Uddannelses- og Forskningsudvalget 2015-16
UFU Alm.del Bilag 133
Offentligt
1620295_0001.png
Hvad er op og ned på det akademiske
arbejdsmarked?
Siden 1996 er antallet af akademikere på det danske arbejdsmarked
vokset med godt 100.000 personer, så der i dag er ca. 250.000 akade-
mikere. I samme periode er bruttoarbejdsløsheden blandt akademikere
mere end halveret fra 8,7 pct. til 4,2 pct. Den generelle akademikerle-
dighed ligger således lavere end bruttoledigheden for hele arbejdsmar-
kedet.
96 pct. af alle akademiske lønmodtagere er i akademisk beskæftigelse
og udnytter dermed deres uddannelse. Dette viser en ny registerbaseret
analyse, Akademikerne har udarbejdet sammen med AE. Analysen viser
herudover, at stort set alle akademikere på det danske arbejdsmarked
oppebærer en akademisk løn, hvilket afspejler den værdiskabelse, de
leverer til gavn for samfundet, virksomhederne og dem selv.
Fra 1996 til 2015 er der sket en fordobling i antallet af kandidater, der
uddannes på landets universiteter. Trods den øgede tilgang af kandida-
ter er dimittendledigheden i perioden faldet i perioden fra 32 pct. til 29
pct. Dimittendernes ledighed falder hurtigt. Allerede et år efter dimission
er dimittendledigheden faldet til 14 pct., og efter 4 år er det kun 3,2
pct., der stadig er uden job. Efter 5 år på arbejdsmarkedet er ledighe-
den helt nede på 1,8 pct. Tendensen viser, at dimittendledighed i vidt
omfang skal ses som søgeledighed.
Analysen viser også, at mere end 85 pct. af beskæftigede dimittender,
opgjort 1 år efter dimission, er i et akademisk job. Når en kandidatår-
gang har været på arbejdsmarkedet i mindst 5 år, er andelen i akade-
misk beskæftigelse vokset til godt 96 pct.
Fremadrettet vil de nye dimensioneringsregler medføre en stagnation i
kandidatproduktionen, og der er ikke tegn på, at der vil være for mange
akademikere på det danske arbejdsmarked frem mod 2025. Tværtom er
der risiko for, at der på det akademiske arbejdsmarked - inden for en
relativt kort tidshorisont - kan opstå flaskehalse.
Den 7. april 2016
Sagsnr. S-2016-267308
Dok.nr. D-2016-66986171
bv/bba
UFU, Alm.del - 2015-16 - Bilag 133: Henvendelse af 7/4-16 fra Akademikerne om "Hvad er op og ned på det akademiske arbejdsmarked?"
1620295_0002.png
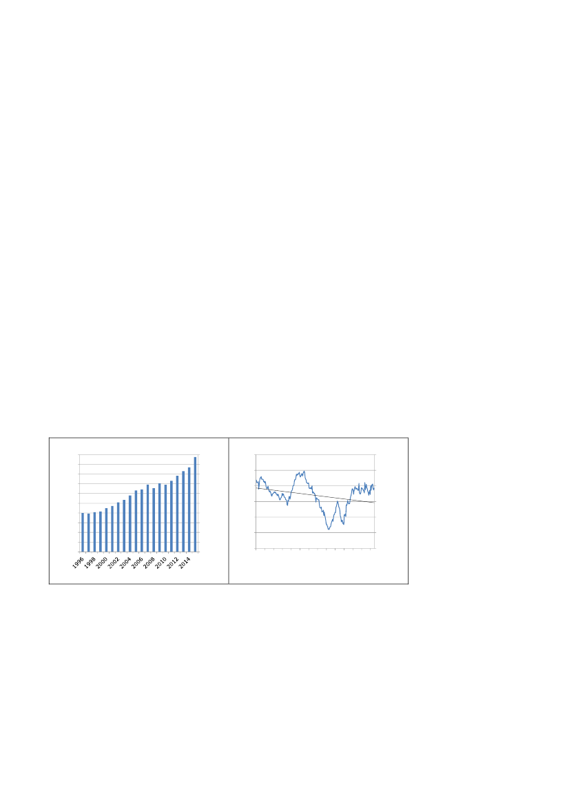
Faldende akademikerledighed til trods for flere akademikere
Antallet af akademikere på det danske arbejdsmarked er i de sidste tyve
år vokset med godt 100.000 personer. I dag er der således ca. 250.000
akademikere på det danske arbejdsmarked mod godt 140.000 akademi-
kere tilbage i 1996,
jf. figur 1a.
