 9 % af deres studerende fra gruppen med over 7
i gennemsnit fra deres adgangsgivende eksamen, mens
de mindre, mellemstore og store udbud optager hhv. 27,
21 og 22 % af deres studerende fra denne gruppe. Se
figur 6.
Andel optagne med karakter
Som nævnt er ikke alle nye studerende blevet optaget på
baggrund af en karakter fra en adgangsgivende eksa-
men. Ved at sammenholde de generelle optagstal med
oplysninger om adgangskarakterer kan man se, at
12.352 studerende i datamaterialet er blevet optaget
uden en karakter. De små udbud optager tilsyneladende
en større andel uden en karakter. 22 % af de optagne
har en adgangsgivende karakter, mens det samme er
tilfældet for 56 %, 69 % og 67 % på hhv. de mindre, de
mellemstore og de store udbud.
Det er ikke umiddelbart muligt at vurdere, hvad bag-
grunden for denne forskel er, og om det indebærer en
særlig kvalitetsudfordring for de små udbud. En mulig
forklaring kan være, at de optagne på de relativt mange
små overbygningsuddannelser (top-up-professionsbache-
loruddannelser) kommer direkte fra en erhvervsakademi-
uddannelse og derfor uden en registreret karakter fra en
adgangsgivende eksamen.
Figur 6
adgangsgivende
Fordeling af studerende med adgangsgivende karakter
N = 23.389 studerende med en registreret karakter fra en adgangsgivende eksamen.
Karaktergns. under 4
100 %
90 %
80 %
70 %
60 %
50 %
40 %
30 %
20 %
10 %
0%
Små udbud
51
83
66
87
38
76
Karaktergns. 4-7
84
Karaktergns. over 7
83
84
83
83
Mellemstore udbud
83
Store udbud
Mindre udbud
Bemærk, at tallene kun dækker en del af de studerende, der i 2012 blev optaget på de pågældende uddannelser.
Kilde: UNI•C, 2014.
INDIKATORER FOR KVALITET PÅ SMÅ UDBUD 23
ULØ, Alm.del - 2015-16 - Bilag 13: 'Indikatorer for kvalitet på små udbud' udgivet af Danmarks Evalueringsinstitut
1556902_0024.png
Fem små udbud med betinget akkreditering
Fem små udbud med betinget akkreditering
Kun to af akkrediteringsrapporterne henviser direkte til udbuddenes begrænsede størrelse som
begrundelse for en negativ vurdering. De fem små udbud har blandt andet udfordringer med
for lidt ekstern kontakt, for lille tilgang af ny forskningsviden og manglende systematik i kvali-
tetsarbejdet.
5 små udbud af erhvervsakademi- og professionsbache-
loruddannelser har fået en betinget positiv akkreditering
frem til nu. Som nævnt tidligere i rapporten er der et vist
mønster i, hvilke kriterier de små udbud med årligt optag
på op til 30 studerende har haft problemer med at op-
fylde.
I dette afsnit undersøger vi, om vurderingerne i akkredi-
teringsrapporterne peger på udbuddenes størrelse som
forklaring på de 5 små udbuds kvalitetsudfordringer. I
afsnittet ser vi også på, hvilke typer udfordringer de 5
små udbud stod over for, da de modtog den betingede
positive akkreditering. Det meget begrænsede antal
udbud med betinget positiv akkreditering bevirker, at det
ikke er muligt at sige, om netop disse udfordringer er
typiske for små udbud. Det har ikke været muligt at
tværlæse akkrediteringsvurderinger af større udbud
inden for undersøgelsens rammer, og derfor er det heller
ikke muligt at sige, om de små udbuds udfordringer
inden for de enkelte kriterier kvalitativt adskiller sig fra
udfordringerne på de større udbud, der har modtaget en
betinget positiv akkreditering.
Kun i tre af kriterierne – og kun for 2 af udbuddene –
henviser rapporterne direkte til udbuddenes størrelse
som begrundelse for, at de har problemer med at leve
op til kravene.
EKSEMPEL PÅ STØRRELSE SOM BEGRUNDELSE
”Ekspertpanelet vurderer at undervisergruppen er
velkvalificeret og gør en god indsats for at holde sig
opdateret med ny viden. Panelet vurderer dog også at
udbudsstedet er fagligt sårbart, og at det er en uover-
kommelig opgave for gruppen på fire faste undervisere
at være ajourført inden for alle uddannelsens fagområ-
der. Dertil kommer at panelet vurderer at de eksterne
undervisere ikke i samme grad som de fastansatte
bidrager til udbuddets sammenhængskraft og den
løbende faglige sparring og udvikling.”
Uddannelsen til professionsbachelor i sygepleje ved Profes-
sionshøjskolen VIA University College i Thisted og Viborg.
Vurderingen gælder kun Thisted.
Få direkte henvisninger til udbudsstørrelse
De 5 små uddannelsesudbud har tilsammen problemer
med 15 kriterier, som er vurderet enten delvist opfyldt
eller ikke opfyldt.
INDIKATORER FOR KVALITET PÅ SMÅ UDBUD 24
ULØ, Alm.del - 2015-16 - Bilag 13: 'Indikatorer for kvalitet på små udbud' udgivet af Danmarks Evalueringsinstitut
1556902_0025.png
Fem små udbud med betinget akkreditering
Udbudsstørrelse kan dog indirekte have betydning for
kvalitetsudfordringerne, selvom udbudsstørrelsen altså
kun spiller en mindre rolle som eksplicit begrundelse for
en negativ vurdering af kriterierne. I en række af kriterie-
vurderingerne begrundes den mangelfulde opfyldelse
med, at der er for få aktiviteter og kanaler, fx til at fast-
holde en tilfredsstillende dialog med aftagerfeltet. Lige-
ledes henvises til manglende kapacitet, fx til at oprethol-
de et tilfredsstillende kvalitetsarbejde. Det fremgår dog
ikke af vurderingerne, om disse udfordringer er udtryk
for manglende kritisk masse, eller om de fx skyldes ledel-
sesmæssige prioritereringer eller kultur og tradition på
udbuddet, og akkrediteringsvurderingerne giver derfor
ikke grundlag for at antage en sammenhæng med ud-
budsstørrelsen.
de, som er relevant for det eller de beskæftigelsesområ-
der, udbuddet retter sig mod. Endelig kommer kritikken
også til udtryk i kriterium 8, som handler om, at undervi-
sernes kvalifikationer og kompetencer samlet set skal
være tilstrækkelige i forhold til uddannelsesudbuddets
niveau og mål for læringsudbytte, herunder blandt andet
at undervisergruppen er ajourført med den nyeste viden
om centrale tendenser inden for erhverv eller profession.