Figur 1a. Godt 100.000 flere aka-
demikere siden 1996
300
250
200
150
100
50
0
1996
I dag
300
250
200
150
100
50
0
Side 2 af 11
Figur 1b. Akademikerledighed hal-
veret siden 1996
10
9
8
7
6
pct.
10
9
8
7
6
5
4
3
2
1
feb-06
aug-00
aug-11
okt-09
maj-03
mar-05
maj-14
okt-98
apr-04
nov-97
nov-08
dec-07
dec-96
sep-99
sep-10
apr-15
jan-96
jan-07
jul-01
jul-12
jun-02
jun-13
1.000 personer
1.000 personer
5
4
3
2
1
0
0
Akademikerledighed
Bruttoledighed, hele arbejdsmarked
Kilde: Danmarks Statistik og Akademikernes ledighedsstatistik
Til trods for det stigende antal akademikere til det danske arbejdsmar-
ked, er andelen af ledige akademikere mere end halveret i perioden.
Således er akademikerledigheden faldet fra 8,7 pct. i januar 1996 til 4,2
pct. i februar 2016. Akademikerledigheden er lavere end bruttoledighe-
den for hele arbejdsmarkedet. Forskellen er dog mest markant i perio-
der med dårlige konjunkturer, fx i perioden efter finanskrisen i 2008.
Det afspejler, at akademikere har en relativt større jobsikkerhed på ar-
bejdsmarkedet,
jf. figur 1b.
Akademiske lønmodtagere er i akademisk beskæftigelse
96 pct. af alle akademiske lønmodtagere, og dermed så godt som alle
lønmodtagere med en akademisk grad, finder akademisk beskæftigelse.
De akademiske lønmodtagere udnytter således deres uddannelse i deres
job. Det viser en registerbaseret analyse som Akademikerne har udar-
bejdet sammen med AE,
jf. figur 2 og boks 1.
Pct.
UFU, Alm.del - 2015-16 - Bilag 133: Henvendelse af 7/4-16 fra Akademikerne om "Hvad er op og ned på det akademiske arbejdsmarked?"
1620295_0003.png
Figur 2. Akademikere varetager akademikerjob
Side 3 af 11
100
90
80
70
60
Pct.
100
90
80
70
60
50
40
30
20
10
0
Fuldtid
Deltid
Pct.
50
40
30
20
10
0
Anm.: Figuren viser andelen af akademiske lønmodtagere, der varetager et job hvor de oppebærer en
arbejdsindkomst på akademikerniveau. Denne andel er opgjort som den andel, der mindst oppebærer
en arbejdsindkomst, svarende til den gennemsnitlige løn for AC-fuldmægtige i staten på løntrin 4 ekskl.
pension. Data er fra maj 2015.
Kilde: Akademikerne pba. AE’s udtræk af registerdata fra Danmarks Statistik
Akademisk beskæftigelse defineres som job, hvor den ansatte akademi-
ker mindst oppebærer en indkomst svarende til en nyuddannet AC-
fuldmægtig på statens område, svarende til løntrin 4 og 5. Denne defini-
tion er i tråd med Produktivitetskommissionens tilgang, hvor man tager
udgangspunkt i, at personer, der oppebærer en løn svarende til lønnen
for en offentligt ansat akademiker, må være udtryk for, at personen
leverer et stykke arbejde, der sikrer en tilsvarende værditilvækst. Der-
ved afspejler lønniveauet for nyuddannede AC-fuldmægtige i staten en
nedre grænse for det akademiske lønniveau.
Boks 1. Grundlag for analysen af akademisk beskæftigelse
AE har for Akademikerne foretaget et udtræk fra Danmarks Statistiks registre, hvor data fra E-
indkomst krydses med data for uddannelsesniveau og ansættelsessted på brancher. I dataudtrækket
ses alene på akademikere, her defineret som alle, der har en lang videregående uddannelse. Udtræk-
ket fra E-indkomst er for maj 2015.