Flere af akkrediteringsvurderingerne finder det proble-
matisk, at der ikke er en god nok kontakt til relevante
erhvervs- eller professionsaktører på det givne felt. Det
medfører, at udbuddene ikke får ny viden fra forsøgs- og
udviklingsarbejde, som er relevant for det eller de be-
skæftigelsesområder, som udbuddets dimittender for-
ventes at finde arbejde inden for. Udbuddenes undervi-
sere deltager heller ikke i fx udviklingsprojekter med
aktører inden for erhvervet eller professionen. Et enkelt
af udbuddene kritiseres også for dårlig kontakt til dimit-
tenderne, som ellers kan være en vigtig videnkilde til at
sikre uddannelsens relevans.
EKSEMPEL PÅ BEGRÆNSET KONTAKT
”Ekspertpanelet finder det også problematisk at institu-
tionen endnu ikke har taget initiativ til at finde ud af
hvordan den kan komme til at indgå i relevante udvik-
lingsprojekter. At institutionerne har vanskelige vilkår
[lukket branche, red.] som skitseret ovenfor, gør det
ikke mindre, men snarere mere nødvendigt for uddan-
nelsesinstitutionerne at tænke i nye baner og overveje
hvordan de kan komme til at arbejde med relevante
udviklingsprojekter så de i højere grad selv kan være
med til at sikre uddannelsens udviklingsbasering.”
Erhvervsakademiuddannelse inden for finansområdet
(finansøkonom AK) ved Erhvervsakademi MidtVest i
Holstebro.
Udfordringer for de små udbud
Det er ikke muligt at pege på et særligt mønster i, hvilke
specifikke kriterier de 5 små uddannelsesudbud har haft
problemer med at opfylde. Hvis man hæver sig lidt op
over kriterierne, viser tværlæsningen af akkrediterings-
rapporterne alligevel nogle fællestræk for, hvor kvalitets-
udfordringerne ligger.
Der er især tre problemfelter, der ofte optræder i akkre-
diteringsvurderingerne af de 5 udbud med få studeren-
de:
Udbuddene har for lidt ekstern kontakt.
Underviserne formår ikke at opdatere sig på den
nyeste forskning i tilstrækkelig grad.
Der er en usystematisk kvalitetskultur.
Problemfelterne forholder sig ikke specifikt til et enkelt af
de 17 akkrediteringskriterier, men hænger hver for sig
sammen med flere beslægtede kriterier. De uddybes
nedenfor.
For lidt ekstern kontakt
Alle de 5 udbud med årligt optag på 30 eller færre stu-
derende, der har modtaget en betinget positiv akkredite-
ring, har udfordringer med deres kontakt til praksisfeltet.
De fem akkrediteringsvurderinger nævner således alle på
den ene eller den anden måde, at udbuddene ikke er
tilstrækkelig udadvendte og har for få aktiviteter, der
kan sikre tilgang af ny viden om status og udvikling i
sektoren.
Kritikken af den utilstrækkelige dialog og videnindhent-
ning knytter sig til flere af kriterierne. Det drejer sig sær-
ligt om kriterium 2 om sikring af uddannelsesudbuddets
relevans gennem løbende kontakt med aftagere og di-
mittender og kriterium 4 om, at uddannelsesudbuddet
skal baseres på ny viden fra forsøgs- og udviklingsarbej-
Akkrediteringsvurderingerne efterspørger derfor mere og
bedre dialog med dimittender, aftagere og andre aktører
inden for erhvervet og professionen samt deltagelse i
relevante projekter, konferencer og netværk mv.
Utilstrækkelig viden om ny forskning
Underviserne er ikke gode nok til at indsamle og under-
vise ud fra ny forskningsviden på fagområder, som er
relevante for erhvervet og professionen. Det er en anden
problematik, der gør sig gældende på 3 af de 5 små
udbud, der kun opnåede en betinget positiv akkredite-
ring i første omgang.
INDIKATORER FOR KVALITET PÅ SMÅ UDBUD 25
ULØ, Alm.del - 2015-16 - Bilag 13: 'Indikatorer for kvalitet på små udbud' udgivet af Danmarks Evalueringsinstitut
1556902_0026.png
Fem små udbud med betinget akkreditering
Kritikken kommer især til udtryk i vurderingerne af krite-
rium 5 om, at udbuddet skal holde sig opdateret med
hensyn til nye forskningsresultater, og i kriterium 8 om
underviserne, hvor der stilles krav om, at underviserne
ikke alene er ajourført med den nyeste viden om centrale
tendenser i erhverv eller professioner, men også om
relevant forskning.
Gennemlæsningen af vurderingerne viser, at det ikke er
undervisernes uddannelsesbaggrund og generelle kvalifi-
kationer, der betragtes som problematiske. I stedet
fremhæves to forhold.
For det første peges der i to af akkrediteringsrapporterne
på, at de pågældende udbud har få lærere ansat, og at
det betyder, at det bliver en uoverkommelig opgave for
underviserne at holde sig opdateret med hensyn til det
forskningsfelt, der har forbindelse til den enkelte uddan-
nelse.
For det andet peger rapporterne på, at der på nogle
udbud er for få videnkanaler, hvor underviserne – og
dermed udbuddet – har mulighed for at ajourføre sig
med den nyeste forskning, fx konferencer mv.
EKSEMPEL PÅ FOR LIDT NY FORSKNINGSVIDEN
”Ekspertpanelet vurderer at der tilgår udbuddet viden
om relevant forskning gennem et antal aktiviteter og
videnkanaler, men at det ikke sker i tilstrækkelig grad til
at sikre en løbende tilgang af viden.”
Erhvervsakademiuddannelse inden for international handel
og markedsføring (markedsføringsøkonom AK) ved Profes-
sionshøjskolen University College Nordjylland i Thisted.
Kritikken omhandler flere konkrete forhold på udbudde-
ne.
Det nævnes flere steder i akkrediteringsvurderingerne
som et problem, at evalueringen af undervisningen i
stort omfang finder sted mundtligt, og at den enkelte
underviser har metodefrihed og selv kan bestemme
indhold af og form på evalueringerne. Det kan også ske,
at ikke alle fag bliver evalueret. Dermed er der ikke sik-
kerhed for, at alle væsentlige elementer bliver dækket af
evalueringen.
Underviserne er ikke forpligtede til at samle op på evalu-
eringerne og formidle resultaterne til uddannelsernes
ledelser. Derfor er det kun underviserne selv, som har
mulighed for at følge op, og ledelserne får ikke opdate-
ret viden om kvaliteten af undervisningen på udbuddene
med mulighed for at igangsætte opfølgningsinitiativer.
Opfølgning nævnes i det hele taget som en udfordring i
flere af vurderingerne. Udfordringen knytter sig ikke kun
til mundtlighed, men også til videreformidling og anven-
delse af resultater fra spørgeskemabaserede evaluerings-
former, fx fra tilfredshedsmålinger og trivselsmålinger. På
1 af udbuddene hænger problemstillingen sammen med,
at det ikke er muligt at skelne besvarelserne fra udbud-
dets studerende fra besvarelserne fra studerende på
professionshøjskolens andre udbud af den samme ud-
dannelse. Resultaterne af disse evalueringer bliver ikke
brugt systematisk til opfølgning og kvalitetssikring, og de
indgår heller ikke på anden måde i interne drøftelser af
uddannelsens kvalitet.
EKSEMPEL PÅ MANGLENDE OPFØLGNING
”Ekspertpanelet vurderer at der fra ledelsens side ikke i
tilstrækkelig grad følges op på evalueringsresultaterne.
Udbudsstedets ledelse præsenteres kun for resultaterne
af undervisningsevalueringerne i de tilfælde hvor den
enkelte underviser finder det ønskeligt, og dermed er
grundlaget for opfølgning ikke til stede.”
Uddannelsen til professionsbachelor som lærer i folkeskolen
Usystematisk evalueringskultur
En fælles problematik for flere af de små uddannelses-
udbud er en mangel på struktur og opfølgning i deres
kvalitetssikring.
3 af udbuddene har således enten fået ”delvist opfyldt”
eller ”ikke opfyldt” i vurderingen af kriterium 14, som
stiller krav om et systematisk og løbende arbejde med at
sikre og udvikle kvaliteten af udbuddets aktiviteter og
resultater. For et enkelt af udbuddene omfatter kritikken
også kvalitetssikringen af praktikken, som vurderes i
kriterium 10.
ved Professionshøjskolen University College Capital i Rønne.
INDIKATORER FOR KVALITET PÅ SMÅ UDBUD 26
ULØ, Alm.del - 2015-16 - Bilag 13: 'Indikatorer for kvalitet på små udbud' udgivet af Danmarks Evalueringsinstitut
1556902_0027.png
Bilag
Bilag
INDIKATORER FOR KVALITET PÅ SMÅ UDBUD 27
ULØ, Alm.del - 2015-16 - Bilag 13: 'Indikatorer for kvalitet på små udbud' udgivet af Danmarks Evalueringsinstitut
1556902_0028.png
Bilag
Akkrediteringsafgørelser
17 kriterier til akkrediteringsvurdering
Kriterium 1: Beskæftigelse:
Uddannelsesudbuddets
dimittender er i tilstrækkeligt omfang i relevant beskæf-
tigelse, eller de deltager i videre uddannelse.
Uddybning:
Udbuddet skal redegøre for og dokumen-
tere tilfredsstillende overgangsfrekvenser til relevant
beskæftigelse i erhverv eller profession samt videre ud-
dannelse, set i forhold til resultaterne for det uddannel-
sesområde, som akkrediteres, eller i forhold til resulta-
terne for beslægtede uddannelsesområder.
Kriterium 2: Aftager- og dimittendkontakt:
Uddan-
nelsesudbuddets relevans søges sikret gennem løbende
kontakt med aftagere og dimittender.
Uddybning:
Udbuddet skal redegøre for og dokumen-
tere: 1) at der indhentes relevant viden fra et felt af
aftagere og dimittender, som er dækkende for udbuddet
2) at denne viden anvendes til at understøtte udbuddets
fortsatte relevans.
Kriterium 3: Erhvervs- og professionsbasering:
Ud-
dannelsesudbuddet er baseret på ny viden om centrale
tendenser fra det eller de beskæftigelsesområder, ud-
buddet retter sig mod.
Uddybning:
Udbuddet skal redegøre for og dokumen-
tere, at ny viden om centrale tendenser fra det eller de
relevante beskæftigelsesområder løbende tilgår udbud-
det og medvirker til, at det til stadighed er tidssvarende.
Dette kan fx ske gennem undervisernes kontakt med
praksis gennem samarbejde og/eller undervisning af
praktikere i efter- og videreuddannelsesregi, via udbud-
dets kontakt med eller viden om videncenteraktiviteter
og/eller kurser og prak-sisorienterede temadage, delta-
gelse i netværk mv.
Kriterium 4: Udviklingsbasering i relation til er-
hverv eller profession:
Uddannelsesudbuddet er base-
ret på ny viden fra forsøgs- og udviklingsarbejde, som er
relevant for det eller de beskæftigelsesområder, udbud-
det retter sig mod.
Uddybning:
Udbuddet skal redegøre for og dokumen-
tere, at der løbende tilgår udbuddet erfaringer og resul-
tater fra relevant, aktuelt og praksisorienteret forsøgs-
og udviklingsarbejde samt rådgivning, som kan bidrage
til at styrke de studerendes kompetencer til at løse pro-
blemer i praksis. Forsøgs- og udviklingsarbejdet kan dreje
sig om fx udvikling af nye redskaber, produkter og me-
toder for og/eller med praksisfeltet eller slutbrugere af
det udviklede.
Kriterium 5: Udviklingsbasering i relation til forsk-
ningsviden:
Uddannelsesudbuddet er baseret på ny
viden fra forskningsfelter, der er relevante for udbuddets
fagområder.
Uddybning:
Udbuddet skal redegøre for og dokumen-
tere, at der løbende tilgår udbuddet ny relevant forsk-
ningsviden, som kan bidrage til at kvalificere erhvervs-
eller professionsudøvelse i praksis. Dette kan fx ske
gennem undervisernes deltagelse i konferencer, netværk
og andet, ved eksterne oplæg for de studerende, eller
ved at viden fra institutionens samarbejde og videnud-
veksling med forskningsinstitutioner tilgår udbuddet.
Kriterium 6: Læringsudbytte:
Uddannelsesudbuddets
mål for læringsudbytte er niveaumæssigt i overensstem-
melse med den relevante gradstypebeskrivelse i den
danske kvalifikationsramme for videregående uddannel-
se, og der er tilstrækkelig sammenhæng mellem disse
overordnede mål for læringsudbytte og læringsmålene
for udbuddets elementer.
Uddybning:
Udbuddet skal redegøre for og dokumen-
tere, 1) hvilke mål for læringsudbytte, der er fastlagt for
udbuddet, 2) at der samlet set er god sammenhæng
mellem læringsmålene for udbuddets enkelte elementer
og de over-ordnede mål for læringsudbytte, så en stude-
rende, der realiserer elementernes læringsmål også reali-
serer de overordnede mål for læringsudbytte. Som ét
udtryk for sammenhængen skal udbuddet redegøre for
og dokumentere vægtningen af elementerne, som den
kommer til udtryk i ECTS-fordelingen.
Kriterium 7: Indhold og tilrettelæggelse:
Indhold og
tilrettelæggelse af uddannelsesudbuddets elementer
samt anvendte undervisnings- og arbejdsformer er pas-
sende for, at de studerende kan realisere de fastsatte
læringsmål.
Uddybning:
Udbuddet skal redegøre for og dokumen-
tere, 1) at det faglige indhold af udbuddets elementer
har passende bredde, dybde og relevans set i forhold til
læringsmålene, 2) at de valgte undervisnings- og arbejds-
former er hensigtsmæssige for, at læringsmålene kan
realiseres, 3) at elementernes samspil understøtter reali-
seringen af uddannelsens mål for læringsudbytte.