Det forudsættes i analysen, at en akademiker varetager et akademikerjob, hvis vedkommende mindst
oppebærer en arbejdsindkomst, svarende til den løn, som AC-fuldmægtige på løntrin 4 i staten oppe-
bærer. Det vil sige startlønnen for kandidater i staten. Der ses her på lønnen før pension, men inkl.
rådighedstillæg og gennemsnitlig merarbejdsbetaling.
Formålet med denne registerbaserede tilgang er at kortlægge, hvor stor en andel af akademikerne,
der varetager akademiske jobfunktioner. Det registerbaserede lønniveau, som den enkelte oppebærer,
er afgørende for, om den enkelte varetager en akademisk jobfunktion.
I analysen indgår kun lønmodtagere. Der skelnes mellem lønmodtagere på fuldtid, dvs. at de arbejder
37 timer om ugen, og lønmodtagere på deltid.
UFU, Alm.del - 2015-16 - Bilag 133: Henvendelse af 7/4-16 fra Akademikerne om "Hvad er op og ned på det akademiske arbejdsmarked?"
1620295_0004.png
Analysen viser også, at det gælder for såvel de private som offentlige
erhverv, at stort set alle akademikere er ansat i et akademisk job,
jf.
figur 3.
Figur 3. Det gælder i såvel de private som offentlige erhverv
Side 4 af 11
100
90
80
70
60
50
40
30
20
10
0
100
90
80
70
60
50
40
30
20
10
0
Pct.
Anm.: Andelen af akademiske lønmodtagere i akademikerjob er opgjort som den andel, der mindst
oppebærer en arbejdsindkomst, svarende til den gennemsnitlige løn for fuldmægtige i staten på løntrin
4 ekskl. pension. Data er fra maj 2015.
De blå kolonner dækker over fuldtid og de røde kolonner dækker deltid
Kilde: Akademikerne pba. AE’s udtræk af registerdata fra Danmarks Statistik
I de store erhverv, som eksempelvis fremstillingssektoren, den finansiel-
le sektor og den offentlige sektor, er det tæt på 100 pct. af de ansatte
akademikere, som er i akademisk beskæftigelse. Disse brancher be-
skæftigede i 2013 mere end 160.000 akademikere, hvilket er ca. 2/3 af
alle akademikere. Landbrug mv., som dækker over landbrug, skovbrug,
fiskeri mv., er undtagelsen fra reglen, idet lidt under 80 pct. af de aka-
demiske lønmodtagere i sektoren oppebærer et akademisk lønniveau.
Det skal dog ses i forhold til, at kun godt 1.500 akademikere er beskæf-
tiget i sektoren, svarende til 2 pct. af alle akademikere, og at lønniveau-
et i landbruget generelt er lavere end i andre erhverv.
Stor usikkerhed i opgørelser baseret på DISCO-koder
Analysen fra AE og Akademikerne tegner et markant anderledes billede
af det akademiske arbejdsmarked end tidligere analyser, der har været
baseret på data fra DISCO-08. Eksempelvis fandt Kraka (2012), at ca.
20 pct. af alle akademikere ikke er i akademisk beskæftigelse, men med
AE og Akademikernes nye registerbaserede analyse, må der nu stilles
Pct.
UFU, Alm.del - 2015-16 - Bilag 133: Henvendelse af 7/4-16 fra Akademikerne om "Hvad er op og ned på det akademiske arbejdsmarked?"
1620295_0005.png
afgørende spørgsmålstegn ved Kraka’s analyse og andre analyser, der
baserer sig på DISCO-08.
Der er betydelig usikkerhed knyttet til analyser, der beror på data fra
DISCO-08. Dataene er spørgeskemabaseret med en indbygget usikker-
hed omkring, hvilke jobfunktioner og stillingsbetegnelser, der hører
sammen. Dette overlades til den pågældende virksomhedsperson, der
udfylder spørgeskemaet at vurdere. Endvidere er opgørelsen baseret på
stikprøver og dækker således kun en delmængde af virksomheder på
det danske arbejdsmarked.
Side 5 af 11
Faldende dimittendledighed trods fordoblet kandidatpro-
duktion
Løftet i den danske arbejdsstyrkes uddannelsesniveau er primært sket
gennem en mere end fordobling af kandidatproduktionen på landets
universiteter. Således færdiggjorde ca. 20.000 personer en lang videre-
gående uddannelse i 2015 mod knap 8.000 personer i 1996,
jf. figur 4a.