INDIKATORER FOR KVALITET PÅ SMÅ UDBUD 28
ULØ, Alm.del - 2015-16 - Bilag 13: 'Indikatorer for kvalitet på små udbud' udgivet af Danmarks Evalueringsinstitut
1556902_0029.png
Bilag
Kriterium 8: Undervisere:
Undervisernes kvalifikationer
og kompetencer er samlet set tilstrækkelige i forhold til
uddannelsesudbuddets niveau og mål for læringsudbyt-
te, og undervisergruppen er ajourført med den nyeste
viden om centrale tendenser i erhverv eller professioner
samt relevant forskning.
Uddybning:
Udbuddet skal redegøre for og dokumen-
tere, 1) at undervisergruppen samlet set lever op til de
krav til teoretiske, faglige, pædagogiske og erhvervs-
eller professionsmæssige kvalifikationer og kompetencer,
der følger af reglerne for uddannelsen, 2) at underviser-
gruppen gennem løbende kompetenceudvikling og
andre aktiviteter er ajourført med den nyeste viden om
centrale tendenser i erhverv eller professioner samt rele-
vant forskning.
Kriterium 9: Praktik:
Praktikken tilrettelægges og gen-
nemføres, så den studerendes læring styrkes i et samspil
mellem teori og praksis.
Uddybning:
Udbuddet skal redegøre for og dokumen-
tere, 1) at praktikken tilrettelægges og gennemføres
hensigtsmæssigt, 2) at praktikken er en integreret del af
det samlede udbud, så den studerendes videntilegnelse,
erfaringsdannelse og læring på henholdsvis udbudssted
og praktiksted er gensidigt supplerende.
Kriterium 10: Kvalitetssikring af praktik:
Praktikken
kvalitetssikres løbende.
Uddybning:
Udbuddet skal redegøre for og dokumen-
tere, at det løbende sikres, at praktikken fungerer til-
fredsstillende, fx gennem krav til praktiksted, dialog
mellem institution og udbud på den ene side og praktik-
sted på den anden om deres opgave som praktiksted og
gennem evaluering af praktik.
Kriterium 11: Faciliteter og ressourcer:
De fysiske
faciliteter og materielle ressourcer er tilstrækkelige i
forhold til mål for læringsudbytte.
Uddybning:
Udbuddet skal redegøre for og dokumen-
tere, at de fysiske faciliteter og materielle ressourcer, der
er til rådighed for udbuddets studerende og undervisere
på udbudsstedet, er tilstrækkelige til, at det er muligt at
opnå det forventede læringsudbytte. De fysiske faciliteter
og materielle ressourcer er fx bibliotek, it-udstyr, lokaler,
apparatur, materialer og redskaber.
Kriterium 12: Internationalisering:
Uddannelsesud-
buddet er tilrettelagt, så der er mulighed for at gennem-
føre en eller flere dele af uddannelsen i udlandet inden
for den normerede studietid.
Uddybning:
Udbuddet skal redegøre for og dokumen-
tere, at det er muligt for de studerende at gennemføre
en eller flere dele af uddannelsen i udlandet inden for
den normerede studietid.
Kriterium 13: Kvalitetssikring af internationalise-
ringen:
Det sikres løbende, at uddannelsesdele, der
gennemføres i udlandet, i tilstrækkelig grad bidrager til
opnåelsen af det samlede læringsudbytte.
Uddybning:
Udbuddet skal redegøre for og dokumen-
tere, 1) at udbuddet stiller relevante og tilstrækkelige
kvalitetskrav til de uddannelsesdele, de studerende kan
vælge at gennemføre i udlandet, 2) at udbuddet løbende
sikrer sig, at kvalitetskravene opfyldes. Fx skal den dan-
ske uddannelsesinstitution forhåndsvurdere og godken-
de de udenlandske uddannelseselementer, som de stu-
derende kan tage, 3) at der ved uddannelser, der er
tilrettelagt som parallelforløb, er indgået aftale med en
anerkendt udenlandsk uddannelsesinstitution om vilkå-
rene for gennemførelsen af dele af uddannelsen på den
udenlandske uddannelsesinstitution.
Kriterium 14: Systematisk og kontinuerligt kvali-
tetsarbejde:
Der arbejdes systematisk og løbende med
at sikre og udvikle kvaliteten af udbuddets aktiviteter og
resultater.
Uddybning:
Udbuddet skal redegøre for og dokumen-
tere, 1) at der systematisk gennemføres aktiviteter for at
kvalitetssikre og -udvikle udbuddet, 2) at eksterne og
interne interessenter inddrages, herunder at udbuddet
regelmæssigt og systematisk sikrer sig de studerendes
vurdering af udbuddet, 3) at udbuddet bruger den viden,
der indhentes gennem evaluering, kvalitetssikring og -
udvikling, til at forbedre og udvikle sine aktiviteter og
resultater.
Kriterium 15: Gennemførelse:
Frafald minimeres, og
de studerende gennemfører i tilfredsstillende omfang.
Uddybning:
Udbuddet skal redegøre for og dokumen-
tere, 1) at der er iværksat indsatser for at øge antallet af
studerende, som gennemfører, fx registrering af nøgle-
tal, studie- og erhvervsvejledning samt viden om årsager
til frafald, 2) at der opnås tilfredsstillende resultater med
hensyn til de studerendes gennemførelsesfrekvens set i
forhold til andre udbud inden for samme eller beslægte-
de uddannelsesområder.
INDIKATORER FOR KVALITET PÅ SMÅ UDBUD 29
ULØ, Alm.del - 2015-16 - Bilag 13: 'Indikatorer for kvalitet på små udbud' udgivet af Danmarks Evalueringsinstitut
1556902_0030.png
Bilag
Kriterium 16:
Vurdering af læringsudbytte. Prøver og
eksamensformer sikrer en tilstrækkelig samlet belysning
af, hvorvidt en studerende har realiseret mål for lærings-
udbytte.
Uddybning:
Udbuddet skal redegøre for og dokumen-
tere, 1) at de valgte prøver og eksaminer er velegnede til
at belyse, om en studerende opnår de læringsmål, der
skal vurderes ved prøven/eksamenen, 2) at de valgte
prøver og eksaminer samlet set giver et tilstrækkeligt
dækkende billede af, om en studerende har opnået
viden, færdigheder og kompetencer, der svarer til mål
for læringsudbytte.
Kriterium 17:
Opnåelse af læringsudbytte. Uddannel-
sesudbuddets dimittender realiserer mål for læringsud-
bytte i tilfredsstillende grad.
Uddybning:
Udbuddet skal redegøre for og dokumen-
tere, at udbuddets dimittender opnår tilstrækkeligt gode
karakterresultater, set i forhold til resultaterne for det
uddannelsesområde, der akkrediteres, eller i forhold til
resultaterne for beslægtede uddannelsesområder.
AKKREDITERINGSAFGØRELSER
Positiv
Akkreditering
Små udbud
Mindre udbud
Mellemstore udbud
Store udbud
Kilde: EVA og Akkrediteringsrådet, 2014.
Betinget positiv
akkreditering
5
6
4
4
Afslag på
akkreditering
0
0
0
0
3
14
33
36
INDIKATORER FOR KVALITET PÅ SMÅ UDBUD 30
ULØ, Alm.del - 2015-16 - Bilag 13: 'Indikatorer for kvalitet på små udbud' udgivet af Danmarks Evalueringsinstitut
1556902_0031.png
Bilag
AKKREDITEREDE UDBUD MED IKKE-OPFYLDTE ELLER KUN DELVIST OPFYLDTE KRITERIER
Kriterier
K1 - Beskæftigelse
K2 - Aftager- og dimittendkontakt
K3 - Erhvervs- og professionsbasering
K4 - Udviklingsbasering i relation til
erhverv eller profession
K5 - Udviklingsbasering i relation til
forskningsviden
K6 - Læringsudbytte
K7 - Indhold og tilrettelæggelse
K8 - Undervisere
K9 - Praktik
K10 - Kvalitetssikring af praktik
K11 - Faciliteter og ressourcer
K12 - Internationalisering
K13 - Kvalitetssikring af internatio-
nalisering
K14 - Systematisk og kontinuerligt
kvalitetsarbejde
K15 - Gennemførelse
K16 - Vurdering af læringsudbytte
K17 - Opnåelse af læringsudbytte
Kilde: EVA og Akkrediteringsrådet, 2014.
Små udbud
0
2
0
3
4
0
0
3
0
2
0
1
1
3
1
0
0
Mindre ud- Mellemstore Store udbud
bud
udbud
0
5
0
6
3
0
0
3
0
2
2
2
1
4
0
0
0
0
5
0
1
1
0
2
0
1
7
0
1
5
4
2
0
0
1
9
0
1
0
0
4
1
2
8
1
1
0
7
1
0
0
Alle udbud
1
21
0
11
8
0
6
7
3
19
3
5
7
18
4
0
0
INDIKATORER FOR KVALITET PÅ SMÅ UDBUD 31
ULØ, Alm.del - 2015-16 - Bilag 13: 'Indikatorer for kvalitet på små udbud' udgivet af Danmarks Evalueringsinstitut
1556902_0032.png
Bilag
Beskæftigelse
DIMITTENDERNES BESKÆFTIGELSE I 2012 (NUL-ET ÅR EFTER DIMISSION)
Beskæftigelsesgrad
Små udbud
Mindre udbud
Mellemstore udbud
Store udbud
Total
Kilde: UNI•C, 2014.
Antal personer
491
1.380
3.202
10.024
15.097
71 %
65 %
74 %
75 %
--
Tabellen viser antal og andel af dimittender i beskæftigelse.
DIMITTENDERNES BESKÆFTIGELSE I 2012 FOR ERHVERVSAKADEMIUDDANNELSER PROFESSIONSBACHELORUD-
DANNELSER (NUL-ET ÅR EFTER DIMISSION)
Erhvervsakademiuddannelser
Antal personer
Små udbud
Mindre udbud
Mellemstore udbud
Store udbud
Total
Tabellen viser antal og andel af dimittender i beskæftigelse.
Kilde: UNI•C, 2014.
Professionsbacheloruddannelser
Antal personer
164
918
2.275
7.788
11.145
Pct.
71 %
72 %
80 %
79 %
--
Pct.
70 %
56 %
63 %
66 %
--
327
462
927
2.236
3.952
INDIKATORER FOR KVALITET PÅ SMÅ UDBUD 32
ULØ, Alm.del - 2015-16 - Bilag 13: 'Indikatorer for kvalitet på små udbud' udgivet af Danmarks Evalueringsinstitut
1556902_0033.png
Bilag
DIMITTENDERNES BESKÆFTIGELSE I 2012 FORDELT PÅ FAGOMRÅDER (NUL-ET ÅR EFTER DIMISSION)
Små
udbud
Korte videregående uddannelser
Bio- og laboratorietekniske område
Designfaglige område
It-faglige område
Sundhedsfaglige område
Tekniske område og transport
Økonomisk-merkantile område + samfundsfaglige
område
Professionsbacheloruddannelser
Medie- og kommunikationsfaglige område
Pædagogiske område
Samfundsfaglige område
Sundhedsfaglige område
Tekniske område
Økonomisk-merkantile område
Tabellen viser antal dimittender i beskæftigelse.
Kilde: UNI•C, 2014.
Mindre
udbud
Mellemstore
udbud
Store
udbud
44
0
37
19
156
71
48
0
124
59
37
336
6
98
420
156
114
176
54
441
0
1.556
52
34
0
37
10
31
267
112
28
236
6
269
58
793
40
992
29
363
315
4.697
649
1.530
521
76
Figur A
Dimittenderne beskæftigelsesgrad fordelt på erhvervsakademi- og professionsbacheloruddannelser for 2012
(nul-et år efter dimission)
N=254 udbud og 15.097 personer. Det faktiske antal udbud er angivet i hver søjle.
Erhversakademier
100 %
90 %
80 %
70 %
60 %
50 %
40 %
30 %
20 %
10 %
0%
Små udbud
Kilde: UNI•C, 2014.
Professionshøjskoler
30
16
24
34
26
47
22
55
Mindre udbud
Mellemstore udbud
Store udbud
INDIKATORER FOR KVALITET PÅ SMÅ UDBUD 33
ULØ, Alm.del - 2015-16 - Bilag 13: 'Indikatorer for kvalitet på små udbud' udgivet af Danmarks Evalueringsinstitut
1556902_0034.png
Bilag
DIMITTENDERNES BESKÆFTIGELSE I 2012 PÅ UDVALGTE UDDANNELSER (NUL-ET ÅR EFTER DIMISSION)
Små
udbud
Erhvervsakademiuddannelser
Finansøkonom
Markedsføringsøkonom
Multimediedesigner
Professionsbacheloruddannelser
Folkeskolelærer
Pædagog
Sygeplejerske
Tabellen viser antal dimittender i beskæftigelse.
Kilde: UNI•C, 2014.
Mindre
udbud
Mellemstore
udbud
Store
udbud
Total
0
7
19
89
65
70
184
111
180
223
994
407
496
1.177
676
11
18
27
87
488
305
1.608
3.089
1.003
2.194
3.412
1.525
23
472
Figur B
Dimittendernes beskæftigelsesgrad 2012 (nul-et år efter dimission)
100 %
90 %
Beskæftigelsesgrad
80 %
70 %
60 %
50 %
40 %
30 %
20 %
10 %
0%
,0
200,0
400,0
Optag
Kilde: UNI•C, 2014.
600,0
800,0
1000,0
INDIKATORER FOR KVALITET PÅ SMÅ UDBUD 34
ULØ, Alm.del - 2015-16 - Bilag 13: 'Indikatorer for kvalitet på små udbud' udgivet af Danmarks Evalueringsinstitut
1556902_0035.png
Bilag
Afgangsprojektkarakterer
KARAKTERGENNEMSNIT FOR AFGANGSPROJEKT (PROFESSIONSBACHELORER) OPDELT PÅ FAGOMRÅDER
Små udbud
K=karaktergennemsnit
N=antal udbud
Medie- og kommunikationsfaglige område
Pædagogiske område
Samfundsfaglige område
Sundhedsfaglige område
Tekniske område
Økonomisk-merkantile område
Total
Kilde: SIS, FIVU, 2014.