Til trods for den øgede kandidatproduktion er andelen af ledige dimit-
tender faldet i samme periode. Fra januar 1996 til februar 2016 er di-
mittendledigheden således faldet fra 32 pct. til 29 pct. Dertil kommer, at
ledigheden blandt dimittender periodevis var under 20 pct.,
jf. figur 4b.
Figur 4a. Kandidatproduktion
20
18
16
1.000 personer
Figur 4b. Dimittendledighed
20
18
16
12
10
8
6
4
2
0
1.000 personer
40
35
30
Pct.
40
35
30
25
20
15
10
jul-97
jul-00
jul-03
jul-06
jul-09
jul-12
jan-96
jan-99
jan-02
jan-05
jan-08
jan-11
jan-14
jul-15
Pct.
14
12
10
8
6
4
2
0
14
25
20
15
10
Kilde: Danmarks Statistik og Akademikernes ledighedsstatistik
Den høje dimittendledighed aftager i takt med, at en kandidatårgang
vinder fodfæste på arbejdsmarkedet. Allerede 1 år efter færdiggørelsen
af deres kandidatuddannelse er ledigheden blandt dimittenderne halve-
ret til 14 pct. Efter 4 år på arbejdsmarkedet er ledigheden faldet til 3,2
pct., og mere end 5 år efter er ledigheden helt nede på 1,8 pct.,
jf. figur
5.
Udviklingen i dimittendledigheden afspejler, at nyuddannede akademi-
kere i højere grad oplever søgeledighed. Det tager tid at finde frem til
det rette match mellem den enkelte dimittends faglighed og arbejdsgi-
UFU, Alm.del - 2015-16 - Bilag 133: Henvendelse af 7/4-16 fra Akademikerne om "Hvad er op og ned på det akademiske arbejdsmarked?"
1620295_0006.png
vernes behov. Matchet mellem dimittend og virksomhed er afgørende
for, at den enkelte dimittend og arbejdsgiver, men også for at samfun-
det som helhed, får det bedst mulige ud af den investering, en akade-
misk uddannelse er. Sikringen af det rette match bidrager til en højere
produktivitet i danske virksomheder, og derved til en højere velstand.
Figur 5. Høj dimittendledighed, lav ledighed efter få år
Side 6 af 11
30
25
20
Pct.
28,1
30
25
20
15
10
Bruttoarbejdsløshed for
hele arbejdsmarkedet pct.
15
10
5
12,5
5
3,8
3,2
1,8
0
< 1 år 1 - 2 år 2 - 4 år 4 - 5 år > 5 år
0
Anm.: Figuren viser den sæsonkorrigerede dimittendledighed blandt akademikere og udviklingen i
arbejdsløsheden efter kandidatalder. Den røde streg viser bruttoarbejdsløsheden på hele det danske
arbejdsmarked i februar 2016.
Kilde: Akademikernes ledighedsstatistik og Danmarks Statistik
Alle nyuddannede, hvad enten der er tale om en murer, en kontorud-
dannet, en SOSU, en metalarbejder eller en akademiker, kan opleve, at
det tager tid at finde det første arbejde efter endt uddannelse. Dette er
en af forklaringerne på, at unge oplever en højere arbejdsløshed,
jf.
figur 6.
Det ses dog, at akademikere - sammenlignet med kortere uddannede -
relativt hurtigt vinder fodfæste på arbejdsmarkedet. Og for kandidatår-
gange med mere end 5 år på arbejdsmarkedet er ledigheden væsentligt
under den generelle bruttoledighed. Dette er også det billede, der teg-
ner sig i AE (2015): ”Lidt
færre nyuddannede starter arbejdslivet med
ledighed”.
Pct.
UFU, Alm.del - 2015-16 - Bilag 133: Henvendelse af 7/4-16 fra Akademikerne om "Hvad er op og ned på det akademiske arbejdsmarked?"
1620295_0007.png
Figur 6. Høj ungdomsarbejdsløshed for alle grupper
Side 7 af 11
10
9
8
7
6
pct.
10
9
8
7
6
5
4
3
2
1
0
3F
HK
FOA
Metal
AAK
Ungdomsarbejdsløshed
Alle aldre
pct.