Mindre
udbud
K
9,2
7,4
7,8
8,7
--
7,96
8,6
N
Mellemstore
udbud
K
9,1
7,8
8,5
8,6
--
N
Store
udbud
K
8,0
8,3
7,8
8,8
--
--
8,4
N
K
Total
K
6,6
9,0
--
9,6
--
--
8,8
N
N
1
3
0
2
0
0
6
3
2
1
10
1
12
3
24
0
0
40
1
27
4
14
0
0
46
8,5
8,2
8,0
8,7
--
7,96
8,4
6
44
8
50
0
1
109
1
17
--
8,4
Figur C
Karaktergennemsnit for BA-afgangsprojekt
12
11
10
9
8
7
6
5
4
,0
100,0
200,0
300,0
400,0
500,0
Optag
600,0
700,0
800,0
900,0
1000,0
Kilde: SIS, FIVU, 2014.
Karaktergennemsnit
INDIKATORER FOR KVALITET PÅ SMÅ UDBUD 35
ULØ, Alm.del - 2015-16 - Bilag 13: 'Indikatorer for kvalitet på små udbud' udgivet af Danmarks Evalueringsinstitut
1556902_0036.png
Bilag
Afbrudsestimater
Figur D
Afbrudsestimater på udbud af erhvervsakademiuddannelserne beregnet ud fra model 1
N=128 udbud. Det faktiske antal udbud er angivet i hver søjle.
Små udbud
70
60
50
40
30
20
10
14
0
0-10 procent
Kilde: UNI•C, 2014.
Mindre udbud
Mellemstore udbud
Store udbud
5
5
3
11
19
17
17
10
12
10
5
10,1-20 procent
over 20 procent
Figur E
Afbrudsestimater på udbud af erhvervsakademiuddannelserne beregnet ud fra model 2
N=128 udbud. Det faktiske antal udbud er angivet i hver søjle.
Små udbud
70
60
50
40
30
20
10
11
0
0-25 procent
Kilde: UNI•C, 2014.
Mindre udbud
Mellemstore udbud
Store udbud
6
5
8
10
9
8
8
14
21
19
9
26-35 procent
over 35 procent
INDIKATORER FOR KVALITET PÅ SMÅ UDBUD 36
ULØ, Alm.del - 2015-16 - Bilag 13: 'Indikatorer for kvalitet på små udbud' udgivet af Danmarks Evalueringsinstitut
1556902_0037.png
Bilag
Figur F
Afbrudsestimater på udbud af professionsbacheloruddannelserne beregnet ud fra model 1
N=179 udbud. Det faktiske antal udbud er angivet i hver søjle.
Små udbud
70
60
50
40
30
20
10
0
0-10 procent
Kilde: UNI•C, 2014.
Mindre udbud
Mellemstore udbud
Store udbud
26
11
32
37
19
6
13
21
7
6
1
0
10,1-20 procent
over 20 procent
Figur G
Afbrudsestimater på udbud af professionsbacheloruddannelserne beregnet ud fra model 2
N=179 udbud. Det faktiske antal udbud er angivet i hver søjle.
Små udbud
70
60
50
40
30
20
10
10
0
0-25 procent
Kilde: UNI•C, 2014.
Mindre udbud
Mellemstore udbud
Store udbud
18
17
28
5
17
18
22
9
10
17
8
26-35 procent
over 35 procent
INDIKATORER FOR KVALITET PÅ SMÅ UDBUD 37
ULØ, Alm.del - 2015-16 - Bilag 13: 'Indikatorer for kvalitet på små udbud' udgivet af Danmarks Evalueringsinstitut
1556902_0038.png
Bilag
Figur H
Afbrudsestimater samlet for alle udbud af erhvervsakademi- og professionsbacheloruddannelserne
beregnet ud fra model 2
N=307 udbud. Det faktiske antal udbud er angivet i hver søjle.
Små udbud
70
60
50
40
30
20
10
21
0
0-25 procent
Kilde: UNI•C, 2014.
Mindre udbud
Mellemstore udbud
Store udbud
24
22
36
15
26
26
30
23
31
36
17
26-35 procent
over 35 procent
DE GENNEMSNITLIGE AFBRUDSESTIMATER FOR UDBUDDENE INDEN FOR HVER STØRRELSESKATEGORI (PROCENT)
Små
udbud
Alle udbud
Udbud af erhvervsakademiuddannelser
Udbud af professionsbacheloruddannelser
Kilde: UNI•C, 2014. Beregnet efter model 2.
Mindre
udbud
34
(n=81)
38
(n=36)
30
(n=45)
Mellemstore
udbud
33
(n=84)
37
(n=32)
30
(n=52)
Store
udbud
28
(n=83)
33
(n=25)
26
(n=58)
36
(n=59)
34
(n=35)
40
(n=24)
INDIKATORER FOR KVALITET PÅ SMÅ UDBUD 38
ULØ, Alm.del - 2015-16 - Bilag 13: 'Indikatorer for kvalitet på små udbud' udgivet af Danmarks Evalueringsinstitut
1556902_0039.png
Bilag
Figur I
Gennemsnitlig afbrudsestimater for alle udbud
80 %
70 %
Afbrudsfrekvens
60 %
50 %
40 %
30 %
20 %
10 %
0%
,0
100,0
200,0
300,0
400,0
500,0
Optag 2012
600,0
700,0
800,0
900,0
1000,0
Kilde: UNI•C, 2014. Beregnet efter model 1.
AFBRUDSESTIMATER I 2012 EFTER MODEL 1 OG 2 FORDELT PÅ FAGOMRÅDER (PROCENT)
Små
udbud
Model
1
Model
2
Mindre
udbud
Model
1
Model
2
Mellemstore
udbud
Model
1
Model
2
Store
udbud
Model
1
Model
2
Korte videregående uddannelser
Bio- og laboratorietekniske område
Designfaglige område
It-faglige område
Sundhedsfaglige område
Tekniske område
Økonomisk-merkantile område
+samfundsfaglige område
20
-
8
17
5
19
39
-
51
22
24
44
19
8
16
-
22
18
36
32
37
-
40
36
13
14
14
-
18
20
43
21
39
-
30
38
10
11
82
11
-
14
22
20
47
23
-
32
Professionsbacheloruddannelser
Medie- og kommunikationsfaglige område
Pædagogiske område
Samfundsfaglige område
Sundhedsfaglige område
Tekniske område
Økonomisk-merkantile område
Kilde: UNI•C, 2014.
9
14
0
10
7
21
39
35
44
20
44
36
8
16
13
10
12
8
26
50
35
28
64
34
0
11
10
9
26
10
1
33
41
27
54
29
5
9
7
9
10
14
13
28
23
27
28
25
INDIKATORER FOR KVALITET PÅ SMÅ UDBUD 39
ULØ, Alm.del - 2015-16 - Bilag 13: 'Indikatorer for kvalitet på små udbud' udgivet af Danmarks Evalueringsinstitut
1556902_0040.png
Bilag
AFBRUDSESTIMATER I 2012 EFTER MODEL 1 OG 2 FORDELT PÅ FAGOMRÅDER (PROCENT)
Små
udbud
Model
1
Model
2
Mindre
udbud
Model
1
Model
2
Mellemstore
udbud
Model
1
Model
2
Store
udbud
Model
1
Model
2
Korte videregående uddannelser
Finansøkonom
Markedsføringsøkonom
Multimediedesigner
-
23
0
-
57
47
24
13
19
34
27
39
16
19
16
31
35
29
19
13
27
33
32
41
Professionsbacheloruddannelser
Folkeskolelærer
Pædagog
Sygeplejerske
Kilde: UNI•C, 2014.
23
6
11
50
13
32
24
-
11
47
-
28
13
8
8
39
26
27
11
7
9
38
24
25
INDIKATORER FOR KVALITET PÅ SMÅ UDBUD 40
ULØ, Alm.del - 2015-16 - Bilag 13: 'Indikatorer for kvalitet på små udbud' udgivet af Danmarks Evalueringsinstitut
1556902_0041.png
Bilag
Litteraturstudie
Afdækning af dansk og international
forskningslitteratur
EVA har i forbindelse med undersøgelsen af kvalitetsud-
fordringer på udbud af erhvervsakademi- og professi-
onsbacheloruddannelser foretaget en litteratursøgning
efter relevant dansk og international forskningslitteratur.
Den systematiske litteratursøgning har haft til hensigt at
afdække forskningsviden om undersøgelsens problem-
stilling, herunder især effektstudier, der beskæftiger sig
med udbudsstørrelse og kvalitet.
Det har været en intention at inddrage viden fra den
eksisterende forskning for at understøtte undersøgelsens
resultater samt at påpege problemstillinger og forkla-
ringsmuligheder på eventuelle sammenhænge mellem
kvalitetsudfordringer og udbudsstørrelse.
For at kvalitetssikre søgestrategien er den blevet udviklet
i samarbejde med forskningsbibliotekarer ved Det Admi-
nistrative Bibliotek. Litteratursøgningen har fundet sted
på dansk, engelsk, norsk og svensk for at give et bredt
grundlag for litteraturstudiet. Søgningen er afgrænset til
studier fra perioden 2005-14.
Søgningen er foretaget af bibliotekarer ved Det Admini-
strative Bibliotek og er foretaget i bibliotekets egen
database samt ERIC. Søgningen resulterede i over 1.000
hits, hvoraf der er blevet udtrukket en tilfældig stikprøve
på halvdelen af de lokaliserede studier. De udvalgte
abstracts er blevet læst igennem af projektgruppen.
Under gennemlæsningen af abstracts identificerede EVA
ingen relevante undersøgelser og valgte derfor ikke at
gennemlæse de resterende abstracts. Søgeordene er
beskrevet nedenfor.
Ud over den systematiske litteratursøgning har vi forsøgt,
at identificere relevante nordiske studier ved at kontakte
centrale medarbejdere fra den norske og den svenske
kvalitetssikringsorganisation for videregående uddannel-
se. De pågældende medarbejdere har ikke haft kendskab
til relevante forskningsstudier eller andre undersøgelser
af problemstillingen.
SØGEORD
Engelsk:
SMALL/SIZE + “HIGHER EDUCATION”
SMALL/SIZE + FACULTY
SMALL/SIZE + COLLEGES
SMALL/SIZE + “RESEARCH COMMUNITY”
SMALL/SIZE + CAMPUS
SMALL/SIZE + “COMMUNITY COLLEGE”
SMALL/SIZE + “EDUCATIONAL INSTITUTION”
SMALL/SIZE + “COLLEGE INTAKE”
SMALL/SIZE + VET
Afgrænsende søgeord
Søgeord + QUALITY
Søgeord + LEARNING
Søgeord + OUTCOMES
Svensk:
SMÅ/ LITEN + HÖGSKOLA
SMÅ/ LITEN + HÖGSKOLEUTBILDNING
SMÅ/ LITEN + FORSKNINGSMILJÖ
SMÅ/ LITEN + UTBILDNINGSINSTITUTION
SMÅ/ LITEN + INSTITUT
SMÅ/ LITEN + UTBILDNINGSANORDNARE
SMÅ/ LITEN + YRKESHÖGSKOLA
SMÅ/ LITEN + UTBILDNINGSUTBUD
SMÅ/ LITEN + UTBUD + HÖGSKOLA
Afgrænsende søgeord
Søgeord + KVALITET
Søgeord + LÄRANDE
Søgeord + RESULTAT
Søgeord + UTFALL
Norsk:
LITEN/SMÅ + HØYSKOLE / HØGSKOLE
LITEN/SMÅ + FAGSKOLE
LITEN/SMÅ + OPPTAK
LITEN/SMÅ + ”HØYERE UTDANNING”
LITEN/SMÅ + UTDANINGSINSTITUSJON
LITEN/SMÅ + UTDANNINGSTILBUD
INDIKATORER FOR KVALITET PÅ SMÅ UDBUD 41
ULØ, Alm.del - 2015-16 - Bilag 13: 'Indikatorer for kvalitet på små udbud' udgivet af Danmarks Evalueringsinstitut
1556902_0042.png
Bilag
SØGEORD
Afgrænsende søgeord
Søgeord + KVALITET
Søgeord + RESULTAT
Søgeord + UTFALL
Tysk:
KLEIN/WENIG + HOCHSCHULE
KLEIN/WENIG + BERUFSAKADEMIE
KLEIN/WENIG + FACHHOCHSCHULE
KLEIN/WENIG + ”HÖHERE AUSBILDUNG”
KLEIN/WENIG + ”HÖHERE BILDUNG”
KLEIN/WENIG + AUFNAHME + HOCHSCHULE
KLEIN/WENIG + AUFNAHME + FACHHOCHSCHULE
KLEIN/WENIG + AUFNAHME + BERUFSAKADEMIE
KLEIN/WENIG + AUSBILDUNGSANGEBOTE
Afgrænsende søgeord
Søgeord + QUALITÄT
Søgeord + RESULTATE
Søgeord + ERGEBNISSE
INDIKATORER FOR KVALITET PÅ SMÅ UDBUD 42
ULØ, Alm.del - 2015-16 - Bilag 13: 'Indikatorer for kvalitet på små udbud' udgivet af Danmarks Evalueringsinstitut
1556902_0043.png
Bilag
Dokumentation og metode
I dette afsnit beskrives undersøgelsens population, data-
grundlag, datarensning og analyse af data.
Med disse afgrænsninger ender vi med en population på
332 udbud.