5
4
3
2
1
0
Anm.: Figuren viser ungdomsarbejdsløsheden - dvs. ledigheden blandt de 25-29-årige – blandt med-
lemmer af forskellige a-kasser. Det svarer ikke til arbejdsløsheden blandt nyuddannede. Men den høje-
re ungdomsarbejdsløshed afspejler også, at det for alle grupper af nyuddannede - hvad enten der er
tale om en murer, en SOSU, en kontoruddannet, en metalarbejder eller en statskundskaber - kan tage
tid at finde det første job. Data er fra februar 2016.
Kilde: Danmarks Statistik
Langt de fleste dimittender finder akademisk beskæftigel-
se
Analysen, foretaget af Akademikerne i samarbejde med AE, viser også,
at mere end 85 pct. af de dimittender, der finder arbejde inden for før-
ste dimittendår, kommer i akademisk beskæftigelse. Det vil sige, at de
oppebærer et akademisk lønniveau,
jf. figur 7.
UFU, Alm.del - 2015-16 - Bilag 133: Henvendelse af 7/4-16 fra Akademikerne om "Hvad er op og ned på det akademiske arbejdsmarked?"
1620295_0008.png
Figur 7. Dimittender varetager akademikerjob
Side 8 af 11
100
90
80
70
60
100
90
80
70
60
50
40
30
20
10
0
0-1 år
2-3 år
Fuldtid
4-5 år
Deltid
>5 år
Pct.
50
40
30
20
10
0
Anm.: Figuren viser andelen af akademiske lønmodtagere, der varetager et job, hvor de
oppebærer en arbejdsindkomst på akademikerniveau. Dette er opgjort som den andel, der
mindst oppebærer en arbejdsindkomst, svarende til den gennemsnitlige løn for fuldmægti-
ge i staten på løntrin 4 ekskl. pension. Data er fra maj 2015.
Kilde: Akademikerne pba. AE’s udtræk af registerdata fra Danmarks Statistik
I takt med, at dimittenderne får bedre fodfæste på arbejdsmarkedet,
vokser andelen, der er akademisk beskæftiget, og efter 5 år på ar-
bejdsmarkedet er det mere 96 pct., der er i akademisk job, hvad enten
det er fuldtids- eller deltidsansatte.
Ingen tegn på for mange akademikere frem mod 2025
De nye dimensioneringsregler og seneste års optag på de lange videre-
gående uddannelser, indebærer en opbremsning af kandidatproduktio-
nen frem mod 2020. Det viser en fremskrivning af kandidatproduktionen
frem mod 2020, som Akademikerne har foretaget på baggrund af tal fra
KOT, som bl.a. bygger på de nye dimensioneringsregler.
Fremskrivningen viser, at kandidatproduktionen topper med godt 24.000
nye kandidater i 2018 og herefter vil aftage en smule frem mod 2020,
jf. figur 8.
Pct.
UFU, Alm.del - 2015-16 - Bilag 133: Henvendelse af 7/4-16 fra Akademikerne om "Hvad er op og ned på det akademiske arbejdsmarked?"
1620295_0009.png
Figur 8. Kandidatproduktion stagnerer
Side 9 af 11
30
Fremskrivning
30
25
1.000 personer
25
1.000 personer
20
15
10
5
0
20
15
10
5
0
Anm.: Figuren viser kandidatproduktionen fra 1996 til i dag. Dertil fremskrives udviklingen frem mod
2020 (de røde søjler) på baggrund af de nye dimensioneringsregler, det seneste optag på kandidatud-
dannelserne og det forventede frafald.
Kilde: KOT, Danmarks Statistik og egne beregninger
Opbremsningen i kandidatproduktionen medfører samtidig, at antallet af
akademikere i arbejdsstyrken vil vokse langsommere end tidligere.
Den seneste fremskrivning af ubalancer på arbejdsmarkedet – hvor de
nye dimensioneringsreger indgår i fremskrivningen – udarbejdet af AE
1
viser, at der stort set ikke vil være for mange akademikere i 2025. Der-
imod peger fremskrivningen på et markant overskud af ufaglærte og
personer med en gymnasial uddannelse som højeste, fuldførte uddan-
nelse, mens der vil være mangel på personer med kort videregående
uddannelse eller erhvervsfaglig uddannelse,
jf. figur 9.