Undersøgelsens population
Undersøgelsen tager udgangspunkt i udbud af uddan-
nelser på erhvervsakademi- og professionsbachelorni-
veau, der udbydes af erhvervsakademier og professions-
højskoler i Danmark. Vi ser bort fra helt nye udbud (ud-
bud med optag fra 2012) og har således valgt at define-
re populationen til at indeholde udbud, der har haft
optag i 2012 og ligeledes i enten 2010 eller 2011. 307
af udbuddene har haft optag i alle tre år, mens 4 udbud
ikke har optag i 2011, og 21 udbud ikke har optag i
2010. Undersøgelsen inddrager ikke erhvervsakademi-
og professionsbacheloruddannelser, der udbydes af
andre typer af uddannelsesinstitutioner, såsom universi-
teter, ligesom diplomingeniøruddannelserne, de mariti-
me uddannelser og en række private uddannelsesinstitu-
tioner såsom Rudolf Steiner-seminarierne og Gotvedsko-
len er udeladt. Danmarks Medie- og Journalisthøjskole er
dog medtaget ligesom erhvervsakademiuddannelser
udbudt på tekniske skoler.
Datagrundlag
Alt statistisk materiale, undtaget data om akkrediterin-
ger, er leveret af Kvalitetsudvalgets sekretariat og stam-
mer fra UNI•C og SIS. Data om akkrediteringer er ind-
samlet af EVA på baggrund af Akkrediteringsrådets
afgørelser og akkrediteringsrapporter.
Statistik over antal optagne
Statistikken indeholder data om det årlige antal optagne
studerende opgjort på de enkelte udbudssteder for
perioden 2010-12. Det årlige optag dækker over som-
mer- og vinteroptag samt optag til e-læringskurser.
Statistikken over antal optagne anvendes i undersøgel-
sen som mål for udbudsstørrelse.
Beskæftigelsesstatistik
Statistikken indeholder data om beskæftigelsesfrekvens
for dimittender, der er dimitteret nul-et år før opgørelses
tidspunkt. Beskæftigelsesfrekvensen for 2012 er opgjort
pr. 1. oktober 2011 og for de enkelte udbud.
DATAGRUNDLAG
Små
Udbud
Total
Antal
Procent
Antal
Procent
Antal
Procent
Antal
Procent
Antal
Procent
Antal
Procent
76
23
46
18
6
6
59
19
76
23
34
12
Mindre
udbud
89
27
57
23
19
17
81
26
89
27
79
28
Mellemstore
udbud
84
25
71
28
40
37
84
27
84
25
84
30
Store
udbud
83
25
77
31
44
40
83
27
83
25
83
30
Total
332
100
251
100
109
100
307
100
332
100
280
100
Beskæftigelse
Afgangsprojektkarakterer
Frafald (model 1)
Frafald (model 2)
Adgangskarakterer
Kilde: UNI•C og SIS, 2014.
INDIKATORER FOR KVALITET PÅ SMÅ UDBUD 43
ULØ, Alm.del - 2015-16 - Bilag 13: 'Indikatorer for kvalitet på små udbud' udgivet af Danmarks Evalueringsinstitut
1556902_0044.png
Bilag
Statistik over afgangsprojektkarakterer
Statistikken stammer fra SIS og indeholder karakterer for
samtlige beståede afgangsprojekter fra professionsba-
cheloruddannelserne på professionshøjskolerne i 2012 (i
alt ca. 10.000 studerende). Udeladt fra statistikken er
erhvervsakademiuddannelser samt professionsbachelor-
uddannelser udbudt af andre end professionshøjskoler-
ne, herunder erhvervsakademierne.
Statistik over studieafbrud (frafald)
Statistik over studieafbrud baseres på to forskellige data-
kilder og beregningsmodeller:
1 Statistik over det årlige antal studerende, der afbry-
der deres uddannelse, for perioden 2010-12. Stati-
stikken er opgjort for de enkelte udbudssteder. Af-
brudsestimaterne er udregnet ved at dividere antallet
af studerende, der afbryder studiet i 2012, med den
samlede bestand på studiet i 2012.
2 Statistik over den årlige frekvens for studieafbrud for
de enkelte udbud opgjort på baggrund af UNI•C’s
profilmodel. Modellen bliver i enkelte tilfælde udfor-
dret, når data præsenteres for de enkelte udbud og
viser fx 100 % studieafbrud, selvom det ikke er til-
fældet. Det gælder især, når det drejer sig om ny-
etablerede udbud. De modelberegnede afbrudsesti-
mater er i flere tilfælde blevet ekskluderet fra analy-
sen.
I analyserne af frafald inddrages udelukkende udbud, der
har optag i både 2010, 2011 og 2012.
Statistik over adgangskarakterer
Statistikken indeholder data om karaktergennemsnittet
fra den adgangsgivende eksamen for optagne i perioden
2009-12. De adgangsgivende karaktergennemsnit er
inddelt i hhv. 4,00 og lavere, 4,01-7,00 og 7,01 og høje-
re. Statistikken er opgjort for de enkelte udbudssteder
og udregnet ved at summere antallet af studerende, der
falder indenfor de tre karakterkategorier.
Analyse af data
I undersøgelsen er den analyserede enhed udbud af
uddannelser på erhvervsakademi- og professionsbache-
lorniveau. I analyserne ser vi på kryds mellem udbuds-
størrelse og hhv. adgangskarakterer, frafald, afgangspro-
jektkarakterer samt beskæftigelsesstatistik. Som beskre-
vet flere steder i rapporten har datamaterialet ikke en
karakter, der giver grundlag for at pege på kausale
sammenhænge, og derfor har det heller ikke givet me-
ning at teste, om der er en statistisk signifikant sammen-
hæng mellem udbudsstørrelse og de forskellige indikato-
rer for kvalitet. Undersøgelsen har en eksplorativ karak-
ter og kan maksimalt antyde, om der kunne være en
sammenhæng mellem udbudsstørrelse og kvalitet.
INDIKATORER FOR KVALITET PÅ SMÅ UDBUD 44
ULØ, Alm.del - 2015-16 - Bilag 13: 'Indikatorer for kvalitet på små udbud' udgivet af Danmarks Evalueringsinstitut
1556902_0045.png
DANMARKS
EVALUERINGSINSTITUT
Østbanegade 55, 3.
2100 København Ø
T 35 55 01 01
F 35 55 10 11
E [email protected]
H www.eva.dk
Danmarks Evalueringsinstitut udforsker og udvikler kvaliteten
af dagtilbud for børn, skoler og uddannelser. Vi leverer viden,
der bruges på alle niveauer – fra institutioner og skoler til
kommuner og ministerier.
Læs mere om EVA på vores hjemmeside, www.eva.dk.
Her kan du også downloade alle EVA’s udgivelser
– trykte eksemplarer kan bestilles via en boghandel.
Indikatorer for kvalitet på små udbud
© 2014 Danmarks Evalueringsinstitut
Foto
Gitte Sofie Hansen, Mette Bendixen, Søren Osgood, Søren Svendsen, Thomas Søndergaard
Eftertryk med kildeangivelse er tilladt
ISBN: (www) 978-87-7958-762-5