1
Http://ae.dk/sites/www.ae.dk/files/dokumenter/publikation/ae_ubalancer.pdf
UFU, Alm.del - 2015-16 - Bilag 133: Henvendelse af 7/4-16 fra Akademikerne om "Hvad er op og ned på det akademiske arbejdsmarked?"
1620295_0010.png
Figur 9. Balance på det akademiske arbejdsmarked i 2025
Side 10 af 11
80
60
40
1.000 personer
7,7 pct.
80
60
pct. af arbejdsudbud
40
20
0
2,9 pct.
20
0
-20
-40
-60
-80
Antal
Pct. af arbejdsudbud
-20
-40
-60
-80
Anm.: Figuren viser AE’se seneste fremskrivning af ubalancer på arbejdsmarkedet. Her fremskrives
hhv. efterspørgsel og udbud efter forskellige uddannelsesgrupper på arbejdsmarkedet. Balancen for de
forskellige uddannelsesgrupper er opgjort som efterspørgsel herefter fratrukket udbuddet heraf. Et
positiv tal afspejler mangel, mens et negativ tal indikerer overudbud. Balancen er både opgjort i antal
personer og i pct. af arbejdsudbuddet af forskellige uddannelsesgrupper. Fremskrivningen tager ikke
højde for ændringer i adfærd eller relative priser og er omgærdet af betydelig usikkerhed. Hvis manglen
eller underskuddet er under 5 pct. af udbuddet, så bør der drages den konklusion, at der balance mht.
den givne uddannelsesgruppe.
Kilde: AE
Begyndende mangel på akademikere
Ny analyse fra CBS peger på, at der allerede nu er tegn på mangel på
akademisk arbejdskraft blandt landets virksomheder. Analysen der er
bestilt af DI Consortium for Global Talent og Copenhagen Capacity, og i
samarbejde med en række universiteter, videnstunge virksomheder,
erhvervsfremmeaktører og Akademikerne, viser, at 32 pct. af landets
1.000 største virksomheder oplever akut og forventet mangel på forske-
re og specialister, heriblandt særligt ingeniører og IT-uddannede, mens
kun 17 pct. mangler faglærte.
Med stigende kompetencekrav på det akademiske arbejdsmarked er det
derfor ikke usandsynligt, at der kan opstå flaskehalse frem mod 2025.
Uddannelse skaber værdi for den enkelte og samfundet
Generelt er uddannelse godt - ikke bare for den enkelte, men også for
samfundet som helhed. Uddannelse er sammen med forskning og udvik-
ling en grundkilde til økonomisk vækst. Et højt uddannelsesniveau er
samtidig en forudsætning for forskning og udvikling.
UFU, Alm.del - 2015-16 - Bilag 133: Henvendelse af 7/4-16 fra Akademikerne om "Hvad er op og ned på det akademiske arbejdsmarked?"
1620295_0011.png
Et højt uddannelsesniveau bidrager således til velstand. Det gælder,
hvad enten der er tale om en erhvervsfaglig, eller en videregående ud-
dannelse. Endvidere er uddannelse med til at nedbringe risikoen for ar-
bejdsløshed, sikre bedre beskæftigelsesmuligheder og forlænge arbejds-
livet for den enkelte.
For samfundet betyder en veluddannet befolkning, at samfundskagen
bliver større. Derved bliver både den private velstand højere, og det
forbedrer muligheden for at finansiere offentlige velfærdsydelser af høj
kvalitet. Det betyder, at der for alle uddannelser er et privat økonomisk
afkast i form af en højere disponibel indkomst gennem livet.
Der er også et betydeligt samfundsøkonomisk afkast ved uddannelse.
Det gælder navnlig for akademikere, hvor dette afkast gennem livet i
gennemsnit kan opgøres til 14,9 mio. kr.,
jf. figur 10.
Figur 10. Stort samfundsøkonomisk afkast af uddannelse
Side 11 af 11
16
14
12
Mio. kr.
16
14
12
Mio.kr.
10
8
6
4
2
0
Faglærte
KVU
MVU
LVU
Disponibel livsindkomst - Gevinst ift. ufaglært
kontrolgruppe
10
8
6
4
2
0
Samfundsøkonomisk gevinst ift. ufaglært kontrolgruppe
Kilde: AE (2015)